| Похожие рефераты | Скачать .docx |
Курсовая работа: Электроснабжение сельского населенного пункта
Министерство сельского хозяйства рф
Федеральное государственное образовательное учреждение
Высшего профессионального образования
«Ижевская Государственная Сельскохозяйственная Академия»
Кафедра Электроснабжение
Курсовой проект по дисциплине
Электроснабжение
на тему:
Электроснабжение сельского населенного пункта
Выполнил студент
Глухов В. А.
Проверил Трефилов Е.Г.
Ижевск 2010
Введение
В этом курсовом проекте выполнен расчёт системы электроснабжения сельского населённого пункта, который включает расчет электрических нагрузок населенного пункта, определение мощности и выбор трансформаторов, электрический расчет воздушной линии напряжением 10 кВ, построение таблицы отклонений напряжения и многое другое.
Выполнение курсового проекта относится к завершающему этапу изучения дисциплины «Электроснабжение» и ставит перед собой цель – систематизировать, расширить и закрепить теоретические знания и практические навыки при решении конкретных вопросов проектирования электроснабжения сельского хозяйства.
Электрификация, т.е. производство, распределение и применение электроэнергии – основа устойчивого функционирования и развития всех отраслей промышленности и сельского хозяйства страны и комфортного быта населения.
1. Расчет электрических нагрузок населенного пункта
Из табл. 1 определяется вариант задания – 213, которому соответствует схема № 1 ВЛ. 10 кВ с расчетным населенным пунктом № 2 и схема № 3 сети 0, 38 кВ.
Расчет электрических нагрузок производится с целью выбора сечений проводов линий и расчёта мощности ТП.
Для определения суммарной расчетной мощности потребителей заданного населенного пункта необходимые исходные данные и результаты расчетов заносятся в таблицу 1.1.
Таблица 1.1
№ пп |
Потребитель | Расчетная мощность | Координаты | ||||||
РД , кВт |
РВ , кВт |
cosД о.е. |
cosВ о.е. |
SД , кВА |
SВ , кВА |
X, о.е. |
Y, о.е. |
||
| 1 | 2 | 3 | 4 | 5 | 6 | 7 | 8 | 9 | 10 |
| 5.2 | Коровник привязного содержания с механизированным доением,уборкой навоза и электроводонагревателем: на 200 коров | 6 | 6 | 0, 92 | 0, 96 | 5.52 | 6.25 | 8 | 18 |
| 5.2 | Коровник привязного содержания с механизированным доением,уборкой навоза и электроводонагревателем: на 200 коров | 6 | 6 | 0,92 | 0,96 | 5.52 | 6.25 | 10 | 18 |
| 7,2 | Помещения для ремонтного и откормочного молодняка с механизированной уборкой навоза: на 240-260 голов |
5 | 8 | 0, 92 | 0, 96 | 5.4 | 8.3 | 3 | 18 |
| 7.2 | Помещения для ремонтного и откормочного молодняка с механизированной уборкой навоза: на 240-260 голов |
5 | 8 | 0, 92 | 0, 96 | 5.4 | 8.3 | 5 | 18 |
| 29.1 | Склад рассыпных и гранулированных кормов емкостью: 200т | 20 | 1 | 0, 7 | 0, 75 | 28.6 | 1.3 | 6 | 13 |
| 12 | Кормоцехфермы КРС на 800-1000 голов | 50 | 50 | 0.75 | 0, 78 | 66.7 | 64 | 3 | 16 |
| 27.1 | Овощекартофелехранилеще на 300-600т. | 5 | 2 | 0, 70 | 0,75 | 7.14 | 2.66 | 10 | 10 |
| 36 | Столярный цех | 15 | 1 | 0, 70 | 0, 75 | 21.43 | 1.3 | 5 | 8 |
| 2 Зона | |||||||||
| 51.3 | Административное здание: на 70 рабочих мест |
35 | 15 | 0.92 | 0.96 | 38 | 12.5 | 20 | 5 |
| 54.1 | Баня: на 5 мест |
3 | 3 | 0, 92 | 0, 96 | 3.26 | 3.13 | 20 | 7 |
| 53.2 | Магазин на 4 рабочих места. Подовольственный | 10 | 10 | 0.85 | 0.90 | 11.76 | 11.11 | 20 | 9 |
| 55.1 | Жилой дом: одноквартирный | 0,54 | 1,8 | 0, 92 | 0, 96 | 0,59 | 1,88 | 22 | 3 |
| 55.1 | Жилой дом: одноквартирный | 0,54 | 1,8 | 0, 92 | 0, 96 | 0,59 | 1,88 | 22 | 5 |
| 55.1 | Жилой дом: одноквартирный | 0,54 | 1,8 | 0, 92 | 0, 96 | 0,59 | 1,88 | 22 | 7 |
| 55.3 | Жилой дом: восьмиквартирный | 0,54 | 1,8 | 0, 92 | 0, 96 | 0,59 | 1,88 | 24 | 12 |
| 55.2 | Жилой дом: четырехквартирный |
2,2 | 7,2 | 0, 92 | 0, 96 | 2,39 | 7,5 | 24 | 14 |
| 55.3 | Жилой дом: восьмиквартирный |
4,3 | 14,4 | 0, 92 | 0, 96 | 4,67 | 15 | 26 | 12 |
| 55.2 | Жилой дом: четырехквартирный |
2,2 | 7,2 | 0, 92 | 0, 96 | 2,39 | 7,5 | 26 | 14 |
| 55.1 | Жилой дом: одноквартирный | 0,54 | 1,8 | 0, 92 | 0, 96 | 0,59 | 1,88 | 28 | 2 |
| 55.1 | Жилой дом: одноквартирный | 0,54 | 1,8 | 0, 92 | 0, 96 | 0,59 | 1,88 | 28 | 4 |
| 55.1 | Жилой дом: одноквартирный | 0,54 | 1,8 | 0, 92 | 0, 96 | 0,59 | 1,88 | 28 | 6 |
| 55.1 | Жилой дом: одноквартирный | 0,54 | 1,8 | 0, 92 | 0, 96 | 0,59 | 1,88 | 28 | 8 |
| 55.1 | Жилой дом: одноквартирный | 0,54 | 1,8 | 0, 92 | 0, 96 | 0,59 | 1,88 | 28 | 9.5 |
| 55.1 | Жилой дом: одноквартирный | 0,54 | 1,8 | 0, 92 | 0, 96 | 0,59 | 1,88 | 28 | 11 |
| 55.1 | Жилой дом: одноквартирный | 0,54 | 1,8 | 0, 92 | 0, 96 | 0,59 | 1,88 | 28 | 12.5 |
| 55.2 | Жилой дом: четырехквартирный |
2,2 | 7,2 | 0, 92 | 0, 96 | 2,39 | 7,5 | 28 | 14 |
| 55.1 | Жилой дом: одноквартирный | 0,54 | 1,8 | 0, 92 | 0, 96 | 0,59 | 1,88 | 32 | 2 |
| 55.1 | Жилой дом: одноквартирный | 0,54 | 1,8 | 0, 92 | 0, 96 | 0,59 | 1,88 | 32 | 3.5 |
| 50.1 | Детские ясли-сады на 25 мест | 4 | 3 | 0.85 | 0.90 | 4.7 | 3.33 | 32 | 5 |
| 48.2 | Спальный корпус школы-интерната на 80 мест | 8 | 15 | 0.85 | 0.90 | 9.4 | 16.7 | 32 | 7 |
| 45.2 | Начальная школа на 80 учащихся | 7 | 2 | 0.85 | 0.90 | 8.24 | 2,22 | 32 | 11 |
| 55.1 | Жилой дом: одноквартирный | 0,54 | 1,8 | 0, 92 | 0, 96 | 0,59 | 1,88 | 32 | 13 |
| 55.1 | Жилой дом: одноквартирный | 0,54 | 1,8 | 0, 92 | 0, 96 | 0,59 | 1,88 | 34 | 2 |
| 55.1 | Жилой дом: одноквартирный | 0,54 | 1,8 | 0, 92 | 0, 96 | 0,59 | 1,88 | 36 | 2 |
| 55.1 | Жилой дом: одноквартирный | 0,54 | 1,8 | 0, 92 | 0, 96 | 0,59 | 1,88 | 36 | 4 |
| 55.1 | Жилой дом: одноквартирный | 0,54 | 1,8 | 0, 92 | 0, 96 | 0,59 | 1,88 | 36 | 6 |
| 55.1 | Жилой дом: одноквартирный | 0,54 | 1,8 | 0, 92 | 0, 96 | 0,59 | 1,88 | 36 | 8 |
| 38.2 | Склад концентрированных кормов с дробилкой ДКУ-2 | 25 | 1 | 0.70 | 0.75 | 35,7 | 1,33 | 36 | 10 |
| 35 | Плотницкая | 10 | 1 | 0.70 | 0.75 | 14,3 | 1,33 | 36 | 12 |
| 43.1 | Гараж с профилакторием на 10 автомашин | 20 | 10 | 0.70 | 0.75 | 28,57 | 13,33 | 36 | 14 |
Значения полной мощности дневного и вечернего максимумов нагрузки рассчитываются по формуле
(1.1)
после чего вносятся в соответствующие столбцы (7 и 8) таблицы.
Для жилого дома одноквартирного:
![]()
Суммарная расчетная мощность дневного и вечернего максимумов нагрузки всех потребителей населенного пункта определяется в следующей последовательности:
1. Для одинаковых потребителей (производственных или жилых домов), имеющих одну и ту же расчетную нагрузку, суммарная нагрузка дневного и вечернего максимумов определяется по формуле:
, (1.2)
где Рn – расчетная нагрузка группы «n» одинаковых потребителей, кВт;
Р – расчетная нагрузка одного потребителя, кВт;
ko – коэффициент одновременности.
2 Зона:
Жилые одноквартирные дома:
![]()
![]()
Жилые четырехквартирные дома:
![]()
![]()
Жилые восьмиквартирные дома:
![]()
![]()
2. Расчетная мощность дневного максимума нагрузки потребителей населенного пункта определяется по формуле:
, (1.3)
где РБ – наибольшее значение расчетной мощности дневного максимума нагрузки одного из потребителей или группы одинаковых потребителей, кВт;
m – число потребителей и групп одинаковых потребителей населенного пункта, нагрузки которых суммируются;
Рдоб1 , Рдоб2 , Рдоб3 ,… Рдоб m-1 – добавки, определяемые расчетной мощностью дневного максимума нагрузки всех других потребителей и групп одинаковых потребителей, кВт; берутся из таблицы 3.6 [2].
![]()
3. Определяется нагрузка наружного освещения населенного пункта, которая включает нагрузку уличного освещения и нагрузку наружного освещения территории хозяйственных дворов:
, (1.4)
где РΣНО – суммарная нагрузка наружного освещения населенного пункта, кВт; рудУО – удельная нагрузка уличного освещения, Вт/м; в курсовом проекте рекомендуется принять рудУО =6 Вт/м; LУ – суммарная длина улиц населенного пункта, м; принимается в соответствии с масштабом по плану населенного пункта; РНО хд – суммарная нагрузка наружного освещения территории хозяйственных дворов, кВт; в курсовом проекте рекомендуется принимать из расчета: 250 Вт на одно помещение и 3 Вт на 1 метр длины периметра двора [2, с.38]. LУ = 66, (см), с учетом масштаба (1: 2000) получаем 1300 (м), (периметр – 3840 м).
![]()
4. Расчетная мощность вечернего максимума нагрузки потребителей населенного пункта определяется по формуле:
, (1.5)
где РБ , Рдоб1 , Рдоб2 , Рдоб3 ,… Рдоб m-1 – то же, что и для формулы (1.3), только для вечернего максимума нагрузки потребителей, кВт;
РΣНО – суммарная нагрузка наружного освещения населенного пункта, кВт.
![]()
5. Расчетная мощность дневного и вечернего максимума нагрузки производственных потребителей населенного пункта.
![]()
![]()
![]()
6. Коэффициент мощности дневного и вечернего максимума суммарной нагрузки всех потребителей населенного пункта.
(1.6)
где
- расчетная нагрузка комунально-бытовых потребителей.
= 86,3+ 97,4= 183,7(кВт)
= 70,9+ 104,8= 175,7 (кВт)
РП (Д) / РОД = 86,3/183,7=0,47
РП (В) / РОВ = 70,9/ 175,7 = 0,44
= 0, 8
= 0, 84
7. Расчетная полная мощность дневного и вечернего максимума.
,
![]()
2. Определение мощности и выбор трансформаторов
Количество трансформаторных подстанций в населенном пункте рекомендуется определять по эмпирической формуле:
, (2.1)
где Sp – наибольшее значение расчетной полной мощности всех потребителей населенного пункта, соответствующее дневному или вечернему максимуму нагрузки, кВА;
F – площадь населенного пункта, км2 ;
U – допустимая потеря напряжения в линиях 0,38 кВ, %;
В – коэффициент, %/кВА* км2 .
Для ВЛ 0, 38 кВ принимается U = 7…10%; для ТП 10/0,38 кВ значение коэффициента «В» принимают: В = 0,06…0,07 %/кВА* км2 .
![]()
В целях сокращения экономических затрат рекомендуется выбирать не менее двух трансформаторных подстанций, так как на плане местности однородные потребители размещены компактно выбираю две подстанции. Сгруппируем потребителей населенного пункта в две зоны.
Выбираем трансформаторы с номинальной мощностью:
1 Производственная зона Sном= 100 кВА;
2 Зона Sном= 100 кВА;
![]()
![]()
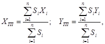
Координаты ТП для каждой выбранной зоны потребителей рассчитывают по известным координатам отдельных потребителей, с использованием формул:
(2.2)
где n – число потребителей для каждой выбранной зоны; Si – полная мощность «i»-того потребителя для того максимума нагрузки, по которому выбран трансформатор ТП, кВА.
Производственные потребители:
4.8
14.39
Зона 2:
28.76
9.7
Расчет произведен в таблице MicrosoftOfficeExcel 2007
3. Электрический расчет воздушной линии напряжением 10 кВ
Электрический расчет воздушных линий (ВЛ) производится с целью выбора марки и сечения проводов, определения потерь напряжения и энергии в линии.
Результаты расчетов и необходимые данные для них оформляются в виде таблицы 3.1.
Таблица 3.1
Участок ВЛ 10 кВ |
Расчетная активная мощность участка, кВт |
РДП /РДО | РВП /РВО | ||||
| Номер | Длина, км | Днем | Вечером | ||||
| РДО | РДП | РВО | РВП | ||||
| 1 | 2 | 3 | 4 | 5 | 6 | 7 | 8 |
| 5-6 | 6 | 180 | 100 | 240 | 120 | 0,55 | 0,5 |
| 2-5 | 6 | 432 | 225 | 531 | 275,5 | 0,52 | 0,46 |
| 3-2 | 4 | 529.4 | 296.8 | 555.6 | 311,8 | 0,56 | 0,56 |
| 3-4 | 11 | 260 | 200 | 290 | 210 | 0,77 | 0,72 |
| 1-3 | 13 | 890.5 | 582 | 1076 | 694.6 | 0,65 | 0,65 |
| 0-5 | 5 | 1161,5 | 748.8 | 1283,4 | 805 | 0,64 | 0,63 |
Таблица 3.1.1
| cosД | cosВ | tgД | tgВ | Расчетная мощность | Рабочий ток, А |
||||
Реактивная, кВар |
Полная, кВА |
||||||||
| QД | QВ | SД | SВ | IД | IВ | ||||
| 9 | 10 | 11 | 12 | 13 | 14 | 15 | 16 | 17 | 18 |
| 0,80 | 0,85 | 0,75 | 0,61 | 135 | 61 | 300 | 141.2 | 17.3 | 8.15 |
| 0,82 | 0,87 | 0,69 | 0,56 | 298 | 126 | 647.6 | 316.7 | 37.3 | 18.3 |
| 0,81 | 0,86 | 0,72 | 0,59 | 381.2 | 175 | 686 | 362.6 | 39.6 | 21 |
| 0,75 | 0,82 | 0,88 | 0,56 | 228 | 112 | 386.7 | 256 | 22.3 | 14.8 |
| 0,76 | 0,83 | 0,85 | 0,67 | 757 | 390 | 1415 | 576.5 | 81.7 | 33.28 |
| 0,76 | 0,83 | 0,85 | 0,67 | 987.3 | 501.7 | 1688.7 | 969.9 | 97.4 | 55.9 |
Таблица 3.1.2
Марка и сечение провода, мм2 |
Потери напряжения, % | Потери энергии, кВт.ч |
|||
| Днем | Вечером | ||||
На участке |
От шин 10 кВ до конца участка |
На участке |
От шин 10 кВ до конца участка |
||
| 19 | 20 | 21 | 22 | 23 | 24 |
| АС70 | 0,77 | 4.5 | 0,7 | 4.4 | 4299 |
| АС70 | 2.8 | 5.7 | 1.9 | 7.9 | 23315,2 |
| АС70 | 1.5 | 8.1 | 1.2 | 6.6 | 15016,7 |
| АС70 | 2.2 | 5.6 | 1.8 | 4.8 | 13095,6 |
| АС70 | 8.7 | 8.7 | 7 | 7.8 | 15979,6 |
| АС70 | 4.3 | 4.3 | 3.7 | 3.7 | 59766,6 |
∆Wmax= 131472,7 кВт*ч в год.
С помощью коэффициента одновременности и добавок рассчитаем нагрузку на всех участках линии 10 кВ.
Например мощность для общей дневной нагрузки на участках 1-3:
Р2-5 =ko (Р5 + Р5-6)=0.9(180+300) = 432 кВт
Расчетная реактивная и полная мощность нагрузки для дневного и вечернего максимума по каждому участку ВЛ 10 кВ определяются по формулам:
(3.1)
,
(3.2)
«РО » – расчетная активная общая нагрузка, указанная в столбцах 3 и 5, а «cos » и «tg » берутся из столбцов 9…12 таблицы 3.1.
![]()
![]()
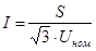
В столбцы 17, 18 таблицы вписывается рабочий ток на участках линии, который определяется по формуле:
, (3.3)
где Uном =10 кВ – номинальное напряжение линии.
![]()
Сечение проводов в курсовом проекте рекомендуется определять по экономической плотности тока:
, (3.4)
где jЭК =1,3 А/мм2 – экономическая плотность тока, выбранная по таблице 5.1 [1,2].
![]()
Полученное расчетное сечение округляется до ближайшего стандартного и должно быть скорректировано по требованиям к механической прочности, в соответствии с которыми провода выбирают сталеалюминиевыми, сечениями не менее: 70 мм2 для магистрали и 35 мм2 для отпаек.
Параметры выбранных проводов необходимо свести в таблицу 3.2.(приложение 1, 4, 14, 15 [1,2] ).
Таблица 3.2
| Провод | Dср , мм | r0 , Ом/км | х0 , Ом/км | Iраб макс , А | Iдоп , А |
| 1 | 2 | 3 | 4 | 5 | 6 |
| АС70/11 | 2000 | 0,420 | 0,392 | 10,9 | 265 |
| АС70/11 | 2000 | 0,420 | 0,392 | 23,3 | 265 |
| АС70/11 | 2000 | 0,420 | 0,392 | 32,9 | 265 |
| АС70/11 | 2000 | 0.420 | 0.392 | 31,2 | 265 |
| АС70/11 | 2000 | 0.420 | 0.392 | 65,1 | 265 |
| АС70/11 | 2000 | 0,420 | 0,392 | 74,6 | 265 |
Выбранное сечение проводов удовлетворяет условию допустимого нагрева:
.
![]()
Условие выполняется.
На каждом из участков линии необходимо определить потерю напряжения:
, (3.5)
где
, Р и Q – длина участка и мощности, передаваемые по участку, берутся из таблицы 3.1, а r0
и x0
– из таблицы 3.2 для соответствующего участка ВЛ 10 кВ.
![]()
Полученную по формуле (3.5) потерю напряжения в вольтах необходимо перевести в киловольты и представить в процентах:
(3.6)
![]()
а затем вписать в соответствующие столбцы (20 или 22) таблицы 3.1.
Потери напряжения от шин 10 кВ до конца расчетного участка определяются путем суммирования потерь напряжения тех участков, по которым передается нагрузка рассматриваемого участка ВЛ 10 кВ. Полученные результаты вписываются в столбцы 21 и 23 таблицы 3.1.
В столбце 24 таблицы указываются потери электрической энергии на участках линии, которые рассчитываются по формуле:
, (3.7)
где - время максимальных потерь, час; может быть принято по таблице 14.2 [1]. =1900 ч
![]()
Потери энергии по всей линии подсчитываются суммированием потерь энергии на всех участках ВЛ 10 кВ.
4. Построение таблицы отклонений напряжения
Таблица отклонений напряжения в курсовом проекте необходима для определения допустимой потери напряжения в линиях 0,38 кВ и выбора оптимальной надбавки напряжения у трансформаторов подстанций.
Таблица составляется для подстанций ближайшего к шинам 10 кВ населенного пункта (ТПБ ), удаленного (ТПУ ) и расчетного (ТПР ) населенных пунктов (таблица 4.1).
Таблица 4.1
| Элемент сети | Обозначение потери и отклонения напряжения, % |
ТПБ | ТПР | ТПУ | |||||
| Нагрузка, % | |||||||||
| 100 | 25 | 100 | 25 | 100 | 25 | ||||
| Шины 10 кВ | δUШ10 | +5 | -1 | +5 | -1 | +5 | -1 | ||
| ВЛ 10 кВ | UВЛ10 | -0,7 | -0,175 | -2 | -0,5 | -3,8 | -0,95 | ||
Тр-р 10/0,38 кВ |
Потери | UТ | -4 | -1 | -4 | -1 | -4 | -1 | |
| Надбавка | δUТ | +2,5 | +2,5 | +5 | +5 | +7,5 | +7,5 | ||
| Шины 0,4 кВ | δUШ0,4 | +2,8 | +0,33 | +4 | +2,5 | +4,7 | +4,55 | ||
ВЛ 0,38 кВ |
Всего | UВЛ0,38 | -7,8 | -1,95 | -9 | -2,25 | -9,7 | -2,43 | |
| Наружная | UВЛ0,38 | -5,8 | -1,45 | -7 | -1,75 | -7,7 | -1,93 | ||
| Внутренняя | UВЛ0,38 | -2 | -0.5 | -2 | -0,5 | -2 | -0.5 | ||
| Удаленный потребитель | δUУД.П | -5 | -1,62 | -5 | +0,25 | -5 | +2,12 | ||
| ГОСТ 13109-97 | δUном | ||||||||
5. Электрический расчет воздушной линии напряжением 0, 38 кВ
В учебных целях выбор сечений проводов в линиях W1, W2 и W3 производится различными методами. Выбранные провода проверяются на механическую прочность и по нагреву.
К линии W1, W2 и W3 подключены производственные потребители электроэнергии.
Расчет сечений проводов линии W1 методом экономических интервалов производится следующим образом:
Определяется расчетная полная мощность на каждом участке линии:
S0-1 =P0-1 / cos0-1 = 24/ 0, 74= 32, 4 (кВА)
S1-2 =P1-2 / cos1-2 = 18/ 0, 77= 23, 4 (кВА)
S2-3 =P2-3 / cos3 = 5/ 0, 85= 5, 88 (кВА)
где Р0-1 , Р1-2 , P2-3 расчетная активная нагрузка на участках линии, которая для коммунально–бытовых потребителей определяется попарным суммированием нагрузки в конце участка и нагрузки предыдущего участка с помощью табличных добавок.
P2-3 = P3 = 5 (кВт)
Р1-2 = Р2 + Рдоб 2-3 (при Р2 Р2-3 )
Р1-2 = 15+ 3= 18 (кВт)
Р0-1 = Р1-2 + Рдоб 1 (при Р1-2 Р1 )
Р0-1 = 18+ 6= 24 (кВт)
Значение коэффициента мощности нагрузки участка линии определяется как средневзвешенное.
Cos1-2 = (S2 cos2 + S2-3 cos3 )/ (S2 + S2-3 ) =
= (20* 0, 75+ 5, 88* 0, 85)/ (20+ 5, 88) =
= (15+ 5)/ 25, 88= 0, 77
Cos0-1 = (S1 cos1 + S1-2 cos2 )/ (S1 + S1-2 ) =
= (14, 3* 0, 7+ 23, 4* 0, 75)/ (14, 3+ 23, 4) =
= (10+ 18)/ 37, 7= 0, 74
Рассчитывается эквивалентная нагрузка на каждом участке линии по формуле:
, (5.1)
где Sр – расчетная мощность участка, кВА;
kд – коэффициент, учитывающий динамику роста нагрузок; в курсовом проекте рекомендуется принимать равным 0,7.
![]()
![]()
![]()
По таблице приложения 32 [2] предварительно определяют сечение проводов на каждом участке линии W1. При этом выбранные провода должны удовлетворять требованиям механической прочности, в соответствии с которыми алюминиевые провода должны иметь сечение не менее 50 мм2 . Определяется потеря напряжения в линии W1 при выбранных сечениях проводов.
![]()
![]()
![]()
![]()
![]()
Если потеря напряжения в линии W1 не превышает допустимую потерю напряжения, определенную в п.4.10, то расчет на этом заканчивается.
Выбранные провода должны удовлетворять условию нагрева:
, (5.2)
где Iр макс – максимальный ток нагрузки для выбранного сечения, А;
Iдоп – допустимый длительный ток для выбранного сечения, А; берется из таблицы приложения 4 [2].
![]()
![]()
Расчет проводов линии W2 по допустимой потере напряжения при постоянном сечении проводов в линии выполняется в следующей последовательности: Определяется расчетная активная нагрузка на участках линии W2.
S0-4 =P0-4 / cos0-4 = 39, 7/ 0, 85= 46, 7 (кВА)
S4-5 =P4-5 / cos4-5 = 30, 5/ 0, 82= 37, 2 (кВА)
S5-6 =P5-6 / cos5-6 = 17, 4/ 0, 92= 18, 9 (кВА)
S6-7 =P6-7 / cos7 = 4/ 0, 92= 4, 35 (кВА)
P6-7 = P7 = 4 (кВт)
Р5-6 = Р6 + Рдоб 6-7
Р5-6 = 15+ 2, 4= 17, 4 (кВт)
Р4-5 = Р5 + Рдоб 5-6
Р4-5 = 20+ 10, 5= 30, 5 (кВт)
Р0-4 = Р4-5 + Рдоб 4
Р0-4 = 30, 5+ 9, 2= 39, 7 (кВт)
Cos5-6 = (S6 cos2 + S6-7 cos7 )/ (S6 + S6-7 ) =
= (15+ 4)/ (16, 3 +4, 35)= 0, 92
Cos4-5 = (S5 cos5 + S5-6 cos6 )/ (S5 + S5-6 ) =
= (20+ 17, 4)/ (26, 7+ 18, 9)= 0, 82
Cos0-4 = (S4 cos4 + S4-5 cos5 )/ (S4 + S4-5 ) =
= (15+ 30, 5)/ (16, 3+37, 2)= 0, 85
Определяется расчетная индуктивная нагрузка на участках линии по формуле, аналогичной (3.1). Задаемся удельным индуктивным сопротивлением проводов линии Х0 = 0, 4 Ом/км. Рассчитываем составляющую потери напряжения в реактивных сопротивлениях линии по формуле:
, (5.3)
![]()
Зная допустимую потерю напряжения UДОП (п.4.10) находим составляющую потери напряжения в активных сопротивлениях линии:
. (5.4)
%
![]()
Определяем постоянное сечение проводов линии W2:
, (5.5)
где = 32 м/Ом*
мм2
– удельная проводимость алюминия. ![]()
Полученное по (5.5) расчетное значение сечения проводов округляем до стандартного. Выбранный провод проверяется по механической прочности и по нагреву.
F ст = 50 мм2 (по условию механической прочности)
Проверяем действительную потерю напряжения в линии W2 при выбранном стандартном сечении проводов.
![]()
![]()
Расчет проводов линии W3 на минимум проводникового материала проводится в следующей последовательности:
Определяется расчетная полная мощность на каждом участке.
![]()
S0-8 =P0-8 / cos8 = 30/ 0, 7= 42, 9 (кВА)
Для линия W3 определяем момент по формуле:
, (5.6)
![]()
и сумму моментов:
(5.7)
Распределяем допустимую потерю напряжения ΔUДОП (п.4.10) по участкам линии пропорционально моментам этих участков:
(5.8)
![]()
![]()
![]()
![]()
![]()
Таблица 5.1
| Линия | Участок | Провод | г0 , Ом/ км |
х0 , Ом/ км |
Iр. макс , А |
Iдоп , А |
Uф , % |
UΣф , % |
W1 |
0–1 | А50 | 0, 576 | 0, 369 | 49, 23 | 210 | 0, 9 | 1, 4 |
| 1–2 | А50 | 0, 576 | 0, 369 | 35, 55 | 210 | 0, 2 | ||
| 2–3 | А50 | 0, 576 | 0, 369 | 8, 93 | 210 | 0, 3 | ||
W2 |
0–4 | А50 | 0, 576 | 0, 369 | 70, 95 | 210 | 1, 33 | 1,76 |
| 4–5 | А50 | 0, 576 | 0, 369 | 56, 52 | 210 | 0, 26 | ||
| 5–6 | А50 | 0, 576 | 0, 369 | 28, 72 | 210 | 0, 13 | ||
| 6–7 | А50 | 0, 576 | 0, 369 | 6, 61 | 210 | 0, 04 | ||
| W3 | 0–8 | А50 | 0, 576 | 0, 369 | 65, 18 | 210 | 2, 41 | 2, 41 |
6. Конструктивное выполнение линий напряжением 0,38 кВ, 10 кВ и подстанции 10/0,38 кВ
Для линий 0,38 и 10 кВ выбираем:
Опоры – железобетонные опоры 0.38 кВ и 10 кВ;
Изоляторы – ШФ-10, НС-18.
Линейную арматуру
ТП1 и ТП2 однотрансформаторные комплектные трансформаторные подстанции со схемой соединения обмоток трансформаторов звезда- звезда с нулем КТП-10/0.38-160 и КТП-10/0.38-160. РУ 0,38 кВ – с автоматическими воздушными выключателями.
Основные технические характеристики трансформатора ТМ-160:
Номинальная мощность 160 кВА,
ВН=10кВ, НН=0.4кВ,
Группа соединения обмоток – 0,
РххА=510 Вт, РххБ=565 Вт, Ркз=2650 Вт,
Uк%=4.5, Iхх%=2.4, переключатель напряжений – ПБВ.
7. Расчет токов короткого замыкания

Рисунок 7.1- Схема расчета токов КЗ
Количество точек КЗ на стороне высокого и низкого напряжений одинаково, однако число сопротивлений на стороне 10 кВ больше, чем на стороне 0,38 кВ, поэтому принимаем Uб =10,5 кВ.

Рисунок 7.2-Схема замещения
Определяем сопротивления схемы замещения, приведенные к базисному напряжению.
Сопротивление системы:
, (7.1)
Xс=(10.5)²/210=0,53 Ом.
Сопротивления участков линии 10 кВ:
(7.2)
Таблица 7.1
| Участок | R,Ом | X,Ом |
| 5-6 | 1,68 | 1,57 |
| 2-5 | 0,84 | 0,78 |
| 3-2 | 1,26 | 1,18 |
| 3-4 | 1,68 | 1,57 |
| 1-3 | 0,84 | 0,78 |
| 0-1 | 0,42 | 0,39 |
Сопротивление трансформатора:
, (7.3)
rт= (2.65/160)*(10500²/160000) =11,4 Ом,
, (7.4)
Zт= (4.5/100)*(10500²/160000) =31 Ом,
, (7.5)
Ом.
Сопротивления участков ВЛ 0,38 кВ:
(7.6)
rw1 = 84,5 Ом, rw3 = 198 Ом,
Xw1 = 55,8 Ом, Xw3 = 130,6 Ом.
rw2 = 124 Ом,
Xw2 = 81,8 Ом,
До точки К1 : Z1= Xc; (7.7)
Z1=0,53Ом
До точки К2 : Z2=√ (r04)²+(Xc+X04)²; (7.8)
Z2=√ (0,42)²+(0,53+0,39)²=1 Ом,
До точки К3 : Z3=√ (r04+r42+r23+r31+r16)²+(Xc+X04+X42+X23+X31+ X16)²; (7.9)
Z3=√ (0,42+0,84+1,26+0,84+1,68)²+(0,53+0,39+0,78+1,18+0,78+1,57)²=
7,3 Ом,
До точки К4 : Z4=√ (r04+r42+r25)²+(Xc+X04+X42+X25)²; (7.10)
Z4=√ (0,42+0,84+1,68)²+(0,53+0,39+0,78+1,57)²=4,4 Ом,
До точки К9 : Z9=√ (r04+r42)²+( Xc+X04+X42)²;
Z9=√ (0,42+0,84)²+(0,53+0,39+0,78)²=2,1 Ом,
До точки К5 : Z5=√ (r04+r42+rт)²+( Xc+X04+X42+Xт)²; (7.11)
Z5=√ (0,42+0,84+11,4)²+(0,53+0,39+0,78 +19,6)²=24,8 Ом,
До точек К6 , К7 и К8 результирующие сопротивления определяются аналогично.
До точки К6: Z6=√ (r04+r42 +rw1+rT)²+( Xc+X04+X42 +XT+Xw1)²;
Z6=√(0,42+0,84+11,4+84,54)²+( 0,53+0,39+0,78+19,6+55,77)²=124,1Ом;
До точки К7: Z7=√ (r04+r42+rw2+rT)²+( Xc+X04+X42 +XT+Xw2)²;
Z7=√(0,42+0,84+11,4+124)²+( 0,53+0,39+0,78+19,6 +81,83)²=171,2 Ом;
До точки К8: Z8=√ (r04+r42+rw3+rT)²+( Xc+X04+X42+ XT+Xw3)²;
Z8=√ (0,42+0,84+11,4+198)²+( 0,53+0,39+0,78+19,6+130,6)²=259,7 Ом.
Рассчитываем токи трехфазного КЗ. Для точек 1, 2, 3, 4 выполняется условие Uср.ном = Uб , поэтому ток КЗ определяется по формуле:
, (7.12)
Iк1=10.5/1.74*0,53=11,5кА;
Для точки 5 Uср.ном Uб , поэтому ток 3-х фазного КЗ равен
. (7.13)
Iк5= (10.5/1.74*24,8)*(10.5/0.4) =6,4 кА
Для точек 6, 7, 8 и 9 ток 3-х фазного КЗ определяется аналогично:
Определяем токи двухфазного КЗ для точек 1, 2, 3, 4, 5, 6, 7, 8:
(7.14)
Iк1=0.87*11,5=9,9 кА;
Ударный ток для каждой из точек КЗ определяется по формуле:
, (7.15)
где kУ – ударный коэффициент, для i – той точки КЗ рекомендуется определять по формуле:
, (7.16)
Та – постоянная времени апериодической составляющей тока КЗ, с;
ri и xi – результирующие активное и индуктивное сопротивления до точки КЗ.
(7.17)
Мощность трехфазного КЗ для каждой из точек КЗ определяется по формуле:
, (7.18)
Sк1=1.74*10.5*11,5=210 MВА;
где Uср.н – среднее номинальное напряжение той ступени, на которой находится точка КЗ (10,5 или 0,4 кВ).
Определяем минимальную величину тока КЗ для проверки защиты на чувствительность. Это будут токи однофазного КЗ в конце линий 0,38 кВ (точки К7 , К8 и К6 ), которые рекомендуется рассчитывать по упрощенной формуле:
, (7.19)
где Uф =0,22 кВ – номинальное фазное напряжение сети 0,38 кВ;
Iк6=0.22/ (0,7/3+0,277) =0,431 кА;
zT – полное сопротивление трансформатора току замыкания на корпус, приведенное к напряжению 0,4 кВ, Ом;
zT =0.70
zп – полное сопротивление петли «фазный – нулевой провод линии», Ом; определяется по формуле:
, (7.20)
где
– длина линии, км;
r0ф и r0н – удельное активное сопротивление фазного и нулевого проводов линии, Ом/км; рекомендуется определять по приложению 1 1,2;
х0п – удельное индуктивное сопротивление петли «фазный – нулевой провод линии», Ом; для проводов из цветных металлов рекомендуется брать х0п =0,6 Ом/км.
![]()
Результаты расчета токов КЗ сводим в таблицу 7.2.
Таблица 7.2
| Точка КЗ | Uср.ном кВ |
Сопротивление, Ом | КУ |
Токи КЗ, кА |
Sк (3) МВА |
|||||
| r | x | z | Iк (3) | Iк (2) | iУ | Iк (1) | ||||
| К1 | 10,5 | 0,0 | 0,5 | 0,5 | 2,00 | 11,5 | 9,9 | 32,3 | - | 210 |
| К2 | 10,5 | 0,4 | 0,9 | 1,0 | 1,24 | 6,0 | 5,2 | 10,5 | - | 108,8 |
| К3 | 10,5 | 5,0 | 5,2 | 7,3 | 1,05 | 0,8 | 0,7 | 1,2 | - | 15,2 |
| К4 | 10,5 | 2,9 | 3,3 | 4,4 | 1,06 | 1,4 | 1,2 | 2,1 | - | 25,1 |
| К9 | 10.5 | 1,3 | 1,7 | 2,1 | 1,10 | 2,9 | 2,5 | 4,4 | - | 52,0 |
| К5 | 0,4 | 12,7 | 21,3 | 24,8 | 1,16 | 6,4 | 5,6 | 10,5 | - | 4,4 |
| К6 | 0,4 | 97,2 | 77,1 | 124,1 | 1,02 | 1,3 | 1,1 | 1,8 | 0,431 | 0,9 |
| К7 | 0,4 | 136,7 | 103,1 | 171,2 | 1,02 | 0,9 | 0,8 | 1,3 | 0,344 | 0,6 |
| К8 | 0,4 | 210,6 | 151,9 | 259,7 | 1,01 | 0,6 | 0,5 | 0,9 | 0,250 | 0,4 |
8. Выбор оборудования подстанции ТП 1
Выбранная комплектная трансформаторная подстанция ТП1 состоит из вводного устройства 10 кВ, силового трансформатора и РУ 0.38 кВ, имеющих необходимое оборудование и аппаратуру. Дополнительно к имеющемуся оборудованию подстанции необходимо выбираем высоковольтный разъединитель.
Разъединитель для ТП1 выбирается по конструктивному исполнению, роду установки (внутренняя, наружная) и электрическим параметрам: номинальному напряжению (Uном ) и току (Iном ), термической и электродинамической устойчивости при токах КЗ. Электродинамическая устойчивость разъединителей характеризуется амплитудой (iмакс ) предельного сквозного тока КЗ, называемого иногда током электродинамической стойкости. Термическая устойчивость разъединителей характеризуется произведением действующего значения предельного тока (IТ ) термической стойкости на время (tТ ) протекания тока термической стойкости.
Выбор высоковольтного разъединителя для ТП1:
Выбираем разъединитель типа РЛНД-1-10Б/200УХЛ1 с приводом ПРНЗ-10УХЛ1 и номинальными параметрами:
Uном =10 кВ,
Iном =200 А,
iмакс =15.75 кА,
Iт =6.3 кА,
tт =3 с.
При выборе и проверке разъединителей должны соблюдаться следующие основные условия:
, (8.1)
10кВ=10кВ,
, (8.2)
200А≥7,33 А,
, (8.3)
15.75кА≥4,4А
, (8.4)
119.1≥8,41*2=16,82
где значения Uном , Iном , iмакс , Iт , tт берутся по паспортным данным разъединителей (приложение З);
Uном.уст – номинальное напряжение сети 10 кВ;
Iраб.макс – расчетное значение тока нагрузки на шинах 10 кВ ТП1, А;
iУ9 (3) – ударный ток на шинах 10 кВ ТП1, кА.
Iк9 (3) – установившееся действующее расчетное значение тока трехфазного КЗ на шинах 10 кВ ТП1, кА;
tпр – приведенное время КЗ, с; определяется по формуле:
, (8.5)
tпр=1+1=2 с
где tс.з – время срабатывания релейной защиты, с;
tо.в – собственное время отключения выключателя, с; в курсовом проекте рекомендуется принимать tпр =2-3 с.
9. Защита от токов короткого замыкания
Защита трансформатора ТП 1
Основными электрическими параметрами предохранителей для защиты трансформатора ТП1 являются: номинальное напряжение (Uном ), номинальный ток предохранителя (Iном ), номинальный ток плавкой вставки предохранителя (IВном ), номинальный отключаемый ток (Iном.откл ).
Выбираем корпус предохранителя согласно следующим соотношениям:
, (9.1)
![]()
, (9.2)
![]()
, (9.3)
![]()
где Iк2 – сверхпереходный ток трехфазного КЗ на шинах 10 кВ ТП1, кА; для сельских сетей апериодическая составляющая тока КЗ не учитывается, поэтому можно принять:
, (9.4)
где Iк2 (3) – расчетное значение тока трехфазного КЗ на шинах 10 кВ ТП1, кА.
![]()
Ток плавкой вставки предохранителя выбираем по двум условиям:
1)отстройке от тока нагрузки на шинах 10 кВ ТП 1:
, (9.5)
где kн – коэффициент надежности; рекомендуется принимать равным 1,25;
![]()
2)отстройке от бросков тока намагничивания трансформатора при его включении под напряжение:
, (9.10)
где Iтр ном – номинальный ток трансформатора, А.
![]()
Большее значение принимаем за расчетное значение тока плавкой вставки и округляем до ближайшего стандартного.
![]()
Время срабатывания выбранной плавкой вставки должно обеспечивать термическую стойкость трансформатора:
, (9.11)
где tВ
– время перегорания плавкой вставки при трехфазном КЗ на шинах 0,4 кВ ТП1, с; определяется по защитной характеристике выбранной плавкой вставки (приложение К); ![]()
tТ.У – время термической стойкости трансформатора, с; определяется по формуле 6:
, (9.12)
где
– расчетный ток трехфазного КЗ на шинах 0,4 кВ ТП 1 (точка К5
на рисунке 7.1), А;
Iтр.ном – номинальный ток трансформатора ТП 1, А.
трансформатор линия напряжение электрический подстанция
![]()
![]()
Выбираем предохранитель типа ПКТ101–10–16–20 У1
Защита отходящих от ТП 1 линий 0, 38 кВ
Защита линии W1
Выбираем корпус выключателя по его номинальному напряжению (Uном ), номинальному току (Iном ) и предельно допустимому отключаемому току КЗ (Iмакс. откл ): А3714Б
, (9.13)
![]()
, (9.14)
![]()
, (9.15)
![]()
где Uном. уст – номинальное напряжение линии W1, В;
Iраб. макс – расчетный ток нагрузки линии W1, А;
Выбираем номинальный ток полупроводникового расцепителя:
, (9.16)
![]()
, (9.17)
Определяем ток срабатывания МТЗ (в зоне токов перегрузки) полупроводникового расцепителя выключателя:
, (9.18)
![]()
Проверяем чувствительность МТЗ:
, (9.19)
где Кч – коэффициент чувствительности;
Iк6 (1) – ток однофазного КЗ в конце линии W1 (минимальный ток КЗ), А; (точка К6 на рисунке 7.1).
![]()
Определяем ток срабатывания ТО (Iс.о ) по условиям:
– отстройки от тока трехфазного КЗ (Iк6 (3) ) в конце линии W1
; (9.20)
![]()
По наибольшему значению «Iс.о » определяем уставку тока срабатывания ТО полупроводникового расцепителя выбранного типа выключателя из приложения (И):
. (9.22)
![]()
Если условие (9.22) не может быть выполнено для полупроводникового расцепителя, то выбираем по приложению (И) уставку тока срабатывания электромагнитного расцепителя:
(9.23)
![]()
Проверяем чувствительность ТО:
(9.24)
где Iк5 (2) – ток двухфазного КЗ в месте установки выключателя (на шинах 0,4 кВ ТП 1), кА.
Определяем ток срабатывания реле РЭ–571Т, включенного в нулевой провод линии W1:
. (9.25)
![]()
Проверяем чувствительность защиты от токов однофазного КЗ
. (9.26)
![]()
Защита линии W2. Выбираем автоматические выключатели токоограничивающие с тепловыми и электромагнитными расцепителями (А3716Б, А3726Б), основные характеристики которых приведены в приложении (И).
Выбираем корпус выключателя по его номинальному напряжению (Uном ), номинальному току (Iном ) и предельно допустимому отключаемому току КЗ (Iмакс. откл ). А3726Б
![]()
![]()
![]()
Выбираем номинальный ток теплового расцепителя.
,
Определяем ток срабатывания расцепителя выключателя, соответствующий его номинальному току, по приложению И. Iср.т.р. = 312, 5 (А) Проверяем чувствительность МТЗ по формуле, аналогичной (9.19):
, (9.27)
где Iс.т. р – ток срабатывания теплового расцепителя, (п.9.2.3), А;
Iк7 (1) – ток однофазного КЗ в конце линии W2, А; (соответствует точке К7 на рисунке 7.1).
![]()
Если условие не выполняется, то защита линии W 2 от однофазных КЗ будет определяться только настройкой токового реле, включаемого в нулевой провод линии.
Определяем ток срабатывания ТО (Iс. о ) по условиям (9.20) и (9.21) применительно к линии W2.
![]()
Сравниваем наибольшее значение «Iс.о » и уставку тока срабатывания электромагнитного расцепителя (Iс.э.р ) выключателя из приложения И. При правильном выборе должно соблюдаться соотношение (9.23).
![]()
![]()
Проверяем чувствительность ТО:
(9.24)
где Iк5 (2) – ток двухфазного КЗ в месте установки выключателя (на шинах 0,4 кВ ТП 1), кА. При КЧ <1,2 линия W 2 будет защищаться от междуфазных КЗ одной МТЗ.
Определяем ток срабатывания реле РЭ–571Т, включенного в нулевой провод линии W1.
![]()
Проверяем чувствительность защиты от токов однофазного КЗ
![]()
Защита линии W3
Выбираем выключатели нетокоограничивающие с тепловыми и электромагнитными расцепителями (АЕ2056М, АЕ2066).
![]()
![]()
![]()
Выбираем номинальный ток расцепителя: ![]()
Определяем ток срабатывания МТЗ (в зоне токов перегрузки) расцепителя выключателя:
![]()
Проверяем чувствительность МТЗ:
![]()
Определяем ток срабатывания ТО (Iс.о ) по условиям:
– отстройки от тока трехфазного КЗ (Iк8 (3) ) в конце линии W3
![]()
По наибольшему значению «Iс.о » определяем уставку тока срабатывания ТО расцепителя выбранного типа выключателя из приложения (И):
. (9.22)
Если условие (9.22) не может быть выполнено для полупроводникового расцепителя, то выбираем по приложению (И) уставку тока срабатывания электромагнитного расцепителя: ![]()
Дальнейший расчет не произвожу, так как в приложении (И) нет выключателя с данными параметрами.
Защита ВЛ 10 кВ
Расчет МТЗ
Определяем ток срабатывания защиты (Iс.з ) по двум условиям:
- отстройки от расчетного тока нагрузки (Iраб.макс ) головного участка (0-4) линии 10 кВ:
, (9.29)
Iс.з. = (1.3*1.1*74,6)/0.65=164,12 А
где КН , КЗ , КВ – коэффициенты надежности, самозапуска и возврата; для реле РТВ рекомендуется принимать КН =1,3; КЗ =1,1; КВ =0,65.
- условию селективности с более удаленной от шин 10 кВ защитой ТП 10/0,38 кВ плавкими предохранителями:
, (9.30)
Iс.з. =1.4*80=112 А
где Кн.п =1,4 – коэффициент надежности срабатывания плавкого предохранителя;
IВ.С – ток плавкой вставки, определенный по её защитной характеристике (приложение К) при времени перегорания t=5 с, А; номинальный ток плавкой вставки можно принять по данным 2, с.315 для самого мощного трансформатора 10/0,38 кВ ближайшего к шинам 10 кВ населенного пункта, подключенного к линии 10 кВ.
Большее значение Iс.з = 161,5 А принимается за расчетное.
Определяем ток срабатывания реле:
, (9.31)
Iс.р. =(1*164,12)/40=4,1А,
где Ксх =1 – коэффициент схемы соединения трансформаторов тока и реле (схема неполной звезды);
КI – коэффициент трансформации трансформаторов тока (ТТ):
, (9.32)
КI=200/5=40 А,
где I1н – первичный номинальный ток ТТ, А; выбирается из стандартного ряда значений: 5, 10, 15, 20, 30, 40, 50, 75, 100, 150, 200, 300 и 400 А по условию:
. (9.33)
200А
74,6 А
Выбираем уставку тока для реле РТВ из ряда значений: 5; 6; 7,5; 10; 12,5; 15; 17,5; 20; 25; 30 и 35 А по условию:
. (9.34)
5А ≥ 4,04А
Определяем уточненное значение тока срабатывания защиты:
. (9.35)
Iс.з = (40*5)/1=200 А,
Проверяем чувствительность защиты:
, (9.36)
Кч =700/200=3,5
1.5,
где Iк3 (2) – ток двухфазного КЗ в конце линии 10 кВ (минимальный ток КЗ), кА; (соответствует точке К3 на рисунке 7.1).
Расчет ТО
Выбираем ток срабатывания ТО по двум условиям:
- отстройке от максимального тока КЗ у подстанции ближайшего к шинам 10 кВ населенного пункта:
; (9.37)
где Iк2 (3) – расчетный ток трехфазного КЗ для подстанции населенного пункта 1, кА; (соответствует точке К2 на рисунке 7.1).
Iс.о. = 1.5*6000 = 9000 А,
- отстройке от броска тока намагничивания трансформаторов 10/0,38 кВ, подключенных к линии, при их включении под напряжение 6, с.130:
, (9.38)
Iс.о. ≥ 4*(1920/1.73*10) =443 А,
где Uном.уст =10 кВ;
Sтр.ном – сумма номинальных мощностей трансформаторов, питающихся от линии, кВА.
Большее значение принимается за расчетное: Iс.о. = 9000 А.
Определяем ток срабатывания реле отсечки по формуле, аналогичной (9.31):
. (9.39)
Iс.р.о. = 1*9000/60=150 А,
Выбираем уставку тока для реле РТМ из ряда значений: 5; 7,5; 10; 15; 20; 25; 30; 40; 50; 60; 75; 100; 125 и 150 А по условию, аналогичному (9.34):
. (9.40)
Iу.о. = 150
150
Определяем уточненное значение тока срабатывания ТО:
(9.41)
Iс.о. = 60*150/1=9 кА,
Проверяем чувствительность защиты:
, (9.42)
Кч = 11,5/9=1,3
1.2
где Iк1 (3) – ток трехфазного КЗ в месте установки ТО на шинах 10 кВ (максимальный ток КЗ), кА; (соответствует точке К1 на рисунке 7.1).
10. Согласование защит
Действие максимальных токовых защит должно быть согласовано по времени так, чтобы поврежденный элемент электропередачи отключался ближайшей к нему защитой.
Строим характеристику защиты линии W2, используя результаты расчета (п.9.2) и характеристику времени срабатывания автоматического выключателя А3726Б.
Таблица 10.1. Характеристика времени срабатывания выключателя А3726Б
| I/Iн . р | 1,25 | 2 | 3 | 4 | 5 | 6 |
| I, А | Iс.р =312,5 | 500 | 750 | 1000 | 1250 | 1500 |
| t, с | 1100 | 100 | 35 | 20 | 15 | 10 |
| I/Iн.р | 7 | 8 | 9 | 10 | 10 | – |
| I, А | 1750 | 2000 | 2250 | 2500 | Iс.р =2500 | |
| t, с | 7 | 5 | 5 | 3 | 3 |

Рисунок 10.1 Характеристика времени срабатывания выключателя А3726Б линии W2.
Характеристика защиты трансформатора ТП 1.
Значение токов плавкой вставки ПКТ101–10–16–20 У1 пересчитываем на напряжение 0,38 кВ (Iнн ). Результаты заносим в таблицу 10.2.
Таблица 10.2. Защитная характеристика предохранителя ПКТ101–10–16–20 У1 при номинальном токе плавкой вставки IВном =16 (А)
| I, А | 30 | 40 | 50 | 60 | 70 | 80 | |
| t, c | 6000 | 50 | 10 | 2,5 | 1 | 0,6 | |
| Iнн , А | 750 | 1000 | 1250 | 1500 | 1750 | 2000 | |
| I, А | 90 | 100 | 200 | 300 | |||
| t, c | 0,4 | 0,35 | 0,05 | 0,02 | 0,015 | ||
| Iнн , А | 2250 | 2500 | 5000 | 7500 | 8975 | ||

Рисунок 10.2 Характеристика времени срабатывания предохранителя ПКТ101–10–16–20 У1.
Характеристика защиты линии 10 кВ.
1) Для МТЗ: Iс.р =9, 911 (А); Iу =10 (А); Iс.з = 200 (А); уставка по времени в независимой части кривой – 2 с;
2) Для ТО: Iс.р.о = 39, 075 (А); Iуо = 40 (А); Iс.о =8000 (А); Iк1 (3) =11547 (А).
Таблица 10.3 Характеристика срабатывания защиты ВЛ. 10 кВ с реле РТВ и РТМ
| I/Iс . з | 1,0 | 1,1 | 1,2 | 1,3 | 1,4 | 1,5 | 1,6 |
| I, А | 200 | 220 | 240 | 260 | 280 | 300 | 320 |
| t, c | 9 | 6,5 | 4,5 | 3,5 | 2,7 | 2,2 | 2 |
| Iнн , А | 5000 | 5500 | 6000 | 6500 | 7000 | 7500 | 8000 |
| 1,7 | 1,8 | 1,9 | 2 | 3 | 3,5 | 4 | 57,735 |
| 340 | 360 | 380 | 400 | 600 | 700 | Iсо =800 | |
| 2 | 2 | 2 | 2 | 2 | 2 | 0,1 | 0,1 |
| 8500 | 9000 | 9500 | 10000 | 15000 | 17500 | 20000 | 288675 |

Рисунок 10.3 Характеристика времени срабатывания РТВ и РТМ

Рисунок 10.4 Карта согласования защит линии 0, 38 кВ трансформатора ТП 1 и линии 10 (кВ)
Вывод: Автоматический выключатель, защищающий линию W2 нечувствителен к трехфазным коротким замыканиям, как при МТЗ, так и при МФТО. Линия W2 будет отключаться при трех фазном коротком замыкании неселективно предохранителем ПКТ101–10–16–20 У1, а в случае его отказа отключится фидер на ПС 10/ 0, 4 кВ.
МФТО – межфазная токовая отсечка.
11. Технико - экономическая часть
Спецификация на оборудование и материалы.
Таблица 11.1 Полная мощность нагрузки для населённых пунктов, мощность и число потребительских КТП 10/0.38
| Пункт | РДО, кВт | РДП, КВт | Рво, кВт | Рвп, кВт | cosД | cosВ | Sд, кВА | Sв, кВА | nтп, шт. |
Sтп, кВА |
|||
| 6 | 100 | 60 | 160 | 80 | 0,78 | 0,85 | 128,2 | 188,2 | 2 | 160 | |||
| 5 | 400 | 300 | 420 | 250 | 0,74 | 0,825 | 540,5 | 509,1 | 2 | 250 | |||
| 4 | 160 | 60 | 190 | 85 | 0,825 | 0,87 | 193,9 | 218,4 | 2 | 100 | |||
| 3 | 160 | 100 | 200 | 100 | 0,78 | 0,85 | 205,1 | 235,3 | 2 | 160 | |||
| 2 | 167,5 | 81,2 | 171,44 | 53,82 | 0,725 | 0,825 | 324,1 | 247,3 | 2 | 160 | |||
| 1 | 200 | 70 | 230 | 75 | 0,81 | 0,87 | 206,79 | 197,06 | 2 | 160 | |||
Таблица 11.2 Спецификация оборудования
| Поз. | Обозначение | Наименование | Кол-во | Масса ед.,кг |
Приме чание |
| 1 | КРУН | Ячейка КРУН 10 кВ | 1 | РТП | |
| 35/10 кВ | |||||
| 2 | ТП | Трансформаторные под- | 12 | КТП | |
| станции 10/0,38 кВ | 10/0,38- | ||||
| 160, 100, | |||||
| , 250 | |||||
| 3 | Провода линии 10 кВ | 16 | АС70/11 | ||
| км | |||||
| 4 | Изоляторы для ВЛ 10 кВ | 2257 | ШФ-10 | ||
| 5 | Опоры ВЛ 10 кВ | 545 | ЖБ | ||
| 6 | Разъединители ТПрасч. | 2 | РЛНД-1- | ||
| 10Б/200 | |||||
| УХЛ1 | |||||
| 7 | Провода ВЛ 0,38 кВ | 1,1 | А50 | ||
| км | |||||
| 8 | Изоляторы, ВЛ 0,38 кВ | 150 | НС-18 | ||
| 9 | Линейная арматура, 0,38 кВ | ||||
| 10 | Опоры ВЛ 0,38 кВ | 30 | ЖБ |
Расчет себестоимости передачи и распределения электрической энергии до шин 0,4 кВ
Определяются капитальные затраты на сооружение ВЛ 10 кВ и подстанций 10/0,38 кВ. Расчет рекомендуется вести по укрупненным показателям, в учебных целях допускается использовать значения показателей в ценах 1990 года. Результаты расчета сводятся в таблицу 11.1
Таблица 11.3
№ п/п |
Наименование элемента электропередачи |
Количество |
Кап. затраты, тыс. руб. | |
| На единицу оборудования | Всего |
|||
| 1 | Ячейка КРУН 10 кВ | 1 шт. | 3.5 | 3.5 |
| 2 | ВЛ 10 кВ | 16 км | 3.0 | 48 |
| 4 | КТП 10/0,38 кВ-100 | 3 | 1.75 | 5,3 |
| 5 | КТП 10/0,38 кВ-160 | 7 | 2.06 | 14,4 |
| 6 | КТП 10/0,38 кВ-250 | 2 | 2.41 | 4,8 |
Суммарные капиталовложения:
, (11.1)
где Ккрун , Квл10 и Кпс – капитальные затраты на ячейку КРУН, ВЛ 10 кВ и подстанции 10/0,38 кВ, руб.
К=3.5+48+(5,3+14,4+4,8)=76 тыс. руб.
Определяются годовые издержки на эксплуатацию электрической сети 10 кВ:
, (11.2)
И=3520+4000+4431=11951 руб.
где ИА , ИОБ , ИП – издержки на амортизацию и капитальный ремонт; на обслуживание; на потери электрической энергии; руб./год.
,
ИА=(3.5*6.4/100)+(48*3.6/100)+( (5,3+14,4+4,8)*6.4/100)=
= 3,52 тыс. руб./год
где РА.КРУН , РА.ВЛ , РА.ПС – нормы амортизационных отчислений для ячейки КРУН, ВЛ 10 кВ и подстанций 10/0,38 кВ, %;
, (11.4)
где nуе КРУН , nуе ВЛ , nуе ПС – сумма условных единиц по обслуживанию ячейки КРУН, ВЛ 10 кВ и подстанций 10/0,38 кВ;
- затраты на обслуживание одной условной единицы, руб.; могут быть приняты равными 28 руб. в год
ИОБ=0.028*(16.3+1,7*48+4*12)=4 тыс. руб./год
, (11.5)
где Ип ВЛ , Ип ТР – издержки на потери электрической энергии в линиях 10 кВ и в трансформаторах подстанций 10/0,38 кВ, руб./год.
ИП=1481+2950=4431 руб./год.
, (11.6)
ИП.ВЛ=54509,3 *2.69*0.01=1481 руб./год
Свл = М+N/h =0.84+5000/2700 = 0.84+1.85=2.69 коп./(кВт*час)
, (11.7)
ИП.ТР1,1=((127/160)²*2.65*1100*4.46+0.565*8760*1.56)*0.01=157.8 руб./год.
Ск= М+N/h =0.87+6100/1700=4.46 коп./(кВт*час),
Сх= М+N/h =0.87+6100/8760=0.87+0.69=1.56 коп./(кВт*час).
∑ИП.ТР=2950 руб/год
Рассчитывается переданная за год по линиям 10 кВ энергия:
, (11.8) Wгод=1098,9*3417=3754941,3 кВт*ч/год
где Ррасч – максимальная расчетная активная мощность (дневного или вечернего максимума) нагрузки на головном участке ВЛ 10 кВ, кВт;
Тм – время использования максимальной нагрузки, ч;
, (11.9)
При =1900 ч, Тм =3417 ч
Определяется себестоимость 1 кВтч электрической энергии (руб/кВтч), отпускаемой с шин 0,4 кВ подстанций 10/0,38 кВ:
, (11.10)
Сш0,4=(0.024+0.033+(76000*0.12+11951)/ 3754941,3)* 40=
=2.51 руб./кВтч
где Зс =0,024 руб/кВтч;
Зв =0,033 руб/кВтч;
Ен =0,12
12. Трансформаторы напряжения
Трансформаторы напряжения выполняют как внутренней, так и для наружной установки на всю шкалу напряжений, начиная от 380 В. Однофазный трансформатор напряжения состоит из замкнутого сердечника и двух обмоток. Первичная обмотка включена на напряжение сети, а к вторичной обмотке присоединяют параллельно обмотки приборов и реале.
Соотношение номинальных первичного и вторичного напряжений определяется номинальный коэффициентом трансформации, который приблизительно равен отношению чисел витков первичной и вторичной обмоток:
n= U1н/U2н≈W1/W2
принцип действия, устройство и схемы включения трансформаторов напряжения аналогичны силовым трансформаторам. Однако их номинальная мощность не велика.
Погрешность по напряжению вносит ошибку в показания всех приборов, ее следует так же учитывать при анализе работы реале напряжения, мощности и др., получающих другую информацию трансформатора напряжения. Угловая погрешность имеет значение только для ваттметров, счетчиков, фазометров и других подобных приборов, а так же реле ваттметрового типа, у которых измерение угла вызывает дополнительную ошибку.
Погрешности практически зависят от конструкции магнитопровода, магнитной проницаемости стали, от значения и коэффициента мощности вторичной нагрузки, от первичного напряжения.
Трансформатор напряжения может работать в разных классах точности в зависимости от его вторичной нагрузки. Номинальная нагрузка трансформатора напряжения – это наибольшая нагрузка, при которой погрешности не выходят за допустимые пределы, установленные для трансформаторов данного класса. На паспортной табличке трансформатора напряжения указывают возможный наивысший для него класс точности.
Промышленность изготовляет трансформаторы напряжения различных типов, однофазные и трехфазные, для внутренней и наружной установок. В зависимости от назначения трансформаторы напряжения имеют различные схемы соединения обмоток. Схема с одним однофазным трансформатором НОМ, обеспечивающая измерение одного линейного напряжения. Схема с двумя однофазными трансформаторами, соединенными по схеме открытого треугольника, позволяет измерять все три линейных напряжения. Для измерения всех линейных и фазных напряжений можно использовать схему с тремя однофазными трансформаторами. Схема с трехфазным трехстержневым трансформатором дает возможность измерить три линейных напряжения. В сельских электрических сетях широко используется трехфазные пятистержневые трансформаторы НТМИ с двумя вторичными обмотками. При этом обмотку, соединенную в звезду, используют для присоединения измерительных приборов, а к обмотке, соединенной в разомкнутый треугольник. Присоединяют реле контроля изоляции. На выводах этой обмотки в нормальном рабочем режиме и при междуфазных к.з. напряжение близко к нулю, а при однофазном замыкании на землю появляется утроенное напряжение нулевой последовательности. Поэтому. Хотя однофазное замыкание на землю в сети незаземленной нейтралью не является короткими замыканием и сопровождается относительно небольшим током, на который обычно не реагирует релейная защита, реле контроля изоляции обеспечит четкую сигнализацию о наличии этого ненормального режима. Учитывая, что при металлических замыканиях на землю напряжение поврежденной фазы становится равным нулю, а двух других фаз увеличивается, по показаниям вольтметров, включенных на фазные напряжениям вольтметров, включенных на фазные напряжения вторичной обмотки, легко установить поврежденную фазу.
Заземление нейтрали первичной обмотки трансформатора НТМИ требуется для создания контура током нулевой последовательности. Заземление вторичной обмотки необходимо для обеспечении безопасности персонала. Дополнительные два стержня пятистержневого магнитопровода, кроме трех основных с фазными обмотками. Необходимы для замыкания магнитных потоков нулевой последовательности. Схему, аналогичную трансформатору НТМИ, можно собрать также из однофазных трансформаторов типа ЗНОМ – однофазных трехобмоточных с заземленным выводом первичной обмотки.
Промышленность выпускает трехфазные трансформаторы на напряжение до 18 кВ, однофазные на все стандартные напряжения.
На установках на напряжение 6кВ и выше используют трансформаторы напряжения с масляной изоляцией. При этом обмотки и магнитопровод залиты маслом и помещены в металлические бачки при напряжении 6…35кВ и в фарфорный кожух при напряжении 110кВ и выше.
Заключение
В процессе выполнения курсового проекта на тему «Электроснабжение сельского населённого пункта» по дисциплине «Электроснабжение» по заданному району, включающему шесть населённых пунктов, был произведён расчет линии 10 кВ и линии 0.38 кВ заданного населённого пункта. Он включает расчет электрических нагрузок населенного пункта, определение мощности и выбор трансформаторов, электрический расчет воздушной линии напряжением 10 кВ, построение таблицы отклонений напряжения, электрический расчет воздушной линии напряжением 0,38 кВ, конструктивное выполнение линий напряжением 0,38 кВ, 10 кВ и подстанции 10/0,38 кВ, расчет токов короткого замыкания, выбор оборудования подстанции ТП 1, расчет защиты от токов короткого замыкания, согласование защит, технико-экономическую часть, а также спецвопрос.
Курсовое проектирование – важная составляющая при получении высшего образования. Оно позволяет закрепить, углубить и обобщить теоретические знания, полученные в процессе изучения технических дисциплин и повысить уровень знаний студентов. Также развиваются навыки самостоятельного решения инженерных задач.
Литература
1) Методические указания к выполнению курсового проекта по дисциплине «Электроснабжения» Ижевск: ИжГСХА, Кочетков Н.П. 2004 – 74 с.
2) Будзко И.А., Зуль Н.М. Электроснабжение сельского хозяйства. – М.: Агропромиздат, 1990. – 496 с.
Похожие рефераты:
Электроснабжение 8-го микрорайона города Оренбурга
Реконструкция подстанции "Гежская" 110/6 кВ
Разработка вопросов энергосбережения за счет использования ветроэнергетической установки
Совершенствование электротехнической службы Бердюжского РЭС ОАО "Тюменьэнерго"
Совершенствование электрификации МТФУХ "Кокино"
Разработка Мыковского карьера лабрадоритов
Электрические нагрузки промышленных предприятий
Реконструкция системы электроснабжения жилого микрорайона города
Компенсация реактивной мощности в системах электроснабжения с преобразовательными установками
Линия электропередачи напряжением 500 кВ
Синхронные машины. Машины постоянного тока
Проект новой подстанции для обеспечения электроэнергией нефтеперерабатывающего завода