| Похожие рефераты | Скачать .zip |
Реферат: Предпринимательство и его виды
Введение.
Любая нация гордится плодами деятельности своих предпринимателей. Но любая нация и каждый ее отдельный представитель гордятся и своей причастностью к воплощению какой-либо конкретной предпринимательской идеи. Предпринимательство как одна из конкретных форм проявления общественных отношений способствует не только повышению материального и духовного потенциала общества, не только создает благоприятную почву для практической реализации способностей и талантов каждого индивида, но и ведет к единению нации, сохранению ее национального духа и национальной гордости.
Сейчас мы все являемся свидетелями кризисного состояния нашей экономики, обесценения национальной валюты и падения жизненного уровня населения. За годы независимости правительство не смогло активизировать деятельность частных предпринимателей, создать благоприятные условия для их роста. Недавно один известный политик сказал, что этот кризис откинул Украину и Россию на 3 года назад, что примерно столько понадобится, для того чтобы достичь уровня 17 августа 1998 года. Это означает, что мы практически заново становимся перед проблемой развития предпринимательства. Значит все вышеперечисленные черты предпринимательства не нашли отражения в конкретных действиях ни со стороны государства, ни со стороны населения, что и привело к данному кризису. Традиционная коммунистическая модель общественного развития всегда базировалась на необходимости подавления предпринимательского духа в обществе и предпринимателя как носителя такого духа. Опыт перестройки (особенно ее начального периода) показал, что, отказываясь на словах от традиционной коммунистической модели общественного развития, фактически мы во многом продолжаем именно эту линию. Всеобщее неприятие предпринимательства постепенно переходит в осознание необходимости создания условий для его быстрейшего и эффективного развития.
За предпринимательством в Украине будущее, процесс накопления критической массы неизбежно приведет к "предпринимательскому буму". Поэтому на данном этапе важно изучить поведение предпринимателя, чтобы в последствии не допускать ошибок, сделанных ранее. В своей работе я постараюсь раскрыть сущность предпринимательства, дать ему четкое определение, рассмотреть такие важные элементы, как предпринимательская среда, партнерские связи и отношения. Во второй части я остановлюсь на субъектах и видах предпринимательства, особенно подробно рассмотрев один из самых распространенных на Украине видов деятельности - посреднического предпринимательства. В третьей части будет проведен анализ проблем, перспектив предпринимательства в Украине, а также мер по выходу из создавшегося положения.
Сущность предпринимательства.
1. Определение предпринимательства.
На сегодняшний день в мире не существует общепринятого определения предпринимательства. Американский ученый, профессор Роберт Хизрич определяет "предпринимательство как процесс создания чего-то нового, что обладает стоимостью, а предпринимателя — как человека, который затрачивает на это все необходимое время и силы, берет на себя весь финансовый, психологический и социальный риск, получая в награду деньги и удовлетворение достигнутым1". В американской учебной и научной литературе дается множество других определений, характеризующих предпринимательство и предпринимателя с экономической, политэкономической, психологической, управленческой и других точек зрения.
Кэмпбелл Макконнелл и Стэнли Брю в своей книге раскрывают значение термина предпринимательство через четыре функции предпринимателя:2
Предприниматель берет на себя инициативу соединения ресурсов земли, капитала и труда в единый процесс производства товара или услуги. Выполняя роль свечи зажигания и катализатора, предприниматель одновременно является движущей силой производства и посредником, сводящим вместе другие ресурсы для осуществления процесса, который обещает быть прибыльным делом.
Предприниматель берет на себя трудную задачу принятия основных решений в процессе ведения бизнеса, то есть те нерутинные решения, которые и определяют курс деятельности предприятия.
Предприниматель - это новатор, лицо, стремящееся вводить в обиход на коммерческой основе новые продукты, новые производственные технологии или даже новые формы организации бизнеса.
Предприниматель - это человек, идущий на риск. Это следует из тщательного изучения других трех его функций. В капиталистической системе предпринимателю прибыль не гарантирована. Вознаграждением за затраченные им время, усилия и способности могут оказаться заманчивые прибыли или убытки и в конце концов банкротство. Короче говоря, предприниматель рискует не только своим временем, трудом и деловой репутацией, но и вложенными средствами - своими собственными и своих компаньонов или акционеров.
Ни за рубежом, ни у нас пока еще не создана общепринятая экономическая теория предпринимательства, хотя потребность в такой теории давно уже стала весьма насущной. "Три волны" развития теории предпринимательской функции — так условно можно охарактеризовать развитие процесса научного осмысления практики предпринимательства.
"Первая волна", которая возникла еще в XVIII в., была связана с концентрацией внимания на несении предпринимателем риска. "Вторая волна" в научном осмыслении предпринимательства связана с выделением инновационности как его основной отличительной черты. "Третья волна" отличается сосредоточением внимания на особых личностных качествах предпринимателя (способность реагировать на изменения экономической и общественной ситуации, самостоятельность в выборе и принятии решений, наличие управленческих способностей) и на роли предпринимательства как регулирующего начала в уравновешивающей экономической системе.
Современный этап развития теории предпринимательской функции можно отнести к "четвертой волне", появление которой связывается с переносом акцента на управленческий аспект в анализе действий предпринимателя, а следовательно — с переходом на междисциплинарный уровень анализа проблем предпринимательства.
В настоящее время в теоретических исследованиях уделяется внимание не только предпринимательству как способу ведения дел на самостоятельной, независимой основе, но и внутрифирменному предпринимательству, или интрапренерству. Термин "интрапренер" был введен в оборот американским исследователем Г. Пиншо. Он же впервые использовал и другой термин, производный от первого, — "интракапитал".
Появление интрапренерства связано с тем фактором, что многие крупные производственные структуры переходят на предпринимательскую форму организации производства. Поскольку предпринимательство предполагает обязательное наличие свободы творчества, то подразделения целостных производственных структур получают право на свободу действий, что подразумевает и наличие интракапитала — капитала, необходимого для реализации идей, лежащих в основе внутрифирменного предпринимательства3.
Предпринимательство — это особый вид экономической активности (под которой мы понимаем целесообразную деятельность, направленную на извлечение прибыли), которая основана на самостоятельной инициативе, ответственности и инновационной предпринимательской идее.
Экономическая активность представляет собой форму участия индивида в общественном производстве и способ получения финансовых средств для обеспечения жизнедеятельности его самого и членов его семьи. Такой формой участия индивида в общественном производстве является одна общественная функциональная обязанность или их комбинация, когда он выступает в качестве:
• собственника каких-либо объектов, недвижимости и т. д., приносящих ему постоянный и гарантированный доход (собственник предприятия или дома, сдаваемого в аренду, и т. д.);
• наемного работника, продающего свою рабочую силу (токарь на заводе, учитель в школе и т. д.);
• индивидуального производителя ("свободный" художник, живущий на доходы от реализации своих произведений, или водитель, использующий автомобиль в качестве такси и живущий на доходы от такой деятельности, и т. д.);
• государственного или муниципального служащего;
• менеджера (управляющий чужим предприятием);
• пенсионера (пассивная форма участия в общественном производстве как следствие прошлой активности);
• учащегося или студента (как подготовительный этап к участию в будущем общественном производстве в какой-либо конкретной форме);
• безработного (как вынужденная форма неучастия или приостановки участия в общественном производстве);
• занятого оборонно-охранной деятельностью (армия, милиция, госбезопасность);
• вовлеченного в экономически преступную деятельность (рэкет, воровство и др.).
Предпринимательство выступает в качестве особого вида экономической активности, ибо его начальный этап связан, как правило, лишь с идеей — результатом мыслительной деятельности, впоследствии принимающей материализованную форму.
Предпринимательство характеризуется обязательным наличием инновационного момента, — будь то производство нового товара, смена профиля деятельности или основание нового предприятия. Новая система управления производством, качеством, внедрение новых методов организации производства или новых технологий — это тоже инновационные моменты.
2. Предпринимательская среда.
Целью предпринимательской активности является производство и предложение рынку такого товара, на который имеется спрос и который приносит предпринимателю прибыль. Прибыль — это излишек доходов над расходами, получаемый в результате реализации принятого предпринимательского решения по производству и поставке на рынок товара, в отношении которого предпринимателем выявлен не удовлетворяемый или скрытый спрос потребителя.
Однако получение прибыли свойственно не только предпринимательской, но и любой другой форме деловой активности. В этой связи важно обратить внимание на выделение такой экономической категории, как предпринимательская прибыль, или предпринимательский доход. Доходы от инновационной деятельности, т. е. от введения новых методов и приемов организации производства, и составляют предпринимательский доход. Под предпринимательским доходом следует понимать прежде всего дополнительный доход, доход от управления, излишек, получаемый предпринимателем благодаря его природным качествам или особому умению анализировать и по-новому комбинировать факторы производства в зависимости от внешних условий.
Другими словами, прибыль предпринимателя (если речь идет действительно о предпринимателе, а не об обычном деловом человеке) складывается как бы из двух элементов:
• обычная прибыль делового человека;
• излишек над обычной прибылью делового человека.
Второй элемент и выступает в качестве предпринимательского дохода (прибыли), т. е. формы общественного вознаграждения за проявленный инновационный подход, новаторство в производстве.
Всякий предприниматель, таким образом, выступает в качестве делового человека, но не всякий деловой человек может быть отнесен к категории предпринимателей, если речь идет о действительном феномене предпринимателя.
Развитие предпринимательства возможно лишь при наличии необходимых субъектов такого рода деятельности. Эти субъекты и делают возможным развитие рыночных отношений (а не наоборот, как это видится многим в Украине). Появление субъектов предпринимательства подразумевает наличие определенной общественной ситуации, когда идеологическая, политическая и социально-экономическая обстановка провоцирует "предпринимательский бум".
Осуществление предпринимательской деятельности на эффективном уровне, таким образом, возможно лишь при наличии определенной общественной ситуации — предпринимательской среды, под которой понимается прежде всего рынок, рыночная система отношений, а также личная свобода предпринимателя, т. е. его личная независимость, позволяющая принять такое предпринимательское решение, которое, с его точки зрения, будет наиболее эффективным, действенным и максимально прибыльным.
3. Партнерские связи и отношения.
В современных условиях хозяйствования каждый предприниматель функционирует в условиях достаточно глубокой специализации производства, возникшей на основе разделения труда. Рассмотрим подробнее сущность и значение партнерских связей и отношения, которые при этом возникают.
Любой предприниматель нуждается в эффективных партнерских связях: только в таком случае он может эффективно действовать в рамках того или иного фрагмента целостного процесса. Идеальной является ситуация, когда все предприниматели образуют относительно изолированную от общего экономического процесса цепочку партнерских связей.
В условиях рынка от предпринимателя требуется умение — и даже предрасположенность — действовать в союзе с другими предпринимателями и вести постоянный поиск наиболее эффективных партнерских связей, в ходе которого предприниматель осуществляет переориентацию своей деятельности.
Партнерские связи (реальные и потенциальные) играют весьма важную роль в предпринимательстве. Каждый предприниматель при планировании своей деятельности, при разработке бизнес-плана обязательно учитывает возможность установления необходимых партнерских связей. К примеру, если Вы планируете производить, скажем, кухонную мебель, то Вы, естественно, обязательно постараетесь определить, где, у кого и на каких условиях предположительно (и есть ли такая возможность) Вы сможете приобретать все необходимое для организации производства (древесину, иные компоненты, фурнитуру, оборудование, машины и т. д.). Без такого подхода невозможно планирование предпринимательской деятельности.
Выбор партнерских связей зависит от целого ряда факторов. Партнерские связи можно классифицировать следующим образом.
1. Долговременные (или постоянные).
2. Кратковременные (или на определенный срок).
3. Случайные.
Таким образом, при планировании своей деятельности предприниматель рассматривает партнера (партнеров) как субъект предпринимательского процесса, от формы взаимоотношений с которым зависит уровень эффективности его деятельности.
Рассмотрим принципиальную схему предпринимательской операции, на которой изображены ее участники и возникающие между ними в процессе операции связи, отношения, товарные и денежные потоки, обмены (рис. 1). Чтобы реализовать операцию, заключающуюся в итоге в продаже потребителя, покупателям товара Т за деньги Дт, предприниматель, должен первоначально обладать факторами, средствами предпринимательской деятельности. Частично они могут быть у него в наличии, частично ему приходится приобретать их. Основным фактором предпринимательства, как и любого другого вида деятельности, является рабочая сила. Наряду с собственным трудом предприниматель привлекает рабочую силу Рc в виде наемных работников, которым уплачивает за их труд денежное вознаграждение, заработную плату Др (Включая отчисления на социальное страхование работников).

Рисунок 1.
В большинстве видов предпринимательства для выполнения предпринимательской операции нужны материальные ресурсы в виде сырья, материалов, энергии, готовых товаров. Приобретая недостающие материальные ресурсы М и у их обладателей, предприниматель уплачивает им денежные средства Дм, то есть получает материалы в обмен на деньги. Иногда материальные ресурсы приобретаются путем бартерного обмена. При коммерческом предпринимательстве приобретенные материальные ресурсы могут быть в виде готового товара. Третий важнейший вид необходимых для предпринимательства факторов, средств представляют основные фонды в виде зданий, сооружений, помещений , машин, оборудования, аппаратуры, вычислительной и организационной техники . Отсутствующие у предпринимателя основные фонды Оф приходится приобретать, арендовать у их обладателей за деньги До. Для проведения большинства предпринимательских операций нужна информация в виде сведений, данных, чертежей, технологий, проектов, знаний, документов. Информация в наше время тоже стоит денег. Чтобы получить недостающую информацию И, предприниматель должен заплатить за нее деньги Ди. Наряду с упомянутыми факторами предпринимателю могут понадобится работы и услуги, которые он не способен выполнить собственными силами. За предоставление услуг У надо уплатить деньги Ду. Проводя предпринимательскую операцию, предприниматель затрачивает и собственные ресурсы в виде своей рабочей силы, материалов, денежных средств, информации. Это внутренние затраты, но и они стоят денег, общая сумма которых равна Двн. Кроме всех указанных ресурсов и форм их получения предпринимателю зачастую приходится прибегать к приобретению отдельных ресурсов в долг, в виде займа. Ведь ему нужны ресурсы, средства еще до того, как они будут возмещены, окуплены в результате продажи товаров и получения денежной выручки Дт. Следовательно предпринимателю необходим начальный капитал. Если такого капитала нет, то приходится его заимствовать. Заимствование может иметь место в натуральной, вещественной и денежной формах. Предоставление предпринимателю материальных средств предпринимательской деятельности в виде зданий, помещений, оборудования, машин, других видов материальных ресурсов на определенное время и на условиях внесения платы называют арендой. Иногда договор аренды заключается с правом последующего выкупа арендатором арендуемого имущества. Чаще заимствование происходит в форме получения денежного кредита у обладателей денежных средств, скажем в банке. Получив кредит, затем придется его вернуть в сумме Дв, превышающей Дк, то есть уплатить проценты за ссуду Дс. Очевидно что
Дс = Дв-Дк
В итоге предприниматель несет денежные затраты Дз на осуществление операции, которые определяются путем суммирования всех издержек
Дз = Др + Дм + До + Ди + Ду + Двн + Дс
Если предприниматель осуществляет операцию успешно и получает выручку за проданный товар Дт, превышающую затраты Дз, то в итоге операции образуется прибыль Пр, исчисляемая
Пр = Дт - Дз
Однако, эта прибыль которую называют валовой прибылью или доходом, не достается предпринимателю полностью. Он получает только часть ее, ибо надо еще уплатить налоги, внести платежи финансовым органам в общей сумме Дн. Это, как мы уже знаем из ранее изученного, из жизни разнообразные налоги, платежи, такие как налог на добавленную стоимость, налог на прибыль и т.д. Величина налогов и платежей зависит от вида предпринимательской деятельности, используемых ресурсов, предоставляемых льгот. В итоге чистая, остаточная прибыль ПРч, которую получает предприниматель в итоге операции, равна
ПРч = Дт - Дз - Дн.
Предпринимательство обычно считается целесообразным, если валовая прибыль составляет не менее 20% от уровня затрат.
Виды предпринимательства.
1. Субъекты предпринимательской деятельности.
Основным субъектом предпринимательской активности выступает предприниматель. Однако предприниматель — не единственный субъект, в любом случае он вынужден взаимодействовать с потребителем как основным его контрагентом, а также с государством, которое в различных ситуациях может выступать в качестве помощника или противника. И потребитель и государство также относятся к категории субъектов предпринимательской активности, как и наемный работник (если, конечно, предприниматель работает не в одиночку), и партнеры по бизнесу (если производство не носит изолированного от общественных связей характера) (рис. 2).
Р
исунок
2.
Субъекты
предпринимательской
деятельности
Во взаимоотношениях предпринимателя и потребителя предприниматель относится к категории активного субъекта, а потребителю свойственна, прежде всего пассивная роль. При анализе стороны этих взаимоотношений потребитель выполняет роль индикатора предпринимательского процесса. Это понятно, поэтому все то, что составляет предмет деятельности предпринимателя, имеет право на реализацию только в случае позитивной (положительной) экспертной оценки потребителя. Такая оценка осуществляется потребителем и выступает как готовность последнего приобрести тот или иной товар. Предприниматель, при планировании и организации своей деятельности никоим образом не может игнорировать настроения, желания, интересы, ожидания, оценки потребителя.
У предпринимателя в условиях рыночной системы отношений нет иного пути воздействия на потребителя, кроме как действовать в унисон с его интересами. Однако такая ситуация вовсе не означает, что предприниматель обязан действовать только в строгом соответствии с уже выявленными интересами потребителя. Сам предприниматель может формировать спрос потребителя, создавать новые покупательские потребности (ну кто из потребителей предполагал приобрести видеомагнитофон, когда он еще не производился, а только готовился к производству?). К этому как раз и сводится положение о двух способах организации предпринимательской активности: на основе выявленного интереса потребителя или на основе "навязывания" ему нового товара.
Таким образом, целью предпринимателя выступает необходимость "завоевать' потребителя, создать круг собственных потребителей.
Основными средствами воздействия предпринимателя на потребителя выступают следующие факторы:
• новизна товара и его соответствие интересу потребителя;
• качество;
• цена, доступность товара;
• степень универсальности товара;
• внешний вид и упаковка;
• позитивные отличительные характеристики товара от товаров других производителей и возможность потребителя ознакомиться с такими отличиями;
• возможность воспользоваться услугами послепродажного сервиса;
• соответствие общепринятым или государственным стандартам;
• престижность и привлекательность рекламы товара и т. д.
Вывод, который можно было бы сделать из рассматриваемой проблемы, сводится к следующему: если с точки зрения общественного производства именно предприниматель выступает в роли активного субъекта, то с точки зрения самого предпринимательского процесса, его содержания и эффективности активную роль играет потребитель, и предприниматель не может игнорировать этот факт.
Роль государства как субъекта предпринимательского процесса может быть различной в зависимости от общественных условий, ситуации, складывающейся в сфере деловой активности, и тех целей, какие ставит перед собой государство.
В зависимости от конкретной ситуации государство может быть:
• тормозом развития предпринимательства, когда оно создает крайне неблагоприятную обстановку для развития предпринимательства или даже запрещает его;
• посторонним наблюдателем, когда государство прямо не противодействует развитию предпринимательства, но в то же время и не способствует этому развитию;
• ускорителем предпринимательского процесса, когда государство ведет постоянный и активный поиск мер по вовлечению в предпринимательский процесс новых экономических агентов (нередко такая целенаправленная деятельность государства вызывает "взрыв" предпринимательской активности и приводит к "буму" предпринимательства).
Каковы же функции государства как ускорителя предпринимательского процесса?
Во-первых, государство берет на себя образовательные функции, т. е. функции по профессиональной подготовке и воспитанию предпринимательских кадров
Во-вторых, государство поддерживает в финансовом отношении только что вступивших или вступающих в сферу деловой активности предпринимателей.
В-третьих, государство обычно также берет на себя функции создания для предпринимателей требуемой предпринимательской инфраструктуры.
Наемный работник как реализатор идей предпринимателя также относится к группе субъектов предпринимательского процесса. Именно от него зависит эффективность и качество реализации предпринимательской идеи.
Известно, что каждому экономическому субъекту свойственны свои собственные интересы. Что касается предпринимателя и наемного работника, то часть их планов совпадает (чем выше прибыль, тем выше заработная плата, к примеру), а часть носит полярно противоположный характер (предприниматель не заинтересован в высокой оплате труда, а наемный работник заинтересован). В таких случаях стороны вынуждены идти на поиск компромиссных вариантов, что, в общем-то, и составляет основу взаимоотношений этих двух субъектов предпринимательского процесса.
В рамках таких взаимоотношений предприниматель обозначает для себя определенные проблемы в своей повседневной деятельности и старается разрешить их с наибольшим эффектом. Какие же это проблемы?
Прежде всего, подбор кадров нужной специализации и требуемого уровня квалификации. Эта проблема разрешается двумя возможными путями:
• подготовка таких кадров на собственной информационной и финансовой базе (но такой путь не всегда эффективен по понятным причинам);
• привлечение кадров, занятых в других предпринимательских или производственных структурах, для чего требуется создание для работников лучших, более привлекательных .
Другой проблемой выступает необходимость вовлечения наемного работника в интерес предпринимательской структуры. При этом различают две формы:
• вовлечение наемного работника в производственный интерес предпринимательской структуры;
• вовлечение наемного работника в коммерческий интерес фирмы.
Первая форма свойственна европейской системе организации труда, когда каждый наемный работник точно знает свои производственные функции и выполняет их с присущей ему умелостью.
Вторая форма характерна для японо-американской системы организации труда, когда каждый наемный работник заинтересован не только в должном исполнении своих производственных функций, но и обеспокоен общим результатом деятельности предпринимательской структуры. Эта форма вовлечения работника является, конечно, более эффективной по сравнению с первой и наиболее привлекательной как с точки зрения предпринимателя, так и с точки зрения общества.
Форма вовлечения наемного работника в интерес предпринимательской структуры зависит от используемой предпринимателем системы оплаты труда. На сегодняшний различают следующие:
Твердая гарантированная заработная плата.
Твердая гарантированная заработная плата с ежемесячной (ежеквартальной или ежегодной) премией,
Сдельная заработная плата.
С использованием коэффициента эффективности.
Сдельно-премиальная заработная плата.
Тарифная заработная плата.
Почасовая заработная плата.
Правда, все эти формы оплаты труда способствуют вовлечению работника лишь в производственный (но не в коммерческий) интерес фирмы. Для работника в такой ситуации главное — выполнить надлежащим образом свои обязанности а каков будет общий результат деятельности фирмы, предприятия, коллектива, для него не так важно.
Для вовлечения работника в коммерческий интерес фирмы важно создать такую ситуацию, когда работник одновременно будет заинтересован как в своих личных результатах, так и в результатах коллективной деятельности. Такой двоякий интерес работника можно стимулировать только одним-единственным средством — установлением приемлемого уровня заработной платы.
2. Виды предпринимательской деятельности.
Предпринимательство как особая форма экономической активности может осуществляться как в государственном, так и в частном секторе экономики. В соответствии с этим различают: а) предпринимательство государственное; б) предпринимательство частное.
Государственное предпринимательство есть форма осуществления экономической активности от имени предприятия, учрежденного: а) государственными органами управления, которые уполномочены (в соответствии с действующим законодательством) управлять государственным имуществом (государственное предприятие), или б) органами местного самоуправления (муниципальное предприятие). Собственность такого рода предприятий есть форма обособления части государственного или муниципального имущества, части бюджетных средств, других источников. Важной характеристикой таких предприятий выступает то обстоятельство, что они отвечают по своим обязательствам только имуществом, находящимся в их собственности (ни государство не отвечает по их обязательствам, ни они сами не отвечают по обязательствам государства).
Частное предпринимательство есть форма осуществления экономической активности от имени предприятия (если оно зарегистрировано в качестве такового) или предпринимателя (если такая деятельность осуществляется без найма рабочей силы, в форме индивидуальной трудовой деятельности).
Конечно, каждый из этих видов — государственное и частное предпринимательство — имеет свои отличительные признаки, но основные принципы их осуществления во многом совпадают. И в том и в другом случае осуществление такой деятельности предполагает инициативность, ответственность, инновационный подход, стремление к максимизации прибыли. Схожей является и типология обоих видов предпринимательства.
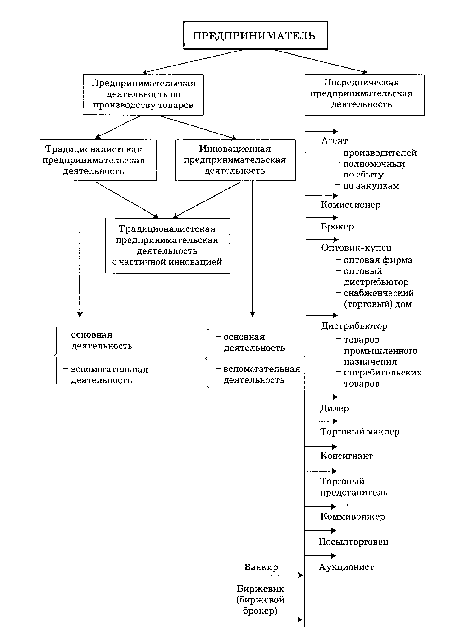
В зависимости от содержания предпринимательства как формы инициативной деятельности, направленной на извлечение прибыли (предпринимательского дохода) и ее связи с основными стадиями воспроизводственного процесса различают разные виды предпринимательства: производственное, коммерческое, финансовое, посредническое, страховое.
Предпринимательство называется производственным, если сам предприниматель непосредственным образом, используя в качестве факторов орудия и предметы труда, производит продукцию, товары, услуги, работы, информацию, духовные ценности для последующей продажи потребителям, покупателям, торговым организациям. Таким образом функция производства в этом виде предпринимательства - основная, определяющая.
Предпринимательская деятельность, связанная с непосредственным производством товаров, может носить:
1) традиционалистский характер (традиционалистское предпринимательство),
2) инновационный характер (инновационная предпринимательская деятельность, инновационное предпринимательство).
Предпринимательство в сфере непосредственного производства товаров может, таким образом, ориентироваться на производство и поставку на рынок традиционных или инновационных товаров. Практика предпринимательской деятельности в любой ее форме включает в себя инновационный процесс. Приводимое выше деление типов предпринимательской деятельности основывается на убеждении, что производство и поставка на рынок традиционных товаров осуществляется также с использованием каких-то новых методов или приемов, связанных с организацией производства, техническими элементами производства или изменениями качественных характеристик производимого товара.
В коммерческом предпринимательстве предприниматель выступает в роли коммерсанта, торговца, продавая готовые товары, приобретенные им у других лиц, потребителю, покупателю. В таком предпринимательстве фактором является сам товар, а прибыль предпринимателя образуется путем продажи товара по цене, превышающей ценю приобретения. Отметим, что если товар приобретается на законных основаниях, то торгово-коммерческое предпринимательство не следует называть спекуляцией и на этом основании осуждать. Только когда наблюдается противозаконная, с нарушением правил торговли перепродажа, можно говорить о запретной, преступной спекуляции.
Посредническое - предпринимательство, в котором предприниматель сам не производит и не продает товар, а выступает в роли посредника, связующего гнезда в процессе товарного обмена, в товарно-денежных операциях. Главная задача и предмет предпринимательской деятельности посредника - соединить две заинтересованные во взаимной сделке стороны. Так что есть основания утверждать, что посредничество состоит в оказании услуг каждой из этих сторон. За оказание подобных услуг предприниматель получает доход, прибыль.
Финансовое предпринимательство есть особая форма коммерческого предпринимательства, в котором в качестве предмета купли-продажи выступают деньги и ценные бумаги, продаваемые предпринимателем покупателю или предоставляемые ему в кредит.
Страховое предпринимательство заключается в том, что предприниматель гарантирует страхователю имущества, ценности, жизни за определенную плату компенсацию возможного ущерба в результате непредвиденного бедствия. Страхование имущества, здоровья, жизни есть особая форма финансово-кредитного предпринимательства, заключающаяся в то что предприниматель получает страховой взнос, выплачивая страховку только при определенных обстоятельствах. Так как вероятность возникновения таких обстоятельств невелика, то оставшаяся часть взносов образует предпринимательский доход.
Общественное понимание проблемы предпринимательства сводится к тому, что, с одной стороны, приоритетное значение имеет первый тип предпринимательской деятельности, поскольку общественное богатство (как обобщенный итог уровня и качества жизни каждого члена общества) зависит от состояния дел именно в сфере материального производства, научно-технических и сервисных услуг. С другой стороны, такое общественное отношение к этому типу предпринимательства на практике не носит действительно приоритетного характера — общество способствует развитию и второго типа предпринимательской деятельности, т.е. посредничества. Почему? Прежде всего потому, что уровень и качество жизни, удобство и комфорт каждого члена общества в немалой степени зависят от уровня развития в обществе посреднической сферы (удобная для покупателя организация торговли, реклама, доставка товаров на дом, заказ товара по почте, телефону и т. д.); то же самое относится и к потребителям товаров производственного назначения.
Но такое общественное восприятие посреднической деятельности не является единственной и основной причиной. Главное заключается в другом — посредническая предпринимательская деятельность, ее наличие и усложнение до разумных пределов ведет:
1) к увеличению производительности труда непосредственных производителей товаров на основе углубления специализации;
2) к ускорению темпов оборачиваемости (кругооборота) капитала;
3) к насыщению товарных рынков до объективно требуемых размеров и функционированию непосредственных товаропроизводителей в соответствии с интересами конечных потребителей (поскольку посредник специализируется главным образом на изучении потребительского спроса и заказе или приобретении только той продукции, потребительский интерес к которой он уже выявил; любую продукцию, производимую непосредственным товаропроизводителем, он приобретать не будет). Как показывает практика, в нашей стране посредническому и коммерческому предпринимательству принадлежит большая доля, чем другим видам деятельности, поэтому я бы хотел остановиться на посредническом предпринимательстве подробней.
Рынок, как известно, представляет собой место встречи двух основных субъектов экономических (хозяйственных) отношений. А раз это так, то на рынке должны присутствовать или сами производитель и потребитель, или же их представители.
Лица (юридические или физические), представляющие интересы производителя или потребителя (а часто и действующие от их имени), но сами не являющиеся таковыми, называются посредниками.
Предпринимательская активность в сфере посредничества позволяет совместить в самые сжатые сроки экономические интересы производителя и потребителя. Посредничество, с точки зрения производителя, повышает степень эффективности работы последнего, поскольку дает возможность сосредоточить свою активность только на самом производстве, передавая посреднику функции по продвижению товара к потребителю. Кроме того, включение посредника в отношения между производителем и потребителем существенно сокращает срок оборачиваемости капитала, а значит, повышает прибыльность производства.
Предпринимательская деятельность в посредничестве осуществляется всегда в какой-то конкретной форме. Самой распространенной формой посредничества является агентирование, т.е. такой тип отношений, в которых агент выступает посредником между производителем и потребителем.
Агент — лицо, действующее от имени и в интересах производителя товара или потребителя. Лицо, в интересах и от имени которого действует агент, называется принципалом. Принципалом может быть как собственник товара, поручающий агенту продать его, так и потребитель товара, поручающий агенту купить этот требуемый товар.
Таким образом, посредничество с участием агента, на рынке включает взаимоотношения уже не двух, а трех субъектов (рис. 3).
Р![]()
исунок
3 Схема
отношений
производителя
и потребителя
с участием
агента
.
Типы агентов
Различают несколько типов агентов:
1) агенты производителей;
2) полномочные агенты по сбыту;
3) агенты по закупкам.
Агенты производителей (представители производителей) — представляют интересы двух или нескольких производителей дополняющих друг друга товаров.
Полномочные агенты по сбыту получают право на сбыт всей продукции и представляют собой как бы отдел сбыта, но не входят в структуру фирмы-производителя, а взаимодействуют с ней на договорных условиях.
Агенты по закупкам чаще всего занимаются подбором нужного товарного ассортимента (например, для мелких розничных торговцев).
Брокерство
Брокер — посредник при заключении сделок, специализирующийся по определенным видам товаров или услуг, действует по поручению и за счет клиентов, получая от них специальное вознаграждение. Относится к категории профессиональных деловых посредников.
Комиссия
Иногда агент выступает в качестве оптовика-комиссионера, который самостоятельно распоряжается товаром, принимая его на комиссию. Комиссионер действует на основе договора комиссии, заключаемого между комиссионером (агентом) и принципалом, который в таком случае выступает в виде комитента.
Комиссионные операции — это разновидность торгово-посреднических операций, совершаемых одной стороной (комиссионером) по поручению другой стороны (комитента) от своего имени, но за счет комитента. Отношения сторон регулируются договором комиссии.
Комиссионер — посредник, физическое или юридическое лицо, совершающее за определенное вознаграждение (комиссионное вознаграждение) сделки в пользу и за счет комитента, но от своего имени.
Комитент — лицо (обычно производитель или собственник товара), дающее поручение другому лицу (комиссионеру) заключить определенную сделку или ряд сделок от имени последнего, но за счет комитента.
Индент
В межстрановых отношениях нередко используют тактику разовых комиссионных поручений — индентов. Это разновидность комиссионной операции, когда импортер одной страны дает поручение комиссионеру другой страны на покупку определенной партии какого-либо конкретного товара.
Консигнация
К комиссионным операциям относят и операции консигнации. Это вид торгово-посреднической операции, когда консигнатор (посредник) продает товар со своего склада на основе договора поручения (реже — консигнационного соглашения).
Консигнатор обычно действует в сфере отношений между консигнантом и розничными торговцами. Деятельность консигнатора, которым обычно является собственник складских помещений и одновременно купец-оптовик, сводится к тому, что он принимает у консигнанта товары на ответственное хранение с целью их последующей реализации (обычно — оптом). Но при этом дает обязательство не продать, а лишь предложить товар потенциальному покупателю при первой появившейся возможности (при упущенной возможности он обычно несет ответственность).
Схема взаимоотношений при осуществлении консигнационной операции такова (рис. 4):

Рисунок 4 Схема отношений производителя и потребителя с участием консигнатора (посредника)
Наибольшее распространение консигнация получила в сфере оптовых поставок розничным торговцам (в этом смысле консигнационные склады можно сравнить с российскими оптовыми базами). Крупные комиссионные фирмы обычно наряду с посредническими оказывают и другие виды услуг — принимают на себя ответственность за транспортировку, осуществляют страхование, гарантийное обслуживание и т. д.
Довольно часто посредники выступают в форме оптовиков-купцов (в США, к примеру, на их долю приходится более половины общего оптового оборота).
Оптовики-купцы — независимые коммерческие предприятия, приобретающие право собственности на все товары, с которыми они имеют дело. Это профессиональный вид предпринимательской деятельности. Предпринимательский доход складывается из разницы между оптовой ценой покупки товаров оптовиком-купцом и оптовой ценой продажи. Оптовик-купец обычно продает товар розничным торговцам. Оптовики-купцы функционируют в различных формах:
1) оптовая фирма,
2) оптовый дистрибьютор,
снабженческий (торговый) дом.
Торговый маклер — это предприниматель-посредник, который сам не участвует в заключении сделки, а только указывает на возможность ее заключения. Обычно его функции сводятся к тому, что он лишь сводит партнеров по сделке. Предпринимательский доход он получает в форме маклерского вознаграждения, размер которого зависит от суммы заключенной сделки. Маклер также занимается посреднической деятельностью при заключении торговых сделок на биржах. Обычно маклер на российских биржах ведет торги.
Дистрибьютор — посредник, специализирующийся на приобретении товаров у производителей и реализующий их (распределяющий) своим постоянным клиентам. Различают дистрибьюторов товаров промышленного назначения (их партнерами являются предприниматели, производящие товары, готовые к потреблению) и дистрибьюторов, продающих товары розничным торговцам.
Весьма распространенной формой посреднических операций служит дилерство. К дилерам относятся посреднические структуры, под которыми могут пониматься как юридические, так и физические лица. Обычно дилер осуществляет перепродажу товаров от своего имени и за свой счет. Дилерская прибыль образуется за счет разницы между ценой приобретения товаров и ценой продажи товаров самим дилером. По особому договору с продавцами дилер может предоставлять им информацию о рынке, оказывать услуги по рекламе, а также осуществлять послепродажное обслуживание реализуемых товаров.
К посредникам относятся также и джобберы — субъекты посреднической сферы, которые обладают запасами готовой продукции, обеспечивают хранение и поставку (транспортировку) товаров. Однако основные принципы их деятельности аналогичны агентским функциям. Обращение к услугам джобберов целесообразно в том случае, если для производителя по каким-либо причинам неэффективно создавать собственную сбытовую сеть (сеть продавцов), или же в случае, когда он стремится выйти за рамки той территории, где расположены его собственные сбытовые (торговые) учреждения.
Посылторговец — предприниматель-посредник, который занимается реализацией товаров путем рассылки каталогов товаров потенциальным покупателям. В этом случае посредник должен предусмотреть наличие у него складского помещения. Кроме того, обычно предусматривается наличие (или возможность использования) какого-либо эффективного вида транспорта.
Торговый представитель как самостоятельный предприниматель также относится к категории посредников. Он одновременно может представлять интересы нескольких принципалов.
Коммивояжер — предприниматель-посредник, который не только продает, но и доставляет товар покупателю (продажа с доставкой). К коммивояжерам обычно относят разъездных представителей торговых фирм, которые предлагают покупателям товары по имеющимся образцам. Коммивояжеры обеспечивают достаточно эффективную рекламу товарам и создают прочные каналы сбыта продукции, а также ее послепродажного обслуживания.
Аукционная форма торговли также относится к категории посреднических операций. В осуществлении таких операций участвуют три субъекта взаимоотношений (рис.5).

Рисунок 5 Схема отношений при аукционной сделке
Аукционатор — лицо, передающее товар аукционисту по договору для его последующей реализации на аукционе в соответствии с условиями договора и правилами аукциона. Аукционист — лицо, проводящее аукцион.
Аукционеры — участвующие в аукционе потенциальные покупатели.
Аукцион представляет собой публичный торг. Это соревнование покупателей за право приобретения товара, выставляемого на аукционную продажу. Товары, выставляемые на аукцион, имеют стартовую цену и обычно предлагаются к продаже лотами.
Стартовая цена — начальная цена, назначаемая аукционатором и аукционистом в аукционном договоре, с которой начинается торг во время проведения аукциона.
Лот — неделимая партия товара, выставляемая на аукционную продажу. Все лоты под номерами обычно выставляются для предварительного осмотра до начала аукциона. Товар (лот) считается проданным после третьего удара молотка аукциониста тому аукционеру, который предложил наивысшую цену. На международные аукционы выставляются пушнина, скаковые лошади, пряности, чай, табак, шерсть, ряд других товаров, включая антиквариат.
Биржевое предпринимательство по сравнению с другими формами профессиональной предпринимательской деятельности имеет ряд специфических особенностей, что позволяет выделить его в особый тип и классифицировать как самостоятельное направление деловой практики. Во-первых, биржи представляют собой посреднические структуры. При этом, однако, они выделяются из всего ряда посредников тем, что практически ни один предприниматель не обходится без обращения к ним. Во-вторых, биржи обслуживают клиентов — это их главная функция.
Неотъемлемым элементом биржевой торговли всегда выступала спекуляция. Она присуща экономическим (торговым) отношениям, основу которых составляет обмен. А обмен всегда (или в подавляющем большинстве случаев) распадается на две отдельные операции — продажу и покупку. В условиях неопределенности рынка и отсутствия достоверной информации это делает возможным осуществление операций по "деланию денег" без обращения к процессу производства. Спекуляция определяется как торговля в надежде получить прибыль от изменения рыночной цены. Она связана с ожиданиями продавцов относительно повышения или понижения цен. Спекулянтов в зависимости от направленности их действий называют быками и медведями.
Бык — биржевой игрок, полагающий, что цены скоро возрастут, и скупающий по этой причине или сохраняющий ранее приобретенные контракты. Спекулянт, играющий на повышение.
Медведь — биржевой игрок, полагающий, что цены вскоре пойдут на снижение, и по этой причине продающий контракты. Спекулянт, играющий на понижение.
К сделкам спекулятивного характера относится хеджирование (от "хеджировать" — ограждать, страховать себя от возможных потерь).
Хедж — страховка от ценовых рисков или фьючерсный контракт по страхованию от ценовых рисков.
Предпринимательство в биржевой деятельности может быть связано: 1) с организацией деятельности биржи как коммерческой структуры; 2) с организацией брокерской конторы или брокерской фирмы.
Осуществлением всех операций на бирже занимаются биржевые брокеры — посредники, которые содействуют совершению сделок между заинтересованными сторонами — клиентами. Сделки заключаются брокерами обычно от имени,
Клиент (или заказчик), т. е. тот, кто хочет продать или купить акции, может получить информацию по телефону от брокера, представляющего его интересы по поручению и за счет клиента. Брокеры могут также действовать от своего имени, но за счет доверителя на основе заключенных с клиентами соглашений. За совершение сделок брокер получает брокерское вознаграждение или в размере, согласованном с клиентом, или по таксе, установленной биржевым клиентом. Схема осуществления операций на бирже приведена на рис. 6

Рисунок 6 Схема отношений по биржевой сделке:
1 — поручение продавца брокеру; 2 — поручение покупателя брокеру; 3 — совершение сделки в соответствии с поручениями продавца и покупателя
Вывод. Предпринимательская деятельность может осуществляться, как мы уже отмечали, в различных формах. Эти формы взаимодополняют друг друга, превращая процесс производства и продвижения товаров и услуг к потребителю в целостный и достаточно эффективный процесс (рис.7).

Рисунок 7 Типология предпринимательской деятельности.
Проблемы и перспективы развития предпринимательства в Украине.
Значение малого бизнеса для развитых стран.
Для начала немного статистики. Активный рост доли малых предприятий в структуре экономики западных стран начал происходить с середины 70-х, начала 90-х годов. На сегодняшний день в наиболее развитых странах Запада малые фирмы составляют 70-90% от общего числа предприятий. Для сравнения можно взять, например, США - где в мелком предпринимательстве занято 53% всего населения, Японию - с ее 71,7% и страны ЕС, где на аналогичных предприятиях трудится примерно половина работающего населения. Только эти цифры говорят об огромной важности предприятий малого бизнеса для экономики этих стран. В пользу эффективности этих фирм говорит тот факт, что на 1$ затрат они внедряют в 17 раз больше нововведений и разработок, чем крупные предприятия, которые дают жизнь лишь 10% новых технологий, остальные 90% внедряют малые предприятия и независимые изобретатели.
Развитие мелкого предпринимательства необходимо только потому, что они дают жизнь старым крупномасштабным предприятиям и в союзе с ними получают значительную выгоду как для себя, так и для рыночной экономики в целом. Об этом говорят следующие цифры: в США на малый бизнес приходится 34,9% чистого дохода, а в Японии 56,6% всей продукции в обрабатывающей промышленности производят предприятия малого бизнеса.
Большой плюс малых предприятий состоит в том, что многие из них оказались более приспособленными, чем крупные компании, к условиям развития в кризисные периоды для экономик Запада. Крупные фирмы не столь чувствительно и быстро реагируют на какие-либо колебания или изменения в экономике. Не случайно в политике правительств Германии, США и многих других развитых капиталистических стран помощь мелкому бизнесу занимает особое место. Мелкие предприятия стали своеобразным индикатором общего состояния дел в экономике. Небольшие предприятия наиболее чутко реагируют на изменение хозяйственной конъюнктуры, падение или повышение нормы прибыли в отраслях экономики. Волна разорений или образования новых компаний зарождается прежде всего в немонополизированном секторе и лишь позднее, набрав силу, докатывается до более крупных фирм, отражаясь на их деятельности.
В условиях ухудшения воспроизводства крупные компании находят "отдушину" в виде экспорта капитала. Мелкие фирмы, как правило, не имеют такой возможности. Это вынуждает их для выживания интенсивно пересматривать свою производственную и сбытовую деятельность. Те из них, кто в обстановке 70-х начала 80-х годов сумели приспособиться - выжили, другие - просто разорились. Однако, в свою очередь, развитие малых предприятий при преодолении этого кризиса послужило важным средством оздоровления экономики. И объясняется это прежде всего той ролью и функциями, которые малый бизнес выполняет.
Во-первых, как уже отмечалось, он обеспечивает необходимую мобильность в условиях рынка, создает глубокую специализацию и кооперацию, без которых немыслима его высокая эффективность. Во-вторых, он способен не только быстро заполнять ниши, образующиеся в потребительской сфере, но и сравнительно быстро окупаться. В-третьих, - создавать атмосферу конкуренции. В-четвертых (и это, пожалуй, самое главное), он создает ту среду и дух предпринимательства, без которых рыночная экономика невозможна.
Мелкие и средние предприятия играют заметную роль в занятости, производстве отдельных товаров, исследовательских и научно-производственных разработках.
О том, что малые предприятия способны в больших масштабах обеспечивать работой незанятые трудовые ресурсы говорит то, что в США в мелких фирмах в 1990 году было сосредоточено 40%, а в Германии 49% всей рабочей силы. В этом заключается социальная роль предприятий мелкого предпринимательства.
Для самостоятельного анализа малого бизнеса важно найти метод подразделения предприятий на мелкие и крупные. Существует много способов. Часто выделяют понятие монополии, а все, что не подходит под это определение, относят к мелкому предпринимательству. Понимая, что этого недостаточно, сравнивают обороты средств, объемы прибыли и продаж. В настоящее же время предприятия классифицируют по количеству занятых в них человек.
Но часто, в зависимости от важности малого бизнеса в экономике страны, он самостоятельно разделяется на различные группы. В Германии, например, существует 4 категории:
от 20 до 49;
от 50 до 99;
от 100 до199;
от 200 до 499.
В Германии, чтобы фирму признали малой, ее годовой оборот должен составлять от 3,5 до 11,5 млн. DM, в США - 3-12 млн. $.
На Украине к малым предприятиям относят:
в промышленности и строительстве до 200 человек;
в других отраслях производственной сферы до 50;
в науке до 100;
в розничной торговле до 15;
в других отраслях непроизводственной сферы до 50 человек.
Но в любом случае система градации фирм и их отнесение к разряду малых или средних является достаточно проблематичным, тем более, что малым предприятием быть выгоднее, так как для него осуществляется практика государственной поддержки посредством льготных кредитов и государственных заказов.
Малые предприятия как возникают, так и распадаются по многим причинам. Например, в Германии в1990 году более 14500 предприятий из числа малых потерпели крах, причем 40% из них просуществовали не более 5 лет. Доля банкротов среди предприятий малого бизнеса всегда выше, ибо, идя на риск, предприниматель решает сложную проблему конкурентоспособности выпускаемой продукции. Ведь начальная стоимость ставит основателей фирмы в невыгодное положение по сравнению с действующей фирмой. Новичку нужно в самом начале проводить свою работу при более высоких издержках, чем предпринимателю действующей фирмы. Поэтому начинающая фирма всегда имеет более высокую себестоимость продукции. Наиболее частые причины банкротства малых предприятий - это неудачи в сфере сбыта продукции, а также недостаточная компетентность и отсутствие опыта.
Но все же, несмотря ни на что, количество вновь создаваемых фирм превосходит число ликвидированных, что говорит об абсолютном увеличении числа предприятий малого и среднего бизнеса в экономике.
Причем достаточно важно то, что часто малое предприятие становится банкротом не полностью, а лишь выкупается более крупной фирмой или само становится таковой.
В 80-х годах обозначилась тенденция к увеличению числа малых предприятий в Германии. Поэтому правомерно утверждать, что в эти годы, одновременно с укреплением позиций верхушки монополистического капитала (данное утверждение ни у кого не вызывает сомнений) в экономике стран Запада наметился процесс возрастания значения мелких и средних фирм в ряде областей как материальной, так и нематериальной сферы производства. Относительно состояния промышленности Германии, хотелось бы привести следующие цифры. Доля 10 ведущих концернов в общем промышленном обороте со второй половины 70-х годов до середины 80-х не возрастала, а по экспорту даже несколько снижалась. Наиболее же наглядной эта тенденция была в США. Согласно официальным данным с 1980 по 1989 года доля фирм малого предпринимательства увеличилась с 18% до37%.
В общем, в 70-е - 80-е годы сначала наметилась, а затем еще очевидней стала проявляться тенденция, при которой доля крупнейших компаний в выпуске продукции, инвестициях, обороте и других показателях многих отраслей оставалась стабильной или даже несколько снижалась. Установилось сбалансированное состояние между мелким и средним бизнесом. Этот временный период можно считать звездным часом малого бизнеса, поскольку для предпринимательства все более важной становится быстрая, гибкая, инновационная адаптация внутренней среды и внешних взаимосвязей фирм к возрастающей неопределенности хозяйственной среды. Предприниматели все чаще осознают необходимость использовать не только преимущества специализации, особую атмосферу творчества и заинтересованности, традиционно царящую в малых фирмах, но и возможности, которые открываются при производственной кооперации: экономия на масштабах, совместные научно-исследовательские разработки, разделение риска.
2. Проблемы и перспективы украинского предпринимательства.
Рассмотрев опыт Германии и США, можно перейти к вопросу о том, какие же условия необходимы для развития малого предпринимательства в нашей стране.
Может ли малый бизнес стать основой экономики? Или в наших условиях он может стать лишь связующим звеном, которое обеспечило бы бесперебойную работу крупных промышленных предприятий? Для начала следует определить те отрасли и сферы экономики, в которых предприятия малого бизнеса играют решающую роль. Во-первых, это вся сфера услуг, в том числе технические услуги, включая ремонт и техническое обслуживание машин и оборудования; консультационные услуги; бытовое обслуживание населения. Во-вторых - торгово-закупочные операции, а также посредническая деятельность.
Поэтому одним из решающих условий углубления проводимых в Украине экономических реформ, способных вывести страну из кризиса, обеспечить ослабление монополизма, добиться эффективного функционирования производства и сферы услуг, является развитие малого предпринимательства. Этот сектор экономики создает необходимую атмосферу конкуренции, способен быстро реагировать на любые изменения рыночной конъюнктуры, заполнять образующиеся ниши в потребительской сфере, создает дополнительные рабочие места, является основным источником формирования среднего класса, то есть расширяет социальную базу проводимых реформ.
Сектор малого бизнеса формируется в Украине с 1986-1988 гг. после принятия постановления, а затем и закона о кооперативах. Тогда это была еще квазиформа малого частного бизнеса, но она положила начало развитию негосударственного малого и среднего предпринимательства и до 1992 года наблюдался бурный рост малых предприятий, который резко замедлился. в 1993 году
Потеря административного управления, экономический хаос и законодательная неразбериха привели к тому, что законопослушные предприниматели, организующие бизнес в производственной сфере, оказались в чрезвычайно трудном положении, неся большие затраты, выплачивая высокие налоги и подвергаясь государственному и негосударственному рэкету. Отсутствие четкого механизма реализации государственных мер по поддержке малого бизнеса, затруднения в получении кредитов, производственных помещений и материальных ресурсов поставили малые предприятия в неравное положение с крупными. Это привело к сокращению их роста и к ориентации преимущественно на торгово-закупочную и посредническую деятельность.
Среди видов деятельности МП до сих пор преобладают розничная торговля (35 %), промышленность (15 %), строительство (16 %). Тенденции в отраслевом распределении малых предприятий и кооперативов таковы, что сокращается доля предприятий, занимающихся производством, а растет доля и , соответственно значение для нашей экономики, предприятий, занимающихся торговлей, посредническими услугами, финансовых и страховых компаний, в том числе бирж и брокеров. Кроме того, существует большое количество предприятий, зарегистрированных как производственные или многоцелевые (выпуск товаров народного потребления, оказания различных услуг ), но тем не менее занимающихся торгово-посреднической деятельностью как основной.
Достигнутый к 1997 г. уровень развития негосударственного частного предпринимательства можно оценить как недостаточный по следующим соображениям:
составляет 10—15 %, тогда как в развитых странах—от 50 до 80 %; — по объему деятельности (производство товаров и услуг) малый бизнес Украины настолько мал, что не может ни удовлетворить общественные потребности, ни играть роль полноценного рыночного фактора, то есть влиять на достижение рыночного баланса и составить конкуренцию крупным монопольным государственным предприятиям (по числу МП, приходящихся на 10 тыс. чел. населения, Украина в несколько раз отстает от стран Балтии и России, в 10 раз—от Румынии и Словении, в 50 раз— от Польши, Венгрии, Чехии);
— доля работающих в малом бизнесе Украины составляет около 8 % от численности всех работающих, тогда как в странах с рыночной экономикой—не менее 50 %;
— вклад малого бизнеса Украины в создание ВНП составляет 10—15 % по сравнению с 60—80 % в развитых странах.
Что касается внутреннего механизма жизнедеятельности, то малый бизнес не достиг порога «критической массы», при котором начинает действовать эффект саморегулирования и самовоспроизводства.
Рассмотрим причины сложившейся ситуации. В прессе, в кругу специалистов, изучающих малый бизнес, в среде предпринимателей фигурирует перечень, в который входит около двух десятков причин, препятствующих развитию малого бизнеса в Украине. Среди них — несовершенные законы и часто изменяющиеся правила; чрезмерные налоги; узость источников финансирования; неравные возможности в конкурировании с крупным номенклатурным бизнесом; всеобъемлющая коррупция и рэкет; отсутствие поддержки или же препятствование со стороны государства (его органов); неразвитость инфраструктуры (банки, связь, информация и т. п.); профессиональная неподготовленность самих предпринимателей и т. д. Из общих проблем, с которыми сталкиваются бизнесмены всех регионов Украины в своей повседневной деятельности, выделим следующие.
Трудности с регистрацией открытия собственного дела занимают в списках проблем последнее место. Это отнюдь не означает, что проблемы нет или что она незначительна. Конечно, за 5 лет массового развития малого бизнеса в Украине острота ее заметно уменьшилась. Многие желающие начать бизнес уже располагают необходимой информацией о процедуре регистрации, могут получить в органах регистрации, у консультантов-индивидуалов или в специализированных фирмах образцы документов и необходимые советы. Тем не менее, по затратам времени, денежных средств, нервных усилий действующая в Украине процедура регистрации предприятия все еще остается громоздкой и излишне усложненной, особенно по сравнению с той, что действует в развитых странах.
Опрос начинающих и уже действующих предпринимателей показал, что 75 % их не первое место среди других проблем ставят дефицит финансов. Собственных капиталов большинство не имеет, банковские кредиты даются на 2—3 месяца и с высокой процентной ставкой, а других массово доступных источников финансовой поддержки малого бизнеса в Украине нет. Частные благотворительные фонды отсутствуют, союзы и ассоциации предпринимателей не располагают средствами для кредитования малого бизнеса. Известны лишь четыре потенциально доступных источника выделения финансов: Украинский фонд поддержки предпринимательства; Государственный инновационный фонд; средства, выделяемые местными органами власти безработным для организации своего бизнеса; средства местных органов власти, которые образуются из отчислений от стоимости приватизированных объектов. Оба центральных фонда дислоцируются в Киеве, но имеют региональные отделения в областных городах (фонд поддержки предпринимательства—в 9, а инновационный фонд—в 19 областях). Первый фонд ежегодно получает из государственного бюджета установленную сумму для кредитования мелких частных предпринимателей; средства второго фонда образуются из фиксированного процента отчислений, производимых всеми предприятиями от объема реализации продукции (работ, услуг). Эти фонды выделяют кредиты предпринимателям как для начала своего дела, так и под текущее производство, на конкурсных принципах, путем оценки их бизнес-планов. Однако поступают средства в фонды в недостаточном объеме и нерегулярно. Инновационный фонд оказывает кредитную поддержку только проектам, реализующим новые технологии, но его возможности также невелики относительно потребностей малых предприятий.
В 1993 г. начало действовать положение о выделении ссуд безработным для того, чтобы они могли начать свое дело, но, во-первых, выделяемая сумма недостаточна для этого, а во-вторых, получить ее весьма трудно из-за сложной процедуры оформления.
Последний из четырех названных источников кредитования—средства местных властей, образуемые за счет отчислений от стоимости приватизируемых объектов, — также практически бездействует, поскольку не отработан механизм выделения средств предпринимателям.
Что касается получения кредитов в коммерческих банках, то в качестве их клиентов могут выступать лишь торговые и посреднические организации, но не производственные, а тем более не мелкие, потому что у них нет ни большого уставного капитала, ни дорогостоящих основных фондов и имущества, ни значительного личного имущества, которые могут служить залогом под кредиты. В последние годы расширяют масштабы деятельности в Украине зарубежные и международные финансовые фонды и программы, но они охватывают локальные зоны и поэтому не оказывают существенного влияния на поддержку малых предприятий.
Далее в порядке убывания трудностей назовем проблемы доступа к помещениям и оборудованию (55 % опрошенных), дефицита информации (50 %) и недостатка квалифицированного персонала (46 %). Этот набор проблем типичен для всей Украины.
Проблема помещения для малого бизнеса находится в одном ряду с проблемой финансирования. Уровень их сложности варьируется в зависимости от ситуации на местах. Так, ситуация в Киеве отличается парадоксальностью: с одной стороны, здесь выше, чем в других городах, уровень предложения кредитов и помещений, а с другой — намного выше и ценовой фактор (размер прямых и непрямых выплат). Первое понятно само собой (фактор концентрации деятельности в столице), а второе объясняется тем, что уровень цен на рынке кредитов и помещений определяется спросом не всей массы потенциальных клиентов, а верхушки самых платежеспособных из них. В спросе на помещения цена устанавливается в расчете на таких клиентов, как посольства, иностранные торговые палаты и представительства, совместные с иностранными партнерами предприятия, магазины и филиалы транснациональных фирм, представительства зарубежных и международных фондов и программ, банки, холдинговые, инвестиционные, страховые компании, рекламные и туристические агентства и т.п.
Действующие бизнесмены отмечают также проблемы с реализацией продукции и с доступом к сырью и материалам. Последнее не нуждается в объяснении, поскольку в Украине еще не создан механизм свободной рыночной реализации сырья и по-прежнему осуществляется его распределение между государственными предприятиями, доля которых по отраслям колеблется от 60 до 90 %. Крупные биржи с мелким бизнесом не работают, а мелкооптовая торговля решает вопросы снабжения предпринимателей через неформальные каналы. Частично этим объясняется такой феномен нынешней Украины, как расчеты между негосударственными предприятиями преимущественно в виде наличных денег.
Проблема реализации продукции имеет два аспекта — внутренний и внешний. Реализовать продукцию на внутреннем рынке Украины трудно не потому, что она не нужна: спрос есть, но у потребителей нет денег для расчетов. В многозвенной цепочке предприятий, поставляющих друг другу продукцию, ни у кого нет денег для оплаты. Эта ситуация длится уже не один год и известна как «кризис взаимных платежей».
Бизнесмены называют еще две проблемы, которые, по их мнению, имеют сугубо местное происхождение, но, как показали обследования по областям, достаточно типичны для Украины. Это отношения с налоговой администрацией (63 % ответов) и с банками (54 %). Речь идет о недоразумениях между клиентами, с одной стороны, и банками и налоговой администрацией — с другой. Бизнесмены отмечают некомпетентность служащих налоговой администрации и банков, порождающую необоснованные претензии, а также неправильное понимание служащими того, каким должен быть характер взаимоотношений с клиентами, из-за чего к клиенту относятся как к раздражающей помехе или же с готовым предубеждением как к субъекту с заранее предполагаемой презумпцией виновности.
Многие предприниматели среди проблем, затрудняющих развитие дела, выделяют недостаточную собственную подготовленность к бизнесу. Это и понятно: ведь сфера подготовки к предпринимательству находится в Украине в зародышевом состоянии. Бизнесмены жалуются на трудности получения информации (справок, консультаций), Отсутствие литературы по бизнесу применительно к нашим реальным условиям.
Немаловажным фактором развития малого бизнеса является участие государственных органов в создании благоприятных условий для него. В данном направлении государство сделало такие шаги. В конце 1991 г. был учрежден Государственный комитет по содействию малым предприятиям и предпринимательству (упразднен в 1994 г.). Тогда же образован Национальный фонд поддержки предпринимательства и развития конкуренции. В 1993 г. учреждается Государственный инновационный фонд и принимается долгосрочная программа государственной поддержки предпринимательства. Какова эффективность мер для развития малого бизнеса? Нулевая или ничтожно малая, — так следует из опросов предпринимателей и оценок экспертов. В составе местных органов власти (областных, городских, районов города) имеются департаменты, призванные осуществлять государственную политику поддержки предпринимательства, но из-за малочисленности персонала (1—-4 чел.), отсутствия оборудования и финансовых средств они занимаются только лишь подготовкой справок и помогают начинающим предпринимателям в процедуре регистрации. В целом же отношение местных властей к частному предпринимательству все еще остается или индифферентным, или скрыто негативным. Реальная помощь малому бизнесу на местах — явление настолько редкое, что о начале положительных изменений в стереотипах поведения массы чиновников говорить не приходится. Специальных консультационных пунктов, которые могли бы внести весомый вклад в дело поддержки предпринимателей, при местных органах государственной власти пока нет.
Программа государственной поддержки предпринимательства за последние годы, по оценке предпринимателей, не вышла за пределы бумаги, на которой она зафиксирована. Для многомиллионной страны ничтожно малы денежные средства, выделенные на реализацию программы,—250 млрд. крб. на 1993 г., или 0,02 % ВНП. Но основная причина бездействия программы, по нашему мнению, заключается в отсутствии механизма ее реализации, людей и структур, ее выполняющих.
В экономически развитых странах большое внимание уделяется сфере бизнес-услуг. В инфраструктуру бизнеса принято включать сервисные службы для начинающих и действующих предпринимателей (справочно-информационные, консалтинговые, учебные фирмы), ассоциации и союзы, помогающие малому бизнесу. В Украине до настоящего времени не создана сеть справочно-информационных и консалтинговых служб для малых предприятий, хотя процесс идет нарастающими темпами. К началу трансформации Украина не имела самостоятельно действующих сервисных служб. Все вновь созданные или преобразованные организации, пытающиеся работать в нынешних условиях, предоставляют платные услуги, а поэтому потенциально доступны малому числу бизнесменов и в принципе ориентированы на солидных клиентов в лице коммерческих структур (банки, биржи, инвестиционные и холдинговые компании, торговые фирмы, рекламные агентства, совместные предприятия с иностранным капиталом, филиалы зарубежных фирм и т. п.).
Особо следует упомянуть такую комплексную по услугам форму помощи малому бизнесу, как центры развития бизнеса. В развитом виде они оказывают консультационные услуги, ведут подготовку к бизнесу. Развитие сети таких центров позволило бы значительно повысить уровень бизнес-услуг и подготовки предпринимателей. Примером эффективной помощи такого рода может служить работа открывшегося в 1995 г. в Киеве Агентства по развитию предпринимательства в рамках программы TACIS, которое оказывает консультационные услуги начинающим и проводит обучение основам бизнеса.
Но можно сделать вывод о том, что при общей неблагоприятной обстановке для малого бизнеса уровень развития данного сектора экономики значительно варьируется по областям (см. табл. 1).
Таблица 1. Показатели развития малого бизнеса по областям.
|
Показатель |
Киевская обл. |
Украина |
Максимум |
Минимум |
|
Население (млн. чел.) |
4.5 |
50.6 |
5,3 |
0,9— Черновицкая обл. |
|
Количество действующих МП и кооперативов |
11221 |
84940 |
11170— Донецкая обл. |
1013— Черновицкая обл. |
|
Распределение числа МП и кооперативов (тыс. чел.) |
159,3 |
1231 |
156,5— Донецкая обл. |
12.1— Черниговская обл. |
|
Доля трудоспособного населения, занятого в МП и кооперативах(тыс. чел.) |
6.6— Киев, 4,8—область |
4,3 |
6,9— Харьковская обл. |
1,8— Черниговская обл. |
|
Количество МП и кооперативов на 10 тыс. чел. |
32,9—Киев.12,7—область |
16,4 |
26,4—Харьковская обл. |
7,0—Винницкая обл. |
|
Доля в суммарной выручке МП Украины (%) |
11,8-Киев, 5,5-область |
100 |
13,3— Донецкая обл. |
0,7— Закарпатская обл. |
|
Средняя выручка на 1 МП (млн. крб 1996 г.) |
252—Киев, 423—область |
216 |
344—Запорожская обл. |
95—Закарпатская обл. |
Данные таблицы 1 демонстрируют не самую большую разницу в показателях развития малого бизнеса между областями Украины. Этот факт позволяет сделать вывод о том, что при одних и тех же законах, правилах налогообложения и других факторах, отнесенных нами к группе базисных, которые действуют на всей территории страны, разница в уровне развития малого бизнеса в отдельных областях может достигать двух-, трехкратной амплитуды. И эту разницу следует отнести на счет действия других факторов — дополняющих и внутренних.
Второе различие, внутриобластного свойства, существует между областными центрами и остальными населенными пунктами данной области. Это различие еще более контрастно, чем первое, особенно в областях-аутсайдерах. В большинстве районных и более мелких населенных пунктов начинающий и действующий бизнесмен лишен какого-либо сервиса: нет ни справочно-информационных, ни юридических, ни аудиторских, ни консалтинговых, ни учебных служб. Из-за слабой коммуникационной оснащенности (телефон, факс, электронная почта, компьютерные сети) и транспортных трудностей периферийные предприниматели находятся в информационном вакууме.
Из сказанного следует, что усилия по созданию среды для развития малого бизнеса в Украине желательно направлять дифференцированно, с приоритетами для менее обеспеченных городов и регионов. Те города и регионы, где уже образовалась предпринимательская среда, имеют лучшие условия для предпринимательства и располагают потенциалом (критической массой) для саморазвития. Если в дальнейшем более активно помогать именно этим городам и регионам, то еще больше увеличится разрыв между лидерами и аутсайдерами. Возможна, правда, и альтернативная стратегия, когда поддерживают уже продвинутые регионы, а через них расширяется зона охвата.
Специалисты по переходной экономике выделяют четыре фазы становления сектора малого и среднего бизнеса: зарождение; бурный рост; насыщение; саморегуляция с соответствующими структурными преобразованиями. Такие страны, как Польша Чехия, Венгрия, достигли четвертой фазы; Словакия, Словения, страны Балтии приближаются к третьей фазе; Румыния, Болгария, Албания, Россия находятся не разных участках второй фазы. По усредненным оценкам, первая фаза занимает 1 год, вторая — 2—3 года, третья — менее года. Отсюда следует, что если бы процессы преобразований в Украине шли оптимальным образом, то уже в конце 1995 года сектор малого бизнеса должен был достичь 3-й фазы насыщения. В этой фазе, в соответствии с масштабами Украины, численностью населения, количеством занятых в общественном хозяйстве, (см Диаграмму 1) должно быть примерно 2.5 млн. МП, на которых было бы занято 10 млн. человек. Сейчас 700 000 хозяйствующих субъектов, которых можно зачислить в сектор малого бизнеса, занято же в этом секторе 2 млн. человек.

Таким образом, и по числу МП и по численности занятых в них мы в 4-5 раз отстаем от ориентиров фазы насыщения. Следует подчеркнуть масштабность задачи, стоящей перед Украиной: в малый бизнес должны в ближайшие годы прийти, по меньшей мере 6-7 млн. человек, а общее число владельцев-предпринимателей достичь 2-3 млн.
Но как уже говорилось, главная причина сокращения числа малых предприятий - низкий уровень финансовой обеспеченности большинства малых предприятий вследствие трудностей с первоначальным накоплением капитала, невозможность получения кредитов на приемлемых условиях, неэффективность налоговой системы. Негативное воздействие на развитие малого бизнеса в сфере материального производства оказывают неразвитость производственной инфраструктуры, нехватка специализированного оборудования, слабость информационной базы.
Еще один очень важный фактор негативного воздействия на малый бизнес - непрекращающийся глубокий спад производства.
Все это приводит к тому, что только часть зарегистрированных предприятий малого бизнеса оказывается в состоянии приступить к реальному производству продукции.
Как показывает изучение зарубежного опыта, непременным условием успеха в развитии малого бизнеса является положение о том, что малые предприятия и малое предпринимательство нуждаются во всесторонней и стабильной государственной поддержке. Она осуществляется в различных формах, в первую очередь путем стимулирования производства наиболее приоритетных видов продукции, предоставления налоговых льгот, дотаций льготно банковского кредитования, создания информационно-консультативных и научно-технических центров, развития системы страхования, организации материально-технического снабжения. Важную роль играют принятие и исполнение законодательства, разработка и реализация конкретных комплексных программ.
Весьма остра проблема формирования финансовой базы становления и развития малого бизнеса. Для этого ему должны быть предоставлены определенные льготы. Это могут быть льготы по налогообложению. Но проводимая в нашей стране налоговая политика не только не эффективна, но экономически опасна. Она идет вразрез с установленной в мире практикой и современными мировыми тенденциями развития экономики. Неоправданно высокое налогообложение "убивает" в Украине малое предпринимательство (многочисленные налоги и поборы нередко оставляют предприятию лишь 5-10% полученной прибыли). Общее направление совершенствования налоговой системы - усиление стимулирующей роли налогов в развитии производства. Надо освободить малые предприятия от налогов на инвестиции, ввозимые технологии. И, конечно, нужны налоговые льготы на период становления малого предприятия. Совершенно очевидна необходимость дифференцированного налогового подхода к предприятиям разного профиля деятельности. Более низкие ставки налогов должны применяться для наиболее важных, приоритетных отраслей.
К настоящему времени сделаны только самые первые шаги в правовом и организационном обеспечении формирования малого предпринимательства в качестве особого сектора экономики Украины. Действенной системы стимулирования образования малых предприятий не существует, как нет и хозяйственного механизма их поддержки. Не разработана государственная программа развития малых предприятий. По моему мнению, комплекс первоочередных мер по развитию малого предпринимательства в Украине, должен осуществляться в следующих направлениях:
- нормативно-правовое;
- информационно-техническое;
- финансово-кредитное;
- организационное;
- кадровое и консультационное обеспечение;
- внешнеэкономическая деятельность.
Также в государственной программе должны быть отражены механизмы денежно-кредитной, налоговой, бюджетной, и ценовой политики, материально-технического снабжения, системы официальных гарантий, которые обеспечивали бы создание равных стартовых условий в развитии предпринимательской деятельности.
В программе необходимо предусмотреть формирование эффективных институтов рыночной инфраструктуры, товарного рынка и рынка ценных бумаг, инвестиционного и венчурного предпринимательства, информационной, консультационной и аудиторской деятельности, а также создание комплексной государственно-общественной системы поддержки малого предпринимательства, включая подготовку и переподготовку предпринимательских кадров, привлечение к этой сфере социально активных слоев населения. Следует также определить меры, обеспечивающие поддержку внешнеэкономической деятельности и привлечение иностранных инвестиций к развитию предпринимательства.
Для реализации данных программ должны быть привлечены не столько средства государственного бюджета, сколько возможности частного - отечественного, а при необходимости и иностранного капитала. Основным же направлением использования государственных ресурсов должно стать не выделение прямых инвестиций, а страхование и предоставление гарантий под кредит.
1 Хизрич Р, Питере М. Предпринимательство. Вып. 1. М., 1991, с. 20.
2 Кэмпбелл Р. Макконнелл, Стэнли Л. Брю - «Экономикс», Москва, 1996г
3 Хоскинг А. Курс предпринимательства. М., 1993. См.: Предпринимательство в конце XX века. М., 1992, с. 20.
Литература:
Абаджи А.Р., Черняк В.И, Жуковский А.Г. Предпринимательство в Украине. Юридичесий и экономический аспекты. Одесса, 1995г.
Агеев А. И. Предпринимательство: проблемы собственности и культуры. -М., 1991.
Бусыгин А. Предпринимательство: Основной курс - М.,1997
Грузинов В., Грибов В. Предпринимательство: формы и методы организации предпринимательской деятельности - М., 1996
Журнал Экономика Украины. №1, №4 за 1998 год.
Карлоф Б. Деловая стратегия. - М., 1991
Котлер Ф. Основы маркетинга. - М„ 1990.
Кэмпбелл Р.Макконнелл, Стенли Л.Брю - Экономикс, М, 1996г.
Под редакцией Булатова А.С. - Учебник по курсу Экономическая теория, 2-е издание, М., 1997г.
Под редакцией Осипова Ю.М. - Основы предпринимательской деятельности, - М., 1992
Хоскинг А. Среда предпринимательства. Курс предпринимательства . -М. , 1993.
Шумпетер И. Теория экономического развития. - М., 1982
ПЛАН:
Введение.
- Сущность предпринимательства.
1. Определение предпринимательства.
2. Предпринимательская среда.
3. Партнерские связи и отношения.
- Виды предпринимательства.
1. Субъекты предпринимательства.
2. Виды предпринимательской деятельности.
- Проблемы и перспективы развития предпринимательства в Украине.
1. Значение малого бизнеса в развитых странах.
2. Проблемы и перспективы украинского предпринимательства.
Заключение.
Похожие рефераты:
Управление внешнеэкономической деятельностью торговых посредников в регионе
Детерминация и предупреждение преступности среди персонала органов внутренних дел Украины
Формирование инновационного потенциала Дальнего Востока
Физическое лицо – предприниматель: вопросы правового регулирования в РФ
Малое предпринимательство в России
Программа развития и поддержки малого предпринимательства в Новгородской области в конце 90-х годов
Финансирование инновационной деятельности ОАО "НКНХ"
Региональные проблемы малого предпринимательства
Развитие инфраструктуры малого бизнеса
Экономические риски и мотивация инновационной деятельности
Предпринимательство в России на примере Читинской области
Введение в предпринимательское право
Основы бухгалтерского учета малого предприятия
Развитие законодательства об индивидуальном предпринимательстве