| Скачать .docx |
Дипломная работа: Предпринимательство в России на примере Читинской области
Федеральное агентство по образованию
Читинский государственный университет
Институт переподготовки и повышения квалификации
Кафедра политологии и управления
Дипломная работа
По специальности: 061000 «Государственное и муниципальное
управление»
На тему:
Предпринимательство на примере
Читинской области
Выполнил:студ.гр.ГУСЗ-01
Артамонова Т.В.
Научный руководитель:
ст. препод. Межлумян Н.С.
Допущен
К защите
«21» февраля 2005 г.
Зав. кафедрой___________Хлызов П.Г.
Чита 2005
ОГЛАВЛЕНИЕ
Введение
1. Общая характеристика предпринимательства
1.1. Классики экономической теории о предпринимательстве
1.2. Мотивы и функции предпринимательства
1.3. Типология и классификация предпринимательства
1.4.Условия для предпринимательской деятельности
2. Правовые основы предпринимательства
2.1. Конституционные основы предпринимательства
2.2. Законодательство в сфере предпринимательства
2.3. Правовой статус предпринимателя
2.4. Права и обязанности предпринимателя
3. Проблемы становления малого предпринимательства в России
3.1.История развития предпринимательства в России
3.2. Инфраструктура поддержки малого предпринимательства в Читинской области
3.3. Основные предложения по совершенствованию малого предпринимательства;
4. Заключение
5. Список нормативных актов
6. Литература
ВВЕДЕНИЕ
Любая нация гордится плодами деятельности своих предпринимателей. Но любая нация и каждый ее отдельный представитель гордятся и своей причастностью к воплощению какой-либо конкретной предпринимательской идеи. Предпринимательство как одна из конкретных форм проявления общественных отношений способствует не только повышению материального и духовного потенциала общества, не только создает благоприятную почву для практической реализации способностей и талантов каждого индивида, но и ведет к единению нации, сохранению ее национального духа и национальной гордости.
Предпринимательство – это особый вид деятельности, особое поприще, преуспеть на котором не каждому под силу. Оно требует не только солидных экономических знаний, решительности, деловой хватки, готовности рисковать, но и способности к творчеству, неординарному мышлению. Огромный потенциал, заложенный в предпринимательстве, позволяет рассматривать его как фактор производства наряду с материальными, финансовыми и человеческими ресурсами. В нашей стране предпринимательство пока не получило того развития, которое позволило бы ему сыграть подобающую роль в реформировании российской экономики. Возможности предпринимательства в России не только не исчерпаны, но даже не задействованы сколько-нибудь серьезно. [2]
Надо сказать, что в России путь к рынку оказался тернистым. Со всей очевидностью проявилось две разнонаправленные тенденции.
С одной стороны, формируются, пусть тяжело и медленно, механизмы рыночных преобразований: меняются методы государственного регулирования экономики, внедряются новые формы собственности, складывается средний класс.
С другой стороны Россия, не достигла ощутимого успеха в экономических преобразованиях. Сокращается внутренний валовой продукт, происходит разрушение промышленного и аграрного потенциала. Политические катаклизмы, непоследовательность политики реформ, нестабильность законодательства влекут за собой нарушение баланса в экономике, спад производства и инвестиционной активности, отток капитала за рубеж и, как итог, недовольство большей части россиян нынешним уровнем жизни и перспективами.
В экономически же развитых странах малый бизнес, или малое предпринимательство представляет самый многочисленный слой мелких собственников, которые в силу своей массовости в значительной мере определяют социально- экономический и отчасти политический уровень развития страны. По своему уровню жизни и социальному положению они принадлежат к большинству населения, одновременно являясь как непосредственными производителями, так и потребителями широкого спектра товаров и услуг. Сектор МП образует самую разветвлённую сеть предприятий, действующих в основном на местных рынках и непосредственно связанных с массовым потребителем товаров и услуг. В совокупности с небольшими размерами малых предприятий, их технологической, производственной и управленческой гибкостью это позволяет чутко и своевременно реагировать на изменяющуюся конъюнктуру рынка.
В мировой хозяйственной системе, по данным ООН, малые и средние предприятия являются работодателями почти для 50% трудового населения всего мира, при этом объём производства в сфере МСП в различных странах составляет от 33 до 66% национального продукта.[1]
Кроме того, сектор МП более динамично создаёт новые рабочие места. Так, например, в США за период 1976-1990 гг. крупные и средние предприятия потеряли соответственно 500 и 850 тыс. рабочих мест, а сектор МП за тот же период создал 4,1 млн. новых рабочих мест, обеспечивая 65% чистого прироста рабочих мест по стране.
Сектор МП является неотъемлемым, объективно необходимым элементом любой развитой хозяйственной системы, без которого экономика и общество в целом не могут нормально существовать и развиваться. Хотя «лицо» любого развитого государства составляют крупные корпорации, а наличие мощной экономической силы - крупного капитала в значительной мере определяет уровень научно-технического и производственного потенциала, подлинной основой жизни стран с рыночной системой хозяйствования является МП как наиболее массовая, динамичная и гибкая форма деловой жизни. Именно в секторе МП создается и циркулирует основная масса национальных ресурсов, которые являются питательной средой для среднего и крупного бизнеса. Высокая приспособляемость и массовый охват практически всех сфер внутреннего рынка страны обеспечивают устойчивость развития экономики и способствуют стабильности политического климата.[3]
Целью данной дипломной работы является изучение и анализ состояния малого предпринимательства в Читинской области и разработке конкретных предложений по развитию этого процесса.
В соответствии с поставленной целью нами поставлены следующие вопросы исследования:
1. Изучение теоретических основ развития малого предпринимательства.
2. Изучение структуры и потенциала МП в Читинской области
3. Разработка конкретных предложений по развитию МП в Читинской области.
Основой написания дипломной работы послужили материалы конкретных нормативных актов методические разработки Фонда поддержки малого предпринимательства Читинской области, а также разработки специалистов других регионов, опубликованные в периодической печати.
1 оБЩАЯ ХАРАКТЕРИСТИКА
ПРЕДПРИНИМАТЕЛЬСТВА
1.1 Классики экономической теории
о предпринимательстве
Понятие «предпринимательство» (англ.business) впервые употребил английский банкир и экономист Ричард Кантильон (1680-1734) в XVIII в. По Кантильону предпринимательство – это экономическая деятельность, в процессе которой приводятся в соответствие товарное предложение и спрос в условиях постоянного риска. Под предпринимателем Кантильон понимал человека, который приобретая на рынке средства производства, превращает их в капитал. Результатом функционирования капитала является продукция, которая продается на рынке по рыночной цене, более высокой, чем затраты предпринимателя на производство. Поскольку рыночная цена производственного продукта заранее неизвестна, предпринимательству всегда сопутствует коммерческий риск. Источником богатства Р. Кантильон считал землю и труд, которые и определяют действительную стоимость экономических благ.
Английский профессор Алан Хоскинг утверждает: "Индивидуальным предпринимателем является лицо, которое ведет дело за свой счет, лично занимается управлением бизнесом и несет личную ответственность за обеспечение необходимыми средствами, самостоятельно принимает решения. Его вознаграждением является полученная в результате предпринимательской деятельности прибыль и чувство удовлетворения, которое он испытывает от занятия свободным предпринимательством. Но наряду с этим он должен принять на себя весь риск потерь в случае банкротства его предприятия.
Позже более глубокому анализу подверг предпринимательство известный французский экономист Жан-Батист Сэй (1767-1832), усматривавший в нем творческое соединение и координацию двух факторов производства – труда и капитала – в условиях риска. В книге «Трактат политической экономии» (1803 г.) сформулировал определение предпринимательской деятельности как соединения, комбинирования трех классических факторов производства – земли, капитала, труда. Он указывал также, что «талант английских предпринимателей» был одним из факторов успеха развития промышленности Англии. Основной тезис Сэя состоит в признании активной роли предпринимателей в создании продукта. Доход предпринимателя, по мнению Сэя, является вознаграждением за его труд, способность организовать производство и сбыт продукции, обеспечить «дух порядка». Предприниматель, указывал он, - это лицо, которое берется на свой счет и риск и в свою пользу произвести какой-нибудь продукт. Сэй разграничивал функции предпринимателя (бизнесмена) и менеджера (управляющего). Труд предпринимателя Сэй считал творческим, труд менеджера – монотонным, рутинным.
Известный американский экономист австрийского происхождения Иозеф Шумпетер (1883-1950) в книге «Теория экономического развития», которая впервые вышла в 1911 г., трактует понятие «предприниматель» как новатор. Функция предпринимателя, утверждает он, состоит в реализации нововведений, играющих главную роль в развитии капиталистической экономики, в обеспечении экономического роста.
Предпринимателями мы называем хозяйственных субъектов, функцией которых является как раз осуществление новых комбинаций и которые выступают как его активный элемент.
Французский экономист Андре Маршалл (1907-1968) первым добавил к упомянутым выше трем классическим факторам производства (земля, капитал, труд) четвертый фактор – организацию. С этого времени понятие предпринимательства расширяется.
За словами «предпринимательство» стоит предприятие – сложный организм, представляющий собой производственно-хозяйственную систему, задача которой производить продукцию, работы и услуги. Деятельность предприятия как субъекта рыночных отношений протекает в условиях жесткой конкуренции между товаропроизводителями. Именно конкурентная рыночная среда создает наиболее благоприятные условия для экономического развития как отдельного предприятия, так и общества в целом и является движущей силой социального и экономического прогресса. Рыночная среда заставляет предприятие работать в режиме рентабельности, если она не хочет покинуть сферу бизнеса. Режим рентабельности предполагает, что целью функционирования и главным результатом деятельности предприятия в рыночных условиях является прибыль. Нужно производить только те товары и услуги, которые удовлетворяют насущные потребности.
А вот как трактуется понятие «предпринимательство» в Энциклопедическом словаре предпринимателя:
«Предпринимательство» - инициативная самостоятельная деятельность граждан, направленная на получение прибыли или личного дохода, осуществляемая от своего имени, под свою имущественную ответственность или от имени и под юридическую ответственность юридического лица. Предприниматель может осуществлять любые виды хозяйственной деятельности, не запрещенные законом, включая коммерческое посредничество, торгово-закупочную, консультационную и иную деятельность, а также операции с ценными бумагами».
Представляет интерес характеристика предпринимательства, приведенная в книге «Рыночное предпринимательство».
Предприниматель в своей деятельности призван обеспечить необходимую комбинацию или необходимое сочетание личной выгоды с общественной пользой в целях получения прибыли.
Предпринимательство - является деятельностью, которая связана с вложением средств в целях получения прибыли на основе сочетания личной выгоды с общественной пользой. Предпринимательство – это непосредственно деятельность, а не только способность заниматься определенной деятельностью.
Итак, предпринимательство представляет собой специфический вид экономической деятельности, требующей привлечения собственных средств и принятия на себя определенной ответственности и хозяйственного риска. Успех этой деятельности основывается на определенном правовом и организационном оформлении. Доминирующими в формировании типологического вида предпринимательства являются такие особенности экономического и юридического характера, как метод формирования имущества хозяйствующих субъектов, содержание осуществляемых ими имущественных прав, статус субъекта права собственности и т.п.
Работа в рыночной экономике выдвигает перед предпринимателями и менеджерами требование высокой компетентности при осуществлении бизнеса.[5]
1.2 МОТИВЫ И ФУНКЦИИ ПРЕДПРИНИМАТЕЛЬСТВА
Разумеется главным стимулом предпринимательства была и есть прибыль – доход, который остается после вычета из выручки затрат и оплаты труда наемных работников, является собственностью предпринимателя и может быть израсходован им по своему усмотрению.
Предпринимательская прибыль – особый вид дохода, вознаграждение за предприимчивость, специфическую творческую активность в сфере частного бизнеса, которая проявляется в реализации новых идей, технических и организационных нововведений, приносящих коммерческий успех.
Погоня за прибылью заставляет предпринимателей рисковать своим капиталом, нанимать работников и закупать все необходимые для производства товаров и оказания услуг. Прибыль также является стимулом для того, чтобы улучшать качество продукции или услуг, снижать их себестоимость и продавать больше, чем конкуренты.
Получение прибыли, однако, не является единственной причиной, побуждающей людей заняться бизнесом. Стимулом к началу собственного дела могут быть также стремление к личной независимости и возможность исполнять любую работу в удобное для себя время, желание раскрыть свои способности или продолжить семейные традиции.
Кстати сказать, выходцы из семей бизнесменов чаще других открывают свое дело независимо от того, успешен ли был родительский бизнес. По-видимому, родственники, занимающиеся бизнесом и радующиеся плодам своего труда, дают пример возможного выбора карьеры.
Вне зависимости от мотивов и сферы деятельности предприниматель реализует свои способности через исполнение следующих функций: общеэкономическая, творческо-поисковая (инновационная), ресурсная, социальная, организаторская. Некоторые ученые считают, что предпринимательству свойственная и политическая функция, которая осуществляют, как правило, ассоциации (союзы) предпринимателей.
Определяющей, на наш взгляд, в развитой экономике является общеэкономическая функция, которая объективно обусловлена ролью предпринимательских организаций и индивидуальных предпринимателей как субъектов рынков. Предпринимательская деятельность направлена на производство товаров (выполнение работ, оказание услуг) и их доведение до конкретных потребителей: домохозяйств, других предпринимателей, государства, что, в первую очередь, и предопределяет общеэкономическую функцию. Причем предпринимательская деятельность осуществляется ее субъектами под воздействием всей системы экономических законов рыночной экономики (спроса и предложения, конкуренции, стоимости и др.), что является объективной основой проявления общеэкономической функции. Поступательное развитие предпринимательства является одним из определяющих условий экономического роста, увеличения объемов валового внутреннего продукта и национального дохода, а этот фактор также выступает как проявление в системе хозяйственных отношений общеэкономической функции.
Важнейшей функцией предпринимательства является ресурсная. Развитие предпринимательства предполагает эффективное использование как воспроизводимых, так и ограниченных ресурсов, причем под ресурсами следует понимать все материальные и нематериальные условия и факторы производства. Разумеется, первую очередь, трудовые ресурсы (в широком понимании этого слова), землю и природные ресурсы, все средства производства и научные достижения, а также предпринимательский талант. Предприниматель может добиться наивысших успехов, если сумеет генерировать научно-технические идеи, нововведения в той сфере деятельности, в которой он создает собственное дело, будет использовать высококвалифицированную рабочую силу, эффективно потреблять все виды ресурсов. Но погоня за максимальным доходом (прибылью) предпринимателей часто приводит к хищническому использованию ресурсов. Такие предприниматели своей деятельностью наносят вред окружающей среде и населению. В связи с этим важное значение приобретает регулирующая роль государства, устанавливающего формы ответственности предпринимателей за неправильное использование ресурсной функции, которая противоречива и имеет двоякий характер. Предприниматель как собственник ресурсов заинтересован в их рациональном использовании и в то же время может безжалостно относиться к общественным ресурсам. Об этом свидетельствуют история развития предпринимательства и история научно-технических революций, последствия которых для человека противоречивы.
Предпринимательству как новому типу антибюрократического экономического хозяйствования свойственна творческо-поисковая, инновационная функция, связанная не только с использованием в процессе предпринимательской деятельности новых идей, но и с выработкой новых средств и факторов для достижения поставленных целей. Творческая функция предпринимательства тесным образом связана со всеми другими функциями и обусловлена уровнем экономической свободы субъектов предпринимательской деятельности, условиями принятия управленческих решений.
В процессе становления рыночной экономики предпринимательство приобретает социальную функцию, проявляющуюся в возможности каждого дееспособного индивидуума быть собственником дела, с наибольшей отдачей проявлять свои индивидуальные таланты и возможности. Эта функция все более проявляется в формировании нового слоя людей – людей предприимчивых, тяготеющих к самостоятельной хозяйственно-экономической деятельности, способных создавать собственное дело, преодолевать сопротивление среды и добиваться поставленной цели. В то же время увеличивается численность наемных работников, которые, в свою очередь, экономически и социально зависят от того, насколько устойчива деятельность предпринимательских фирм.
Чем эффективнее функционируют предпринимательские организации, тем существеннее поступления их средств в бюджеты различных уровней и в государственные внебюджетные социальные фонды. В то же время развитие предпринимательства обеспечивает рост числа рабочих мест, сокращение уровня безработицы, повышение уровня социального положения наемных работников.
Важнейшей функцией предпринимательства является организаторская, которая проявляется в принятии предпринимателями самостоятельного решения об организации собственного дела, его диверсификации, во внедрении внутрифирменного предпринимательства, в формировании предпринимательского управления, в создании сложных предпринимательских структур, в изменении стратегии деятельности предпринимательской фирмы и т.д. Организаторская функция особенно четко проявляется в быстром развитии малого и среднего предпринимательства, а также в «коллективном (сетевом) предпринимательстве», в создании народных предприятий.[2]
Следовательно, сущность предпринимательства наиболее комплексно проявляется в сочетании всех присущих ему функций, которые объективно свойственны цивилизованному предпринимательству, но во многом зависят от самих субъектов предпринимательской деятельности, от системы государственной поддержки и регулирования предпринимательства. [9]
1.3 ТИПОЛОГИЯ ПРЕДПРИНИМАТЕЛЬСТВА
Под типологией предпринимательства понимается учение о различных типах, видах, сферах предпринимательской деятельности, определяемых по существенным признакам, позволяющим отнести данную конкретную экономическую (хозяйственную) деятельность к определенному типу (виду). В теории предпринимательства имеются различные подходы как при установлении признаков, позволяющих классифицировать предпринимательство, так и при определении качественно и количественной характеристики этих признаков, поэтому часто отнесение той или иной предпринимательской деятельности к определенному типу может являться относительно «размытым», чрезмерно обобщенным. При установлении типов (видов) предпринимательства определяющие значение имеют объекты предпринимательской деятельности, законность ее осуществления, конечные результаты, темпы роста, внедрение нововведений и др.
Предпринимательскую деятельность можно классифицировать по различным характерным признакам, однако в теории и практике сложилась классификация по следующим признакам: по формам собственности; по законности, по охвату территории, по распространению на различных территориях, по составу учредителей, по численности персонала и объему оборота, по темпам роста и уровню прибыльности, по уровню использования нововведений и др.
Что касается форм собственности, то в рыночной экономике предпринимательство развивается на частной и государственной формах собственности. Частная собственность проявляется в форме единоличной (индивидуальной) и коллективной (партнерской). В России государственная собственность существует в двух видах: федеральной и субъектов Российской Федерации. Предпринимательство развивается и на муниципальной собственности, а также на смешанной и совместно формах собственности и собственности (100%) иностранных инвесторов (таблица №1).
Таблица: №1

По признакам законности предпринимательство подразделяется на законное, незаконное, лжепредпринимательство. Незаконным предпринимательством в соответствии со ст.171. Уголовного кодекса Российской Федерации (УК РФ) является осуществление предпринимательской деятельности без регистрации либо без специального разрешения (лицензии) в случаях, когда такое разрешение (лицензия) обязательно, или с нарушением условий лицензирования, если это деяние причинило крупный ущерб гражданам, организациям или государству либо сопряжено с извлечением дохода в крупном размере, под которым понимается доход, превышающий сумму 200 минимальных размеров оплаты труда (МРОТ), а доходом в особо крупном размере является доход, сумма которого превышает 500 МРОТ. Все вышеприведенные признаки (деяния), характеризующие незаконное предпринимательство, являются признаками отнесения к незаконной и банковской деятельности.
В соответствии со ст.173 УК РФ лжепредпринимательством является создание коммерческой организации без намерения осуществлять предпринимательскую или банковскую деятельность, а имеющие целями получение кредитов, освобождение от налогов, извлечение иной имущественной выгоды или прикрытие запрещенной деятельности, причинившей ущерб гражданам, организациям или государству.
За организацию незаконного предпринимательства и лжепредпринимательства установлена уголовная ответственность.
В зависимости от распространения деятельности на различных территориях предпринимательство подразделяется на местное, региональное, национальное, международное и мировое.
В зависимости от состава учредителей (участников) собственного дела выделяется женское и молодежное предпринимательство. Во многих странах действуют ассоциации женского и молодежного предпринимательства, занимающиеся поддержкой их развития. Например, в России создана Ассоциация женщин – предпринимателей России.
С точки зрения темпов развития, уровня прибыльности и доходности предпринимательские организации можно подразделить на: быстрорастущие, медленно наращивающие темпы развития компании, высокоприбыльные низкорентабельные организации, осуществляющие низкорисковые и очень рисковые виды бизнеса, а следовательно, и соответствующие фирмы, хотя нельзя непосредственно поставить знак равенства между видом бизнеса и уровнем рисковости той или иной компании, поскольку имеется большая совокупность факторов, влияющих на уровень конечных результатов деятельности фирмы.
С точки зрения использования в процессе своей деятельности инноваций, нововведений, новых технологий, постоянного поиска новых возможностей для производства новых товаров, выполнения работ, оказания услуг, завоевания новых рынков сбыта, формирования нового спроса и предложения на основе нового комбинирования факторов производства, применения инновационного менеджмента, прогрессивного маркетинга предпринимательская деятельность является творческо-поисковой, продуктивной, революционизирующей экономику в противоположность рутинной, шаблонной, репродуктивной, направленной на воспроизводство известных продуктов труда известными методами, посредством устаревших технологий.
В зависимости от количества участников (учредителей) собственного дела предпринимательство подразделяется на индивидуальное (правда, в соответствии с Гражданским кодексом РФ в России не могут создаваться индивидуальные (семейные) предприятия) и коллективное (партнерское).
По таким признакам (критериям), как численность всего персонала, по удельному весу других субъектов (складочном) капитале определяется малое предпринимательство. В странах с развитой рыночной экономикой отнесение субъектов хозяйствования к малым предприятиям осуществляется почти по 50 критериям.
Если в создании предпринимательской организации наряду с российскими участниками принимают участие иностранные учредители (участники), такое предпринимательство является совместным. Однако выделяют еще и предприятия с иностранными инвестициями.
По формам ответственности участников (учредителей) предпринимательских организаций за результаты их деятельности различают организации с полной ответственностью, а также с солидарной и субсидиарной ответственностью.
В зависимости от механизма создания, числа учредителей (участников), процессов функционирования и управления выделяют простые и сложные предпринимательские организации.[8]
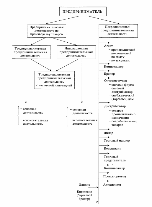
По назначению предпринимательскую деятельность можно подразделить на производственную, коммерческую, финансовую, консультативную и др. Все эти виды могут функционировать раздельно или вместе.
В тоже время каждый из названных видов предпринимательства распределяется на некоторое число подвидов.
1.Производственное предпринимательство можно назвать ведущим видом предпринимательства. Здесь осуществляется производство продукции, товаров, работ, оказываются услуги, создаются определенные духовные ценности. К этому виду предпринимательства относятся инновационная, научно-техническая деятельность, непосредственно производство продукции.
Именно эта сфера деятельности при переходе к рыночной экономике претерпела наибольше негативные изменения: распались хозяйственные связи, нарушилось материально-техническое обеспечение, резко упал сбыт продукции, ухудшилось финансовое положение предприятий.
Важнейшим этапом производственной деятельности служат приобретение или аренда факторов производства. В число таких факторов входят основные и оборотные производственные фонды, рабочая сила, информация.
2.Наибольшее развитие в первые годы перехода к рынку в России получило коммерческое предпринимательство. Оно характеризуется операциями и сделками по купле и продаже товаров и услуг. Здесь быстрее можно получить отдачу. Эта сфера, во многом ограниченная ранее, благодаря усилиям энергичных, инициативных людей стала стремительно развиваться, главным образом как частное, индивидуальное предпринимательство. Нередко среди них имеются и те, кого раньше относили к так называемой «теневой» экономике. Если производственная деятельность обеспечивает, как правило, 10-12% рентабельности предприятия, фирмы, то коммерческая – 20-30%, а нередко и выше. Полем деятельности коммерческого предпринимательства служат товарные и торговые организации.
3.Особым видом предпринимательской деятельности является финансовое (или финансово-кредитное) предпринимательство. Сфера его деятельности – обращение, обмен стоимостей. Финансовая деятельность проникает и в производственную, и в коммерческую, однако она может быть и самостоятельной: банковское, страховое дело и др. Основное поле деятельности финансового предпринимательства – коммерческие банки и фондовые биржи.
Финансовая сделка предполагает не такую высокую норму рентабельности, как предыдущие виды предпринимательской деятельности: эта величина может составить 5-10%.
В последние годы все большее развитие в России получает такая перспективная форма, как консультативное предпринимательство. Оно имеет множество направлений, и сопоставляя уровень его развития в нашей стране с другими развитыми странами, можно сделать вывод, что в ближайшие годы консалтингу предстоит стремительно развиваться (таблица №2).
Таблица №2
| В И Д Ы П Р Е Д П Р И Н И М А Т Е Л Ь С Т В А |
![]()
![]()
![]()
![]()
| Производственное | Коммерческое | Финансовое | Консультативное |
![]()
![]()
![]()
![]()
| Инновационное | Торговое | Банковское | Общее управление |
![]()
![]()
![]()
![]()
| Научно-техническое | Торгово-закупочное | Страховое |
Администри-рование |
![]()
![]()
![]()
![]()
Производство товаров |
Торгово-посредническое | Аудиторское | Финансовое управление |
![]()
![]()
![]()
![]()
| Оказание услуг | Товарные биржи | Лизинговые | Управление кадрами |
![]()
![]()
![]()
| Производственное потребление товаров | Фондовые биржи | Маркетинг |
![]()
![]()
| Производственное потребление услуг | Производство |
![]()
![]()
| Информационная технология |
![]()
Информационное |
Специализиро- ванные услуги |
Предпринимательство как форма инициативной деятельности, направленной на извлечение прибыли (предпринимательского дохода), предполагает:
1) осуществление непосредственных производительных функций, т. е. производство товара (продукта) или оказание услуги (например, машиностроительная фирма, туристская компания, инжиниринговая фирма или конструкторское бюро);
2) осуществление посреднических функций, т. е. оказание услуг, связанных с продвижением товара на рынок и его передачей в надлежащем (общественно приемлемом) виде от непосредственного производителя такого товара его потребителю.
По количеству собственников предпринимательская деятельность может быть индивидуальной и коллективной. При индивидуальном предпринимательстве собственность принадлежит одному физическому лицу. Коллективному предпринимательству соответствует собственность, принадлежащая одновременно нескольким субъектам с определением долей каждого из них (долевая собственность) или без определения долей (совместная собственность). Владение, пользование и распоряжение имуществом, находящимся в коллективной собственности, осуществляются по соглашению всех собственников.[4]
Организационно-правовые формы предпринимательства
В России в соответствии с Гражданским кодексом создаются организационно-правовые формы предпринимательской (коммерческой) деятельности: хозяйственные товарищества и общества, производственные кооперативы, государственные и муниципальные унитарные предприятия.
Товарищество - представляет собой объединение лиц, созданное для осуществления предпринимательской деятельности. Товарищества создаются в том случае, когда в организации предприятия решают принять участие два или более партнера. Важным преимуществом товарищества является возможность привлечения дополнительного капитал. Помимо того, наличие нескольких владельцев позволяют осуществлять специализацию внутри предприятия на основе знаний и умений каждого из партнеров. Недостатки данной организационно-правовой формы предпринимательской деятельности: каждый из участников несет равную материальную ответственность независимо от размеров его вклад. Кроме того, действия одного из партнеров являются обязывающими для всех остальных, даже если они не согласны с этими действиями.
Участники товарищества подразделяются на две группы: полные товарищи (товарищество с неограниченной ответственностью) и коммандитные товарищи (товарищество с ограниченной ответственностью) таблица №4.
Таблица: №4
![]()
Полное товарищество |
Товарищество на вере |
Полным является товарищество, участники которого (полные товарищества) заключили между собой договор о создании предприятия для совместного ведения определенной хозяйственной деятельности. Источником формирования имущества полного товарищества служат вклады его участников.
Полному товариществу не требуется устав. Оно создается и действует на основе учредительного договора, который подписывается всеми участниками. В учредительном договоре указываются наименование товарищества, место его нахождения, порядок управления его деятельностью, размер и состав складочного капитала товарищества, порядок изменения доли каждого из его участников. Здесь содержатся также сведения об ответственности участников полного товарищества за нарушение обязанностей по внесению вкладов и др.
Прибыль и убытки полного товарищества распределяются между его участниками пропорционально их долям в складочном капитале. Для определения размера налогов каждый участник прибавляет свою долю прибыли к имеющемуся у него доходу и с этой суммы платит налоги.
Участники полного товарищества солидарно несут ответственность своим имуществом по обязательствам товарищества.
В коммандитных товариществах часть партеров может обладать неограниченной, а часть – ограниченной ответственностью.
Несколько иное положение в смешанном (коммандитном) товариществе ( товариществе на вере). Наряду с участниками, осуществляющими от имени товарищества предпринимательскую деятельность и отвечающими по обязательствам товарищества своим имуществом (полными товарищами), имеется один или несколько участников-вкладчиков (коммандитистов), которые несут риск убытков, связанных с деятельностью товарищества, в пределах сумм внесенных ими вкладов. Коммандитисты не принимают участия в осуществлении товариществом предпринимательской деятельности.
Товарищество на вере, как и полное товарищество, не имеет устава. Оно создается и действует на основе учредительного договора, который подписывается всеми полными товарищами.
Следующая группа предпринимательских (коммерческих) предприятий хозяйственные общества: общество с ограниченной ответственностью, общество с дополнительной ответственностью, акционерное общество, дочерние и зависимые общества (таблица №5).
Таблица: №5
| Хозяйственное общество |
![]()
![]()
![]()
| Общество с ограниченной ответственностью | Общество с дополнительной ответственностью | Акционерное общество |
![]()
![]()
| Открытое акционерное общество | Закрытое акционерное общество |
Общество создается по соглашению не менее двух граждан либо юридических лиц путем объединения их вкладов (как в денежной, так и в натуральной форме) в целях осуществления хозяйственной деятельности.
Участники общества с ограниченной ответственностью не отвечают по его обязательствам. Они несут ответственность только в пределах стоимости внесенных ими вкладов. В отличие от них участники общества с дополнительной ответственностью несут ответственность всем своим имуществом.
Широко распространенной формой предпринимательства в современных условиях являются акционерные общества. Большинство их создано путем приватизации государственных и муниципальных предприятий. Уставный капитал акционерного общества разделен на определенное число акций. Участники акционерного общества (акционеры) не отвечают по его обязательствам и несут риск убытков, связанных с деятельностью общества, в пределах стоимости принадлежащих им акций.
Их отличие состоит в том, что им предоставлено право привлекать необходимые средства путем выпуска ценных бумаг – акций. При этом участники акционерного общества несут ответственность за результаты его деятельности в пределах стоимости принадлежащих им акций.
Акционерные общества могут быть открытыми и закрытыми. Участники открытого акционерного общества могут отчуждать принадлежащие им акции без согласия других акционеров. Такое акционерное общество может проводить отрытую подписку на выпускаемые им акции и их свободную продажу. При этом оно обязано ежегодно публиковать для всеобщего сведения годовой отчет, бухгалтерский баланс, счет прибылей и убытков.
В отличие от открытого в закрытом акционерном обществе акции распределяются только среди его учредителей или иного заранее определенного круга лиц. Такое общество не вправе проводить открытую подписку на выпускаемые им акции.
Акционеры закрытого акционерного общества имеют преимущественное право приобретения акций, продаваемых другими акционерами этого общества.
Учредительным документом как открытого, так и закрытого акционерного общества служит устав, утвержденный учредителями. В нем помимо общих сведений должны содержаться условия о категориях выпускаемых обществом акций, их номинальной стоимости и количестве; о размере уставного капитала общества; о правах акционеров; о составе и компетенции органов управления обществом и порядке принятия ими решений и др.
Гражданским кодексом впервые определены дочерние и зависимые общества. Дочерним признается хозяйственное общество, если другое (основное) хозяйственное общество или товарищество в силу преобладающего участия в его уставном капитале либо иным образом имеет возможность определять решения, принимаемые таким обществом. Дочернее общество не отвечает по долгам основного общества (товарищества). В тоже время основное общество (товарищество) отвечает солидарно с дочерним обществом по сделкам, заключенным последним во исполнение его указаний.[2]
Несколько иной экономический статус имеет зависимое хозяйственное общество. Зависимым признается хозяйственное общество в случае, если другое, преобладающее или участвующие, общество имеет более 20% голосующих акций акционерного общества, или 20% уставного капитала, общества с ограниченной ответственностью.
Несколько своеобразной организационно-правовой формой предпринимательских предприятий являются производственные кооперативы. Производственным кооперативом, или артелью, признается добровольное объединение граждан для совместной производственной или иной хозяйственной деятельности, основанной на их личном трудовом и ином участии.
В производственном кооперативе объединяются имущественные паевые взносы его членов. Сферой деятельности такого кооператива могут быть, помимо производства, переработка, сбыт промышленной, сельскохозяйственной и иной продукции, выполнение работ, торговля, бытовое обслуживание, оказание других услуг (таблица №6).
Таблица:№6
Производственный (профиль-производство товара) |
![]() |
Производственный кооператив (артель) |
![]() |
Кооператив по выполнению различного рода работ (добыча полезных ископаемых, решение научно-технических проблем и т.д.) |


![]()
Торговый (профиль-торговля продукцией партнеров, в основном розничная торговля) |
| Строительно-ремонтный (профиль-оказание строительных и ремонтных услуг) |
Перерабатывающий (профиль-переработка сырья) |
| Сбытовой (профиль-сбыт продукции, производимой партнерами, в основном оптовая торговля | Сервисный (профиль-оказание различных услуг) |
Учредительным документом производственного кооператива служит его устав, утверждаемый общим собранием его членов. Важной собственностью производственного кооператива является то, что он не вправе выпускать акции, а также то, что каждый член кооператива имеет один голос при принятии решений общим собранием.
В особом ряду среди организационно-правовых форм предпринимательских (коммерческих) предприятий стоят государственные и муниципальные унитарные предприятия. Под унитарным предприятиям понимается коммерческая организация, не наделенная правом собственности на закрепленное за ней собственником имущество.
Имущество унитарного предприятия неделимо и не может быть распределено по долям работниками предприятия или другими лицами.
В форме унитарных могут быть созданы только государственные и муниципальные предприятия. Имущество государственного или муниципального унитарного предприятия находится соответственно в государственной или муниципальной собственности. Оно принадлежит такому предприятию на праве хозяйственного ведения или оперативного управления. Унитарное предприятие, основанное на праве оперативного управления, называется федеральным казенным предприятием. Оно создается по решению Правительства РФ, которое также назначает руководителя предприятия, заключая с ним контракт.
Казенное предприятие в отношении закрепленного за ним имущества осуществляется в пределах, установленным законом, в соответствии с целями своей деятельности, заданиями собственника и назначением имущества права владения, пользования распоряжения им (с согласия собственника этого имущества).
К основным организационно-экономическим формам предпринимательства можно отнести: концерны, ассоциации, консорциумы, синдикаты, картели, финансово-промышленные группы (таблица №7).
Таблица: №7
| Объединения предпринимателей |
![]()
![]()
![]()
![]()
![]()
| Картель | Консорциум | Концерн | Трест | Ассоциация или союз предпринимателей |
Концерн – это многоотраслевое акционерное общество, контролирующее предприятия через систему участия. Концерн приобретает контрольный пакет акций различных компаний, являющихся по отношению к нему дочерними. В свою очередь дочерние компании также могут владеть контрольными пакетами акций других акционерных компаний, нередко расположенных в других странах.
Ассоциации – мягкая форма добровольного объединения экономически самостоятельных предприятий, организаций, которые одновременно могут входить в другие образования. В состав ассоциации, как правило, входят односпециализированные предприятия и организации, расположенные на определенной территории. Основная цель создания ассоциаций – совместные решения научно0тенических, производственных, экономических, социальных и других задач.
Консорциум представляет собой объединение предпринимателей с целью совместного проведения крупной финансовой операции (например, осуществление значительных инвестиций в крупный промышленный проект). Такое объединение предпринимателей имеет возможность вложить средства в крупный проект, при этом значительно уменьшается риск, возникающий при крупных вложениях, так как ответственность раскладывается на множество участников. В условиях научно-технической революции консорциумы возникают в новых отраслях и на стыке различных отраслей и предусматривают проведение совместных научных исследований.
Синдикат – объединение сбыта продукции предпринимателями одной отрасли с целью устранения излишней конкуренции между ними.
Картель означает соглашение между предприятиями одной отрасли о ценах на продукцию, услуги, о разделе рынков сбыта, долях в общем объеме производства и др.
Новой организационно-экономической формой предпринимательства служат финансово-промышленные группы (ФПГ). Они представляют собой объединение промышленного, банковского, страхового и торгового капиталов, а также интеллектуального потенциала предприятий и организаций.[5]
1.4 условия ДЛЯ предпринимательской
деятельности
Для формирования предпринимательства необходимы определенные условия: экономические, социальные, правые и другие.
Экономические условия – это в первую очередь предложения товаров и спрос на них; виды товаров, которые могут приобрести покупатели; объемы денежных средств, которые покупатели могут истратить на эти покупки; избыток или недостаточность рабочих мест, рабочей силы, влияющие на уровень заработной платы работников, т.е. на их возможности приобретения товаров.
На экономическую обстановку существенно влияют наличие и доступность денежных ресурсов, уровень доходов на инвестированный капитал, а также величина заемных средств, к которым готовы обратиться предприниматели для финансирования своих деловых операций и которые готовы предоставить им кредитные учреждения.
Всем этим занимается множество разнообразных организаций, составляющих инфраструктуру рынка, с помощью которой предприниматели могут устанавливать деловые взаимоотношения и вести коммерческие операции. Это – банки, занимающиеся оказанием финансовых услуг, поставщики, снабжающие сырьем, материалами, полуфабрикатами, не комплектующими изделиями, топливом, энергией, машинам и оборудованием, инструментами и др.; оптовые и розничные продавцы, предоставляющие услуги по доведению товаров до потребителя; специализированные фирмы и учреждения, оказывающие профессиональные, юридические, бухгалтерские, посреднические услуги; агентства по трудоустройству, помогающие в подборе рабочей силы; учебные заведения, обучающие рабочих и специалистов-служащих; прочие агентства – рекламные, транспортные, страховые и др.; средства связи и передачи информации.[6]
Вплотную к экономическим примыкают социальные условия формирования предпринимательства. Прежде всего это стремление покупателей приобретать товары, отвечающие определенным вкусам и моде. На разных этапах
эти потребности могут меняться. Существенную роль играют нравственные и религиозные нормы, зависящие от социально-культурной среды. Эти нормы оказывают прямое воздействие на образ жизни потребителей и посредством этого – на его спрос на товары. Социальные условия влияют на отношение отдельного индивидуума к работе, что в свою очередь влияет на его отношение к величине заработной платы, к условиям труда, предлагаемым бизнесом.
От предпринимательской деятельности предприниматель должен получать удовлетворение. Он участвует в решении социальных вопросов трудовой деятельности своих сотрудников: охраны их здоровья, сохранения рабочих мест и др.[1]
Важную роль в формировании предпринимательства играют подготовка, переподготовка и повышение квалификации кадров предпринимателей: организации обучения современным методам ведения предпринимательской деятельности, обучение и переобучение кадров, их стажировка в развитых странах, организация подготовки и переподготовки преподавательских кадров для обучения предпринимателей, создание сети консультативных центров, проводящих профессиональный отбор и ориентацию кадров предпринимательского сектора и др. (таблица №8) .
Таблица:№8
| Процесс предпринимательства |
![]()
![]()
![]()
![]()
| Определение и оценка возможности и бизнеса | Разработка бизнес-плана |
Определение потребности в ресурсах | Управление предприятием |
![]()
![]()
![]()
![]()
| Продолжительность возможности бизнеса | Раздел I Вступление Описание бизнеса Содержание плана |
Определение необходимых ресурсов | Разработка стиля управления |
| Определение имеющихся ресурсов | |||
| Рынок для реализации возможностей бизнеса | Внедрение системы контроля |
![]()
![]()
![]()
![]()
| Анализ конкуренции | Раздел II Описание предприятия (резюме) Анализ отрасли План производства План маркетинга Финансовый план Организационный план Заключение. Расчет эффективности |
Идентифицирование потребности в ресурсах |
Разработка организационных процедур |
| Ценность возможности бизнеса для рынка и предприятия | |||
Определение поставщиков необходимых ресурсов |
|||
| Регулярное проведение SWOT-анализа (сильные стороны, слабые, возможности и угрозы, их оценка) | |||
| Риск и прибыль, которые содержат возможность бизнеса | |||
| Разработка подхода в отношении к поставщикам | |||
| Определение факторов успеха | |||
| Согласование возможности с предпринимательскими знаниями, навыками, желаниями |
Глава II ПРАВОВЫЕ ОСНОВЫ
ПРЕДПРИНИМАТЕЛЬСТВА
2.1 Конституционные основы
предпринимательства
Социально-ориентированное рыночное хозяйство с его экономической свободой, многообразием форм собственности, предпринимательством, социальным партнерством и общественной пользой закрепляется в качестве конституционной основы экономики России.
Функционирование рыночной экономики осуществляется в рамках определенного правового пространства, где нормы права создают поле экономической свободы, конкуренции, инициативной хозяйственной деятельности и т.д., а вместе с тем юридически опосредуют все многообразие форм – производственного, коммерческого и финансового предпринимательства. Институт предпринимательства закреплен законодательно в качестве абсолютного частного права лица. Для развития единого рынка предусматривается, что продукция, товары, услуги, финансовые средства обращаются на территории свободно, без установления каких-либо препятствий, пошлин и сборов, независимо от существенных границ между субъектами Федерации, за исключением тех случае, когда это предусмотрено законом в интересах общественной безопасности, защиты людей, охраны культурных ценностей и природы. Несмотря на принятия множества законов, при вступлении России в рынок не сложилась эффективная правовая система, которая обеспечивала бы разумное сочетание свободы предпринимательства конкуренции с ограничением неблагоприятных тенденций в развитии бизнеса. Во многом именно вследствие несовершенства законодательной базы сохраняются такие негативные явления, как фискальный характер налогообложения, монополизм, уклонение от уплаты налогов, криминализация предпринимательской деятельности. Законодательство рыночной экономики в силу затянувшегося поиска новых подходов, его недостаточной проработанности, сложности и противоречивости общественно-политической обстановки не отличалось стабильностью, единством и последовательностью, а тем самым оно не стало прочной основой развития предпринимательства, не говоря уже об утрате управляемости народным хозяйством в целом.
С принятием Конституции Российской Федерации 1993 года были заложены конституционные основы предпринимательства, как и всей рыночной экономики. Непосредственное отношение к регулированию рынка имеет более 20 статей Конституции – о единстве экономического и правового пространства России, об установлении правовых основ единого пространства России, об установлении правовых основ единого рынка, о многообразии форм собственности, в том числе частной собственности на землю, о свободе передвижения, выборе места жительства, выезде и возвращении в Россию, о свободе предпринимательства, обязанности платить налоги, о соответствии национального законодательства общепринятым принципам и нормам международного права. Конституционные нормы – это нормы высшей юридической силы, а вместе с тем и нормы прямого, непосредственного действия, и следовательно, в случае, если нормы закона, указ, иного правового акта противоречат Конституции, подлежат применению нормы Конституции РФ.
Формирование правовой основы гражданского общества осуществляется по всем направлениям, поскольку право представляет собой единую нормативно-правовую систему общества. Важнейшей отраслью в этой системе является гражданское право, которое в качестве права рыночной экономики переводит на юридический язык институты рынка - экономической свободы, собственности и автономию личности. Повышение эффективности законодательства в достижении рациональности, а ныне и стабильности экономики – одно из главных направлений совершенствования механизма нормативно-правового регулирования.
Исключительно важным для развития экономики является принятие в 1994-1995 гг. частей 1 и 2 Гражданского кодекса РФ. Значение Кодекса заключается прежде всего в том, что это – политически нейтральный, как и сам рынок, нормативный документ, воплотивший в себе достижения многовековой правовой культуры по регулированию отношений рынка. Далее, это федеральный закон, закрепляющий единство правового пространства на территории РФ. Наконец, ГК – это сердцевина гражданского законодательства, а следовательно, нормы ГК носят абсолютный характер, в том числе при коллизии гражданско-правовых норм.
Исходя из конституционных основ российского общества Гражданский кодекс РФ 1994г. закрепляет принципы гражданского регулирования, которые складываются из семи начал: равенства участников гражданского оборота, неприкосновенность собственности, свободы договора, недоступности произвольного вмешательства кого-либо в частные дела, беспрепятственного осуществления гражданских прав, их восстановления и судебной защиты права. Ограничения гражданских прав могут быть установлены лишь на основании федерального закона и только в той мере, в какой это необходимо в целях защиты конституционного строя, нравственности, здоровья и прав других лиц, а также обеспечения обороны и безопасности страны.
Закладывая правовой фундамент рыночной экономики, Гражданский кодекс не только уравнивает граждан, юридических лиц государство в их гражданско-правовом статусе, но и закрепляет право граждан и их объединений на занятие предпринимательством в качестве их абсолютного частного права; гарантирует каждому субъекту права подлинные имущественные и личные права, не подверженные вторжению в эту сферу государства; предоставляет право обладания любым имуществом без ограничения его состава, количества и стоимости, а ограничения в отношении отдельных объектов могут быть лишь по соображениям общественной пользы и безопасности; наконец, предусматривает защиту среди других личных благ деловой репутации и предпринимательской тайны.
Гражданский кодекс РФ дает понятие предпринимательства как самостоятельной, осуществляемой на свой риск деятельности, направленной на систематическое получение прибыли от пользования имуществом, продажи товаров, выполнения работ или оказания услуг лицами, зарегистрированными в этом качестве в установленном порядке.
Новый ГК закрепляет исторически сложившиеся, начиная с Древнего Рима, а затем – в их классическом виде при капитализме – предписания о недопустимости злоупотребления правом. Таким образом, возможность свободно распоряжаться своими правами определенные законом границы, переход за которые запрещен. Это не только действия лица исключительно с намерением причинить вред другому лицу, но и иные без злонамеренности действия (сброс ядовитых отходов производства, нарушение правил конкуренции и др.), ущемляющие интересы других лиц. Интеграция нравственно-правовых норм, при которой нравственные воззрения непосредственно воплощаются в формах позитивного права, приобретает исключительно важное значение как для развития предпринимательства, так и для становления цивилизованного рынка России.[8]
Экономика рыночного типа – экономика свободного предпринимательства, в связи с чем законоположениями закрепляется необходимая, достаточно благоприятная предпринимательская среда, условия для развития предпринимательства во всех его формах: производственного, коммерческого либо финансового. Закрепляя экономико-правовые основы предпринимательства, законоположения определяют статус хозяйствующих субъектов. Этот статус включает свободу выбора предпринимательской деятельности, право самостоятельно осуществлять производство и реализовать продукцию, получать и распределять прибыль, участвовать во внешнеэкономической деятельности, а вместе с этим предусматривает широкий комплекс гарантий, в том числе недопустимость вмешательства государственных органов и их должностных лиц в деятельность предпринимателей. Формируя механизм реализации потребностей, интересов в сфере предпринимательства, законы определяют пределы дозволенного, желаемого и запретного поведения в процессе хозяйствования. Экономическая свобода вместе с новой концепцией законности и хозяйственной деятельности, в основу которой положена идея правомерности всего, что прямо не запрещено законом, создает широкое, легальное поле самостоятельности, инициативной хозяйственной деятельности в сфере предпринимательства.
Наряду с гражданским правом в условиях рыночной экономики сложились в качестве самостоятельных банковское страховое и корпоративное право, а вместе с тем заложены основы акционерного, вексельного и других отраслей законодательства.[4]
2.2 Законодательство в сфере
предпринимательства
Одним из условий развития в стране предпринимательской деятельности является формирование эффективной системы государственных гарантий. Эти гарантии предусмотрены действующим законодательством, но не реализуются на практике.
Так, ст.20 Закона РФ «О предприятиях и предпринимательской деятельности» дееспособным гражданам (их объединения) гарантирует право заниматься предпринимательской деятельностью, создавать свои предприятия и приобретать необходимое для их деятельности имущество. В ней указывается, что нельзя отказать в регистрации предприятия по мотивам нецелесообразности. К сожалению, местные органы государственной власти нередко усложняют порядок регистрации предприятий, что тормозит развитие предпринимательства.
В законе также говорится о защите прав и интересов субъектов предпринимательской деятельности, в том числе из иностранных государств, о недопустимости дискриминации предприятий со стороны государства, его органов и должностных лиц, о защите имущества предпринимателей от незаконного изъятия.
Кроме того, закон предусматривает систему мер против монополизации рынка и недобросовестной конкуренции.
Наконец, он предоставляет всем субъектам предпринимательской деятельности право равного доступа к материальным, финансовым, трудовым, информационным и природным ресурсам.
Наряду с преобразованием форм и отношений собственности как основополагающих, глубинных начал формирования рынка осуществляется система мер по демонополизации экономики, развитию конкуренции, созданию должной среды и условий предпринимательства. Это прежде всего меры по развитию рыночной инфраструктуры, по финансово-кредитной поддержке предпринимательства, осуществлению программ развития малого и среднего бизнеса. Антимонопольная направленность законодательства проходит через все законы рыночной экономики, но главным, стержневым является Федеральный закон от 25 мая 1995г. «О конкуренции и ограничении монополистической деятельности на товарных рынках» с последующими его изменениями, вызванными потребностями совершенствования антимонопольного законодательства.
Конституционно запрещена экономическая деятельность, направленная на монополизацию и недобросовестную конкуренцию, при этом в гражданском законодательстве раскрывается характер и содержание недобросовестной конкуренции в сфере предпринимательства. Закон закрепляет равные и справедливые условия предпринимательства для участников гражданского оборота. Государство не вправе предоставлять кому-либо исключительные или преимущественные права для занятия любой экономической деятельностью.
Экономическая свобода несовместима как с анархией, так с монополизмом. Запрещается злоупотреблять господствующим положением на рынке, заключать соглашения, направленные на раздел рынков, установление монопольных цен, дискриминацию конкуренции. Законоположениями предусмотрено принудительное разделение крупных предприятий-монополистов, если их доминирующее положение на рынке существенно ограничивает конкуренцию. Далее, к предприятиям-монополистам могут быть применены меры государственного регулирования цен, установления предельного уровня рентабельности и т.д. Государственная промышленная политика предполагает сохранение в процессе демонополизации единых производственно-технических комплексов, что требует вместе с глубоким экономическим обоснованием учета всего разнообразия факторов демонополизации.
На первом этапе реформ, как в силу нечеткости общественных преобразований, так и вследствие поспешности самих реформ, переход к рынку не был обеспечен необходимым законоположениями, чем был нарушен принцип законодательного, притом опережающего обеспечения тех или иных преобразований. Законы о регулировании рынка ценных бумаг, об акционерных обществах, об инвестициях и т.д. были приняты в условиях, когда шли интенсивные процессы приватизации, акционирования, формирования финансовых структур, а тем самым развитие предпринимательства не получало должного, эффективного нормативно-правового регулирования. Законоположения не только закрепляют экономические, социальные и другие потребности и реалии жизни в качестве правовых, нормативно установленных предписаний государства, но и формируют механизм их реализации, обеспечивая тем самым возрастание организующей роли права.
Нормативно-правовая система в условиях рынка все больше ориентируется на стимулирование хозяйственной и социальной деятельности, а тем самым – и на развитие саморегуляции, о чем свидетельствуют законы о поддержке среднего и малого бизнеса, крестьянских (фермерских) хозяйств и т.д. Наряду с разработкой федеральной и региональных программ государственной поддержки малого предпринимательства законоположениями закреплены правовые основы и меры по дальнейшему его развитию. Это – утверждение малых предприятий и предпринимателей как полноправных субъектов рыночной системы хозяйствования, обеспечение доступа к финансовым, кредитным и материальным ресурсам в объемах и на условиях, необходимых для развития малого предпринимательства, производственно-технологическая поддержка малого бизнеса, развитие сети субъектов предпринимательства, отвечающих интересам формирования рациональной структуры экономики России и ее регионов. Наряду с этим определены приоритеты развития предпринимательства в сфере производства и переработки сельхозпродукции, изготовления товаров народного потребления и лекарств, строительство и осуществление инновационной деятельности с предоставлением налоговых и иных льгот в этих отраслях предпринимательства.
Законодательство выходит на новые рубежи – от запретительных к нормам регулятивного характера с тем, чтобы обеспечить экономическую свободу, известный баланс интересов различных субъектов права. И в этом отношении заслуживает внимания законодательство, закрепляющее интеграцию интересов граждан, организаций и общества в целом. Закон предписывает возместить собственнику в полном объеме ущерб, причиненный кем-либо вследствие злоупотребления своим положением, использования недобросовестных методов предпринимательства и совершения иных действий, ущемляющих права и охраняемые законом интересы других лиц. Деятельность предпринимателя, нарушающего правила предпринимательской деятельности, в результате которой причинен вред правам и интересам граждан и государству либо создана угроза причинения такого вреда, может быть приостановлена до устранения допущенных нарушений. Вместе с законными интересами предпринимателей охраняются интересы других лиц, устои нравственности и правопорядка.
Законоположения через систему гражданско-правовых сделок - биржевых, посредничества, лизинга, факторинга и т.д. – существенно расширяют инструментарий договорного права, укрепляют устойчивость, надежность и авторитет договорно-хозяйственных отношений, а вместе с закреплением самостоятельности и ответственность контрагентов за результаты хозяйствования. Участники гражданских правоотношений предполагаются добросовестными исполнителями прав и обязанностей, а следовательно, кредитор обязан доказать факт ненадлежащего исполнения должником обязательств, наличия убытков и причинную связь между ущербом и фактором правонарушения. Когда закон ставит защиту гражданских прав в зависимость от того, осуществились ли эти права разумно и добросовестно, разумность действий и добросовестность участников гражданских правоотношений предполагается. Закреплена наряду с этим презумпция вины нарушителя гражданско-правовых обязательств, в связи с чем кредитор (потерпевший) не обязан доказывать вину правонарушителя.
Механизм обеспечения реализации закона представляет собою комплекс социально-экономических, организационно-управленческих, юридических, а в известной мере и идеологических, социально-психологических средств, направленных на эффективное, реальное действие закона. Здесь выделяется прежде всего материально-техническое обеспечение предпринимательства (приобретение земельных участков, предоставление кредитов и т.д.), что не исключает подчас и отсутствия всех необходимых ресурсов для законодательных новаций, а тем самым не создаются и условия для реализации предоставленных прав. Серьезным препятствием для предпринимательства в этой области остаются бюрократизм и коррупция в аппаратах администрации. Эффективность и реальность законов значительно возрастает посредством формирования юридического механизма реализации закона (издание законов прямого регулирующего действия, определение порядка, условий и гарантий осуществления прав и обязанностей, создание системы социально-правового контроля).[6]
Предпринимательство, как и государственное его регулирование, включает в качестве важнейшей, неотъемлемой части налогообложения. Законодательство о налогах закрепляет принципы налогообложения, систему налогов и порядок их взимания, взаимоотношения предпринимателей - налогоплательщиков с налоговой службой. Основополагающим является Налоговый кодекс Российской Федерации от 31 июля 1998г., но действует целый ряд законов РФ – «Об основах налоговой системы в Российской Федерации» от 27 декабря 1991г., «О государственной налоговой службе», Федеральный закон «Об упрощенной системе налогообложения, учета и отчетности для субъектов малого предпринимательства» от 29 декабря 1995г., «О федеральных органах налоговой полиции» от 24 июня 1993г.
Законодательство Российской Федерации содействует освоению новых отношений рынка и в области труда, исходя из конституционного закрепления отношений социального партнерства, свободы труда, социальной защиты населения. Эта область законодательства включает: систему норм, направленных на достижение высокопроизводительного, эффективного труда; расширение договорных начал в регулировании трудовых отношений; обеспечение социальной защиты граждан в условиях рынка; согласование противоречивых интересов работодателей и наемных работников. Наряду с Законом РФ от 25 сентября 1992г., значительно обновившим КЗоТ РСФСР 1971г, важнейшим является пакет законов – о занятости населения 1996г, о коллективных договорах и соглашениях 1992г., об охране труда 1993г., о порядке разрешения коллективных трудовых споров и целый ряд других.
Совершенствование правовой системы РФ настоятельно требует дальнейшего обновления трудового законодательства, соответствующего перспективам развития гражданского общества, реалиям рыночной экономики, основополагающим принципам международного права (декларациям, решениям и конвенциям ООН и МОТ). Главным является принятие нового трудового кодекса РФ. С разработкой концепции такого обновления, закрепляющей качественно новый уровень признания, соблюдения и защиты прав человека, будет доминировать и механизм социально- правового регулирования, обеспечивающий как свободу, интересы и потребности предпринимательства, так и систему государственно-правовых гарантий граждан в сфере труда.
Конституционной основой Российского государства является сохранение его целостности, в связи с чем закрепляется единство экономического пространства на всей территории России. Установление правовых основ единого рынка Конституция РФ относит к ведению Федерации. Характерным является и развитие законотворческой деятельности субъектов Федерации в сферах как исключительной компетенции, так и их совместного ведения с Федерацией.[7]
2.3 ПРАВОВОЙ СТАТУС ПРЕДПРИНИМАТЕЛЯ
Объем прав, пределы обязанностей и уровень ответственности – вот что в первую очередь интересует (должно интересовать) предпринимателя, как начинающего, так и практикующего достаточно длительный период времени. Все это концентрируется в понятии «статус предпринимателя».
Статус предпринимателя закрепляется за ним при государственной регистрации в качестве субъекта предпринимательского процесса. Сам факт государственной регистрации и есть получение статуса, т.е. приобретения дополнительного (по сравнению с общегражданскими правами и свободами) правового пространства.
Существует две формы правового статуса предпринимателя - индивидуальный предприниматель и юридическое лицо (таблица №9).
Таблица: №9
Предприниматель
|
| Статус |


Индивидуальный предприниматель |
Юридическое лицо |
Статус предпринимателя является показателем объема прав и обязанностей, которые закрепляются за ним в рамках которых он может совершать какие-то определенные действия. Получая статус юридического лица, предприниматель совершает действия уже не от своего имени, а от имени этого юридического лица.
Индивидуальное предпринимательство
Индивидуальным предпринимателем является физическое лицо (гражданин), которое лично ведет дело от своего имени, на свой счет и свой риск, самостоятельно принимает хозяйственные решения. Индивидуальный предприниматель несет личную, полную ответственность за результаты своей деятельности. Это означает, что в случае образования долга предприниматель расплачивается всем своим имуществом. При этом предприниматель трудится сам, не привлекая дополнительную рабочую силу. Такое предпринимательство классифицируется как индивидуальная трудовая деятельность и регистрируется в местных органах власти, осуществляется на основе патента, а предприниматель уплачивает налоги как физическое лицо.
Однако предприниматель может привлечь дополнительную рабочую силу и зарегистрировать индивидуальное (семейное) частное предприятие. Для этого представляется устав предприятия, отражающий его цель и виды деятельности. При этом действует система налогообложения для предприятий и имущественная ответственность распространяется лишь на капитал данного предприятия.
Индивидуальный предприниматель может использовать в предпринимательской деятельности собственное имущество и по договору имущество других лиц. Он может взять деньги в займы, получить кредит у банков, других организаций или частных лиц.
Индивидуальный предприниматель самостоятельно распределяет прибыль от своей деятельности, оставшуюся после уплаты налогов.
В случае смерти предпринимателя его права и обязанности переходят к его наследникам-правопреемникам.
Индивидуальная предпринимательская деятельность прекращается по решению самого предпринимателя или суда. Суд вправе прекратить индивидуальную деятельность в случае признания предпринимателя банкротом или нарушителем действующего законодательства. С момента вынесения такого решения утрачивает силу его регистрация в качестве индивидуального предпринимателя.
Индивидуальное предпринимательство основано на частной собственности и чаще всего носит характер малого бизнеса. В этом качестве индивидуальное предпринимательство способствует демонополизации экономики, усиливает конкурентные начала. Оно делает экономику более гибкой, способной к быстрой саморегуляции без госбюджетных инъекций.
Однако к индивидуальному предпринимательству трудно привлечь большие капиталы вследствие более низкой кредитоспособности по сравнению с коллективными формами предпринимательской деятельности. Поскольку индивидуальный бизнес держится на предпринимательстве одного человека, он прибылен пока бизнесмен активен, и время жизнедеятельности такого предприятия неопределенно, поэтому кредиторы не всегда охотно идут на долгосрочные финансовые сделки с индивидуальным предпринимателем.
Индивидуальное предпринимательство отличается высоким уровнем риска и недостатком специализированного менеджмента. Обычно предприниматель является собственником и выполняет все функции по управлению предприятием (производство, снабжение, сбыт, финансы), что требует универсальных знаний по многим областям производства. Отсутствие финансовых средств и невозможность привлечь к управлению специалистов-менеджеров приводит к принятию неоптимальных решений.
Индивидуальное предпринимательство требует более существенной и реальной поддержки со стороны государства.
Понятие о юридическом лице
Статус юридического лица закрепляется за создаваемой организацией, которая в зависимости от своей основной цели относится либо к коммерческим, либо к некоммерческим организациям. Схематично это можно представить следующим образом (таблица №10).
Таблица: №10
![]() Юридическое лицо |
Коммерческая организация |
Некоммерческая организация |
Юридическое лицо характеризуется определенными правовыми свойствами или признаками, которые отражены в приводимой таблице:
В соответствии со ст.50 ГК РФ юридические лица подразделяются на два вида: коммерческие и некоммерческие организации.
Коммерческой считается организация, которая ставит в качестве основной цели деятельности извлечение прибыли. В соответствии с установленным законом и учредительными документами порядком коммерческая организация распределяет чистую прибыль между учредителями (участниками). Следовательно, в соответствии с гражданским законодательством все коммерческие организации (кроме казенного предприятия) можно считать предпринимательскими. Коммерческие организации могут создаваться в форме хозяйственных товариществ и обществ, производственных кооперативов, государственных и муниципальных унитарных предприятий.
Некоммерческими являются организации, которые не имеют целью своей деятельности извлечение прибыли и не могут распределять полученную прибыль между участниками (учредителями). Однако некоммерческие организации могут осуществлять предпринимательскую деятельность лишь постольку, поскольку это служит достижению целей, ради которых они созданы, и соответствующую этим целям.
В соответствии с Федеральным законом от 12 января 1996 года, №7-Ф3 «О некоммерческих организациях» некоммерческие организации могут создаваться в форме общественных или религиозных организаций (объединений), некоммерческих партнеров, учреждений, автономных некоммерческих организаций, социальных, благотворительных и иных фондов, ассоциаций и союзов, а также в других формах, предусмотренных федеральными законами. Некоммерческие организации могут создаваться для достижения социальных, благотворительных, культурных, образовательных, научных и управленческих целей, в целях охраны здоровья граждан, развития физической культуры и спорта, удовлетворения духовных и иных нематериальных потребностей граждан, защиты прав, законных интересов граждан и организаций, разрешения споров и конфликтов, оказания юридической помощи, а также в иных целях, направленных на достижение общественных благ.
Юридические организации могут создавать филиалы и представительства, которые не являются юридическими лицами. Они наделяются имуществом создавшим их юридическим лицом и действуют на основании утвержденных им положений. Филиалом является обособленное подразделение юридического лица, расположенное вне места его нахождения и осуществляющие все его функции или их часть, в том числе функции представительства, которым является обособленное подразделение юридического лица, расположенное вне места его нахождения, представляющее интересы юридического лица и осуществляющее их защиту.
Руководители филиалов и представительств назначаются юридическим лицом и действуют на основании его доверенности. Представительства и филиалы должны быть указаны в учредительных документах создавшего их юридического лица.
Юридические лица, имеют гражданские права, соответствующие целям деятельности, предусмотренным в их учредительных документах, и несут связанные с этой деятельностью обязанности. Коммерческие организации, за исключением унитарных предприятий, могут иметь гражданские права и нести гражданские обязанности, необходимые для осуществления любых видов деятельности, не запрещенным законом.
Юридические лица получают статус в качестве таковых с момента их государственной регистрации (в установлено порядке) и внесения записи в единый государственный реестр юридических лиц.[5]
2.4 ПРАВА И ОБЯЗАННОСТИ ПРЕДПРИНИМАТЕЛЯ
В соответствии с законодательством РФ каждый субъект предпринимательской деятельности имеет право:
- самостоятельно формировать производственную программу, выбирать поставщиков и потребителей своей продукции, устанавливать на нее цены в пределах, предусмотренных законодательством и договорами;
- начинать и вести предпринимательскую деятельность путем учреждения, приобретения или преобразования предприятия, а также заключения договора с собственником имущества предприятия;
- самостоятельно планировать свою деятельность и определять перспективы развития исходя из спроса на производимую продукцию, работы, услугу и необходимости обеспечения производственного и социального развития предприятия, повышения личных доходов его работников;
- осуществлять любые виды деятельности, определенные уставом предприятия, кроме запрещенных законодательством;
- привлекать на договорных началах и использовать финансовые средства, объекты интеллектуальной собственности, имущество и отдельные имущественные права граждан и юридических лиц;
- в соответствии с законодательством выпускать акции и другие ценные бумаги, приобретать акции и другие ценные бумаг;
- распоряжаться прибылью в соответствии с законодательством, договорами и уставом предприятия;
- осуществлять внешнеэкономическую деятельность;
- нанимать и увольнять работников в соответствии с действующим законодательством и уставом предприятия;
- открывать расчетный и другие счета в любом банке для хранения денежных средств и осуществления всех видов расчетных, кредитных и кассовых операций;
- самостоятельно устанавливать формы, системы и размер оплаты труда работников, а также других видов доходов ( при этом максимальный размер оплаты не ограничен);
- самостоятельно вводить для своих работников дополнительные отпуска, сокращенный рабочий день и иные льготы;
- не предоставлять информацию, содержащую коммерческую тайну;
- оспаривать в суде (арбитраже) в установленном порядке действия граждан, юридических лиц, органов государственного управления;
- образовывать союзы, ассоциации и другие объединения предпринимателей;
- пользоваться кредитом национальных и зарубежных банков и коммерческим кредитом в иностранной валюте, а также приобретать валюту на аукционах, валютных биржах, у юридических лиц и граждан в порядке, установленном законодательством.
Для предпринимателей и юридических лиц имеет значение право учреждать представительства, филиалы, отделения, другие обособленные подразделения с правом открытия текущих и расчетных счетов. В соответствии с п.2 ст.4 Закона РФ « О предприятиях и предпринимательской деятельности» предприниматель самостоятельно осуществляет свою деятельность, распоряжается выпускаемой продукцией, полученной прибылью, оставшейся в его распоряжении после уплаты обязательных платежей.
Закон РФ «О занятости населения РФ» наделяет предпринимателя правом получать от службы занятости бесплатную информацию о состоянии рынка труда. Работодатели, создающие дополнительные рабочие места для граждан, особо нуждающихся в социальной защите, сверх минимального количества, устанавливаемого местной властью, могут претендовать на частичное возмещение связанных с этим расходов в виде дополнительных льгот, другие формы компенсации.
Права предпринимателей неразрывно связаны с их обязанностями перед обществом и государством, а также перед наемными работниками и хозяйственными партнерами.
Предприниматель обязан:
- своевременно предоставлять декларацию о доходах и уплачивать налоги и другие обязательства платежи и сборы в соответствии с законодательством;
- выполнять обязательства, вытекающие из действующего законодательства и заключенных им договоров, в том числе договоров с собственником имущества предприятия;
- заключать в соответствии с законодательством и уставом трудовые договоры с работающими по найму гражданами или уполномоченными ими органами;
- полностью рассчитываться со всеми работниками предприятия согласно заключенным договорам независимо от финансового состояния предприятия;
- осуществлять социальное, медицинское и иное обязательное страхование граждан, работающих по найму;
- обеспечивать нормальные и безопасные условия для трудовой деятельности в соответствии с законодательством и коллективным договором;
- соблюдать гарантированный законом минимальный размер оплаты труда.
Предприятие независимо от организационно-правовой формы должно вести установленную законодательством бухгалтерскую и статистическую отчетность и предоставлять государственным органам информацию, необходимую для налогообложения и ведения общегосударственной системы сбора и обработки экономической информации.
Важнейшей обязанностью предпринимателей является возмещение ущерба, причиненного нерациональным использованием земли и других природных ресурсов, загрязнением окружающей среды, нарушением правил безопасности производства, санитарно-гигиенических норм и требований по защите здоровья наемных работников, населения и потребителей продукции. Предприниматель обязан выполнять решения соответствующих органов власти по социальной защите инвалидов и других лиц с ограниченной трудоспособностью.
Предприниматели как работодатели должны содействовать проведению государственной политики занятости путем: соблюдения условий договоров (контрактов, других соглашений), регулирующих трудовые соглашения в соответствии с законодательством; реализации мер, предусмотренных в коллективных договорах (других соглашениях) по защите трудящихся в случае безработицы или приостановки производства; создания условий для профессиональной подготовки и повышения квалификации трудящихся, трудоустройства граждан, особо нуждающихся в социальной защите.
В соответствии с Законом РФ «О занятости населения РФ» работодатели должны своевременно и в полном объеме предоставлять информацию о возможных массовых увольнениях трудящихся, полностью возмещать службе занятости затраты по созданию специальных рабочих мест и профессиональной подготовке в связи с трудоустройством работников, получивших профессиональное заболевание или инвалидность на данном производстве, путем перечисления средств в фонд занятости (пп.2 и 3 ст.28).
Предприниматель обязан своевременно заявлять о банкротстве предприятия в случае невозможности исполнения обязательств перед кредиторами. При этом расчеты с кредиторами осуществляются в такой очередности:
- производится капитализация повременных платежей, причитающихся с предпринимателя в связи с его ответственностью за причинение вреда жизни или здоровью гражданина;
- оплачивается труд лиц, работающих по трудовому договору;
- вносятся платежи в бюджет и на цели социального страхования;
- рассчитываются с другими кредиторами в соответствии с законодательными актами.
Предприниматель отвечает перед кредиторами имуществом предприятия в соответствии с организационно-правовой формой предприятия. Он несет полную ответственность за соблюдение кредитных договоров и расчетной дисциплины. Предприятия, не выполняющие своих обязательств по расчетам, могут быть в судебном порядке объявлены неплатежеспособными (банкротами) в соответствии с законодательством со всеми вытекающими их этого последствиями.[7]
Глава III пРОБЛЕМЫ СТАНОВЛЕНИЯ МалоГО ПредпринимательствА В РОССИИ
3.1 История развития ПредпринимательстВА
в России
В России предпринимательство существует с давних времен. Зародилось оно еще в Киевской Руси в торговой форме и виде промыслов. Первыми предпринимателями в России можно считать мелких торговцев, купцов. Наибольшее развитие предпринимательства относится к годам правления Петра I (1689-1725). По всей России создаются мануфактуры, бурно развиваются такие отрасли промышленности, как горная, оружейная, суконная, полотняная. Известнейшим представителем династии предпринимателей промышленности в ту пору явилась семья Демидовых, родоначальником которой был тульский кузнец.
Дальнейшее развитие предпринимательства сдерживалось существованием крепостного права. Серьезным стимулом развития предпринимательства стала реформа 1861 г. Начинается строительство железных дорог, реорганизуется тяжелая промышленность, оживляется акционерная деятельность. Развитию и переустройству промышленности способствует иностранный капитал. В 90-е г. XIX в. В России окончательно складывается индустриальная база предпринимательства. В начале XX в. Предпринимательство становится массовым явлением в России, предприниматель формируется как собственник, хотя влияние иностранного капитала и государства остается значительным.
В этот период формируется рынок рабочей силы, развивается акционерная-паевая форма предпринимательства, открываются частные акционерные банки: коммерческий, земельный и др. К началу XX в. В российской экономике 2/3 всей промышленной продукции производилось в акционерных, паевых и других коллективных формах предпринимательской деятельности и лишь 1/3 приходилось на единоличные формы. Особо доходными были вложения средств в хлопчатобумажное производство, торговлю и кредит. Начался процесс монополизации фирм. Среди крупных фирм известны «Продамет», «Продвагон», «Продуголь», товарищества Российско-американской мануфактуры, братьев Нобель и др.
К сожалению, в России после окончания Первой мировой войны и завершения двух революций – Февральской и Октябрьской был взят курс на ликвидацию рыночных экономических связей. Были национализированы все крупные предприятия, экспроприированы средства производства и имущество всех частных предпринимателей.
Некоторое оживление в предпринимательскую деятельность внесла новая экономическая политика – нэп (1921-1926). Однако с конца 1920-х гг. предпринимательство вновь сворачивается и лишь в 1990-гг. началась его реанимация в России. В октябре 1990 г. Был принят Закон «О собственности в РСФСР», в декабре 1990 г. – Закон «О предприятиях и предпринимательской деятельности». С того момента, когда частная собственность и предпринимательская деятельность были восстановлены в своих правах, началось развитие акционерных обществ, товариществ, других форм деятельности предприятий.
В настоящее время в России насчитывается около 10000 акционерных предприятий, свыше 1500 акционерных коммерческих банков, представлены также и другие предпринимательские структуры. На 1 января 1998 г. Из общего числа 2711 тыс. предприятий и организация 1983 тыс., или 73,1% находились в частной собственности.[11]
Причины, тормозящие развитие малого предпринимательства
Анализируя сложившуюся в стране предпринимательскую среду, можно выделить ряд причин, тормозящих поступательное развитие в России малого предпринимательства:
· сложная финансовая и экономическая обстановка, царящая в стране: инфляция, спад производства, разрыв хозяйственных связей, ухудшение платежной дисциплины, высокий уровень процентных ставок, слабая правовая защищенность предпринимателей;
· низкий уровень организационно-экономических и правовых знаний предпринимателей, отсутствие должной деловой этики, хозяйственной культуры как в бизнесе, так и в государственном секторе;
· негативное отношение определенной части населения, связывающей предпринимательство напрямую только с посредничеством, куплей-продажей;
· неотработанность организационных и правовых основ регулирования развития предпринимательства на региональном уровне;
· слабость действия механизма государственной поддержки малого предпринимательства;
· в результате финансово-экономического кризиса, разразившегося в августе 1998 г., резкое повышение цен на все факторы производства, по существу катастрофическое снижение покупательной способности россиян.
Сложившаяся экономическая ситуация негативно воздействует на малое предпринимательство по всем направлениям. Уровень инфляции и рост цен на все факторы производства ставят многие малые предприятия на грань банкротства. И в их числе, в первую очередь, предприятия, функционирующие в сфере производства отечественных товаров и бытовых услуг для населения, потребляющие сырье, материалы, стоимость которых постоянно растет. Налоговый пресс давит на производственные предприятия в сфере малого бизнеса. Сложившиеся экономические условия подрывают стимулы к предпринимательской деятельности, ослабляют предпринимательский настрой.
Так, обобщая результаты социологических опросов по вопросам развития малого предпринимательства, в аналитическом докладе, подготовленном Российской ассоциацией развития малого предпринимательства на тему «Малый бизнес России. Проблемы и перспективы», сформулированы основные проблемы частного бизнеса в России: налоги; законодательство; инфляция; экономическая ситуация в целом; поставки, дефицит; трудности получения и высокая ставка за кредит; неплатежеспособность партнеров, клиентов; несовершенство банковской системы; политическая ситуация; бюрократия; недостаток производственных площадей, офисов; действия правительства, властей; коррупция, взятки; недостаток материальной базы; финансовая политика государства; действия Центрального банка России; сбыт, поиск клиентов, потребителей; высокие цены на сырье и материалы; монополия государства, госпредприятий; трудности с арендой; разрыв экономических связей; недостаток информации; недостаток культуры, опыта; необязательность партнеров; проблемы собственности; кадровые проблемы; недостаток собственных средств; невыгодность производства; громоздкая отчетность; нет льгот; рэкет; невыгодность инвестиций; конкуренция; несовершенство рынка; недоверие западных партнеров; отрицательное отношение к предпринимателям. Только перечисленные проблемы, с которыми сталкиваются отечественные предприниматели, свидетельствуют, что пока не сформированы условия, необходимые для развития предпринимательства вообще, малого в особенности, учитывая его активную роль в экономике, когда предпринимательство станет ведущим субъектом рыночной экономики, о чем свидетельствует опыт развитых стран.
Проведенные Институтом стратегического анализа и развития предпринимательства опросы руководителей малых предприятий показали, что свыше 80% участников опроса отметили, что они нуждаются в государственной поддержке своей предпринимательской деятельности, а 70% - что им нужны надежные законодательные гарантии. Исследования свидетельствуют, что около 75% малых предприятий постоянно нуждаются в прямой финансовой поддержке со стороны федеральных, региональных и местных органов власти, около 83% - в предоставлении налоговых льгот, 57% обследованных малых предприятий – в получении льготных кредитов для осуществления конкретных проектов.[9]
3.2 Инфраструктура поддержки
малого предпринимательства
В чИТИНСКОЙ ОБЛАСТИ
Малое предпринимательство в Читинской области играет важнейшую роль в формировании рыночной экономики, создании устойчивого слоя частных собственников.
Вместе с тем, малое предпринимательство сталкивается с серьезными трудностями, которые препятствуют его дальнейшему росту.
Поддержка малого предпринимательства со стороны государства должна носить стабильный и комплексный характер, охватывать законодательные, финансовые и организационные меры от федерального до муниципального уровня.
Одним из основных направлений для развития малого и среднего бизнеса в Читинской области является создание целостной региональной инфраструктуры поддержки малого предпринимательства.
Инфраструктура поддержки малого предпринимательства - это совокупность государственных, негосударственных общественных, образовательных и коммерческих организаций, осуществляющих регулирование деятельности предприятий, оказывающих образовательные, консалтинговые и другие услуги, необходимые для развития бизнеса и обеспечивающие среду и условия для производства товаров и услуг.
Инфраструктура малого предпринимательства на уровне нашего региона представлена: торгово-промышленная палата Читинской области, фондом поддержки малого предпринимательства, региональным агентством поддержки малого и среднего бизнеса, учебно-деловым центром, маркетинговым центром.
Раскроем организацию, инфраструктуру и, осуществляемые на региональном уровне, подходы и методы по созданию и регулированию законодательной базы поддержки и развития малого бизнеса на примере отдельно взятого субъекта РФ – Читинской области.
Общественно, что предоставление гражданам области юридического права создавать малые предприятия и располагать определенными льготами, защита соответствующих прав собственности являются необходимыми, но далеко недостаточными условиями для широкого развертывания предпринимательства, особенно направленного на производство продукции и оказание услуг. Желаемого результата не удается достичь без развитой сети инфраструктуры поддержки малого предпринимательства. Любой начинающий предприниматель после регистрации своего предприятия должен иметь возможность получить кредит (для приобретения оборудования, сырья и материалов) и застраховать его, получить информацию о потенциальных партнерах и рынках сбыта изделий, повысить свою квалификацию, обучить рабочих новым профессиям, организовать реализацию своих изделий в стане и за рубежом. Сегодня почти каждый пункт перечисленных насущных потребностей представляется для но-воиспеченного делового человека неосуществимым. Решению этих проблем и должна способствовать развитая инфраструктура государственной поддержки предпринимательства.
Действующая система государственной поддержки предпринимательства на областном уровне включает Комитет экономики Администрации области и Фонд поддержки малого предпринимательства Читинской области. Созданы: Читинское региональное агентство поддержки малого и среднего бизнеса;
Учебно-деловой центр, которые оказывают информационные, консультативные и образовательные услуги, а так же осуществляют разработку и экспертизу бизнес-планов, предпринимательских проектов, поиск источников финансирования.
Фонд поддержки малого предпринимательства Читинской области образован в соответствии с Федеральным законом «О государственной поддержке малого предпринимательства в Российской Федерации» от 12.05.95г. №88-Ф3 и Постановлением Главы Администрации Читинской области №556 от 10.06.97г. Зарегистрирован 21 августа 1997 года.
Фонд является некоммерческой организацией, созданной в целях обеспечения реализации государственной политики в сфере развития поддержки малого бизнеса в Читинской области. Учредителями Фонда являются: Администрация Читинской области в лице Комитета по управлению имуществом Читинской области и Федеральный Фонд поддержки малого предпринимательства.
Основным направлением в деятельности Фонда является содействие в формировании рыночных отношений – на основе государственной поддержки малого предпринимательства и развития конкуренции путем привлечения и эффективного использования финансовых ресурсов для реализации целевых программ, проектов и мероприятий в области малого бизнеса.
Для достижения этой цели (в соответствии с Федеральным законом №88-Ф3) Фонд имеет право:
- осуществлять финансирование мероприятий региональной программы поддержки малого предпринимательства, отраслевых программ и проектов в области и развития малого бизнеса;
- выполнять функции залогодателя, поручителя, гаранта по обязательствам малых предприятий; принимать долевое участие в создании и деятельности хозяйствующих субъектов, обеспечивающих развитие инфраструктуры рынка, специализированных консультационных организаций и информационных систем поддержки малого предпринимательства; выступать заказчиком региональной программы государственной поддержки малого предпринимательства.[7]
Фонд имеет право предоставлять субъектам малого предпринимательства льготные кредиты, беспроцентные ссуды, краткосрочные займы, а также финансовую помощь на безвозмездной основе, без приобретения лицензии на банковскую деятельность.
Высшим органом управления Фонда является Общее собрание Учредителей Фонда, исполнительным органом – исполнительная дирекция Фонда во главе с Генеральным директором.
Контроль за деятельностью Фонда осуществляет Попечительский Совет, состав которого утвержден Постановлением Главы Администрации Читинской области №783 от 01.09.97 года.[7]
Третейский суд создан на постоянной основе для разрешения хозяйственных споров между юридическими лицами различных организационно-правовых форм и индивидуальными предпринимателями без образования юридического лица. Третейское разбирательство спора призвано обеспечить:
- защиту охраняемых законом прав и интересов организаций и Граждан предпринимателей;
- быстроту и экономичность процедуры разрешения спора;
- сохранение и дальнейшее упрочнение деловых и партнерских отношений спорящих сторон, не смотря на имеющиеся между ними разногласия.
Целью создания Третейского суда является продвижение рыночных реформ и правовая защита предпринимательства, создание благоприятных правовых и экономических условий для интенсивного развития предпринимательства, преодоление административных барьеров при создании и функционировании малых предприятий.
Фондом сформирована определенная инфраструктура поддержки предпринимательства. При участии Администрации области и Российского Агентства поддержки и развития малого и среднего бизнеса, Фондом поддержки предпринимательства Читинской области в соответствии с Постановлением Главы администрации от 20.11.97 года №984 было учреждено ЗАО «Читинское региональное агентство поддержки малого и среднего бизнеса». На финансирование агентства были выделены средства при паритетном участии Федерального бюджета и Фонда поддержки предпринимательства Читинской области. Одним из направлений деятельности агентства является оказание консалтинговых услуг предпринимателям (бухгалтерский учет, аудит, налогообложение, разработка бизнес-плана). В перспективе на базе агентства планируется создание лизинговой компании с формированием банка данных отечественных и зарубежных производителей оборудования, необходимого предпринимательству Читинской области, в соответствии с региональной программой поддержки предпринимательства. Необходимость создания в нашем регионе лизинговой компании очевидна, учитывая недостаток собственных оборотных средств товаропроизводителей-субъектов малого, среднего бизнеса.[10]
Образовательную деятельность по программе бизнес-образование осуществляет Учебно-деловой центр Морозовского проекта, созданный при Читинском институте Иркутской государственной экономической академии. В 1997 году им был получен гранд Фонда «Евразия» на обучение населения основам предпринимательского дела. Обучение прошли 75 слушателей, которым было выдано удостоверение «менеджер малого бизнеса». Обучение проводится по таким дисциплинам, как основы законодательства, налогообложения, бухгалтерский учет и отчетность, основы менеджмента, маркетинг, составление бизнес-планов и т.д. Обучение призвано повысить образовательный уровень как будущих предпринимателей, так и людей уже занимающихся бизнесом. Ведь не для кого не секрет, что осведомленность многих предпринимателей в данных вопросах оставляет желать лучшего. А это как раз и является одной из причин медленного развития предпринимательства.
Так же большое место в деятельности центра занимает составление и экспертиза бизнес-планов предпринимательских проектов. Это тоже немаловажно для предпринимательства, так как бизнес-планы необходимы как для получения кредитов, так и для оценки предпринимательской идеи и установление перспектив развития самим предпринимателем. Хотя в настоящее время начинающие бизнесмены разрабатывают бизнес-планы только для получения кредитов.
При участии Фонда поддержки предпринимательства Читинской области и Администраций муниципальных образований, созданы два филиала:
- в городе Чите в соответствии с Постановлением Мэра города Читы от 03.08.98 года №2022;
- в городе Краснокаменске в соответствии с Постановлением Главы города Краснокаменска и Краснокаменского района от 05.08.98 года №771.
Основной деятельностью филиалов является реализация на муниципальном уровне комплекса мер по поддержке малого предпринимательства, определение структуры отраслевых приоритетов для выделения в соответствии с ними финансовых ресурсов под конкретные предпринимательские проекты.
Огромную роль для малого предпринимательства играет и информационная поддержка. Своевременно полученная информация помогает адекватно оценить экономическую реальность, свести риск своей деятельности к минимуму. На сегодняшний момент этот элемент инфраструктуры государственной поддержки предпринимательства очень неразвит. Освещение вопросов развития и государственной поддержки предпринимательства в области осуществляет еженедельная газета «Азия экспресс», которая получила в начале 1998 года гранд Фонда «Евразия» на выпуск тематического приложения к еженедельнику – «Малый бизнес Забайкалья». В рамках данного гранда был образован консультационный Совет, в состав которого вошли представители – комитета экономики, Фонда поддержки предпринимательства Читинской области, газеты «Азия экспресс», а также предприниматели. Основная цель создания данного Совета - придать такому важному сегменту экономики, каким является малый бизнес, широкое общественное звучание, выявить новые идеи, таланты и дать первый толчок предпринимателям для открытия своего дела.
Одним из направлений деятельности Фонда является создание общественных объединений на территории области. Примером является организация «Союза промышленников и предпринимателей Читинской области». Цель данного Союза – развитие предпринимательства на территории области, организация взаимодействия между областными структурами и субъектами предпринимательства, защита прав его представителей в органах власти, содействие предпринимателям в установлении деловых контактов. В соответствии с Постановлением Главы №553 от 01.07.98 года Фонд является техническим оператором при организации расчетов предприятий, организаций и организаций всех форм собственности в особом порядке при исполнении областного и местных бюджетов.[7]
С целью практической реализации межрегионального сотрудничества в области поддержки малого предпринимательства, было заключено соглашение о сотрудничестве между Комитетом экономики Администрации Читинской области, Департаментом поддержки и развития малого предпринимательства Правительства Москвы, Московским Фондом поддержки малого предпринимательства и Фондом поддержки малого предпринимательства в Читинской области. В рамках данного соглашения создан на территории Читинской области Межрегиональный маркетинговый центр «Чита-Москва». Цель данного центра заключается в разработке методических стандартов маркетинговых исследований рынка Читинской области, создание инфраструктуры деловых контактов между московскими и забайкальскими предпринимателями.[10]
В соответствии с Федеральным законом от 12.05.1995 №88-Ф3 « О государственной поддержке малого предпринимательства в Российской Федерации» и Законом Читинской области от 26.05.1999 №171-ЗЧО « О государственной поддержке малого предпринимательства в Читинской области», а также на основе анализа современного состояния малого бизнеса области разработана областная целевая программа «Государственная поддержка малого предпринимательства в Читинской области (2005-2007 годы)», которая направлена на реализацию единой политики органов исполнительной власти в области поддержки малого предпринимательства.
Цели и задачи программы находятся в тесной связи с Концепцией государственной политики поддержки и развития малого предпринимательства, одобренной на заседании Госсовета Российской Федерации, и Программой социально-экономического развития Читинской области на 2003-2005 годы.
Предлагаемый в новой программе комплекс мер базируется на результатах выполнения предыдущих программ поддержки малого предпринимательства в Читинской области, реализация которых позволила создать целостную систему поддержки малого предпринимательства.
За последние годы намеченные основные направления его поддержки, сложившиеся методы и формы взаимодействия власти и бизнеса дают положительные результаты. Основные показатели развития малого бизнеса представлены (в таблицах №11, №12).
Численность работавших на малых предприятиях
по отраслям экономики за 2003г
Таблица №11
| Среднесписочная численность работников | Средняя численность внешних совместителей | Средняя численность работавших по договорам гражданско-правового характера | ||||
| человек | в процентах к итогу | человек | в процентах к итогу | человек | в процентах к итогу | |
| Всего в том числе: | 17727 | 100 | 664 | 100 | 788 | 100 |
| промышленность | 4444 | 25.1 | 77 | 11.6 | 149 | 18.9 |
| сельское хозяйство | 2107 | 11.9 | 76 | 11.4 | 46 | 5.8 |
| строительство | 2245 | 12.7 | 83 | 12.5 | 145 | 18.4 |
| транспорт | 772 | 4.3 | 10 | 1.5 | 25 | 3.2 |
| связь | 124 | 0.7 | 16 | 2.4 | 52 | 6.6 |
| торговля и общественное питание | 5915 | 33.4 | 181 | 27.3 | 75 | 9.5 |
| заготовки | 188 | 1.1 | - | - | - | - |
| оптовая торговля продукцией производственно-технического назначения | 375 | 2.1 | 2 | 0.3 | 4 | 0.5 |
| информационно-вычислительное обслуживание | 97 | 0.5 | 7 | 1.1 | - | - |
| операции с недвижимым имуществом | 152 | 0.9 | 15 | 2.2 | 22 | 2.8 |
| общая коммерческая деятельность по обеспечению функционирования рынка | 144 | 0.8 | 3 | 0.4 | 23 | 2.9 |
| геология и разведка недр, геодезическая и гидрометеорологическая службы | 111 | 0.6 | 35 | 5.3 | 116 | 14.7 |
| другие виды деятельности сферы материального производства | 459 | 2.6 | 35 | 5.3 | 35 | 4.5 |
| жилищно-коммунальное хозяйство | 30 |
0.2 |
6 |
0.9 |
5 |
0.6 |
| здравоохранение, физическая культура и социальное обеспечение | 125 |
0.7 |
5 |
0.8 |
16 |
2.0 |
| образование | 10 | 0.1 | 60 | 9.0 | - | - |
| культура и искусство | 43 | 0.2 | - | - | - | - |
| наука, научное обслуживание | 92 | 0.5 | 41 | 6.2 | 49 | 6.2 |
| другие виды деятельности сферы нематериального производства | 294 |
1.6 |
12 |
1.8 |
26 |
3.4 |
Объем производственной продукции (работ, услуг) и среднемесячная номинальная начисленная заработная плата работников
на малых предприятиях в 2003г
Таблица №12
Объем производственной продукции (работ, услуг) |
В том числе по основному виду деятельности | Среднемесячная номинальная начисленная заработная плата работников, руб. |
|||
тыс. руб. |
в процентах к итогу | тыс. руб. |
в процентах к итогу | ||
| Всего в том числе: | 3019051 | 100 | 2600922 | 100 | 3056.1 |
| промышленность | 1183732 | 39.2 | 1085287 | 41.7 | 2871.7 |
| сельское хозяйство | 68699 | 2.3 | 58556 | 2.3 | 766.8 |
| строительство | 617350 | 20.4 | 568749 | 21.9 | 4791.5 |
| транспорт | 176502 | 5.9 | 157708 | 6.1 | 3994.5 |
| связь | 41080 | 1.4 | 31232 | 1.2 | 6196.2 |
| торговля и общественное питание | 565888 | 18.7 | 408042 | 15.7 | 2455.8 |
| заготовки | 14276 | 0.5 | 12499 | 0.4 | 2523.0 |
| оптовая торговля продукцией производственно-технического назначения | 29900 |
1.0 |
14199 |
0.5 |
2317.1 |
| информационно вычислительное обслуживание | 15658 |
0.5 |
15401 |
0.6 |
4177.0 |
| операции с недвижимым имуществом | 53697 | 1.8 | 51607 | 2.0 | 6199.6 |
| общая коммерческая деятельность по обеспечению функционирования рынка | 30250 |
1.0 |
29558 |
1.1. |
6465.3 |
| геология и разведка недр, геодезическая и гидрометеорологическая службы | 24332 |
0.8 |
18216 |
0.7 |
6864.9 |
| другие виды деятельности сферы материального производства | 41011 |
1.4 |
41011 |
1.6 |
2822.1 |
| жилищно-коммунальное хозяйство | 3576 | 0.1 | 3576 | 0.1 | 3925.0 |
| здравоохранение, физическая культура и социальное обеспечение | 69445 |
2.3 |
46883 |
1.8 |
7924.7 |
| образование | 4071 | 0.1 | 4071 | 0.2 | 6703.8 |
| культура и искусство | 8575 | 0.3 | 8575 | 0.3 | 8401.2 |
| наука, научное обслуживание | 28514 | 0.9 | 22373 | 0.9 | 5997.3 |
| другие виды деятельности сферы нематериального производства | 42495 |
1.4 |
23379 |
0.9 |
2882.0 |
На начало 2004 года на территории области действуют 2167 малых предприятий, на которых занято 17,3 тысячи человек, в качестве индивидуальных предпринимателей осуществляют свою деятельность 19129 человек.
В целом малым бизнесом занято около 20% от общего числа занятого населения области, в 2003 году произведено продукции и оказано услуг на сумму 2,88 млрд.руб.
Предприятия малого бизнеса осуществляют свою деятельность практически во всех отраслях экономики области, тем не менее доминирующей остается сфера торговли и общественное питание, в которой действует каждое второе малое предприятие, что характерно и в целом для России.
В промышленности на 01.01.2004 значительная доля малых предприятий осуществляла деятельность в лесной и деревообрабатывающей отрасли (22%), пищевой промышленности (21%), машиностроении и металлообработке (16%).
Среди важнейших видов производимой продукции наибольший удельный вес занимают колбасные изделия, хлеб и хлебобулочные изделия, мясные полуфабрикаты, кондитерская продукция, мебель, деловая древесина и швейные изделия.
Деятельность субъектов малого предпринимательства во многом зависит от действий Федеральных и областных органов законодательной и исполнительной власти, от состояния экономики области и страны в целом, от сложившихся макроэкономических условий. Эти факторы, безусловно, существенным образом влияют и на состояние малого предпринимательства в Читинской области.
Именно поэтому поддержка его со стороны государства должна носить стабильный и комплексный характер, охватывать законодательные, финансовые и организационные меры от федерального и муниципального уровня. Государственные органы должны проводить политику в области развития и поддержки малого предпринимательства, направляя при этом свои усилия на создание и развитие целостной региональной и муниципальной системы. Создание этой системы должно осуществляться по четырем направлениям.
Социальное направление ориентировано на создание новых рабочих мест, насыщение региональных и местных рынков товарами и услугами прежде всего отечественного производства; обеспечение стабильных налоговых поступлений в бюджеты всех уровней; формирование слоя предпринимателей и, тем самым, среднего класса, способствующего устойчивости общества. Это направление включает поддержку:
1. Малого предпринимательства среди молодежи. Привлечение молодежи к развитию производства, оказанию услуг, предоставление посредством малого предпринимательства реальной возможности повышения жизненного уровня, профессионального роста.
2. Женского малого предпринимательства. Вовлечение большого числа женщин в малое предпринимательство, создание новых рабочих мест, предоставление возможности повышения квалификации и переподготовки для этой категории населения.
3. Малых предприятий, использующих труд людей с ограниченными физическими возможностями.
4. Предпринимательства, организуемого лицами из числа военнослужащих.
5. Предпринимательства в сфере общедоступных и особо значимых социальных услуг.
Муниципальное направление предусматривает разработку и реализацию системы поддержки малого предпринимательства и комплекса быстроокупаемых инвестиционных проектов с учетом особенностей муниципальных образований, создание специальных органов в администрациях и инфраструктуры поддержки малого предпринимательства.
Реализация этих программ и проектов должна опираться на принципы адресности и селективности мер государственной поддержки малого бизнеса применительно к различным типам муниципальных образований. Первый тип характеризуется определенным уровнем развития малого предпринимательства, выполнением муниципальных программ и инвестиционных проектов с использованием бюджетных и внебюджетных источников финансирования. Для второго типа муниципальных образований характерна начальная стадия развития малого бизнеса и системы поддержки, незначительные объемы бюджетного и внебюджетного финансирования программ. Третий характеризуется сложными общеэкономическими и социальными условиями, низким уровнем развития малого предпринимательства.
Развитие малого предпринимательства в муниципальных образованиях будет способствовать возрождению традиционных народных промыслов, художественных производств и ремесленничества.
Отраслевое направление развития малого предпринимательства предполагает кардинальное обновление производственно-технологического оборудования, особенно оборудования для производства продуктов питания и переработки сельскохозяйственной продукции; реконструкцию предприятий, прежде всего в легкой и пищевой промышленности. При сохранении низкого уровня инфляции, последовательном проведении структурных экономических преобразований и реформ предприятий будут реализованы предпосылки к росту производственно-инвестиционной активности малых и средних предприятий, перераспределению части капитала из сферы торговли в развитие производственного потенциала.
Для решения названных задач необходимо определить отраслевые приоритеты, позволяющие повысить эффективность реализации мер, обеспечивающих развитие малого предпринимательства.
Приоритетными определены следующие отрасли:
- малое предпринимательство в сфере жилищно-коммунального хозяйства;
- малое предпринимательство в области экологии, в том числе в сфере сбора и переработки вторичного сырья;
- производство и переработка сельскохозяйственной продукции;
- освоение ресурсосберегающих и наукоемких технологий;
- малое промышленное производство и стройиндустрия;
- оказание услуг населению.
Функциональное направление предполагает реализацию на областном и муниципальном уровнях комплекса мер по поддержке малого предпринимательства в отношении «стартового» предпринимательства в форме целевого сопровождения начинающих малых предприятий, находящихся в стадии «первичного закрепления» и развертывания хозяйственной деятельности.
Сохраняет большую актуальность проблема приобщения населения к навыкам рыночной деятельности. Повышение уровня квалификации в сфере малого предпринимательства будет осуществляться путем создания соответствующей инфраструктуры в муниципальных образованиях и активизации уже действующих объектов.
Приоритетный комплекс задач связан с созданием и развитием целостной системы финансово-кредитной и инвестиционной поддержки малых предприятий, включающей создание фондов поддержки малого предпринимательства в муниципальных образованиях Читинской области, развитие финансового лизинга, кредитных потребительских кооперативов, предоставление областных и муниципальных гарантий для быстроокупаемых инвестиционных проектов малых предприятий.
Основные цели, задачи, сроки
и этапы реализации программы
Целью программы является формирование условий, способствующих улучшению экономических показателей деятельности субъектов малого предпринимательства на территории области.
Поставленная цель обуславливает решение круга взаимосвязанных задач:
- развитие системы финансовой и инвестиционной поддержки малого предпринимательства;
- совершенствование нормативных правовых механизмов деятельности субъектов малого предпринимательства;
- увеличение доходной части областного бюджета и бюджетов муниципальных образований;
- увеличение числа субъектов малого предпринимательства и лиц, готовых заниматься предпринимательской деятельностью;
- обеспечение представителей малого бизнеса информационными, консалтинговыми, обучающими и другими услугами через систему специализированных структур поддержки малого предпринимательства;
- продвижение продукции малых предприятий на региональный и межрегиональный рынки;
- решение социальных проблем;
Задачи – развитие системы финансовой и инвестиционной поддержки малого предпринимательства; совершенствование нормативных правовых механизмов деятельности субъектов малого предпринимательства; увеличение доходной части областного бюджета и бюджетов муниципальных образований; увеличение числа субъектов малого предпринимательства и лиц, готовых заниматься предпринимательской деятельностью; обеспечение представителей малого бизнеса информационными, консалтинговыми, обучающими и другими услугами через систему специализированных структур поддержки малого предпринимательства; продвижение продукции малых предприятий на региональный и межрегиональный рынки; решение социальных проблем.
Сроки реализации программы – 2005-2007 годы.
Перечень основных мероприятий показан в (таблице №13).
Перечень мероприятий программы
Таблица №13
№ п/п |
Наименование мероприятия |
Исполнители | Сроки реализации (годы) | Источники финансирования | Финансовые затраты | ||||||||||||||||||||||||
| Всего | в том числе по годам | ||||||||||||||||||||||||||||
| 2005 | 2006 | 2007 | |||||||||||||||||||||||||||
| 1 | 2 | 3 | 4 | 5 | 6 | 7 | 8 | 9 | |||||||||||||||||||||
| Совершенствование внешней среды для развития малого предпринимательства | |||||||||||||||||||||||||||||
| 1. Совершенствование нормативно-правовых механизмов деятельности субъектов малого предпринимательства | |||||||||||||||||||||||||||||
1.1 |
Разработка и экспертиза проектов и действующих нормативных правовых актов, регулирующих экономическую деятельность субъектов малого предпринимательства | ФПМП Комитет экономики |
2005-2007 |
- |
- |
- |
- | - |
|||||||||||||||||||||
| 1.2 | Повышение информированности предпринимателей о деятельности контролирующих, надзорных, правоохранительных и иных органов. | ФПМП | 2005-2007 | Областной бюджет Внебюджетные источники средства ФПМП | 500 | 100 | 150 | 250 | |||||||||||||||||||||
| 2. Административно-организационная поддержка малого предпринимательства | |||||||||||||||||||||||||||||
| 2.1 | Развитие системы государственно общественной поддержки малого предпринимательства | Комитет экономики ФПМП | 2005-2007 | - | - | - | - | - | |||||||||||||||||||||
| 2.2 | Оказание информационной и методической помощи субъектам малого предпринимательства по ведению бизнеса в различных сферах деятельности и действующим процедурам регулирования предпринимательской деятельности | ФПМП | 2005-2007 | Областной бюджет Внебюджетные источники (средства ФПМП) | 1200 - |
300 - |
400 - |
500 - |
|||||||||||||||||||||
| 2.3 | Содействие созданию и развитию общественных организаций, отраслевых союзов и объединений предпринимателей, повышению их роли в социально-экономических процессах | ФПМП | 2005-2007 | Областной бюджет Внебюджетные источники (средства ФПМП) | 200 - |
50 - |
70 - |
80 - |
|||||||||||||||||||||
| 3 . Научно-методическое кадровое обеспечение | |||||||||||||||||||||||||||||
| 3.1 | Анализ состояния внешней среды. Разработка предложений по совершенствованию внешней среды предпринимательской деятельности, в том числе на муниципальном уровне |
ФПМП | 2005-2007 | Областной бюджет Внебюджетные источники (средства ФПМП) | 320 - |
70 - |
100 - |
150 - |
|||||||||||||||||||||
| 3.2 | Разработка предложений по ведению статистического учета деятельности малого предпринимательства в Читинской области. | Комитет экономики и ФПМП | 2005-2007 | - | - | - | - | - | |||||||||||||||||||||
| 3.3 | Подготовка и повышение квалификации кадров для малого предпринимательства, а также государственных служащих и сотрудников инфраструктуры, работающих в сфере поддержки малого предпринимательства, в том числе в рамках Федеральной программы по организации подготовки управленческих кадров для организации народного хозяйства Российской Федерации | ФПМП | 2005-2007 | Областной бюджет Внебюджетные источники (средства ФПМП) | 900 - |
200 - |
300 - |
400 - |
|||||||||||||||||||||
| 4 . Формирование благоприятного общественного мнения и пропаганда идей предпринимательства | |||||||||||||||||||||||||||||
4.1 |
Пропаганда идей предпринимательства, передового опыта малых предприятий через средства массовой информации. | ФПМП |
2005-2007 |
Областной бюджет Внебюджетные источники (средства ФПМП) | 750 - |
150 - |
250 - |
350 - |
|||||||||||||||||||||
| 4.2 | Проведение тематических конкурсов среди субъектов малого предпринимательства, в числе областного конкурса «Лучший предприниматель Забайкалья» | ФПМП |
2005-2007 |
Областной бюджет Внебюджетные источники (средства ФПМП) | 1200 - |
300 - |
400 - |
500 - |
|||||||||||||||||||||
| 4.3 | Обмен опытом по поддержке малого предпринимательства путем проведения семинаров, круглых столов, конференций и иных мероприятий | ФПМП |
2005-2007 |
Областной бюджет Внебюджетные источники (средства ФПМП) | 600 | 100 | 200 | 300 | |||||||||||||||||||||
Итого по разделу в том числе: |
Областной бюджет Внебюджетные источники (средства ФПМП) | 5670 5670 - |
1270 1270 - |
1870 1870 - |
2530 2530 - |
||||||||||||||||||||||||
| Совершенствование и развитие финансовой и инвестиционной поддержки малого предпринимательства | |||||||||||||||||||||||||||||
| 5 .Кредитно-финансовая поддержка программ и проектов субъектов малого предпринимательства | |||||||||||||||||||||||||||||
| 5.1 | Выделение кредитов для реализации приоритетных инвестиционных проектов и муниципальных программ поддержки малого предпринимательства | ФПМП | 2005-2007 | Областной бюджет Внебюджетные источники (средства ФПМП) Внебюджетные источники (средства Федерального фонда поддержки малого предпринимательства |
52330 16909 0 4000 |
17380 39500 4000 |
18030 56180 - |
1692 7341 0 - |
|||||||||||||||||||||
| 5.2 | Реализация проектов посредством финансовой аренды(лизинга) специализированного оборудования и иного имущества | ФПМП | 2005-2007 | Областной бюджет Внебюджетные источники (средства | В пределах общих объемов финансирования подпункта 5.1. Перечня мероприятий программы | ||||||||||||||||||||||||
| 5.3 | Совершенствование микрофииансовой поддержки субъектов малого предпринимательства | ФПМП | 2005-2007 | Областной бюджет Внебюджетные источники (средства | В пределах общих объемов финансирования подпункта 5.1. Перечня мероприятий программы | ||||||||||||||||||||||||
| 6. Привлечение внебюджетных источников для поддержки и развития малого предпринимательства | |||||||||||||||||||||||||||||
| 6.1 | Осуществление частичного возмещения субъектам малого предпринимательства процентов, уплачиваемых по кредитам в коммерческих банках «Забайкалья» |
ФПМП |
2005-2007 | Областной бюджет Внебюджетные источники (средства ФПМП) | 7000 - |
1000 - |
2000 - |
4000 - |
|||||||||||||||||||||
| 6.2 | Содействие в получении государственных гарантий Читинской области по обязательствам субъектов малого предпринимательства | ФПМП |
2005-2007 | - | - | - | - | ||||||||||||||||||||||
| 6.3 | Содействие созданию и развитию микрофинансовых организаций | ФПМП |
2005-2007 | Областной бюджет Внебюджетные источники (средства | В пределах общих объемов финансирования подпункта 5.1. Перечня мероприятий программы | ||||||||||||||||||||||||
| Итого по разделу в том числе: | Областной бюджет Внебюджетные источники (средства ФПМП) Внебюджетные источники (средства Федерального фонда поддержки малого предпринимательства |
23242 0 59330 16909 0 4000 |
61880 18380 39500 4000 |
76210 20030 56180 - |
9433 0 2092 7341 0 - |
||||||||||||||||||||||||
| Совершенствование и развитие инфраструктуры поддержки малого предпринимательства | |||||||||||||||||||||||||||||
| 7.Информационно-консультационное обеспечение субъектов малого предпринимательства | |||||||||||||||||||||||||||||
| 7.1 | Обеспечение деятельности и развитие инфраструктуры поддержки малого предпринимательства, в том числе ЗАО «Читинское региональное Агентство поддержки малого и среднего бизнеса», ЗАО «Межрегиональный маркетинговый центр «Чита-Москва», Учебно-делового центра поддержки предпринимательства | ФПМП |
2005-2007 | Областной бюджет Внебюджетные источники (средства ФПМП |
2200 - |
1000 - |
500 - |
700 - |
|||||||||||||||||||||
| 7.2 | Создание и поддержка специализированных вебсайтов для малого предпринимательства, в том числе «Малый бизнес Забайкалья» (http://www.business. chita.ru). |
ФПМП |
2005-2007 | Областной бюджет Внебюджетные источники (средства |
В пределах общих объемов финансирования подпункта 7.1. Перечня мероприятий программы | ||||||||||||||||||||||||
| 7.3 | Оказание информационно-методической помощи при организации поддержки малого предпринимательства на муниципальном уровне | ФПМП |
2005-2007 | Областной бюджет Внебюджетные источники (средства ФПМП) |
600 - |
150 - |
200 - |
250 - |
|||||||||||||||||||||
| 7.4 | Создание структур поддержки малого предпринимательства в муниципальных образованиях | ФПМП |
2005-2007 | Областной бюджет Внебюджетные источники (средства ФПМП) |
- 2000 |
- 500 |
- 700 |
- 800 |
|||||||||||||||||||||
| 8. Расширение деловых возможностей | |||||||||||||||||||||||||||||
| 8.1 | Организация участия субъектов малого предпринимательства в выставках-ярмарках, форумах, конференциях по проблемам малого предпринимательства | ФПМП |
2005-2007 | Областной бюджет Внебюджетные источники (средства ФПМП) |
1200 - |
200 - |
400 - |
600 - |
|||||||||||||||||||||
| 8.2 | Содействие развитию внешнеэкономической и межрегиональной деятельности субъектов малого предпринимательства | Комитет экономик и ФПМП |
2005-2007 | - | - | - | - | - | |||||||||||||||||||||
Итого по разделу в том числе: |
Областной бюджет Внебюджетные источники (средства ФПМП) |
6000 4000 2000 |
1850 1350 500 |
1800 1100 700 |
2350 1550 800 |
||||||||||||||||||||||||
Итого по программе в том числе: |
Областной бюджет Внебюджетные источники (средства ФПМП) Внебюджетные источники (средства Федеральногофонда поддержки малого предпринимательства |
24409 0 69000 17109 0 4000 |
65000 21000 40000 4000 |
79880 23000 56880 - |
9921 0 2500 0 7421 0 - |
||||||||||||||||||||||||
Исполнители основных мероприятий программы: Комитет экономики; ФПМП.
Объемы и источники финансирования программы тыс.руб:
- общий объем финансирования в 2005-2007 г.г. – 244090;
- объем финансирования в 2005 г. – 65000 в том числе:
- средства областного бюджета – 21000;
- внебюджетные источники – 44000 из них:
- средства Федерального фонда поддержки малого предпринимательства средства ФПМП – 40000;
- объем финансирования в 2006 г. – 79880 тыс.руб. в том числе:
- средства областного бюджета – 23000;
- внебюджетные источники (средства ФПМП) – 56880;
- объем финансирования в 2007 г. – 99210 тыс.руб. в том числе:
средства областного бюджета – 25000;
- внебюджетные источники (средства ФПМП) – 74210;
Система организации контроля за исполнением программы: Заместитель Главы Администрации (Губернатора) Читинской области – председатель Комитета экономики и Комитет экономии осуществляют контроль в порядке, установленном законодательством Читинской области.
В ходе выполнения мероприятий программы основные усилия и средства будут направлены на развитие и внедрение новых кредитно-финансовых механизмов поддержки субъектом малого предпринимательства, предоставление субъектам малого предпринимательства комплекса услуг по всем аспектам ведения предпринимательской деятельности на основе дальнейшего развития инфраструктуры поддержки малого предпринимательства и информационных технологий. Особое внимание будет уделено созданию и развитию системы поддержки малого предпринимательства на муниципальном уровне, что в дальнейшем позволит перейти к реализации мер по повышению эффективности деятельности малого предпринимательства с учетом созданных условий.
Ресурсное обеспечение программы
Потребность в финансировании мероприятий программы приведена в прилагаемой таблице: тыс.руб. в ценах 2004 года. Смотреть таблицу №14.
Таблица №14
Разделы программных мероприятий |
Средства областного бюджета |
Внебюджетные источники | |||||||
Средства ФПМП |
Средства Федерального фонда поддержки малого предпринимательства | ||||||||
| 2005 год | 2006 год | 2007 год | 2005 год | 2006 год |
2007 год |
2005 год |
2006 год |
2007 год | |
| 1.Совершенствование внешней среды для развития малого предпринимательства | 1270 |
1870 |
2530 |
- |
- |
- |
- |
- |
- |
| 2.Совершенствование и развитие финансовой и инвестиционной поддержки малого предпринимательства | 18380 |
20030 |
20920 |
39500 |
56180 |
73410 |
4000 |
- |
- |
| 3.Совершенствование и развитие инфраструктуры поддержки малого предпринимательства | 1350 |
1100 |
1550 |
500 |
700 |
800 |
- |
- |
- |
| Итого: | 21000 | 23000 | 25000 | 40000 | 56880 | 74210 | 4000 | - | - |
Организация управления программой и контроль за ходом ее реализации
Итоги реализации программы и отчет ФПМП об использовании средств рассматривается на Попечительском совете ФПМП.
Оценка эффективности социально
экономических последствий
реализации программы
Реализация мероприятий программы позволит существенно усилить роль малого бизнеса в социально-экономическом развитии Читинской области. В период ее выполнения будет:
- увеличена доля производимых малыми предприятиями товаров и услуг в общем объеме производства с 3,1% до 3,4%;
- произойдет рост числа действующих малых предприятий до 2320 ед;
- увеличено число занятых в малом бизнесе до 21,2 тыс. человек;
- доля промышленных предприятий малого бизнеса возрастает до 23,0% в общем объеме всех малых предприятий Читинской области;
- произойдет рост удельного веса малых предприятий, действующих в муниципальных образованиях Читинской области до 47,0%;
- увеличен объем налоговых отчислений субъектам малого предпринимательства в бюджеты всех уровней до 295,0 млн. рублей;
- создано 1800 новых рабочих мест;
- увеличена средняя заработная плата занятых в малом бизнесе на 28,0%.
Также будут созданы условия по обеспечению занятости, в том числе молодежи и незащищенных слоев населения за счет увеличения числа рабочих мест на уже действующих и вновь создаваемых малых предприятиях. Произойдет насыщение рынка качественными и доступными по цене товарами и услугами через развитие рыночных отношений и создание конкурентной среды. Развитие малого предпринимательства повлияет на создание более тесных связей с общими задачами экономической политики на региональном и муниципальном уровнях.
3.3 Основные предложения по
совершенствованию
малого предпринимательства
Система программных мероприятий разработана по трем направлениям (разделам). Данная структура обеспечивает преемственность развития уже имеющейся системы государственной поддержки, с учетом решения специфических внутренних задач.
1.Совершенствование внешней среды для развития малого предпринимательства.
Направление включает перечень мероприятий по совершенствованию нормативно-правовых механизмов деятельности субъектов малого предпринимательства, активизации процесса взаимодействия объединений предпринимателей с органами власти всех уровней, а так же участию общественных объединений малого предпринимательства в обсуждении и продвижении законопроектов и нормативных актов.
Для определения путей развития проектов и программ, направленных на поддержку малого бизнеса, необходимо проведение широкого спектра научных исследований, опирающихся на достоверные статистические данные. В настоящее время отсутствует объективная статистическая информация о деятельности субъектов малого предпринимательства на территории области. Поэтому необходимо формирование достоверной информации о различных показателях предпринимательской деятельности.
Программа так же предусматривает оказание эффективной государственной поддержки малым предприятиям через повышение профессионального уровня подготовки представителей государственных структур и специалистов инфраструктуры поддержки малого предпринимательства.
2. Совершенствование и развитие финансовой и инвестиционной поддержки малого предпринимательства.
Направление включает обеспечение доступа субъектов малого предпринимательства к льготным и коммерческим финансовым ресурсам. Значительное внимание будет уделено дальнейшему развитию лизинга как одного из наиболее эффективных способов финансово-имущественной поддержки малых предприятий. В программе предусматриваются не только традиционные виды лизинга, но и различные формы краткосрочной аренды типового оборудования и имущества, необходимых субъектам малого предпринимательства для выполнения разовых, небольших по объему работ.
В настоящей программе смещен акцент в сторону привлечения внебюджетных источников для финансового обеспечения малых предприятий, на совершенствование механизма микрофинансирования субъектов малого предпринимательства.
Вместе с тем программа не исключает применение и прямой финансовой помощи малым предприятиям в муниципальных образованиях, это будет осуществляться через соответствующие фонды поддержки малого предпринимательства в районах области.
3. Совершенствование и развитие инфраструктуры поддержки малого предпринимательства.
В данный раздел включены мероприятия по предоставлению малым предприятиям комплекса услуг по всем аспектам ведения предпринимательской деятельности на основе дальнейшего развития инфраструктуры поддержки малых предприятий. С целью внедрения современных технологий ведения бизнеса, в том числе с широким использованием возможностей сети Интернет, предусмотрено дальнейшее развитие информационного обеспечения предпринимательской деятельности.
В разделе также предусмотрены мероприятия по продвижению продукции субъектов малого предпринимательства на локальные межрегиональные рынки и установлению партнерских отношений с предпринимателями других регионов.
Заключение
Развитие предпринимательства приводит к созданию и укреплению среднего класса, без которого, не может быть стабильности в обществе, насыщения потребительского рынка товарами и услугами, снижения безработицы, а значит социальной напряженности во всех сферах. И как следствие – создание стабильной базы пополнения налогов различных уровней.
Отсюда вывод – предпринимательство обладает существенным промышленным потенциалом, способным дать динамичное развитие экономике. Практика множества стран мира как с развитой, так и с развивающейся экономикой это подтверждает. И в нашей стране оно более успешно адаптируется к условиям рынка. Процент предприятий работающих с убытками в малом и среднем бизнесе России гораздо ниже, чем среди остальных предприятий.
Все вышесказанное, подтверждает обоснованность выбора темы дипломной работы: « Предпринимательство в Читинской области»
В дипломной работе исследованы основные организационные меры поддержки развития предпринимательства в Читинской области (положительные и отрицательные моменты, которые имеют место) в сравнении с аналогичными мерами, имеющими место в развитых странах. Кроме этого, проанализированы основные Федеральные законы, Указы Президента и Постановления Правительства по вопросам правового регулирования развития предпринимательства; законодательную деятельность на региональном уровне; Федеральные и региональные программы развития и поддержки малого и среднего бизнеса.
Эта тема дипломной работы выбрана еще и потому, что придается огромное значение зависимости подъема России от развития предпринимательства. Совершенствование правовой базы одна из главных мер в достижении этой цели. Кроме того, именно на примере исследования данной темы работы, можно увидеть прикладной характер такой отрасли права, как хозяйственное право и тесную взаимосвязь и переплетение хозяйственного права с другими отраслями.
В дипломной работе раскрыта сущность системы государственной поддержки предпринимательства и показаны основные организационные меры позволяющие положительно влиять на развитие бизнеса. В этой работе исследованы сложившиеся законодательные базы, как на федеральном, так и на региональном уровне, на примере работы проводимой в таком субъекте Федерации, как Читинская область, относящаяся к так называемым кризисно-депрессивным районам. Проводимая в области нормотворческая работа в области поддержки бизнеса поможет сдвинуть вперед экономику нашего региона.
Список нормативных актов
1.Конституция Российской Федерации. Принята всенародным голосованием 12 декабря 1993г.
2.Гражданский кодекс Российской Федерации. Часть вторая: 26 января 1996г.
№ 14-Ф3.
3.Налоговый кодекс Российской Федерации. Часть первая:31 июля 1998г. 3146-Ф3 (в ред. Федерального закона от 9 июля 1999г.№154-Ф3, федерального закона от 2 января 2000г.№13-Ф3).
4.Уголовный кодекс Российской Федерации: 13 июня 1996г.№70-Ф3.
5.Федеральный закон «О внесении изменений и дополнений в Закон РФ « О налоге на прибыль предприятий и организаций» от 10.01.97г. №13-Ф3.
6.Кодекс РСФСР об административных правонарушениях.М.:ИНФРА-М,1998. «О лицензировании отдельных видов деятельности. Федеральный закон от 8 августа 2001г.№128-Ф3.
7.Кодекс РСФСР об административных правонарушениях.М.:ИНФРА-М,1998.
«О производственных кооперативах» Федеральный закон от 8 мая 1996г. №41-Ф3.
8.Указ Президента РФ « О государственном комитете РФ по поддержке и развитию малого предпринимательства» №563 от 6.06.95г
9.Указ Президента РФ «О первоочередных мерах государственной поддержки малого предпринимательства в Российской Федерации» №491 от 4.04.96г.
10.Указ Президента РФ «Об основных направлениях налоговой реформы в Российской Федерации и мерах по укреплению налоговой платежной дисциплины» №283 от 3.04.97г. («Российская газета», №70, 9.04.97г.)
11. Федеральная программа государственной поддержки малого предпринимательства в Российской Федерации на 1998-1999 годы. Утверждена Постановлением Правительства РФ №697 от 3.07.98г
12. Приказ Госналогслужбы №ВГ-3-02-5 от 24.01.96г. («Экономика и жизнь», №7, 1996г.)
13. Закон Читинской области «Об упрощенной системе налогообложения, учета и отчетности для субъектов малого предпринимательства в Читинской области» от 11.07.96г. («Малый бизнес Забайкалья 1998» Специальное приложение к газ. « Азия Экспресс»)
14.Программа «Поддержка и развитие малого предпринимательства в Читинской области на 1998-1999 годы» Утверждена постановлением Читинской областной Думы №197 от 30.09.98г.
Литература
1.Основы предпринимательской деятельности (Экономическая теория. Маркетинг. Финансовый менеджмент): Учеб.пособие/ Под ред. В.М. Власовой. Д.М.Волков, С.Н. Кулаков, А.В. Романов, С.А. Старов – М.: Финансы и статистика, 1997.-528с.:ил.
2.Бусыгин А.В. Предпринимательство. Основной курс: Учебник для вузов.- М.: ИНФРА –М,1998.-608 стр.
3.Предпринимательство.Учебник для вузов/Под ред.проф. В.Я. Горфинкеля, проф Г.Б. Поляка, проф. В.А. Швандара.-М.: Банки и биржи, ЮНИТИ,1999-475 с.
4.Муравьев А.И., Игнатьев А.М., Крутик А.Б. Предпринимательство: Учебник. – СПб.: Издательство «Лань»,2001.-696 стр. – (Учебники для вузов. Специальная литература).
5.Предпринимательство.Учебник для вузов/Под.ред.проф. В.Я.Горфинкеля, проф.Г.Б.Поляка, проф. В.А. Швандара.-М.:Банки и биржи, ЮНИТИ, 2001г
6. Котлер Ф. Основы маркетинга. -М„ 1990, с. 339-405, 468-473, 477-479.
7.Организационно-экономические основы малогоредприниматель-ства.Учебное пособие.Забайкальский институт железнодорожного транспорта Чита.1998г.
8.Пелих А.С.,Чумаков А.А.,Баранников М.М.,Боков И.И., Дреев Г.А.,Пронченко А.Г.,Попета Г.Г. Организация предпринимательской деятельности6 Учебное пособие /Под ред. А.С. Пелиха. Изд.3-е, испр.идоп.-Москва: ИКЦ «МарТ», Рсотов н/Д: Издательский центр «МарТ», 2004.-384с. Серия «Экономика и управление»).
9. Предпринимательство: Учебник/Под ред. М.Г.Лапусты.-2-е изд.,испр.и доп.-М.: ИНФРА-М, 2002.-520с.-(Серия «Высшее образование»);
10.Областная целевая программа «Государственная поддержка малого предпринимательства в Читинской области (2005-2007 годы)» утвержденная главой Администрации Читинской области Р.Ф. Гениатулиным;
11. Возрождение предпринимательства в России. Стрк. Москва 1997г;


