| Скачать .docx |
Курсовая работа: Основы бухгалтерского учета малого предприятия
Оглавление
Введение. 2
Глава 1.Определение и сущность малого предприятия. 4
1.1 Исторические аспекты развития малого бизнеса. 4
1.2 Виды малых предприятий. 12
1.3 Проблемы и перспективы развития малого бизнеса. 17
1.4 Создание и ликвидация малых предприятий. 27
Глава 2. Разработка организации бухгалтерского учета на предприятии «ODEON». 62
2.1 Организационно – экономическая характеристика предприятия «ODEON». 62
2.2 Отчетность. 65
Глава 3. Мероприятия по совершенствованию упрощенной налоговой системе. 69
3.1 Способ занизить доход в магазине «ODEON» при упрощенной системе налогообложении. 69
3.2 Эксперимент с изменением объекта налогообложения и соотношения доходов и расходов. 74
Заключение. 80
Список используемой литературы.. 83
Предпринимать - затевать, решаться исполнить какое-либо новое дело, приступать к совершенью чего-либо значительного. В. И. Даль
Современное российское общество переживает чрезвычайно сильный кризис, который проявляется в политике, экономике, идеологии и других сферах жизни общества. Россия в очередной раз стоит перед необходимостью выбора ориентиров для своего дальнейшего развития, и здесь нельзя ошибиться.
Переход к рыночным отношениям в отечественной экономике определяет необходимость организационно-экономических новаций во всех областях хозяйственной деятельности. Одним из важнейших направлений экономических реформ, способствующих развитию конкурентной рыночной среды, наполнению потребительского рынка товарами и услугами, созданию новых рабочих мест, формирование широкого круга собственников является развитие малых форм производства.
Опыт ведущих стран современного мира со всей очевидностью доказывает необходимость наличия в любой национальной экономике высокоразвитого и эффективного малого предпринимательского сектора. Поэтому возрождение России невозможно осуществить без соответствующего этому развитию данного сектора экономики, так как именно он является тем локомотивом, который буквально тащит за собой экономическое и социальное развитие.
Хозяйственная практика в малом бизнесе находится в причинно-следственной зависимости углубляющейся специализацией общественного производства и дифференциацией товаров и услуг. Экономическая маневренность, гибкость принятия решений, территориально-пространственная мобильность делает малый бизнес необходимым в современном, постиндустриальном обществе.
Разработке проблем становления и функционирования малых предпринимательских структур посвящены исследования отечественных и зарубежных экономистов ими обоснована необходимость изучения проблем малого бизнеса, исследованы основные направления реализации государственной политики, поддержки малых фирм, выявлены некоторые особенности развития малого производства, определены подходы к оценке инвестиционных проектов и разработке бизнес-планов и т.д.
Но в то же время недостаточно внимания уделено изучению влияния малого предпринимательства на структурные преобразования региональной экономики; формированию рациональной структуры индустриальных центров на основе развития малого бизнеса; разработке экономического взаимодействия территориальных органов власти и малого бизнеса; методологии комплексной оценки предпринимательских проектов и проведению их экспертизы в отдельных городах и регионах нехарактерных для промышленно развитых стран условиях, условиях переходного периода, переживаемого Россией.
Целью этой дипломной работы является рассмотрение теоретической основы организации бухгалтерского учета по упрощенной форме учета на предприятиях малого и среднего бизнеса, особенностей налогообложения и ведение бухгалтерского учета в магазине «ODEON».
Задачи дипломной работы:
Определения целей и сущности малого предприятия,
Правовые основы малого бизнеса,
Проблемы и перспективы малого бизнеса,
Исследование малого предприятия на предмет выявления острых проблем в сфере ведения бизнеса.
Глава 1.Определение и сущность малого предприятия
1.1 Исторические аспекты развития малого бизнеса
Изучая сущность малого бизнеса, необходимо знать его истоки и процесс развития. Малый бизнес играл основную роль в распространении цивилизации, но его история никогда не занимала общественное сознание. Но теперь малый бизнес все больше признается как созидательная сила экономики.
В течение 1980-х годов престиж малого бизнеса в мире начал повышаться в немалой степени благодаря его способности изобретать новые товары и создавать новые рабочие места. Вследствие этого в последние годы все чаще стали обращать внимание на его достижения и возможности, перспективы и проблемы.
В российской истории малого бизнеса можно выделить ряд этапов.
Для первого этапа (1985 – 1987 гг.) характерно зарождение и деятельность центров научно-технического творчества, временных творческих коллективов при общественных организациях, распространение бригадных подрядов, малочисленность участников предпринимательства и его экспериментальный характер, формирование эмоционально-психологических основ предпринимательской деятельности на базе частной собственности. Этот этап можно назвать экспериментальным.
Во время второго этапа (1987 - 1988 гг.) сфера деятельности малого бизнеса расширяется, количество людей, принимающих в нём участие, увеличивается; предпринимательство приобретает характер активного многочисленного движения. Целью развития малого бизнеса является насыщение внутреннего рынка потребительскими товарами. Этот этап назвали этапом "кооперативного движения". Он послужил акселератором в накоплении и перераспределении капиталов, позволил обрести начальные знания, навыки работы малого предприятия.
Третий этап (1989 - 1990 гг.) связан с принятием законодательных актов, направленных на активизацию малых предприятий. Началась подготовка к проведению так называемой малой приватизации. Она создавала необходимую базу для реального перехода к рыночным отношениям, повышения экономической эффективности российской экономики. Именно в это время было узаконено частное предпринимательство. Особую значимость в этот период имело развитие арендных отношений, которые можно рассматривать как российскую особенность малого предпринимательства.
Для четвертого этапа (1991 - 1992 гг.) характерны коммерциализация и появление среднего и крупного бизнеса. Произошли коренные изменения в отношении государства к развитию предпринимательства. Были приняты многие законы, открывшие широкие возможности для масштабного развития предпринимательства.
Пятый этап (1993 - 1994 гг.) стал полосой широкомасштабной приватизации и развития всех видов предпринимательства, появления множества собственников и интенсивного участия малого бизнеса в сфере услуг, торговли, общественного питания, легкой промышленности, производящей товары массового потребления и длительного пользования. Однако на этом этапе ещё не обеспечено стимулирование производства товаров и услуг.
Тем на менее заложенные основы рыночных отношений, сформировавшиеся капиталы, их способность к инвестиционной деятельности дают возможность предположить, что очередной - шестой этап (с 1995 г.) развития предпринимательства сможет изменить соотношение деятельных сил в пользу инновационных процессов. Тогда предпринимательство сможет проявляться во всем многообразии и обнаруживать силы, способные двигать рынок, обеспечивать нормальное функционирование рыночной экономики, сосуществование различных субъектов, каждому из которых отведены свои сферы приложения деятельности и свои задачи. Государству же предстоит приложить усилия для всемирного развития и поддержания в долговременной перспективе конкурентной среды и её стабильности в качестве среды хозяйствования.
Необходимость разделения предприятий на крупные, средние и мелкие.
В хозяйственной практике широко применяются традиционные схемы деления экономики на составные элементы, позволяющие всесторонне изучить закономерности и направления развития народного хозяйства, своевременно заметить нарождающиеся проблемы и принять меры по их решению. Это – деление экономики по отраслевому признаку, по территориальному, по формам собственности и т.д.
Существовало и деление предприятий по критерию их размера в зависимости от численности работающих, стоимости основных и оборотных фондов, объема производства продукции и других показателей. Такое деление использовалось для определения категории предприятий, что является базой для формирования оплаты труда. Реформа оплаты труда, казалось бы, сделала ненужными определения “категорийности” предприятия. Однако жизнь дает другой вывод: необходимо резко повысить роль деления предприятий на крупные, средние и малые и положить его в основу специальной системы организации дифференцированного внимания со стороны государства к финансовому, материально-техническому благополучию различных по размеру предприятий.
Функциональное назначение предприятий, их роль в экономике в значительной мере меняются в зависимости от размера предприятия. Крупное и мелкое производства, даже в рамках одной территории и отрасли, как правило, не являются взаимозаменяемыми. Отсутствие одного из них – это незаполненная ячейка экономики, имеющая своим следствием общее снижение эффективности производства. Крупные, средние и малые предприятия дополняют друг друга, создают целостный организм экономики.
Критерии выделения малых предприятий
Человечество накопило достаточно богатый опыт распределения предприятий на группы в зависимости от их размера. При этом не существует какого-то единого для всех стран универсального критерия выделений малых предприятий. Каждое государство в зависимости от национальности, производственных градаций, отраслевой культуры экономики устанавливает свои критерии распределения предприятий по их размерам.
Например, во Франции очень малыми предприятиями считаются производства с числом занятых до 10 человек, малыми – от 10 до 100, средними от 100 до 500 и крупными свыше 500 человек. Малые и средние предприятия составляют около 99% численности всех предприятий и на них трудится примерно 67% всех занятых.
В Японии к категории малых и средних предприятий относятся юридически самостоятельные компании с числом занятых до 300 человек или объемом основного капитала до 100 млн. иен в отраслях обрабатывающей промышленности, строительстве, транспорте, связи, в коммунальном хозяйстве; до 100 человек (или до 30 млн. иен капитала) – в оптовой торговле и до 50 человек (или 10 млн. иен капитала) – в розничной торговле и сфере услуг. Мелкие и средние компании составляют более 99% общего их числа и на них трудится свыше 80% всех занятых.
В нашей стране, согласно принятому 14 июля 1995 г. Федеральному закону “О государственной поддержке малого предпринимательства в Российской Федерации”, под субъектами малого предпринимательства понимаются коммерческие организации, в уставном капитале которых доля участия РФ, субъектов РФ, общественных и религиозных организаций, благотворительных и иных фондов не превышает 25%; доля, принадлежащая одному или нескольким юридическим лицам, не являющимися субъектами малого предпринимательства не превышает 25% и в которых численность работников за отчетный период не превышает следующих предельных уровней:
в промышленности, строительстве и на транспорте – 100 человек;
в оптовой торговле – 50;
в розничной торговле и бытовом обслуживании – 30;
в других отраслях и при осуществлении других видов деятельности – 50 человек.
Таким образом, определен критерий выделения малых предприятий – по численности работающих. Несовершенство данного критерия, да и других критериев также, очевидно. Например, на электростанции, где многомиллионные основные фонды приводятся в действие несколькими работниками.
Видимо универсальных критериев выделения малых предприятий, позволяющих безошибочно сортировать предприятия, не существует. Поэтому представляется целесообразным, ориентируясь точно на численность работников, определять по каждой отрасли, с учетом специфики производства, какие предприятия нельзя относить к малым. В случае возникновения спорных вопросов, решать их в индивидуальном порядке.
Экономическая сущность малого бизнеса.
При выявлении этой сущности важно опираться на огромный мировой опыт исследования данного феномена. Именно практика направила мировую экономическую мысль на его осмысление, обобщение, на создание экономической теории предпринимательства. Последняя не может, естественно, рассматриваться как статичная система. Экономические реалии второй половины текущего столетия со сложнейшими внутрихозяйственными и межгосударственными отношениями значительно усложнили практику предпринимательства. В его развитии возникли новые закономерности, что требует постоянного углубления и совершенствования соответствующей теории.
В современной отечественной и зарубежной экономической литературе есть немало определений понятия " предпринимательство ". Наиболее удачными представляются те, где оно трактуется как специфический ( по сравнению с землей, капиталом, трудом ) фактор общественного воспроизводства. Его специфика и функции заключаются в том, что субъект предпринимательской деятельности - предприниматель - способен особым образом соединять, комбинировать факторы производства. Предпринимательство как процесс прямо, непосредственно связано с личностными качествами предпринимателя как основного субъекта этих действий.
Анализ зарубежной литературы и первых отечественных работ по теории и практике предпринимательства показывает, что к пониманию его экономической сущности целесообразно идти через характеристику категории " предприниматель ".
Предприниматель, с общей точки зрения, - это субъективный (личностный) фактор воспроизводства, способный на инициативной и инновационной основе, не боясь полной экономической ответственности, идти на риск и особым образом соединять другие факторы производства так, чтобы в перспективе появлялся дополнительный доход.
Движущим мотивом предпринимательской деятельности является прежде всего получение предпринимательского дохода, который идет на развитие этой деятельности и на самообогащение. Здесь речь о чисто экономических мотивах. В литературе нередко отмечают и другой фактор - самоутверждение личности, когда предпринимательство становится не просто деятельностью, а образом жизни.
Какими же качествами должен обладать предприниматель, чтобы успешно выполнять предпринимательские функции, вытекающие из данного выше определения?
Прежде всего среди таких субстанциональных качеств нужно назвать следующие умения (способности):
принимать нестандартные новаторские решения в стандартных и особенно в неопределенных ситуациях;
генерировать новые производственные и коммерческие идеи, оценивать их перспективность с точки зрения получения дополнительного дохода;
оперативно оценивать инновации с позиции их конечной эффективности; оценивать рыночную конъюнктуру с позиции получения дополнительной прибыли;
рисковать;
анализировать информацию и делать правильные с позиции рыночной конъюнктуры выводы.
Эти способности предпринимателя реализуются в совокупности основных его практической деятельности. Среди них:
изучение потребностей покупателей и их платежеспособности;
определение параметров изделий, вида производства, объемов выпуска товаров, намеченных к производству, рынков сбыта и каналов движения продукции;
выявление, исходя из намеченной производственной программы необходимых сырьевых ресурсов и рынков, где нужное сырье можно закупить по наиболее низким ценам;
выбор наиболее совершенной технологической схемы производства и источник ее постоянного обновления;
организация и управление производством товаров, намеченных к продаже.
Исходя из предложенной характеристики понятия "предприниматель" и из выше приведенного перечня функций, которые он выполняет в ходе своих практических действий, и попытаюсь определить сущность такого экономического явления, как предпринимательство (ибо сущность в практике хозяйственной деятельности проявляется именно через функции, выполняемые субъектом предпринимательской деятельности, т. е. предпринимателем).

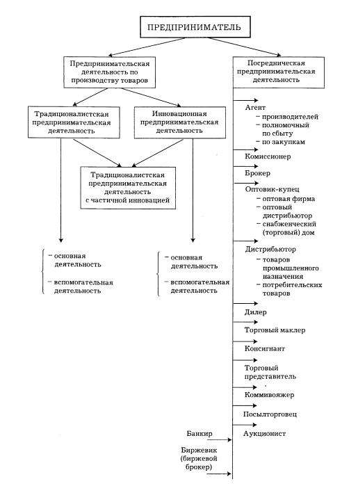
Рисунок 7 Типология предпринимательской деятельности
В современной экономической литературе четкого выделения глубинной сущности предпринимательства нет. В большинстве случаев сущность этого явления подменяется целью предпринимательской деятельности. К сожалению, такой подход господствует ныне и в России. Хуже всего, он закреплен законодательно. В Законе РФ "О предприятиях и предпринимательской деятельности" предпринимательство приравнивается к обычному бизнесу.
Предпринимательство - это особый вид бизнеса. Его целью является получение не прибыли вообще, а сверхприбыли, т. е. предпринимательского дохода.
Иными словами, предпринимательство - это особая инновационная форма производства, которая в соответствующих исторических и социально - экономических условиях становится преобладающей, что и обеспечивает всему общественному воспроизводству необходимую динамику. Страна, которой присущ такой тип воспроизводства, во многом защищена от сбоев и тем более потрясений в хозяйственной сфере; ее общественно - экономический прогресс динамичен и устойчив, перспективы обнадеживающие.
Рассмотрение предпринимательства как особого типа общественного воспроизводства было бы неполным без указания на еще одну его имманентную составляющую. Речь в данном случае идет об организации и управлении всем процессом создания предпринимательского дохода, во многом оригинальных и зачастую даже уникальных. Этот момент органически связан с экономической сущностью предпринимательства и определяет конкретную структуру последнего в каждый данный период времени. Организационно-управленческая компонента предпринимательства включает в себя не только производство, но и фазы обмена и распределения.
Те, кто впервые сталкивается с малыми предприятиями, обычно допускают типичную ошибку: считают малые предприятия одним из видов предприятий, подобно государственным, арендным, совместным, семейным и т.д. Это неверно, малые предприятия в этот перечень не могут быть включены. Малые – это не вид, не организационно-правовая форма, а размер предприятия. Малое предприятие – всегда какое-то применительно к выделяемым в законодательстве видам предприятий. Из всех имеющихся видов предприятий: государственных, коллективных, совместных, кооперативов и т.д., выделяется их часть по критериям численности работающих. Таким образом, существуют малые государственные, малые совместные, малые частные и прочие виды малых предприятий.
В этой связи становится очевидным, для малых предприятий не существует какой-то универсальной, общей для всех их видов системы ценообразования, материально-технического снабжения, оплаты труда, управления и т.д. Все эти системы функционирования предприятия определяются по их видам.
Бытует и еще одно широко распространенное заблуждение, будто бы вид малого предприятия предопределяется тем, какая организация является его учредителем. Безусловной связи здесь нет. Малые предприятия могут создаваться гражданами, членами семьи и совместно с другими лицами, государственными, арендными, совместными предприятиями, общественными организациями и т.д. Кроме того, малые предприятия могут создаваться совместно указанными органами, предприятиями, организациями и гражданами.
Если учредителем малого предприятия является государственная организация, то это отнюдь не означает, что новое образование будет именно малым государственным предприятием. Имущество, выделяемое из состава государственного предприятия, может быть сдано в аренду кооперативом. Вид созданного предприятия – кооператив. Могут быть и другие варианты.
В то же время индивидуальные и семейные частные предприятия, названные так именно применительно к учредителям, не могут быть иного вида. То есть по таким видам малых предприятий учредительство и вид малых предприятий совпадают.
Правовые основы малого бизнеса
Малый бизнес в России как самостоятельное социально-экономическое явление существует уже свыше 10 лет. Действующие законодательные и нормативно-правовые акты направлены на государственную поддержку малых предприятий с целью создания благоприятных условий для их функционирования, в первую очередь предоставления льгот по налогообложению. Так, постановлением Правительства Российской Федерации от 18.07.91 г. № 406 “О мерах по поддержке и развитию малых предприятий в РСФСР”, были определены критерии отнесения предприятий к категориям малых, предусмотрена возможность установления определенных налоговых льгот, а также создания фондов финансовой поддержки за счет бюджетных средств.
В соответствии с законом РСФСР “О конкуренции и ограничении монополистической деятельности на товарных рынках”, Правительство РФ в апреле 1993 г. приняло постановление об образовании фонда поддержки предпринимательства и развития конкуренции (с декабря 1995 года он был переименован в Федеральный фонд поддержки малого предпринимательства).
А в июне 1995 г. был принят федеральный закон “О государственной поддержке малого предпринимательства в Российской Федерации”, определивший общие положения поддержки малых предприятий, формы и методы государственного стимулирования, а также регулирования деятельности субъектов малого предпринимательства.
Указом Президента РФ в июне 1995 г. был образован Государственный комитет РФ по поддержке и развитию малого предпринимательства. В апреле 1994 г. Правительством РФ одобрена целевая Федеральная программа государственной поддержки малого предпринимательства в России на 1994 - 1995 гг.
В ней были определены основные направления, цели и приоритеты в данной области, включая совершенствование законодательства, развитие системы финансово-кредитной поддержки, информационное и консультационное обеспечение малых предприятий, содействие в реализации контрактов для обеспечения государственных нужд и др.
В 1996 г. Государственной Думой была утверждена вторая Федеральная программа государственной поддержки предпринимательства на 1996-1997гг.
Остается надеяться, что действующий с 01.01.99г. Налоговый Кодекс РФ, в содержании которого нет особых приоритетов для малого и среднего предпринимательства, не будет препятствовать дальнейшему развитию малого бизнеса в России.
Особенности и функции малого предприятия.
Предпринимательство в масштабе малого предприятия обладает рядом качественных особенностей. В первую очередь стоит отметить единство права собственности и непосредственного управления предприятием.
Вторая характеристика – так называемая обозримость предприятия: ограниченность его масштабов вызывает особый, личностный характер отношений между хозяином и работником, что позволяет добиваться действительной мотивации работы персонала и более высокой степени его удовлетворенности трудом.
Третья – относительно небольшие рынки ресурсов и сбыта, не позволяющие фирме оказывать сколько-нибудь серьезное влияние на цены и общий отраслевой объем реализации товара.
Четвертая – персонифицированный характер отношений между предпринимателем и клиентами, поскольку, как еже отмечалось, малое предприятие рассчитано на обслуживание сравнительно узкого круга потребителей.
Пятое – ключевая роль руководителя в жизни предприятия: он полностью ответственен за результаты хозяйствования не только из-за имущественного рынка, но и вследствие своей непосредственной включенности в производственный процесс и все связанное с его организацией.
Шестая специфическая черта – семейное ведение дела: оно наследуется родственниками хозяина, чем диктуется прямая вовлеченность последних во всю деятельность предприятия.
Наконец, седьмая особенность связана с характером финансирования. Если “гиганты” черпают необходимые ресурсы главным образом через фондовые биржи, то малые предприятия полагаются на сравнительно небольшие кредиты банков, собственные средства и “неформальный” рынок капиталов (деньги друзей, родственников и т.д.).
Также, как одну из особенностей, можно выделить высокую долю оборотного капитала по сравнению с основным фондом. Если у крупных предприятий это соотношение 80:20, то у малых оно составляет 20:80.
В ряду функций малого предприятия, прежде всего, важно отметить экономические функции, определяемые его ролью как, во-первых, работодателя; во-вторых – производителя продукции и услуг, в-третьих – катализатора научно-технического прогресса, в четвертых – налогоплательщика, в пятых – агента рыночных отношений.
Не менее значимы функции социальные. Во-первых, через малые формы предпринимательской деятельности многие люди раскрывают и реализуют свой творческий потенциал. Во-вторых, в основном здесь используется труд социально уязвимых групп населения (женщин, учащихся, инвалидов, пенсионеров, беженцев и т.д.), которые не могут найти себе применение на крупных предприятиях. В – третьих, малые предприятия являются главным продуцентом мест производственного обучения, своеобразным “полигоном” для обкатки молодых кадров. В-четвертых, небольшие предприятия, прежде всего в сфере обслуживания, удовлетворяют потребности людей в общении (но его они лишены, например, в супермаркетах).
Уже сегодня актуальна и будет актуализироваться и далее экологическая функция малого бизнеса, которая уже имеет место в странах с развитой рыночной экономикой.
1.3 Проблемы и перспективы развития малого бизнеса
Малый бизнес существует давно. Многие страны развитого капитализма давно ощутили эффективность малых предприятий в экономике и научились решать многие проблемы связанные с фирмами, которые занимаются деятельностью в небольших масштабах. Экономика таких стран как Германия, США и других во многом основывается на малых предприятиях. Посмотрим, какие же развивается и действует малый бизнес в этих странах.
Эффективность малых предприятий в Германии несколько выше, чем в США и в Японии. Здесь на долю 12,3% крупных предприятий и 34% занятых на них работников приходится только 52,6% национального дохода. Кроме того, 2/3 рабочих мест создается за счет мелкого предпринимательства. Поэтому число малых предприятий растет.
Наибольшее влияние на развитие мелкого предпринимательства оказывают следующие факторы:
в развитии инфраструктуры и средств связи произошел скачок;
повысился общеобразовательный уровень людей с одновременным накоплением опыта в крупных компаниях;
уменьшение габаритов, стоимости и упрощение использования информационных систем;
способствование малыми фирмами решению вопроса безработицы;
в создании малых предприятий дополнительным стимулом оказалось сокращение рабочей смены;
большая конкурентоспособность за счет меньших издержек, обусловленных отсутствием лишнего бюрократического аппарата, снижением накладных расходов и меньшими колебаниями заработной платы;
расширение сферы услуг, базирующейся на малых предприятиях.
Но, конечно, малые предприятия как возникают, так и распадаются по многим причинам. Например, в Германии в 1990 году более 14500 предприятий из числа малых потерпели крах, причем 40% из них просуществовали не более 5 лет. Доля банкротов среди предприятий малого бизнеса всегда выше, ибо, идя на риск, предприниматель решает сложную проблему конкурентоспособности выпускаемой продукции. Ведь начальная стоимость ставит основателей фирмы в невыгодное положение по сравнению с действующей фирмой. Новичку нужно в самом начале проводить свою работу при более высоких издержках, чем предпринимателю действующей фирмы. Поэтому начинающая фирма всегда имеет более высокую себестоимость продукции. Наиболее частые причины банкротства малых предприятий - это неудачи в сфере сбыта продукции, а также недостаточная компетентность и отсутствие опыта.
Но все же, несмотря ни на что, количество вновь создаваемых фирм превосходит число ликвидированных, что говорит об абсолютном увеличении числа предприятий малого и среднего бизнеса в экономике. Причем достаточно важно то, что часто малое предприятие обанкрочивается не полностью, а лишь выкупается более крупной фирмой или само становится таковой.
Отсюда можно говорить о трех моделях развития мелкого предпринимательства:
консервация масштабов деятельности с последующим сохранением статус-кво;
медленное расширение деловой активности;
быстрое развитие малых предприятий и превращение их в средние, а затем и в крупные компании.
По данным опроса владельцев малых предприятий в Германии 55% не планируют расширение, 35% разрабатывают планы медленного устойчивого роста, и только 10% - быстрого развития за счет производства новой продукции или вступления на новые рынки, что говорит о стремлении к сохранению своего статус-кво, видимо удовлетворяющего своих владельцев.
В предыдущей главе мы видим, что в 80-х годах обозначилась тенденция к увеличению числа малых предприятий в Германии. Поэтому правомерно утверждать, что в эти годы, одновременно с укреплением позиций верхушки монополистического капитала (данное утверждение ни у кого не вызывает сомнений) в экономике стран Запада наметился процесс возрастания значения мелких и средних фирм в ряде областей как материальной, так и нематериальной сферы производства.
Относительно состояния промышленности Германии, хотелось бы привести следующие цифры. Доля 10 ведущих концернов в общем промышленном обороте со второй половины 70-х годов до середины 80-х не возрастала, а по экспорту даже несколько снижалась. Наиболее же наглядной эта тенденция была в США. Согласно официальным данным с 1980 по 1989 года доля фирм малого предпринимательства увеличилась с 18% до37%.
В общем, в 70-е - 80-е годы сначала наметилась, а затем еще очевидней стала проявляться тенденция, при которой доля крупнейших компаний в выпуске продукции, инвестициях, обороте и других показателях многих отраслей оставалась стабильной или даже несколько снижалась. Установилось сбалансированное состояние между мелким и средним бизнесом. Этот временный период можно считать звездным часом малого бизнеса, поскольку для предпринимательства все более важной становится быстрая, гибкая, инновационная адаптация внутренней среды и внешних взаимосвязей фирм к возрастающей неопределенности хозяйственной среды. Предприниматели все чаще осознают необходимость использовать не только преимущества специализации, особую атмосферу творчества и заинтересованности, традиционно царящую в малых фирмах, но и возможности, которые открываются при производственной кооперации: экономия на масштабах, совместные научно-исследовательские разработки, разделение риска.
Большой плюс малых предприятий состоит в том, что многие из них оказались более приспособленными, чем крупные компании, к условиям развития в кризисные периоды для экономик Запада. Крупные фирмы не столь чувствительно и быстро реагируют на какие-либо колебания или изменения в экономике. Не случайно в политике правительств Германии, США и многих других развитых капиталистических стран помощь мелкому бизнесу занимает особое место. Мелкие предприятия стали своеобразным индикатором общего состояния дел в экономике. Небольшие предприятия наиболее чутко реагируют на изменение хозяйственной конъюнктуры, падение или повышение нормы прибыли в отраслях экономики. Волна разорений или образования новых компаний зарождается прежде всего в немонополизированном секторе и лишь позднее, набрав силу, докатывается до более крупных фирм, отражаясь на их деятельности.
В условиях ухудшения воспроизводства крупные компании находят "отдушину" в виде экспорта капитала. Мелкие фирмы, как правило, не имеют такой возможности. Это вынуждает их для выживания интенсивно пересматривать свою производственную и сбытовую деятельность. Те из них, кто в обстановке 70-х начала 80-х годов сумели приспособиться - выжили, другие - просто разорились. Однако, в свою очередь, развитие малых предприятий при преодолении этого кризиса послужило важным средством оздоровления экономики.
Проблемы становления малого бизнеса в России.
Рассмотрев опыт Германии и США, перейдем к вопросу о том, какие же условия необходимы для развития малого предпринимательства в нашей стране.
Конечно же, наивно предполагать, что для страны таки масштабов малый бизнес может стать основой экономики : в наших условиях он может стать лишь связующим звеном, которое обеспечило бы бесперебойную работу крупных промышленных предприятий. Поэтому для начала следует определить те отрасли и сферы экономики, в которых предприятия малого бизнеса играют решающую роль. Во-первых, это вся сфера услуг, в том числе технические услуги, включая ремонт и техническое обслуживание машин и оборудования; консультационные услуги; бытовое обслуживание населения. Во-вторых - торгово-закупочные операции, а также посредническая деятельность.
Поэтому одним из решающих условий углубления проводимых в России экономических реформ, способных вывести страну из кризиса, обеспечить ослабление монополизма, добиться эффективного функционирования производства и сферы услуг, является развитие малого предпринимательства. Этот сектор экономики создает необходимую атмосферу конкуренции, способен быстро реагировать на любые изменения рыночной конъюнктуры, заполнять образующиеся ниши в потребительской сфере, создает дополнительные рабочие места, является основным источником формирования среднего класса, то есть расширяет социальную базу проводимых реформ. Следует заметить, что наблюдавшийся до 1992 года бурный рост малых предприятий в 1993 году резко замедлился. И сейчас у нас занято в малом частном бизнесе менее 1 млн. чел.
В 1996 году в России проводилась массовая Программа по поддержке и становлению малого бизнеса. Это комплекс мер, выработанных правительством и поддерживаемых на всех уровнях. Общий объем финансирования Программы в 1996 году должен был составить 883,35 млрд. рублей. Основным источником финансирования Программы планировались 5 процентов средств, получаемых от приватизации объектов, находящихся в федеральной собственности, что составило 707 млрд. рублей. Основная часть средств для выполнения региональных инвестиционных программ и проектов должна была быть изыскана субъектами Российской Федерации, в том числе за счет внутренних резервов развивающихся финансовых институтов - фондов, компаний, банков и самих малых предприятий. Для выполнения Программы были привлечены также средства банков и международных финансовых организаций, финансовые ресурсы по линии технической и консультативной помощи. В качестве приоритетных защищенных статей расходования средств на реализацию мероприятий Программы выделялись: развитие инвестиционной деятельности в сфере малого предпринимательства, создание новых рабочих мест и формирование целостной инфраструктуры поддержки малых предприятий. Значительную часть всех расходов предполагалось направить на создание механизмов гарантий малым предприятиям, развитие лизинга, формирование и развитие инфраструктуры малого предпринимательства, поддержку наиболее эффективных видов производственной деятельности, научно-методическое и кадровое обеспечение Программы.
В условиях инфляции, налоговой нестабильности, отсутствия рынка сырья и материалов начинающие предприниматели, почувствовав вкус "легких денег", быстро перекочевали в сферу улично-палаточной торговли, спекуляции, ушли в другие коммерческие структуры. Источниками товаров для торговли стали импортные закупки, челночные рейсы в развивающиеся страны, а также товары из государственной торговли, включая продукты питания. Уходя от налогообложения, не вкладывая каких-либо средств в помещения, оборудование, культуру торговли, многие бизнесмены получили благоприятные возможности для обогащения.
Поэтому и не изживается в массовом сознании представление о предпринимательстве как о чем-то плохом, неприязненном, а о предпринимателе - как о спекулянте.
Потеря административного управления, экономический хаос и законодательная неразбериха привели к тому, что законопослушные предприниматели, организующие бизнес в производственной сфере, оказались в чрезвычайно трудном положении, неся большие затраты, выплачивая высокие налоги и подвергаясь государственному и негосударственному рэкету. Отсутствие четкого механизма реализации государственных мер по поддержке малого бизнеса, затруднения в получении кредитов, производственных помещений и материальных ресурсов поставили малые предприятия в неравное положение с крупными. Это привело к сокращению их роста и к ориентации преимущественно на торгово-закупочную и посредническую деятельность.
Анализ развития предпринимательства показывает, что доля предприятий, работающих в сфере торговли и посреднических услуг, занимает доминирующее положение. Кроме того, существует большое количество предприятий, зарегистрированных как производственные или многоцелевые (выпуск товаров народного потребления, оказания различных услуг), но тем не менее занимающихся торгово-посреднической деятельностью как основной.
В Москве, например, где раньше преобладали научно-технические кооперативы, теперь, по официальным данным, один такой кооператив приходится на несколько десятков торгово-закупочных.
Высокие налоги, всевозрастающая арендная плата за помещение и оборудование, отсутствие фондового рискового капитала - все это затрудняет продолжение эффективной деятельности и вынуждает направлять основные усилия не на расширение производства, а на борьбу за выживание.
Но главная причина сокращения числа малых предприятий - низкий уровень финансовой обеспеченности большинства малых предприятий вследствие трудностей с первоначальным накоплением капитала, невозможность получения кредитов на приемлемых условиях, неэффективность налоговой системы. Негативное воздействие на развитие малого бизнеса в сфере материального производства оказывают неразвитость производственной инфраструктуры, нехватка специализированного оборудования, слабость информационной базы.
Еще один очень важный фактор негативного воздействия на малый бизнес - непрекращающийся глубокий спад производства.
Все это приводит к тому, что только часть зарегистрированных предприятий малого бизнеса оказывается в не состоянии приступить к реальному производству продукции.
Как показывает изучение зарубежного опыта, непременным условием успеха в развитии малого бизнеса является положение о том, что малые предприятия и малое предпринимательство нуждаются во всесторонней и стабильной государственной поддержке. Она осуществляется в различных формах, в первую очередь путем стимулирования производства наиболее приоритетных видов продукции, предоставления налоговых льгот, дотаций льготного банковского кредитования, создания информационно-консультативных и научно-технических центров, развития системы страхования, организации материально-технического снабжения. Важную роль играют принятие и исполнение законодательства, разработка и реализация конкретных комплексных программ.
Весьма остра проблема формирования финансовой базы становления и развития малого бизнеса. Для этого ему должны быть предоставлены определенные льготы. Это могут быть льготы по налогообложению. Но проводимая в нашей стране налоговая политика не только не эффективна, но экономически опасна. Она идет вразрез с установленной в мире практикой и современными мировыми тенденциями развития экономики. Неоправданно высокое налогообложение "убивает" в России малое предпринимательство (многочисленные налоги и поборы нередко оставляют предприятию лишь 5-10% полученной прибыли). Общее направление совершенствования налоговой системы - усиление стимулирующей роли налогов в развитии производства. Надо освободить малые предприятия от налогов на инвестиции, ввозимые технологии. И, конечно, нужны налоговые льготы на период становления малого предприятия. Совершенно очевидна необходимость дифференцированного налогового подхода к предприятиям разного профиля деятельности. Более низкие ставки налогов должны применяться для наиболее важных, приоритетных отраслей.
Еще одной проблемой, не столько экономической, сколько административной является бюрократия нашего государственного аппарата. Эта проблема не обсуждается ни на каком уровне и ни одна программа не предусматривает мер по борьбе с чиновничьим беспределом в Российской Федерации. На уровне центрального правительства принимается огромное количество решений в поддержку предпринимательства, но никто не борется с тем, что любой человек, желающий заняться бизнесом должен потратить уйму времени и денег лишь на то, чтобы получить всевозможные справки и разрешения в системе местного самоуправления. Многих людей пугает именно это, когда те предпринимают первые шаги на пути к становлению своего предприятия. И много хороших идей гибнет именно в «коридорах власти», так и не получив «добро» на дальнейшее развитие. Естественно бюрократия тесно связана со взяточничеством. Поэтому государственные деятели в центре должны бороться с произволом в субъектах РФ, так как сами субъекты будут продолжать такую политику. Им выгодно это, потому что это способ губить на корню людей не угодных власти и, конечно, большой кусок в карман государственным чиновникам.
К настоящему времени сделаны только самые первые шаги в правовом и организационном обеспечении формирования малого предпринимательства в качестве особого сектора экономики России. Действенной системы стимулирования образования малых предприятий не существует, как нет и хозяйственного механизма их поддержки. Не разработана государственная программа развития малых предприятий.
По моему мнению, комплекс первоочередных мер по развитию малого предпринимательства в РФ, должен осуществляться в следующих направлениях:
нормативно-правовое;
финансово-кредитное;
обеспечение безопасности;
информационно-техническое;
организационное;
кадровое и консультационное обеспечение;
внешнеэкономическая деятельность.
Также в государственной программе должны быть отражены механизмы денежно-кредитной, налоговой, бюджетной, и ценовой политики, материально-технического снабжения, системы официальных гарантий, которые обеспечивали бы создание равных стартовых условий в развитии предпринимательской деятельности.
В программе необходимо предусмотреть формирование эффективных институтов рыночной инфраструктуры, товарного рынка и рынка ценных бумаг, инвестиционного и венчурного предпринимательства, информационной, консультационной и аудиторской деятельности, а также создание комплексной государственно-общественной системы поддержки малого предпринимательства, включая подготовку и переподготовку предпринимательских кадров, привлечение к этой сфере социально активных слоев населения. Следует также определить меры, обеспечивающие поддержку внешнеэкономической деятельности и привлечение иностранных инвестиций к развитию предпринимательства.
Для реализации данных программ должны быть привлечены не столько средства государственного бюджета, сколько возможности частного - отечественного, а при необходимости и иностранного капитала. Основным же направлением использования государственных ресурсов должно стать не выделение прямых инвестиций, а страхование и предоставление гарантий под кредит.
В последующим финансово-кредитная и инвестиционная поддержка малого предпринимательства должна сочетать оптимизацию налоговых льгот, развитие системы кредитования и создание благоприятного инвестиционного климата с участием специализированных фондов и других финансовых институтов. Сочетание мер прямой и косвенной поддержки должно способствовать формированию необходимого стартового капитала для вновь создаваемых, а также развитию существующих малых предприятий и преодолению негативной тенденции ухода этих предприятий от налогообложения. Должны быть сохранены установленные действующим законодательством налоговые льготы для субъектов малого предпринимательства. Предстоит упростить систему учета и отчетности субъектов малого предпринимательства в целях получения основной информации, необходимой для решения вопросов налогообложения. В ходе реализации программ предусматривается формирование гарантийного и лизингового фондов, способствующих в условиях повышенных рисков кредитованию и инвестированию в наиболее эффективные проекты и предприятия.
1.4 Создание и ликвидация малых предприятий
Закон принят Государственной Думой 6 июля 2007 года, одобрен Советом Федерации 11 июля 2007 года.
Статья 1. Предмет регулирования настоящего Федерального закона
Настоящий Федеральный закон регулирует отношения, возникающие между юридическими лицами, физическими лицами, органами государственной власти Российской Федерации, органами государственной власти субъектов Российской Федерации, органами местного самоуправления в сфере развития малого и среднего предпринимательства, определяет понятия субъектов малого и среднего предпринимательства, инфраструктуры поддержки субъектов малого и среднего предпринимательства, виды и формы такой поддержки.
Статья 2. Нормативное правовое регулирование развития малого и среднего предпринимательства в Российской Федерации
Нормативное правовое регулирование развития малого и среднего предпринимательства в Российской Федерации основывается на Конституции Российской Федерации и осуществляется настоящим Федеральным законом, другими федеральными законами, принимаемыми в соответствии с ними иными нормативными правовыми актами Российской Федерации, законами и иными нормативными правовыми актами субъектов Российской Федерации, нормативными правовыми актами органов местного самоуправления.
Статья 3. Основные понятия, используемые в настоящем Федеральном законе
Для целей настоящего Федерального закона используются следующие основные понятия:
1) субъекты малого и среднего предпринимательства - хозяйствующие субъекты (юридические лица и индивидуальные предприниматели), отнесенные в соответствии с условиями, установленными настоящим Федеральным законом, к малым предприятиям, в том числе к микропредприятиям, и средним предприятиям;
2) федеральные программы развития субъектов малого и среднего предпринимательства - нормативные правовые акты Правительства Российской Федерации, в которых определяются перечни мероприятий, направленных на достижение целей государственной политики в области развития малого и среднего предпринимательства, в том числе отдельных категорий субъектов малого и среднего предпринимательства, и осуществляемых в Российской Федерации, с указанием объема и источников их финансирования, результативности деятельности федеральных органов исполнительной власти, ответственных за реализацию указанных мероприятий;
3) региональные программы развития субъектов малого и среднего предпринимательства - нормативные правовые акты органов государственной власти субъектов Российской Федерации, в которых определяются перечни мероприятий, направленных на достижение целей государственной политики в области развития малого и среднего предпринимательства, в том числе отдельных категорий субъектов малого и среднего предпринимательства, и осуществляемых в субъектах Российской Федерации, с указанием объема и источников их финансирования, результативности деятельности органов государственной власти субъектов Российской Федерации, ответственных за реализацию указанных мероприятий;
4) муниципальные программы развития субъектов малого и среднего предпринимательства - нормативные правовые акты органов местного самоуправления, в которых определяются перечни мероприятий, направленных на достижение целей в области развития малого и среднего предпринимательства, в том числе отдельных категорий субъектов малого и среднего предпринимательства, и осуществляемых в муниципальных образованиях, с указанием объема и источников их финансирования, результативности деятельности органов местного самоуправления, ответственных за реализацию указанных мероприятий;
5) поддержка субъектов малого и среднего предпринимательства (далее также - поддержка) - деятельность органов государственной власти Российской Федерации, органов государственной власти субъектов Российской Федерации, органов местного самоуправления и функционирование инфраструктуры поддержки субъектов малого и среднего предпринимательства, направленные на реализацию мероприятий, предусмотренных федеральными программами развития субъектов малого и среднего предпринимательства, региональными программами развития субъектов малого и среднего предпринимательства и муниципальными программами развития субъектов малого и среднего предпринимательства.
Статья 4. Категории субъектов малого и среднего предпринимательства
1. К субъектам малого и среднего предпринимательства относятся внесенные в единый государственный реестр юридических лиц потребительские кооперативы и коммерческие организации (за исключением государственных и муниципальных унитарных предприятий), а также физические лица, внесенные в единый государственный реестр индивидуальных предпринимателей и осуществляющие предпринимательскую деятельность без образования юридического лица (далее - индивидуальные предприниматели), крестьянские (фермерские) хозяйства, соответствующие следующим условиям:
1) для юридических лиц - суммарная доля участия Российской Федерации, субъектов Российской Федерации, муниципальных образований, иностранных юридических лиц, иностранных граждан, общественных и религиозных организаций (объединений), благотворительных и иных фондов в уставном (складочном) капитале (паевом фонде) указанных юридических лиц не должна превышать двадцать пять процентов (за исключением активов акционерных инвестиционных фондов и закрытых паевых инвестиционных фондов), доля участия, принадлежащая одному или нескольким юридическим лицам, не являющимся субъектами малого и среднего предпринимательства, не должна превышать двадцать пять процентов;
2) средняя численность работников за предшествующий календарный год не должна превышать следующие предельные значения средней численности работников для каждой категории субъектов малого и среднего предпринимательства:
а) от ста одного до двухсот пятидесяти человек включительно для средних предприятий;
б) до ста человек включительно для малых предприятий; среди малых предприятий выделяются микропредприятия - до пятнадцати человек;
3) выручка от реализации товаров (работ, услуг) без учета налога на добавленную стоимость или балансовая стоимость активов (остаточная стоимость основных средств и нематериальных активов) за предшествующий календарный год не должна превышать предельные значения, установленные Правительством Российской Федерации для каждой категории субъектов малого и среднего предпринимательства.
Часть 2 статьи 4 вступила в силу с 1 января 2010 года.
2. Предусмотренные пунктом 3 части 1 настоящей статьи предельные значения выручки от реализации товаров (работ, услуг) и балансовой стоимости активов устанавливаются Правительством Российской Федерации один раз в пять лет с учетом данных сплошных статистических наблюдений за деятельностью субъектов малого и среднего предпринимательства.
3. Категория субъекта малого или среднего предпринимательства определяется в соответствии с наибольшим по значению условием, установленным пунктами 2 и 3 части 1 настоящей статьи.
4. Категория субъекта малого или среднего предпринимательства изменяется только в случае, если предельные значения выше или ниже предельных значений, указанных в пунктах 2 и 3 части 1 настоящей статьи, в течение двух календарных лет, следующих один за другим.
5. Вновь созданные организации или вновь зарегистрированные индивидуальные предприниматели и крестьянские (фермерские) хозяйства в течение того года, в котором они зарегистрированы, могут быть отнесены к субъектам малого и среднего предпринимательства, если их показатели средней численности работников, выручки от реализации товаров (работ, услуг) или балансовой стоимости активов (остаточной стоимости основных средств и нематериальных активов) за период, прошедший со дня их государственной регистрации, не превышают предельные значения, установленные в пунктах 2 и 3 части 1 настоящей статьи.
6. Средняя численность работников микропредприятия, малого предприятия или среднего предприятия за календарный год определяется с учетом всех его работников, в том числе работников, работающих по гражданско-правовым договорам или по совместительству с учетом реально отработанного времени, работников представительств, филиалов и других обособленных подразделений указанных микропредприятия, малого предприятия или среднего предприятия.
7. Выручка от реализации товаров (работ, услуг) за календарный год определяется в порядке, установленном Налоговым кодексом Российской Федерации.
8. Балансовая стоимость активов (остаточная стоимость основных средств и нематериальных активов) определяется в соответствии с законодательством Российской Федерации о бухгалтерском учете.
Статья 5. Федеральные статистические наблюдения за деятельностью субъектов малого и среднего предпринимательства
1. Федеральные статистические наблюдения за деятельностью субъектов малого и среднего предпринимательства в Российской Федерации осуществляются путем проведения сплошных статистических наблюдений за деятельностью субъектов малого и среднего предпринимательства и выборочных статистических наблюдений за деятельностью отдельных субъектов малого и среднего предпринимательства на основе представительной (репрезентативной) выборки.
Часть 2 статьи 5 вступила в силу с 1 января 2010 года.
2. Сплошные статистические наблюдения за деятельностью субъектов малого и среднего предпринимательства проводятся один раз в пять лет.
3. Выборочные статистические наблюдения проводятся путем ежемесячных и (или) ежеквартальных обследований деятельности малых предприятий (за исключением микропредприятий) и средних предприятий. Выборочные статистические наблюдения проводятся путем ежегодных обследований деятельности микропредприятий. Порядок проведения выборочных статистических наблюдений определяется Правительством Российской Федерации.
4. Федеральные органы государственной власти, органы государственной власти субъектов Российской Федерации, органы местного самоуправления обязаны представлять бесплатно в федеральные органы исполнительной власти, осуществляющие функции по формированию официальной статистической информации в установленной сфере деятельности в соответствии с законодательством Российской Федерации, документированную информацию по формам, установленным в целях осуществления федеральных государственных статистических наблюдений, и информацию, полученную федеральными органами государственной власти, органами государственной власти субъектов Российской Федерации, органами местного самоуправления в связи с осуществлением ими контрольно-надзорных и других административных полномочий в отношении субъектов малого и среднего предпринимательства.
Статья 6. Основные цели и принципы государственной политики в области развития малого и среднего предпринимательства в Российской Федерации
1. Государственная политика в области развития малого и среднего предпринимательства в Российской Федерации является частью государственной социально-экономической политики и представляет собой совокупность правовых, политических, экономических, социальных, информационных, консультационных, образовательных, организационных и иных мер, осуществляемых органами государственной власти Российской Федерации, органами государственной власти субъектов Российской Федерации, органами местного самоуправления и направленных на обеспечение реализации целей и принципов, установленных настоящим Федеральным законом.
2. Основными целями государственной политики в области развития малого и среднего предпринимательства в Российской Федерации являются:
1) развитие субъектов малого и среднего предпринимательства в целях формирования конкурентной среды в экономике Российской Федерации;
2) обеспечение благоприятных условий для развития субъектов малого и среднего предпринимательства;
3) обеспечение конкурентоспособности субъектов малого и среднего предпринимательства;
4) оказание содействия субъектам малого и среднего предпринимательства в продвижении производимых ими товаров (работ, услуг), результатов интеллектуальной деятельности на рынок Российской Федерации и рынки иностранных государств;
5) увеличение количества субъектов малого и среднего предпринимательства;
6) обеспечение занятости населения и развитие самозанятости;
7) увеличение доли производимых субъектами малого и среднего предпринимательства товаров (работ, услуг) в объеме валового внутреннего продукта;
8) увеличение доли уплаченных субъектами малого и среднего предпринимательства налогов в налоговых доходах федерального бюджета, бюджетов субъектов Российской Федерации и местных бюджетов.
3. Основными принципами государственной политики в области развития малого и среднего предпринимательства в Российской Федерации являются:
1) разграничение полномочий по поддержке субъектов малого и среднего предпринимательства между федеральными органами государственной власти, органами государственной власти субъектов Российской Федерации и органами местного самоуправления;
2) ответственность федеральных органов государственной власти, органов государственной власти субъектов Российской Федерации, органов местного самоуправления за обеспечение благоприятных условий для развития субъектов малого и среднего предпринимательства;
3) участие представителей субъектов малого и среднего предпринимательства, некоммерческих организаций, выражающих интересы субъектов малого и среднего предпринимательства, в формировании и реализации государственной политики в области развития малого и среднего предпринимательства, экспертизе проектов нормативных правовых актов Российской Федерации, нормативных правовых актов субъектов Российской Федерации, правовых актов органов местного самоуправления, регулирующих развитие малого и среднего предпринимательства;
4) обеспечение равного доступа субъектов малого и среднего предпринимательства к получению поддержки в соответствии с условиями ее предоставления, установленными федеральными программами развития малого и среднего предпринимательства, региональными программами развития малого и среднего предпринимательства и муниципальными программами развития малого и среднего предпринимательства.
Статья 7. Особенности нормативно-правового регулирования развития малого и среднего предпринимательства в Российской Федерации
В целях реализации государственной политики в области развития малого и среднего предпринимательства в Российской Федерации федеральными законами и иными нормативными правовыми актами Российской Федерации могут предусматриваться следующие меры:
1) специальные налоговые режимы, упрощенные правила ведения налогового учета, упрощенные формы налоговых деклараций по отдельным налогам и сборам для малых предприятий;
2) упрощенная система ведения бухгалтерской отчетности для малых предприятий, осуществляющих отдельные виды деятельности;
3) упрощенный порядок составления субъектами малого и среднего предпринимательства статистической отчетности;
4) льготный порядок расчетов за приватизированное субъектами малого и среднего предпринимательства государственное и муниципальное имущество;
5) особенности участия субъектов малого предпринимательства в качестве поставщиков (исполнителей, подрядчиков) в целях размещения заказов на поставки товаров, выполнение работ, оказание услуг для государственных и муниципальных нужд;
6) меры по обеспечению прав и законных интересов субъектов малого и среднего предпринимательства при осуществлении государственного контроля (надзора);
7) меры по обеспечению финансовой поддержки субъектов малого и среднего предпринимательства;
8) меры по развитию инфраструктуры поддержки субъектов малого и среднего предпринимательства;
9) иные направленные на обеспечение реализации целей и принципов настоящего Федерального закона меры.
Статья 8. Реестры субъектов малого и среднего предпринимательства - получателей поддержки
1. Федеральные органы исполнительной власти, органы исполнительной власти субъектов Российской Федерации, органы местного самоуправления, оказывающие поддержку субъектам малого и среднего предпринимательства, ведут реестры субъектов малого и среднего предпринимательства - получателей такой поддержки.
2. В указанных в части 1 настоящей статьи реестрах в отношении субъекта малого или среднего предпринимательства должны содержаться следующие сведения:
1) наименование органа, предоставившего поддержку;
2) полное и (в случае, если имеется) сокращенное наименование, в том числе фирменное наименование, адрес (место нахождения) постоянно действующего исполнительного органа юридического лица, государственный регистрационный номер записи о государственной регистрации юридического лица;
3) фамилия, имя и (в случае, если имеется) отчество, место жительства индивидуального предпринимателя, государственный регистрационный номер записи о государственной регистрации индивидуального предпринимателя;
4) вид, форма и размер предоставленной поддержки;
5) срок оказания поддержки;
6) идентификационный номер налогоплательщика;
7) дата принятия решения о предоставлении или прекращении оказания поддержки;
8) информация (в случае, если имеется) о нарушении порядка и условий предоставления поддержки, в том числе о нецелевом использовании средств поддержки.
3. Федеральные органы исполнительной власти, органы исполнительной власти субъектов Российской Федерации, органы местного самоуправления, оказывающие поддержку субъектам малого и среднего предпринимательства, вносят записи в реестры субъектов малого и среднего предпринимательства - получателей поддержки в отношении соответствующих субъектов малого и среднего предпринимательства в течение тридцати дней со дня принятия решения об оказании поддержки или решения о прекращении оказания поддержки.
4. Порядок ведения реестров субъектов малого и среднего предпринимательства - получателей поддержки, требования к технологическим, программным, лингвистическим, правовым и организационным средствам обеспечения пользования указанными реестрами устанавливаются Правительством Российской Федерации.
5. Информация, содержащаяся в реестрах субъектов малого и среднего предпринимательства - получателей поддержки, является открытой для ознакомления с ней физических и юридических лиц.
6. Сведения, предусмотренные частью 2 настоящей статьи, исключаются из реестров субъектов малого и среднего предпринимательства - получателей поддержки по истечении трех лет с даты окончания срока оказания поддержки.
Статья 9. Полномочия органов государственной власти Российской Федерации по вопросам развития субъектов малого и среднего предпринимательства
К полномочиям органов государственной власти Российской Федерации по вопросам развития субъектов малого и среднего предпринимательства относятся:
1) формирование и осуществление государственной политики в области развития малого и среднего предпринимательства;
2) определение принципов, приоритетных направлений, форм и видов поддержки субъектов малого и среднего предпринимательства;
3) разработка и реализация федеральных программ развития субъектов малого и среднего предпринимательства;
4) определение основных финансовых, экономических, социальных и иных показателей развития малого и среднего предпринимательства и инфраструктуры поддержки субъектов малого и среднего предпринимательства на долгосрочную, среднесрочную и краткосрочную перспективы на основе прогнозов социально-экономического развития Российской Федерации;
5) создание координационных или совещательных органов в области развития малого и среднего предпринимательства при федеральных органах исполнительной власти, наделенных отдельными полномочиями по вопросам развития малого и среднего предпринимательства в пределах их компетенции;
6) формирование единой информационной системы в целях реализации государственной политики в области развития малого и среднего предпринимательства;
7) финансирование научно-исследовательских и опытно-конструкторских работ по проблемам развития малого и среднего предпринимательства за счет средств федерального бюджета;
8) содействие деятельности общероссийских некоммерческих организаций, выражающих интересы субъектов малого и среднего предпринимательства;
9) пропаганда и популяризация предпринимательской деятельности за счет средств федерального бюджета;
10) поддержка региональных программ развития субъектов малого и среднего предпринимательства;
11) представительство в международных организациях, сотрудничество с иностранными государствами и административно-территориальными образованиями иностранных государств в области развития малого и среднего предпринимательства;
12) организация официального статистического учета субъектов малого и среднего предпринимательства;
13) ежегодная подготовка доклада о состоянии и развитии малого и среднего предпринимательства в Российской Федерации и мерах по его развитию, включающего в себя отчет об использовании средств федерального бюджета на государственную поддержку субъектов малого и среднего предпринимательства, анализ финансовых, экономических, социальных и иных показателей развития малого и среднего предпринимательства, оценку эффективности применения мер по его развитию, прогноз развития малого и среднего предпринимательства в Российской Федерации, и опубликование в средствах массовой информации этого доклада;
14) методическое обеспечение органов государственной власти субъектов Российской Федерации и органов местного самоуправления и содействие им в разработке и реализации мер по развитию малого и среднего предпринимательства в субъектах Российской Федерации и на территориях муниципальных образований.
Статья 10. Полномочия органов государственной власти субъектов Российской Федерации по вопросам развития малого и среднего предпринимательства
1. К полномочиям органов государственной власти субъектов Российской Федерации по вопросам развития малого и среднего предпринимательства относятся:
1) формирование и осуществление государственной политики в области развития малого и среднего предпринимательства;
2) разработка и реализация региональных программ развития субъектов малого и среднего предпринимательства с учетом национальных и региональных социально-экономических, экологических, культурных и других особенностей;
3) содействие деятельности некоммерческих организаций, выражающих интересы субъектов малого и среднего предпринимательства, и структурных подразделений указанных организаций;
4) финансирование научно-исследовательских и опытно-конструкторских работ по проблемам развития малого и среднего предпринимательства за счет средств бюджетов субъектов Российской Федерации;
5) содействие развитию межрегионального сотрудничества субъектов малого и среднего предпринимательства;
6) пропаганда и популяризация предпринимательской деятельности за счет средств бюджетов субъектов Российской Федерации;
7) поддержка муниципальных программ развития субъектов малого и среднего предпринимательства;
8) сотрудничество с международными организациями и административно-территориальными образованиями иностранных государств по вопросам развития малого и среднего предпринимательства;
9) анализ финансовых, экономических, социальных и иных показателей развития малого и среднего предпринимательства и эффективности применения мер по его развитию, прогноз развития малого и среднего предпринимательства в субъектах Российской Федерации;
10) формирование инфраструктуры поддержки субъектов малого и среднего предпринимательства в субъектах Российской Федерации и обеспечение ее деятельности;
11) методическое обеспечение органов местного самоуправления и содействие им в разработке и реализации мер по развитию малого и среднего предпринимательства на территориях муниципальных образований;
12) образование координационных или совещательных органов в области развития малого и среднего предпринимательства органами исполнительной власти субъектов Российской Федерации.
2. Органы государственной власти субъектов Российской Федерации могут передавать в установленном законом порядке отдельные полномочия по развитию субъектов малого и среднего предпринимательства органам местного самоуправления.
Статья 11. Полномочия органов местного самоуправления по вопросам развития малого и среднего предпринимательства
К полномочиям органов местного самоуправления по вопросам развития малого и среднего предпринимательства относится создание условий для развития малого и среднего предпринимательства, в том числе:
1) формирование и осуществление муниципальных программ развития субъектов малого и среднего предпринимательства с учетом национальных и местных социально-экономических, экологических, культурных и других особенностей;
2) анализ финансовых, экономических, социальных и иных показателей развития малого и среднего предпринимательства и эффективности применения мер по его развитию, прогноз развития малого и среднего предпринимательства на территориях муниципальных образований;
3) формирование инфраструктуры поддержки субъектов малого и среднего предпринимательства на территориях муниципальных образований и обеспечение ее деятельности;
4) содействие деятельности некоммерческих организаций, выражающих интересы субъектов малого и среднего предпринимательства, и структурных подразделений указанных организаций;
5) образование координационных или совещательных органов в области развития малого и среднего предпринимательства органами местного самоуправления.
Статья 12. Взаимодействие органов государственной власти в области развития малого и среднего предпринимательства в Российской Федерации
Правительство Российской Федерации в пределах своих полномочий и в целях обеспечения сочетания интересов Российской Федерации и субъектов Российской Федерации в области развития малого и среднего предпринимательства координирует деятельность органов исполнительной власти субъектов Российской Федерации по реализации ими мероприятий федеральных программ развития субъектов малого и среднего предпринимательства.
Статья 13. Координационные или совещательные органы в области развития малого и среднего предпринимательства
1. В случае обращения некоммерческих организаций, выражающих интересы субъектов малого и среднего предпринимательства, к руководителям федеральных органов исполнительной власти, наделенных отдельными полномочиями по вопросам развития малого и среднего предпринимательства в пределах их компетенции, с предложением создать при данных органах координационные или совещательные органы в области развития малого и среднего предпринимательства руководители данных федеральных органов государственной власти обязаны рассмотреть вопрос о создании таких координационных или совещательных органов. О принятом решении по указанному вопросу руководители федеральных органов исполнительной власти в течение месяца в письменной форме уведомляют такие некоммерческие организации.
2. В случае принятия решения о создании координационных или совещательных органов в области развития малого и среднего предпринимательства при федеральных органах исполнительной власти руководители указанных органов обязаны обеспечить участие представителей некоммерческих организаций, выражающих интересы субъектов малого и среднего предпринимательства, в работе координационных или совещательных органов в области развития малого и среднего предпринимательства в количестве не менее двух третей от общего числа членов указанных координационных или совещательных органов.
3. Координационные или совещательные органы в области развития малого и среднего предпринимательства создаются в целях:
1) привлечения субъектов малого и среднего предпринимательства к выработке и реализации государственной политики в области развития малого и среднего предпринимательства;
2) выдвижения и поддержки инициатив, имеющих общероссийское значение и направленных на реализацию государственной политики в области развития малого и среднего предпринимательства;
3) проведения общественной экспертизы проектов нормативных правовых актов Российской Федерации, регулирующих развитие малого и среднего предпринимательства;
4) выработки рекомендаций органам исполнительной власти Российской Федерации, органам исполнительной власти субъектов Российской Федерации и органам местного самоуправления при определении приоритетов в области развития малого и среднего предпринимательства;
5) привлечения граждан, общественных объединений и представителей средств массовой информации к обсуждению вопросов, касающихся реализации права граждан на предпринимательскую деятельность, и выработки по данным вопросам рекомендаций.
4. Порядок создания координационных или совещательных органов в области развития малого и среднего предпринимательства органами исполнительной власти субъектов Российской Федерации и органами местного самоуправления определяется нормативными правовыми актами субъектов Российской Федерации и нормативными правовыми актами органов местного самоуправления.
Статья 14. Поддержка субъектов малого и среднего предпринимательства органами государственной власти и органами местного самоуправления
1. Основными принципами поддержки субъектов малого и среднего предпринимательства являются:
1) заявительный порядок обращения субъектов малого и среднего предпринимательства за оказанием поддержки;
2) доступность инфраструктуры поддержки субъектов малого и среднего предпринимательства для всех субъектов малого и среднего предпринимательства;
3) равный доступ субъектов малого и среднего предпринимательства, соответствующих критериям, предусмотренным федеральными программами развития субъектов малого и среднего предпринимательства, региональными программами развития субъектов малого и среднего предпринимательства, муниципальными программами развития субъектов малого и среднего предпринимательства, к участию в соответствующих программах;
4) оказание поддержки с соблюдением требований, установленных Федеральным законом от 26 июля 2006 года N 135-ФЗ "О защите конкуренции";
5) открытость процедур оказания поддержки.
2. При обращении субъектов малого и среднего предпринимательства за оказанием поддержки субъекты малого и среднего предпринимательства должны представить документы, подтверждающие их соответствие условиям, установленным статьей 4 настоящего Федерального закона, и условиям, предусмотренным федеральными программами развития субъектов малого и среднего предпринимательства, региональными программами развития субъектов малого и среднего предпринимательства, муниципальными программами развития субъектов малого и среднего предпринимательства.
3. Поддержка не может оказываться в отношении субъектов малого и среднего предпринимательства:
1) являющихся кредитными организациями, страховыми организациями (за исключением потребительских кооперативов), инвестиционными фондами, негосударственными пенсионными фондами, профессиональными участниками рынка ценных бумаг, ломбардами;
2) являющихся участниками соглашений о разделе продукции;
3) осуществляющих предпринимательскую деятельность в сфере игорного бизнеса;
4) являющихся в порядке, установленном законодательством Российской Федерации о валютном регулировании и валютном контроле, нерезидентами Российской Федерации, за исключением случаев, предусмотренных международными договорами Российской Федерации.
4. Финансовая поддержка субъектов малого и среднего предпринимательства, предусмотренная статьей 17 настоящего Федерального закона, не может оказываться субъектам малого и среднего предпринимательства, осуществляющим производство и реализацию подакцизных товаров, а также добычу и реализацию полезных ископаемых, за исключением общераспространенных полезных ископаемых.
5. В оказании поддержки должно быть отказано в случае, если:
1) не представлены документы, определенные соответствующими федеральными программами развития малого и среднего предпринимательства, региональными программами развития малого и среднего предпринимательства, муниципальными программами развития малого и среднего предпринимательства, или представлены недостоверные сведения и документы;
2) не выполнены условия оказания поддержки;
3) ранее в отношении заявителя - субъекта малого и среднего предпринимательства было принято решение об оказании аналогичной поддержки и сроки ее оказания не истекли;
4) с момента признания субъекта малого и среднего предпринимательства допустившим нарушение порядка и условий оказания поддержки, в том числе не обеспечившим целевого использования средств поддержки, прошло менее чем три года.
6. Сроки рассмотрения предусмотренных частью 2 настоящей статьи обращений субъектов малого и среднего предпринимательства устанавливаются соответственно федеральными программами развития субъектов малого и среднего предпринимательства, региональными программами развития субъектов малого и среднего предпринимательства, муниципальными программами развития субъектов малого и среднего предпринимательства. Каждый субъект малого и среднего предпринимательства должен быть проинформирован о решении, принятом по такому обращению, в течение пяти дней со дня его принятия.
Статья 15. Инфраструктура поддержки субъектов малого и среднего предпринимательства
1. Инфраструктурой поддержки субъектов малого и среднего предпринимательства является система коммерческих и некоммерческих организаций, которые создаются, осуществляют свою деятельность или привлекаются в качестве поставщиков (исполнителей, подрядчиков) в целях размещения заказов на поставки товаров, выполнение работ, оказание услуг для государственных или муниципальных нужд при реализации федеральных программ развития субъектов малого и среднего предпринимательства, региональных программ развития субъектов малого и среднего предпринимательства, муниципальных программ развития субъектов малого и среднего предпринимательства, обеспечивающих условия для создания субъектов малого и среднего предпринимательства, и оказания им поддержки.
2. Инфраструктура поддержки субъектов малого и среднего предпринимательства включает в себя также центры и агентства по развитию предпринимательства, государственные и муниципальные фонды поддержки предпринимательства, фонды содействия кредитованию (гарантийные фонды, фонды поручительств), акционерные инвестиционные фонды и закрытые паевые инвестиционные фонды, привлекающие инвестиции для субъектов малого и среднего предпринимательства, технопарки, научные парки, инновационно-технологические центры, бизнес-инкубаторы, палаты и центры ремесел, центры поддержки субподряда, маркетинговые и учебно-деловые центры, агентства по поддержке экспорта товаров, лизинговые компании, консультационные центры и иные организации.
3. Требования к организациям, образующим инфраструктуру поддержки субъектов малого и среднего предпринимательства, устанавливаются в федеральных программах развития субъектов малого и среднего предпринимательства, региональных программах развития субъектов малого и среднего предпринимательства, муниципальных программах развития субъектов малого и среднего предпринимательства.
4. Поддержкой организаций, образующих инфраструктуру поддержки субъектов малого и среднего предпринимательства, является деятельность органов государственной власти Российской Федерации, органов государственной власти субъектов Российской Федерации, органов местного самоуправления, осуществляемая при реализации федеральных программ развития субъектов малого и среднего предпринимательства, региональных программ развития субъектов малого и среднего предпринимательства, муниципальных программ развития субъектов малого и среднего предпринимательства и направленная на создание и обеспечение деятельности организаций, образующих инфраструктуру поддержки субъектов малого и среднего предпринимательства.
Статья 16. Формы, условия и порядок поддержки субъектов малого и среднего предпринимательства
1. Поддержка субъектов малого и среднего предпринимательства и организаций, образующих инфраструктуру поддержки субъектов малого и среднего предпринимательства, включает в себя финансовую, имущественную, информационную, консультационную поддержку таких субъектов и организаций, поддержку в области подготовки, переподготовки и повышения квалификации их работников, поддержку в области инноваций и промышленного производства, ремесленничества, поддержку субъектов малого и среднего предпринимательства, осуществляющих внешнеэкономическую деятельность, поддержку субъектов малого и среднего предпринимательства, осуществляющих сельскохозяйственную деятельность.
2. Условия и порядок оказания поддержки субъектам малого и среднего предпринимательства и организациям, образующим инфраструктуру поддержки субъектов малого и среднего предпринимательства, устанавливаются федеральными программами развития субъектов малого и среднего предпринимательства, региональными программами развития субъектов малого и среднего предпринимательства и муниципальными программами развития субъектов малого и среднего предпринимательства.
3. Субъекты Российской Федерации вправе наряду с установленными частью 1 настоящей статьи формами поддержки самостоятельно оказывать иные формы поддержки за счет средств бюджетов субъектов Российской Федерации.
Статья 17. Финансовая поддержка субъектов малого и среднего предпринимательства
1. Оказание финансовой поддержки субъектам малого и среднего предпринимательства и организациям, образующим инфраструктуру поддержки субъектов малого и среднего предпринимательства, может осуществляться в соответствии с законодательством Российской Федерации за счет средств бюджетов субъектов Российской Федерации, средств местных бюджетов путем предоставления субсидий, бюджетных инвестиций, государственных и муниципальных гарантий по обязательствам субъектов малого и среднего предпринимательства и организаций, образующих инфраструктуру поддержки субъектов малого и среднего предпринимательства.
2. Средства федерального бюджета на государственную поддержку субъектов малого и среднего предпринимательства (в том числе на ведение реестра субъектов малого и среднего предпринимательства - получателей поддержки), предусмотренные федеральным законом о федеральном бюджете, предоставляются бюджетам субъектов Российской Федерации в виде субсидий в порядке, установленном Правительством Российской Федерации.
Статья 18. Имущественная поддержка субъектов малого и среднего предпринимательства
1. Оказание имущественной поддержки субъектам малого и среднего предпринимательства и организациям, образующим инфраструктуру поддержки субъектов малого и среднего предпринимательства, осуществляется органами государственной власти и органами местного самоуправления в виде передачи во владение и (или) в пользование государственного или муниципального имущества, в том числе земельных участков, зданий, строений, сооружений, нежилых помещений, оборудования, машин, механизмов, установок, транспортных средств, инвентаря, инструментов, на возмездной основе, безвозмездной основе или на льготных условиях. Указанное имущество должно использоваться по целевому назначению.
2. Запрещаются продажа переданного субъектам малого и среднего предпринимательства и организациям, образующим инфраструктуру поддержки субъектов малого и среднего предпринимательства, имущества, переуступка прав пользования им, передача прав пользования им в залог и внесение прав пользования таким имуществом в уставный капитал любых других субъектов хозяйственной деятельности.
3. Федеральные органы исполнительной власти, органы исполнительной власти субъектов Российской Федерации и органы местного самоуправления, оказавшие имущественную поддержку в соответствии с частью 1 настоящей статьи, вправе обратиться в суд с требованием о прекращении прав владения и (или) пользования субъектами малого и среднего предпринимательства или организациями, образующими инфраструктуру поддержки субъектов малого и среднего предпринимательства, предоставленным таким субъектам и организациям государственным или муниципальным имуществом при его использовании не по целевому назначению и (или) с нарушением запретов, установленных частью 2 настоящей статьи.
4. Федеральные органы исполнительной власти, органы исполнительной власти субъектов Российской Федерации и органы местного самоуправления вправе утверждать перечни государственного имущества и муниципального имущества, предназначенного для передачи во владение и (или) в пользование субъектам малого и среднего предпринимательства и организациям, образующим инфраструктуру поддержки субъектов малого и среднего предпринимательства.
5. В случае, если при федеральных органах исполнительной власти, органах исполнительной власти субъектов Российской Федерации и органах местного самоуправления созданы координационные или совещательные органы в области развития малого и среднего предпринимательства, предусмотренная частью 1 настоящей статьи передача прав владения и (или) пользования имуществом осуществляется с участием этих координационных или совещательных органов.
Статья 19. Информационная поддержка субъектов малого и среднего предпринимательства
1. Оказание информационной поддержки субъектам малого и среднего предпринимательства и организациям, образующим инфраструктуру поддержки субъектов малого и среднего предпринимательства, осуществляется органами государственной власти и органами местного самоуправления в виде создания федеральных, региональных и муниципальных информационных систем и информационно-телекоммуникационных сетей и обеспечения их функционирования в целях поддержки субъектов малого и среднего предпринимательства.
2. Информационные системы и информационно-телекоммуникационные сети создаются в целях обеспечения субъектов малого и среднего предпринимательства и организаций, образующих инфраструктуру поддержки субъектов малого и среднего предпринимательства, информацией:
1) о реализации федеральных программ развития субъектов малого и среднего предпринимательства, региональных программ развития субъектов малого и среднего предпринимательства и муниципальных программ развития субъектов малого и среднего предпринимательства;
2) о количестве субъектов малого и среднего предпринимательства и об их классификации по видам экономической деятельности;
3) о числе замещенных рабочих мест в субъектах малого и среднего предпринимательства в соответствии с их классификацией по видам экономической деятельности;
4) об обороте товаров (работ, услуг), производимых субъектами малого и среднего предпринимательства, в соответствии с их классификацией по видам экономической деятельности;
5) о финансово-экономическом состоянии субъектов малого и среднего предпринимательства;
6) об организациях, образующих инфраструктуру поддержки субъектов малого и среднего предпринимательства;
7) иного характера (экономической, правовой, статистической, производственно-технологической информацией, информацией в области маркетинга, необходимой для развития субъектов малого и среднего предпринимательства).
3. Информация, указанная в части 2 настоящей статьи, является общедоступной и размещается в сети "Интернет" на официальных сайтах федеральных органов исполнительной власти, органов исполнительной власти субъектов Российской Федерации, органов местного самоуправления, наделенных отдельными полномочиями в области развития субъектов малого и среднего предпринимательства в пределах их компетенции.
Статья 20. Консультационная поддержка субъектов малого и среднего предпринимательства
Оказание консультационной поддержки субъектам малого и среднего предпринимательства органами государственной власти и органами местного самоуправления может осуществляться в виде:
1) создания организаций, образующих инфраструктуру поддержки субъектов малого и среднего предпринимательства и оказывающих консультационные услуги субъектам малого и среднего предпринимательства, и обеспечения деятельности таких организаций;
2) компенсации затрат, произведенных и документально подтвержденных субъектами малого и среднего предпринимательства, на оплату консультационных услуг.
Статья 21. Поддержка субъектов малого и среднего предпринимательства в области подготовки, переподготовки и повышения квалификации кадров
Оказание поддержки субъектам малого и среднего предпринимательства в области подготовки, переподготовки и повышения квалификации кадров органами государственной власти и органами местного самоуправления может осуществляться в виде:
1) разработки примерных образовательных программ, направленных на подготовку, переподготовку и повышение квалификации кадров для субъектов малого и среднего предпринимательства, на основе государственных образовательных стандартов;
2) создания условий для повышения профессиональных знаний специалистов, относящихся к социально незащищенным группам населения, совершенствования их деловых качеств, подготовки их к выполнению новых трудовых функций в области малого и среднего предпринимательства;
3) учебно-методологической, научно-методической помощи субъектам малого и среднего предпринимательства.
Статья 22. Поддержка субъектов малого и среднего предпринимательства в области инноваций и промышленного производства
Оказание поддержки субъектам малого и среднего предпринимательства в области инноваций и промышленного производства органами государственной власти и органами местного самоуправления может осуществляться в виде:
1) создания организаций, образующих инфраструктуру поддержки субъектов малого и среднего предпринимательства и оказывающих поддержку субъектам малого и среднего предпринимательства, в том числе технопарков, центров коммерциализации технологий, технико-внедренческих и научно-производственных зон, и обеспечения деятельности таких организаций;
2) содействия патентованию изобретений, полезных моделей, промышленных образцов и селекционных достижений, а также государственной регистрации иных результатов интеллектуальной деятельности, созданных субъектами малого и среднего предпринимательства;
3) создания условий для привлечения субъектов малого и среднего предпринимательства к заключению договоров субподряда в области инноваций и промышленного производства;
4) создания акционерных инвестиционных фондов и закрытых паевых инвестиционных фондов.
Статья 23. Поддержка субъектов малого и среднего предпринимательства в области ремесленной деятельности
1. В целях оказания поддержки субъектам малого и среднего предпринимательства и организациям, образующим инфраструктуру поддержки субъектов малого и среднего предпринимательства, органы государственной власти субъектов Российской Федерации вправе разрабатывать и утверждать перечни видов ремесленной деятельности.
2. Оказание поддержки субъектам малого и среднего предпринимательства в области ремесленной деятельности органами государственной власти и органами местного самоуправления может осуществляться в виде:
1) создания организаций, образующих инфраструктуру поддержки субъектов малого и среднего предпринимательства в области ремесленной деятельности, в том числе палат ремесел, центров ремесел, и обеспечения их деятельности;
2) финансовой, имущественной, консультационной, информационной поддержки, поддержки в области подготовки, переподготовки и повышения квалификации работников, поддержки субъектов малого и среднего предпринимательства, осуществляющих внешнеэкономическую деятельность в области ремесленной деятельности.
Статья 24. Поддержка субъектов малого и среднего предпринимательства, осуществляющих внешнеэкономическую деятельность
Оказание поддержки субъектам малого и среднего предпринимательства, осуществляющим внешнеэкономическую деятельность, органами государственной власти и органами местного самоуправления может осуществляться в виде:
1) сотрудничества с международными организациями и иностранными государствами в области развития малого и среднего предпринимательства;
2) содействия в продвижении на рынки иностранных государств российских товаров (работ, услуг), результатов интеллектуальной деятельности, а также создания благоприятных условий для российских участников внешнеэкономической деятельности;
3) создания организаций, образующих инфраструктуру поддержки субъектов малого и среднего предпринимательства и оказывающих поддержку субъектам малого и среднего предпринимательства, осуществляющим внешнеэкономическую деятельность, и обеспечения деятельности таких организаций;
4) реализации иных мероприятий по поддержке субъектов малого и среднего предпринимательства, осуществляющих внешнеэкономическую деятельность.
Статья 25. Поддержка субъектов малого и среднего предпринимательства, осуществляющих сельскохозяйственную деятельность
Оказание поддержки субъектам малого и среднего предпринимательства, осуществляющим сельскохозяйственную деятельность, может осуществляться в формах и видах, предусмотренных настоящим Федеральным законом, другими федеральными законами, принимаемыми в соответствии с ними иными нормативными правовыми актами Российской Федерации, законами и иными нормативными правовыми актами субъектов Российской Федерации, нормативными правовыми актами органов местного самоуправления.
Статья 26. Признание утратившими силу Федерального закона "О государственной поддержке малого предпринимательства в Российской Федерации" и пункта 12 статьи 2 Федерального закона "О приведении законодательных актов в соответствие с Федеральным законом "О государственной регистрации юридических лиц"
Признать утратившими силу:
1) Федеральный закон от 14 июня 1995 года N 88-ФЗ "О государственной поддержке малого предпринимательства в Российской Федерации" (Собрание законодательства Российской Федерации, 1995, N 25, ст. 2343);
2) пункт 12 статьи 2 Федерального закона от 21 марта 2002 года N 31-ФЗ "О приведении законодательных актов в соответствие с Федеральным законом "О государственной регистрации юридических лиц" (Собрание законодательства Российской Федерации, 2002, N 12, ст. 1093).
Статья 27. Заключительные положения и вступление в силу настоящего Федерального закона
1. Настоящий Федеральный закон вступил в силу с 1 января 2008 года, за исключением части 2 статьи 4 и части 2 статьи 5 настоящего Федерального закона.
2. Часть 2 статьи 4 и часть 2 статьи 5 настоящего Федерального закона вступили в силу с 1 января 2010 года.
Предприятие может быть учреждено либо по решению собственника имущества или уполномоченного им органа, либо по решению трудового коллектива государственного или муниципального предприятия в случаях и порядке, предусмотренном Законом. Предприятие может быть учреждено в результате выделения из состава действующего предприятия, объединения, организации одного или нескольких структурных подразделений с сохранением за ними существующих обязательств перед предприятием. Предприятие может быть учреждено в результате принудительного разделения в соответствии с антимонопольным законодательством РФ.
Учредительными документами предприятия являются устав предприятия, а также решение о его создании или договор учредителей. В уставе предприятия определяются организационно правовая форма предприятия, его название, адрес, органы управления и контроля, порядок распределения прибыли и образования фондов предприятия, условия реорганизации и ликвидации предприятия. Устав предприятия утверждается его учредителем. На государственном и муниципальном предприятии, а также на предприятии смешанной формы собственности, в имуществе которого доля государства или местного Совета составляет более 50%, устав утверждается учредителем совместно с трудовым коллективом.
Предприятие считается утвержденным и приобретает права юридического лица со дня его государственной регистрации.
Прекращение деятельности предприятия может осуществляться в виде его ликвидации или реорганизации (слияние, присоединение, разделение, выделение, преобразование в иную организационно-правовую форму). Ликвидация и реорганизация предприятия производится по решению собственника или органа, уполномоченного создавать такие предприятия, с согласия трудового коллектива либо по решению суда.
Предприятия ликвидируются в случаях:
- признания банкротом,
- принятия решения о запрете деятельности предприятия из-за невыполнения условий, установленных законодательством РФ, если в предусмотренный решением срок не обеспечено соблюдение этих условий или не изменен вид деятельности,
- признания судом недействительными учредительных документов и решения о создании предприятия,
- по другим основаниям, предусмотренным законодательными актами РФ и входящих в его состав республик.
Ликвидация предприятия осуществляется ликвидационной комиссией, образуемой собственником имущества предприятия или уполномоченным им органом, совместно с трудовым коллективом. По их решению ликвидация может проводиться самим предприятием в лице его органа управления. Ликвидация предприятия при банкротстве осуществляется в соответствии с законодательством РФ.
Государственная регистрация предприятия.
Государственная регистрация предприятия, независимо от его организационно-правовой формы, осуществляется местным Советом по месту учреждения предприятия. Данные государственной регистрации предприятия в месячный срок сообщаются Советом, зарегистрировавшим предприятие, в Министерство финансов РФ для включения в Государственный реестр. Деятельность незарегистрированного предприятия запрещается. Доходы, полученные от деятельности такого предприятия, взыскиваются через суд и направляются в местный бюджет.
Для регистрации предприятия учредитель представляет следующие документы:
- заявление учредителя,
- устав предприятия,
- решение о создании предприятия или договор учредителей,
- свидетельство об уплате государственной пошлины.
Решение о регистрации или отказ в регистрации предприятия должно быть принято не позднее чем в месячный срок с момента выдачи заявления учредителя, устава, договора учредителей и свидетельства об уплате госпошлины. О регистрации предприятия держатель реестра объявляет в местной печати не позднее чем в недельный срок со дня регистрации.
Отказ в государственной регистрации предприятия возможен в случае нарушения установленного Законом порядка создания предприятия, а также несоответствия учредительных документов требованиям законодательства РФ. Отказ в регистрации предприятия по другим мотивам является незаконным. О решении отказать в регистрации предприятия соответствующий орган обязан сообщить в 3-хдневный срок в письменной форме учредителю предприятия. Отказ в регистрации предприятия может быть обжалован в судебном порядке. Предприниматель может взыскать через суд убытки, нанесенные в результате незаконного отказа в регистрации предприятия.
Управление предприятием осуществляется учредителем являющийся высшим органом предприятия – юридического лица. (вариант: на случай, когда учредителей несколько - высшим органом управления предприятием и юридического лица является общее собрание учредителей, принимающие решения единогласно. При несогласии одного из учредителей он вправе выйти из предприятия и получить свою долю в денежном выражении по окончании операционного года ( возможны и другие варианты решения ).
Вариант: для осуществления текущего руководства деятельностью предприятия учредителем назначается директор предприятия, действующий на основании и в пределах доверенности, выданной от имени предприятия его высшим органом.
С приглашенным директором заключается контракт (трудовой договор). Директором может быть назначен один из учредителей. Учредитель, действуя в качестве руководителя предприятия, самостоятельно решает все вопросы деятельности предприятия. Он действует от имени предприятия без доверенности, представляет его во всех организациях и перед всеми лицами, распоряжается имуществом предприятия, совершает сделки и заключает договоры, в том числе трудовые, выдает доверенности, открывает счета в банках, утверждает структуру и штатное расписание предприятия , издает приказы и обязательные для всех работников указания.
Трудовой коллектив предприятия, состоящий из всех лиц, участвующих своим трудом в его деятельности, исключая учредителей и директора, решает простым большинством голосов вопрос о заключении коллективного договора, и о содержании этого договора и вопросы связанные с выкупом предприятия и согласия учредителя (учредителей). Должность лица предприятия, включая заместителя руководителя предприятия, руководителей структурных подразделений, мастеров, старших мастеров и других линейных руководителей, назначаются на должность и освобождаются от должности директором предприятия (вариант: указать должность назначение на которое производится с согласия высшего органа или самим высшим органом предприятия).
Хозяйственная и иная деятельность предприятия.
Предприятие самостоятельно планирует свою деятельность определяет перспективы развития. Учредитель или с его согласия директор предприятия самостоятельно в соответствии с законодательством о труде определяет порядок найма и увольнения работников, формы, системы и размеры оплаты труда, распорядок рабочего дня, сменность работы, порядок предоставления выходных дней и отпусков, их продолжительность. Предприятие в соответствии с действующим законодательством осуществляет социальное и обязательное медицинское и иное обязательное страхование. Предприятие обеспечивает работникам безопасные условия труда в соответствии с установленными правилами и нормами.
Предприятия могут приобретать необходимые ему ресурсы реализовывать свою продукцию и услуги любым не противоречащим законодательству способом по не противоречащим законодательству ценам. Предприятие вправе открывать расчетный и другие счета в любом банке и осуществлять все виды расчетных, кредитных кассовых и иных операций. Предприятие может самостоятельно осуществлять внешнеэкономическую деятельность в соответствии с законодательством РФ, входящих в нее республик и иметь валютный счет в соответствующем банке.
Высший орган (вариант: директор) предприятия определяет перечень сведений, составляющих коммерческую тайну.
Прибыль, остающаяся у предприятия после уплаты налогов и других платежей в бюджет(чистая прибыль) поступает в полное его распоряжение. Направления использования чистой прибыли определяется учредителем. Часть чистой прибыли (вариант: часть чистой прибыли в размере, ежегодно определяемом учредителем после обсуждения с трудовым коллективом) передается в собственность членам трудового коллектива. Порядок распределения этой части чистой прибыли между работниками определяется положением, утвержденным советом предприятия (вариант: совместным решением учредителя и трудового коллектива). Переданная члену трудового коллектива часть прибыли подлежит выплате ему или может с согласия высшего органа предприятия образовать вклад работника в средства предприятия. На сумму вклада начисляются подлежащие ежегодной выплате проценты, размер которых определяется решением трудового коллектива(вариант: совета предприятия), утвержденным органом предприятия (вариант: Положением, утвержденным совместным решением трудового коллектива (или совета предприятия) и высшего органа предприятии). В случае прекращения трудовых отношений вклад и причитающиеся на него проценты подлежат выплате по окончании операционного года.
Глава 2. Разработка организации бухгалтерского учета на предприятии «ODEON»
2.1 Организационно – экономическая характеристика предприятия «ODEON»
Рассмотренная организация является объектом малого бизнеса, организационно – правовая форма – индивидуальный предприниматель. Магазин «ODEON» учрежден одним физическим лицом без юридического образования. Сфера деятельности – торговля.
Текущее руководство осуществляется директором магазина «ODEON». В состав организации входит 30 человек. Предприниматель осуществляет следующие виды деятельности: торгово-закупочная, продажа, установка, обслуживание и ремонт сантехники и аксессуаров. Причем, основным видом деятельности является торговля.
Организационную и управленческую структуру предприятия можно изобразить в схеме:
Генеральный директор
-руководит работой склада по приему, хранению и отпуску товарно-материальных ценностей, по их размещению с учетом наиболее рационального использования складских площадей, облегчения и ускорения поиска необходимых материалов, инвентаря и т.п., должностная инструкция заведующего складом представлена в приложении 1; -обеспечивает сохранность складируемых товарно-материальных ценностей, соблюдение режимов хранения, правил оформления и сдачи приходно-расходных документов;
-обеспечивает сбор, хранение и своевременный возврат поставщикам погрузочного реквизита;
-участвует в проведении инвентаризаций товарно-материальных ценностей;
-контролирует ведение учета складских операций, установленной отчетности;
-принимает участие в разработке и осуществлении мероприятий по повышению эффективности работы складского хозяйства, сокращению расходов на транспортировку и хранение товарно-материальных ценностей, внедрению в организацию складского хозяйства современных средств вычислительной техники, коммуникаций и связи.
В штатный состав бухгалтерии, как видно из схемы, входит 2 человека. Это главный бухгалтер и его помощник.
Главный бухгалтер:
-осуществляет организацию бухгалтерского учета хозяйственно-финансовой деятельности и контроль за экономным использованием материальных, трудовых и финансовых ресурсов, сохранностью собственности предприятия;
-обеспечивает рациональную организацию бухгалтерского учета и отчетности на предприятии и в его подразделениях на основе максимальной централизации учетно-вычислительных работ и применения современных технических средств и информационных технологий, прогрессивных форм и методов учета и контроля, формирование и своевременное представление полной и достоверной бухгалтерской информации о деятельности предприятия, его имущественном положении, доходах и расходах, а также разработку и осуществление мероприятий, направленных на укрепление финансовой дисциплины;
-осуществляет контроль за соблюдением порядка оформления первичных и бухгалтерских документов, расчетов и платежных обязательств, расходования фонда заработной платы, за установлением должностных окладов работникам предприятия, проведением инвентаризаций основных средств, товарно-материальных ценностей и денежных средств, проверок организации бухгалтерского учета и отчетности, а также документальных ревизий в подразделениях предприятия;
-производит начисление и перечисление налогов и сборов в федеральный, региональный и местный бюджеты, стразовых взносов в государственные внебюджетные социальные фонды, платежей в банковские учреждения, средств на финансирование капитальных вложений, заработной платы рабочих и служащих, других выплат и платежей, а также отчисление средств на материальное стимулирование работников предприятия. Главному бухгалтеру для обеспечения его деятельности предоставлено право подписи организационно-распорядительных документов по вопросам, входящим в его функциональные обязанности, а также платежных и иных финансовых документов.
Заместитель главного бухгалтера подчиняется непосредственно главному бухгалтеру организации. На время отсутствия главного бухгалтера (отпуск, болезнь, пр.) его обязанности исполняет заместитель главного бухгалтера, который приобретает соответствующие права и несет ответственность за качество и своевременность выполнения возложенных на него обязанностей.
В пределах своей компетенции заместитель главного бухгалтера сообщает главному бухгалтеру обо всех выявленных в процессе своей деятельности недостатках, и вносить предложения по их устранению. Также запрашивает лично или по поручению главного бухгалтера от руководителей подразделений и специалистов информацию и документы, необходимые для выполнения его должностных обязанностей.
На предприятии разработана учетная политика, в которой раскрываются варианты бухгалтерского учета (Приложение 3).
Организационно – технические аспекты указывают, что бухгалтерский учет осуществляется главным бухгалтером. Так как организация работает по упрощенной системе налогообложения. В связи с этим бухгалтерский учет ведется без применения плана счетов и способа двойной записи. Весь бухгалтерский учет автоматизирован, обработка информации предусматривает использование программы 1С: Предприятие и торговля. В связи с этим все документы хранятся на предприятии в электронном виде в течение 5 лет. Хозяйственные операции оформляются первичными документами бухгалтерской отчетности, предусмотренных действующим положением о ведении бухгалтерского учета и отчетности.
Учет материально-производственных запасов отражается по фактической себестоимости, и списываются соответственно по каждой единице. Списание товаров происходит ежемесячно суммарным способом.
Методы учета доходов. Для упрощенной системы налогообложения признание доходов происходит кассовым методом.
Учет кредитов и займов. Проценты по кредитам и займам списываются на расходы предприятия в том отчетном периоде, в котором они были произведены.
Чистая прибыль распределяется и используется в соответствии с учредительными документами.
Подотчетные лица, отчитываются в течение 10 рабочих дней, следующих за месяцем, в котором были выданы деньги под авансовый отчет. В исключительных случаях, подотчетные лица могут использовать личные денежные средства, на покупку товара.
Применение упрощенной системы налогообложения предусматривает замену целого ряда налогов единым налогом, исчисляемым по результатам хозяйственной деятельности за налоговый период.
Не смотря на это, в магазине сохраняется действующий порядок ведения кассовых операций и представления необходимой статистической отчетности.
В связи с применением упрощенной системы счета – фактуры не оформляются.
Объектом налогообложения является доход, полученный за отчетный период (квартал). Рассчитывается он очень просто. Нужно взять общую сумму дохода за квартал и умножить на 6%. Например:
Выручка магазина составила 500000 руб. сумма единого налога равна:
500000 руб. ×6% = 30000 руб.
По итогам хозяйственной деятельности за отчетный период (квартал) магазин «ODEON» уплачивает налог на полученную прибыль за отчетный период.
Книга учета доходов и расходов открыта магазином «ODEON» на один календарный год, она прошита и пронумерована. На последней странице записано число содержащихся в ней страниц, которое заверено подписью руководителя магазина и оттиском печати налогового органа.
Книга учета доходов и расходов ведется в хронологической последовательности, в ней на основе первичных документов позиционным способом отражаются хозяйственные операции, осуществленные в отчетном периоде.
Все поступления выручки, полученной от реализации товаров (работ, услуг), отражаются в графе 4 "Доходы (всего)" Книги.
При расчете единого налога в графе 5 "В том числе доходы, учитываемые при расчете единого налога" Книги отражаются доходы, которые не должны учитываться при расчете базы налогообложения.
В графе 6 этой Книги отражается сумма всех расходов, произведенных за отчетный период, как учитываемых, так и не учитываемых при исчислении единого налога.
Так, расходы по приобретению товаров, не реализованных на отчетную дату, для целей налогообложения из валовой выручки магазина не исключаются, а отражаются по графе 7 Книги учета доходов и расходов.
В графе 7 показываются доходы, учитываемые при расчете единого налога.
Доходами признаются все поступления выручки, полученной от реализации товаров (работ, услуг).
Поступления, которые не являются выручкой (доходами), не учитываем при расчете базы налогообложения. К таким поступлениям, относится, полученные суммы авансов и предоплат. Например:
Таблица 1.
| Регистрация |
Сумма |
|||||
| № п/п |
Дата и номер первичного документа |
Содержание операции |
Доходы (всего) |
В т.ч. доходы, учитываемые при расчете единого налога |
Расходы (всего) |
В т.ч. расходы, учитываемые при расчете единого налога |
| 1 |
2 |
3 |
4 |
5 |
6 |
7 |
| 1 |
12.01.07 №3 п/п |
За ТМЦ от ООО"Стройгазсервис" |
76737 |
76737 |
- |
76737 |
| 2 |
17.01.07 №2 п/п |
За ТМЦ от ООО"Югстройзаказчик" |
76835 |
76835 |
- |
76835 |
| 3 |
18.01.07 №450 п/п |
За ТМЦ от ООО"Виста" |
4860 |
4860 |
- |
4860 |
Налоговая декларация (Приложение 5) по единому налогу, уплачивается в связи с применением упрощенной системы налогообложения.
С 1 января 2009 года декларация по УСН сдается только по итогам налогового периода, т.е. года. При этом обязанность уплачивать налог по итогам отчетных периодов остается. Срок уплаты - не позднее 25 числа месяца, следующего за отчетным периодом;
Заполнение декларации:
а) страница 1:
1) заполняется ИНН предпринимателя;
2)вид документа (1 - первичный, 3 - корректирующий);
3)отчетный (налоговый) период, за который представлена декларация и отчетный год;
4)полное наименование налогового органа, в который представляется декларация, и его код;
5)избранный объект налогообложения - доходы
6)основной государственный регистрационный номер (ОГРН) для организации
7)основной государственный регистрационный номер (ОГРНИП)
8)указывается фамилия, имя, отчество (полностью, без сокращений)
9)количество страниц, на которых составлена декларация;
10)достоверность и полнота сведении подтверждаются подписями руководителя и главного бухгалтера.
б) страница 2.
1)в строках 010 и 040 указываем код бюджетной классификации
2)в строках 020 и 050 указываем код ОКАТО
3)в строке 030 указываем сумма единого налога
4)в строке 060 указывается сумма единого налога к уменьшению за отчетный (налоговый) период.
Затем все подтверждаются подписями руководителя и главного бухгалтера организации.
в) страница 3.
1)в строке 010 указываем сумму дохода.
2)в строке 040 указываем общая сумма дохода.
3)в строке 060 указываем налоговую базу для исчисления единого налога.
4)в строке 080 указываем сумма исчисленного за отчетный (налоговый) период единого налога.
5)в строке 11О указывается сумма уплачиваемых за отчетный (налоговый) период страховых взносов на обязательное пенсионное страхование.
Глава 3. Мероприятия по совершенствованию упрощенной налоговой системе.
3.1 Способ занизить доход в магазине «ODEON» при упрощенной системе налогообложении.
Добиться того, чтобы не платить единый налог или, по крайней мере, свести его выплаты к устраивающей нас сумме, можно двумя способами:
уменьшать налогооблагаемые доходы;
официально проводить все имеющиеся расходы.
Так как мы платим единый налог (по ставке 6%) с доходов, уменьшить его можно только одним способом - уменьшая сам доход.
Прежде чем перейти к способам уменьшения доходов, определим, что же считать собственно доходом предпринимателя. В Налоговом кодексе РФ на этот счет дано вполне четкое определение - выручка и внереализационные доходы:
доход = выручка + внереализационные доходы.
Понятно, что включается в выручку. Это все поступления от реализации товаров, работ и услуг.
Внереализационные доходы прямо перечислены в Налоговом кодексе РФ. Это доходы:
от сдачи имущества аренду;
от долевого участия в других организациях;
в виде курсовой разницы;
в виде признанных должником или подлежащих уплате должником на основании решения суда, вступившего в законную силу, штрафов, пеней и (или) иных санкций за нарушение договорных обязательств, а также сумм возмещения убытков или ущерба;
от предоставления в пользование прав на результаты интеллектуальной деятельности и приравненные к ним средства индивидуализации (в частности, от предоставления в пользование прав, возникающих из патентов на изобретения, промышленные образцы и другие виды интеллектуальной собственности);
в виде процентов, полученных по договорам займа, кредита, банковского счета, банковского вклада, а также по ценным бумагам и другим долговым обязательствам;
в виде безвозмездно полученного имущества (работ, услуг) или имущественных прав. При получении имущества безвозмездно доход принимается равным рыночной стоимости этого имущества, но не ниже его остаточной стоимости;
в виде дохода, распределяемого в пользу налогоплательщика при его участии в простом товариществе;
в виде дохода прошлых лет, выявленного в отчетном (налоговом) периоде;
в виде суммовой разницы;
в виде стоимости полученных материалов или иного имущества при демонтаже или разборке при ликвидации выводимых из эксплуатации основных средств;
в виде использованных не по целевому назначению имущества (в том числе денежных средств), работ, услуг, которые получены в рамках благотворительной деятельности (в том числе в виде благотворительной помощи, пожертвований), целевых поступлений, целевого финансирования, за исключением бюджетных средств;
в виде сумм, на которые в отчетном (налоговом) периоде произошло уменьшение уставного (складочного) капитала (фонда) организации, если такое уменьшение осуществлено с одновременным отказом от возврата стоимости соответствующей части взносов (вкладов) акционерам (участникам) организации;
в виде сумм возврата от некоммерческой организации ранее уплаченных взносов (вкладов) в случае, если такие взносы (вклады ранее были учтены в составе расходов при формировании налоговой базы;
в виде сумм кредиторской задолженности (обязательства перед кредиторами), списанной в связи с истечением срока исковой давности или по другим основаниям в виде доходов, полученных от операций по срочным сделкам;
в виде стоимости излишков товарно-материальных ценностей и прочего имущества, которые выявлены в результате инвентаризации.
Как видите, к внереализационным относятся и доходы от очень распространенных операций.
В том числе от сдачи имущества в аренду. Исключить какие-либо поступления из списка внереализационных - а, следовательно, и налогооблагаемых - доходов нельзя.
Еще сложнее уменьшить величину выручки. Поэтому предприятия частенько уменьшают налоги незаконными способами. Значительная часть предпринимателей, не вдаваясь в тонкости хитроумных схем, уменьшает выручку старым проверенным способом: просто ее не показывает или показывает не всю. Так поступают и некоторые организации, в том числе и магазины, бухгалтеры которых ежедневно перебивают кассовый аппарат.
Не забывайте про фискальную память контрольно-кассовой машины. Обратите внимание на опасности, которые таит подобный способ.
Перед тем как обнулить чеки, бухгалтер пытается отключить фискальную память. Сделав это, он нарушает режим фискализации кассового аппарата.
За работу с применением контрольно-кассовой машины с нарушенным фискальным режимом Кодекс РФ об административных правонарушениях штрафов действительно напрямую не предусматривает. Но Верховный суд РФ разъяснил, что такое нарушение приравнивается к работе без ККМ.
Другой распространенный на практике вариант сокрытия выручки - использование бланков строгой отчетности. Предприниматели и организации, занимающиеся оказанием услуг, не отражают большую часть полученной выручки. А для того чтобы не тратить лишних денег на покупку и обнуление кассового аппарата, используют бланки строгой отчетности.
Напоминаю, что бланки строгой отчетности вправе использовать только те организации и предприниматели, которые оказывают бытовые услуги. Все иные предприятия обязаны использовать кассовый аппарат.
Оказание же услуг без использования бланков строгой отчетности (или с неправомерным их использованием) приравнивается к работе без ККМ.
Попробую предложить следующее решение проблемы.
Так как основную часть товаров магазин «ODEON» реализует через посредников, то можно работать как комиссионеры. Что ж, тогда есть великолепная возможность вообще не платить единый налог или хотя бы свести его к минимуму. Дело в том, что посредники платят единый налог только с суммы своего вознаграждения.
Для того чтобы не платить единый налог, магазину потребуется зарегистрировать еще одну фирму. И продавать товар не напрямую, а через свою же фирму, с которой у него заключен договор комиссии. До тех пор пока выручка будет храниться в кассе комиссионера (или на его расчетном счету), налог не платится.
Например:
Магазин «ODEON» продает сантехнику, но много продает и через своего дилера «Энергия».
Для этого магазин «ODEON» заключил договор комиссии с «Энергией».
Оба предприятия работают по упрощенной системе налогообложения и платят единый налог с выручки.
В мае магазин «ODEON» передало на комиссию «Энергии» 10 наборов сантехники.
Стоимость каждого набора сантехники – 10000 рублей. «Энергия» 8 из них реализовала в том же месяце.
По договору комиссионер получает вознаграждение в размере 1 процента от стоимости реализованных товаров.
Из полученных 80000 рублей за проданные наборы «Энергия» перечислила магазину «ODEON» только 20000 рублей.
Таким образом, сумма единого налога, которую должен уплатить магазин «ODEON» составила:
20000 рублей × 6% = 1200 рублей.
Сумма налога, которую должен уплатить «Энергия» составила:
(80000 рублей × 1%) × 6% = 48 рублей.
Как видно из примера, экономия налицо. Но возникает другой вопрос. Рано или поздно комиссионеру, все равно придется вернуть деньги продавцу. Ведь нужно покупать материалы, платить зарплату работникам. И тогда налог придется уплатить в полной мере.
Получается, что магазин добился всего лишь временной отсрочки?
Прежде всего, даже отсрочка уплаты может помочь решить многие проблемы. Но можно сделать так, чтобы вообще не платить единый налог.
Например, магазин «ODEON» может взять у своего комиссионера деньги на время (такая операция оформляется договором займа). Когда срок займа истечет, договор можно будет продлить.
Комиссионер же, как я показала в примере, заплатит налог только с суммы своего вознаграждения.
Своевременно учитывайте авансовые платежи. Авансовые платежи, полученные от покупателей, налоговики считают выручкой и требуют включать в доход предприятий и предпринимателей. Следовательно, получив такой платеж, магазин включает его в налогооблагаемую базу и исчисляет с него единый налог. При этом возможна ситуация, когда полученный от покупателя аванс магазину придется вернуть. А уменьшить свой доход на сумму возвращенного аванса налоговая инспекция не разрешит. Свои действия налоговики объясняют тем, что такой вид расходов, как возврат авансов, не указан в перечне расходов, установленных Налоговым кодексом Российской Федерации.
Поэтому надо договариваться с покупателем об авансе только в том случае, если уверены, что магазин сможет выполнить взятые на себя обязательства.
3.2 Эксперимент с изменением объекта налогообложения и соотношения доходов и расходов
Если бы в первом квартале 2009 года магазин «ODEON» в качестве объекта налогообложения при упрощенной системе налогообложения были выбраны доходы, уменьшенные на величину расходов, что привело к следующим показателям деятельности организации за квартал (данные приведены из Таблицы 4): величина дохода – 270 000 рублей, общая величина расходов – 83880 рублей, величина расходов, уменьшающих налогооблагаемый доход – 186 120 рублей, налогооблагаемая база – 186 120 рублей, ставка налога – 15 процентов, сумма налога к уплате – 27 918 рублей.
Но так как магазин «ODEON» применил объект налогообложения в виде доходов, показатели ее деятельности выглядят следующим образом: величина доходов – 270 000 рублей (фактически полученные доходы, рассчитанные нарастающим итогом с начала налогового периода до окончания первого квартала, то есть с 1 января 2009 года 31 марта 2009 года); общая величина расходов – 186 120 рублей (фактически произведенные расходы, рассчитанные нарастающим итогом с начала налогового периода 1 января 2008 года до окончания первого квартала 31 марта 2008 года); налогооблагаемая база – 270 000 рублей (денежное выражение доходов), ставка налога – 6 процентов, вычеты из налога – 5 880 рублей (в соответствии с п.2 ст.346.32 Налогового кодекса Российской Федерации сумма налога, исчисленная за отчетный период, уменьшается на сумму страховых взносов на обязательное пенсионное страхование, уплачиваемых за этот период времени, но не более, чем на 50 процентов);
сумма налога к уплате – 10 320 рублей
(270 000 рублей * 6% = 16 200 рублей
16 200 рублей * 50% = 8 100 рублей
5 880 рублей < 8 100 рублей
16 200 рублей – 5 880 рублей = 10 320 рублей).
Сравнение суммы налога, который бы подлежал уплате магазина «ODEON» по итогам 1 квартала 2009 года с применением объекта налогообложения в виде дохода, уменьшенного на величину расходов, и суммы налога, которую магазин «ODEON» уплатил за этот же период, когда в качестве объекта налогообложения доходы, свидетельствует о том, что магазин «ODEON» выбрал самый экономичный вариант налогообложения.
При объекте налогообложения в виде дохода магазин «ODEON» заплатил единый налог на 12 288 рублей меньше:
27 918 рублей – 10 320 рублей = 17 598 рублей
27 918 рублей : 10 320 рублей = 2,7
Таблица 4: Соотношение сумм налогов при изменении объекта налогообложения
| Исходные данные |
Объект налогообложения при упрощенной системе |
|
| доход |
доход, уменьшенный на величину расходов |
|
| Показатели, применяемые в расчетах |
Анализируемый период |
|
| 1 квартал 2008г. |
1 квартал 2008г. |
|
| Доход (выручка) |
270 000,00р. |
270 000,00р. |
| Расходы |
не принимаются |
принимаются в части: |
| Зарплата |
42 000,00р. |
|
| Взносы на обязательное пенсионное страхование |
5 880,00р. |
|
| Обновление баз данных |
6 000,00р. |
|
| Телефонные, почтовые услуги |
24 000,00р. |
|
| Услуги банка |
1 500,00р. |
|
| ГСМ |
1 500,00р. |
|
| Электрическая энергия |
1 500,00р. |
|
| Канцелярские товары |
1 500,00р. |
|
| ИТОГО расходы |
83880,00 |
|
| Расчет единого налога для упрощенной системы налогообложения |
||
| Налогооблагаемая база |
270 000,00р. |
186 120,00 |
| Ставка налогообложения |
6% |
15% |
| Сумма налога по ставке |
16 200,00р. |
27 918,00 |
| Вычеты из налога |
5 880,00р. |
|
| Сумма налога к уплате |
10 320,00р. |
27 918,00. |
С объектом налогообложения в виде дохода магазин «ODEON» заплатил бы в 2,7 раза меньше единого налога.
Эксперимент с изменением соотношения расходов и доходов
В случае, если бы магазин «ODEON» применяло объект налогообложения в виде доходов, уменьшенных на величину расходов, по результатам деятельности в первом квартале 2004 года в магазин «ODEON» был получен доход в размере 270 000 рублей.
При этом (данные из Таблицы 4): общая величина расходов составила 84 330 рублей, величина расходов, уменьшающих налогооблагаемый доход, – 185 670 рублей, налогооблагаемая база – 185 670 рублей, ставка налога – 15 процентов, сумма налога к уплате – 27850,50 рублей.
При объекте налогообложения в виде доходов, при тех же показателях деятельности сумма налога к уплате составила 10 320 рублей:
270 000 рублей * 6% = 16 200 рублей
16 200 рублей – 5 880 рублей (платежи в Пенсионный фонд) = 10 320 рублей).
Если предположить, что доходы магазин «ODEON» значительно возросли при сохранении прежних расходов, то при применении упрощенной системы налогообложения магазин «ODEON» в анализируемом периоде заплатит следующие налоги:
Таблица 5: Суммы налогов при увеличении доходов с сохранением прежних расходов
| Опыт 1: увеличен доход |
||||
| Объект налого-обложения |
доход, уменьшенный на величину расходов |
доход |
доход, уменьшенный на величину расходов |
доход |
| Доход |
270 000,00р. |
270 000,00р. |
500 000,00р. |
500 000,00р. |
| Расходы |
не принима-ются |
|||
| Зарплата |
42 000,00р. |
42 000,00р. |
42 000,00р. |
|
| Взносы на обязательное пенсионное страхование |
5 880,00р. |
5 880,00р. |
5 880,00р. |
|
| Обновление баз данных |
6 000,00р. |
6 000,00р. |
6 000,00р. |
|
| Телефонные, почтовые услуги |
24 000,00р. |
24 000,00р. |
24 000,00р. |
|
| ГСМ |
3 000,00р. |
3 000,00р. |
3 000,00р. |
|
| Электрическая энергия |
1 500,00р. |
1 500,00р. |
1 500,00р. |
|
| Услуги банка |
1 050,00р. |
1 050,00р. |
1 050,00р. |
|
| Канцелярские товары |
1 500,00р. |
1 500,00р. |
1 500,00р. |
|
| ИТОГО расходы |
84 930,00р. |
84 930,00р. |
84 930,00р. |
|
| Расчет единого налога для упрощенной системы налогообложения |
||||
| Налого-облагаемая база |
185 070,00р. |
270 000,00р. |
415 070,00р. |
500 000,00р. |
| Ставка налогообложения |
15% |
6% |
15% |
6% |
| Сумма налога по ставке |
22 510,50р. |
16 200,00р. |
62 260,50р. |
30 000,00р. |
| Вычеты из налога |
5 880,00р. |
5 880,00р. |
||
| Сумма налога к уплате |
27 850,50р. |
10 320,00р. |
60 100,50р. |
24 120,00р. |
| в 2 раза меньше |
в 2,33 раза меньше |
|||
Эксперимент показал, что при увеличении доходов магазин «ODEON» с сохранением прежних расходов сумма подлежащего к уплате налога окажется в 2,33 раза меньше при объекте налогообложения в виде доходов, чем в случае, если магазин «ODEON» при тех же показателях выберет в качестве объекта налогообложения доходы, уменьшенные на величину расходов. Следовательно, на соотношение сумм налогов при применении разных объектов налогообложения не влияет рост доходов налогоплательщика.
Степень влияния на указанное соотношение при увеличении расходов позволит определить следующий эксперимент.
Если предположить, что доходы магазин «ODEON» остались прежними, но возросли расходы, то при применении упрощенной системы налогообложения магазин «ODEON» в анализируемом периоде заплатит следующие налоги:
Таблица 6: Суммы налогов при увеличении расходов с сохранением прежних доходов
| Опыт 2: увеличены расходы, кроме зарплаты |
Опыт 3: увеличены расходы по зарплате |
|||||
| Объект налогообложения |
доход, уменьшен-ный на величину расходов |
доход |
доход, уменьшен-ный на величину расходов |
доход |
||
| Доход (выручка) |
270 000,00р. |
270 000,00р. |
270 000,00р. |
270 000,00р. |
||
| Расходы |
||||||
| Зарплата |
42 000,00р. |
42 000,00р. |
100 000,00р. |
100 000,00р. |
||
| Взносы на обязательное пенсионное страхование |
5 880,00р. |
5 880,00р. |
14 000,00р. |
14 000,00р. |
||
| Обновление баз данных |
10 000,00р. |
10 000,00р. |
10 000,00р. |
10 000,00р. |
||
| Телефонные, почтовые услуги |
30 000,00р. |
30 000,00р. |
30 000,00р. |
30 000,00р. |
||
| ГСМ |
3 000,00р. |
3 000,00р. |
1 000,00р. |
1 000,00р. |
||
| Электрическая энергия |
3 000,00р. |
3 000,00р. |
2 000,00р. |
2 000,00р. |
||
| Услуги банка |
2 500,00р. |
2 500,00р. |
2 500,00р. |
2 500,00р. |
||
| Канцелярские товары |
3 000,00р. |
3 000,00р. |
1 500,00р. |
15 000,00р. |
||
| ИТОГО расходы |
99 380,00р. |
99 380,00р. |
165 500,00р. |
165 500,00р. |
||
| Расчет единого налога для упрощенной системы налогообложения |
||||||
| Налогооблагаемая база |
170 620,00р. |
270 000,00р. |
104 500,00р. |
270 000,00р. |
||
| Ставка налогообложения |
15% |
6% |
15% |
6% |
||
| Сумма налога по ставке |
25 593,00р. |
16 200,00р. |
15675,00р. |
16 200,00р. |
||
| Вычеты из налога |
5 880,00р. |
14 000,00р. |
||||
| Сумма налога к уплате |
25 593,00р. |
10 320,00р. |
15 675,00р. |
2 200,00р. |
||
| в 2,47 раза меньше |
в 7 раза меньше |
|||||
При увеличении некоторых расходов, за исключением расходов по заработной плате, при объекте налогообложения в виде доходов сумма подлежащего к уплате налога окажется в 2,47 раз меньше, чем в случае, если магазин «ODEON»при тех же показателях выберет в качестве объекта налогообложения доходы, уменьшенные на величину расходов.
Увеличение расходов по заработной плате при объекте налогообложения в виде доходов приведет к тому, что сумма подлежащего к уплате налога окажется в 7 раза меньше, чем в случае, если магазин «ODEON»при тех же показателях выберет в качестве объекта налогообложения доходы, уменьшенные на величину расходов.
Из этого следует, что при достаточно больших расходах по заработной плате магазин «ODEON» при применяемом им в настоящее время режиме налогообложения (объект налогообложения в виде доходов ) заплатит налога в семь раз меньше, чем если оно выбрало в качестве объекта налогообложения доходы, уменьшенные на расходы.
Увеличение прочих расходов также привело к результату, подтверждающему вывод о целесообразности применения магазин «ODEON»в качестве объекта налогообложения доходы.
В заключении хотелось бы сказать следующее.
Предпринимательство выступает в качестве особого вида субъекта малого бизнеса, ибо его начальный этап связан, как правило, лишь с идеей – результатом мыслительной деятельности, впоследствии принимающей материализованную форму.
Предпринимательство характеризуется обязательным наличием инновационного момента – будь то производство нового товара, смена профиля деятельности или основания нового предприятия. Новая система управления производством, качеством, внедрение новых методов организации производства или новых технологий – это тоже инновационный момент.
Основным субъектом предпринимательской деятельности выступает предприниматель. Однако предприниматель не единственный субъект, в любом случае он вынужден взаимодействовать с потребителем как основным его контрагентом (- лицо или учреждение, берущее на себя определенные обязательства по договору), а также с государством, которое в различных ситуациях может выступать в качестве помощника или противника.
В современных условиях хозяйствования каждый предприниматель функционирует в условиях достаточно глубокой специализации производства, возникшей на основе разделения труда.
Любой предприниматель нуждается в эффективных партнерским связях: только в таком случае он может эффективно действовать в рамках того или иного фрагмента целостного производственного процесса. Идеальной является ситуация, когда все предприниматели образуют относительно изолированную от общего экономического процесса цепочку партнерских связей.
В условиях рынка от предпринимателя требуется умение – и даже предрасположенность – действовать в союзе с другими предпринимателями и вести постоянный поиск наиболее эффективных партнерских связей, в ходе которых предприниматель осуществляет переориентацию своей деятельности.
Целью предпринимательской активности является производство и предложение рынку такого товара, на который имеется спрос и который приносит предпринимательскую прибыль.
Однако получение прибыли свойственно не только предпринимательству, но и любой другой форме деловой активности. Важно обратить в этой связи внимание на выделение такой экономической категории, как предпринимательская прибыль, или предпринимательский доход, под котором понимается прежде всего дополнительный доход, доход от управления, излишек, получаемый предпринимателем благодаря его природным качествам или особому умению анализировать и по-новому комбинировать факторы производства в зависимости от внешних условий.
Всякий предприниматель, таким образом, выступает в качестве делового человека, но не всякий деловой человек может быть отнесен к категории предпринимательства, если речь идет о действительном феномене предпринимательства.
В этом проекте на основе анализа индивидуального предпринимателя показано, как магазин может улучшить свое финансовое положение. Первое мероприятие показало, как можно уменьшить налог при помощи снижения дохода.
Второе мероприятие в магазине «ODEON» установило, что для организации более выгодно в качестве объекта налогообложения определять доходы. В случае с магазином «ODEON» и анализ, и проведенный эксперимент показали, что с объектом налогообложения в виде доходов организация заплатила бы в два-семь раза меньше налогов, чем с объектом налогообложения в виде доходов, уменьшенных на величину расходов.
Эксперименты с существенным увеличением доходов, с увеличением отдельных расходов и с увеличением расходов по заработной плате подтвердили результаты эксперимента с изменением объекта налогообложения.
Так как пунктом 2 статьи 346.14 Налогового кодекса Российской Федерации установлен запрет на изменение налогоплательщиком объекта налогообложения в течение всего срока применения упрощенной системы налогообложения, организация, выбравшая неудачный режим налогообложения, не может его изменить.
Это подтверждает важность проведения исследования эффективности применения различных налоговых режимов до начала применения какого-либо из них.
На основании проведенного в данной работе исследования применяемой в Российской Федерации упрощенной системы налогообложения можно говорить о том, что данный налоговый режим улучшает положение налогоплательщика.
Список используемой литературы
1. Федеральный закон от 08.08.2001 N 129-ФЗ (ред. от 27.12.2009) "О государственной регистрации юридических лиц и индивидуальных предпринимателей".
2. Федеральный закон Российской Федерации от 24 июля 2007 г. N 209-ФЗ "О развитии малого и среднего предпринимательства в Российской Федерации"
3. Приказ Минфина РФ от 05.11.2009 N 114н "Об утверждении Порядка постановки на учет, снятия с учета в налоговых органах российских организаций по месту нахождения их обособленных подразделений, принадлежащих им недвижимого имущества и (или) транспортных средств, физических лиц - граждан Российской Федерации, а также индивидуальных предпринимателей, применяющих упрощенную систему налогообложения на основе патента".
4. Приказ Минфина РФ от 10.03.2009 N 19н "Об утверждении Административного регламента исполнения Федеральной налоговой службой государственной функции по регистрации в установленном порядке контрольно-кассовой техники, используемой организациями и индивидуальными предпринимателями в соответствии с законодательством Российской Федерации".
5. Приказ Минфина РФ от 22.06.2009 N 58н "Об утверждении формы налоговой декларации по налогу, уплачиваемому в связи с применением упрощенной системы налогообложения, и Порядка ее заполнения".
6. Приказ Минфина РФ от 31.12.2008 N 154н "Об утверждении форм Книги учета доходов и расходов организаций и индивидуальных предпринимателей, применяющих упрощенную систему налогообложения, Книги учета доходов индивидуальных предпринимателей, применяющих упрощенную систему налогообложения на основе патента, и Порядков их заполнения".
7. Приказ ФНС РФ от 13.04.2010 N ММВ-7-3/182 "Об утверждении форм документов для применения упрощенной системы налогообложения".
8. Приказ ФНС РФ от 20.04.2010 N ММВ-7-6/196 "Об утверждении форматов представления документов для применения упрощенной системы налогообложения в электронном виде".
9. Приказ ФНС РФ от 31.08.2005 N САЭ-3-22/417 (ред. от 18.11.2008) "Об утверждении форм документов, необходимых для применения упрощенной системы налогообложения на основе патента".
10. Приказ Минэкономразвития РФ от 12.11.2008 N 395 "Об установлении коэффициента-дефлятора в целях применения главы 26.2 Налогового кодекса Российской Федерации "Упрощенная система налогообложения" на 2009 год".
11. Приказ Минфина РФ от 10.07.2007 N 62н "Об утверждении формы единой (упрощенной) налоговой декларации и порядка ее заполнения".
12. Письмо ФНС РФ от 28.05.2009 N МН-22-6/431 "О применении ставки в формате налоговой декларации по УСН".
13. Письмо Минфина РФ от 03.07.2008 N 03-02-07/2-118 По вопросу о взыскании штрафа за нарушение установленного срока представления в налоговый орган единой (упрощенной) налоговой декларации.
14. Постановление Правительства РФ от 19.06.2002 N 439 (ред. от 09.03.2010) "Об утверждении форм и требований к оформлению документов, используемых при государственной регистрации юридических лиц, а также физических лиц в качестве индивидуальных предпринимателей".
15. Анисимова Т. Буев В. и др. Проблемы малого бизнеса глазами препринимателей. //Вопрсы экономики.2009г.
16. Бусыгин А. Предпринимательство : Основной курс . ,2009
17. Виленский А. Этапы развития малого бизнеса. Вопросы экономики . 2008
18. Грачев И. Развитие малого предпринимательства // Деньги и кредит . 2007 .
19. Грузинов В., Грибов В. Предпринимательство формы и методы организации предпринимательской деятельности // Экономика предприятия . - М., 2008
20. Камаев В. Д. Экономика и бизнес. –М., 2008.
21. Карлоф Б. Деловая стратегия. -М., 2008.
22. Котлер Ф. Основы маркетинга. -М„ 2009.
23. Курс экономики : Учебник . Основы предпринимательства . - М.,2009
24. Паловкин П.,Савченко В. Проблемы определения экономической сущности и содержания предпринимательства . 2009.
25. Прохоров В. Развитие малого бизнеса // Экономика и жизнь . 2009
26. Шулус А. Становление системы поддержки малого предпринимательства в России 2009
27. Шумпетер И. Теория экономического развития. -М., 2008
28. Хизрич Р., Питере М. Предпринимательство, или как завести собственное дело и добиться успеха.