| Похожие рефераты | Скачать .docx |
Дипломная работа: Формирование инновационного потенциала Дальнего Востока
МИНИСТЕРСТВО ОБРАЗОВАНИЯ И НАУКИ РОССИЙСКОЙ ФЕДЕРАЦИИ
Государственное образовательное учреждение высшего профессионального образования
«Дальневосточная государственная социально-гуманитарная академия»
ФАКУЛЬТЕТ ЭКОНОМИКИ, УПРАВЛЕНИЯ И ПРАВА
КАФЕДРА ЭКОНОМИКИ И ФИНАНСОВ
Специальность 080101 «Экономическая теория»
ВЫПУСКНАЯ КВАЛИФИКАЦИОННАЯ РАБОТА
(дипломная работа / дипломный проект)
на тему «Формирование инновационного потенциала Дальнего Востока»
Студент (ка) 5-го курса, гр
Научный руководитель
ст. преподаватель
ВКР защищена с оценкой _______________
Технический секретарь ГАК
______________________ С.А. Карпухина
г. Биробиджан
Содержание
Введение
1. Теоретические основы и опыт инновационной деятельности в экономике
1.1 Понятие инноваций, инновационного потенциала и их роль в развитии экономики
1.2 Формы инновационной деятельности
1.3 Опыт инновационной деятельности в зарубежных странах и в России
2. Инновационный потенциал субъектов ДВ России.
2.1 Методологические подходы к оценке инновационного потенциала региона
2.2 Оценка инновационной активности субъектов ДВ России
2.3 Инновационный потенциал регионов России
3. Управление инновационным потенциалом региона
3.1 Проблемы развития инновационного потенциала ДВ
3.2 Механизмы государственного наращивания инновационного потенциала ДВ
Заключение
Список литературы
Введение
Проблемам инновационного потенциала в регионах России в настоящее время уделяется значительное внимание. Но, несмотря на значительный интерес к ним, анализ экономической литературы показал, что в большинстве российских регионов инновационная подсистема слабо развита, имеет низкую степень координации между академическим и бизнес секторами, а также недостаточно высокий уровень НИОКР и непропорциональную концентрацию на академических исследованиях (как фундаментальных, так и прикладных), финансируемых преимущественно из государственного бюджета. Государственные программы, нацеленные на поддержку малых и средних предприятий, имеющих достаточно сильную мотивацию по созданию рабочих мест, не стимулируют эффект от внедрения инноваций, основанных на знаниях. В регионах имеется широкий выбор инструментов ускорения экономики знаний, но применяется он в слишком малом объеме, чтобы иметь существенное воздействие. В тоже время изменившиеся условия развития регионов, широкая информатизация экономического пространства, информационная открытость требуют совершенствования теоретических и методических основ управления инновационной деятельностью регионов и отдельных хозяйствующих субъектов.
Все вышеизложенные аргументы свидетельствуют о необходимости комплексного рассмотрения проблем, связанных с управлением развитием инновационного потенциала в регионах в новых условиях информационной открытости, а также определяют актуальность темы исследования.
Значительный вклад в теорию и методологию развития инновационного потенциала в рамках региональной экономики внесли российские ученые академики РАН и члены-корреспонденты РАН А.Г. Гранберг, Д.С. Львов, А.П. Егоршин, Л.И. Абалкин, и др.
Развитию национальных инновационных систем посвятили свои работы западные экономисты К. Фримен, Б.-А. Лундвалл, Р. Нельсон, В.Л. Иноземцев, Е.Ф. Авдокушин, Н. Цэдэнрагчаагийн, С.А. Филин, Т.А. Исмаилов, Г.С. Гамидов, С. Галахер, Ш. Хазлет.
Взаимовлиянию инновационного потенциала и инвестиционной привлекательности региона значительное внимание уделяют Л.С. Валинурова, О.Б. Казакова, М.Ю. Иванова, В.М. Лебедев и др.
Однако, проблема формирования и развития инновационного потенциала региона, как открытой подсистемы региона недостаточно изучена и освещена в экономической литературе. Ряд важных проблем, связанных с управлением инновационным потенциалом региона, требуют дальнейшего исследования и приводят к необходимости разработки новых подходов и механизмов их реализации. Все это и предопределило выбор темы и логику исследования.
Целью данной выпускной квалификационной работы является на основе систематизации теоретических основ инновационной деятельности и оценки инновационного потенциала региона проанализировать формирование и развитию инновационного потенциала ДВ региона.
В соответствии с целью определены следующие основные задачи:
– раскрыть сущность, формы инновационной деятельности в экономике;
– сравнить зарубежный опыт инновационной деятельности и опыт России;
– оценить инновационную активность в РФ в целом и в ДФО в частности;
– выявить проблемы развития инновационного потенциала ДВ
– предложить механизмы государственного наращивания инновационного потенциала ДВ.
При решении поставленных задач использовались статистические методы корреляционного, регрессионного, табличные и графические методы представления статистических данных. Для обработки статистической информации были использованы пакеты прикладных программ, электронные таблицы Microsoft Excel.
Объектом исследования является инновационный потенциал регионов, в частности Дальневосточного региона и его составляющие элементы.
Предметом исследования являются организационно-экономические отношения в области формирования и развития инновационного потенциала региона.
Теоретико-методологической основой выпускной квалификационной работы являются труды российских и зарубежных ученых по проблемам управления инновационным потенциалом региона.
Информационно-документальной базой исследования являются законодательные и нормативные акты Российской Федерации и ее регионов, материалы органов государственной статистики, аналитические материалы научных журналов.
Научная новизна исследования в ВКР заключается в разработке методических основ и практических рекомендаций в области формирования и развития инновационного потенциала региона, определяющего уровень развития науки и внедрения инноваций.
инновация потенциал регион экономика
1. Теоретические основы и опыт инновационной деятельности в экономике
1.1 Понятие инноваций, инновационного потенциала и их роль в развитии экономики
Термин «инновация» стал активно использоваться в переходной экономике России как самостоятельно, так и для обозначения ряда родственных понятий: «инновационная деятельность», «инновационный процесс», «инновационное решение» и т.п.
Под инновациями в широком смысле понимается прибыльное использование новшеств в виде новых технологий, видов продукции и услуг, организационно-технических и социально-экономических решений производственного, финансового, коммерческого, административного или иного характера [23]. Период времени от зарождения идеи, создания и распространения новшества и до его использования принято называть жизненным циклом инновации. С учетом последовательности проведения работ жизненный цикл инновации рассматривается как инновационный процесс.
В мировой экономической литературе «инновация» интерпретируется как превращение потенциального научно-технического прогресса в реальный, воплощающийся в новых продуктах и технологиях. Проблематика нововведений в нашей стране на протяжении многих лет разрабатывалась в рамках экономических исследований НТП.
Инновация может быть рассмотрена как в динамическом, так и в статическом аспекте. В последнем случае инновация представляется как конечный результат научно-производственного цикла (НПЦ).
Термины «инновация» и «инновационный процесс» близки, но не однозначны. Инновационный процесс связан с созданием, освоением и распространением инноваций. Создатели инновации (новаторы) руководствуются такими критериями, как жизненный цикл изделия и экономическая эффективность. Их стратегия направлена на то, чтобы превзойти конкурентов, создав новшество, которое будет признано уникальным в определенной области. Научно-технические разработки и нововведения выступают как промежуточный результат научно-производственного цикла и по мере практического применения превращаются в научно-технические инновации – конечный результат. Научно-технические разработки и изобретения являются приложением нового знания с целью его практического применения, а научно-технические инновации (НТИ) – это материализация новых идей и знаний, открытий, изобретений и научно-технических разработок в процессе производства с целью их коммерческой реализации для удовлетворения определенных запросов потребителей. Непременными свойствами инновации являются научно-техническая новизна и производственная применимость.
Следовательно, научно-технические инновации должны:
- обладать новизной;
- удовлетворять рыночному спросу;
- приносить прибыль производителю.
Распространение нововведений, как и их создание, является составной частью инновационного процесса.
В повседневной практике, как правило, отождествляют понятие новшество, новация, нововведение, инновация, что вполне объяснимо. Новшеством может быть новый порядок, новый метод, изобретение. Нововведение означает, что новшество используется. С момента принятия к распространению новшество приобретает новое качество и становится инновацией.
Инновационное развитие обеспечивают высокую добавленную стоимость продукции. Переходя на инновационное развитие, экономика становится менее зависимой от ценовой конъюнктуры и обеспечивает населению лучший уровень жизни. В этом аспекте переход на инновационное развитие весьма желательно для экономики России [16]. Инновационное развитие подразумевает, в первую очередь, реализацию различного рода конкретных проектов. Для успеха любого инновационного проекта нужны три обязательные составляющие, а именно: Идея, Деньги и Менеджер.
С идеями в России никогда проблем не было. Деньги тоже появились, более того, у вновь созданных государственных и полугосударственных венчурных фондов особенно остро стоит вопрос "куда именно вложить средства?". А вот с третьей категорией, на самом деле, большие сложности. Грамотных управленцев катастрофически не хватает. Ведь, в конечном итоге, управление проектом доверяют конкретному человеку, а не обездушенному документу под названием "бизнес-план". Поэтому, очевидно, подготовка таких специалистов в достаточных количествах крайне актуальна. При этом, безусловно, необходимо соблюдать требования к высокому качеству такой подготовки, к квалификации выпускников различных программ.
Любые изобретения, новые явления, виды услуг или методы только тогда получают общественное признание, когда будут приняты к распространению (коммерциализации), и уже в новом качестве они выступают как нововведения (инновации).
Современные компании воспринимают инновации как средство увеличения прибыли и завоевания более широкого сегмента рынка. Правительства считают их панацеей с точки зрения ускорения экономического роста посредством повышения конкурентоспособности в мире.
Инновации создают стоимость и материальные богатства, опираясь на некую форму изменений (в любой области - технологии, материалов, цен, услуг, демографии или даже геополитики), формируя новый спрос или прибегая к новым способам замещения основного капитала и использованию «зрелых рынков». Инновации содействуют перемещению ресурсов в сферу более высокой производительности и прибыли.
Именно инновации объясняют причину, по которой уровень отдачи от инвестиций в США, странах Западной Европы и Японии был значительно выше во второй, а не первой половине XX в. Тенденция к росту прибыли тесно связана с развитием интеллектуалоемких производств, в которых важны ресурсы человеческого капитала, навыки, дорогостоящие информационные секреты и ноу-хау.
Развитие региона на основе инноваций является важнейшим фактором его конкурентоспособности.
В более широком смысле конкурентоспособность региона можно представить как совокупность устойчивых отношений в области социально-экономического развития региона во взаимодействии с другими регионами, позволяющими создать новые комбинации продуктов, отраслей и сфер экономической деятельности. Эти комбинации, в свою очередь, направлены на формирование и продвижение инновационных продуктов и новых видов деятельности для региона, обеспечивая, таким образом, его инновационное лидерство и конкурентоспособность.
Инновационность региона – это его способность к самообновлению, адаптации к изменениям и генерированию продуктов научно-технического прогресса. Мировой опыт показывает, что устойчивое развитие производства и поддержание его конкурентоспособности в долгосрочной перспективе зависит не столько (а даже не столько) от ресурсных возможностей, сколько от инноваций. Это подтверждает печальный опыт нашей страны, которая находится в группе стран, не вовлеченных в основной технологический обмен, обладая при этом богатейшими запасами природных ресурсов. Более того, опасность заключается в дальнейшем усилении сырьевого сектора экономики и «стерилизации» финансовых ресурсов, получаемых государством от экспортной продажи энергоносителей и изымаемых из оборота вместо инвестирования в инновационно активные сектора.
Среди задач региона, которые определяют особенности стратегического управления инновациями, можно выделить расширенное воспроизводство региональных интеллектуальных ресурсов, развитие региональной инновационной инфраструктуры и создание благоприятных условий инновационной деятельности. Прежде всего, это воздействие оказывается через кадровую составляющую и систему образования. Развитый вузовский и научный сектор региона служат важнейшей интеллектуальной предпосылкой повышения уровня инновационного потенциала.
Понятие «инновационного потенциала» предприятия, научно – технической организации, города, региона, страны в целом получило развитие с начала 1980-х годов, уточнялось в результате теоретических, методологических и эмпирических исследований и не потеряло своей актуальности в настоящее время. Необходимость уточнений была связана с тем, что «существовавшая ранее система реализации научно- технических, технологических разработок и изобретений, известная как внедренческая, была рассчитана на иную модель хозяйствования нежели рыночная экономика в нужном качестве не создавались и не развивались такие инновационные структуры, которые связаны преимущественно с рынком, например, служба маркетинга. Это привело к тому, что инновационный потенциал во многом складывался стихийно, его структуре был присущ внутренний дисбаланс. Такое положение стало тормозом в реализации уже имеющихся научно- технических разработок и изобретений, вымыванию из структуры экспорта и с внутреннего рынка отечественной наукоемкой продукции».[1]
В настоящее время понятие инновационного потенциала широко применяется в экономической теории и практике, а так же привело к ряду самостоятельных исследований, посвященных анализу различных подходов к оценке этой экономической категории, при этом вопросы развития и управления инновационным потенциалом различных экономических систем в отечественной литературе трактуются весьма неоднозначно. Обобщая эти исследования, можно выделить несколько наиболее ключевых подходов к трактовке данного определения.
Инновационный потенциал можно определить, как способность различных отраслей народного хозяйства производить наукоемкую продукцию, отвечающую требованиям мирового рынка. Поэтому инновационный потенциал привязан к конкретному уровню экономики – народному хозяйству [2].
Инновационный потенциал можно трактовать, как способность системы к трансформации фактического порядка вещей в новое состояние с целью удовлетворения существующих или вновь возникающих потребностей субъекта – новатора, потребителя, рынка и др. При этом эффективное использование инновационного потенциала делает возможным переход от скрытой возможности к явной реальности, т.е. из одного состояния в другое, а именно, от традиционного к новому. Следовательно, инновационный потенциал – это характеристика способности системы к изменению, улучшению, прогрессу [3].
Структуру инновационного потенциала можно представить через совокупность ресурсной, внутренней и результативной составляющих, которые сосуществуют взаимно, предполагают и обуславливают друг друга и проявляются при использовании как его триединая сущность (рис.1) [4].

Рис.1.1.1 – Структура инновационного потенциала и его взаимосвязь с другими потенциалами хозяйствующего субъекта.
Данное определение относится к исследованию инновационной конкурентоспособности предприятий, которая зависит от двух ключевых факторов:
- от состояния его инновационного потенциала;
- от модели управления инновационной деятельностью на предприятии.
Инновационный потенциал региона представляет собой характеристику развития инновационных процессов, которая может затрагивать:
- отдельные аспекты инновационной деятельности;
- ресурсы, обеспечивающие осуществление инновационной деятельности региона;
- использованные и неиспользованные (скрытые) ресурсные возможности, которые могут быть приведены в действие для достижения конечных целей региона [5];
- способность и готовность региона к ведению инновационной деятельности [6].
На основании данного определения были сформулированы методологические положения к оценке инновационного потенциала на региональном уровне [7].
Структурно инновационный потенциал может быть рассмотрен как с точки зрения ресурсной компоненты, характеризующей возможности отдельных ресурсов для осуществления инновационной деятельности в регионе; так и результативной компоненты, отражающей результат реализации использования ресурсных возможностей, т.е. характеризующей достигнутый уровень инновационного потенциала.
Соответственно, для оценки фактического состояния инновационного потенциала необходима совокупность показателей, отражающих его ресурсную и результативную компоненты. Тем самым будет определена способность региона к осуществлению инновационной деятельности.
Для определения уровня достаточности потенциала должна быть разработана нормативная модель, характеризующая пограничные параметры его удовлетворительного и неудовлетворительного состояния.
Сопоставление фактических и нормативных показателей позволит выделить сильные и слабые стороны развития инновационных процессов. Это в конечном итоге послужит основой для разработки мероприятий, направленных на поддержание позитивных и преодоление негативных тенденций инновационного развития [8].
Инновация в соответствии с Международными стандартами в статистике науки, техники и инноваций – конечный результат инновационной деятельности, получивший воплощение в виде нового или усовершенствованного продукта, внедренного на рынке, нового или усовершенствованного технологического процесса, используемого в практической деятельности, либо в новом подходе к социальным услугам [2, с. 54].
Принимая во внимание вышеизложенное, категорию «инновационный потенциал» вполне можно трактовать как способность системы к трансформации фактического порядка вещей в новое состояние с целью удовлетворения существующих или вновь возникающих потребностей (субъекта-новатора, потребителя, рынка и т.п.). При этом эффективное использование инновационного потенциала делает возможным переход от скрытой возможности к явной реальности, то есть из одного состояния в другое (а именно, от традиционного к новому). Следовательно, инновационный потенциал – это своего рода характеристика способности системы к изменению, улучшению, прогрессу.
Ряд исследователей считают, что инновационный потенциал предприятия, научно-технической организации – это совокупность научно-технических, технологических, инфраструктурных, финансовых, правовых, социокультурных и иных возможностей обеспечить восприятие и реализацию новшеств, т.е. получение инноваций, образующих единую систему появления и развития в ней идей и обеспечивающих конкурентоспособность конечной продукции или услуг в соответствии с целью и стратегией предприятия. В то же время это "мера готовности" предприятия осуществлять стратегию, ориентированную на внедрение новых продуктов. Вместе с тем, инновационный потенциал включает, наряду с технологическим прогрессом институциональные формы, сопряженные с механизмами научно-технического развития, инновационную культуру общества, восприимчивость его к нововведениям [3, 4, 5, с. 78; 6, с. 4].
«Потенциал (лат. potentia – сила) в широком смысле – средства, запасы, источники, которые могут быть использованы для решения какой-либо задачи, достижения, определенной цели, возможности отдельного лица, общества, государства в определенной области»[1].
Существует множество определений инновационного потенциала: 1) «инновационный потенциал – совокупность различных видов ресурсов, необходимых для осуществления инновационной деятельности» [2]; 2) в концепции развития инновационной деятельности в Свердловской области на 2002-2010 годы записано: «Инновационный потенциал Свердловской области - совокупность научно-технических, материально-финансовых, кадровых, институциональных и иных ресурсов региона, которые могут быть использованы для инновационной деятельности» [3]; 3) «Инновационный потенциал представляет собой совокупность инновационных ресурсов, представляемых в виде продукта инновационной деятельности в производственной сфере, т.е. включает в себя коммерциализацию научно-технических разработок. В современной экономической науке категория «инновационный потенциал» и «научно-технический потенциал» (НТП) находятся на одном уровне.
Однако в инновационном потенциале содержится реализация научно-технического прогресса. В самом общем виде НТП отождествляется с экономическими ресурсами, которыми располагает общество для научно-технической деятельности, обеспечивающей создание новой и совершенствование выпускаемой продукции, интенсивное развитие производства, изменение характера труда, повышение эффективности общественного воспроизводства. Главная мысль этого определения — неразрывная связь научно-технического потенциала с развитием производительных сил общества. Также следует отметить, что инновационный потенциал – это своего рода характеристика способности системы к изменению, улучшению, прогрессу.
Некоторые исследователи представляют структуру инновационного потенциала как единство трех его составляющих: ресурсной, внутренней и результативной, которые сосуществуют взаимно, предполагают и обуславливают друг друга и проявляются при использовании как его триединая сущность» 4) «под инновационным потенциалом понимается количество экономических ресурсов, которые в каждый конкретный момент общество может использовать для своего развития. Эти ресурсы распределяются между тремя основными секторами (сегментами, направлениями) макросистемы: научно-техническим, образовательным, инвестиционным. В результате этого распределения формируются: научно-технический потенциал (сегмент или комплекс), образовательный потенциал (сегмент или комплекс), инвестиционный потенциал (сегмент или комплекс). Совокупность названных сегментов и формирует инновационный потенциал макросистемы» [4].

Рисунок 1.1.2 структура инновационного потенциала. [11].
Структура инновационного потенциала может быть представлена единством трех его составляющих (ресурсной, внутренней и результативной), которые сосуществуют взаимно, предполагают и обуславливают друг друга и проявляются при использовании как его триединая сущность. Непременным условием инновационного развития является правовое обеспечение, предполагающее, прежде всего, адаптацию к правовой базе формирующейся инновационной системы РФ и создание соответствующих нормативно-правовых документов, обеспечивающих полноценное и эффективное функционирование инновационной деятельности в регионе [1]. На начальных этапах формирования инновационной системы региона необходимо активное содействие государства. Представляется необходимым создать региональные структуры (региональный инвестиционный центр, фонд региональных инвестиций и др.), цель деятельности которых – максимально использовать возможности привлечения значительных федеральных ресурсов, а также ресурсов сырьевых компаний.
Инновационное развитие региона требует выполнения, по крайней мере, двух инновационных условий: передачи полномочий от национального к региональному (местному) уровням управления и осуществления задач содействия и стимулирования развития государственных, общественных и частных организаций в регионе [7].
Применение отдельных мер, направленных на улучшение процесса привлечения инвестиций в регионе, не дает должных результатов [8]. Необходим системный управленческий подход к решению проблемы на базе выработки и реализации государственной инвестиционной политики, направленной на восстановление процессов расширенного воспроизводства и ориентацию регионов на экономическую самодостаточность. Стратегической целью государственной инвестиционной политики в современных условиях должно быть формирование механизма инновационно-инвестиционной деятельности через создание, к примеру, региональных инвестиционных фондов, адекватных формирующейся рыночной среде и вписывающихся в формирующиеся и развивающиеся рыночные институты.
Особая роль в структуре организационно-экономического механизма управления принадлежит региональным и муниципальным органам управления, поскольку от их компетенции зависит не только эффективность разрабатываемой и реализуемой инновационно-инвестиционной политики, но и вектор направленности социально-экономического региона в целом. Инновационная деятельность традиционно связана с высоким уровнем риска: по статистике, только 10 % всех внедряемых разработок имеет коммерческий успех [7]. Поэтому, в первую очередь на уровне региональных и муниципальных властей необходимо создать и поддерживать систему управления коммерциализацией продуктов НИОКР, ориентированную на работу в рыночных условиях. Такая система позволит раскрыть и стимулировать развитие потенциала российских научных организаций и одновременно способствовать выведению экономики на качественно новый уровень.
На микроуровне инновационная деятельность осуществляется через соответствующие инновационные проекты. Инновационный проект представляет собой сложную систему взаимообусловленных и взаимосвязанных по ресурсам, срокам и исполнителям мероприятий, направленных на достижение конкретных целей на приоритетных направлениях науки и техники [7]. Применение методологии проектного управления является наиболее эффективным подходом к оптимизации процессов реализации инновационных проектов. Она позволяет повысить эффективность работ и добиться необходимых результатов с наименьшими затратами. Применение данной методологии возможно и обоснованно в современных российских условиях. Это касается не только реализации отдельных инновационных проектов в рамках отдельных организаций, но и программ на межрегиональном, государственном и международном уровнях.
1.2 Формы инновационной деятельности
В соответствии с международными стандартами инновация определяется как конечный результат инновационной деятельности, получивший воплощение в виде нового или усовершенствованного продукта, внедренного на рынке, нового или усовершенствованного технологического процесса, используемого в практической деятельности, либо в новом подходе к социальным услугам.
Девиз инновации – «новое и иное» – характеризует многоликость этого понятия. Так, инновация в сфере услуг – это новшество в самой услуге, в ее производстве, предоставлении и потреблении, поведении работников. Нововведения далеко не всегда базируются на изобретениях и открытиях. Есть нововведения, которые основываются на идеях. Примерами здесь могут служить появление застежек типа "молния", шариковых авторучек, баллончиков с аэрозолями, колец-открывалок на банках с прохладительными напитками и многое другое.
Инновация не обязательно должна быть технической и вообще чем-то вещественным. Мало технических инноваций могут соперничать в своем влиянии с такой идеей, как продажа в рассрочку. Использование этой идеи буквально преображает экономику. Инновация – это новая ценность для потребителя, она должна отвечать нуждам и желаниям потребителей.
Таким образом, непременными свойствами инновации являются их новизна, производственная применимость (экономическая обоснованность) и она обязательно должна отвечать запросам потребителей.
Систематическая инновация состоит в целенаправленном организованном поиске изменений и в систематическом анализе тех возможностей, которые эти изменения могут дать для успешной деятельности предприятия.
Все разнообразие инноваций можно классифицировать по ряду признаков.
Внедрение новшеств всегда имело большое значение в развитии производства. В современной экономике роль инноваций значительно возрастает. Они все более становятся основополагающими факторами экономического роста. Возрастающая роль инноваций обусловлена, во-первых, самой природой рыночных отношений, во-вторых, необходимостью глубоких качественных преобразований в экономике России с целью преодоления кризиса и выхода на траекторию устойчивого роста.
Инновационные ориентиры стали определяющими в стратегии развития территорий и выступили в качестве основного вектора движения регионов на пути к новой экономике на инновационной основе.
«Территории инновационного развития» от других субъектов РФ отличает: утверждение науки и образования в числе основных факторов инновационного развития, активная законодательная деятельность в поддержку инновационных преобразований в регионе, ориентация на активное международное сотрудничество и выход на зарубежные рынки, формирование команд из числа инновационных предприятий, вузов, НИИ, помощь и стимулирование творческих коллективов и т.д.
Они находятся на разных этапах инновационного развития, для каждого из них характерен свой набор признаков и черт. Анализ развития инновационных процессов в данных регионах базируется на наблюдении, оценке и последующем научном сопровождении региональной политики в сфере использования инновационных технологий.
Развитие регионов по инновационному пути уже на первых этапах привлекло внимание Тверского ИнноЦентра, выполняющего функции базовой организации Минобрнауки России по сотрудничеству высшей школы и регионов в области образования. На начальном этапе группа регионов, по которой стало осуществляться системное сопровождение и оценка динамики инновационных преобразований, насчитывала 4 субъекта РФ, затем их число увеличилось до 16.
1) Томская территория инновационного развития – базовая модель.
2) Верхневолжская модель территории инновационного развития.
3) Инновационные основы развития Ставропольского края.
4) Калужская модель инновационного развития региона
5) Московская (областная) региональная инновационная система – пилотный регион.
6) Нижегородская модель развития – головное звено Приволжской сети.
7) Уральская модель отраслевых инновационных комплексов.
8) Территориальные инновационные модели Санкт-Петербурга.
9) Республиканская модель инновационного развития Татарстана.
10) Зеленоградская окружная модель научно-промышленного и инновационного развития.
11) Инновационная модель развития Камчатки – форпоста России в АТР.
12) Карельский республиканский инновационный полигон.
13) Технополис и территории инновационного развития Хабаровская края.
14) Липецкая модель научно-производственного развития региона.
Палитра создателей новшеств весьма разнообразна. Рассмотрим их подробнее.
Интерпартнерство, малая инновационная фирма, венчурная фирма и типы венчуров.
Интерпартнерстсво представляет собой наиболее простую внутрифирменную форму инновационно-предпринимательской деятельности, когда инициативный творческий работник (интерпартнер) при поддержке администрации сам имеет возможность осуществить нововведения. Оно позволяет реализовывать новые формы деловой активности, создает возможности внутрифирменной реализации идей, самостоятельного выбора нового направления деятельности и внедрения на рынок в качестве независимого контрагента; дальнейшей модификации организационных структур для поддержки инноваций.
Малая инновационная фирма является небольшим коллективом профессионалов, действующим самостоятельно или в составе крупной организации, специализируется на узком направлении инновационной деятельности и имеет возможность быстрой переориентации. Эта мобильность особо важна в таких сферах, как электроника, робототехника, новые конструкционные материалы, биотехнология, связанных с повышенным риском.
Венчурная фирма создается учеными и изобретателями, покинувшими крупные фирмы, научные учреждения или университеты. Их деятельность часто финансируется крупными компаниями, которые сами не решаются осуществлять инновации, но стремятся их контролировать. В случае успеха они получают готовое научно-техническое достижение.
Как правило, сами по себе венчурные фирмы не прибыльны, так как не занимаются организацией производства, но ими создается до 60 % новшеств, например, ксерокс, микропроцессор, персональный компьютер. Они могут быть дочерними у более крупных фирм или самостоятельными. Выделяют следующие типы венчуров:
Внутренний венчур – это автономное в административном и хозяйственном отношении подразделение, которое создается в структуре организации на период разработки и внедрения наукоемкой продукции. В его основе лежат идеи сотрудников фирмы, отобранные специальной службой. Подразделение, возглавляемое авторами проектов, в течение обусловленного срока проводит разработку новшества и готовит проект запуска его в производство.
Внешний венчур является мобильной временной независимой малой компанией, занимающейся инновациями межотраслевого характера.
Технопарки. Это структуры, создаваемые в основном на базе высших учебных заведений или на базе научно-исследовательских институтов с целью использования научного потенциала этих вузов и коммерциализации разработанных технологий через создание и развитие размещающихся на территории технопарка малых инновационных предприятий. Чаще технопарки создаются в крупных университетских центрах. Их создание и поддержка требуют значительных стартовых средств. В России технопарки создавались на базе высшей школы. В настоящее время зарегистрированы более 40 технопарков. Большинство технопарков объединены в «Ассоциацию технопарков и бизнес-инкубаторов», созданную в 1992 году.
Целью создания технопарков является организация субъектов инновационной деятельности, являющихся составной частью инновационной инфраструктуры страны, обеспечивающих эффективную реализацию процесса использования результатов научных исследований и разработок, направленных на совершенствование производственной деятельности, экономических, правовых и социальных отношений.
Деятельность технопарков должна быть направлена на решение следующих задач:
- внедрение в производство передовых достижений отечественного и мирового НТП;
- содействие созданию новых инновационных производств;
- инвестирование научно-технических исследований и инновационных производств;
- формирование и разработка идей, содействующих НТП;
- создание инфраструктуры и благоприятных условий для привлечения отечественных и иностранных инвестиций в инновационные предприятия;
- содействие быстрой переориентации направлений подготовки и переподготовки научно-технических кадров, особенно в области новых технологий и инновационных производств;
- формирование и развитие инновационной инфраструктуры, создаваемой в интересах малых инновационных предприятий, коммерциализирующих результаты научных исследований, открытий и изобретений научных организаций;
- объединение усилий научно-исследовательских, опытно-конструкторских, учебных организаций и представителей предпринимательской среды;
- распространение научной и технологической информации;
- оказание материально-технической помощи в создании и развитии инновационного предпринимательства;
- оказание маркетинговых, консультативных и управленческих услуг представителям инновационного предпринимательства;
- участие в тендерах по выполнению государственного заказа на инновационный продукт.
Бизнес-инкубаторы представляют собой структуры, размещающие на льготных условиях специально отобранные малые предприятия на своих площадях и оказывающие им консалтинговые, образовательные и офисные услуги. Бизнес-инкубаторы могут действовать как самостоятельные структуры, так и в составе технопарков, техноцентров и др. Обычно инкубатор создается местными властями либо крупными компаниями на срок до 3 лет для реализации инновационного проекта. ВУЗы за оплату предоставляют землю, помещения, лабораторное оборудование, необходимые услуги. Инвесторами проектов могут быть также физические лица. Главным назначением бизнес-инкубаторов является обеспечение устойчивого функционирования малых предприятий, находящихся на его территории. К бизнес-инкубаторам мы относим структуры, размещающие на льготных условиях специально отобранные малые предприятия на своих площадях и оказывающие им консалтинговые, образовательные и офисные услуги.
Термин «бизнес-инкубатор» впервые появился в Америке. Первое упоминание о них появилось в программе «Молодежь России» в 1992 году по предложению Союза МЖК России и Центра «Возрождение бизнеса». В настоящее время действуют 50 структур, называющих себя бизнес-инкубаторами. В 2000 году образовано некоммерческое партнерство «Национальное содружество бизнес-инкубаторов», объединившее 23 бизнес-инкубатора с целью содействия и оказания взаимопомощи, обмена опытом и решения общих проблем.
Результаты исследований показали, что наиболее часто предприниматели в рамках бизнес-инкубаторов пользуются правовыми, аудиторскими и бухгалтерскими услугами, услугами по обучению. Услуги, предлагаемые в рамках бизнес-инкубаторов за невысокую плату, являются одной из наиболее эффективных форм поддержки СМП, в особенности на начальной стадии деятельности.
Технологические центры (ТЦ).Инновационно-технологические центры (ИТЦ) создаются, как правило, на базе научно - исследовательских институтов и центров. Создаются они на средства федерального или местного бюджета, как правило, для привлечения ученых и студентов к разработке новых идей. За умеренную плату разработчики обеспечиваются помещением, оборудованием, кадрами на срок от 1 до 3 лет, за который они могут самостоятельно стать на ноги или найти солидный источник финансирования. Цели ИТЦ аналогичны целям технопарков, отличаясь тем, что в ИТЦ уделяют больше внимания коммерциализации и трансферу технологий, и не столько малым предприятиям, сколько корпорациям, способным реализовать данные технологии. В настоящее время Министерством науки и технологий РФ совместно с Фондом содействия развитию малых форм предприятий в научно-технической сфере создается 12 ИТЦ, в том числе и на базе ведущих технопарков.
Организационной формой инновационной деятельности сообщества вновь создаваемых территориально близких предприятий в сфере «наука – производство» является учредительный центр («промышленный двор»). Он включает общие здания, в которых расположены фирмы, управляемые головной компанией, облегчающие консультирование.
С конца 1980-х гг. одной из основных особенностей научно-технической деятельности стало быстрое увеличение числа межфирменных соглашений (научно-технических альянсов) о НИОКР, нацеленных на решение долгосрочных коммерческих задач в связи с глобальным распространением новых технологий. Причинами их появления стали усложнение и удорожание научных исследований и разработок, сокращение продолжительности жизненного цикла товаров. Это обеспечивает разделение расходов и уменьшение рисков.
1.3 Опыт инновационной деятельности в зарубежных странах и в России
В различных промышленно развитых государствах инновационные процессы имеют свою специфику. Особенности инновационной деятельности в некоторых зарубежных странах рассмотрены ниже.
В США финансовые ресурсы поступают как от государства, так и частных фирм и организаций. Финансирование всех разработок и нововведений в США осуществляется примерно в следующих пропорциях: 35 % – из федерального бюджета (около 200 млрд. долл. США); 60 % – за счет собственных средств производственных компаний; 5 % – из средств правительств штатов, органов местного самоуправления. Университеты, колледжи и частные неправительственные организации участвуют в финансировании НИОКР на уровне 5-6 %. Для системы государственной поддержки инноваций в США в последнее время характерно распределение программно-целевого подхода. Финансирование сосредоточено как на приоритетных технологических (биотехнология, энергетика, электроника, здравоохранение), так и отраслевых направлениях (аэрокосмическое, военно - промышленное и т.д.). Около 75 % НИОКР в аэрокосмической промышленности производится на государственных ассигнованиях. Научные исследования на производство новых материалов на 35 % финансируются государством. Преимущественная часть данных разработок финансируется федеральным правительством через систему грантов.
Исполнительная власть в США является проводником национальной политики в сфере инновационной деятельности. При этом федеральное правительство не имеет централизованного органа управления научными разработками и данную деятельность осуществляет через небольшое число агентств и компаний. Коммерциализацию результатов НИОКР регулируют более 20 законов и указов президента США, обеспечивающих баланс интересов частных компаний – потребителей НИОКР, университетов и государства как основного инвестора НИОКР.
Важным направлением реализации государственной политики в развитии инновационной деятельности в США является поддержка малого инновационного предпринимательства. На указанные цели в США ежегодно затрачивается свыше млрд. долл. из государственных средств и 935 млн. долл. – из средств частного сектора. К основным формам поддержки относятся:
- специальная программа поддержки малого инновационного предпринимательства;
- займы по линии государственной поддержки инноваций;
- государственные финансовые вложения;
- создание разветвленной ветви венчурных фондов;
- финансирование из средств частного сектора и др.

Рисунок 3 – Структура частных инвестиций в НИОКР инновационного бизнеса в США, в %
Источник: Мустафин М.А Инновационная политика в развитых странах мира. –http://www.bankclub.ru/files/case-study/mustafin.pdf
Рассмотрим инновационный опыт стран Западной Европы.
В настоящее время в европейских государствах возрастает значение наукоёмких производств и высокотехнологических изделий. Европейские страны с начала 1990-х годов активно стимулируют инновационное предпринимательство. В системе государственного финансирования НИОКР сочетаются как прямые формы, так и косвенные формы (налоговые льготы, льготный правительственный кредит, амортизационные списания). Такой тип поддержки активно применяется во Франции, Австрии, Швеции и т.д.
Повышенное внимание уделяется созданию и развитию малых инновационных компаний. Государственная поддержка инновационных процессов в странах Западной Европы направлена в основном:
- на стимулирование инновационных процессов;
- поощрение сотрудничества университетов и межфирменной кооперации;
- совершенствование системы охраны интеллектуальной собственности;
- совершенствование информационных услуг;
- совершенствование антимонопольного законодательства.
Большая часть финансирования инновационных процессов приходится на так называемое косвенное финансирование, к которому относятся:
- выделение субсидий (вместо прямого финансирования НИОКР), понижающих затраты на НИОКР, и применение льготного налогообложения;
- развитие системы венчурного финансирования;
- развитие фондовых рынков;
- укрепление институциональных (пенсионных) фондов;
- содействие частным инвестициям («бизнес-ангелы»);
- развитие сферы образования;
- подготовка профессиональных и управленческих кадров;
- формирование управленческих консультационных фирм;
- создание научно-технических информационных центров;
- разработка иммиграционного законодательства.
Европейские государства стремятся содействовать кооперации университетов и коммерческих компаний, потребляющих инновации, выступая в роли посредника (брокера). В этих странах также действуют программы по поддержке приоритетных направлений науки, где осуществляется традиционное прямое финансирование. Широкое распространение получила кластерная философия – концентрация усилий государства на поддержке инновационной деятельности и создании новых кооперационных связей между компаниями и вузами, ранее не находившимися во взаимодействии друг с другом, для содействия научным исследованиям по определенным направлениям и индустриальному развитию территорий. Кластеры помогают предприятиям быть конкурентоспособными, так как в одном или нескольких интегрированных кластерах производится разработка нового продукта и оборудования по его производству. Цель кластеров – разработать новый вид продукта, сырья, материалов и оборудования по их изготовлению и найти потенциальных потребителей результатов НИОКР.
Значительное внимание европейские правительства уделяют развитию патентного законодательства и аспектов его практического применения.
Так, например, в части поддержки малого и среднего бизнеса, занимающегося инновационным предпринимательством, европейские государства ввели бесплатное предоставление патентной информации малыми средним предприятиям.
Рассмотрим инновационный опыт Японии.
В Японии доля частных инвестиций в инновации составляет 80 %. Остальные 20 % финансирует правительство Японии. Причем преимущественно финансируются исследования, осуществляемые в интересах гражданского общества. Основная доля бюджетного финансирования приходится на университеты и государственные научные организации. Фундаментальные исследования финансируются главным образом государством.
Преимущественное развитие получили косвенные формы государственного финансирования инновационного предпринимательства. Фирмы, занимающиеся НИОКР, если и получают прямую финансовую поддержку, то только частично. В основном для таких компаний предусматриваются налоговые льготы. Кроме того, государство стимулирует малое инновационное предпринимательство через контракты и государственные заказы на разработку новых технических решений и изделий.
Инновационное предпринимательство Японии не получает большой помощи на выделение финансирования промышленных НИОКР: на долю государства приходится около 25 % затрат на НИОКР. Но зато правительство принимает протекционистские меры по защите национального рынка и приоритетных направлений научно-технического прогресса. Правительство Японии создало систему финансирования НИР и ОКР, позволяющую направлять средства кредитно-финансовых учреждений страны в приоритетные производства и отрасли экономики. Для этого в государственной промышленной политике предусмотрены как прямое, так и косвенное распределение кредитно - финансовых ресурсов, внедрение практики перекредитования; применяется стратегия заниженного уровня процентных ставок, создаются согласительные советы «банк – правительство – субъект экономии», которые координируют кредитование по специально выделяемым кредитным линиям.
Основной объем работ по реализации государственной программы займов и инвестиций для развития инновационного предпринимательства в Японии выполняют Бюро трастовых фондов и Японский банк развития. Государственная инвестиционная программа отличается гибкостью, подвержена изменениям с учетом экономических процессов, происходящих в стране. Министерство внешней торговли и промышленности Японии осуществляют разработку крупных национальных программ (космические исследования, биотехнология, генетика, экология, новейшие нетрадиционные источники энергии и т.д.). Государственные расходы на приоритетные направления НИОКР в начале 90х годов в Японии составляли около 3,5 % ВНП.
Наиболее полно инновационная деятельность японских промышленных предприятий реализуется во внутрикорпоративных подразделений в форме проектных временных групп и в виде внутренних венчуров. Зачастую внутренние венчурные подразделения создаются на базе существующих отделений корпораций. Неразвитость механизма финансирования независимых внешних венчурных компаний компенсируется различными видами эффективных межфирменных и внутрифирменных взаимодействий в инновационном процессе. В 80-х годах ХХ века вокруг ведущих корпораций Японии сформировалось плотная сеть многоярусных субподрядов и вертикально/горизонтальных предпринимательских групп «кэйрецу», которая объединила фирмы малого, среднего и крупного размера на основе финансово-кредитных, акционерных, функционально-производственных связей. Эти объединения действуют на основе временных совместных инновационных предприятий или исследовательских ассоциаций.

Рисунок 4 – Структура инновационной деятельности в Японии, в %
Источник: Мустафин М.А Инновационная политика в развитых странах мира. –http://www.bankclub.ru/files/case-study/mustafin.pdf
Основными направлениями комплексного подхода со стороны государства к инновациям и научно-инновационной деятельности являются:
- финансирование частных компаний, занимающихся НИОКР, с последующим или одновременным предоставлением государственного госзаказа;
- финансирование НИОКР из различных фондов;
- льготное налогообложение или освобождение от налогов научно-исследовательской и производственной деятельности в области перспективных НИОКР;
- государственные дотации крупным промышленным компаниям для закупки лицензий на использование ноу-хау;
- льготное кредитование перспективных НИОКР;
- национализация отдельных отраслей промышленности с последующей передачей их в частное владение по достижении ими прибыльности и финансовой устойчивости (все расходы относятся на счет государства);
- защита японского производителя от конкуренции;
- создание условий для получения новых технологий из других стран;
- импорт капитала в японскую промышленность, находящуюся на территории Японии, а не за ее пределами;
- привлечение внебюджетных источников финансирования НИОКР;
- согласование государственной инвестиционной программы с интересами национальной промышленности.
Организации, поддерживающие малое инновационное предпринимательство:
- японский центр ключевых технологий – помогает малому и среднему инновационному бизнесу в установлении необходимых им деловых связей, финансирует фундаментальные и прикладные разработки;
- организация по развитию новых источников энергии способствует созданию научных центров для частных предпринимателей и организует международные коллективы предпринимателей для проведения совместных исследований.
Кроме этого, в Японии разработаны и реализуются «Программа распространения научных знаний», в рамках которой для частных компаний подрядчиков создаются научные центры в префектурах, и «Основополагающий закон по науке и технологиям», нацеленный на создание ученым разработчикам благоприятных условий и обеспечение государственных гарантий финансовой поддержки и финансовой помощи при разработке НИОКР. В рамках этого плана на НИОКР только в 2000 г. В Японии было выделено свыше 38 млрд. долл. США.
Теперь рассмотрим инновационный опыт Республики Корея.
Инновационная деятельность в Республике Корея финансируется и контролируется правительством страны. Основная её задача – решение ключевых проблем экономики страны. Инновационный процесс можно условно разделить на три направления:
- базовые общепромышленные технологии и НИОКР;
- создание технологий среднесрочной перспективы и среднесрочные НИОКР;
- НИОКР технологий следующего поколения.
Создан Национальный комитет по стандартизации, возглавляемый премьер-министром страны. Для финансирования НИОКР наряду с традиционными источниками финансирования применяется система «залога технологий» по рыночной стоимости.
Резюмируя вышеизложенное, можно заключить следующее. Изменения факторов производства выражается в возрастающей роли информационной, интеллектуальной и инновационной составляющих. Эти тенденции связаны с трансформацией форм и методов организации субъектов хозяйственной деятельности и управления ими.
Для высокотехнологического развития России требуется много усилий и средств, как материальных, так и интеллектуальных. Безусловно, России ценен инновационный опыт развитых стран. Именно промышленные компании вкупе с научно-исследовательскими центрами и институтами позволят обеспечить определенный прорыв в некоторых инновационных проектах. Крупные промышленные предприятия России способны осуществить долгосрочную стратегию инновационного развития, ориентированную на самые разнообразные потребности рынка, а также должны быть устойчивыми к дестабилизирующему влиянию краткосрочных колебаний рынка.
Анализ ситуации в российской экономике показал, что усилий, предпринимаемых государством, пока недостаточно для изменения тенденций в развитии промышленности и использовании инноваций. В то же время можно говорить о том, что базовое законодательство, позволяющее реализовывать в России высокотехнологичные проекты, существует.
Сохранен научный потенциал институтов Российской академии наук, в том числе работающих по фундаментальным проектам машиностроения. Полученные результаты фундаментальных исследований дают возможность машиностроительной промышленности создавать новые перспективные машины, на равных конкурирующие с западными производителями. Это пример использования высоких технологий двойного назначения.
Существенного прогресса удалось достичь в разработке новых материалов, обеспечивающих надежность, качество, улучшение экономических показателей. Вопрос создания и применения новых материалов достаточно сложный, необходимо не только получить материал в лабораторных условиях, но и сделать из него реальные конструкции. Институтом машиноведения в содружестве с институтом проблем механики РАН разработан класс новых материалов – так называемых топокомпозитов. На основе этих материалов разработан ряд тормозных систем, других устройств повышенной надежности и долговечности. Особенно это важно для задач, где велик абразивный износ – это сельскохозяйственная техника, дисковые тормоза современных самолетов и ряд других инженерных приложений. В этом направлении Россия входит в число мировых лидеров.
Ведется активная работа по внедрению лазерных методов упрочнения. На базе Института машиноведения создан технологический центр в Саратове для упрочнения сельскохозяйственной техники. Лазерная наплавка повышает износостойкость в 6 раз, лазерное упрочнение – в 4 раза, применяемая сейчас индукционная наплавка – всего в 2 раза.
В институте физико-химических проблем керамических материалов созданы катализаторы для автомобильного транспорта, налажена линия по их производству. Создать условия для внедрения этих катализаторов – задача правительственного уровня, в том числе через ужесточение экологического законодательства.
В институте сверхпластичности создана новая технология раскатки сложнопрофильных деталей, которая обеспечивает их повышенную прочность, надежность, особенно если речь идет о дисках или шасси самолетов, подвергающихся повышенным ударным нагрузкам при посадке самолета.
Существует ряд перспективных разработок в сфере технической диагностики. В ЦИАМ разработан токовихревой метод определения зарождающейся трещины в газотурбинном двигателе. Ведется работа по развитию этих методов, предполагающая получение информации о состоянии повреждаемости конструкции самолета через Интернет.
В Санкт-Петербургском институте «Механобр», работающем с Институтом машиноведения, создана новая теория воздействия вибрации на нелинейные среды и механические системы – вибрационная механика и виброреология. Практическим приложением стало создание нового класса высокоэффективных вибрационных машин для переработки твердых природных и техногенных материалов – грохотов, дробилок, мельниц, поставляемых, в том числе, на экспорт. В «Механобре» созданы принципиально новые машины для дробления твердых материалов – конусные инерционные дробилки. На основе новых вибрационных технологий создана линия для переработки старых автомобилей с одновременной вибросепарацией металла и неметалла. Разработана технология быстрой переработки использованной резины.
Возможность успешной реализации инновационных проектов подтверждают и примеры функционирования целого ряда венчурных компаний.
Delta Private Equity Partners сегодня управляет двумя фондами прямых частных инвестиций: Инвестиционным фондом США – Россия и Delta Russia Fund. Инвестиционный фонд США – Россия с капиталом в размере 440 млн. долл. был создан в России в 1995 году как частный фонд, хотя его единственным финансовым спонсором выступило правительство США. Его основной целью было содействие развитию экономики свободного рынка в России путем предоставления инвестиционного капитала – за счет собственных и заемных средств – перспективным предпринимательским компаниям, имеющим потенциал для роста в сочетании с оказанием технического содействия менеджерским командам. Инвестиционный цикл Фонда закончился летом 2004 года. За десять лет в российские компании было инвестировано более 320 миллионов долларов США. После выполнения первичной миссии Фонда в июне 2004 года был сформирован частный фонд-преемник Delta Russia Fund ("DRF"), объемом в 120 млн. долл. Инвесторами стали финансовые организации и частные лица из США, Западной Европы, Японии и России. В настоящее время состоялся выход из 14 компаний. Значительная часть проектов связана с инвестициями в высокотехнологичные компании.
НОРУМ – частная компания, управляющая Региональным фондом венчурного капитала Северо-Запада и Запада России от имени и по поручению Европейского банка реконструкции и развития (ЕБРР). На данный момент инвестиционный капитал Регионального фонда венчурного капитала Северо-Запада и Запада России насчитывает 88 миллионов долларов США, из них 85 миллионов были предоставлены ЕБРР и 3 миллиона – консорциумом частных инвесторов Норум.
К концу февраля 2007 г. Фонд подписал инвестиционные договоры с 24 российскими компаниями, в том числе высокотехнологичными, на общую сумму в размере 78,80 миллиона долларов США, из которых 77,85 млн. долл. США уже было инвестировано. Текущий портфель Фонда составляет 9 компаний.
Пакеты акций 15 компаний Фонда уже проданы (полностью или частично), при этом инвесторам Фонда была возвращена сумма в размере 71,28 млн. долл. США, возврат 7,53 млн. долл. США обеспечен гарантиями оплаты с подписанием договоров купли-продажи и определением дивидендной политики компаний.
К числу сравнительно успешных инновационных проектов с государственным финансированием можно отнести важнейшие инновационные проекты государственного значения (мегапроекты). Несмотря на название, проекты подтверждают правомерность рассмотрения инновационной политики как составной части промышленной. Проекты предполагают не только разработку новых технологий или оборудования, но и их внедрение в производство, а в числе показателей результативности проекта используется его вклад в приращение ВВП.
Государство оказывает на конкурсной основе безвозмездную поддержку таким проектам на условиях долевого участия. Отобранные проекты поддерживаются бюджетными грантами. При этом государство осуществляет финансирование исключительно НИОКР, а коммерческие партнеры несут иные виды затрат, связанные с инвестициями в оборудование и прочими расходами.
Существенной особенностью данной программы было предоставление права окончательного решения независимой экспертной комиссии. Срок реализации проектов не должен был превышать четырех лет, и по окончании этого периода валовая выручка инициаторов проекта от его реализации должна была в 4-5 раз превосходить запрошенный объем стартового финансирования со стороны государства, что позволяло рассчитывать на окупаемость вложений государства в проект через будущий прирост налоговых платежей.
В качестве примеров можно рассмотреть два проекта – «Нанокомпозиты» и «Синтетические кристаллы».
Инновационный проект «Нанокомпозиты» (2004-2009 гг.), предусматривающий разработку технологий и организацию производства полимерных композиционных материалов на основе нанонаполнителей с повышенным в 1,5-2 раза сроком эксплуатации. Суммарный объем инвестиций по проекту – 214 млн. руб., доля бюджетных средств –51 % (110 млн. руб.), доля внебюджетных средств – 49 % (104 млн. руб.). Результатом проекта станут освоение 9 объектов для коммерциализации, внедрение 16 технологических инноваций, получение 23 патентов на объекты коммерциализации.
Инновационный проект «Синтетические кристаллы» (2003-2006 гг.), направленный на развитие промышленности синтетических кристаллов-диэлектриков и изделий из них. Суммарный объем инвестиций – 962 млн. руб., доля бюджетных средств – 48 % (460 млн. руб.), Доля внебюджетных средств – 52 % (502 млн. руб.). Реализация проекта позволит освоить производство новых видов синтетических кристаллов и изделий на их основе. Предполагается, что по итогам реализации проекта будут освоены 77 видов продукции для коммерциализации, внедрена 41 технологическая инновация, получены 25 патентов на объекты коммерциализации.
Отдельным направлением участия государства в развитии высокотехнологичных отраслей можно участие в инновационной деятельности государственных корпораций. К примеру, в рамках Стратегии развития транспорта предполагается усиление инновационной составляющей экономического роста. Федеральной целевой программой «Модернизация транспортной системы России (2002-2010 гг.)» предусматривается реконструкция и модернизация железнодорожных линий общей протяженностью более 8 тыс. км для организации на них скоростного движения пассажирских поездов со скоростями до 160-200 км/ч.
ООО «Российские железные дороги» активно реализует свои планы по развитию этого направления и будет предъявлять спрос на высокоскоростной состав. В настоящее время предприятиями отрасли уже разработаны модели пассажирских вагонов, рассчитанных на скорость движения до 200 км/ч. Также имеются разработки и опытные образцы скоростных электровозов.
В целом быстрая организация производства новых видов подвижного состава и комплектующих, внедрение высокопроизводительных процессов в производстве фактически невозможна без трансферта современных технологий из-за рубежа.
Стоит отметить, что успешным примером трансферта технологий является организация совместного предприятия Siemens и Группы компаний «Трансмашхолдинг» по выпуску статических преобразователей для пассажирских вагонов и локомотивов. В дальнейшем это совместное предприятие (Трансконвертер) планирует освоить и производство асинхронного тягового электропривода. Также ожидается создание других совместных предприятий, обеспечивающих достижение мирового уровня качества по ключевым направлениям развития отрасли.
Проанализированные «истории успеха» свидетельствуют о наличии спроса на инновации в самых различных секторах экономики и об определенном прогрессе в создании предложения и инфраструктуры рынка инноваций. Задачей становится распространение положительной практики и ликвидация существующих барьеров на пути реализации инновационных проектов.
2. Особенности инновационной деятельностив экономике ДВ
2.1 Методические подходы к оценке инновационного потенциала региона
Основной целью разработки комплексной и системной оценки инновационного потенциала является выработка конкретных практических рекомендаций по стимулированию инновационной активности как на уровне отдельного предприятия, так и на уровне национальной экономики.
В современной мировой практике существует значительное число различных показателей, оценивающих уровень развития инновационной деятельности: начиная с оценки человеческого капитала, показателей, измеряющих знания, научно-технический прогресс (НТП), и заканчивая отдельными показателями фондового рынка. Различные международные организации разрабатывают собственные системы показателей, отражающих уровень инновационного потенциала страны (региона). В качестве таких примеров можно привести следующие системы показателей:
1. Индекс научно-технического потенциала (Всемирный экономический форум) как составляющая интегрального показателя оценки уровня конкурентоспособности страны.
Согласно методике экспертов Всемирного экономического форума (ВЭФ), возможность достижения устойчивого экономического роста в среднесрочной и долгосрочной перспективе в равной степени зависит от трех категорий переменных: макроэкономической среды, государственных институтов и технологии.
В долгосрочном периоде рост экономики невозможен без НТП. Для стран-«новаторов» (в том числе США, Япония, Корея, Канада и др.) доля инновационной составляющей при расчете индекса роста конкурентоспособности оставляет 1/2, тогда как для остальных – всего 1/3. Индекснаучно-технического потенциала рассчитывается на основе таких данных, как число патентов на 1 млн. населения; позициястраны по уровню технологического развития, вклад иностранных инвестиций в инновационную деятельность местных фирм; число ET1 пользователей Интернет на 10 000 человек и т.д.
Согласно исследованиям Всемирного экономического форума24, Россия в течение двух лет (2003 и 2004 гг.) находитсяна 70-м месте (в 2002 г. – 65-е), среди 104 рассматриваемых стран, по показателю роста конкурентоспособности. В 2004 –2005 гг. наша страна занимала 67-е место по показателю индекса научно-технического потенциала.
2. Система показателей оценки инновационной деятельности Комиссии европейских сообществ (КЕС)25, используемаядля сравнительного анализа оценки развития инновационной деятельности в странах Европейского Союза (ЕС), а также сопоставление их с показателями США и Японии.
Предложенная Директоратом по предпринимательству КЕС система инновационных показателей включает в себя 16индикаторов, разделенных на четыре группы:
1) человеческие ресурсы;
2) генерация новых знаний;
3) трансфер и использование знаний;
4) финансирование инноваций, результаты инновационной деятельности.
Оценка инновационной деятельности по предложенной методике позволяет сопоставить успехи различных стран и определить области, которые требуют дополнительных усилий со стороны частных организаций и государства. Вместе с темпредложенные параметры не охватывают таких показателей, как инвестиции в человеческий капитал, возможности и качество образовательных систем, приобретение нового оборудования (новых технологий) и т.д.
3. Ежегодно публикуемые Организацией экономического сотрудничества и развития (ОЭСР) показатели, характеризующие уровень и динамику развития инновационной экономики по развитым и отдельным развивающимся странам.
В системе индикаторов ОЭСР представлены следующие показатели:
- удельный вес высокотехнологичного сектора экономики в продукции обрабатывающей промышленности и услугах;
- инновационная активность;
- объем инвестиций в сектор знаний (общественный и частный), включая расходы на высшее образование, НИОКР, а также в разработку программного обеспечения;
- разработка и выпуск информационного и коммуникационного оборудования, программного продукта и услуг;
- численность занятых в сфере науки и высоких технологий и др.
Представленные системы показателей направлены преимущественно на оценку инновационного потенциала развитыхстран. В связи с этим они не учитывают ряда факторов, характерных для развивающихся рынков. Последние накладываютограничения на стимулирование инновационной деятельности (например, уровень развитости инновационного законодательства, приоритеты государственных властей по вопросам инновационного развития и др.) В этом случае, помимо традиционных показателей, целесообразно рассчитывать ряд индикаторов, оценивающих результативность инновационных процессов, влияющих на социально-экономическое развитие страны (отдельных регионов). Например, такие, как доля инновационной деятельности в экономике региона, показатель социально-экономической полезности инноваций, доля инноваций вбюджете региона (страны) и т.д. Однако расчет и анализ таких показателей в отечественной практике ограничен как недостатком соответствующей информации (особенно в региональном разрезе), так и отсутствием собственно методики их расчета в разрезе основных составляющих инновационного потенциала. Отсутствует также научное обоснование необходимого идостаточного числа и состава показателей, оценивающих инновационный потенциал. Представляется, что данным вопросам в условиях формирования глобального инновационного общества необходимо уделять больше внимания.
Отметим, что в российской практике оценка инновационного потенциала регионов приводится в ежегодных исследованиях национального рейтингового агентства «Эксперт РА»28. Однако в данном случае такая оценка не может дать полнойкартины инновационного развития, поскольку представляет собой лишь ранги регионов по инновационному потенциалу ивыступает составляющей частью инвестиционного потенциала субъектов.
Таким образом, комплексная оценка инновационного потенциала региона предполагает, во-первых, существованиеобоснованной и научно выверенной системы показателей. Во-вторых, наличие статистической базы. В-третьих, показателисоставляющих регионов могут быть использованы для оценки совокупного потенциала страны.
Формирование и развитие инновационного потенциала России предполагает учет и анализ специфики инновационногоразвития отдельных регионов. В условиях становления принципиально новых федеративных отношений целесообразно вкаждом регионе, учитывая его специфические условия развития, исходя из наличия ресурсов, кадров, инфраструктуры, разработать свою инновационную среду. Совокупность региональных инновационных систем, объединенных единой целью (устойчивое развитие страны) и действующих в рамках государственной экономической политики и законодательства, будетформировать инновационный потенциал страны в целом.
Методологические подходы к оценке инновационного потенциала региона должны вытекать из его сущности, которая была раскрыта нами выше. Учитывая основные составляющие, а также исходную информационную базу, которую сегодняможет предложить официальная статистика, оценка инновационного потенциала будет осуществляться по следующим показателям (рис. 2.1.1).

Рис. 2.1.1 – Мониторинг развития инновационного потенциала региона
Заметим, что современная отечественная методология статистического анализа не совсем пригодна для оценки инновационных процессов и значит, для принятия обоснованных управленческих решений. Это во многом обусловлено нечеткостью понятийного аппарата, что вынуждает использовать для различных субъектов и стадий инновационной деятельности общие во всех случаях критерии продукта.
Не может быть показателей, единых для всех стадий инновационного процесса, а следовательно, единых для всех форм государственного участия в нем. Таким образом, для адекватности оценки инновационных процессов необходимо провести реформу статистики инноваций. Одним из ее направлений может быть разработка статистических форм, фиксирующих «разрыв» стадий инновационного цикла, т.е. промежуточные и конечные результаты с использованием соответствующих индикаторов (табл. 2.1.1).
Реформа статистики инноваций позволит повысить качество оценки инновационной деятельности и инновационного потенциала экономических систем.
В настоящее время в отечественной теории уже есть предложения по совершенствованию системы анализа научно-технологического потенциала.
Научно-технологический потенциал страны должен анализироваться как единство двух его основных характеристик:
1) как совокупность ресурсов, связанных с научно-технической сферой;
Таблица 2.1.1 – Признаки и индикаторы инновационной деятельности
| Признаки | Индикаторы |
| Качественные | Появление нового или усовершенствованного продукта, технологического процесса, информации либо нового подхода к рыночным и социальным услугам, реализованным на рынке |
| Количественные | Минимальная доля затрат на исследования и разработки в себестоимости продукции. Предельный срок использования продукции. Наукоемкость (отношение затрат на НИОКР к продажам) и др. |
| Сравнительные | Соответствие стандартам и лучшим отечественным и зарубежным образцам |
| Рыночные | Формирование нового сегмента рынка. Способность товара, услуги или технологии на коммерческую реализацию |
2) как выражение результативности функционирования, особенно в аспекте влияния на экономику и общество в целом.
В основе инновационного потенциала той или иной хозяйственной системы лежат совокупность научных знаний, инноваций, находящихся в различных стадиях научно-воспроизводственного цикла, протекающего в ней, неиспользуемые резервы техники, технологий, кадровых ресурсов и организации в действующем производственном организме, а также нефункционирующие запасы новых технико-технологических средств, творческий потенциал коллектива.
Такое видение основы инновационного или научно-технологического потенциала применительно к различным уровнямхозяйственных системных образований: предприятиям, корпорациям, регионам, отраслевым, межотраслевым и народнохозяйственным комплексам, но с учетом их специфики.
Подготовка инноваций для использования в воспроизводстве конкретных потребительских стоимостей осуществляетсяв ходе научно-технических и инновационных процессов, длительность которых зависит от:
– изначальной формы, в которой находится новшество;
– наличия всех необходимых условий, включая инвестиционные, кадровые и предпринимательские ресурсы;
– полноценности существующего инновационного менеджмента.
Фактор времени предопределяет не только длительность трансформации знаний, но и обусловливает разную оценку научно-технологического потенциала в зависимости от различных тактических и стратегических целей. В связи с этим целесообразно деление общего научно-технологического потенциала на тактический и стратегический блоки.
Тактический потенциал составляет инновации, которые в условиях хоз. системы можно использовать от года до пятилет. Стратегический потенциал обусловлен преобразовательными возможностями подготавливаемых инноваций, использование которых в обновлении продукции и производства возможен за пределами пятилетнего периода.
Общий научно-технологический потенциал представляет собой не просто сумму, а единство тактического и стратегического потенциалов, при этом последний зависит от использования первого.
Совокупность научно-технологических новшеств хозяйственной системы может быть дополнена достижениями НТП всистеме более высокого порядка (корпорация заимствует новшество при производстве конкретных товаров из отраслевойсистемы, из других отраслей, из мирового банка научных знаний), располагая для этого необходимым капиталом. В этихусловиях научно-технологический потенциал хозяйственного образования, обогащенный внесистемными новшествами, будет, без сомнения, богаче; в нем могут существенно измениться все блоки во времени и структуре. Поэтому целесообразноподразделить научно-технологический потенциал хозяйственного образования на внутрисистемную и межсистемную части.
Научно-технологический потенциал имеет структуру, одним из ключей к которой может служить научно-воспроизводственный цикл создания и использования инноваций в преобразовании труда, продукции и производственногоаппарата хозяйственных систем. Воспроизводственный подход позволяет научно-технологический потенциал представить ввиде взаимосвязанной совокупности блоков. Каждый из них объединяет в себе новшества, которые характеризуются примерно одинаковой мерой вероятности трансформации их в инновации – товары, являющиеся итогом специфического интеллектуального труда в каждой отдельной стадии научно-воспроизводственного цикла.
Обобщая вышеприведенные методологические подходы, укрупненно алгоритм анализа научно-технологического потенциала хозяйственной системы представлен в виде следующей последовательности действий (рис. 3)

Рис. 2.1.2 – Алгоритм анализа состояния научно-технического потенциала
На основе анализа конкурентоспособности товаров, услуг, технологий их производства, эффективности менеджмента, организации, структуры и мотивации производства; через совокупность маркетинговых исследований; изучение преобразующих возможностей существующих инноваций различного характера внутри и вне системы в отношении товаров, технологий, организации труда и производства оцениваются качественные и количественные характеристики потенциала.
Оценка научно-технологического потенциала хоз. системы осуществляется по качественным характеристикам товаров и производительного аппарата, а также по количественным социально-экономическим, экологическим показателям итоговой хозяйственной деятельности.
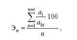
Эффективность использования потенциала обобщенно оценивается как отношение достигаемых в настоящее время каждого из совокупности социально-экономических показателей, выбранных в качестве оценочных, к возможным достижениям при максимальном использовании научно-технического потенциала
(2.1.1)
где Эn – итоговый обобщающий показатель эффективности использования научно-технологического потенциала хоз. системы;
аi – конкретный i -й показатель, характеризующий достижение определенного эффекта;
аbi – возможный показатель принаиболее полном использовании потенциала;
n – число показателей.
2.2 Оценка инновационной активности в России и ДВ
Для оценки инновационной активности организации и ее инновационной конкурентоспособности в отечественной и зарубежной практике широко применяются показатели инновационной деятельности организации.
Показатели, наиболее широко применяемые в отечественной и зарубежной практике и характеризующие инновационную активность организации, ее инновационную конкурентоспособность, можно разбить на следующие группы: затратные; по времени; обновляемости; структурные.
Затратные показатели:
1. удельные затраты на НИОКР в объеме продаж, которые характеризуют показатель наукоемкости продукции фирмы;
2. удельные затраты на приобретение лицензий, патентов, ноу-хау;
3. затраты на приобретение инновационных фирм;
4. наличие фондов на развитие инициативных разработок.
Показатели, характеризующие динамику инновационного процесса:
1. показатель инновационности ТАТ;
2. длительность процесса разработки нового продукта (новой технологии);
3. длительность подготовки производства нового продукта;
4. длительность производственного цикла нового продукта.
Показатели обновляемости:
1. количество разработок или внедрений нововведений-продуктов и нововведений-процессов;
2. показатели динамики обновления портфеля продукции (удельный вес продукции, выпускаемой 2, 3, 5 и 10 лет);
3. количество приобретенных (переданных) новых технологий (технических достижений);
4. объем экспортируемой инновационной продукции;
5. объем предоставляемых новых услуг.
Структурные показатели:
1. состав и количество исследовательских, разрабатывающих и других научно-технических структурных подразделений (включая экспериментальные и испытательные комплексы);
2. состав и количество совместных предприятий, занятых использованием новой технологии и созданием новой продукции;
3. численность и структура сотрудников, занятых НИОКР;
4. состав и число творческих инициативных временных бригад, групп.
Как применяются перечисленные показатели?
Наиболее часто используются показатели, отражающие удельные затраты фирмы на НИОКР в объеме ее продаж и численность научно-технических подразделений.
Широко используется показатель инновационности ТАТ, который происходит от словосочетания «turn - aroundtime» («успевай поворачиваться»). Под этим понимают время с момента осознания потребности или спроса на новый продукт до момента его отправки на рынок или потребителю в больших количествах. Реже используются в широкой печати другие показатели, например, структурные, показывающие количество и характер инновационных подразделений. Такие показатели обычно присутствуют в специальных аналитических обзорах.
Современный экономический рост характеризуется ведущим значением научно-технического прогресса и интеллектуализацией основных факторов производства. На долю новых знаний, воплощаемых в технологиях, оборудовании, образовании кадров, организации производства в развитых странах приходится от 70 до 85 % прироста ВВП. Внедрение нововведений стало ключевым фактором рыночной конкуренции, позволяя передовым фирмам добиваться сверхприбылей за счет присвоения интеллектуальной ренты, образующейся при монопольном использовании новых более эффективных продуктов и технологий. За годы реформ системные трансформации произошли в научно-техническом потенциале России. Объем научно-исследовательских и опытно-конструкторских разработок сократился более чем в 10 раз, что повлекло за собой резкое снижение конкурентоспособности национальной экономики и утрату значительной части потенциала экономического роста.
К сожалению, в Дальневосточных субъектах Федерации уровень инновационной активности по сравнению со среднероссийскими показателями значительно хуже (см. табл. 2.1.1, 2.1.2).
Таблица 2.1.1 – Инновационно-активные организации РФ и субъектов ДФО
| Число организаций | |||||||
| 2000 | 2002 | 2003 | 2005 | 2006 | 2007 | 2008 | |
Российская Федерация |
2622 | 2498 | 2515 | 2708 | 3285 | 3339 | 3414 |
Дальневосточный Федеральный округ |
118 | 124 | 114 | 97 | 115 | 106 | 150 |
| Республика Саха (Якутия) | 27 | 20 | 20 | 19 | 25 | 21 | 19 |
| Приморский край | 38 | 29 | 17 | 20 | 14 | 19 | 34 |
| Хабаровский край | 23 | 30 | 46 | 33 | 31 | 23 | 26 |
| Амурская область | 6 | 7 | 4 | 2 | 16 | 17 | 16 |
| Камчатская область | 6 | 5 | 7 | 7 | 7 | 6 | 10 |
| Магаданская область | 2 | 7 | 3 | 4 | 7 | 8 | 32 |
| Сахалинская область | 12 | 21 | 12 | 10 | 12 | 9 | 10 |
| Еврейская автономная область | 1 | 4 | 5 | 2 | 3 | 3 | 3 |
| Чукотский автономный округ | 3 | 1 | - | - | - | - | - |
Источник: Регионы России. Социально-экономические показатели. 2008: Стат. сб. / Росстат. - М., 2010
Таблица 2.1.2 – Уровень инновационной активности РФ и субъектов ДФО
| Уровень инновационной активности, % | |||||||
| 2000 | 2002 | 2003 | 2005 | 2006 | 2007 | 2008 | |
Российская Федерация |
8,8 | 9,0 | 9,5 | 9,7 | 9,9 | 10,0 | 9,4 |
Дальневосточный Федеральный округ |
6,3 | 7,1 | 6,9 | 6,2 | 6,0 | 5,8 | 7,2 |
| Республика Саха (Якутия) | 6,6 | 6,7 | 6,6 | 5,1 | 7,0 | 5,7 | 4,7 |
| Приморский край | 5,8 | 4,1 | 2,9 | 4,4 | 2,4 | 3,5 | 6,0 |
| Хабаровский край | 21,5 | 16,3 | 19,1 | 17,0 | 11,4 | 10,1 | 11,0 |
| Амурская область | 3,0 | 5,3 | 2,9 | 1,3 | 7,5 | 7,5 | 6,5 |
| Камчатская область | 4,9 | 5,0 | 9,3 | 7,1 | 5,5 | 5,4 | 8,3 |
| Магаданская область | 1,3 | 8,5 | 3,6 | 6,2 | 9,5 | 11,4 | 26,9 |
| Сахалинская область | 7,2 | 10,9 | 7,1 | 6,2 | 5,8 | 4,4 | 3,2 |
| Еврейская автономная область | 2,8 | 10,0 | 11,4 | 3,9 | 4,8 | 4,8 | 4,6 |
| Чукотский автономный округ | 9,7 | 6,3 | - | - | - | - | - |
Источник: Регионы России. Социально-экономические показатели. 2008: Стат. сб. / Росстат. - М., 2010
Если в целом по России уровень инновационной активности организаций в 2008 г. составил 9,4 %, то по Дальневосточному федеральному округу 7,2 %. Из 10 субъектов Федерации Дальнего Востока только в одной Магаданской области, превышен среднероссийский показатель и составил 26,9 %, а в Приморском крае, Республике Саха (Якутия), Амурской, Еврейской автономной областях он ниже среднего показателя по ДФО, тогда как в Камчатской области показатель выше среднего показателя по ДФО, в Чукотском автономном округе таких организаций нет.
За последние годы сократилось число организаций, выполнявших исследования и разработки (см. табл. 2.1.3).
Таблица 2.1.3 – Число организаций РФ и субъектов ДФО, выполнявших НИОКР
| 1995 | 2000 | 2001 | 2002 | 2003 | 2004 | 2005 | 2006 | 2007 | 2008 | |
| РФ | 4059 | 4099 | 4037 | 3906 | 3797 | 3656 | 3566 | 3622 | 3957 | 3666 |
| Дальневосточный федеральный округ | 140 | 157 | 154 | 151 | 153 | 146 | 142 | 156 | 178 | 169 |
| Республика Саха (Якутия) | 19 | 24 | 24 | 24 | 23 | 22 | 20 | 23 | 24 | 22 |
| Приморский край | 52 | 45 | 45 | 44 | 44 | 43 | 42 | 52 | 53 | 49 |
| Хабаровский край | 30 | 34 | 34 | 34 | 34 | 32 | 31 | 29 | 45 | 43 |
| Амурская область | 9 | 16 | 14 | 14 | 13 | 13 | 12 | 14 | 15 | 15 |
| Камчатская область | 13 | 16 | 15 | 12 | 16 | 15 | 15 | 15 | 15 | 15 |
| Магаданская область | 9 | 8 | 8 | 8 | 8 | 7 | 7 | 8 | 9 | 8 |
| Сахалинская область | 6 | 11 | 11 | 11 | 11 | 11 | 12 | 12 | 14 | 14 |
| Еврейская автономная область | 1 | 1 | 1 | 2 | 2 | 1 | 1 | 1 | 1 | 1 |
| Чукотский автономный округ | 1 | 2 | 2 | 2 | 2 | 2 | 2 | 2 | 2 | 2 |
Источник: Регионы России. Социально-экономические показатели. 2008: Стат. сб. / Росстат. - М., 2010
Из таблицы видно, что в 2008 г. по сравнению с 1995 г. число организаций, выполнявших исследования и разработки, по РФ сократилось на 9,7 %, по ДФО увеличилось на 20,7 % по сравнению с 1995 г., то в Приморском крае сокращение произошло на 5,7 %, в Магаданской области на 11,1 %, В ЕАО в сравнении с 2003 г. число организаций сократилось на половину, на территории области действует лишь одна организация, выполнявшая исследования и разработки. Также сокращается численность персонала, занятого исследованиями и разработками (см. табл. 2.1.4). В целом по РФ численность персонала в 2005 г. уменьшилась по отношению к 1995 г. на 23 %, по ДФО к уровню предыдущего года на 2,5 %, в Хабаровском крае на 2 %, в Камчатской области увеличилась на 1 %.
Таблица 2.1.4 – Численность персонала, занятого исследованиями и разработками
| 1995 | 2000 | 2001 | 2002 | 2003 | 2004 | 2005 | 2006 | 2007 | 2008 | |
| РФ | 61061044 | 887729 | 885568 | 870878 | 858470 | 839338 | 813207 | 807066 | 801135 | 761252 |
| Дальневосточный федеральный округ | 13942 | 14184 | 14356 | 14816 | 14949 | 14673 | 14347 | 14051 | 14143 | 13496 |
| Республика Саха (Якутия) | 2687 | 2662 | 2688 | 2727 | 2602 | 2645 | 2573 | 2450 | 2537 | 2359 |
| Приморский край | 6074 | 6225 | 6284 | 6525 | 6434 | 6411 | 6471 | 6458 | 6296 | 5965 |
| Хабаровский край | 1842 | 1683 | 1686 | 1803 | 1808 | 1646 | 1536 | 1390 | 1737 | 1700 |
| Амурская область | 624 | 1013 | 988 | 978 | 959 | 946 | 890 | 807 | 778 | 774 |
| Камчатская область | 916 | 993 | 1032 | 998 | 1407 | 1263 | 1293 | 1333 | 1232 | 1193 |
| Магаданская область | 739 | 567 | 606 | 629 | 604 | 606 | 599 | 617 | 603 | 575 |
| Сахалинская область | 964 | 912 | 947 | 1032 | 1008 | 1032 | 865 | 883 | 858 | 834 |
| Еврейская автономная область | 59 | 71 | 71 | 72 | 77 | 75 | 72 | 74 | 65 | 60 |
| Чукотский автономный округ | 37 | 58 | 54 | 52 | 50 | 49 | 48 | 39 | 37 | 36 |
Источник: Регионы России. Социально-экономические показатели. 2008: Стат. сб. / Росстат. - М., 2010.
Дальний Восток сильно отстает от промышленно развитых регионов России по отношению затрат на исследования и разработки в ВРП (см. табл. 2.1.5, 2.1.6).
Таблица 2.1.5 – Внутренние текущие затраты на фундаментальные исследования по видам работ (тысяч рублей; 1995 г. – млн. руб.)
| Всего | Фундаментальные исследования | |||||||
| 1995 | 2000 | 2005 | 2008 | 1995 | 2000 | 2005 | 2008 | |
| РФ, млн. руб. | 11672,1 | 73873,3 | 221119,5 | 410865,0 | 1829,9 | 9875,7 | 31022,9 | 77121,3 |
Дальневосточный федеральный округ |
261478 | 1577471 | 4537047 | 8826000 | 116304 | 734581 | 2606169 | 5131,8 |
| Республика Саха (Якутия) | 77195 | 362832 | 637369 | 1390800 | 37427 | 229709 | 492239 | 1073,4 |
| Приморский край | 83359 | 607298 | 1866048 | 3574800 | 41494 | 265280 | 1095364 | 2150,0 |
| Хабаровский край | 23075 | 156075 | 368513 | 851500 | 8859 | 50542 | 167082 | 483,3 |
| Амурская область | 14955 | 54492 | 116112 | 274100 | 3961 | 27082 | 85539 | 226,3 |
| Камчатская область | 21540 | 180498 | 582971 | 1108000 | 12234 | 56133 | 251857 | 535,2 |
| Магаданская область | 14776 | 83531 | 440284 | 823700 | 8412 | 76981 | 427721 | 365,7 |
| Сахалинская область | 25068 | 118820 | 461411 | 717600 | 2438 | 22381 | 66238 | 243,3 |
| Еврейская автономная область | 673 | 4262 | 8406 | 35600 | 641 | 4262 | 8406 | 35,6 |
| Чукотский автономный округ | 838 | 9665 | 55933 | 49900 | 838 | 2212 | 11723 | 18,9 |
Источник: Регионы России. Социально-экономические показатели. 2008: Стат. сб. / Росстат. - М., 2010.
Таблица 2.1.6 – Внутренние текущие затраты на прикладные исследования и разработки по видам работ (тысяч рублей; 1995 г. – млн. руб.)
| Прикладные исследования | Разработки | |||||||
| 1995 | 2000 | 2005 | 2008 | 1995 | 2000 | 2005 | 2008 | |
| РФ, млн. руб. | 2118,1 | 12117,5 | 36360,2 | 79885,8 | 7724,0 | 51880,2 | 153736,4 | 253857,9 |
Дальневосточный федеральный округ |
78885 | 488179 | 1566754 | 3069700 | 66290 | 354711 | 364124 | 624600 |
| Республика Саха (Якутия) | 28061 | 47160 | 102255 | 157600 | 11707 | 85963 | 42875 | 159800 |
| Приморский край | 24010 | 316672 | 728583 | 1324500 | 17855 | 25345 | 42102 | 100300 |
| Хабаровский край | 4408 | 40459 | 62328 | 149800 | 9808 | 65074 | 139103 | 218400 |
| Амурская область | 1723 | 8579 | 27816 | 39400 | 9272 | 18831 | 2757 | 8300 |
Источник: Регионы России. Социально-экономические показатели. 2008: Стат. сб. / Росстат. - М., 2010.
По данным таблиц можно сделать вывод о том, что если внутренние текущие затраты на исследования и разработки по РФ в 2008 году к 1995 году увеличились в 35,2 раза то, по ДВ в 34 раза, то по Еврейской автономной области (ЕАО) в 52,9 раз; на прикладные исследования затраты по РФ возросли в 37,7 раз, по ДВ в 38,9 раз, по ЕАО затраты не осуществлялись с 1995 года; затраты на разработки по РФ увеличились в 32,9 раз, по ДВ в 9,4 раза, а в ЕАО таких затрат не производилось вообще.
По масштабам финансирования науки ДВ за 90-е гг. «откатился» на уровень регионов со средним (по абсолютной величине расходов) и даже незначительным (по доле в ВРП) научным потенциалом. Доля затрат на науку в ВРП в 2006 г, в регионе составила около 1,2 %, что примерно вдвое меньше среднего по России. Отметим, что если в промышленно развитых регионах основную долю расходов на ИР берет на себя промышленность, то на ДВ предпринимательский сектор обеспечивает всего 8 % от общих расходов на науку.
Низкий уровень изобретательского потенциала, недостаточный спрос со стороны производства на результаты научно-технической деятельности свидетельствует о существовании серьезных внутренних проблем не только в предпринимательской среде, но и в самой науке. Проблемы инновационной, научно-технической и экономической политики заключаются в ее бессистемности. ДВ, обладающий достаточно развитым научно-техническим потенциалом, по состоянию институциональных инструментов инновационного процесса, по сравнению с ведущими центрами России, находится на уровне девяностых годов прошлого столетия.
В экономике городов Дальнего Востока, по сравнению с ведущими научными центрами страны, наблюдается низкий уровень предпринимательской активности в области инноваций. Основные ресурсы инновационной деятельности, выраженные абсолютными показателями инновационно-активных предприятий и объемов инновационных затрат, сосредоточены в организациях частной либо смешанной (без иностранного участия) форм собственности. В то же время организации частной формы собственности не являются лидерами и значительно уступают организациям государственной формы собственности, уровень инновационности которых в полтора раза превышает средний показатель по дальневосточному региону, а также организациям иных форм собственности, что подтверждает необходимость принятия конкретных решений, направленных на формирование в регионе эффективных собственников – развитие фондового рынка, совершенствование процедуры банкротства, активизации антимонопольной политики и т.п.
В деятельности предприятий ДВ в сфере технологических инноваций, непосредственно связанной с необходимостью проведения исследований и разработок, прослеживается тенденция снижения уровня инновационности с ростом размера предприятия. Среди организаций, приступивших за последние пять лет к производству новой продукции или усовершенствовавших прежнюю, подвергнув ее значительным технологическим улучшениям, доля инновационной продукции у крупных предприятий в три с половиной раза ниже, чем у малых организаций. Одним из условий осуществления инновационного процесса региона должно быть наличие основных элементов: сформированных целей и задач инновационного развития, его организации и стратегии инновационной системы. На современном этапе исторического развития инновационная деятельность регионов и хозяйствующих субъектов протекает в условиях глобализирующейся экономики и должна учитывать мировой опыт и стандарты, ориентироваться на международные рынки.
Стратегическими целями инновационной деятельности выступают повышение уровня конкурентоспособности, получение прибыли и удовлетворение платежеспособного спроса. Экономическое положение субъектов Федерации Дальнего Востока весьма различно. Соответственно неодинаковы и их возможности в сфере инноваций. Поэтому регионы ДВ по-разному активны на инновационном поле. При этом вектор их инновационной активности во многом зависит как от регионального инвестиционного потенциала, так и от конкурентных преимуществ того или иного региона и конкурентного субъекта хозяйствования. В целом же недостаточный инновационный потенциал большинства регионов сдерживает их инновационную активность.
При проведении сравнительного анализа инновационного потенциала Дальневосточных регионов были сделаны следующие выводы:
К сожалению, в Дальневосточных субъектах Федерации уровень инновационной активности по сравнению со среднероссийскими показателями значительно хуже (см. табл. 2.1.1, 2.1.2). Приморский край находится на первом месте по инновационно – активным организациям, на втором месте Республика Саха (Якутия),Хабаровский край можно определить на третье место, а Еврейская Автономная область находиться на предпоследнем месте, последнее место занял Чукотский Авт.округ.
Из 10 субъектов Федерации Дальнего Востока только в одной Магаданской области, превышен среднероссийский показатель и составил 26,9 %, а в Приморском крае, Республике Саха (Якутия), Амурской, Еврейской автономной областях он ниже среднего показателя по ДФО, тогда как в Камчатской области показатель выше среднего показателя по ДФО, в Чукотском автономном округе таких организаций нет.
Так же снижается тенденция организаций, выполнявших НИОКР. Еврейская авт. обл. так же находиться на предпоследнем месте. Снижается численность персонала, занятого исследованиями и разработками. Дальний Восток значительно отстает от промышленно развитых регионов России.
Так же ничтожно мал процент предприятий, связанных с нововведениями. Прослеживается тенденция снижения уровня инновационности с ростом размера предприятия. Среди организаций, приступивших за последние пять лет к производству новой продукции или усовершенствовавших прежнюю, подвергнув ее значительным технологическим улучшениям, доля инновационной продукции у крупных предприятий в три с половиной раза ниже, чем у малых организаций.
Что же касается ЕАО можно сказать, что ситуация плачевная. Число инновационно – активных организаций ничтожно мало, уровень инновационной активности по сравнению с другими регионами Дальнего Востока так же находиться на низком уровне. Организации, которые выполняли НИОКР остается неизменным на протяжении десяти лет, всего одно – два предприятия выполняют исследования и разработки.
Предприятия, персонал которых был бы занят исследованиями и разработками так же по сравнению с другими регионами ДВ ничтожно мал, ЕАО находится на предпоследнем месте!! Затраты на фундаментальные исследования по видам работ не производились.
Низкий уровень изобретательского потенциала, недостаточный спрос со стороны производства на результаты научно-технической деятельности свидетельствует о существовании серьезных внутренних проблем не только в предпринимательской среде, но и в самой науке. Проблемы инновационной, научно-технической и экономической политики заключаются в ее бессистемности.
В деятельности предприятий ЕАО в сфере технологических инноваций, связанных с необходимостью проведения исследований и разработок, прослеживается тенденция снижения уровня инновационности с ростом размера предприятия. На современном этапе исторического развития инновационная деятельность регионов и хозяйствующих субъектов протекает в условиях глобализирующейся экономики и должна учитывать мировой опыт и стандарты, ориентироваться на международные рынки.
2.3 Инновационный потенциал регионов России
В развитии экономической системы существенную роль играет развитие инновационного потенциала. Понятие «инновационный потенциал» стало «концептуальным отражением феномена инновационной деятельности» [1].
Для определения рациональных размеров инновационного потенциала, который должнаиметь эффективно функционирующая система, а также для получения корректных оценок влиянияинновационного потенциала на развитие экономики, необходимо иметь четкое определение, во-первых, понятия инновационного потенциала, а во-вторых, его состава. С этой целью необходимочетко определить все существенные факторы, предопределяющие его динамику.
В настоящее время вопросам формирования инновационного потенциала в экономическойлитературе уделяется достаточно много внимания, однако существующая информация зачастую носит отрывочный и противоречивый характер и не имеет однозначного трактования. Так, в отдельных случаях инновационный потенциал отождествляется с научно-техническим.
Инновационныйпотенциал представляется как «накопленное определенное количество информации о результатахнаучно-технических работ, изобретений, проектно-конструкторских разработок, образцов новой техники и продукции» [1], или толкуется как «система факторов и условий, необходимых для осуществления инновационного процесса» [4], что значительно упрощает действительность, а также сужает сферу применения этой важной категории.
В определении инновационного потенциала как «способности различных отраслей народногохозяйства производить наукоемкую продукцию, отвечающую требованиям мирового рынка» [5], рассматриваемая категория привязана к конкретному уровню (народное хозяйство), что также сужает сферу ее применения. Кроме того, в этом случае из рассмотрения выпадают организационныеинновации и инновации-услуги.
В этих и других определениях инновационного потенциала, как правило, раскрывается однаили несколько сущностных характеристик данного явления. В одном случае акцент переносится наинституциональные структуры или средства формирования потенциала, в другом идет привязка кконкретному уровню (предприятие, национальная экономика и т.д.).
Такое определение, как «инновационный потенциал содержит неиспользованные, скрытые возможности накопленных ресурсов, которые могут быть приведены в действие для достижения целей экономических субъектов», также свидетельствует о наличии неоднозначности в понимании сущности инновационного потенциала. Данное обстоятельство в значительной мере затрудняет выработку практических рекомендаций по формированию и эффективному использованию инновационного потенциала и, таким образом, негативно сказывается на конечных результатах инновационной деятельности.
Отмеченное обуславливает необходимость проведения дополнительного исследования инновационного потенциала.
Достаточно прозрачными и полными в вопросах исследования инновационного потенциала можно считать выводы Г.И. Жиц. По его мнению, под инновационным потенциалом понимается количество экономических ресурсов, которые в каждый конкретный момент общество может использовать для своего развития. Эти ресурсы распределяются между тремя основными секторами системы: научно-техническим, образовательным, инвестиционным. В результате этого распределения формируются: научно-технический потенциал (сегмент или комплекс), образовательный потенциал (сегмент или комплекс), инвестиционный потенциал (сегмент или комплекс).
Совокупность названных сегментов и формирует инновационный потенциал системы.
При изложенном подходе целесообразно считать инновационным потенциалом не все количестворесурсов, которые общество предполагает использовать для своего перспективного развития, а только туих часть, которая может быть использована для увеличения объемов или улучшения качества конечногопотребления. При этом следует иметь в виду, что динамика количественных и качественных показателейпотребления должна осуществляться в интересах потребителей, а не производителей. Следует отметить, что существуют значительные проблемы, связанные с разделением конечного потребления на индивидуальное (частное) и коллективное (общественное), но в данном случае более важным является необходимость соблюдения рациональных пропорций между конечным и промежуточным потреблением.
Научно-технический сегмент инновационного потенциала обеспечивает появление новшества. Образовательный сегмент его делает возможным диффузию новшества и его производительное использование. Инвестиционный сектор превращает новшество непосредственно в инновацию.
Таким образом, величина инновационного потенциала рассчитывается как совокупный итоговый результат деятельности трех следующих сегментов инновационного потенциала: наука – образование – инвестиции.
Однако это сложение не предполагает получение необходимого результата методомпрямого суммирования, а определяется как некая равнодействующая их взаимного влияния.
В выявлении сущности инновационного потенциала не менее интересен подход С.И. Кравченко и И.С. Кладченко [3]. По их мнению, углубленный анализ сущности и содержания категории «инновационный потенциал» вполне целесообразно осуществлять, опираясь на составные категории – «потенциал» и «инновация». Так, понятие «потенциал» происходит от латинского слова «potentia», которое означает силу, мощь, возможность, способность, существующую в скрытом виде и способную проявиться при определенных условиях. В специальном смысле – это степень возможного проявления какого-либо действия, какой-либо функции. Иногда под «потенциальной энергией» подразумевают любую энергию, которая содержится в системе в скрытом виде. В более широком смысле потенциал – это совокупность факторов, имеющихся в наличии, которые могут бытьиспользованы и приведены в действие для достижения определенной цели, результата.
Таким образом, вне привязки к конкретной сфере, потенциал можно рассматривать как способность материипереходить от возможности к реальности, от одного состояния в другое (например, от старого к новому). При этом потенциал – это мера единства достигнутого, которое может быть использовано сопределенной целью, и возможного, т.е. достижимого при определенных условиях.
Ресурсная составляющая инновационного потенциала является своего рода «плацдармом» для его формирования. Она включает в себя следующие основные компоненты, имеющие различное функциональное назначение: материально-технические, информационные, финансовые, человеческие и другие виды ресурсов. Так, материально-технические ресурсы, являясь «вещественной основой, определяют технико-технологическую базу потенциала, которая впоследствии будет влиятьна масштабы и темпы инновационной деятельности» [2]. В свою очередь сами они формируются в отраслях, изготавливающих средства производства, которые путем применения новых технологийзакладывают в них потенциальные возможности, реализуемые или нереализуемые впоследствии.
Следующая компонента ресурсной составляющей – информационный ресурс (такие ее активные формы, как базы знаний, модели, алгоритмы, программы, проекты и т.д.) подобно ферменту переводит материальные факторы из латентного состояния в активное. Данный вид ресурсов, в отличие от прочих, практически неисчерпаем.
Следующей компонентой ресурсной составляющей инновационного потенциала является человеческий ресурс (капитал, фактор), который не просто выполняет обеспечивающую функцию (как все предыдущие), а выступает главной креативной силой, так как все рождается именно в головах людей. Это совокупность проинвестированных общественно целесообразных производственных и общечеловеческих навыков, знаний, способностей, которыми владеет человек, которые емупринадлежат, неотделимы от него и практически используются в повседневной жизни.
Немаловажным является то, что указанная компонента оказывает непосредственное влияние нетолько на ресурсную составляющую инновационного потенциала, но и на внутреннюю и особенно результативную.
Второй составляющей инновационного потенциала является внутренняя составляющая – так называемый «рычаг», обеспечивающий дееспособность и эффективность функционирования всех предыдущих элементов. В целом, указанная составляющая характеризует возможность целенаправленного осуществления инновационной деятельности, т.е. определяет способность системы на принципах коммерческой результативности привлекать ресурсы для инициирования, создания и распространения различного рода новшеств.
Таким образом, внутреннюю составляющую можно охарактеризовать через процессысоздания и внедрения нового продукта, обеспечения взаимосвязи новатора как с наукой, предоставляющей прогрессивные идеи, так и рынком, потребляющим готовый продукт, а также методы и способы управления инновационным процессом. Указанная составляющая является довольно сложной и важной, ипоэтому для детального ее анализа отдельные авторы [2] предлагают использовать структурно-институциональный и функциональный подходы. При этом структурно-институциональный подход вычленяет структуру инновационной деятельности с точки зрения системы институциональных субъектов, ее осуществляющих, а также экономические связи с внешними для нее сферами – наукой и производством.
Функциональный подход выявляет временные закономерности инновационного процесса – производство инновационного продукта, его обмен, распределение, потребление и возобновление цикла инновационного процесса, за которое и отвечает внутренняя составляющая инновационного потенциала.
Третьей составляющей инновационного потенциала является результативная составляющая, которая выступает отражением конечного результата реализации имеющихся возможностей (в виденового продукта, полученного в ходе осуществления инновационного процесса).
Таким образом, она – своего рода целевая характеристика инновационного потенциала. Важность этой составляющей и целесообразность обособленного выделения подтверждаетсятем, что ее увеличение, в свою очередь, способствует развитию остальных составляющих (например, ресурсной). Другими словами, результативная составляющая, сама являясь результатом количественного и качественного изменения, несет в себе потенциальные возможности вывода на новыйуровень функционирования как инновационного потенциала, так и системы в целом.
В качестве основных определяющих инновационного потенциала российских регионов можно выделить следующие показатели (за 2007 г.):
Финансовый
– оборот организаций (млрд. руб.)
– прибыль организаций (млн. руб.)
– доходы консолидированных бюджетов (млрд. руб.)
Экономический
– промышленное производство (обрабатывающие производства) (млн. руб.)
– валовый региональный продукт по видам экономической деятельности (т. р.)
Образовательный
– Численность студентов государственных (муниципальных) высших учебных заведений (т.чел.)
Научный
– Внутренние затраты на исследования и разработки (т. р.)
– Объем научных исследований и разработок (т. р.)
– Численность персонала занятого исследованиями и разработками (чел.)
Пробные расчеты позволили выделить четыре основных группы регионов.
– В первой группе регионов следует отнести такие как: Москва, Санкт-Петербург, Московская и Свердловская области, которые намного опережают все остальные регионы России, тоесть обладают большим инновационным потенциалом практически по всем показателям.
– Во вторую группуиз приграничных регионов входят Тюменская, Челябинская, Ростовская, Новосибирская, Омская, Волгоградская, Воронежская, Ленинградская и Саратовская области, Краснодарский и Приморский края, обладающие достаточно высоким инновационным потенциалом.
– В третьей оказались Оренбургская, Белгородская, Мурманская, Курская и Калининградская области, Хабаровский и Алтайский края и Республика Дагестан.
– В четвертую группус низким инновационным потенциалом вошла почти половинаприграничных регионов – Смоленская, Брянская, Астраханская, Амурская, Курганская и Псковскаяобласти, Забайкальский край, республики Бурятия, Карелия, Чечня, Кабардино-Балкария, Алания, Караваево-Черкессия, Тыва, Алтай и Ингушетия.
Карелия в рейтинге «Эксперт РА» (данный рейтинг включает показатели, характеризующие ипотенциал, и активность) в 2008 г. находилась на 66 месте.
В регионах, являющихся генераторами инноваций, сосредоточена большая часть инновационного потенциала страны. По многим показателям инновационной деятельности суммарная доляМосквы, Санкт-Петербурга и Московской области превышает 50%, а по количеству предприятий синостранными инвестициями в сфере науки даже 80%. Доля этих трех регионов в ВВП страны значительно меньше и составляет примерно 28%.
Большинство российских регионов относится к пассивным зонам с невысоким и низким инновационным потенциалом. Предпринимательство в пассивных зонах слабо развито, его уровень примернов 2-3 раза ниже. Количество малых научных и инновационных предприятий незначительно, новые технологии во многих регионах не создаются, но в отдельных активно используются новые технологии, созданные в других регионах и странах. Инновационный потенциал невелик – университеты слабы какнаучные центры, мало новых идей и молодых ученых, ограничены финансовые возможности региональных властей и крупного бизнеса, отсутствует или существует формально инновационная инфраструктура, структура науки не соответствует структуре экономики, незначительна доля предприятийпятого и шестого технологических укладов. За 15 лет работы ученых без финансирования со стороныбизнеса научный сектор деградировал, во многих регионах количество ученых менее 1000 человек, причем значительная часть их занимается фундаментальными исследованиями. А наиболее успешные научные организации сейчас уже частично встроены в технологические цепочки развитых стран и Китая.
Поэтому строящиеся региональные инновационные системы должны различаться в зависимости от экономического и инновационного потенциала регионов.
Показатели, наиболее широко применяемые на практике, характеризующие и оценивающие инновационный потенциал региона, можно разбить на следующие группы: затратные; по времени; по обновляемости; структурные.
Затратные показатели:
- затраты на НИОКР в объеме продаж, которые характеризуют показатель наукоемкости продукции фирмы;
- затраты на приобретение лицензий, патентов, ноу-хау;
- затраты на приобретение инновационных фирм;
- наличие фондов на развитие инициативных разработок.
Показатели обновляемости и динамики инновационного процесса:
- количество разработок или внедрений нововведений-продуктов и нововведений-процессов;
Структурные показатели:
- состав и количество исследовательских, разрабатывающих и других научно-технических структурных подразделений (включая экспериментальные и испытательные комплексы);
- состав и количество предприятий, занятых использованием новой технологии и созданием новой продукции;
- численность и структура сотрудников, занятых НИОКР;
- состав и число творческих инициативных временных бригад, групп [8].
Комплексная оценка инновационного потенциала региона предполагает, во-первых, существование обоснованной и научно выверенной системы показателей. Во-вторых, наличие статистической базы. В-третьих, показатели составляющих регионов могут быть использованы для оценки совокупного потенциала страны.
Формирование и развитие инновационного потенциала России предполагает учет и анализ специфики инновационного развития отдельных регионов. В условиях становления принципиально новых федеративных отношений целесообразно в каждом регионе, учитывая его специфические условия развития, исходя из наличия ресурсов, кадров, инфраструктуры, разработать свою инновационную среду. Совокупность региональных инновационных систем, объединенных единой целью (устойчивое развитие страны) и действующих в рамках государственной экономической политики и законодательства, будет формировать инновационный потенциал страны в целом.[9]
3. Наращивание инновационного потенциала ДВ
3.1 Проблемы развития инновационного потенциала ДВ
В настоящее время важной становится проблема повышения эффективности инновационного потенциала региональной экономики и на этой основе перехода к качественно новому типу экономического роста, называемому инновационным. От степени освоения производительности инновационных стандартов рыночной деятельности напрямую зависит успех модернизации экономики.
Среди существующих методов оценки инновационного потенциала субъектов РФ следует выделить результаты первого этапа НИР «Анализ перспектив технологического развития регионов России в рамках проведения научно – технологического форсайта РФ», выполненной по заказу Межведомственного аналитического центра (МАЦ). Данный проект реализовывался в рамках Федеральной целевой научно-технической программы «Исследования и разработки по приоритетным направлениям развития научно – технологического комплекса России на 2007-2012 гг.» [9].
Подготовка специалистов в сфере управления инновационными и инвестиционными проектами актуальна сегодня как никогда. Как неоднократно подчеркивал Премьер-министр России Владимир Путин, в том числе еще на посту Президента РФ, необходимо обеспечивать инновационное развитие экономики страны. «Надо сделать все, чтобы и сегодня, и в будущем экономический рост приводил к видимым изменениям в жизни людей… Для этого надо создавать условия для опережающего, инновационного развития России», – заявил Владимир Путин в одном своем выступлении.
Несмотря на последовательные и убедительные призывы руководства страны к переходу на инновационный курс развития, Россия продолжает далеко отставать от развитых стран, более того этот разрыв увеличивается. По данным Всемирного банка по суммарному показателю конкурентоспособности экономики (380 показателей, включая уровень развития НИОКР) Россия занимала в 1994 году место в четвертой десятке из 180 стран мира. За десять с небольшим лет наша страна переместилась во вторую сотню. В СССР в 1991 году было подано 190 тысяч заявок на изобретения. В настоящее время эта цифра сократилась до 22 тысяч. По данным Центра исследований и статистики науки (ЦИСН) только 5-6 % российских промышленных предприятий ведут разработку и внедрение технологических инноваций. В конце 80-х годов таких предприятий было 60-70 %. Инновационная продукция в России сегодня не набирает и 1 %, этот же показатель в Финляндии – более 30 %, в Италии, Португалии, Испании – от 10 % до 20 %. Доля России в мировом объеме торговли гражданской наукоемкой продукцией уже в течение ряда лет не превышает 0,3 - 0,5 %. Для сравнения: доля США – 36 %, Японии – 30 %, Германии – 17 %, Китая – 6 % [1]. Продолжает устаревать производственная база ключевых отраслей, износ основных фондов порой превышает 70 %.
Наиболее прибыльные, по идее, высокотехнологичные сегменты национального хозяйства представляют собой по большей части рудименты советской эпохи. Не решены самые очевидные проблемы – от модернизации отечественной энергосистемы до создания приемлемой модели гражданского лайнера для рынка авиаперевозок. Катастрофическая ситуация складывается в ВПК, отставание по разработке современных видов вооружений увеличивается, а то что разработано не всегда поступает в первую очередь в свою армию. Велико отставание и в других, критически важных с точки зрения НТР областях – информационных технологиях, биотехнологиях, производстве новых материалов и др.
Нынешняя ситуация в отечественной науке создает угрозу национальной безопасности России. У ведущих стран Запада расходы на НИОКР составляют 2-3 % ВВП, в том числе у США – 2,7 %, а у таких стран, как Япония, Швеция, Израиль, достигает 3,5-4,5 % ВВП. У России этот показатель составляет примерно 1 % ВВП [2]. В последние годы заметно понизился потенциал прикладной науки, развитие которой и определяет новые источники развития экономики. Уменьшилось влияние науки на общество в целом и на образование в частности. Тиражи научно-популярных изданий снизились в сотни раз. В большой степени растрачен кадровый потенциал, возник острый дефицит молодежи в науке.
Наука оказалась не востребована. Общество не использует её результатов, не понимает её смысла и значения. В сложном положении оказалась Российская академия наук, не имеющая стратегических ориентиров, берущаяся за несвойственные ей функции (инновационная деятельность и коммерциализация фундаментальной науки в отрыве от науки прикладной и опытно-конструкторских разработок). Сегодня бюджет одного хорошего западного университета равен бюджету всей РАН [3]. Правительственные прогнозы социально-экономического развития страны не дают оснований для оптимизма. Численность занятых в научном секторе планируется к сокращению с 788,5 тыс. чел. (2007 год) до 754,1 тыс. чел. в 2010 году [4]. Продолжение деградации научного потенциала страны привело к тому, что Россия остается единственной крупной страной в мире с сокращающейся численностью ученых.
Сложившаяся ситуация – это результат применения в России неолиберальных экономических концепций, согласно которым любое государственное вмешательство в экономику ведет к негативным последствиям. Такая вера в «невидимую руку рынка» затронула и государственную политику в научной сфере. Фактически научной политики в России нет.
Состояние системы образования явно не соответствует требованиям перевода страны на инновационный курс развития. В системе школьного образовании навязывание ЕГЭ может привести к падению креативного потенциала страны. По оценке президента РФ Д.А. Медведева: «За последние годы у нас полностью разрушена система начального и среднего технического образования» [5]. Не лучше обстоят дела и в сфере подготовки специалистов с высшим образованием. Качество подготовки в большинстве ВУЗов России не соответствует требованиям инновационной экономики. В последнее время наметились определенные позитивные сдвиги в области образования. Безусловно, компьютеризация школ, создание исследовательских и национальных университетов, увеличение финансирования высшего образования, повышение ставок учителям, внимание к дошкольным учреждениям и т.д. плодотворно скажутся на всей системе образования. Однако в этих шагах не просматривается системный подход к обеспечению инновационного пути развития страны.
Таким образом, наблюдается очевидный регресс, а не инновационное развитие России. Фактически осуществлена деиндустриализация страны! Все более многочисленными и тяжелыми становятся техногенные катастрофы. Национальная инновационная система (НИС) существует только на бумагах чиновников. В 2008 году впервые за все постсоветские годы государство решилось взять стратегическую инициативу российского развития в свои руки [6].
Вплоть до последнего времени эта инициатива находилась в руках международных финансовых организаций, экспортеров сырья, транснациональных корпораций, естественных и неестественных монополий, а также организованной преступности. Каждый из этих субъектов навязывал стране свою стратегию, а их комбинация породила порочные круги ловушек, в которых оказалась стремительно деградирующая российская экономика. Развитие последних лет шло по инерции этих стратегий, а относительно благополучные макроэкономические показатели достигались не столько благодаря, сколько вопреки политике государства, которая до позапрошлого года характеризовалась безыдейностью и безынициативностью, следовала псевдолиберальным рецептам международных финансовых организаций [7].
Однако, разработанная Министерством экономического развития (МЭР) Концепция долгосрочного развития Страны до 2020 года также не дает оснований для оптимизма [8].
Во-первых, в этой Концепции отсутствует обстоятельный ответ на важнейший вопрос: «Кто будет субъектом инновационного развития?», в том числе вопрос о роли госаппарата в осуществлении инновационного развития страны. Нет ответа на вопрос о том, каким образом преодолеть кадровые проблемы госаппарата. Остается повисшей в пустоте оценка госаппарата В.В.Путиным в феврале 2008 г. – «сегодняшний госаппарат является в значительной степени забюрократизированной, коррумпированной системой, не мотивированной на позитивные изменения, а тем более на динамичное развитие».
Во-вторых, откладывается на конец прогнозного периода макроэкономический эффект инновационного развития; это означает, что правительство исходит не из прорыва на инновационный путь развития, а из преобладания инерционной составляющей. Между тем повышать расходы на НИОКР до уровня развитых стран нужно именно сейчас – пока еще сохраняется возможность реанимации значительной части научно-технического потенциала страны.
В-третьих, как это ни парадоксально, в ближайшие три года планируется сохранить двукратное по сравнению с общемировыми стандартами, недофинансирование уровня расходов на образование, науку и здравоохранение, в которых именно сейчас критически важно провести модернизацию и кардинально поднять зарплату. Откладывание этих мер еще на несколько лет приведет к углублению необратимых тенденций деградации отечественной науки и образования и тем самым сделает реализацию инновационного сценария в принципе невозможной. Разрыв между уходящим и подрастающим поколениями ученых и педагогов как по количеству, так и по качеству кадров через три года может стать непреодолимым.
В-четвертых, правительство продолжает идти на поводу монополистов в энергетике, планируя дальнейший опережающий рост тарифов на газ и электроэнергию.
В-пятых, в Концепции не планируется устранение налоговых барьеров, мешающих переходу на инновационный путь развития.
Можно привести и еще целый ряд аргументов того, что в этой Концепции явно просматривается доминирующая роль сторонников инерционного и энерго-сырьевого сценариев при пассивной роли сторонников инновационного сценария, поддержка которого ограничивается призывами и лозунгами, в то время как налицо поддержка инерционного и энерго-сырьевого сценариев конкретными решениями, тормозящими переход на инновационный путь развития.
Проблемы инновационного развития Дальневосточного федерального округа непосредственно связаны с состоянием его инновационного потенциала, то есть совокупности научно-технических, производственно-технологических, финансовых, кадровых, организационных, информационных и других ресурсов города, которые могут быть использованы для развития инновационной деятельности. Сегодня Дальний Восток обладает развитым (количественно и качественно) промышленно-производственным и технико-внедренческим комплексом оборудования, технологиями и высококвалифицированными кадрами, имеющими навыки работы в сфере высоких технологий, что позволяет на практике осуществлять производство продукции с высокой долей интеллектуальной ренты. Несмотря на позитивные изменения, основными проблемами инновационного развития малых и крупных предприятий является недостаточность финансовых средств, высокая арендная плата и нехватка высококвалифицированного персонала, способного освоить и продуктивно работать на современном оборудовании. В настоящее время в развитии Дальнего Востока наблюдается разобщенность производственной и научной сфер, снижается востребованность разработок ученых на предприятиях областей. Опрос экспертов показал, что только около 10 % инновационно-активных предприятий используют разработки местных НИИ и вузов. Главной причиной этого является неразвитость инфраструктуры инновационной деятельности, слабая взаимная информированность о возможностях и потребностях в инновационных разработках, недостаточное финансирование инновационной деятельности.
Между тем, специфика инновационного потенциала предполагает полную самоотдачу исследователя, изобретателя, конструктора без отвлечения на такую второстепенную, по его мнению, деятельность как управление инновациями. В результате большое количество разработок реализуется в виде товарной продукции либо очень поздно, либо не реализуется вообще. Для разрешения этой ситуации требуется большое количество инновационных менеджеров. В настоящее время в некоторых ВУЗах ведется подготовка специалистов по направлению «Управление инновациями». Но это не исчерпывает в полной мере проблему. Более рационально осуществлять подготовку инновационных менеджеров из кадров, уже имеющих техническое образование и опыт практической инновационной деятельности.
Финансовая составляющая инновационного потенциала Дальнего Востока представлена сетью коммерческих банков, лизинговыми компаниями, Государственным фондом поддержки малого предпринимательства.
Несмотря на рост основных финансово-экономических показателей банков, потребности экономики региона в их услугах пока удовлетворяются не в полной мере. Это обусловлено как рядом проблем и недостатков в деятельности самих банков (качество систем управления и внутреннего контроля, капитала, учета и отчетности), так и внешними условиями развития банковского сектора, прежде всего сохраняющимся высоким уровнем рисков банковской деятельности. Наиболее существенным недостатком деятельности организаций является отсутствие единой и достаточно полной базы инновационно-активных предприятий, а также банка данных об инновационных разработках и проектах. На развитие инновационной сферы негативным образом влияет отсутствие системы координации взаимодействий между всеми элементами инновационного потенциала Дальневосточного региона.
В целом, несмотря на ряд положительных тенденций в инновационной деятельности Дальнего Востока, препятствиями развития его инновационного потенциала являются:
- разобщенность науки и производства;
- отсутствие на большинстве промышленных предприятий системной работы по непрерывному освоению новых, современных образцов продукции и технологий;
- дефицит производственной базы для создания опытных образцов продукции, недостаточность инновационных площадок, на которых предприятия могли бы продемонстрировать свои изобретения потенциальным покупателям;
- низкий уровень поддержки инновационно-активных малых предприятий;
- отсутствие высококвалифицированных менеджеров, способных работать в сфере инноваций;
- недостаток финансирования инновационной деятельности, средств на развитие научно-инновационной деятельности, обновление ее материально-технической базы;
- слабая информационная поддержка инновационной деятельности;
- отсутствие комплекса инновационной инфраструктуры, элементы которой находятся только на этапе становления.
Считается целесообразным: создание инновационных кластеров с целью концентрации инновационных производств в одном месте; поддержка проектов, которые при формальном анкетировании имеют показатели по капитализации проектов ниже требуемых в органах власти, так как задержка с их внедрением усугубляет ситуацию; устранение излишнего бюрократизма и пробелов в законодательстве. Нестабильная экономическая ситуация отпугивает инвесторов из-за повышенных рисков. Неготовность потенциальных инвесторов к нововведениям, объясняемая «боязнью нового» и недальновидностью в оценке возможностей, предоставляемых инновациями. Отсутствует единый механизм коммерциализации изобретений, объединяющий изобретателей, заказчиков и инвесторов.
Одними из наиболее острых проблем, на наш взгляд, являются следующие:
Во-первых, проблема заключается в непонимании многими работодателями сути инновационной деятельности. Это особый вид деятельности, освоить которую невозможно, не имея практического опыта и определенного набора компетенций. Инновационный или инвестиционный менеджер – это всегда своего рода "бунтарь" – сотрудник, который постоянно пытается убедить руководство в том, что вместо экстенсивного развития необходимо вкладывать средства предприятия в высокорисковые, но вместе с тем потенциально высокодоходные проекты. К счастью, необходимое понимание приходит, и возрастает процент слушателей, направляемых на обучение в рамках корпоративного заказа.
Если же говорить о проблемах непосредственно программ подготовки – то здесь можно отметить отсутствие единых требований к выпускникам подобных программ. Программу можно назвать сколь угодно "красиво", однако это не гарантирует вам, как заказчику, что уровень подготовки выпускника будет соответствовать вашим ожиданиям. Есть надежда, что с появлением Российской ассоциации инновационного развития ситуация изменится. Ведь одной из задач Ассоциации является как раз выработка стандартов подготовки специалистов инновационной сферы. Безусловно, ориентироваться на западный опыт необходимо, "у них" несколько десятилетий назад складывалась аналогичная ситуация, был всплеск интереса к инновационной сфере. Сегодня необходимо ориентироваться на международное сотрудничество, уделять внимание вопросам глобализации и так далее.
Обсуждая подготовку кадров, важно упомянуть такое понятие, как образовательные результаты подготовки. Часто упоминается термин "пакет знаний", однако мы давно не оперируем таким понятием. Сейчас принято говорить о "компетенциях", т.е. не только о знаниях, но также и об умениях и, что самое важное, о навыках. Если говорить о развитии инновационной сферы в целом, тут есть некоторая российская специфика, которая отличает нас от традиционных западных подходов. В первую очередь стоит обратить внимание на инвестиционные ожидания инвестора "там" и у нас. По западным меркам, если норма рентабельности проекта исчисляется десятками процентов годовых – это доходный проект и в него можно и нужно вкладываться. По современным российским меркам – это проект "на грани рентабельности", а по-настоящему интересны проекты, способные генерировать сотни, если не тысячи процентов. Это отлично характеризует "положение дел". В связи с этим, крайне актуально для программ подготовки ориентироваться именно на российский опыт, на российскую специфику.
Во-вторых, проблемой является отсутствие инвестиций в инновационные проекты. Общепризнанно, что для подъёма уровня производства требуются инвесторы, возможно, зарубежные или представители среднего класса, настроенные именно производить товары, а не заниматься финансовой или иной спекуляцией. В общем случае инвесторы, осуществляя своё желание заниматься созидательной деятельностью, привлекают денежные средства, организационный опыт, технологии и знания, позволяющие эффективно реализовывать задуманное.
На сегодняшний день ставка делается на иностранных инвесторов и крупный бизнес, но отечественные бизнесмены привыкли к быстрой отдаче от вложенных капиталов и к хорошей, заметно выше нормальной для зарубежных рынков, норме прибыли, поэтому заинтересованность подавляющего большинства бизнесменов во вложениях в местное производство сомнительна, что регулярно и подтверждается. С их точки зрения такого рода вложения выполняют скорее социальную, нежели коммерческую функцию, поэтому и отношение к ним соответствующее, без интереса.
Можно, конечно, понадеяться на представителей современного зарубежного бизнеса, заинтересованного в долгосрочных вложениях и умеющего выстраивать высокотехнологичные и эффективные производительные структуры. Логично предположить, что вместе с инвесторами-производственниками в страну поступят и сопутствующие капиталы, очевидно, в иностранной валюте. Вряд ли есть смысл сейчас обсуждать, где можно взять не спекулятивно настроенных бизнесменов, готовых вложить свои капиталы в российскую экономику – причины, по которым такие инвесторы не хотят работать на нашем рынке, в основном понятны и в рамках современного состояния общества практически не разрешимы.
3.2 Механизмы государственного наращивания инновационного потенциала
Новые технологии, разработанные в ходе реализации государственных программ НИОКР, являются национальным достоянием, способным улучшить не только конкурентный и научно-технический уровни продукции гражданского назначения, но и общую ситуацию на потребительском рынке. Эти технологии являются вкладом не только в процессные, но и в продуктные инновации. Для повышения эффективности использования имеющихся передовых исследований и разработок необходимо решить ряд организационных задач в деле наведения должного порядка в учете и оформлении научно-технических достижений, восполнить имеющиеся пробелы в законодательстве, расширить возможности передачи закрытых разработок в гражданскую сферу. Для этого необходимо провести их полную инвентаризацию, правильное юридическое оформление и закрепление прав интеллектуальной собственности и регистрацию, чтобы документация для распространения нововведений имела законченный товарный вид.
Чтобы обеспечить преемственность в технологическом развитии, нужно применять такие меры прямой и косвенной государственной поддержки высокотехнологичных производств, которые позволяют в большей степени использовать внутренние способности самоорганизации этих производств в условиях, предоставляемых им возможностями экономической самостоятельности, свободы целесообразного выбора форм корпоративного построения и консолидации своих сил в борьбе за рынки.
Поддержка и раскрытие возможностей предприятий, направленных на усиление стимулирования их инновационной деятельности, могут осуществляться различно. К мерам укрепления ресурсной (в первую очередь финансовой, организационной, нормативно-правовой) базы предприятий для развития можно отнести следующие.
Льготное налогообложение и кредитование:
- исключение из налогооблагаемой базы, полностью или частично, той части полученного дохода, которая идет на инвестиции в собственное технологическое развитие, то есть на новые разработки и техническое перевооружение;
- предоставление инвесторам (в первую очередь покупателям, потребителям, но не производителям) наукоемких продукции и услуг целевых инвестиционных налоговых кредитов, в том числе и синдицированных, на условиях их возврата из дохода, полученного от использования указанных продукции и услуг;
- перечисление части доходов, получаемых от использования продукции высокотехнологичных производств, не в общий котел доходной части федерального бюджета, а на специальные счета развития этих производств;
- освобождение (полностью, частично, на время) высокотехнологичных производств от уплаты налогов в федеральный или местный бюджет в случае, если эта мера противодействует спаду производства, способствует сохранению и созданию новых рабочих мест;
- установление для высокотехнологичных производств, обладающих крупной научно-экспериментальной базой в общей структуре основных производственных фондов, такого порядка налогообложения основных фондов, землепользования, который позволял бы им направлять дополнительные финансовые ресурсы в инвестиции в основной капитал, поддерживая тем самым конкурентоспособность своей продукции на внутреннем и внешнем рынках.
Бюджетное дотирование:
- предоставление целевых бюджетных дотаций предприятиям, осуществляющим перспективные разработки и производство наукоемкой продукции для народнохозяйственных, государственных нужд.
Таможенное регулирование (таможенные преференции):
- таможенная защита внутреннего рынка для тех отечественных товаропроизводителей, которые способны на качественно новой основе заполнить внутренний рынок сложной продукции российскими образцами (в первую очередь это касается электроники, иной бытовой и оргтехники);
- снижение или освобождение от таможенных пошлин ввозимого высокотехнологического оборудования, не производимого в стране.
Эффективная амортизационная политика:
- использование нелинейной (прогрессирующей) шкалы амортизационных списаний, при которой большая часть стоимости приобретенных основных средств списывается в начальный период их эксплуатации (но не позднее срока выполнения проекта (задания) или срока морального износа);
- отнесение ускоренных амортизационных списаний на финансовые результаты деятельности предприятий с соответствующим уменьшением налогооблагаемой прибыли;
- усиление контроля и ужесточение санкций за нецелевое использование амортизационных средств.
Совершенствование системы ценообразования:
- установление и применение правил полной капитализации затрат на НИОКР, включая затраты на приобретение лицензий, патентов, для поставок продукции вне рамок государственного заказа.
Законодательная защита отечественных товаропроизводителей и их прав интеллектуальной собственности, государственный протекционизм:
- поддержка различных форм производственно-финансовой интеграции российских товаропроизводителей и зарубежных корпораций, оказание протекционистской поддержки продвижению российской продукции на мировом рынке.
Нормативно-правовое регулирование и администрирование:
- разрешение высокотехнологичным производствам, находящимся в государственной собственности, реализовывать в установленном порядке излишние ликвидные запасы технологического оборудования и площадей в целях собственного развития;
- предоставление отсрочек по уплате налогов в случае задержки оплаты выполненного государственного заказа;
- создание на коммерческой основе государственной сети (с правом последующей приватизации) инновационно-внедренческих и информационных центров для передачи и распространения разработок в области новых технологий в других отраслях экономики;
- вытеснение устаревших технологий с помощью установления государством или регионами нормативных сроков их использования, исходя из целей ресурсосбережения, охраны окружающей среды;
- изменение действующего порядка процедуры банкротства и прекращение процедуры банкротства в отношении высокотехнологичных предприятий и производств, прежде всего работающих в интересах обороны, поскольку это разрушает сложившуюся технологическую кооперацию;
- установление порядка, гарантирующего предприятиям, обладающим наиболее важными, так называемыми критическими и ключевыми технологиями, долю прибыли от эксплуатации и использования своей продукции, выпущенной по государственному заказу, высоко прибыльными коммерческими организациями (например, операторами систем связи, навигации);
- формирование и стимулирование платежеспособного спроса на товары и услуги, как основы восстановления финансового, кадрового и научно-производственного потенциала высокотехнологичных производств;
- предоставление негосударственным предприятиям прав на результаты исследований и разработок, полученных по финансируемым государством программам НИОКР или фундаментальных и поисковых исследований;
- расширение области использования новых для нашей экономики финансовых технологий, таких, как лизинг, венчурное финансирование, страхование рисков.
Патентно-лицензионная деятельность в целях распространения нововведений:
- передача лицензий на новые разработки в долг на условиях возмещения затрат из будущей прибыли предприятия – получателя ноу-хау или на других взаимносогласованных условиях;
- создание совместных акционерных предприятий, предусматривающее участие во владении ими поставщика лицензии на технологию (что облегчает доступ к местным и внешним рынкам);
- развитие сети организаций технологического лицензирования (для передачи результатов исследований и разработок в сферы практического применения);
- требование в заданиях на новые исследования и разработки по оборонной тематике об указании двойного (гражданского) применения полученных результатов, а также о будущей утилизации или второй жизни продукции, полученной с помощью этих результатов.
Участие в проектах, результаты которых имеют двойное применение:
- селекция оборонно-ориентированных исследований и разработок, имеющих двойное применение, и доработка (переработка) технической документации для повторного многоцелевого и широкомасштабного использования полученных результатов в гражданской сфере;
- создание системы распространения научно-технических и технологических новшеств, стимулирование передачи более совершенных технологий двойного применения из оборонной промышленности в гражданское производство.
Адаптация инновационных проектов к региональным условиям:
- стимулирование закрепления высококвалифицированных кадров, их переподготовка, обучение и привлечение молодых специалистов для работы по новым технологиям.
Страхование рисков:
- включение в стоимость инновационного проекта страховых взносов как платы за риски при его реализации.
Стимулирование инновационной деятельности должно осуществляться на всех этапах жизненного цикла разработки и производства наукоемкой продукции, включая фундаментальные исследования, и распространяться на инвесторов.
Перечисленный набор средств поддержки передовых производств, искусством применения которого в различных сочетаниях нужно учиться, необходимо подкрепить государственными мерами поддержки экономики на макроуровне (оздоровление финансовой системы и приведение банковской ставки процента за кредит к приемлемому для долгосрочных инвестиций уровню, проведение реформы налоговой системы в интересах отечественных товаропроизводителей, приближение валютного курса рубля к его реальной покупательной способности, оптимизация тарифного регулирования).
Таким образом, система стимулирования инновационной деятельности в современных условиях должна обеспечиваться комплексом мер, включающих адресную поддержку приоритетных направлений инновационной деятельности; создание благоприятного экономического климата, стимулирующего заинтересованность во внедрении научно-технических достижений и приток инвестиций в основной капитал; законодательную охрану прав интеллектуальной собственности.
Для ЕАО отдельно можно предложить следующие механизмы для наращивания инновационного потенциала:
- создание технопарка, основной целью которого является формирование необходимых условий для инновационного развития экономики региона и эффективное использование научно-технического потенциала, материальных и финансовых ресурсов, направляемых на создание наукоемких, ресурсосберегающих технологий и принципиально новых для области видов продукции;
- создание условий для повышения инновационной активности предпринимателей;
- развитие науки и ее ориентация на решение задач инновационного развития ЕАО;
- поддержка прорывных направлений технологического развития;
- создание новых продуктов и технологий;
- интенсивные инвестиции в человеческие ресурсы в науке и технологиях;
- увеличение конкурентоспособности предприятий на стадии проектирования готовых продуктов.
Заключение
Несмотря на возрастание интереса к проблеме инновационного процесса, усиливающееся внимание к инновационному потенциалу в настоящее время, многие методологические, методические и практические вопросы данной проблемы недостаточно затронуты и остаются неразработанными. В настоящее время наименее изучены вопросы формирования инновационного потенциала, определения составляющих инновационного потенциала и оценки его уровня.
К недостаточно изученным вопросам следует отнести: оценку уровня научного потенциала в разрезе регионов, отраслей и предприятий (организаций), влияния результатов использования инновационного потенциала на эффективность экономики региона. Неизученными остаются вопросы оценки уровня инновационного потенциала с учетом всех его составляющих, восприимчивости к инновациям.
Инновационная деятельность – деятельность, направленная на коммерциализацию накопленных знаний, технологий и оборудования. Результатом инновационной деятельности являются новые или дополнительные товары (услуги) или товары (услуги) с новыми качествами. Накопленный человечеством в течение веков научный потенциал достиг такого уровня, при котором стало возможным воплощать в реальность многие идеи, зарождающиеся в умах, что ещё совсем недавно нельзя было представить. Посредником между научно-техническим прогрессом и потребителем является инновационная деятельность. Без инновационной деятельности, все новые разработки и технологии останутся на чертежах и в макетах и никогда не получат своего потребителя. Инновационная деятельность тесно связана с деятельностью инвестиционной, так как внедрение новых технологий и техники требует финансовых ресурсов.
В работе были рассмотрены проблемы развития инновационного потенциала России и Дальнего Востока. Состояние развития инновационного потенциала в общем по России находится на среднем уровне и требует дальнейшего развития, на Дальнем Востоке (ЕАО) ситуация складывается плачевно. Очень мало предприятий, использующих нововведения обновления продукции.
Были предложены меры государственного регулирования наращивания инновационного потенциала. Отдельно для ЕАО были предложены меры для наращивания инноваций.
Низкий уровень конкурентоспособности регионов России говорит о том, что пора государству менять политику и начинать привлекать молодежь в процесс становления инноваций в России.
Список литературы
1.Атоян В.Р., Жиц Г.И. Инновационный комплекс региона: проблемы становления и развития. – Саратов: Сарат. гос. техн. ун-т, 2006. – 195 с.
2.Бекетов Н.В Современные тенденции развития науки и инновационной деятельности / Проблемы современной экономики. – 2007. – № 3 (15). – file://localhost/D:/Job/2007/Statistic/1/art.htm
3.Владимир Захаров. Что и как нужно спасать в российской науке // Независимая газета. – 13.01.2010.
4.Голиченко О.Г. Национальная инновационная система России: состояние и пути развития. – М.: Наука, 2006.
5.Государственный Комитет Статистики Российской Федерации. – http://www.gks.ru/bgd/regl/b07_14p/Main.htm
6.Гуриева Л.К. Концептуальные основы инновационной стратегии регионального развития // Наука и инновационные технологии для регионального развития: сб. статей всерос. науч.-практ. конф. (июнь 2003 г.). – Пенза, 2003. – С. 21-23.
7.Данько, М. Инновационный потенциал в промышленности / М. Данько // Экономист.1999. – № 10.
8.Дуненкова Е.Н. Особенности инновационного развития региона на основе кластерного подхода // Актуальные проблемы управления: материалы междунар. науч.-практ. конф. (Москва, 12—13 нояб. 2003 г.). – М., 2003.
9.Инвестиции в России: тенденции, проблемы, пути решения с учетом зарубежной практики. – М.: ИМЭМО РАН, 2000.
10.Инновационный путь развития для новой России / Отв. ред. В.П. Горегляд, ред. Д.С. Львов / Оценка социально-экономической эффективности научно-технического прогресса на разных уровнях управления экономикой. – М.: ЦЭМИ АН, 1980.
11.Кравченко, С.И. Исследование сущности инновационного потенциала / С.И. Кравченко, И.С. Кладченко // Научные труды Донецкого национального технического университета. Серия экономическая. –Донецк : ДонНТУ, 2003. – Вып. 68. C.88-96.
12.Максимов Ю., Митяков С., Митякова О., Федосеева Т. Инновационное развитие экономической системы: оценка инновационного потенциала // Инновации. – 2006. – № 6 (91).
13.Моисеев С.В. Государственное регулирование инновационной деятельности в России / С.В. Моисеев. – М.: Соврем.экономика и право, 2005. – 156 с.
14.Национальные инновационные системы в России и ЕС. – М.: ЦИПРАН РАН, 2006. – С. 170.
15.Новохатский В.В. Инновационное развитие Дальнего Востока России: теория и практика: монография. – Хабаровск: РИЦ ХГАЭП, 2006. – 176 с.
16.Осауленко А.И. Инновационно-технологические центры как основа инновационно-технологической политики региона // Состояние и пути развития экономики регионов России в 21-м столетии: материалы науч.практ. конф. (26-27 мая 2003 г.). – Тамбов, 2003. – Ч. 2. – С. 70—77.
17.Основные направления политики Российской Федерации в области развития инновационной системы на период до 2010 года. Утверждены Правительством Российской Федерации 05.08.2005 № 2473п-П7.
18.Румянцев А. Возможности инновационного развития в регионе // Экономист. – 2004. – № 1. – С. 34-39.
19.Состояние инновационной, научно-производственной деятельности, изобретательской активности, патентно-информационной обеспеченности в регионах Российской Федерации // Аналитические материалы Федерального института промышленной собственности, 2003.
20.Теория и практика институциональных преобразований в России /Под ред. д.э.н., проф. Б.А. Ернзкяна. – Выпуск № 7. – М.: ЦЭМИ РАН, 2006.
21.Тренев Н.Н: Основные проблемы инновационного развития в России и подходы к их решению // Финансы и кредит. – 2005. – № 33.
22.Угланова Л.И. Роль инновационной составляющей в стратегическом управлении социально-экономическим развитием региона // Инновационные процессы в области образования, науки и производства: материалы межрегион. науч.-практ. конф. (Нижнекамск, 14-16 апр. 2004 г.). – Казань, 2004. – Т. 2. – 266 с.
23.Управление инновационной деятельностью на основе информационных технологий /О.А. Горленко, В.В. Мирошников, В.И. Галкин, И.В. Федоров, А.В. Шевелев. – М.: Машиностроение-1, 2007. – 155 с.
24.Фатхутдинов Р.А. Инновационных менеджмент (Innovatorymanagement): учебник для студентов вузов по специальности и направлению «Менеджмент». – М.: Бизнес-школа «Интел-Синтез», 1998.
25.Шевченко И.В., Александрова Е.Н. Оценка инновационного потенциала национальной экономики // Финансы и кредит. – 2005. – № 33.
26.Шершнев А.А. Механизм формирования региональной инновационно-инвестиционной деятельности: автореф. дис. канд. экон. наук. – Н. Новгород, 2004. – 29 с.
27.Яковец Ю. Инновационность инвестиций: новый объект экспертизы // Инновации. – 2005. – № 7.
28.Яковец Ю. Стратегия научно-инновационного прорыва // Экономист. – 2004. – № 5. – С. 3-11.
29.http://stra.teg.ru/lenta/innovation/1362
30.http://www.sci-innov.ru/law/base/586/
Похожие рефераты:
Резервы повышения эффективности инновационной деятельности промышленных предприятий
Создание инвестиционной инфраструктуры в регионе
Финансирование инновационной деятельности ОАО "НКНХ"
Инновационная политика промышленного предприятия
Управление рисками инвестиционных проектов в пищевой промышленности
Современные методы оценки инновационного потенциала научной деятельности университетского комплекса
Особенности инвестиционного климата и инвестиционной привлекательности Ростовской области
Государственная поддержка инвестиционной деятельности
Анализ инвестиционной политики Тульского региона
Государственное регулирование инвестиционных процессов: социальный аспект
Программа развития и поддержки малого предпринимательства в Новгородской области в конце 90-х годов