| Похожие рефераты | Скачать .docx |
Дипломная работа: Проектирование подстанции 110/6 кВ с решением задачи координации изоляции
Содержание
Аннотация
Введение
1. Электрическая схема подстанции
1.1 Цели, задачи и стадии проектирования
1.2 Трансформаторная подстанция
1.3 Показатели и критерии надежности
2. Расчет токов короткого замыкания
3. Выбор электрооборудования подстанции
3.1 Устройство и принцип действия воздушного выключателя типа ВВБ-110 кВ
3.2 Устройство и принцип действия элегазового выключателя типа ВГУ-110У1
3.3 Устройство и технические характеристики вакуумного выключателя ВБЭ-10(6) – 31,5(40)
3.4 Краткая характеристика трансформатора тока ТФЗМ
3.5 Краткая характеристика трансформатора напряжения НТМИ 6-10Кв
3.6 Комплектные распределительные устройства
4. Координация изоляции и защита от перенапряжений
4.1 Координация изоляции
4.2 Защита электрооборудования от импульсов грозовых перенапряжений, набегающих с ВЛ
4.3 Сравнение РВ и ОПН
4.4 Замена вентильных разрядников на ОПН
4.5 Электрический расчет проходного изолятора на 110 кВ с бумажно-масляной изоляцией
4.6 Выбор числа изоляторов в поддерживающих гирляндах подходящей ЛЭП 110 кВ
5. Техника и правила безопасности при работе с электрооборудованием
5.1 Безопасность при работах под напряжением на воздушных линиях электропередачи
5.2 Технические мероприятия, обеспечивающие безопасность работ со снятием напряжения
5.3 Эксплуатация устройств защиты ПС от ПУМ
5.4 ТБ при обслуживании разъединителей
5.5 Техника безопасности при эксплуатации ОРУ
Заключение
Литература
Аннотация
Бакалаврской работы студента группы ТВН-1-04 Шакурова Эдуарда Радиковича «Проектирование подстанции 110/6 кВ с решением задачи координации изоляции»
В данной работе:
выбрана главная схема подстанции, схемы распределительных устройств;
был произведен расчет токов короткого замыкания;
выбрано электрооборудование подстанции;
было произведено сравнение вентильных разрядников и ОПН, их замена;
был произведен электрический расчёт ввода на 110 кВ и выбрано число изоляторов в поддерживающих гирляндах подходящей ЛЭП 110 кВ.
Данная работа содержит 8 рисунков и 14 информационных таблиц, прилагаются 4 чертежа формата А1.
Введение
Общая характеристика системы электроснабжения
Подстанцией называется электроустановка, служащая для преобразования и распределения электроэнергии и состоящая из трансформаторов (трансформаторная подстанция) и распределенных устройств напряжением до 1000 В и выше.
Трансформаторные подстанции являются основным звеном системы электроснабжения. В зависимости от положения в энергосистеме, назначения, величины первичного и вторичного напряжений их можно подразделить на районные подстанции, подстанции промышленных предприятий, тяговые подстанции и др.
Районная подстанция выполнена как главная понизительная подстанция (ГПП) с открытым распределительным устройством (ОРУ), предназначенная для приёма электроэнергии напряжением 110 кВ и преобразования её в напряжение районной сети – 6 кВ для питания населенных пунктов. Схема электрических соединений подстанции на стороне 110 кВ выполнена по блочному принципу – “линия 110 кВ – трансформатор – токопровод 10 кВ” с короткозамыкателями, отделителями и разъединителями. Схема электрических соединений подстанции на стороне 6 кВ выполнена с одной секционированной системой шин.
Согласно технико-экономическому обоснованию на ПС установлены два трансформатора 110/6 кВ мощностью 16000кВ А типа ТДН-16000/110 кВ с автоматическим регулированием напряжения под нагрузкой.
На стороне 6 кВ предусмотрена одна секционированная система шин с оборудованием 20 линейных ячеек 6 кВ.
Питание собственных нужд ПС и цепей оперативного тока осуществляется от двух трансформаторов ТМ-100/6.
Защита оборудования ПС от грозовых волн, набегающих с линий, выполняется с помощью ограничителей перенапряжения, присоединяемых к шинам 110 и 6 кВ.
КРУН-6кВ приняты серии К-37.
Наружное освещение ПС предусмотрено светильниками типа СЗЛ-300-1 и прожекторами ПЗС-35, установленных на блоке опорных изоляторов 110 кВ и на прожекторной площадке отдельно стоящего молниеотвода, наружное освещение эксплуатационного участка - светильниками СПО-300.
Для предотвращения ошибочных действий при оперативных переключениях на ПС предусматривается электромагнитная и механическая блокировки элементов РУ 110, 6 кВ.
Защита ПС от ПУМ осуществляется молниеотводом, установленным на линейном портале 110 кВ и отдельно стоящим молниеотводом.
Оперативный ток принят переменный напряжением 220 В.
1. Электрическая схема подстанции
1.1 Цели, задачи и стадии проектирования
Проектирование электрических станций, подстанций, электрических сетей и систем заключается в составлении описаний еще не существующих объектов, предназначенных для производства, передачи и распределения электроэнергии. Эти описания в графической и текстовой форме составляют содержание проекта, т.е. совокупности документов, необходимых для создания нового энергетического оборудования и установок.
Проектирование электроэнергетических систем и их установок содержит три основных этапа:
1) рассмотрение перспектив развития на 15-20 лет вперед;
2) перспективное проектирование на период до 10 лет;
3) уточнение проектов на период до 5 лет.
На первом этапе составляются технико-экономические доклады (ТЭД) о развитии энергетики регионов и страны в целом. Определяются суммарная мощность нагрузки потребителей, мощности теплоэлектроцентралей (ТЭЦ), конденсационных, гидравлических, атомных и гидроаккумулирующих электростанций (КЭС, ГЭС, АЭС и ГАЭС), их размещение, состав энергоблоков, необходимый резерв.
На втором этапе разрабатываются схемы энергообъединений, определяются состав станций в каждой энергосистеме и пропускные способности межсистемных и внутрисистемных линий.
На третьем этапе уточняются и корректируются схемы развития энергетического хозяйства страны и районов, а также ведется конкретное проектирование намеченных на втором этапе и утвержденных на третьем этапе объектов: станций, подстанций, линий электропередачи и сетей. На этом же этапе проверяется техническая выполнимость плановых решений, определяются необходимые капиталовложения или проверяется достаточность намеченных капиталовложений.
Электрические станции и подстанции проектируются как составляющие единой энергетической системы (ЕЭС), объединенной энергосистемы (ОЭС) или районной электроэнергетической системы (ЭЭС).
Основные цели проектирования электрических станций, подстанций, сетей и энергосистем следующие:
1) производство, передача и распределение заданного количества электроэнергии в соответствии с заданным графиком потребления;
2) надежная работа установок и энергосистем в целом;
3) заданное качество электроэнергии;
4) сокращение капитальных затрат на сооружение установок;
5) снижение ежегодных издержек и ущерба при эксплуатации установок энергосистемы.
Первая цель определяется техническим заданием на электроснабжение потребителей определенного народнохозяйственного комплекса или административно-экономического района. Вторая и третья - существующими техническими нормативами. Четвертая и пятая выступают в качестве экономического критерия оптимальности. Оптимальность решения при проектировании означает, что заданный производственный эффект (располагаемая мощность, отпускаемая энергия, уровень надежности и качества) получается при минимальных возможных затратах материальных и трудовых ресурсов.
Алгоритм решения задачи проектирования любой технической системы состоит из ряда проектных процедур и операций.
Техническая система, такая, как электрическая станция или подстанция, имеет, как правило, иерархическую структуру, состоящую из элементов, фрагментов и подсистем. Элемент - это такая часть системы, выбор параметров которого осуществляют посредством простейшей операции. Например, элементами электрической станции являются электрические машины, аппараты, проводники и др.
Совокупность функционально связанных элементов называется фрагментом. Выбор фрагмента осуществляется проектной процедурой, состоящей из ряда операций. Фрагмент характеризуется не только параметрами и числом элементов, но и структурой связей элементов. Фрагментом электрической станции или подстанции является, например, распределительное устройство.
Подсистемой является обособленная часть системы, состоящая из множества фрагментов и имеющая ограниченное число связей с другими подсистемами. Подсистемами в электрической станции можно считать электроустановки собственных нужд, устройства автоматики и управления. Проектирование подсистемы состоит из ряда процедур, каждая из которых дает проектное решение отдельного фрагмента в виде проектного документа.
Совокупность проектных решений фрагментов позволяет установить возможное множество решений для подсистемы и выбрать из них оптимальное по какому-либо критерию. Комплект выбранных решений для всех подсистем дает одно из решений для всего объекта и составляет содержание проекта.
Варьируя критерии выбора оптимальных решений для подсистем и фрагментов, можно сформировать множество возможных вариантов для всей системы. Однако формирование множества и выбор оптимального решения для такой системы, как электрическая станция, возможно только с помощью системы автоматического проектирования. В настоящее время число рассматриваемых вариантов для фрагментов и подсистем ограничивается номенклатурой выпускаемого оборудования и рекомендуемых типовых решений.
Процесс проектирования электрических станций проходит четыре стадии, а именно составление
1) схемы развития отрасли,
2) проекта,
3) рабочего проекта
4) рабочей документации.
Задача создания проекта электрической станции или подстанции как элементов ЭЭС или ОЭС может ставиться и при перспективном и при конкретном проектировании. Проектирование электрических станций ведется в специализированных проектных организациях. Две последние стадии могут быть совмещены, если применяются типовые решения.
Задание на проектирование электрической станции содержится в схеме развития энергосистемы и включает в себя описание типа, местоположения, назначения станции, ее исходных параметров, топлива и источников водоснабжения, режимов работы станции, места в графике нагрузки энергосистемы и местных потребителей, схемы присоединения станции к системе и схемы самой энергосистемы. В задании указываются также плановые сроки проектирования и сооружения и очередность ввода.
Задание на проектирование подстанции энергосистемы и потребительских подстанций включает в себя аналогичную информацию и создается на основе проекта развития энергосистемы, который выполняется институтом «Энергосетьпроект».
Задание на проектирование составляет заказчик проекта (министерство, ведомство, промышленное предприятие и др.) на основании схемы развития энергосистемы и технико-экономического обоснования целесообразности планируемого строительства. Задание согласовывается с проектной организацией и генеральным подрядчиком.
Проект представляет собой совокупность документов, содержащих основные проектные решения станции или подстанции. В состав проекта входят паспорт, технико-экономическое обоснование, смета, документы на технологическую, электрическую, гидротехническую и строительную части.
Рабочий проект и рабочая документация состоят из пояснительной записки с расчетами и рабочих чертежей, по которым производятся строительно-монтажные работы. В рабочем проекте осуществляют корректировку решений в соответствии с замечаниями, полученными при утверждении проекта, уточняют параметры элементов по текущим условиям комплектования оборудования и изготовления на предприятиях. В пояснительной записке указываются важнейшие технико-экономические показатели проектируемой станции (подстанции): общий объем капиталовложений и удельные (на 1 кВт установленной мощности) капиталовложения, удельный (на единицу отпущенной электрической или тепловой энергии) расход условного топлива, годовая выработка энергии, расход энергии на собственные нужды, удельная численность персонала (штатный коэффициент), себестоимость отпущенной энергии, объем важнейших видов строительно-монтажных работ, площадь отчуждаемой территории, сборность строительных конструкций, сроки строительства и ввода очередей, оценка природоохранных свойств объектов станции.
1.2 Трансформаторная подстанция
Трансформаторные подстанции представляют собой электроустановки, предназначенные для преобразования напряжения сетей в целях экономичного распределения энергии в ближайшем районе или дальнейшей ее передачи. Они состоят из следующих частей: одного или нескольких трансформаторов (автотрансформаторов), РУ высшего напряжения, РУ пониженных напряжений (среднего и низшего), вспомогательных устройств. На подстанциях могут быть установлены синхронные компенсаторы, статические конденсаторы и шунтирующие реакторы.
Классификация подстанций затруднительна, поскольку в основу ее могут быть положены различные признаки, а именно: 1) номинальное напряжение сети высшего напряжения, определяющее в.известной мере мощность, занимаемую площадь и стоимость подстанции; 2) число ступеней пониженного напряжения; 3) число трансформаторов (автотрансформаторов) и их единичные мощности; 4) положение подстанции в сети высшего напряжения, определяющее схему РУ этого напряжения; 5) категория потребителей и многие другие.
Главную схему подстанции проектируют на основании разработанной схемы развития электрических сетей системы или схемы развития сетей района. Она должна удовлетворять следующим основным требованиям: а) надежное электроснабжение присоединенных к подстанции потребителей в нормальном и послеаварийном режимах в соответствии с их категориями; б) надежный транзит мощности через РУ высшего напряжения подстанции по межсистемным и магистральным линиям; в) экономически целесообразное значение тока к.з. на стороне среднего и низшего напряжения; г) возможность постепенного расширения подстанции; д) соответствие требованиям противоаварийной автоматики.
Трансформаторы и автотрансформаторы. Выбор между трансформаторами и автотрансформаторами для подстанций решается однозначно в зависимости от принятой системы рабочего заземления связываемых сетей. Эффективно-заземленные сети 110 кВ и выше связывают с помощью автотрансформаторов; исключение из этого правила делается только в случаях необходимости ограничения тока однофазного к.з. К обмоткам низшего напряжения автотрансформаторов могут быть присоединены незаземленные и компенсированные сети. Связь эффективно-заземленной сети с не-заземленной или компенсированной сетью (35 кВ и ниже), а также связь двух незаземленных, компенсированных сетей может быть осуществлена только с помощью трансформаторов, обмотки которых электрически не соединены. На подстанциях с высшим напряжением до 500 кВ включительно, как правило, устанавливают трехфазные трансформаторы (автотрансформаторы). Исключение может быть сделано только для подстанций очень большой мощности или при наличии ограничений по условиям транспорта. В этих случаях применяют группы из двух спаренных трехфазных трансформаторов меньшей мощности или группы из однофазных трансформаторов.
При одной группе однофазных трансформаторов предусматривают резервную фазу, которая может быть присоединена взамен поврежденного трансформатора при помощи перемычек при снятом напряжении. При двух группах однофазных трансформаторов вопрос о целесообразности установки резервной фазы решается в зависимости от наличия резервных связей по сети среднего напряжения. Замена поврежденного трансформатора резервным осуществляется путем перекатки последнего с одного фундамента на другой.
На подстанции устанавливает, как правило, не более двух трансформаторов (автотрансформаторов). На таких подстанциях при отсутствии резервных связей по сетям среднего и низшего напряжений мощность каждого трансформатора выбирают равной 0,65-0,7 суммарной максимальной нагрузки подстанции на расчетный период.
В случае повреждения одного трансформатора второй трансформатор должен обеспечить с допустимой перегрузкой нормальное электроснабжение потребителей, Здесь речь идет об аварийной перегрузке, ограниченной Лишь максимальной температурой обмотки 140°С и масла 115° С.
Чтобы уменьшить длительность аварийного состояния подстанции, применяют передвижные резервные трансформаторы мощностью до 25-32 MB-А, которые могут быть быстро доставлены на подстанцию с помощью автотранспорта и введены в работу. Время, необходимое для замены поврежденного трансформатора резервным, зависит от массы трансформатора и состояния дорог. Обычно для этого необходимо От 1 до 5 суток. На подстанциях, обеспеченных передвижным резервом, длительность аварийного состояния минимальна и число «отжитых» суток при аварийной перегрузке трансформатора не слишком велико.
Дальнейшее увеличение мощности двух-трансформаторных подстанций при увеличении нагрузки сверх принятого уровня производится, как правило, путем замены трансформаторов на более мощные. При проектировании подстанций номинальный ток коммутационных аппаратов, сечения шин в присоединениях трансформаторов выбирают, как правило, с учетом возможности замены трансформаторов более мощными.
Подстанции с одним трансформатором допускаются при условии резервирования потребителей 1-й и 2-й категорий по сетям среднего и низшего напряжения, а также для электроснабжения потребителей 3-й категории при наличии в районе передвижных резервных трансформаторов и возможности замены поврежденного трансформатора в течение не более 1 суток.
На подстанциях с высшим напряжением ПО-220 кВ и двумя пониженными напряжениями 35 и 6-10 кВ применяют трехобмоточные трансформаторы 110-220/35/10-6 кВ.
Режим работы трансформаторов. На подстанциях с несколькими трансформаторами (автотрансформаторами) принято держать все трансформаторы включенными, несмотря на то, что нагрузка подстанции подвержена значительным изменениям в течение суток и года. Экономия электроэнергии, которая могла бы быть получена при отключении части трансформаторов в часы минимума нагрузки, относительно невелика. В то же время частые отключения трансформаторов нежелательны, так как каждое отключение связано с перенапряжением, а каждое включение - с появлением значительного переходного тока и соответствующих электродинамических сил в обмотках. При этом нарушается прочность крепления обмоток. Систематические Отключения и включения трансформаторов связаны с износом коммутационных аппаратов.
Регулирование напряжения.
Трансформаторы и автотрансформаторы, установленные на подстанциях, как правило, должны быть выполнены с устройствами для изменения коэффициента трансформации под нагрузкой. Исключение из этого правила может быть сделано только для небольших трансформаторов с низшим напряжением 380/220 В. На подстанциях с автотрансформаторами при наличии потребителей, присоединенных к третичным обмоткам автотрансформаторов, предусматривают установку линейных регулировочных трансформаторов для независимого регулирования напряжения на стороне низшего напряжения.
Схемы распределительных устройств высшего напряжения определяются положением подстанции в сети, напряжением сети, числом присоединений. Различают следующие типы подстанций по признаку их положения в сети высшего напряжения: подстанции узловые, проходные, присоединенные на ответвлениях и концевые. Как известно, узлом называют точку сети, в которой сходятся не менее трех линий. Предполагается при этом, что каждая линия связывает узел с источником энергии. Однако встречаются подстанции с двумя питающими линиями, к сборным шинам которых присоединено еще несколько линий, питающих
подстанции того же напряжения. Такие подстанции также принято относить к числу узловых. Число узловых подстанций в системе относительно невелико. Узловые и проходные подстанции являются транзитными, поскольку мощность, передаваемая по линии, проходит через сборные шины этих подстанций.
Изучение схем РУ высшего напряжения подстанций удобно начать с рассмотрения схем узловых подстанций большой мощности. Согласно рекомендациям Норм технологического проектирования подстанций РУ 330-750 кВ следует выполнять но схемам кольцевого типа в соответствий с числом присоединений, а именно: при трех и четырех присоединениях - соответственно по схемам треугольника или квадрата; при пяти-шести присоединениях- по схеме трансформаторы - шины с присоединением линий через два выключателя; при семи - восьми присоединениях- по схеме трансформаторы - шины с присоединением линий по схеме 3/2; при числе присоединений свыше восьми - по полной полуторной схеме. Перечисленные схемы относятся к одному виду и позволяют постепенно преобразовать РУ от простого к сложному по мере развития подстанции.
Распределительные устройства высшего напряжения 220 кВ при трех-четырех линиях рекомендуется также выполнять по схемам кольцевого типа. При этом линии и трансформаторы подлежат присоединению к углам треугольника или квадрата через разъединители и отделители (рис. 1.2.1).В таких схемах число выключателей получается минимальным. Недостаток их заключается в том, что линия и соответствующий трансформатор в случае повреждения в одной из этих ветвей отключаются вместе. Работа неповрежденной ветви (линии, трансформатора) может быть быстро восстановлена путем отключения соответствующего отделителя и повторного включения выключателей. Эти операции целесообразно автоматизировать.
Для РУ высшего напряжения НО-220 кВ при числе присоединений, равном семи и более, НТП рекомендуют схему с двумя системами сборных шин и обходной системой. Распределительные устройства высшего напряжения 110-220 кВ с числом присоединений до 10 и преобладанием парных линий или линий, резервированных от других подстанций, могут быть выполнены с одной секционированной системой сборных шин и обходной системой. При числе линий до четырех и трансформаторах мощностью до 63 MB-А допускается присоединение последних к сборным шинам через отделители.
. Распределительные устройства высшего напряжения проходных подстанций ПО-220 кВ на линиях с двусторонним питанием следует выполнять с одним выключателем и ремонтной перемычкой из двух нормально отключенных разъединителей. При этом трансформаторы подлежат присоединению к линии по обе стороны выключателя через разъединители и отделители (рис. 1.2.2). При такой схеме в случае повреждения линии слева или справа от рассматриваемой подстанции отключению подлежит поврежденный участок вместе с трансформатором. Работа последнего может быть быстро восстановлена после отключения разъединителя поврежденной линии и повторного включения выключателя. В случае повреждения трансформатора и отключения соответствующего участка линии поврежденный трансформатор должен быть отсоединен, а линия включена вновь.
В схемах с трансформаторами, присоединенными через отделители (рис. 1.2.1, 1.2.2), трансформаторы подлежат отключению линейными выключателями, отстоящими часто на значительном расстоянии. Передача отключающего импульса от защиты трансформатора к соответствующему выключателю может быть осуществлена по специальным линиям связи. Применение получили также схемы-с короткозамыкателями, включение которых равносильно искусственному к.з. у зажимов трансформатора.

Рис. 1.2.1 - Схема РУ высшего напряжения узловой подстанции 220 кВ с присоединением трансформаторов вместе с линиями к углам квадрата

Рис. 1.2.2 - Схема РУ высшего напряжения 110-220 кВ проходной подстанции с одним выключателем
При этом ток в линии резко увеличивается и срабатывает линейная защита, отключающая линию вместе с поврежденным трансформатором. Полное время отключения линии и трансформатора составляет 0,5-0,8 с. Оно слагается из времени срабатывания защиты трансформатора, короткозамыкателя, линейной защиты и линейных выключателей. После отключения трансформатора наступает пауза (необходимая для проверки отсутствия тока). Затем отключается отделитель, действующий относительно медленно, и повторно включается линия. Для проверки работы отделителей и короткозамыкателей при отключенном трансформаторе предусматривают разъединители с ручным управлением.
Для РУ высшего напряжения 35 кВ при числе присоединений до десяти включительно НТП рекомендуют одиночную систему сборных шин. При большем числе присоединений допускается схема с двумя системами сборных шин.
Особое место занимают двухтрансформаторные подстанции 35 - 220 кВ, подлежащие присоединению к параллельным линиям на ответвлениях или в качестве концевых подстанций. Число таких подстанций очень велико.
Нормы технологического проектирования подстанций рекомендуют для них ряд типовых схем без выключателей:
а) блочную схему с присоединением трансформаторов к линиям через разъединители, отделители и установкой короткозамыкателей;
б) блочную схему с разъединителями, отделителями и короткозамыкателями у трансформаторов и ремонтной перемычкой из двух нормально отключенных разъединителей со стороны линий;
в) блочную схему с разъединителями, отделителями и короткозамыкателями на линиях и перемычкой с отделителем двустороннего действия у трансформаторов.
Блочная схема без перемычки целесообразна при небольшой длине линий, поскольку при этом вероятность отключения линии вместе с трансформатором относительно мала. Недостаток этой схемы заключается в том, что при повреждении и ремонте линии в работе остается один трансформатор. Электроснабжение не прерывается, но оставшийся в работе трансформатор может оказаться сильно перегруженным.
Схема с ремонтной перемычкой из разъединителей (рис. 1.2.3)обеспечивает возможность присоединения обоих трансформаторов к одной линии при ремонте второй.

Рис. 1.2.3 - Схема присоединения подстанции с перемычкой из разъединителей
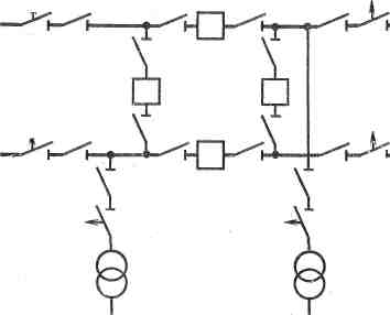
Схемы распределительных устройств низшего напряжения. Для РУ 6-10 кВ рекомендуют схему с одной секционированной системой сборных шин (рис. 1.2.4,). Для ограничения тока к. з. секционный выключатель при нормальной работе должен быть разомкнут. В случае отключения трансформатора секционный выключатель включается автоматически устройством АВР. При необходимости дальнейшего ограничения тока к. з. применяют трансформаторы с расщепленными обмотками низшего напряжения или токоограничивающие реакторы (простые или сдвоенные) у трансформаторов.

Рис. 1.2.4 - Схема РУ 6-10 кВ – одиночная схема сборных шин, секционированная через разомкнутый выключатель
1.3 Показатели и критерии надежности
Мерой надежности объекта является всякий алгоритм вывода суждения о наличии свойства надежности или о наличии уверенности в выполнении заданных функций в прошедшем, настоящем и будущем времени. На множестве объектов какого-либо класса мерой надежности будут алгоритмы вывода суждений о более или менее высоком уровне надежности одного объекта по сравнению с другим и определения объекта с оптимальным уровнем надежности. Мера надежности включает в себя показатели надежности и критерии (логические или аналитические выражения, связанные с алгоритмом вывода).
В качестве показателей надежности используются следующие:
время безотказной работы Ti и время восстановления п, измеряемое в часах или годах (ч или год);
среднее время безотказной работы Т и среднее время восстановления х, ч или год;
среднее значение параметра потока отказов ю и средняя интенсивность отказов К, измеряемые в годах в минус первой степени (год-1 );
частота аварий и отказов определенного, k -то, вида A ( k ), год-1 ;"
вероятность отказов Q ( t ) и вероятность безотказной работы P ( t ) в заданный промежуток времени;
Q ( t )+ P ( t ) = l ;
условная вероятность отказов Q ( s / i ) при возникновении какого-либо события (требования на срабатывание, например);
вероятность застать объект в любой момент определенного периода в работоспособном ( kr - коэффициент готовности) или неработоспособном ( q - коэффициент простоя) состоянии;
число конъюнкций (наложений отказов на состояния) N , C ( k ), квалифицированных как аварии;
условный недоотпуск энергии в течение года AW , коэффициент обеспеченности продукцией п и средний народнохозяйственный ущерб У от нарушения функционирования.
Логические критерии надежности записываются в виде условий безотказной работы или условий отказа объекта (системы) с помощью функций алгебры логики и логических диаграмм и относятся ко всем объектам данного класса.
Аналитические критерии надежности записываются как неравенства оценок временных, частотных и вероятностных показателей надежности и их нормативных значений. Например,
Ti > tp ; Q ( tP )< Qu ( tP ); Л(к)<Ли (к),
где tP - расчетное время работы.
При сравнении различных объектов (или вариантов) из множества возможных в данном классе аналитические критерии надежности записываются как условие максимума или минимума показателя надежности у лучшего объекта (варианта). Аналитический критерий оптимальности решения записывается как условие экстремума целевой функции в виде приведенных затрат с учетом ущерба или в виде комплексной оценки эффективности. Судить о наличии свойства конкретного объекта выполнять данные функции можно только в конкретные моменты и периоды времени в прошлом.
Временной мерой надежности будет совокупность наработок на отказ 7"J. Усредняя оценку наработок по множеству реализации и оценивая разброс и тенденцию к изменению, можно говорить о вероятности выполнения заданных функций в ближайшем будущем P ( Ti > tp ). Но эта вероятность будет мерой уверенности в существовании свойства только при условии стабильности обстоятельств функционирования, состояния объекта, однородности наблюдения, достаточности объема наблюдений, справедливости гипотез о законе распределения.
Для множества объектов сравнение их по уровню надежности возможно на основе временных и частотных мер Т, Я, со, х, Л. Но оценки этих показателей по результатам эксплуатации получаются с очень большим интервалом неопределенности (например, для частоты отказов различие в оценке составляет 2-3 порядка). Прогнозирование этих показателей дает весьма условные оценки по тем же причинам, что и применение вероятностных мер. Условность временных, частотных и вероятностных мер является причиной неопределенности в оценках показателей надежности оборудования.
Говоря о надежности класса объектов, не имеют в виду ни конкретный момент времени, ни конкретный объект данного класса. Речь идет о степени уверенности в том, что при некоторых определенных условиях Z и X объект данного класса выполнит У или не выполнит У заданных функций с известной вероятностью (через Z обозначаются условия функционирования, а через X - условия работоспособности). Если эта вероятность равна нулю или единице, то мера надежности является логической, если эта вероятность находится в интервале {0; 1}, то мера надежности будет вероятностной.
Логическая мера надежности записывается в виде функции алгебры логики (ФАЛ) как условие достаточной работоспособности (безотказности) - ФР или условие отказа - ФО с помощью знаков конъюнкции Д или дизъюнкции V/ • Формирование массива ФО (или ФР) и составляет содержание первого этапа расчета надежности системы.
Переход от логической меры надежности к вероятностной -(уверенности в выполнении или невыполнении функций) возможен только при введении условных оценок вероятностей событий или состояний. Вероятностные, частотные и временные меры получаются на основе логической меры. Вследствие этого они условны, а оценки их показателей имеют большой интервал неопределенности.
Исходные данные о надежности элементов системы могут быть представлены точечными оценками средних значений показателей. В таких случаях результаты расчета надежности системы также представляются в виде точечных оценок средних значений показателей. Использование статистических оценок средних значений и среднеквадратических отклонений дает основу для применения формул теории точности при измерении неопределенности результата с помощью среднеквадратической погрешности.
При прогнозировании на экспертной основе показателей надежности нового оборудования оценки могут быть представлены верхней и нижней границей интервала неопределенности. Аналогично верхняя и нижняя границы определяются для доверительного интервала при использовании статистических данных испытаний и эксплуатации. В этих условиях неопределенность показателей надежности системы оценивается с помощью пессимистических и оптимистических оценок, полученных при подстановке соответствующих граничных значений исходных данных в полученные расчетные формулы для системы. Экспертнофакторный подход позволяет оценивать интервал неопределенности с помощью уравнения регрессии.
Наличие погрешности или интервала неопределенности в оценках показателей надежности и целевых функций приводит к ситуациям, когда вследствие малого различия в показателях сравниваемых объектов (вариантов) невозможно с уверенностью определить, какой из объектов лучше. В зону неопределенности по показателям надежности попадают наиболее надежные варианты, в зону неопределенности по приведенным затратам - наиболее экономичные.
Оценки показателей надежности элементов электроэнергетических установок и систем, а именно среднего параметра потока отказов К или со (год-1 ), среднего времени восстановления т (год) или Тв . ср (ч), частоты вывода в плановый ремонт τп . р (год-1 ), среднего времени планового простоя тгп .Р (год), средней Длительности планового простоя в течение года /„.р (ч/год), условной вероятности отказа срабатывания устройств защиты и автоматики Q (г0 . с), приводятся в широко распространенных изданиях [15, 41, 47, 61].
Иногда приводятся другие показатели надежности элементов: средняя наработка между отказами 7"(ч), интенсивность восстановления ц (ч-1 ), коэффициент простоя q (%), средняя наработка на отказ N0 .c (цикл).
Связь между этими показателями и указанными выше выражается следующими формулами:
А = 8760/Т;Т = (8760μ)-1 ;
Интервал неопределенности в оценках показателей может быть установлен для каждого элемента в виде максимальных и минимальных значений Amax, Amin.
В источниках приводятся доверительные верхние и нижние границы Ав , Ан , тв , тн и так далее с доверительной вероятностью а=0,9. Однако для некоторых элементов таких оценок нет.
2. Расчет токов короткого замыкания
Разработка главной схемы Подстанции
Главная схема ПС разрабатывается на основании схемы развития энергосистемы и должна:
1. обеспечивать требуемую надежность электроснабжения потребителей и перетоков мощностей по межсистемной связи в нормальном и послеаварийном режимах;
2. учитывать перспективу развития;
3. допускать возможность постепенного расширения РУ всех напряжений;
4. обеспечивать возможность проведения ремонтных и эксплутационных работ без отключения смежных присоединений.
Подстанция предназначенная для приема и распределения электрической энергии (ЭЭ) потребителям, расположенным в РТ.
ПС подключена к энергосистеме по 110кВ ВЛ. С шин 6 кВ отходит
Для обеспечения надежного питания потребителей во всех режимах работы на проектируемой ПС выбраны 2 трансформатора типа ТДН 16000/110/6,6 – 76У1.
В соответствии с нормами технологического проектирования на стороне 6 кВ принята раздельная работа трансформаторов. Все силовые трансформаторы должны иметь устройство автоматического регулирования напряжения под нагрузкой (РПН)
Расчет нагрузок на ПС
Максимальнаянагрузка на всех уровнях напряжения определяется по выражениям:
МВА
где: n- количество линий;
Pн. max - максимальная нагрузка одной линии;
Kодн - коэффициент одновременности, принимаем Kодн =0.8;
сosφ- коэффициент мощности.
Произведем расчет нагрузки:
МВА
МВА
Выбор Силовых Трансформаторов.
Мощность Т выбирается так, чтобы при отключении одного из них на время ремонта или замены второго, оставшийся в работе, с учетом допустимой перегрузки резерва по сетям среднего напряжения (СН) и низкого напряжения (НН), обеспечил питание нагрузки, т. е. исходя из условия:
, МВА.
Выбираем ТС:
16000 МВА
Выбираем трансформатор типа ТДН 16000/110/6,6 Данные приводим в табл.
Тип автотрансформатора:
Данные о типах выбранных трансформаторов приведены в таблице 2.1.
Таблица 2.1
| Тип трансформатора | Номинальная мощность, МВА | Потери кВт ХХ КЗ | % | |||
| ВН,кВ | НН,кВ | Uкз | Iхх | |||
| ТДН 16000/110/6,6 | 115 | 6,6 | 18 | 85 | 10,5 | 0,7 |
Производим проверку выбранных Т в нормальном и аварийном режимах (при отключении одного Т) по условию:
-в нормальном режиме
![]()
-в аварийном режиме
,
где Кз - коэффициент загрузки.
Для Т:
15,06/2*10,54=0,7
15,06/10,54=1,4
Расчет токов трехфазного КЗ.
Для проверки аппаратов и проводников по режиму КЗ на электродинамическую и термическую стойкость и высоковольтных выключателей по отключающей способности необходимо определить следующие токи КЗ:
Iпо - начальный периодический ток КЗ (кА);
iу - ударный ток КЗ (кА)
Inτ , iaτ - периодическая и апериодическая составляющие тока КЗ для момента времени τ (кА)
τ- время размыкания контактов.
Расчет производим в следующем порядке:
На основании структурной схемы с учетом принятого режима работы трансформаторов составляется расчетная схема, в которой показываются основное оборудование и источник (Т, Т, энергосистема и связь с энергосистемой- ЛЭП) и приводятся их параметры.
На U= 6кВ принята раздельная работа СТ в целях ограничения токов КЗ в соответствии с НТП ПС.
Составляем схему замещения (смотри рисунок 2.1) для всех элементов расчетной схемы. Производим расчет сопротивлений в относительных единицах относительно базовой мощности, которую принимаем Sб =1000 МВА.

Рисунок 2.1
Производим расчет сопротивлений элементов схемы в относительных единицах:
Х1=Хс*Sб/Sсист=1,8*1000/1200=1,5 о.е.
Х2=Х3=Х0*L*Sб/Uср=0,28*30*1000/13225=0,64 о.е.
Х4=Х5=Uк/100*Sб/Sнт=10,5/100*1000/16=6,56 о.е.
Производим преобразование схемы замещения относительно точек КЗ:
т. К1: U= 110 кВ
Х6=(Х1+Х2)/2=1,07 о.е.
т. К2: U= 6 кВ
Х7=Х6+Х5=1,07+6,56=7,63 о.е.
Расчетная таблица токов трехфазного КЗ .
Таблица 2.2
| очка КЗ | К1 | К2 |
| Базовая мощность Sб (МВА) | 1000 | |
| Среднее напряжение Uср (кВ) | 115 | 6,6 |
| Источники | Система | |
| Ном. Мощность источников Sном (МВА) | 1200 | |
| Результирующие сопротивления Xрез (е.о.) | 1,07 | 7,63 |
Базовый ток
|
5,02 | 87,5 |
| ЭДС источника Е`` | 1,0 | |
| 4,7 | 11,47 | |
| Куд | 1,608 | 1,56 |
| Та | 0,02 | 0,02 |
| 10,7 | 25,3 | |
| 6,02 | 10,5 | |
| 1 | 1 | |
| 4,7 | 11,47 | |
0,035 tсв=0,025 |
0,025 tсв=0.015 |
|
| 0,17 | 0,29 | |
| 1,13 | 4,7 | |
tс.в. - собственное время отключения (без времени, затраченного на гашение дуги).
Сводная таблица результатов расчетов токов КЗ .
Таблица 2.3
| Точка КЗ | Uср (кВ) | Источник | Токи трехфазного КЗ (кА) | ||||
| Iп0 | Iпτ | iаτ | iуд | ||||
| К1 | 115 | система | 4.7 | 4.7 | 1.13 | 10.7 | 7.77 |
| К2 | 6.6 | 11.47 | 11.47 | 4.7 | 25.3 | 20.9 | |
Выбор аппаратов и проводников
Определение расчетных условий для выбора аппаратов и проводников по продолжительным режимам работы.
- на стороне 110 кВ
А
где
- следуйщая мощность СТ или АТ по шкале ГОСТа.
А
- на стороне 6 кВ
А
А
Выбор высоковольтных выключателей (ВВ) и разъединителей (РЗ) на всех напряжениях
а стороне ВН 110 кВ СТ:
Расчетные токи продолжительного режима в цепи 110 кВ Т:
Iнорм. = 54,6 А
Imax = 113,4 А
Расчетные токи КЗ на шинах 110 кВ:
Iп0 = 4,7 iуд =10,7
Iпτ = 4,7 iaτ =1,13
Тепловой импульс на шинах 110 кВ:
4,7*4,7(0,155+0,02)=3,87 кА2
сек
0,1+0,055
Выбираем по [12] высоковольтный выключатель для наружной установки типа ВГУ-110-40У1
Привод высоковольтного выключателя: откл – пневматическое вкл - пружинное
Выбираем по [12] разъединитель для наружной установки типа РНДЗ-1-110/1250Т1
Привод разъединителя ПРН-110У1
Сравнение расчетных и каталожных данных.
Таблица 2.4
| Расчетные данные | Справочные денные | |
| ВГУ-110-40У1 | РНДЗ-1-110/1250Т1 | |
| Uуст. =110 | Uном =110 кВ | Uном =110кВ |
| Imax =113,4 | Iном = 2000 А | Iном =2000А |
| Iпτ =4,7 | - | |
| iаτ =1,13 | Iaном= 56,6 | - |
| Iп0 =4,7 | Iдин =40кА | - |
| iуд =10,7 | iдин =102 кА | - |
| Вк =3,87кА2 сек | ||
На стороне НН 6 кВ СТ:
Расчетные токи продолжительного режима в цепи 6 кВ Т:
Iнорм. =1000 А
Imax =2076,9 А
Расчетные токи КЗ на шинах 6 кВ:
Iп0 =11,47 кА iуд =25,3 кА
Iпτ =11,47 кА iaτ =4,7 кА
Тепловой импульс на шинах 6 кВ:
11,47*11,47(0,125+0,02)=19,076 кА2
сек
0,17+0,025
Выбираем по [1] высоковольтный выключатель для внутренней установки типа ВБЭ-10(6)-31,5(40)
Привод высоковольтного выключателя электромагнитный.
Сравнение расчетных и каталожных данных.
Таблица 2.5
| Расчетные данные | Справочные денные |
| Uуст. =6кВ | Uном =10(6) кВ |
| Imax =2076,9 | Iном =3150 А |
| Iпτ =11,47 | |
| iаτ =4,7 | iа ном =58 |
| Iп0 =11,47 | Iдин =31,5(40) кА |
| iуд =25,3 | iдин =80 кА |
| Вк =19,076кА2 сек |
Выбор проводников в основных цепях ПС
На напряжения 110 кВ выбираем гибкие сталеалюминевые провода; на напряжение 6 кВ – жесткие алюминиевые шины.
В цепях отходящих линий 6 кВ – силовые кабели. Для крепления шин на 6 кВ выбираем опорные изоляторы.
Выбор сборных шин и токоведущих частей на U 110 кВ в цепи
Таблица.2.6
| Условия выбора | Сборные шины 110 кВ и токоведущие части от ТДН-16000/110/6,6 до сборных шин 6 кВ |
| Imax <Iдоп | Согласно п.1.3.28 ПУЭ сборные шины и ошиновка в пределах ОРУ выбирается по нагреву (по допустимому току наиболее мощного присоединения) Imax =113,4 А, Iнорм =54,6А |
| Тип проводника, его параметры[2] c.428 | АС300/39 Iдоп =690 А, d=24мм, r0 =1,2см |
| Проверка шин на схлестывание, электродинамическую стойкость | Не производится, т.к. Iпо =4,7кА<20 кА |
| Проверка шин на термическое действие тока КЗ | Не производится, т.к. шины выполнены голыми проводами на открытом воздухе |
Проверка по условиям коронирования 1.07 Е < 0.9 Е0 Дср
=
|
|
Выбор сборных шин и ошиновки на ПС
Сборные шины 6,6 кВ и токоведущие части СШ 6,6.
Таблица.2.7
| Условия выбора | Согласно п.1.3.28 ПУЭ сборные шины и ошиновка в пределах ЗРУ выбираются по нагреву (по допустимому току наиболее мощного присоединения). |
Imax <Iдоп Тип проводников |
Imax =2076,9А Однополосные шины расположены «плашмя» ША Iдоп =2410 (2289) А b=80 мм, h=10 мм, q=800 мм2 , l=2м, а=0,5м |
Проверка шин на термическую стойкость при КЗ по условию: qmin <qвыбр |
qmin=47.995<800 Значение С см.[12], стр. 192 |
Проверка шин на электродинамическую стойкость по условию:
|
Gрасч=8,36 мПа 8,36 < 75 Условие выполняется |
Выбор изоляторов
Выбор опорных и проходных изоляторов внутренней установки для крепления жестких сборных шин 6 кВ.
Выбираем опорный изолятор ИО-10-3,75У3 на напряжение 6кВ с минимальной разрушающей силой на изгиб Fразр =3750кН, высота изоляторов Hиз =120 мм. Проверяем изолятор на механическую прочность. Максимальная сила, действующая на изгиб:
где принято расстояние между фазами а=0,5 м, пролет между изоляторами l =2 м.
Поправка на высоту шины:
где b – ширина для полосовых шин
Таким образом, изолятор ИО-10-3,75У3 проходит по механической прочности.
3. Выбор электрооборудования подстанции
3.1 Устройство и принцип действия воздушного выключателя типа ВВБ-110 кВ
Iном.=2000 А, Iоткл. =31,5 кА,
Сопротивление контура полюса = не более 80 мкОм,
Сопротивления одного элемента = 100 Ом.
Характеристики выключателя, снятые при номинальном, минимальном и максимальном рабочих давлениях при простых операциях и сложных циклах, должны соответствовать данным завода изготовителя. Количество операций и сложных циклов, выполняемых каждым выключателем, устанавливается согласно табл.3.1.1.
Таблица 3.1.1 - Условия и число опробований выключателей при наладке
| Операция или цикл | Давление при опробовании | Напряжения на выводах | Число операций и циклов |
| 1. Включение | Наименьшее срабатывание | Номинальное | 3 |
| 2. Отключение | То же | То же | 3 |
| 3. ВО | « | » | 2 |
| 4. Включение | Наименьшее рабочее | « | 3 |
| 5. Отключение | То же | » | 3 |
| 6. ВО | « | » | 2 |
| 7. Включение | Номинальное | « | 3 |
| 8. Отключение | То же | » | 3 |
| 9. ОВ | « | » | 2 |
| 10. Включение | Наибольшее рабочее | 0,7 номинального | 2 |
| 11. Отключение | То же | То же | 2 |
| 12. ВО | « | Номинальное | 2 |
| 13. ОВО | » | То же | 2 |
| 14. ОВО | Наименьшее для АПВ | « | 2 |
Устройство и принцип действия воздухонаполненного выключателя типа ВВБ-110 (выключатель воздушный баковый для номинального напряжения 110 кВ) научно-производственного объединения (НПО) «Электроаппарат»). Выключатель рассчитан на давление воздуха 2 МПа. Гасительное устройство с двумя разрывами заключено в стальной бачок, изолированный от земли с помощью колонны фарфоровых изоляторов. Объем бачка рассчитан на две операции отключения. Расход воздуха пополняется из ресивера и общестанционной магистрали сжатого воздуха по изолирующему воздуховоду. Давление в бачке поддерживается близким к номинальному. В бачок встроены вводы 6 из эпоксидной смолы, наружные части которых защищены фарфоровыми покрышками. Неподвижные контакты укреплены на вводах, а подвижные в виде ножей на металлической траверсе, которая, в свою очередь, жестко связана со штоком. Неподвижные контакты со встроенными контактными ламелями находятся внутри металлических сопл, направляющих воздух в процессе отключения к выхлопному клапану (его также называют дутьевым клапаном). Контактная траверса и тарелка выхлопного клапана приводятся в движение поршневыми устройствами, действие которых согласовано. Клапаны управления поршневыми устройствами расположены внизу и находятся под потенциалом земли. Основные разрывы дугогасительного устройства шунтированы резисторами с вспомогательными контактами для отключения сопровождающего тока. Резисторы укреплены в бачке на вводах. Вспомогательные контакты помещены под резисторами. Клапаны управления этими контактами вынесены наружу. Для равномерного распределения напряжения между разрывами в положении «отключено» предусмотрен делитель напряжения емкостного типа.
В процессе отключения поршневое устройство привода поднимает тарелку выхлопного клапана. Поднимается также контактная траверса, и контакты размыкаются. Дуги, образующиеся на контактах, перебрасываются на концы неподвижных контактов и вспомогательные электроды. Они гасятся в потоке воздуха, вытекающего из бачка через сопла и выхлопной клапан. После погасания дуг выхлопной клапан закрывается, а траверса с ножами остается в верхнем отключенном положении. Промежуток между контактами обеспечивает достаточную электрическую прочность при давлении 2 МПа. Вспомогательные контакты размыкаются приблизительно через 0,035 с после размыкания главных контактов, и возникшие между ними дуги гасятся потоком воздуха вытекающего в атмосферу через внутренние полости контактов. После погасания дуг вспомогательные контакты остаются разомкнутыми. При включении выключателя контактная траверса опускается поршневым устройством. Ножи входят в прорези в верхней части сопл, и контакты замыкаются. Предварительно замыкаются вспомогательные контакты.
Поршневые устройства и, приводящие в движение контактную траверсу и выхлопной клапан, расположены в зоне высокого потенциала. Соответствующие клапаны управления расположены в шкафу управления и находятся под потенциалом земли. Они связаны с поршневыми устройствами изолирующим воздуховодом, расположенным внутри опорной колонны. Номинальный ток отключения выключателей серии ВВБ составляет 31-35 кА. Время отключения 0,08 с (4 периода).
3.2 Устройство и принцип действия элегазового выключателя типа ВГУ-110У1
I ном = 2000 А
I откл = 40 кА
Элегаз (SF6 - шестифтористая сера) представляет собой инертный газ, плотность которого превышает плотность воздуха в 5 раз. Электрическая прочность элегаза в 2- 3 раза выше прочности воздуха. При давлении 0,2 МПа электрическая прочность элегаза сравнима с прочностью масла.
В элегазе при атмосферном давлении может быть погашена дуга с током, в 100 раз превышающим ток, отключаемый в воздухе при тех же условиях. Исключительная способность элегаза гасить дугу объясняется сильным сродством его с электронами. Молекулы газа улавливают электроны дугового столба и образуют относительно неподвижные отрицательные ионы. Потеря электронов делает дугу неустойчивой, и она легко гаснет. В струе элегаза, т. е. при газовом дутье, поглощение электронов из дугового столба происходит еще более интенсивно.
В элегазовых выключателях гасительное устройство помещено в герметизированный заземленный бак с проходными изоляторами и встроенными трансформаторами тока. Бак заполнен элегазом при давлении 0,4-0,6 МПа. Применение получили автопневматические дугогасительные устройства, в которых газ в процессе отключения сжимается поршневым устройством и направляется в зону дуги. Таким образом, элегазовый выключатель представляет собой замкнутую систему (без выброса газа наружу). Он во многом схож с баковым масляным выключателем, однако в нем отсутствуют горючие материалы и масса его значительно меньше массы масляного выключателя.
Поршеньи полый контактнеподвижны. Цилиндрс сопломиз фторопласта и розеточным контактом перемещаются по горизонтальной оси с помощью пневматического привода. соответствует положению «включено», контактызамкнуты. В. процессе отключения цилиндрперемещается приводом вправо. При этом газ в полостисжимается, контакты размыкаются и между ними образуется дуга. По выходе вспомогательного электродаиз внутренней полости контактагаз начинает вытекать через эту полость. Если отключаемый ток мал (порядка нескольких десятков ампер), поток газа через внутреннюю полость контактадостаточен для гашения дуги при относительно небольшой ее длине в течение приблизительно 10 мс. При отключении тока к.з. гашение дуги происходит по выходе контактаиз сопла, когда вследствие увеличивающегося давления газа в полостисоздается сильный поток газа сквозь столб дуги. При включений цилиндр с соплом и розеточным контактом перемещаются влево.
Исследования показали, что более эффективным является гасительное устройство аналогичной конструкции, но с двусторонним дутьем. Выключатель с таким усовершенствованным гасительным устройством удовлетворяет требованиям, предъявляемым к выключателю ПО кВ с отключаемым током 31,5 кА. Отключение обеспечивается при скорости восстанавливающегося напряжения 5 кВ/мкс. Гашение дуги происходит при расстоянии между контактами около 100мм. Длительность горения дуги составляет 20-25 мс. В отличие от воздушных выключателей отключение происходит бесшумно.
При ремонте выключателя и вскрытии баков необходимо сберегать газ с целью дальнейшего его использования, так как стоимость газа относительно высока. Для этого служат вакуумный насос, запасный резервуар для газа и компрессор. Перечисленные элементы установлены на монтажной тележке. С помощью компрессора газ из выключателя перемещают в запасный резервуар. Компрессор позволяет снизить давление в баке до 100 Па, т. е. позволяет удалить из бака почти весь газ. После этого могут быть открыты дверцы в баке для доступа к гасительному устройству. Заполнение бака газом производится в следующем порядке. Дверцы бака закрывают и с помощью вакуумного насоса удаляют из бака воздух. Давление в баке снижают до 100 Па. После этого бак наполняют газом из запасного резервуара.
Элегаз не ядовит, однако продукты его распада под действием дуги ядовиты. Поэтому при ремонте выключателей принимают меры предосторожности: вскрытие бака, и выемку гасительного устройства производят в противогазах.
Первый отечественный элегазовый выключатель 110 кВ предназначен и соответствующим образом выполнен для комплектного герметизированного РУ с газовой изоляцией. Аналогичные устройства предполагается выпускать для напряжения 220 кВ и выше.
3.3 Устройство и технические характеристики вакуумного выключателя ВБЭ-10(6) – 31,5(40)
Вакуумные выключатели внутренней установки предназначены для коммутации электрических цепей переменного тока частотой 50 Гц с номинальным напряжением 10 (6) кВ в нормальном и аварийном режимах б системах с изолированной или компенсированной нейтралью.
Выключатели соответствуют требованиям ГОСТ 687-78, ГОСТ 18397-86, КУЮЖ.674152.001 ТУ КУЮЖ. 674152.024 ТУ.
Выключатели поставляются на все КРУ - строительные предприятия России, Украины, Польши, а также широко используются для замены масляных и маломасляных выключателей, отработавших свой ресурс, по программе Ретрофит во всех КРУ и КСО прежних лет выпуска.
Поставка осуществляется согласно опросного листа (см. www.kontakt-saratov.ru)
Табл. 3.3.1 - Технические характеристики выключателя
| Наименование параметров | ВБЭ – 10 - 20 | ВБЭ - 10 - 31,5 (40) |
| Номинальное напряжение, кВ | 10 | 10 |
| Номинальный ток, А | 630-1600 | 630-3150 |
| Номинальный ток отключения, кА | 20 | 31,5(40) |
Сквозной ток короткого замыкания; - ток электродинамической стойкости, кА |
51 |
80(102) |
| - ток термической стойкости, кА | 20 | 31,5(40) |
| - время протекания тока термической стойкости, с | 3 | 3 |
| Номинальное напряжение цепей пост, тока | 110:220 | 110:220 |
| питания привода, В перем. тока | 220 | 220 |
Токи потребления электромагнита включения -пост.,А |
80-40 | 95;50 |
| -перем.,А | 40 | 45 |
| Токи потребления электромагнита отключения -пост.,А | 0,9;0.45 | 3:1,5 |
| -перем.,А | 2 | 2 |
| Собственное время включения, с | 0,1 | 0,1 |
| Собственное время отключения, с | 0,04 | 0,04 |
| Диапазон рабочих температур окр.среды, °С Ресурс по коммутационной стойкости: | +50/-60 | +50/ -60 |
| - при номинальном токе, циклов ВО - при номинальном токе отключения, циклов ВО | 50000 100 | 50000 100 |
| Ресурс по механической стойкости, циклов ВО | 50000 | 50000 |
| Масса, кг, не более | 120 | 150 |
3.4 Краткая характеристика трансформатора тока ТФЗМ
1. Расшифровка условного обозначения трансформаторов тока: Т- трансформатор тока; Ф - в фарфоровой покрышке;
3-с сердечником для защиты от замыканий на землю. М - модернизированный.
2. Трансформатор тока предназначен для наружной установки в открытых распределительных устройствах для передачи сигнала измерительной информации измерительным прибором, устройствам защиты и управления.
3. Выводы первичной обмотки обозначаются Л1 и Л2, выводы вторичной обмотки И1 и И2.
4. Верхняя цилиндрическая часть трансформатора представляет собой расширитель для масла, который обеспечивает компенсацию температурных изменений объема масла.
5. Трансформатор заполнен трансформаторным маслом. Уровень масла контролируется по маслоуказателю. При температуре масла 20*С уровень масла находится против красной черты маслоуказателя или в средней его части. На каждые 10 *С повышения или понижения температуры уровень масла соответственно повышается или понижается у трансформатора на класс напряжения:
33-110кВ - на 10мм
132-500кВ - на 25мм
6. Воздухосушитель или дыхательный клапан предназначен для сообщения внутренней полости трансформатора с наружным воздухом без попадания пыли и влаги. Верхняя часть стеклянного цилиндра воздухоосушителя заполнена силикагелем-индикатором, который при насыщении влагой меняет свою окраску на розовый цвет.
7. Коробка вторичных выводов закрыта крышкой. Табличка с паспортными данными трансформатора, электрическими схемами и техническими данными вторичных обмоток расположена на цоколе.
8. Через масловыпускной патрубок производится слив и отбор проб масла.
9. Цоколь трансформатора - это несущая опорная конструкция, которую необходимо заземлить для чего, шину заземления следует присоединить к болту заземления с меткой "3".
10.Основные технические данные:
| Тип трансформатора | Напряжение Uhom, кВ | Напряжение наибольшее рабочее Шр, кВ | Номинальный ток первичный, А | Номинальная предельная кратность обмоток для защиты, Кном |
| ТФЗМ-35 | 35 | 40,5 | 15-3000 | 18-28 |
| ТФЗМ-110 | 110 | 126 | 50-2000 | 20-30 |
| ТФЗМ-220 | 220 | 252 | 300-2000 | 12-25 |
11.У трансформаторов предназначенных для работы с двумя и тремя коэффициентами трансформации, предусмотрена возможность переключений на первичной обмотке путем соединения шин наружными или внутренними перемычками. На вторичной стороне путем присоединения к необходимым выводам вторичной обмотки.
12.Трансформатор тока отправляемый с предприятия-изготовителя, соединен перемычками на наибольший первичный ток.
Критерии и пределы безопасного состояния и режимов работы трансформаторов тока.
1. При эксплуатации трансформатора тока необходимо контролировать уровень масла, состояние силикагеля воздухосушительного фильтра, отсутствие течи масла, отсутствие нагрева контактов.
2. Цоколь трансформатора должен быть заземлен.
3. Во время работы трансформатора тока вторичные обмотки его должны быть всегда замкнуты на приборы или закорочены, так как на разомкнутой вторичной обмотке высокое напряжение.
Порядок подготовки к пуску, порядок пуска и обслуживание трансформатора тока во время нормальной работы и аварийных режимах.
1. После окончания монтажа, наладки и испытания трансформатора проверить наличие записей служб о готовности к включению.
2. Проверить выполнение всех заземлений на трансформаторе.
3. Проверить соединение маслоуказателъного стекла о крышкой трансформаторе тока (которое обеспечивает выравнивание потенциалов).
4. Проверить уровень масла в маслоуказательном стекле, наличие силикагеля в воздухосушительном фильтре, отсутствие течи масла.
5. Не задействованные вторичные обмотки трансформатора тока должны быть закорочены. З.б. Осмотр трансформатора тока производить на подстанциях с постоянным оперативным персоналом ежедневно, без постоянного оперативного персонала не реже одного раза в месяц.
6. При возникновении аварийных режимов с трансформатором необходимо немедленно поставить в известность диспетчера ОДС и действовать согласно местной инструкции по ликвидации аварийных ситуаций. К аварийным режимам относятся:
- снижение уровня масла, течь масла из трансформатора
- изменение цвета силикагеля с голубого на розовый
- нагрев контактов
7. Течь масла из трансформатора может происходить из-за нарушение уплотнений между цоколем и покрышкой, между покрышкой и маслорасширителем в местах сочленения деталей маслоуказателя, а также в местах выхода выводов первичной обмотки Л1 и Л2. Если имеется течь масла в маслоуказательном стекле, трансформатор должен быть отключен.
8. При изменении цвета силикагеля с голубого на розовый необходимо сообщить дефект в группу ПС и диспетчеру ОДС ПЭС.
9. При нагреве контактов и невозможности отключение трансформатора тока, необходимо принять меры к снятию нагрузки с него.
10. При отключении вторичных обмоток от цепей приборов и защит необходимо предварительно замкнуть накоротко вторичные обмотки во избежание их повреждения.
Порядок допуска к осмотру, ремонту и испытаниям трансформатора тока.
1. Вывод в ремонт трансформатора тока должен быть оформлен и ОДС или ЦДС согласно принадлежности оборудования.
2. Перед началом работ на трансформаторе тока необходимо выполнить организационные и технические мероприятия по созданию безопасных условий труда.
3.При выполнении капитальных ремонтов трансформаторов пользоваться картой или проектом производства работ.
Требования по безопасности труда, взрыво- и пожаробезопасности при эксплуатации трансформатора тока.
1. Персонал обслуживающий трансформатор тока, должен быть ознакомлен с настоящей инструкцией, хорошо знать устройство, принцип действия и специфические особенности конструкции трансформатора тока, а также должен пройти соответствующий инструктаж.
2. Эксплуатация трансформатора тока должна производиться в соответствии с настоящей инструкцией, а также "Правил устройства электроустановок", "Правил технической эксплуатации электрических станций и сетей Российской Федерации", "Межотраслевых правил по охране труда (правила безопасности)", "Правил пожарной безопасности для энергетических предприятий" и инструкции завода изготовителя.
3. Подъем трансформатора тока осуществлять за четыре подъемных кольца, находящихся на цоколе.
4. При замене масла включение трансформатора тока под напряжение может производиться не ранее чем через 24 часа.
5. При возникновении постороннего шума в трансформаторе, снижении уровня масла, размыкания вторичной обмотки, трансформатор тока должен быть отключен.
6. В местах установки трансформатора тока не допускается наличие промасленного грунта, поросли и сухой травы.
7. Пролитое масло и другие горючие жидкости следует немедленно убрать. Промасленные обтирочные материалы складывать в специальный закрытый металлический ящик.
3.5 Краткая характеристика трансформатора напряжения НТМИ 6-10кВ
Трансформаторы напряжения предназначены для питания электрических измерительных приборов (цепей защиты) сигнализации.
Конструкция трансформаторов состоит из магнитопровода, выполненного из электротехнической стали,обмоток с их изоляцией, отводов и др. конструктивных деталей, служащих для соединения отдельных частей в единую конструкцию.
Трансформаторы напряжения в зависимости от исполнения могут иметь две вторичные обмотки из которых одна (основная)предназначена для питания приборов и цепей защиты, а другая(дополнительная)для питания цепей защитных устройств и контроля изоляции сети.
Исполнение и тип трансформатора, значения напряжения, число обмоток, классы точности, мощности в классах точности, а также предельные мощности трансформаторов напряжения указываются в эксплуатационной документации.
Нулевую точку первичной обмотки необходимо заземлить для правильной работы схемы. При замыкании на землю одной из фаз магнитный поток данной фазы будет равен нулю. Следовательно, во вторичной обмотке этой фазы напряжение будет равно нулю и вольтметр этом фазы покажет ноль.
Если бы нулевая точка не была заземлена, распределение магнитных потоков при замыкании фазы на землю осталось бы таким же как и при нормальной работе (режима)и Вольтметры не изменили бы свои показания.
Нулевая точка основной вторичной обмотки и одна точка вспомогательной обмотки заземляется по правилам безопасности. На случай пробоя изоляции обмотки высшего напряжения на одну из вторичных обмоток.
Порядок подготовки к пуску (включению). Остановка (отключение) и обслуживание во время нормальной работы и в аварийных режимах .
Перед включением необходимо произвести внешний осмотр с целью выявления возможных повреждений при транспортировке или установке.
При осмотре следует убедиться в отсутствии повреждений бака, фарфора, обмотки, в достаточности уровня и отсутствия масла, наличии пломб и пр.
1. Проверить отсутствие течи масла через уплотнения и в местах сварки. Включение трансформаторов с течью масла недопустимо.
2. Проверить уровень масла в баке. Уровень масла в баке на ТН 6-10кВ должен быть на 20- 25мм ниже уровня крышки, на ТН-35-220кВ не ниже З/4 уровня масломерного стекла.
3. Проверить целостность фарфора вводов, контактных болтов, шпилек магнитопровода.
4. Проверить сопротивление изоляции прессующих болтов по отношению к корпусу ТН, которое должно быть не ниже 1Мом. 5.Удалить консервирующую смазку. б.При наличии воздухоосушительного фильтра убедиться, что селикагель не изменил своего голубого цвета на розовый.
При изменении окраски заменить селикагель.
Отобрать пробу масла для определения пробивного напряжения и проведения химического анализа.
Пробивное напряжение масла должно быть не менее:
З0кв. для тр-ов напряжением до 15кВ.
35кВ. для тр-ов напряжением до 35кВ.
45кВ. для тр-ов напряжением до 220кв.
В масле должны отсутствовать следы воды. Проба масла отбирается при температуре не ниже 5°С.
Примечание:
Для трансформаторов до 20кВ. включительно проба масла не отбирается и допускается полная замена трансформаторного масла при браковочных результатах испытаний изоляции. Если после отбора пробы масла уровень масла ниже указанного, то произвести доливку до требуемого уровня.
Включение трансформатора после доливки допускается не ранее, чем через 24ч, измерить сопротивление изоляции мегомметром с напряжением 1000В. Сопротивление изоляции обм.ВН при температуре 20 С должно быть не ниже 1000 Мом для 6-10кВ. для остальных трансформаторов согласно «Нормам испытаний электрооборудования», -Измерить электрическое сопротивление обмоток по постоянному току. -Проверить полярность обмоток.
В процессе эксплуатации у НТМИ 6-10кВ. при снижении сопротивления изоляции ниже 1000 МOм заменить трансформаторное масло, а при необходимости произвести сушку обмоток.
Подлежат сушке трансформаторы напряжением 6кВ. и выше, если отсутствовало масло или оно было ниже установленного уровня в баке.
Сушка активной части трансформаторов может быть проведена по одному из следующих методов:
а) в специальном вакуум шкафе с электрическим обогревом;
б) методом дутья с помощью воздуходувки;
в) в камере с электрическим обогревом,с применением принудительной или естественной тяги.
Об окончании сушки судят по кривой изменения сопротивления изоляции обмоток. Сушка должна продолжаться до тех пор пока сопротивление в нагретом состоянии (85-100)°С не достигает постоянной величины, которая должна оставаться неизменной в течении, по крайней мере (8- 12ч.)
Температура обмоток должна определяться методом сопротивления или термопарой. При наличии механических повреждений бака или измерением будет выявлен обрыв или плохой контакт, активная часть подлежит выемке из бака и ремонту. Трансформатор должен быть надежно заземлен.
Включение трансформатора в сеть допускается производить толчком на полное напряжение.
В процессе эксплуатации не допускается работа трансформатора при снижении уровня масла, при наличии течи масла, накопления пыли на крышке бака, шинах и вводах. При наличии течи масла трансформатор напряжения должен быть отключен. Необходимо вести визуальное наблюдение с соблюдением правил безопасности за состоянием контактов и т.д. Во время работы исправный трансформатор издает умеренный, равномерно гудящий звук, без резкого шума и треска.
Защита трансформаторов напряжения при самопроизвольных смещениях нейтрали осуществляется активным сопротивлением 25 Ом, постоянно включенным в цепь обмотки разомкнутого треугольника трансформатора напряжения.
Запрещается эксплуатация трансформатора напряжения 6-10 кВ. без выше указанного сопротивления. Активное сопротивление должно быть рассчитано на длительное протекание тока до 4 -5 А.
Это сопротивление устанавливается непосредственно у трансформатора напряжения и подключается к обмотке 3Uo без предохранителей. В сетях, где наблюдаются дательные феррорезонансные колебания, когда постоянно Подключенное активное сопротивление 25 Ом. не предотвращает возникновение или не ограничивает до безопасной величины самопроизвольное смещение нейтрали, надо принять автоматическое подключение в цепь обмотки 3Uo еще одного сопротивления- 25 Ом. в результате чего полное активное сопротивление уменьшается в 2 раза, т.е. до 12,5 Ом.
Автоматическое подключение дополнительного сопротивления 25 Ом. производится только тогда, когда в обмотке появляются токи опасной величины, протекающие по сопротивлению в нейтрали трансформатора напряжения, что наблюдается редко.
В сети с компенсацией емкостных токов (установлены ДГК) самопроизвольные смещения нейтрали возникнуть не могут.
Поэтому какие-либо оперативные действия или применение других мер защиты не требуется.
На подстанциях 110-220кВ. для предотвращения перенапряжений от самопроизвольных смещений нейтрали оперативные действия должны начинаться с заземления нейтрали трансформатора, включаемого на ненагруженную систему шин с трансформаторами напряжения НКФ 110-220кВ.
Перед отделением от сети ненагруженной системы шин с НКФ 110-220кВ. Нейтраль питающего транcформатора должна быть заземлена.
Оперативные действия воздушными выключателями должны проводится так, чтобы НКФ не оказались присоединенными к питающим шинам через конденсаторы, шунтирующие контактные разрывы отделителей воздушных выключателей.
В сетях б-35кВ. в случае необходимости должны применяться меры по предотвращению самопроизвольных смещений нейтрали.
При появлении земли в сети б-10 кВ. немедленно приступить к ее отысканию и устранению. Разземлить нейтраль (где есть заземляющий нож в нейтрали обмотки 10кВ.) или отключить НТМИ-10кВ.
Порядок допуска к осмотру, ремонту и испытаниям оборудования.
Осуществляется соответствующим оперативным персоналом на основании существующих Межотраслевых правил по охране труда при эксплуатации электроустановок.
1. После окончания монтажа, наладки и испытания трансформатора проверить наличие записей служб о готовности к включению.
2. Проверить выполнение всех заземлений на трансформаторе.
З. Проверить соединение маслоуказателъного стекла о крышкой трансформаторе тока (которое обеспечивает выравнивание потенциалов).
4. Проверить уровень масла в маслоуказательном стекле, наличие силикагеля в воздухосушительном фильтре, отсутствие течи масла.
5. Не задействованные вторичные обмотки трансформатора тока должны быть закорочены.
6. Осмотр трансформатора тока производить на подстанциях с постоянным оперативным персоналом ежедневно, без постоянного оперативного персонала не реже одного раза в месяц.
7. При возникновении аварийных режимов с трансформатором необходимо немедленно поставить в известность диспетчера ОДС и действовать согласно местной инструкции по ликвидации аварийных ситуаций. К аварийным режимам относятся:
- снижение уровня масла, течь масла из трансформатора
- изменение цвета силикагеля с голубого на розовый
- нагрев контактов
8. Течь масла из трансформатора может происходить из-за нарушение уплотнений между цоколем и покрышкой, между покрышкой и маслорасширителем в местах сочленения деталей маслоуказателя, а также в местах выхода выводов первичной обмотки Л1 и Л2. Если имеется течь масла в маслоуказательном стекле, трансформатор должен быть отключен.
9. При изменении цвета силикагеля с голубого на розовый необходимо сообщить дефект в группу ПС и диспетчеру ОДС ПЭС.
10. При нагреве контактов и невозможности отключение трансформатора тока, необходимо принять меры к снятию нагрузки с него.
11. При отключении вторичных обмоток от цепей приборов и защит необходимо предварительно замкнуть накоротко вторичные обмотки во избежание их повреждения.
Требования по межотраслевым правилам по охране труда при эксплуатации трансформатора напряжения НТМИ 6-10 кВ.
1. Осмотры, испытания трансформаторов напряжения производятся в соответствии с существующими Межотраслевыми правилами по охране труда при эксплуатации электроустановок, «Правилами пожарной безопасности» при замене трансформаторного масла и сушке изоляции обмоток.
2. Испытания ТН производит бригада, в которой производитель работ должен иметь группу по электробезопасности – IV, член бригады группу – III, охрана группу – II. Работы выполняются по наряду-допуску, персонал должен иметь запись в удостоверении «Испытание оборудования с повышенным напряжением».
3. Для устранения возможности появления на отключенном, для производства работ, на участке электроустановки, напряжения за счёт обратной трансформации, трансформаторы напряжения, связанные с этим участком, следует отключить и со стороны напряжения ниже 100В с вывешиванием плаката : «Не включать – работают люди». (на рубильнике автомата, на предохранителе и т.д.)
4. При несчастном случае принимаются следующие меры безопасности: отключение электроустановки, освобождение пострадавшего от воздействия Тока, оказания первой помощи пострадавшему, сообщение вышестоящему персоналу.
5. Испытательный трансформатор заполненный трансформаторным маслом является взрывоопасным, необходимо производить тех.осмотры перед началом работ на обнаружение подтёков и трещин. При возгорании отключить электроустановку и приступить к тушению порошковыми огнетушителями.
3.6 Комплектные распределительные устройства
При номинальном напряжении 6-35 кВ масса и габариты аппаратов, используемых для распределения электроэнергии между потребителями, относительно невелики. Это позволяет изготовлять распределительные устройства (РУ) или отдельные их элементы (ячейки) полностью в заводских условиях. Распределительные устройства, изготовляемые укомплектованными блоками для монтажа на месте эксплуатации, называют комплектными распределительными устройствами (КРУ).
Принятая классификация КРУ предусматривает разделение их на устройства внутренней и наружной установки, а также по ряду других признаков, в том числе по климатическим условиям работы, по конструктивному исполнению, типу коммутационного аппарата, условиям обслуживания.
Состав ячеек КРУ может быть различным. В зависимости от главного элемента различают ячейки с выключателями, с трансформаторами напряжения, с кабельными или воздушными вводами и т. д. Число вариантов исполнения каждого из упомянутых типов ячеек может достигать 8-10. Например, ячейки с высоковольтным выключателем могут различаться типом выключателя, наличием или отсутствием трансформаторов тока, заземляющего разъединителя, кабельной разделки, направлением вывода нагрузки и т. д. Так, отечественные КРУ серии КРУ-2-10 класса напряжения 10 кВ имеют 21 вариант схем ячейки с выключателем. Все возможные схемы исполнения ячеек КРУ этого типа приводятся в соответствующих технических описаниях и справочниках в виде так называемых сеток схем.
Рассмотрим основные черты конструкции одного из наиболее совершенных отечественных КРУ типа КЭ-10, выпускаемого Ровенским заводом высоковольтной аппаратуры (РЗВА). КРУ типа КЭ-10 предназначены для работы на подстанциях общепромышленного назначения, а также при частых коммутационных операциях. Сетка схем главных цепей КРУ КЭ-10 включает в себя 48 вариантов схем. Шкафы КРУ подразделяются на шкафы с выключателями, разъединителями, предохранителями силовыми, трансформаторами напряжения, трансформаторами собственных нужд, разрядниками, а также на шкафы глухих вводов и кабельных сборок (всего 27 типоисполнений). Как и все отечественные КРУ внутренней установки классов напряжения 6-10 кВ, они предназначены для работы с одинарной системой сборных шин.
Сведения о ячейках КЭ-10 двух вариантов исполнения на номинальные токи отключения 20 и 31,5 кА, с электродинамической стойкостью 52 и 81 кА соответственно. Ячейки КЭ-10 обладают наименьшей среди отечественных КРУ шириной (750 мм) и имеют твердое изоляционное покрытие всех токоведущих элементов высокого напряжения.
Все элементы ячейки размещены внутри металлического шкафа, состоящего из каркаса, выдвижного элемента и релейного шкафа. Каркас, представляющий собой покрытый металлическими листами сборный корпус, разделен стальными перегородками толщиной 2 мм на отсеки, в том числе отсек сборных шин, отсек выдвижного элемента, отсек отпаек сборных шин и отсек линейных шин. Это позволяет локализовать в пределах одного шкафа возможные повреждения при возникновении электрической дуги.
Сборные шины выполняются из алюминиевых и медных полос. а в тропическом исполнении - только из медных.
В отсеке линейных шин размещены линейные шины и отпайки. проходящие в отсек выключателя через проходные изоляционные втулки или через втулки трансформаторов тока. В зависимости от схемы главных цепей в линейном отсеке устанавливается до трех трансформаторов тока. Предусмотрена также установка заземляющего устройства, включение которого невозможно при замкнутом выключателе.
Отсек сборных шин закрыт сверху свободно открывающейся крышкой с жалюзи. Сборные шины устанавливаются в специальных пазах изоляционных опор.
Крепление отпаек в отсеке отпаек сборных шин выполнено по воротным, что дает возможность очищать нижнюю часть опоры от пыли.
При компоновке шкафов с кабельными вводами в средней; части шкафа организуется кабельный отсек. Конструкция KРУ позволяет подключать до четырех кабелей сечением 3X240 мм в шкафу с выключателем и до десяти аналогичных кабелей в шкафу кабельных сборок.
Отсек выдвижного элемента предназначен для размещения тележки с электромагнитным выключателем, штепсельным разъединителем, трансформатором напряжения или другим элементом.
В варианте исполнения ячейки на выдвижном элементе размещен электромагнитный выключатель типа ВЭ-10, подключаемый к схеме КРУ с помощью разъемных контактов. Изоляция разъемных контактов выполнена горшкового типа и обеспечивает разделение отсека кабельной сборки и отсека выключателя.
При одностороннем обслуживании (доступ к шкафу только с лицевой стороны) и двухрядном расположении ячеек достигнутая в конструкции малая глубина всей ячейки и выдвижного элемента позволяют обеспечить необходимую ширину прохода 1,8 м при общей ширине помещения РУ, равной 6 м, что меньше, чем для других типов отечественных КРУ.
Защитная и сигнализационная аппаратура ячейки расположена внутри релейного шкафа. В зависимости от числа элементов в схеме вспомогательных соединений релейные шкафы КРУ КЭ-10 выпускаются в двух типоисполнениях высотой 715 и 900 мм, причем в последнем случае общая высота ячейки увеличивается до 2585 мм.
Основными элементами релейного шкафа является сварной каркас с дверью и подвижная тележка с установленной на ней аппаратурой защиты и управления. Для удобства обслуживания каретка имеет возможность выдвигаться из шкафа и поворачиваться на 90°. Подсоединение релейного шкафа и тележки выполнено с помощью гибких проводов и разъемных контактов по 20 цепей в каждом. На двери релейного шкафа размещены счетчики электроэнергии, блоки указательных реле, а также другая аппаратура, в том числе устанавливаемая и по специальному требованию заказчика.
На базе ячеек типа КЭ-10 освоен выпуск шкафов КРУ типа КМ-10. Их отличие от базового варианта заключается в установке на выдвижном элементе маломасляных выключателей колонкового типа серии ВК-Ю, и технические данные практически совпадают с КРУ базового варианта.
Рассмотрим варианты исполнения ячеек с выключателем КРУ классов напряжения 7,2-24 кВ фирмы ВВС (Швейцария) типов ВВ и ВА. Они могут отличаться один от другого не только схемами главных цепей, но и наличием или отсутствием металлической перегородки между отсеком сборных шин и отсеком выключателя, возможностью использования в РУ с одинарной или двойной системой сборных шин и т. д.
Основным вариантом является тип ВВ1. Его важнейшие особенности: использование в качестве сборных шин одинаковых труб для всех классов напряжения; доступ к кабельному вводу с передней стороны ячейки, что позволяет устанавливать ее у стены здания (возможность одностороннего обслуживания), идентичность разъемов подключения выключателя к сборным шинам или к кабельному вводу, что дает возможность при необходимости менять их местами.
Ячейка типа ВА1 отличается от ВВ1 наличием металлических перегородок, образующих отсеки сборных шин, выключателя и кабельного ввода. Она снабжена подвижными металлическими заслонками, прикрывающими отверстия высоковольтных вводов. При необходимости компоновки схемы РУ с двойной системой сборных шин требования максимальной надежности и безопасности привели к созданию варианта типа ВА2. Устройство состоит из двух шкафов типа ВА1, установленных задними стенками вплотную один к другому. Единственным отличием является высоковольтный проходной изолятор, установленный в задней стенке.
Ограничения, накладываемые строительными условиями по вводу кабеля в ячейку или сверху, обусловили создание КРУ других вариантов, которые нуждаются в обслуживании и со стороны задней стенки шкафа и могут быть использованы при кабельной подводке с обеих сторон. Стремление к унификации изделий и увеличению серийности при изготовлении КРУ Приводит к постоянному уменьшению числа вариантов исполнения, например, в КРУ GA-24 их три-четыре.
Элементы ячеек КРУ размещаются, как правило, внутри прочного" металлического заземленного шкафа. Принятая международная классификация защитных оболочек фиксирует как возможность проникновения через отверстия в оболочке тел определенного размера, так и степень защищенности оборудования от попадания воды. Шкафы современных КРУ выполняются с уровнем защищенности не ниже IP30, что соответствует максимальному диаметру отверстий в оболочке не более 2,5 мм и отсутствию защиты от воздействия воды как в виде дождя, так и в виде отдельных капель. Выбор уровня защищенности оболочки обусловливается работой КРУ в закрытом помещении или под открытым небом, а также наличием в окружающей среде влаги, песка, пыли или мелких насекомых.
При размещении ячейки КРУ внутри шкафа важной особенностью конструкции является либо возможность одностороннего обслуживания, либо необходимость обслуживания с двух сторон. В первом случае ячейки могут быть установлены в два ряда вплотную к стене помещения РУ с проходом для контроля и обслуживания шириной 1800-2200 мм. При этом достигается компактное размещение большого числа ячеек. При двухстороннем "обслуживании вдоль стены должен быть оставлен коридор шириной не менее 1 м, и общая занимаемая площадь возрастает.
В зависимости от наличия или отсутствия внутренних перегородок в соответствии с рекомендацией МЭК КРУ делятся на три типа: с металлическими перегородками между отсеками шкафа; с перегородками из диэлектрического материала; без перегородок.
При этом ячейки второго типа обладают тем преимуществом, что при коротком замыкании внутри ячейки электрическая дуга не фиксируется на диэлектрических перегородках.
Наиболее ответственным элементом схем КРУ являются высоковольтные выключатели (ВВ), выполняющие основные функции по перераспределению потоков энергии. Они определяют такие наиболее существенные для потребителя параметры КРУ, как номинальный рабочий ток, номинальный ток короткого замыкания и др. Конструкция ВВ, используемая в нем среда дугогашения являются важными характеристиками КРУ. Первоначально в качестве среды дугогашения использовались воздух и минеральное масло, в настоящее время - вакуум и элегаз. По оценкам специалистов КРУ среднего и высокого напряжения на 40-60 % должны оснащаться вакуумными выключателями. Некоторые фирмы развитых стран (например, японская «Мейденша») полностью перешли на выпуск КРУ с вакуумными выключателями, а фирма ВВС (ФРГ) разработала взаимозаменяемые выключатели с элегазовым или вакуумным принципом гашения дуги, позволяющие по требованию заказчика использовать ту или иную среду дугогашения в любой схеме КРУ.
4. Координация изоляции и защита от перенапряжений
4.1 Координация изоляции
Защита оборудования подстанций от набегающих волн и координация изоляции на подстанциях базируется в настоящее время на использовании разрядников типов РВП, РВС и ОПН нынешнего поколения по ГОСТ 16357-70. Трансформаторы и автотрансформаторы 150 и 220 кВ имеют два уровня изоляции:
Основной, скоординированный с разрядниками РВП и РВМГ;
Повышенный, скоординированный с разрядниками РВС и ОПН.
Изоляция аппаратов и измерительных трансформаторов имеет один повышенный уровень.
На подстанциях до 110 кВ включительно, где установлены трансформаторы с повышенным уровнем изоляции, место установки вентильных разрядников и ограничителей перенапряжений выбирается таким образом, чтобы обеспечить защиту всего оборудования минимальным числом защитных аппаратов(например, по одному комплекту на каждую систему шин). При этом допускается наличие коммутационных аппаратов между РВ (ОПН) и трансформаторами, поскольку уровень изоляции трансформаторов выше возможной кратности большинства коммутационных перенапряжений, т.е. перенапряжений при включении и отключении.
Для оценки надежности защиты подстанционного оборудования от набегающих волн необходимо сопоставить напряжения на изоляции с её электрической прочностью. При этом следует учитывать, что формы волн напряжения на изоляции являются нестандартными.
Перекрытие изоляции на подстанции в большинстве случаев означает дуговое к.з. в непосредственной близости от сборных шин, которое может привести к системным авариям.
В результате перекрытия внешней изоляции возникает так называемый срез, т.е. практически мгновенный спад напряжения до нуля, являющийся причиной больших градиентных перенапряжений в обмотках трансформаторов, вызывающих в неблагоприятных случаях повреждение продольной изоляции. Пробой внутренней изоляции в отличии от перекрытия внешней – это в большинстве случаев необратимый процесс, приводящий к выходу из строя аппарата в целом.
Подстанции защищаются как от прямых ударов молний, так и от волн напряжения, набегающих с линии.
Повреждения или перекрытия изоляции на подстанции принципиально могут быть обусловлены тремя причинами:
Прорывом молнии мимо молниеотводов;
Возникновением высокого потенциала на заземлении пораженного молниеотвода, приводящего к обратному перекрытию с заземлителя на токоведуще части установки;
Возникновением высоких потенциалов под влиянием волн, приходящих с линии.
Если обозначить число опасных случаев в год, обусловленных перечисленными выше причинами, соответственно О1,О2 и О3, то расчетное число лет безаварийной работы подстанции
М=1/(О1+О2+О3)
М – показатель грозоупорности подстанции.
Для того чтобы обеспечить как можно меньшую вероятность повреждения изоляции подстанции, число М должно более чем на порядок превосходить нормальный срок службы оборудования, т.е. должно измеряться сотнями лет.
Координация характеристик изоляции аппаратов и РВ (ОПН) должна проводиться для всех возможных схем работы подстанции (разное число присоединений к шинам линий, связанная или раздельная работа секций и систем шин, выводов в ремонт секций с присоединенными РВ или ОПН и т.д.). Наивыгоднейшая схема защиты может быть спроектирована только при учете всех индивидуальных особенностей данной подстанции и при реальной оценке возможных и наиболее вероятных волн перенапряжений, приходящих с линий. Наиболее целесообразно расположение РВ и ОПН на подстанциях с более или менее сложной схемой можно определить лишь экспериментально, на анализаторах молниезащиты.
При разработке системы защиты подстанций от волн перенапряжений в первом приближении можно воспользоваться рекомендациями ПУЭ и НТП.
4.2 Защита электрооборудования от импульсов грозовых перенапряжений, набегающих с ВЛ
На ОРУ-110 кВ от волн перенапряжений приходящих с линий осуществляется вентильными разрядниками типа РВС-110 кВ.
В настоящее время в электрических системах для защиты электрооборудования от перенапряжений всеобщее распространение получили ограничители перенапряжений нелинейные (ОПН).
Хотя в этих целях по-прежнему используются и вентильные разрядники, однако, в новых проектных разработках применяются только ОПН, а при реконструкции действующих электроустановках РВ заменяют на ОПН.
Вентильные разрядники комплектуются нелинейными резисторами (варисторами) на основе карбида кремния (SiC) и искровыми промежутками, которые подключают нелинейный резистор между фазным проводом и землей только на короткое время для ограничения грозовых, а в установках сверхвысокого напряжения и коммутационных перенапряжений. Вследствие относительно невысокой нелинейности их варисторов РВ не позволяют обеспечить достаточное ограничение перенапряжений. Более глубокое их снижение требует уменьшение сопротивления нелинейного резистора, что приводит в вентильных разрядниках к существенному увеличению сопровождающих токов. Искровые промежутки даже достаточно сложной конструкции не в состоянии погасить большие сопровождающие токи. Включение варистора под рабочее напряжение без искровых промежутков оказывается невозможным, вследствие, сравнительно большого тока протекающего по варистору постоянно, а также из-за низкой термической устойчивости. На замену РВ пришли ОПН – защитные аппараты без искровых промежутков с высоконелинейными варисторами из металлооксидной керамики, постоянно подключенными между фазным проводом и землей. В отличие от РВ ОПН могут ограничивать и грозовые и коммутационные перенапряжения в электроустановках любых классов напряжений. Отметим также, что на воздушных линиях электропередачи (ВЛ) происходит замена РВ на ОПН. ОПН устанавливается вместо РВ на опорах ВЛ в местах с ослабленной изоляцией, в начале и конце защищенного подхода перед подстанцией на опорах вокруг пересечений ВЛ, на длинных переходах ВЛ и т.д. На первый взгляд применение ОПН представляется простым и эффективным решением задачи по ограничению перенапряжений. Исключение из ограничителя коммутирующих искровых промежутков повышает надежность этого защитного аппарата. Ограничение коммутационных перенапряжений в ЭУ U = 220 кВ и ниже позволяют существенно облегчить изоляцию либо повысить надежность изоляций таких ЭУ, которая в обычном исполнении рассчитана на воздействие коммутационных перенапряжений, не ограниченных защитными промежутками.
Однако, постоянное нахождение варистора ОПН под напряжением ставит проблему обеспечения тепловой устойчивости ОПН и при длительных рабочих напряжениях, а при ограниченных по времени повышениях напряжения в рабочих режимах электроустановки, и при установившихся (квазистационарных) перенапряжениях. При нарушениях тепловой устойчивости варистора возможны, и как показывает аварийная статистика, происходят взрывы и разрушения.
Отсюда возникает комплексная задача, как выбрать ОПН, чтобы он имел достаточную энергоемкость и надежно работал при длительных напряжениях и при временных повышениях, а также обеспечивал требуемое ограничение грозовых и коммутационных перенапряжений.
4.3 Сравнение РВ и ОПН
Принцип действия и основные характеристики Ограничителей Перенапряжений. В середине 70-х годов в СССР и Японии были созданы опытные образцы защитных аппаратов на основе варисторов из оксидно-цинковой керамики. Коэффициент нелинейности ВАХ для таких варисторов составляет α≈0,02 для широкой области изменения тока, что на порядок меньше а для варисторов из карбида кремния.
Использование оксидно-цинковых варисторов позволило разработать защитные аппараты без искровых промежутков: при рабочем напряжении токи через варисторы измеряются миллиамперами, а при перенапряжениях достигают сотен и тысяч ампер. Такие аппараты в СССР получили название «нелинейных ограничителей перенапряжений» - ОПН, за рубежом их называют «металлооксидными ограничителями», присваивая им различные фирменные названия и обозначения.
Высокая нелинейность ВАХ и большая удельная энергоемкость оксидно-цинковых варисторов позволяют существенно улучшить как защитные, так и массогабаритные характеристики ОПН по сравнению с разрядниками. Кроме того, использование ограничителей позволяет устранить существенные недостатки, свойственные разрядникам:
нестабильность защитных характеристик, обусловленную разбросом напряжения срабатывания искровых промежутков и его снижением после многократных воздействий импульсов тока;
снижение пробивного напряжения разрядников при увлажнении загрязненной поверхности покрышки, определяющего возможность выхода аппарата из строя в нормальном эксплуатационном режиме;
сложность профилактики (контроля пробивного напряжения);
нестабильность защитных характеристик вследствие существенного влияния температуры на ВАХ карбидокремниевых резисторов и ее деградация от воздействия импульсов тока при ограничении перенапряжений;
поглощение из сети избыточной энергии при протекании сопровождающего тока;
сложность конструкции, подбора параметров элементов и настройки пробивного напряжения искровых промежутков.
После подтверждения эксплуатационной надежности ограничителей ведущие фирмы - производители защитной аппаратуры приступили к свертыванию производства разрядников и их замене ограничителями. Так, в 1983 г. в Японии было полностью прекращено производстве; разрядников, как и в Швеции, Швейцарии, США.
Простота конструкции, компактность, способность работать в различных средах, возможность регулирования характеристик оксидно-цинковых варисторов обеспечили ограничителям широкое использование в современных аппаратах, в том числе в элегазовых распредустройствах. При создании разъединителей ограничители могут использоваться как опорные изоляционные конструкции. В трансформаторах ограничители могут размещаться внутри бака, - что позволяет выравнивать распределение напряжения по витковой изоляции. Малая масса ограничителей при использовании полимерных корпусов позволяет использовать их в виде подвесных и оттягивающих изоляторов.
Ограничитель присоединен к сети в течение всего срока службы, поэтому через его варисторы непрерывно протекает ток. Допустимая плотность активного тока составляет несколько микроампер на 1 см2 , при этом плотность емкостного тока составляет 10-20 мкА/см2 . Ограничитель сохраняет работоспособность до тех пор, пока воздействием рабочего напряжения и импульсов перенапряжений активная составляющая тока не превысит критического значения, при котором нарушается тепловое равновесие аппарата.


Рис. 4.3.1 - Конструкция нелинейного ограничителя перенапряжений наружного исполнения в фарфоровом (а) и полимерном (б) корпусах
Поглощение ограничителем энергии из сети препятствует повышению перенапряжения, что обеспечивает защиту изоляции высоковольтного оборудования РУ. Основными конструктивными элементами ограничителя наружного исполнения наряду с одним или несколькими столбами варисторов (рис. 4.3.1) являются: колонки варисторов 7; изолирующий корпус 2 с ребрами, обеспечивающий необходимую электрическую прочность конструкции; фланцы 4 корпуса со смонтированными на них узлами герметичности и взрывобезопасности 3 и наружный тороидальный экран 6 с экранодержателями 5, обеспечивающий выравнивание распределения напряжения по варисторам, ограничение стримерной короны и необходимую электрическую прочность воздушной изоляции. При использовании фарфоровой покрышки в аппарате предусматривается сквозная полость 1, обеспечивающая передачу избыточного давления внутри корпуса при аварийном дуговом перекрытии на клапаны взрывобезопасности и предохраняющая аппарат от взрывного разрушения. В полости корпуса размещены также элементы крепления варисторов и теплопроводящая прослойка 8, передающая избыток теплоты от варисторов на корпус.
В последнее время для изготовления корпусов ограничителей стали использоваться полимерные материалы, например стеклопластик,- для цилиндров 9 с силиконовыми ребристыми покрытиями 10. Использование полимерных корпусов позволяет существенно снизить массу аппаратов, упростить решение вопросов, связанных со взрывобезопасностью, теплоотводом и надежностью работы ограничителей в условиях сильно загрязненной окружающей среды.
В табл. 4.3.1 приведены основные защитные и конструктивные характеристики ОПН, выпускаемых в СССР.
Таблица 4.3.1
| Тип ограничителя | Номинальное напряже | Кратность | ограничения | Высота ограничителя, м | Масса ограничителя (одной фазы) кг |
| перенапряжений | |||||
| ние, кВ | коммутаци- | ||||
| онных | грозовых | ||||
| ОПН-110 | 110 | 1,75 | 2,42 | 1,45 | 50 |
| ОПН-150 | 150 | 1,75 | 2,35 | 2,0 | 80 |
| ОПН-220 | 220 | 1,75 | 2,24 | 2,78 | 115 |
| ОПН-330 | 330 | 1,75 | 2,36 | 4,15 | 250 |
| ОПН-500 | 500 | 1,75 | 2,15 | 5,42 | 510 |
| ОПН-750 | 750 | 1,75 | 2,10 | 9,30 | 1250 |
| ОПН-750 | 750 | 1,75 | 2,10 | 8,29 | 1000 |
| ОПН-1150 | 1150 | 1,60 | 1,80 | 8,0 | 2600 |
| ОПНО-1150 | 1150 | 1,60 | 1,80 | 8,0 | 2400 |
Принцип действия и основные характеристики Вентильных Разрядников . Основными элементами вентильного разрядника являются многократный искровой промежуток и соединенный последовательно с ним резистор с нелинейной вольт-амперной характеристикой (рис. 4.3.2). При воздействии на разрядник импульса грозового перенапряжения пробивается искровой промежуток и через разрядник проходит импульсный ток, создающий падение напряжения на сопротивлении разрядника. Благодаря нелинейной вольт-амперной характеристике материала, из которого выполнено сопротивление, это напряжение мало меняется при существенном изменении импульсного тока и незначительно отличается от импульсного пробивного напряжения искрового промежутка разрядника. Одной из основных характеристик разрядника является остающееся напряжение разрядника U/ост , т. е. напряжение при определенном токе (5-14 кА для разных UH 0 M ), который называется током координаци u . Импульсное пробивное напряжение искрового промежутка разрядника и близкое к нему напряжение Uост должны быть на 20-25% ниже разрядного напряжения изоляции (координационный интервал).

Рис. 4.3.2 - Вольт-амперные характеристики вентильного разрядника и пути уменьшения остающегося напряжения
После окончания процесса ограничения перенапряжения через разрядник продолжает проходить ток, определяемый рабочим напряжением промышленной частоты. Этот ток (так же, как и у трубчатых разрядников) называется сопровождающим током. Сопротивление нелинейного резистора разрядника резко возрастает при малых по сравнению с перенапряжениями рабочих напряжениях, сопровождающий ток существенно ограничивается, и при переходе тока через нулевое значение дуга в искровом промежутке гаснет. Наибольшее напряжение промышленной частоты на вентильном разряднике, при котором надежно обрывается проходящий через него сопровождающий ток, называется напряжением гашения Uгаш , а соответствующий ток - током гашения Uгаш . Гашение дуги сопровождающего тока должно осуществляться в условиях однофазного замыкания на землю, так как во время одной и той же грозы могут произойти перекрытие изоляции на одной фазе и срабатывание разрядника в двух других фазах. Таким образом, напряжение гашения должно быть равным напряжению на неповрежденных фазах при однофазном замыкании на землю:
U гаш = k 3 U ном , (4.2.1)
где k 3 - коэффициент, зависящий от способа заземления нейтрали (ниже будет показано, что k 3 = 0,8; 1,1 соответственно для установок с заземленной и изолированной нейтралью); £/вом - номинальное линейное напряжение.
Эффективность действия разрядника характеризуется так называемыми защитными отношениями:
k= Uпр~/Uгаш;(4.2.2)
kзащ = U ост/1.43 U гаш, (4.2.3)
где Unp - пробивное напряжение искрового промежутка разрядника при 50 Гц.
Основное значение для грозозащитных разрядников имеет снижение k 3 m , которое может быть достигнуто двумя путями. Первый путь - получение более пологой вольт-амперной характеристики (рис. 16-7, кривая 2) - уже в достаточной мере использован и в настоящее время не открывает реальных перспектив. Второй путь - увеличение тока гашения за счет улучшения дуго-гасящих свойств промежутка - позволяет снизить вольт-амперную характеристику во всем диапазоне токов (кривая 3).
Вентильные разрядники обладают определенной пропускной способностью, т.е. предельной величиной тока, который они могут многократно пропускать без изменения своих электрических характеристик. Пропускная способность разрядника зависит от теплостойкости его нелинейного резистора. До недавнего времени вследствие недостаточной пропускной способности вентильные разрядники отстраивались от внутренних перенапряжений, т.е. имели пробивное напряжение выше возможной величины внутренних перенапряжений и предназначались только для ограничения кратковременных перенапряжений грозового происхождения. Разработка нелинейных резисторов с более высокой пропускной способностью и применение новых принципов гашения дуги сопровождающего тока ^позволяют в настоящее время возложить на разрядники также и функцию ограничения более длительных внутренних перенапряжений. Это обстоятельство открывает перспективу дальнейшего снижения уровней изоляции электрооборудования и повышения его экономической эффективности.
4.4 Замена вентильных разрядников на ОПН
По ГОСТ 16357-70 разрядники РВС относятся к III группе и имеют следующие характеристики:
РВС-110. Uгаш.РВ = 102 кВ,
Uпр.г = 258 кВ,
Uост.г = 367 кВ при Iг = 10 кА.
Согласно ГОСТ 1516.3-96 испытательное напряжение полным грозовым импульсом нормальной изоляции силовых трансформаторов и аппаратов равно Uисп.гп = 460 кВ. Испытательное напряжение полным грозовым импульсом изоляций нейтрали силовых трансформаторов равно Uисп.н.гп = 200 кВ.
Выбор ОПН, включенных на шинах ПС. Напряжение Uнр.опн в соответствие с исходными данными равно:
Uнр.с = 1,1 Uном. /√3 = 1,1∙110/√3 = 70 кВ. (4.4.1)
Учет высших гармоник из-за влияния тяговой ПС вычисляется по формуле:
Uнр.с1 = 1,1∙ Uнр.с = 77 кВ (4.4.2)
С учетом коэффициента запаса
Uнр.опн ≥ 1,05∙Uнр.с1 = 1,05∙77 = 81 кВ (4.4.3)
По табл.1 этому условию соответствует следующие ОПН:
- EXLIM-Q-108: Uнр.опн = 84 кВ (АВВ-УЭТМ);
- ОПН-У/TEL-110/84: Uнр.опн = 84 кВ (TEL);
- Varistar AZG-2, AZG-3, AZG-4; Uнр . опн = 84 кВ (Cooper-ЭЛЗ);
- ОПН-110/88: Uнр . опн = 88 кВ (Феникс).
Проверка по характеристике «напряжение – время» Uв.опн (tв ).
По табл.1 берем зависимость Кв.опн (tв ) для предварительно нагруженного ОПН (индекс В):
- EXLIM-Q-108: Кв.опн = 1,525 – 0,075lgtв ;
- ОПН-У/TEL-110/84: Кв.опн = 1,50 – 0,06lgtв ;
- Varistar: Кв.опн = 1,41 – 0,07lgtв ;
- ОПН-110/88: Кв.опн = 1,5 – 0,06lgtв ;
Из приведенных исходных данных следует, что наибольшему значению Ку3 =1,8 соответствует tу3 = 0,2 с, а наибольшему tу2 = 4,0 с соответствует Ку2 =1,45.
В именованных величинах отрезок времени 0,2 с соответствует напряжению:
Uу3 = Ку3 ∙Uраб.наиб /√3 = 1,8∙1,15∙110/√3 = 132 кВ. (4.4.4)
Времени 4,0 с соответствует
Uу2 = Ку2 ∙Uраб.наиб /√3 = 1,45∙1,15∙110/√3 = 106 кВ. (4.4.5)
Расчеты сведены в табл. 4.4.1
Определение Uнр.опн по характеристике «напряжение-время» табл. 4.4.1
| Тип ОПН | Паспортные значения | Uу , кВ | Кв.опн | Расчетное значение Uнр.опн , кВ | |
| Uнр.опн , кВ | tу , c | ||||
| EXLIM-Q-108 | 84 | 0,2 4,0 |
132 106 |
1,578 1,480 |
83,6 71,6 |
| ОПН-У/TEL-110/84 | 84 | 0,2 4,0 |
132 106 |
1,542 1,484 |
85,6 72,4 |
| Varistar | 84 | 0,2 4,0 |
132 106 |
1,459 1,468 |
90,5 72,2 |
| ОПН-110/88 | 88 | 0,2 4,0 |
132 106 |
1,548 1,484 |
85,6 72,4 |
Результаты расчетов показывают, что для использования могут быть рекомендованы ограничители EXLIM-Q-108 и ОПН-110/88, у которых паспортные значения Uнр.опн превышают расчетные по характеристике «напряжение-время» значения Uнр.опн .
Взрывобезопасность у выбранных ограничителей обеспечивается, т. к. Iкз = 20 кА меньше для Iвб = 65 кА для EXLIM-Q-108 и равен Iвб = 20 кА для ОПН -100/88.
Длина пути утечки должна соответствовать С-3-2, т.е.
λэ = 2,0 см/кВ
или
lут = λэ ∙Uраб.наиб. = 2,0∙127 =254 см. (4.4.6.)
Этому требованию удовлетворяет ограничитель ОПН-П-110/88 (см. табл.4.4.1).
Итак, окончательно для замены РВС-110 используется ограничитель, у которого (см. табл.1) остающиеся напряжения равны;
Uост.г.опн = 260 кВ при Iг = 10 кА
Uост.к.опн = 216 кВ при Iг = 1000 А
Защитный уровень при коммутационных напряжениях.
Должно быть выполнено условие:
tв.доп.к
= tв.к
[1 -
(tу.к-1
/tв.доп.к-1
)] (4.4.7)
с учетом Uост.к. ≤Uдоп.к.
Для оборудования 110 кВ по ГОСТ 1516.3-96 нормируется одноминутное испытательное напряжение:
Uисп.1 = 200 кВ
Оценка испытательного напряжения коммутационным импульсом проводится по Uдоп.к = Uисп.к (1,15 – 1,2).
- для силовых трансформаторов Uисп.к.т = √2∙1,3∙200 = 367 кВ;
- для аппаратов Uисп.к.опн = √2∙1,15∙200 = 324 кВ.
Значения допустимого напряжения равны:
- для силовых трансформаторов Uдоп.к.т = 367/1,2 = 306 кВ;
- для аппаратов Uдоп.к.апп = 324/1,2 = 270 кВ.
Превышения Uдоп.к по отношению к Uост.к.опн составляют:
- для трансформаторов в 306/216 = 1,4 раза
- для аппаратов в 270/216 = 1,25 раза
Отсюда следует, что при коммутационных перенапряжениях ОПН создает дополнительный запас электрической прочности нормальной изоляции, которая при напряжениях 110-220 кВ рассчитана на работу без ограничения коммутационных перенапряжений.
Защитный уровень при грозовых перенапряжениях.
Остающееся напряжение ОПН меньше остающегося напряжения РВС в 367/260 = 1,4 раза. Поэтому возможна установка ОПН в той же ячейке, где располагался РВС, либо допустимо увеличить расстояние от ОПН до защищаемой изоляции. В нашем случае при lзп = 2 км согласно
lопн.из
= lрв.из
(4.4.8)
расстояния могут быть увеличены до следующих значений.
Подстанция работает в режиме – два трансформатора и две воздушных линии:
lопн.из.т1
= 90
= 194 м (4.4.9)
lопн.из.ап.1
= 200
= 430 м (4.4.10)
Подстанция работает в режиме – два трансформатора и одна воздушная линия.
lопн.из.т2
= 75
= 161 м (4.4.11)
lопн.из.ап.2
= 150
= 322 м (4.4.12)
Получаем увеличение расстояния более чем в два раза.
Заключение. Задача по замене РВС на ОПН для данной ОРУ может быть решена следующим образом. Вместо РВС-110 применяются ОПН типа
ОПН-П-110/88. Их можно установить в те же ячейки, где были установлены РВС-110, что значительно повысит надежность защиты оборудования ОРУ от грозовых перенапряжений. В частности, опасная зона (защищенный подход) на ВЛ может быть существенно сокращена.
4.5 Электрический расчет проходного изолятора на 110 кВ с бумажно-масляной изоляцией
Вводами называются проходные изоляторы на напряжения 35кВ и выше с более сложной внутренней изоляцией. Вводы применяются в качестве проходных изоляторов трансформаторов, выключателей и других аппаратов. Основными характеристиками ввода являются номинальное напряжение, рабочий ток и во многих случаях допустимая механическая нагрузка на токоведущий стержень.
Ввод представляет собой конструкцию с внешней и внутренней изоляцией. К внешней изоляции относятся промежутки в атмосферном воздухе вдоль поверхности изоляционного тела, к внутренней – участки в самом изоляционном теле, а также промежутки вдоль поверхности изоляционного тела, находящиеся внутри корпуса, если последний заполнен газообразным или жидким диэлектриком. Конструкция внутренней изоляции ввода оказывает большое влияние и на характеристики его внешней изоляции. Например, от числа и размеров дополнительных электродов, располагаемых в изоляционном теле для регулирования электрического поля, зависит характер изменения напряженности вдоль поверхности изолятора и, следовательно, разрядные напряжения его внешней изоляции.
Изоляционное тело служит одновременно и креплением токоведущего стержня. Оно воспринимает все механические усилия, которые действуют на стержень. С увеличением номинального напряжения и размеров изоляционного тела резко возрастают механические нагрузки от собственной массы изолятора. Наиболее опасными для вводов являются механические нагрузки, изгибающие его изоляционное тело. Поэтому для крупных изоляторов, имеющих большую массу, ограничивают угол отклонения от вертикали в рабочем положении.
Нагрев ввода обуславливает потери в токоведущем стержне от рабочих токов, а также диэлектрические потери в изоляционном теле. Кроме того, нагрев может происходить и за счет тепловыделений, имеющих место внутри корпуса оборудования. Например, в трансформаторах, реакторах и силовых конденсаторах вводы соприкасаются с нагретым маслом, заполняющим внутренний объем баков. С увеличением рабочего напряжения и радиальных размеров изолятора отвод тепла от токоведущего стержня и из толщи изоляции значительно затрудняется. Поэтому становятся более жесткими и требования в отношении диэлектрических потерь во внутренней изоляции.
Вводы на 110кВ и выше выполняются только заполненными маслом, т.е. с маслобарьерной или бумажно-масляной внутренней изоляцией. Для аппаратов и трансформаторов на напряжения 110кВ и выше в последние годы преимущественное применение получили вводы с бумажно-масляной изоляцией. Конструкция такого ввода на напряжение 110кВ показана на листе. Основной внутренней изоляцией в нём является пропитанный маслом бумажный остов, намотанный на токоведущий стержень.
Благодаря высокой кратковременной и длительной электрической прочности бумажно-масляной изоляции, вводы указанного типа имеют наименьшие радиальные размеры. Основной их недостаток – резкое ухудшение характеристик при увлажнении. В связи с этим к их конструкции предъявляются повышенные требования в отношении герметичности; маслорасширители непременно снабжаются специальными осушителями воздуха.
Расчёт изоляционного остова ввода с бумажно-масляной изоляцией для трансформатора на 110 кВ.
Чтобы пренебречь изменением, напряженность электрического поля в аксиальном направлении считаем, что емкости слоев изоляционного остова одинаковы.
Выдерживаемое напряжение в сухом состоянии UC 0 =295кВ.
Выдерживаемое напряжение под дождём UМ0 =215кВ.
Испытательное напряжение UИС =265кВ.
Расчётное напряжение ввода по 1.55[2]:
кВ
Фазовое расчётное напряжение по 1.56[2]:
кВ
Наименьшую толщину слоя изоляции примем
=0,1см. При такой толщине слоя максимальная расчётная напряжённость, вычисляемая по напряжению скользящи скользящих разрядов по 1.75[2]:
кВ/см, где e=3.5 для бумаги пропитанной маслом.
Расчётная напряжённость, вычисляемая по напряжённости неустойчивой ионизации (по условию частичных разрядов) в принятой толщине слоя по 1.66[2]:
кВ/см.
За расчётную принимаем наименьшую из напряжённостей, т.е.Еr .макс.расч. =125кВ/см.
Количество слоёв в изоляционном остове по 1.74[2]:
26.
При таком количестве слоёв длина уступа по масляной части по 1.79[2]:

![]()
см,
где коэффициент запаса электрической прочности по отношению к расчетному напряжению m=1.4.
Сумма длин уступов по масляной части остова:
см.
Длину уступа по воздушной части принимаем по 1.84[2]:
см.
см
Принимаем
см,
а сумма длин уступов по воздушной части остова:
см,
полная длина уступов:
см.
При условии получения минимального объёма остова длина n-ой заземляемой обкладки по 1.88[2]:
см, где для условия минимума x=4.1.
длина нулевой обкладки остова по 1.89[2]:
см
и параметр:
.
Радиус нулевой обкладки по 1.95[2]:
см,
радиус n-ой обкладки по 1.96[2]:
см.
Результаты расчета остальных слоев сведем в таблицу:
Параметр А будет равен:

а параметр:
![]()
Максимальная напряженность в слое x:

кВ/см, где напряжение в слое Uсл
=U/n=325/26=12.45кВ/см.
Длина слоя x:
![]()
![]()
Максимальная расчётная напряжённость получилась равной 125 кВ/см. Максимальная радиальная напряжённость при рабочем напряжении ввода в слое наименьшей толщины равна 28кВ/см, а допустимая напряжённость по напряжённости ионизации составляет 37кВ/см.
Результаты расчета остова даны в таблице.
| Номер слоя | |||||
| 0 | - | 0,1398 | 1,15 | - | 127,2 |
| 1 | 0,0868 | 0,2266 | 1,25 | 125 | 123,5 |
| 2 | 0,0842 | 0,3102 | 1,38 | 118,5 | 119,8 |
| 3 | 0,0816 | 0,3924 | 1,48 | 112,5 | 116,1 |
| 4 | 0,0790 | 0,4714 | 1,60 | 107,5 | 112,4 |
| 5 | 0,0764 | 0,5478 | 1,73 | 102,0 | 108,7 |
| 6 | 0,0738 | 0,6216 | 1,86 | 98,0 | 105,0 |
| 7 | 0,0712 | 0,6928 | 2,00 | 94,0 | 101,3 |
| 8 | 0,0686 | 0,7614 | 2,14 | 91,5 | 97,6 |
| 9 | 0,0660 | 0,8274 | 2,29 | 88,3 | 93,9 |
| 10 | 0,0634 | 0,8908 | 2,44 | 86,0 | 90,2 |
| 11 | 0,0608 | 0,9576 | 2,59 | 84,5 | 86,5 |
| 12 | 0,0582 | 1,0098 | 2,74 | 82,7 | 82,8 |
| 13 | 0,0556 | 1,0654 | 2,90 | 82 | 79,1 |
| 14 | 0,0530 | 1,1184 | 3,06 | 81,5 | 75,4 |
| 15 | 0,0504 | 1,1688 | 3,22 | 80,7 | 71,7 |
| 16 | 0,0478 | 1,2166 | 3,37 | 81,3 | 68,0 |
| 17 | 0,0452 | 1,2618 | 3,53 | 82,2 | 64,3 |
| 18 | 0,0426 | 1,3044 | 3,69 | 82,9 | 60,6 |
| 19 | 0,0400 | 1,3444 | 3,84 | 85,0 | 56,9 |
| 20 | 0,0374 | 1,3818 | 3,98 | 86,8 | 53,2 |
| 21 | 0,0348 | 1,4166 | 4,12 | 90,0 | 49,5 |
| 22 | 0,0322 | 1,4488 | 4,26 | 94,8 | 45,8 |
| 23 | 0,0296 | 1,4784 | 4,39 | 99,0 | 42,1 |
| 24 | 0,0270 | 1,5054 | 4,51 | 105 | 38,4 |
| 25 | 0,0244 | 1,5298 | 4,62 | 113,5 | 34,7 |
| 26 | 0,0218 | 1,5510 | 4,72 | 125 | 31,0 |
2) Определение геометрических размеров ввода.
Длина верхней покрышки:
см,
Длина нижней покрышки:
см
тогда 
Длина соединительной втулки:![]()
см
Внутренний диаметр соединительной втулки примем:
см,
а наружный:
см
Диаметр покрышек примем:
см,
а наружный:
см.
Диаметр по крыльям примем :
см.
Вылет крыла примем a=5 см, при таком вылете шаг принимаем t=8,5см. При длине верхней покрышки Lвп =85см число крыльев:
крыльев.
Мокроразрядное напряжение ввода при выбранных размерах и числе крыльев:

кВ.
Задано UМН. =215кВ, запас составляет 12%. Мокрооазрядные напряжения имеют разброс порядка 10 – 15%, следовательно, при выбранной длине покрышки минимальное значение мокроразрядного напряжения является достаточным.
кВ,
кВ/см,
кВ/см.
Средняя радиальная напряженность, взятая по максимуму:
кВ/см.
Объём изоляционного остова:
дм3
Максимальная напряжённость у фланца:
кВ/см
где d – толщина фарфорового слоя,
k – коэффициент пропорциональности [2].
При таких выбранных размерах изоляционного остова аксиальные и радиальные напряженности электрического поля максимальные и в рабочем режиме не превышают допустимых. Выбранные размеры покрышек ввода отвечают допустимым мокроразрядному и сухоразрядному напряжениям. Размеры ввода и изоляционного остова были выбраны исходя из наивыгоднейших размеров (
x=4.1).
Распределение напряженности электрического поля по слоям изоляции ввода.
Напряженность электрического поля в вводе в зависимости от rx и ex
по 2.21[2]:
![]()
где:
rx - радиус изоляционного слоя х, см.
eх - диэлектрическая проницаемость слоя х коэффициент А:
![]()
e1 =3.5 для бумажно-масляной изоляции (БМИ);
e2 =2.6 для трансформаторного масла;
e3 =6.5 для фарфора;
r0 =1.15см – радиус токоведущего стержня;
r1 =4.72см – радиус изоляционного остова;
r2 =6.25см– внутренний диаметр фарфоровой покрышки;
r3 =8.75см – внешний диаметр фарфоровой покрышки;
Uнаиб.раб.фаз. =73кВ.
![]()
Результаты расчета:
| Тип изоляции | rx , см | Ex , кВ/см |
| Изоляционный остов (БМИ) e1 =3.5 | 1.15 | 32.3 |
| 2 | 18.6 | |
| 3 | 12.4 | |
| 4.72 | 7.9 | |
| Трансформаторное масло e2 =2.6 | 4.72 | 10.6 |
| 5 | 10 | |
| 5.5 | 9.1 | |
| 6 | 8.3 | |
| 6.25 | 8 | |
| Фарфор e3 =6.5 | 6.25 | 3.2 |
| 7 | 2.9 | |
| 7.5 | 2.7 | |
| 8 | 2.5 | |
| 8.75 | 2.3 |
4.6 Выбор числа изоляторов в поддерживающих гирляндах подходящей ЛЭП 110 кВ
Изоляторы представляют собой конструкции, которые используются для крепления токоведущих и других, находящихся под напряжением, частей электротехнических устройств (проводов воздушных линий электропередачи, шин распределительных устройств и т.д.), а также для перемещения подвижных контактов выключателей и иных коммутационных аппаратов.
В соответствии с выполняемыми функциями изоляторы, прежде всего, должны обладать достаточной механической прочностью по отношению ко всем видам возможных эксплуатационных нагрузок: статическим, ударным и др. особенность этого очевидного требования применительно к изоляторам установок высокого напряжения состоит в том, что механическая прочность должна обеспечиваться при воздействии сильных электрических полей. В таких условиях местные, небольшие повреждения, не влияющие на общую механическую прочность, могут иногда вызывать существенное снижение пробивного напряжения и приводить к преждевременному выходу изолятора из строя.
На линиях 35 кВ и более высокого напряжения применяются преимущественно подвесные изоляторы тарельчатого типа. Путем последовательного соединения таких изоляторов можно получить гирлянды на любое номинальное напряжение. Применение на линиях разного класса напряжения гирлянд из изоляторов одного и того же типа значительно упрощает организацию их массового производства и эксплуатацию.
Из-за шарнирного соединения изоляторы в гирлянде работают только на растяжение. Однако сами изоляторы сконструированы так, что внешнее растягивающее усилие вызывает в изоляционном теле в основном напряжения сжатия и среза. Тем самым используется весьма высокая прочность фарфора и стекла на сжатие.
Основу изолятора составляет фарфоровое или стеклянное тело – тарелка, средняя часть которой, вытянутая к верху, называется головкой. На головке крепится шапка из ковкого чугуна, а в гнездо, расположенное внутри головки, заделывается стальной стержень. Армировка изолятора, т.е. механическое соединение изоляционного тела с металлической арматурой, выполняется при помощи цемента.
Соединение изоляторов в гирлянду осуществляется путем введения утолщенной головки стержня в специальное ушко на шапке другого изолятора и закрепления его замком. Длина стержня делается минимальной но достаточной для удобной сборки гирлянды.
Механическую нагрузку несут в основном головка изолятора и прежде всего ее боковые опорные части. Поэтому конструкции тарельчатых изоляторов различаются в первую очередь формой головки.
Высота над уровнем моря 200 м, II степень загрязнения.
Определим расчетное значение коммутационных перенапряжений по формуле из (7):
.
Находим среднее Мокроразрядное напряжение гирлянды по формуле (7):
,
Где kτ =1.15;
kγ =1.1;
kp =0.5(1+P/760)=0.99;
kσ =0. 85.
.
Определим необходимое количество изоляторов марки ПС-4.5. Имеем: строительная высота h=13 см, диаметр тарелки D=25.5см, длина пути утечки Lут =25 см, мокроразрядная напряженность Емр =3.7 кВ/см. Тогда:
изоляторов.
Прибавив один запасной элемент, определяем полное число изоляторов марки ПС-4.5:
.
Проверяем на достаточность обеспечения удельной длины пути утечки:
, что не превышает установленный для II района
.
Определенное расчетным путем число изоляторов соответствует числу изоляторов в гирлянде ЛЭП, подходящей к подстанции.
Определяем расчетные значения разрядных напряжений по формуле из (7):
,
где
для троса на высоте до 500 м.
.
Для найденных UP и UРК определяем величины изоляционных промежутков:
S1 =25 см. S1 K =60 см.
Вычисляем импульсную прочность выбранной гирлянды 7* ПС-4.5:
L2 =n* h=7* 13=91 см. (длина всей гирлянды).
UРИ =500 кВ. (7)
определяем изоляционный промежуток: S1И =45 см.
Определенные расчетным путем изоляционные расстояния соответствуют изоляционным промежуткам подходящей ЛЭП 110 кВ. По расчетам видно, что выбранное количество изоляторов должно обеспечивать высокое пробивное напряжение гирлянды. Однако, напряжение коронирования гирлянды Uкг на гирлянде из 7 изоляторов, соответствующее появлению короны на одном из изоляторов, может быть значительно меньше 7*Uки и при некоторых условиях оказаться ниже рабочего напряжения. Объясняется это тем, что напряжение, приложенное к гирлянде, распределяется по изоляторам неравномерно. Поэтому при увлажненном загрязнении может произойти перекрытие гирлянды и отключение линии.
5. Техника и правила безопасности при работе с электрооборудованием
5.1 Безопасность при работах под напряжением на воздушных линиях электропередачи
Особенности метода работ под напряжением заключаются в том, что:
1) линия электропередачи при этом остаётся в работе, благодаря чему обеспечивается бесперебойность электроснабжения потребителей;
2) персонал, выполняющий ремонтные работы, будучи надёжно изолирован от земли, может безопасно прикасаться неизолированным инструментом или голыми руками к проводам линии, находящимся под рабочим напряжением.
В настоящее время ремонт воздушных линий электропередачи под напряжением производится также в ряде зарубежных стран (США, Англии, Японии и др.), причем этот метод ремонта применяется на воздушных линиях практически любого напряжения от 1 до 500 кВ включительно. Иногда он применяется и в открытых распределительных устройствах.
Под напряжением на ВЛ производятся : замена изоляторов и арматуры; снятие с проводов набросов ; осмотр провода со вскрытием подвесных зажимов ; замена провода на отдельных участках линии ; ремонт провода в любом месте пролёта – установка шунтов, бандажей и ремонтных муфт, вставка жил и небольших кусков провода; установка на проводе контрольно – измерительной аппаратуры и подобные им работы. Кроме того, без отключения ВЛ выполняются и другие работы, не требующие прикосновения к проводам : покраска металлических и антисептирование деревянных опор, выправка опор; замена отдельных деталей деревянных опор – пасынков, траверс, стоек и пр., а также опор в целом; замена грозовых тросов и т.п.
Достоинством метода ремонта ВЛ под напряжением является то, что он приносит народному хозяйству значительную экономию благодаря тому, что при этом методе исключаются недоотпуск энергии потребителям и увеличение потерь энергии, неизбежных при ремонте с отключением линии. При этом методе ремонта сохраняется не только непрерывность, но и существующая надёжность питания потребителей электроэнергии.
При ремонте не отключенных линий требуется меньшее количество ремонтного персонала, так как работы на различных участках линии могут производиться в разное время, а не одновременно, что имеет место при ремонтах с отключением линии.
В основу метода работы с непосредственными прикосновением человека к проводу, находящемуся под рабочим напряжением, положен принцип изоляции человека от земли и тел, имеющий иной, чем провод, потенциал. При опытах, проводившихся во время разработки этого метода, в качестве изоляции использовались обычные фарфоровые опорно – штыревые изоляторы типа ИШД – 35, предназначенные для монтажа колонок разъединителей открытых распределительных устройств, на которых размещался человек. При этом было установлено, что человек может касаться голого провода, несущего напряжения до 500 В, не испытывая неприятных ощущений. При большем напряжении вплоть до 1000 В прикосновение к проводу сопровождалось неприятным ощущением, а при напряжении 1000 – 4000 В – болезненным ощущением с явлением покалывания в месте касания от искры, возникающей между проводом и рукой.
С ростом напряжения мощность искры увеличивалась и усиливалась болезненность ощущения. При напряжении 8 – 10 кВ действие искры оказалось настолько значительным, что исключало возможность прикосновения к проводу.
Для ограничения установившегося тока применяется специальный экранирующий костюм, изготовленный из токопроводящей ткани и снабженный специальной обувью. Применяются также металлические экраны, защищающие пространство, в котором находится человек, работающий с изолирующего устройства.
Защитный костюм электрически соединяется с металлической рабочей площадкой изолирующего устройства. Он экранирует все тело человека, за исключением лица, кистей рук и ступней ног, благодаря чему емкостные токи уменьшаются в несколько раз и оказываются значительно ниже ощутимых токов. Применение экранирующих костюмов или других средств защиты от воздействия электрического поля является обязательным при работах с изолирующих устройств на линиях 220 кВ и выше.
Изолирующие устройства и вспомогательные приспособления.
Материалом для изготовления изолирующих устройств, предназначенных для изоляции человека от земли, а также вспомогательных изолирующих приспособлений, предназначенных для изоляции отдельных частей линий с разными потенциалами, служит, как правило, электротехнический древесно-слоистый пластик, а в отдельных случаях – текстолит, стеклотекстолит и подобные им электроизоляционные материалы, обладающие высокой электрической и механической прочностью. За рубежом находят применение также бакелит, различные пластмассы, в том числе усиленные стеклянным волокном.
Вспомогательные изолирующие приспособления, к которым относятся в первую очередь тяги и захваты, имеют конструкцию, соответствующую их назначениям.
Замена гирлянды изоляторов на ВЛ 110-220 кВ с металлическими опорами производится с применением изолирующего устройства, изолирующей тяги и поворотного крана, с помощью которого перемещаются старая и новая гирлянды.
Вначале монтеры, поднявшись на опору, укрепляют на траверсе над сменяемой гирляндой изолирующую тягу и поворотный кран. Затем монтер. Находящийся на изолирующем устройстве, укрепляет на проводе захваты тяг, при помощи натяжных винтов переводит нагрузку провода с гирлянды на тяги и отцепляет от гирлянды подвесной зажим, т.е. освобождает гирлянду от провода. После этого производится замена гирлянды. Монтер, находящийся на траверсе, закрепляет на верхнем изоляторе (заводит в зазор между шапкой и тарелкой изолятора) стальной хомут, укрепленный на конце каната поворотного крана. Краном поднимают гирлянду, отцепляют её от траверсы, а затем краном же переносят её к опоре и с помощью каната отпускают на землю.
Новая гирлянда подается к месту установки поворотным краном, сочленяется с подвесной арматурой и при помощи тех же натяжных винтов воспринимает нагрузку провода, разгружая тяги.
Причины поражения током и способы их устранения
При работах под напряжением на ВЛ электропередачи основной опасностью для персонала является опасность поражения током и ожога электрической дугой. Эта опасность существует как для человека, работающего на изолирующем устройстве, т.е. находящегося под потенциалом провода, так и для работающего на опоре.
Возможные причины поражения током человека, выполняющие эти работы, следующие:
1) недостаточная электрическая прочность устройства, изолирующего человека от земли или вспомогательных изолирующих приспособлений ( тяг, захватов и т.п.), вследствие чего изоляция их может быть перекрыта напряжением провода ВЛ относительно земли ;
2) недостаточная электрическая прочность изоляции провода линии на месте работы людей, вследствие чего она может быть перекрыта напряжением провода относительно земли;
3) приближение человека, работающего с изолирующего устройства, к телу опоры (или работающего с опоры – к проводу) на расстояние, при котором произойдет пробой воздушного промежутка между человеком и опорой (или проводом).
Электрическая прочность изолирующих устройств и приспособлений, т.е. их разрядное напряжение по поверхности, зависит от земли по изоляции: чем больше длина, тем выше разрядное напряжение.
Электрическая прочность изоляции провода относительно земли обусловливается разрядным напряжением по поверхности гирлянд изоляторов. На линиях с деревянными опорами фарфоровая (стеклянная) изоляция усиливается за счет последовательного включенного участка деревянной траверсы или стойки опоры.
Расстояние от человека, работающего с изолирующего устройства, до опоры (или работающего с опоры до провода) зависит главным образом от организации работы и выдерживается, как правило, самим работающим на глаз.
Условия безопасности. Для устранения указанных причин несчастных случаев необходимо, чтобы изоляция устройств, изолирующих человека от земли, и вспомогательных изолирующих приспособлений, а также изоляция проводов линий на месте работы людей и воздушный промежуток между человеком и частями линии, имеющими иной потенциал, обладали в период работы разрядными напряжениями, превышающими возможное напряжение проводов линии относительно земли в данном месте.
Напряжение провода относительно земли на месте работы людей может значительно превышать фазное напряжение линии в результате внутренних и атмосферных перенапряжений, значения от номинального которых находятся в зависимости напряжения линии и ряда других факторов.
5.2 Технические мероприятия, обеспечивающие безопасность работ со снятием напряжения
При подготовке рабочего места со снятием напряжения должны быть в указанном порядке выполнены следующие технические мероприятия:
произведены необходимые отключения и приняты меры, препятствующие подаче напряжения на место работы вследствие ошибочного или самопроизвольного включения коммутационных аппаратов;
на приводах ручного и на ключах дистанционного управления коммутационных аппаратов должны быть вывешены запрещающие плакаты;
проверено отсутствие напряжения на токоведущих частях, которые должны быть заземлены для защиты людей от поражения электрическим током;
наложено заземление (включены заземляющие ножи, а там, где они отсутствуют, установлены переносные заземления);
вывешены указательные плакаты «Заземлено», ограждены при необходимости рабочие места и оставшиеся под напряжением токоведущие части, вывешены предупреждающие и предписывающие плакаты.
Требования к персоналу
Персонал, обслуживающий электроустановки, должен пройти проверку знаний настоящих Правил и других нормативно-технических документов (правил и инструкций по технической эксплуатации, пожарной безопасности, пользованию защитными средствами, устройства электроустановок) в пределах требований, предъявляемых к соответствующей должности или профессии, и иметь соответствующую группу по электробезопасности в соответствии с приложением №1 к настоящим Правилам.
Персонал обязан соблюдать требования настоящих Правил, инструкций по охране труда, указания, полученные при инструктаже.
Опасность для обслуживающего персонала в электроустановках возникает тогда, когда повреждается изоляция оборудования и через заземлитель проходит ток короткого замыкания или ток короткого замыкания на землю. При прикосновении человека, например к баку выключателя, при повреждении изоляции его руки приобретут также потенциал и заземлителя, а ноги получат потенциал Uн, значение которого можно найти по кривой, показывающей распределение потенциалов. Следовательно тело человека подвергается разности потенциалов Uз-Uн, которую называют напряжением прикосновения Uпр:
![]()
Расчет заземляющих устройств на напряжение прикосновения производится при помощи ЭВМ.
Чем ближе к баку выключателя находится человек, тем меньше напряжение прикосновения. Если человек не касается бака, а подходит к нему, то правая и левая нога находятся каждая под своим потенциалом, а разность этих потенциалов называют шаговым напряжением.
Если молниеотвод установлен на таком месте, где вблизи могут находиться люди, то для того, чтобы обеспечить их безопасность, сопротивление обособленного заземлителя молниеотвода не должно превышать 10 Ом.
Обеспечить условия безопасности на ПС, т.е. снизить напряжение прикосновения до допустимых значений можно как снижением потенциала U заземлителя, уменьшая его сопротивление R, так и уменьшением коэффициента прикосновения
приняв меры по выравниванию потенциала на территории ПС [21,c.42].
Вероятность поражения человека электрическим током под действием напряжения прикосновения и шага определяется как значением тока замыкания на землю, так и длительностью его протекания. Длительность протекания тока замыкания на землю не только усугубляет его физиологические последствия от протекания тока через человека, но и увеличивает вероятность его попадания под напряжение прикосновения и шага.
В соответствии с этим требования, предъявляемые к защитному заземлению электроустановок, должны определяться допустимым значением тока через тело человека с учетом его длительности и вероятности попадания человека под напряжения прикосновения и шага. Этот ток определяет допустимое значение напряжения на теле человека.
Однако по ПУЭ в системах с заземленной нейтралью защитное заземление ПС ВН нормировалось не по допустимому напряжению на теле человека, а по допустимому сопротивлению заземления.
Пожаротушение ПС производится первичными средствами: огнетушителями, песком и т.д. Выбор первичных средств пожаротушения производится дирекцией строящейся ПС на основе действующих норм.
5.3 Эксплуатация устройств защиты ПС от ПУМ
Устройства защиты от ПУМ ЭС и ПС требуют систематического надзора. Ответственными лицами за состояние устройств защиты от ПУМ являются на ЭС начальники электроцехов, а в электросетевых предприятиях – начальники ПС и начальники групп ПС. Для того чтобы вести систематический и технически грамотный надзор за состоянием и работой устройств защиты от ПУМ, нужно иметь полную техническую документацию и приборы, позволяющие контролировать состояние и работу молниеотводов.
Согласно Правилам технической эксплуатации ЭС и сетей для контроля состояния заземляющего устройства на ЭС и ПС должны производиться измерения сопротивления заземления после монтажа перед включением в эксплуатацию и после переустройства и капитального ремонта этих устройств, а затем через каждые 10 лет с выборочной проверкой их состояния со вскрытием грунта. Проверяется наличие нумерации на каждом стержневом молниеотводе и плакатов, предупреждающих об опасности нахождения людей вблизи молниеотвода во время грозы.
Осмотры устройств защиты. Для того чтобы защита от ПУМ в эксплуатации постоянно поддерживалась в исправном состоянии, она должна наравне со всем оборудованием ОРУ подвергаться систематическим осмотрам. Согласно [9] осмотры ПС с постоянным дежурным персоналом производится не реже чем 1 раз втрое суток.
Осмотры молниеотводов на территории ЭС и ПС производятся каждый год перед началом грозового сезона. Молниеотводы, установленные в ОРУ с постоянным дежурным персоналом, осматриваются в период грозового сезона после каждой близкой грозы. Выявленные неисправности заносятся в журнал дефектов, которые имеются у дежурного персонала, и сообщаются лицам, ответственным за состояние защиты от ПУМ.
Для контроля работы молниеотводов и изучения эффективности их действия на токоотводах и на металлических несущих конструкциях или на молниеприемниках молниеотводов с железобетонными опорами часто устанавливаются магнитные регистраторы, которые намагничиваются при прохождении по токоотводам и молниеприемникам токов молнии. Магнитные регистраторы обычно вынимаются из своих «гнезд» после окончания грозового сезона и отправляются в высоковольтные лаборатории ЭС и электросетевых предприятий для проверки их намагниченности и определения амплитуды токов молнии, которые вызвали это намагничивание. Случаи срабатывания молниеотводов должны отмечаться в ведомостях учета состояния защиты от ПУМ. [25]
5.4 ТБ при обслуживании разъединителей
При эксплуатации разъединителей необходимо соблюдать правила ТБ, изложенные в соответствующих параграфах ПТБ.
Все оперативные переключения с разъединителями должны выполняться в защитных касках. Для защиты персонала от воздействия дуги при отключении разъединителя и на случай поломки изоляторов над приводами аппаратов сооружаются защитные козырьки. Во время выполнения операций персонал обязан находиться под защитным козырьком и пользоваться диэлектрическими перчатками.
Необходимо помнить, что за время производства оперативных переключений, а также при регулировке разъединителей может произойти излом фарфорового изолятора и его падение особенно в морозную погоду. Поэтому необходимо тщательно осмотреть изоляторы с земли не имеются ли трещины на изоляторах. При наличии последних оперировать такими разъединителями ЗАПРЕЩАЕТСЯ.
5.5 Техника безопасности при эксплуатации ОРУ
Современные системы электроснабжения промышленных предприятий включают помимо воздушных и кабельных линий трансформаторные и в ряде случаев преобразовательные подстанции. Подстанция - это электроустановка, состоящая из трансформаторов или других преобразователей энергии, распределительных устройств (РУ), устройств управления и вспомогательных сооружений. Подстанции промышленных предприятий могут быть пристроенными к основному зданию, встроенными, а также внутрицеховыми. Широкое применение имеют трансформаторные подстанции (КТП), поставляемые собранном или полностью подготовленным для сборки виде. Комплектным (КРУ) называется РУ, состоящее из полностью или частично закрытых шкафов или блоков с встроенными в них аппаратами, устройствами защиты и автоматики, поставляемыми в собранном или полностью подготовленном для сборки виде.
Таким образом, монтаж современной подстанции сводится в основном к установке в подготовленном помещении (или на площадке в случае открытого РУ) отдельных шкафов или блоков, соединении их аппаратов между собой и с КЛ или ВЛ. Электромонтажники выполняют при этом слесарно-сборочные и такелажные работы: выполнение электромонтажных заготовок в мастерских, выполнение электрических соединении первичных и вторичных цепей, включение приборов и автоматики, наладку смонтированного оборудования. При электромонтаже и ремонте оборудования подстанции следует применять меры защиты от механических травм (ушибов, ранений), ожогов, от поражения электрическим током. Персонал электромонтажной организации независимо от наличия квалификационной группы по технике безопасности не приравнивается к эксплуатационному персоналу, и ему запрещается производить какие-либо работы по эксплуатации электроустановок на строительных площадках.
Для крепления отдельных деталей электрооборудования к стенам и конструкциям помещения РУ с помощью дюбелей применяют пороховые инструменты – строительно-монтажный пистолет поршневого типа ПЦ-52-1 и пороховые оправки типа ОДП-4М. Меры безопасности при использовании пороховых инструментов предусмотрены по их эксплуатации.
Подъем деталей оборудования или конструкций массой более 20 кг следует выполнять двоим электромонтажникам. При массе груза более 50 кг поднимать его следует с применением блоков или лебедки.
Опасным в отношении возможности травмирования являются, связанные с подъемом на высоту и креплением тяжелых деталей электрооборудования РУ (разъединителей, трансформаторов тока, опорных и проходных изоляторов и др.). При перемещении и подъеме на места установки разъединителей, отделителей и короткозамыкателей их необходимо устанавливать в положение «включено», так как при таком положении ножей исключается возможность травмирования рабочих ножевыми контактами рубящего типа.
Все автоматические выключатели, электромагнитные приводы и другие аппараты, снабженные возвратными пружинами или механизмами свободного расцепления, следует перемещать с места на место, когда они находятся в положении «отключено». Дело в том, что при включенном положении этих аппаратов возможно случайное срабатывание на отключение и внезапное движение механизма может травмировать рабочего, производящего перемещение аппарата.
В процессе регулировки выключателей и разъединителей с автоматическими приводами должны быть приняты меры против непредусмотренного включения или отключения приводов другим лицом или самопроизвольно. В этом случае возможны ушибы выполняющего работу электромонтажника. Для предотвращения такого случайного включения плавкие вставки в цепях управления электромагнитным (электродвигательным) приводом снимаются.
Если же в процессе регулировки потребуется включить оперативный ток, то постановка вставок предохранителей допускается только после удаления всех людей от привода выключателя.
Меры безопасности при монтаже силовых масляных трансформаторов в основном сводятся к безопасным приемам перемещения трансформатора и установке его на фундаменте. На время монтажа подготовленная бетонированная яма под трансформатором (для спуска масла в случае аварии и пожара) должна быть закрыта настилом из прочных досок. Разгрузку трансформатора с железнодорожной платформы или из кузова автомашины обычно производят автокраном. Допускается спуск трансформатора по наклонной плоскости (по брусьям) под углом не более 10 градусов. Трансформатор со стороны, противоположной направлению спуска, поддерживают оттяжками при помощи лебедки.
В процессе подъема сердечника трансформатора из бака или при опускании его в бак никто из людей не должен находиться вблизи трансформатора. Всякие работы на сердечнике или на баке допускаются только после полного удаления сердечника из бака и установки его на прочном основании. При необходимости работы в баке под поднятой крышкой силового трансформатора под крышку следует установить належные подставки для удержания ее в поднятом состоянии. После того как смонтирована ошиновка трансформатора и его обмотки присоединены к шинам РУ, их внешние выводы следует замкнуть и заземлить. Эта мера необходима на случай ошибочной подачи напряжения на трансформатор, который еще не принят в эксплуатацию и, возможно, еще не окончены какие- либо работы. То же относится и к измерительным трансформаторам.
Оперативное обслуживание действующих электроустановок предприятий предусматривает периодические и внеочередные осмотры электрооборудования систем электроснабжения и электроприемников, контроль и учет электроэнергии, оперативные переключения в электросетях, обеспечивающие бесперебойное снабжение электроэнергией. Оперативное обслуживание электроустановок осуществляется инженерно-техническим, дежурным и оперативно - ремонтным электротехническим персоналом.
Обязанности закрепленного за данной электроустановкой дежурного (оперативно-ремонтного) персонала определяются местными инструкциями, в которых должны быть изложены также конкретные основные меры по электробезопасности и пожарной безопасности применительно к эксплуатируемому электрооборудованию.
Оперативное обслуживание электроустановок может осуществляться как одним лицом, так и бригадами из двух человек и более. Численность персонала для каждого цеха, участка, подстанции определяется главным энергетиком предприятия, который является лицом, ответственным за эксплуатацию всего электрохозяйства.
При обслуживании электроустановок напряжением выше 1000В старший в смене (бригадир) или одиночный дежурный должны иметь квалификационную группу по ТБ не ниже IV, а в электроустановках до 1000В – не ниже группы III.
Осмотр электрооборудования, находящегося под напряжением сопряжен с опасностью поражения электрическим током, которая возникает при случайном прикосновении к неизолированным токоведущим частям или приближении к ним на такое близкое расстояние, когда возможно перекрытие воздушного промежутка и поражение через электрическую искру (электрическую дугу). Поражение также возможно при прикосновении к металлическим корпусам и ограждениям электроустановок, имеющих вследствие повреждения изоляции замыкание на корпус в случае неудовлетворительного состояния заземления (зануления). Поэтому лицо, производящее осмотр, должно иметь достаточную квалификацию и знание ТБ. Помимо дежурного (оперативно-ремонтного) персонала единоличный осмотр электроустановок разрешается административно-техническому персоналу службы эксплуатации, имеющему квалификационную группу V (в установках до 1000 В - IV группу).
Во избежание поражения электрическим током во время осмотра действующих электроустановок необходимо соблюдать следующие меры предосторожности. При осмотре электроустановки выше 1000 В одним лицом не разрешается проникать за ограждения и входить в камеры РУ. Осматривать электрооборудование следует только с порога камеры или стоя перед барьером. В случае необходимости дежурному, имеющему квалификационную группу не ниже IV, разрешается для осмотра вход в камеру РУ при условии, что в проходах расстояние от пола до нижних фланцев изоляторов аппаратов (например, трансформаторов) не менее 2м, а до неогражденных токоведущих частей не менее 2.75 м при напряжении 35 кВ. Если эти расстояния окажутся меньше, то вход за ограждения допускается только в присутствии второго лица с квалификационной группой не ниже III, присутствие которого необходимо для наблюдения за действиями человека, вошедшего в камеру РУ, предупреждения его об опасности приближении к токоведущим частям, а также оказания в случае необходимости помощи.
При обнаружении во время осмотра случайного замыкания какой-либо токоведущей части электроустановки на землю запрещается до отключения поврежденного участка приближаться к месту токового замыкания на расстояние менее 4 м в закрытых РУ и 8 м на открытых подстанциях во избежание поражения шаговым напряжением. Если окажется необходимым приближение к месту замыкания на землю, например для оказания помощи пострадавшему или для выполнения операций с коммутационной аппаратурой, то следует применить средства защиты (диэлектрические боты, галоши).
Самостоятельное обслуживания электроустановок напряжением до 1000 В, включая периодические осмотры, проверки, измерения и текущий ремонт, разрешается рабочим-электрикам, имеющую квалификационную группу не ниже III. Во время осмотра цехового электрооборудования запрещается выполнять какие-либо работы на этом оборудовании, за исключением работ, связанных с предупреждением аварии или несчастного случая. Также запрещается снимать ограждения токоведущих частей и вращающихся частей, проникать за ограждения, косятся токоведущих частей и приближаться к ним на опасное расстояние. Дежурному электрику, обслуживающему цеховые производственные электроустановки. разрешается при необходимости открывать для осмотра дверцы распределительных шкафов, щитков, пусковых устройств и т.п., соблюдая при этом особую осторожность.
Смена сгоревших плавких вставок предохранителей, как правило, должно выполнятся при снятом напряжении. Смену плавких вставок закрытых (пробочных, трубчатых) предохранителей допускается производить под напряжением, но при отключенной нагрузке. Эта работа выполняется в электроустановках напряжением до 1000 В в диэлектрических перчатках и предохранительных очках, а в установках напряжением выше 1000 В – при помощи изолирующих клещей, также в перчатках и очках. Опасность при смене вставок предохранителей состоит в том, что в случае постановки предохранителя при наличии в сети короткого замыкания плавкая вставка перегорает в руках оператора и при наличии электрической дуги есть опасность ожога и поражения электрическим током.
Если цеховое электрооборудование было отключено по заказу эксплуатационного не электротехнического персонала для каких-либо ремонтных работ, то последующее его включение может быть произведено только по требованию лица, давшего заявку на отключение, или лица, сменившего его. Это условие необходимо соблюдать для того, чтобы исключить аварию и несчастный случай, если на электроприводах или производственных машинах окажется ремонтный персонал, не уведомленный о предстоящем включении. Перед включением силовой электроустановки после ремонта дежурный электрик обязан её осмотреть и убедится в готовности электрооборудования к приему напряжения и предупредить производственных рабочих о предстоящим включении.
Оперативные отключения в РУ подстанций промышленных предприятий производится дежурным или оперативно-ремонтным персоналом по распоряжению или с ведома вышестоящего дежурного электротехнического персонала в соответствии с установленным на предприятии режимом работы. Распоряжение о переключениях может быть передано устно или по телефону с записью его в оперативном журнале. Только в случаях, не терпящих отлагательства (авария, пожар, несчастный случай, предупреждение аварии и т.п.), допускаются переключения без ведома вышестоящего оперативного персонала, но с последующим его уведомлением и с записью выполненных операций в оперативном журнале. Список лиц, имеющих право производить оперативные переключения, утверждается главным энергетиком предприятия.
В РУ напряжением выше 1000В сложные оперативные переключения, производимые более чем на одном присоединении, должны выполняться двумя лицами, причем старший из них по должности контролирует и руководит действиями младшего, который непосредственно управляет коммутационными аппаратами. Этим обеспечивается правильная последовательность операций с выключателями и разъединителями, а следовательно, и безопасность операторов.
Согласно требованиям ПТБ работы, производимые в действующих электроустановках, в отношении принятия мер безопасности разделяются на четыре категории.
1. Работы, выполняемые при полном снятии напряжения, производимые в электроустановках, где со всех токоведущих частей, в том числе и вводов, снято напряжение. Нет незапертого входа в помещения, в которых размещены электроустановки, находящиеся под напряжением. Так, например, текущий ремонт силового трансформатора осуществляется при полном снятии напряжения со стороны как высшего напряжения (со стороны питания), так и низшего напряжения.
2. Работы, выполняемые при частичном снятии напряжения, производимые в открытой электроустановке или в электроустановке, расположенном в отдельном помещении, где снято напряжение только с тех присоединений, на которых производится работа или где напряжение полностью снято, но есть незапертый вход в помещение соседней электроустановки, находящийся под напряжением.
3. Работы выполняемые без снятия напряжения вблизи токоведущих частей и на токоведущих частях электроустановок, находящиеся под напряжением. К ним относятся работы, требующие принятия технических или организационных мероприятий по предотвращению возможности приближения работающих людей и используемой ремонтной оснастки и инструмента к токоведущим частям на опасное расстояние, а также работы, производимые непосредственно на токоведущих частях, находящихся под напряжением, с помощью специальных средств защиты и приспособлений.
4.Работы, выполняемые без снятия напряжения вдали от токоведущих частей, находящихся под напряжением, при котором исключено случайное прикосновение или приближение к токоведущим частям на опасное расстояние и не требуется принятия технических и организационных мер для предотвращения такого приближения. К таким работам относятся, чистка от пыли кожуха электрооборудования при наличии в РУ постоянного ограждения токоведущих частей, уборка территории РУ и другие работы в пределах до постоянных ограждений токоведущих частей.
До начала ремонтных или наладочных работ необходимо выполнить технические и организационные мероприятия по обеспечению электробезопасности работающих.
Техническими
мероприятиями являются:
А) отключение ремонтируемого электрооборудования и принятия мер против ошибочного его обратного включения или самовыключения;
Б) установка временных ограждений не отключенных токоведущих частей и вывешивание запрещающих плакатов;
В) присоединение переносного заземления - закоротки к заземляющей шине стационарного заземляющего устройства и проверка отсутствия напряжения на токоведущих частях;
Г) наложение переносных заземлений на отключенные токоведущие части электроустановки сразу после проверки отсутствия напряжения или включение специальных заземляющих ножей разъединителей, имеющихся в РУ;
Д) ограждение рабочего места и вывешивание на нём разрешающего плаката “работать здесь”.
Заключение
В первой главе была выбрана главная схема подстанции, выбраны схемы РУ 110кВ и КРУН 6кВ.
Вывод: Схема «мостик» наиболее подходящая схема для подключения подстанции к ЛЭП. Схема одна секционированная система шин на напряжение 6 кВ наиболее предпочтительная для распределения электроэнергии потребителям.
Во второй главе был произведен расчёт токов короткого замыкания.
В третей главе было выбрано электрооборудование подстанции.
Вывод: на напряжение 110 кВ были выбраны элегазовые выключатели типа
ВГУ-110-У1, на напряжение 6 кВ были выбраны встраиваемые вакуумные выключатели типа ВБЭ-10(6)-31.5(40).
В четвертой главе была произведена замена РВС-110 на ОПН-П-110/88, был произведен электрический расчёт ввода на 110 кВ и выбрано число изоляторов в поддерживающих гирляндах подходящей ЛЭП 110 кВ.
В пятой главе приведена техника безопасности при работе с элетрооборудованием.
Литература
1. Электрические аппараты высокого напряжения. Г.Н. Александров, В.Л. Иванов. Под редакцией Г.Н. Александрова Ленинград 1989 г.
2. Дмитриевский В.С. Расчет и конструирование электрической изоляции: Учебное пособие дл вузов. – М. Энергоатомиздат, 1981.
3. ТВН Учебник для вузов. Под общей редакцией Разевига Д.В. Изд. 2-ое переработано и дополнено. – М. Энергия, 1976.
4. Проектирование электрической части станций и подстанций. Ю.Б. Гук, В.В. Кантан, С.С. Петрова. Ленинград, Энергоатомиздат 1985 г.
5. Ограничители перенапряжений в электроустановках 6-750кв А. Аронов, О.А. Аношин, О.И. Кондратов, Т.В. Лопухова. М. Знак, 2001 г.
6. ПУЭ 6-ое издание дополненное с исправлениями. М.: ЗАО ”Энергосервис”, 2002.
7. ТВН: Изоляция и перенапряжения в электрических системах: Учебник для вузов. В.В. Базуткин, В.П. Ларионов, Ю.С. Пинталь; Под общ. ред. В.П. Ларионова.- 3-е изд., перераб. и доп.-М.:Энергоатомиздат, 1986.
8. Электрическая часть станций и подстанций. А.А. Васильев. Москва. Энергия 1980 г.
9. Справочник по электрическим установкам высокого напряжения / С.А. Бажанов, И.С. Батхон, И.А. Баумштейн и др. Под ред. И.А. Баумштейна и М.В. Хомякова. 2-е изд. М. Энергоиздат, 1981.
10. Справочник по проектированию электрических сетей и электрооборудования. Ю.Г. Барыбина и др. М. Энергоатомиздат, 1991.
11. ТВН в электроэнергетике, Долгинов А.И. Москва. Энергия, 1968.
12. Электрооборудование станций и подстанций. Л.Д. Рожкова, В.С. Козулин. Москва, Энергия. 1980г. Второе издание.
Похожие рефераты:
Компенсация реактивной мощности в системах электроснабжения с преобразовательными установками
Проект новой подстанции для обеспечения электроэнергией нефтеперерабатывающего завода
Реконструкция подстанции "Гежская" 110/6 кВ
Проектирование электрической части ТЭЦ 180 МВт
Разработка вопросов энергосбережения за счет использования ветроэнергетической установки
Проектирование систем электроснабжения сельскохозяйственного назначения
Сравнение масляного и вакуумного выключателей
Реконструкция и модернизация подстанции "Ильинск"
Реконструкция СЭС обогатительной фабрики
Проектирование узловой подстанции 220/35/10
Реконструкция подстанции "Сорокино" 110/10/10
Реконструкция подстанции 110/35 кВ