| Похожие рефераты | Скачать .docx |
Реферат: Расчет металлоконструкций
Министерство общего и профессионального образования Российской Федерации
Сочинский Государственный Университет Туризма и Курортного Дела
Институт туристского сервиса и инфраструктуры
Кафедра '' Строительные конструкции ''
Пояснительная записка
к курсовому проекту по дисциплине:
''Строительные конструкции''
Выполнил: студент IV курса
Группы 97 ЗГС
Дымченко И.В.
Проверил: Юрченко Е.Е.
Г. Сочи
Оглавление
Задание
Введение
1. Сбор нагрузок на 1 м2 поверхности покрытия
2. Определение усилий в элементах фермы
3. Подбор сечений
4. Расчёт сварных швов
5. Расчёт наружной стены
6. Расчёт монолитного внецентренного фундамента под пилястру
7. Расчёт прогона
8. Список использованной литературы
Введение
В курсовом проекте № 2 по дисциплине '' Строительные конструкции '' рассматривается одноэтажное здание выставочного павильона. Материал конструкции фермы – металлическая; пролёт фермы 240000000 м; стены здания кирпичные , толщиной 380мм расчётное сопротивление сжатию кладки R=1,7МПа; расстояние между осями В=6000мм
В курсовом проекте производится расчёты подбора сечений фермы, их проверка, расчёт сварных швов, расчёт каменных стен и монолитного внецентренно нагруженного ленточного фундамента, рассчитывается металлический прогон, его сечение, а также связи фермы.
1. Подбор сечений
| Сжатая стойка | N3-14 = -62,14 |
| Растянутая стойка | N5-12 = 81,20 |
| Сжатый раскос | N6-12 = -60,08 |
| Растянутый раскос | N8-10 = 256,22 |
| Сжатый элемент верхнего пояса | N6-7 = -266,78 |
| Растянутый элемент нижнего пояса | N12-13 = 253,09 |
Расчёт раскосов на сжатие:
N6-12 = -60,08 Ап треб = - 0,06008/(250×0,95×0,67)= 0,00038= 3,8 см2
Ап треб /2 = 1,9 см2 = Ас
По сортаменту подбираем уголок L=50´5 мм
Ас =4,8 см2 ; ix = 1,53см ; А = 9,6 см2 ; l = 5,43м
проверка на гибкость:

lх =lу =5,43/0,0153=354,9£400 - верно
проверка на прочность:
![]()
62,58£237 - верно
Расчёт стойки на сжатие:
N3-14 = -62,14 Ап треб = - 0,06214/(250×0,95×0,67)= 0,00039= 3,9 см2
Ап треб /2 = 1,95 см2 = Ас
По сортаменту подбираем уголок L=50´5 мм
Ас =4,8 см2 ; ix = 1,53см ; А = 9,6 см2 ; l = 2,33м
проверка на гибкость:

lх =lу =2,33/0,0153=152,29£400 - верно
проверка на прочность:
![]()
64,73£237 - верно
Расчёт элементов верхнего пояса на сжатие
. N6-7 = -266,78 Ап треб = 0,26678/(250×0,95×0,67)=0,001677= 16,77см2
Ап треб /2 = 8,38 см2 =Ас
Уголок по сортаменту L=75´6 мм
ix =2,3см ; Ас =8,78см2 ; А=17,56 см2 ; l = 4,22 м
проверка на прочность:
![]()
217,60£237 - верно
проверка на гибкость:

lх =lу =4,22/0,0194=217,53£400 - верно
Расчёт раскосов и элементов нижнего пояса на растяжение
1. N8-10 = 256,22 Ап треб = 0,25622/(250×0,95)=0,001078= 10,78см2
Ап треб /2 = 5,39 см2 =Ас
Уголок по сортаменту L=63´5мм
ix =1,94см ; Ас =6,13см2 ; А=12,26 см2 ; l = 4,12 м
проверка на прочность:
![]()
208,99£237 - верно
проверка на гибкость:

lх =lу =4,12/0,0194=212,37£400 - верно
2. N12-13 = 253,09 Ап треб = 0,25309/(250×0,95)=0,001066= 10,66см2
Ап треб /2 = 5,33 см2 =Ас
Уголок по сортаменту L=63´5мм
ix =1,94см ; Ас =6,13см2 ; А=12,26 см2 ; l = 4,0 м
проверка на прочность:
![]()
206,44£237 - верно
проверка на гибкость:

lх =lу =4,0/0,0194=206,19£400 - верно
3. N5-12 = 81,20 Ап треб = 0,08120/(250×0,95)=0,00034= 3,4см2
Ап треб /2 = 1,7 см2 =Ас
По сортаменту подбираем уголок L=50´5 мм
Ас =4,8 см2 ; ix = 1,53см ; А = 9,6 см2 ; l = 5,0м
проверка на прочность:
![]()
84,58£237 - верно
проверка на гибкость:

lх =lу =5,0/0,0153=326,80£400 - верно
Составляем итоговую таблицу подобранного профиля:
| Название элемента | № стержня, нагрузка |
Сечение , мм | Площадь профиля , см2 |
| Нижний пояс | N12-13 =253,09 | 63´5 | 6,13 |
| Верхний пояс | N6-7 = -266,78 | 75´6 | 8,38 |
| Стойка сжатия | N3-14 = -62,14 | 50´5 | 4,8 |
| Раскос сжатия | N6-12 = -60,08 | 50´5 | 4,8 |
| Раскос растяжения | N8-10 = 256,22 | 63´5 | 6,13 |
| Стойка растяжения | N5-12 = 81,20 | 50´5 | 4,8 |
Расчёт сварных швов
у обушка
у пера
N12-13 = 0,5×0,7×253,09=88,58 N12-13 = 0,5×0,3×253,09=37,96
обушок
перо
обушок
перо
N6-7 = 0,5×0,7× -266,78=93,37 N6-7 = 0,5×0,3× -266,78=40,02
обушок
перо
обушок
перо
N3-14 = 0,5×0,7× -62,14=21,75 N3-14 = 0,5×0,3× -62,14=9,32
обушок
перо
обушок
перо
N6-12 =0,5×0,7× -60,08=21,03 N6-12 =0,5×0,3× -60,08=9,01
обушок
перо
обушок
перо
N8-10 =0,5×0,7×256,22 =89,68 N8-10 = 0,5×0,3× 256,22 =38,43
обушок
перо
обушок
перо
N5-12 = 0,5×0,7× 81,20=28,42 N5-12 = 0,5×0,3× 81,20=12,18
обушок
перо
обушок
перо
Расчёт наружной стены
1. Расчёт пилястры наружной стены на нагрузку от опорной реакции
Шаг пилястры В=6м
Пролёт L=24м
Полная расчётная нагрузка на ферму g=2,26 кН/м2
Расчётное сопротивление сжатию кладки R=1,7МПа
Высота пилястры Н=8,4
Геометрические размеры пилястры:

2. Определение нагрузок на пилястру
а) собственный вес столба:
G=0,38×0,38×18×8,4=21,83кН
б) собственный вес стены:
Р=1,14×0,38×18×8,4=65,50кН
в) опорные реакции покрытия фермы:
V=g×B×L/2=2,26×6×24/2=162,72кН
г) сумма всех нагрузок:
21,83+65,50+162,72=250,05кН
собственный вес столба:
N=G+V=21,83+162,72=184,55кН
3.Определим геометрические характеристики сечений пилястры примыкающих стен:
определим центр тяжести расчётного сечения

4. Определим изгибающий момент от внецентренных нагрузок:
I1 =h1 /2=0,38/2=0,19
I2 =h1 +h2 /2 =0,38+0,38/2=0,57
Мр = - Р×(Ic -I1 )=-65,50× (0,284 –0,19)=-6,16кН× м
Mn =N×(I2 -Ic )=184,55×(0,57-0,284)=52,78кН× м
М= Мр + Mn =6,16+52,78=58,94 кН× м
5.Расчётный эксцентриситет от внецентренного действия нагрузок:
![]()

6. Определим высоты сжатой зоны расчётного сечения

Площадь сжатой зоны
![]()
Определим несущие способности участка стены и пилястры из условия:
![]()
где : mg=1 , так как местная сторона сечения h>20см
j- коэффициент продольного изгиба, принимаем из таблицы зависимости от двух величин lh и lI
где: hc
- высота сжатой зоны сечения
i – радиус инерции сечения
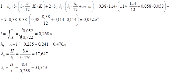
Для определения радиуса инерции выполним дополнительные вычисления
![]()
Расстояние центра тяжести от середины

Момент инерции

j1 =0,6 ; j2 =0,8
![]()
![]()
следовательно, несущая способность обеспечивается
VI. Расчёт монолитного внецентренного фундамента под пилястру
Исходные данные :
По данным расчёта пилястры принимаем значения
L0 =0,235 м ; Np =301,07 кН ; М=58,94 кН×м
Значение расчётного сопротивления грунта R0 =300 кПа
Материал фундамента – бетон В-15, арматура АIII (Кs =365 МПа)
Глубина заложения фундамента d=1,3 м
Определение предварительных размеров подошвы фундамента
Площадь сечения подошвы фундамента
![]()
где j=18 кН/м3
b/a=0,8 ; a=b/0,8 ;
»1,2
b×a=A ; b=a×0,8=1,2×0,8=0,96
Проверка показывает результат, что глубина заложения фундамента < 2 м,
а×b>1м , то необходимо учитывать нормативное сопротивление
![]()
Определение краевого давления на основание.
Определяем вес грунта на уступах фундамента: ![]()
Эксцентриситет равнодействующей усилий от всех нагрузок:
, так как
, то краевое давление вычисляется по формуле:

Расчет тела фундамента
Рабочую высоту фундамента у основания пилястры определяем из условия прочности на продавливание, (данные b2 и h2 взяты из расчета пилястры), р - максимальное из значений +р1 и –р2

По конструктивным соображения величина h округляется в соответствие с модулю М 300, h=0,21м
Расчет рабочей арматуры сетки нижней плиты в направлении - а.
Требуемое сечение арматуры подбирается по формуле:

![]()
Шаг стержней принять 200 мм Æ 36 мм
VII. Расчёт прогона
Исходные данные:
Прогоны рассматриваются как неразрезные балки, шаг прогонов - а, соответствует шагу узлов верхнего пояса ферм. Угол наклона прогона a соответствует углу наклона верхнего пояса фермы.
Расчетная нагрузка на прогон:

Принимаем [24 А=30,6см2 , Wy =31,6см3 , Ix =2900 см4 , Iy =208 см4

Похожие рефераты:
Детский ясли-сад на 140 мест с бассейном
Конструктивная схема одноэтажного промышленного здания
Проектирование производственного здания с мостовыми кранами
Стальной каркас одноэтажного производственного здания
Вариантное проектирование балочной клетки рабочей площадки
Одноэтажное промышленное здание с железобетонным каркасом
Металлический каркас одноэтажного производственного здания
Проектирование и расчет балочной клетки
Стальной каркас промышленного здания
Технология изготовления строительной фермы из прямоугольных труб
Каркас одноэтажного деревянного здания