| Похожие рефераты | Скачать .docx |
Дипломная работа: Технология изготовления строительной фермы из прямоугольных труб
Сварные фермы. Назначение, нагрузки, классификация
Решетчатые конструкции, работающие на изгиб, называются фермами. Фермы состоят из отдельных стержней, соединяющихся в узлах и образующих геометрически неизменяемую систему. Если ферма в целом работает на изгиб, то в ее конструктивных элементах возникают только продольные усилия сжатия или растяжения. Это позволяет более рационально использовать материал (металл) по сравнению, например, с балками. Фермы более экономичны по расходу металла, однако более трудоемки в изготовлении. Поэтому их применяют для перекрытия больших пролетов при относительно небольших нагрузках.
Ферма включает в себя три основных конструктивных элемента — верхний и нижний пояса и решетку, состоящую, как правило, из раскосов и стоек. Расстояние между узлами решетки фермы называется панелью, а расстояние между ее опорами — пролетом.
Фермы классифицируют по различным признакам: по назначению — фермы мостов, покрытий (стропильные и подстропильные), транспортных эстакад, гидротехнических затворов, грузоподъемных кранов и т.д.; по профилю очертания поясов — фермы с параллельными поясами, полигональные, арочные и треугольные. Очертание поясов фермы определяется назначением фермы и принятой конструктивной схемой всего сооружения.
Чаще всего в фермах применяют наиболее простую в исполнении треугольную решетку. Дополнительные стойки ставят тогда, когда в месте их расположения прикладываются сосредоточенные силы или возникает необходимость в уменьшении длины панели верхнего, сжатого пояса.
В раскосной решетке все раскосы имеют усилие одного знака, а все стойки — противоположного. При восходящем направлении раскосов стойки растянуты, а при нисходящем—сжаты.
В зависимости от усилий в элементах фермы их разделяют на легкие (пролетом до 50 м с наибольшим усилием в поясах Nmaх =5000кН) и тяжелые. По конструктивному решению — на обычные, комбинированные и с предварительным напряжением.
Чаще всего используют в сечениях элементов фермы спаренные уголки. Комбинируя сечения из равнобоких и неравнобоких уголков, соединяя их малыми и большими полками, можно получить сечение, равноустойчивое в обеих плоскостях, которое хорошо работает на продольную силу.
В узлах фермы стержни соединяются при помощи листовых фасонок
Трубчатое сечение элементов ферм весьма рациональное по расходу металла, имеет высокую коррозионную стойкость. Однако трудоемкость изготовления таких узлов выше из-за сложности примыкания отдельных элементов друг к другу я применение их ограничено.
Сварные фермы. Методы определения расчетных усилий в стержнях
Стропильные фермы рассчитываются на следующие виды нагрузок:
1. Постоянные нагрузки от веса кровли и собственного веса несущих конструкций покрытия.
2. Временные нагрузки от снега, ветра и т. д.
3. Прочие нагрузки, которые могут восприниматься фермами (от подъемно-транспортного оборудования и др.).
1. Постоянные нагрузки от веса кровли и собственного веса конструкций стропильных ферм, связей по покрытию принимаются равномерно распределенными. Ферма воспринимает большие сосредоточенные нагрузки (свыше 30—50 кН), то они учитываются по фактическому расположению.
Для определения постоянной нагрузки на 1 м2 покрытия используют формулу
![]()
где qф — фактический вес кровельной конструкции на 1 м2 ; a — угол наклона кровли к горизонту.
Если уклон кровли не превышает 1/8, принимают cos a = 1.
Расчетную погонную нагрузку на ферму определяют по формуле
![]()
где В — шаг стропильных ферм.
Узловые силы на ферму определяются умножением (нагрузки на длину панели верхнего пояса d
![]()
Нагрузки от снега (нормативная на 1 м2 площади) регламентируются СНиП 2.01.07—85 «Нагрузки и воздействия» и рассчитываются по формуле
![]()
где Р0 —вес снегового покрова на 1 м2 ; c — коэффициент, зависящий от конфигурации кровли.
Расчетная нагрузка на 1 м2 кровли определяется по нормативной нагрузке с учетом коэффициента перегрузки n, принимаемого равным 1,4...1,6 в зависимости от отношения нормативного веса покрытия к нормативному весу снегового покрова.
Расчетную погонную нагрузку от снега на ферму находят, умножая нагрузку 1 м2 кровли на шаг ферм В:
![]()
При угле наклона кровли a£25° коэффициент с =1 и приa³60° с =0. Промежуточные значения коэффициентов с определяются линейной интерполяцией.
В случае двускатного покрытия с углом наклона 200 …300 включительно учитывают второй вариант нагружения снегом: равномерно распределенная нагрузка с коэффициентом с =0,75, с одной стороны, и равномерно распределенная нагрузка с коэффициентом с =1,25, с другой.
При более сложных конфигурациях покрытия с перепадами пролетов по высоте снег сдувается на нижележащие фермы с высоких пролетов и образуется зона повышенных нагрузок (снеговые мешки). Определяют эти нагрузки по СНиП 2.01.07-85.
Расчетные узловые силы на ферму от веса снега определяют умножением расчетной погонной нагрузки на длину панели верхнего пояса d.
2. Определение усилий в стержнях фермы. Определение усилий в стержнях производится графическим или аналитическим способом. Для ферм с наклонными поясами используют графический способ при помощи диаграммы усилий Кремоны. Для этого определяют опорные реакции фермы, обозначают (цифрами и буквами) поля между силами и стержнями, строят диаграмму усилий. Расчет узлов выполняют таким образом, чтобы в каждом последующем узле было не более двух неизвестных усилий.
В некоторых случаях не все силы совпадают с узлами ферм (например, для покрытий из плит или панелей шириной 1,5 м в фермах с размером панели d=3 м). Здесь продольные усилия в элементах фермы определяют от всей нагрузки, собранной в сосредоточенные силы по узлам фермы. Сила Рm , действующая между узлами, создает в стержне дополнительный местный изгибающий момент Мm по аналогии с балкой. В результате такой элемент будет работать на внецентренное сжатие от продольной силы и местного изгибающего момента. Это учитывается при подборе сечения такого элемента.
Учитывая, что пояс неразрезной, местные изгибающие моменты, определенные как для свободно опертых балок, могут быть уменьшены на 10 % для всех панелей, кроме опорной. В конкретных случаях необходимо учитывать, что местный изгиб значительно утяжеляет ферму по сравнению со шпренгельной фермой.
3. Расчетные длины стержней ферм. Стержни фермы воспринимают продольные усилия сжатия или растяжения. Несущая способность сжатого стержня зависит от его расчетной длины и определяется потерей устойчивости.
![]()
где m — коэффициент, зависящий от способа закрепления концов стержня; l - геометрическая длина стержня (расстояние между центрами узлов).
Устойчивость стержней проверяют в двух направлениях — в плоскости фермы и из плоскости фермы, так как заранее нельзя определить, в каком из этих возможных направлений будет происходить потеря устойчивости фермы.
Несущая способность растянутых стержней не зависит от длины. Однако тонкие и длинные растянутые стержни могут провисать под влиянием собственной массы и колебаться под воздействием внешних нагрузок. В связи с этим гибкость растянутых элементов фермы ограничена нормами, и поэтому для ее определения также необходимо знать расчетные длины растянутых стержней как в плоскости, так и из плоскости фермы.
Расчетную длину всех стержней фермы принимают равной расстоянию между центрами узлов за исключением промежуточных раскосов и стоек, примыкающих к растянутому поясу. Растягивающее усилие в нижнем поясе препятствует повороту нижнего узла, поэтому стержни решетки имеют схему с шарнирным опиранием вверху и частичным защемлением внизу и их расчетная длина равна 0,8 геометрической длины, т. е. расстояния между центрами узлов. К опорному раскосу растянутый нижний пояс подходит только с одной стороны, что не обеспечивает защемления. Поэтому его расчетная длина принимается равной геометрической длине.
Устойчивость фермы из плоскости обеспечивают элементы покрытия и связи по верхним и нижним поясам. По верхним поясам укладываются прогоны или плиты покрытия. В коньке фермы обычно устанавливают связевую распорку, обеспечивающую устойчивость ферм в процессе монтажа, а также служащую опорой фермы из плоскости при наличии фонаря.
Нижний пояс фермы закрепляется системой связей по нижним поясам. За расчетную длину поясов ферм принимают расстояние между точками, закрепленными от смещения из плоскости фермы связями, плитами или прогонами с коэффициентом m—1.
У раскосов и стоек фермы в направлении из плоскости расчетная длина равна расстоянию между центрами узлов, так как небольшая жесткость поясов на кручение и гибкость узловых фасонок приближают работу этих стержней к схеме с шарнирным опиранием концов.
Подбор сечений стержней ферм
Наиболее распространенное сечение поясов стропильных и подстропильных ферм — тавровое, образованное парой уголков. Уголковый профиль позволяет легко комбинировать типы уголков (равнополочные или неравнополочные) и соединять их в сечении (полками в сторону).
Это позволяет конструировать стержни с различными радиусами инерции гх и rу и, следовательно, при различной расчетной длине l x и l y в плоскости и из плоскости фермы отдельных ее элементов подобрать наиболее экономичные, равноустойчивые сечения (с одинаковой гибкостью lxи lу) в обоих направлениях.
В таблице приведены различные сечения из уголков и даны соотношения их радиусов инерции.
Верхние пояса ферм из плоскости раскрепляют прогонами или плитами покрытия в каждом узле, и тогда расчетные длины будутl x=l y; или через узел, и тогда соотношение расчетных длин станет l y=2l x. В первом случае наиболее экономичным было бы сечение пояса из двух неравнополочных уголков, поставленных малыми полками в сторону (rx»ry). Однако такое сечение применяется редко, так как вследствие небольшой ширины пояса фермы оно неудобно при транспортировании и монтаже. По этим соображениям при l x=l yчаще применяют сечение верхнего пояса из двух равнополочных уголков. При расчетной длине пояса из плоскости фермы вдвое большей, чем в плоскости фермы (l y=2l x), наиболее рационально сечение из неравнополочных уголков, поставленных большими полками в сторону (rу»2rx).
Нижние пояса ферм обычно работают на растяжение, поэтому соотношение радиусов инерции сечений не влияет на их несущую способность. Однако для обеспечения требований по предельной гибкости, а также из условий транспортировки и монтажа более рационально широкое сечение из неравнополочных уголков, поставленных большими полками в сторону.
Опорные раскосы имеют одинаковую расчетную длину в плоскости и из плоскости фермы (l x=l y). Поэтому наиболее рациональное для них сечение из неравнополочных уголков, поставленных малыми полками в сторону (rx=ry).
Промежуточные раскосы и стойки при сжимающих усилиях проектируют из равнополочных уголков (rx»0,8ry). Растянутые элементы решетки могут приниматься и из неравнополочных уголков, если можно подобрать их сечение с меньшей площадью.
Стойки ферм с примыкающими связевыми элементами обычно проектируют крестового сечения. В этом случае их гибкость определяется наибольшей расчетной длиной (l y из плоскости фермы) и минимальным радиусом инерции.
Диаметр труб поясов рекомендуется принимать не более чем в три раза большим диаметра труб решетки. Толщина стенки труб поясов и опорных раскосов желательно не менее 3 мм, отношение толщины стенки к диаметру трубы 1/55…1/45. Для промежуточных раскосов и стоек толщину стенок труб можно брать до 2 мм с отношением ее к диаметру трубы до 1/80.
Сечения сжатых стержней обычно подбирают, начиная с элементов, воспринимающих большие усилия. Требуемая площадь двух уголков
![]()
где N— расчетное усилие в стержне; j — коэффициент продольного изгиба, равный: для поясов 0,7...0,9, для элементов решетки 0,6...0,8; R — расчетное сопротивление стали
По сортаменту подбирают близкие по требуемой площади сечения уголки, исходя из их геометрических характеристик составляют сечение из двух уголков и определяют гибкости стержня в обоих направлениях (в плоскости и из плоскости фермы) по формулам:
![]()
где l x и l y— расчетные длины стержня в плоскости и из плоскостная фермы.
Для сжатых стержней следует выбирать по сортаменту уголки с наиболее тонкими полками, так как они обладают большей жестокостью и несущей способностью (даже по сравнению с сечениями, имеющими большую площадь, но более толстостенными). Наибольшая гибкость стержней нормирована и зависит от вида элемента фермы и ее материала. Поэтому, определив гибкости стержней, их следует сравнить с предельными.
После определения предельной гибкости проверяют напряжения в принятом сечении
![]()
где jmin — коэффициент продольного изгиба, принимаемый по большей из гибкостей lx или lх; Fбр — площадь сечения выбранных уголков.
Если напряжение окажется больше расчетного сопротивления или значительно меньше его, то берут другой набор уголков и вновь проверяют их расчетом.
Усилия в панелях верхнего пояса фермы имеют различные значения и теоретически надо бы подбирать разные сечения. Однако ферма в этом случае будет очень нетехнологичной в изготовлении, так как будет иметь большое количество стыков. На практике для ферм пролетом 24 м применяют одно сечение на всей длине пояса, а для ферм большего пролета делают пояс из двух сечений.
В процессе погрузки, перевозки, монтажа длинные гибкие элементы могут быть деформированы, поэтому напряжения в раскосах и стойках ферм (исключая опорный раскос) проверяют введением коэффициента условий работы т, учитывающего эти факторы:
![]()
где s = 0,8 — для элементов решетки при гибкости более 60 (по этим же соображениям для любых сечений стержней ферм не используют уголки менее 50x4 мм).
В фермах из труб в зоне примыкания раскосов и стоек к поясам напряжения распределяются по сечению трубы неравномерно, поэтому элементы решеток, работающие на сжатие при гибкости l<60, проверяют на прочность без учета коэффициента j, с коэффициентом условий работы m=0,8.
Сечение растянутых стержней подбирают, начиная с элементов, воспринимающих наибольшие усилия.
Площадь сечения определяется по формуле
![]()
По сортаменту выбирают ближайшие по площади уголки, выписывают геометрические характеристики сечения, составленного из двух уголков, и определяют гибкости стержня в плоскости и из плоскости фермы. Наибольшая гибкость растянутых стержней также нормирована и зависит от вида элемента фермы, условий ее работы и материала конструкции
Если гибкость подобранного элемента не превосходит предельной, то проверяют фактические напряжения в стержне по формуле
![]()
В фермах из труб по тем же причинам, что и в сжатых элементах, при проверке прочности вводится коэффициент условий работы m=0,8.
С целью экономии материала для нижних поясов ферм иногда применяют комбинацию из двух сечений со стыком в узлах.
По мере приближения к середине фермы усилия в раскосах уменьшаются. Таким образом, фактором, определяющим сечение средних раскосов, является предельная гибкость. Если средние раскосы имеют небольшое усилие растяжения (до 100 кН), то при случайной односторонней нагрузке (например, при монтаже плит на прогоне, очистке снега и др.) усилие может уменьшиться и перейти в сжатие. С учетом этого в средних слабо растянутых раскосах гибкость должна быть не более 150 и подбирают ее по предельной гибкости для сжатых стержней.
Если пояс состоит из различных сечений, смещение центров тяжести уголков (эксцентриситет осей) не должно превышать 5 % высоты пояса. В противном случае в узле возникают значительные изгибающие моменты, которые необходимо учитывать расчетом.
Определяя радиус инерции суммарного сечения из двух уголков, необходимо учитывать расстояние в свету между параллельными полками, которое определяется толщиной фасонок фермы. Толщина фасонок зависит откусили и в стержнях фермы и может быть принята по таблице
Фасонки обычно принимаются одной толщины. Однако для ферм с большими пролетами допускается делать опорные фасонки на 2 мм толще, чем промежуточные. Для подбора сечения стержней ферм удобно пользоваться табличной формой без промежуточных вычислений. Такие таблицы дают возможность выполнить расчеты в компактной форме и контролировать все факторы. После расчета всех сечений стержней фермы необходимо определить общее число используемых на ферму профилей. Если в ферме пролетом до 24 м окажется больше 5...6 профилей, а в ферме пролетом.
Основные принципы конструирования сварных ферм
При конструировании фермы решается несколько задач.
В первую очередь определяется геометрическая схема и центрация узлов.
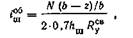
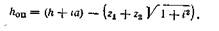
Схему фермы строят таким образом, чтобы центры тяжести сечения совпадали с осевыми линиями. В фермах со стержнями из парных уголков привязка обушков к осевым линиям берется по таблицам сортамента уголков и округляется до 5 мм. В некоторых случаях вначале задаются габариты фермы — высота стропильных ферм по граням поясных уголков h. Здесь геометрическая высота формы на опоре hon будет зависеть от привязки к осям поясных уголков z1 и z2 , уклона верхнего пояса i и расстояния разбивочной оси до грани фермы a:
![]()
При последующей разработке рабочих чертежей (КМД) длины стержней фермы в геометрической схеме определяются с точностью до 1 мм.
После определения геометрической схемы определяется конструкция промежуточных узлов. Последовательность компоновки таких узлов следующая. Сначала к намеченным осевым линиям привязываются поясные уголки, что позволяет определить положение торцов стержней решетки к узлам. С целью уменьшения сварочных напряжений в узлах, и как следствие, трещин, торцы стержней решетки не доводят до поясов на 40…50 мм. Затем рассчитывают длину швов, прикрепляющих стержни в узле. По длине сварных швов определяют размеры фасонки. Стержни решетки приваривают к фасонкам фланговыми швами. Продольная сила N воспринимается швами пера и обушка, длина которых обратно пропорциональна расстоянию от центра тяжести уголка до его краев. Длина шва на обушке определяется по формуле
![]()
где z— расстояние от центра тяжести уголка до его обушка; b — ширина полки уголка.
Принимая во внимание наличие радиуса закругления у пера, наибольшая толщина шва принимается: для уголков толщиной до 6 мм hш=4 мм; для уголков толщиной 7…16 мм hш=d-2 мм и для уголков толщиной более 16 мм hш=d-4 мм. Со стороны обушка наибольшая толщина шва не должна превышать 1,2 d (где d — меньшая из толщин уголка или фасонки). Как правило, стремятся сократить число катетов в пределах одного отправочного элемента до трех-четырех. При расчете размеров фасонок по длине швов учитывают непровар в конце швов на длине примерно 1 см.
Швы, соединяющие узловые фасонки, раскосы и стойки рассчитывают на усилия в последних. Швы, прикрепляющие фасонки к поясам с постоянным сечением, рассчитывают на разность усилий в смежных панелях пояса, например N2 —N1 . Часто по расчету эти швы получаются небольшой длины. Их принимают сплошными по всей длине фасонки и минимального катета.
В узлах, где к поясу подходят только стойки, разность усилий равна нулю. В этих случаях крепление стойки к фасонкам и фасонок к поясу рассчитывается на усилие в стойке Ncт.
Следует отметить, что использование листовых усиливающих накладок более предпочтительно, так как уголковыми накладками можно перекрывать поясные уголки только с одинаковыми толщинами полок. Узел с прерванными поясами работает в сложных условиях и расчет его в достаточной степени условен.
На практике обычно между соединяемыми поясами оставляют зазор 40...50 мм, а уголок с усилием заводят на 300...500 мм за центр узла. Толщина накладки принимается не менее толщины фасонки, а ее площадь должна быть не менее площади выступающего пера меньшего пояса, т. е. такой, чтобы была обеспечена прочность ослабленного сечения.
Его прочность определяется по формуле
![]()
где Np — расчетное усилие в элементе, принимаемое на 20% больше действительного, т. е. Nр — 1/2Nl (поправка на особенности работы узла); M=Nрe — изгибающий момент (е — эксцентриситет силы Nl , относительно центра тяжести тавра); Fт и Wт — площадь и момент сопротивления тавра.
В некоторых случаях пользуются упрощенным приемом проверки таких сечений по формуле
![]()
![]()
Расчет швов, соединяющих листовую накладку и пояса, производят на усилие в накладке
![]()
где d — напряжение в накладке, определенное по формуле (8.55).
Швы, соединяющие уголки пояса и фасонки, рассчитывают на усилия (расчетные) в поясах без учета усилия, передаваемого с уголка на уголок накладкой, соответственно: 1,2 N1 — 2 Nh и 1,2 N2 —2N, однако не меньше, чем 1,2 N1 / 2 и 1,2 N2 /2.
Как правило, узловые фасонки на 15...20 мм выпускают за обушки уголков для размещения угловых швов. Конфигурация узловых фасонок должна быть простой, с минимальным числом резов, чтобы при раскрое листа отходы металла были небольшими.
Опорные узлы конструктивно могут решаться по-разному, в зависимости от условий опирания. Довольно часто применяют опирание стропильной фермы сбоку колонны на опорный столик. Такое соединение отличается простотой в изготовлении и монтаже, допускает как шарнирное, так и жесткое опирание фермы, надежной в работе.
Большепролетные фермы из соображений транспортирования по железной дороге изготавливаются, как правило, из двух полуферм (возможно и большее число отправочных марок). На монтажной площадке эти полуфермы укрупняют. Укрупнительные (монтажные) узлы должны быть просты и надежны в работе. Центральные фермы должны обеспечивать полную идентичность правого и левого отправочных элементов полуферм. Из этих же соображений, стремятся иметь одни и те же отправочные марки для фонарных, фесфонарных, торцовыми и других сходных между собой ферм.
Смежные отправочные марки ферм на монтажной площадке соединяются между собой по поясам с помощью уголковых или листовых накладок, которые вначале фиксируют с помощью болтов. На рис. показан пример укрупнительного узла, в котором верхние и нижние пояса перекрыты уголковыми накладками. В уголковой накладке вертикальное перо уголка подрезают на 15...20 мм, а также срезают обушок для обеспечения плотного прилегания одного уголка к другому. По верхнему поясу уголок накладки принимают обычно такой же, что и уголок пояса. Частичное уменьшение площади сечения в месте стыка компенсируется тем, что здесь отсутствует коэффициент продольного изгиба j, т. е. площадь стыковых уголков подбирается из условий прочности.
Нижний пояс воспринимает растягивающие нагрузки, поэтому площадь сечения в месте стыка с учетом срезки не должна быть меньшей величины. Задача решается использованием уголков того же размера, что и поясные, но большей толщины.
Сварные швы, соединяющие уголковые накладки, рассчитываются на усилие в поясах Nn с равномерным распределением, так как сварные швы расположены по перьям уголков. К накладке верхнего пояса приварены листовые детали, соединяющие фасонки полуферм. К этим же деталям крепятся связевые распорки по коньку.
Уголковые накладки имеют существенный недостаток, заключающийся в том, что в случае наличия перегиба пояса необходимо гнуть уголок, что можно сделать только в горячем состоянии, а это сложно обеспечить в условиях монтажной площадки.
Более технологичны в изготовлении укрупнительные стыки с листовыми накладками. По аналогии с промежуточными узлами, выполненными на листовых накладках, пояса в месте стыка рассчитываются на силу 1,2 Nn (Nn— усилие в поясе).
Листовые накладки монтажного стыка могут крепиться на высокопрочных болтах. Стык верхнего пояса решается аналогичным образом.
В некоторых случаях нижние пояса ферм стыкуют с размещением стыковых уголков (поясных) вразбежку (один из уголков не доводится до оси стыка, а другой, напротив, заводится за него). Преимущество такого решения заключается в том, что в ослабленном сечении прерывается только один поясной уголок. Места стыка поясных уголков перекрываются уголковой накладкой и фасонкой.
Для обеспечения работы элементов ферм из парных уголков как единого стержня применяют соединительные прокладки. Прокладки располагаются вдоль сжатых стержней на расстоянии l £40r, вдоль растянутых стержней l 1 £80 г (где r—радиус инерции уголка относительно оси, параллельной плоскости расположения прокладок). Между узлами в сжатых элементах должно быть не менее двух прокладок.
Если не ставить соединительные прокладки, то под воздействием сжимающей силы каждый уголок будет работать раздельно. Несущая способность двух отдельных уголков меньше, чем соединенных прокладками.
Торцовый лист принимаем толщиной 20 мм и шириной 180 мм (из условия размещения болтов)/
Напряжения смятия у торца:
![]()
Толщина швов крепления опорного раскоса назначается: на обушке 10 мм, на пере — 6 мм (из-за скручивания пера). Их длины — с учетом табл.

Аналогично для швов нижнего пояса при толщине их у обушка О мм и у пера — 4 мм:

Пo требуемым расчетным длинам швов с учетом конструктивных требований (добавка 1 см длины шва на непровар и зазоры между швами) намечаем графически (по масштабу) конфигурацию и размеры опорной фасонки. Проверяем опорную фасонку на срез, а также швы ее крепления к торцовому листу (толщину швов назначаем 6 мм):

Расчетное усилие для крепления уголков пояса к вертикальной фасонке:
![]()
Требуемая длина этих швов у обушка (hш —10 мм) и пера (hш =6 мм):

На усилие Nр =755 кН рассчитываем швы вертикальных листовых накладок, перекрывающих фасонки смежных ферм. Требуемая длина одного вертикального шва при толщине шва hш =12 мм:
![]()
Толщину накладок принимаем 6=12 мм.
Длину швов, прикрепляющих раскосы и стойку, определяем по формулам, аналогичным прикреплению уголков к вертикальным фасонкам.
Узел V рассчитывается аналогично узлу IV .
Решетчатые строительные металлоконструкции различного назначения
Пролетные сооружения
К этой категории обычно относят здания общественного назначения — концертные и спортивные залы, выставочные павильоны, вокзалы, рынки и т. п., а также здания специального назначения – ангары. В большепролетных конструкциях существенную долю в расчетной нагрузке составляет собственный вес, поэтому для их сооружения особенно эффективно применение сталей повышенной пространственной системы в виде сводов, складок и куполов. Выбор того или иного решения большепролетного покрытия осуществляют при проектировании сооружения, исходя из конкретных условий.
Очертание поясов и систем решеток в большепролетных фермах может быть самым различным. Фермы с параллельными поясами проектируются обычно с треугольной или раскосной решеткой. Их высоту принимают обычно равной 1/8…1/15 пролета. Трапецеидальные фермы делают с уклоном кровли i = 1/10/…1/15 и высотой посередине 1/7…1/11 пролета. Сегментные фермы имеют небольшие усилия в раскосах, поэтому здесь целесообразна разреженная или крестовая решетка. Высоту их назначают равной 1/8…1/12 пролета. Высота многопролетных нераз+резных или консольных ферм может быть уменьшена на 25...30 % по сравнению с разрезными. Ecли усилия в стержнях большепролетных ферм превышают 4000...5000 кН, ceчeния таких ферм принимаются составными из сварных двутавров или прокатных профилей. Большие усилия в стержнях легче передаются в узлах через две фасонки.
По причине большой высоты ферм их нельзя перевозить по железной дороге в виде собранных отправочных марок. Такие конструкции укрупняются на монтаже. На монтажной площадке элементы соединяют сваркой или высокопрочными болтами.
Опорные реакции в фермах значительны, поэтому передача их должна осуществляться строго по оси узла фермы. Четкая передача опорной реакции может быть достигнута за счет применения тангенциальной или специальной балансирной опоры (см. рис ).

Рис. Специальные опоры большепролетных ферм
а - тангенциальная; б — балансирная; в — катковая
Катки балансирных опор в цилиндрических шарнирах (цапфах) при центральном угле касания поверхностей ³p/2 рассчитывают на местное смятие по формуле
![]()
где А—давление на опору; r—радиус катка; l — длина катка; Rсм.м - расчетное сопротивление местному смятию при плотном касании
катки, находящиеся между двумя параллельными плоскостями, рассчитывают на диаметральное сжатие по формуле
![]()
где n –число катков; d – диаметр катка; Rс.к. – расчетное сопротивление диаметральному сжатию катков при свободном касании.
Для изготовления катковых опор используют сталь 35Л, а катки вытачивают из стали марки 5.
Различают два вида компоновки рамных покрытий: поперечную, с размещением рам поперек здания с определенным шагом и продольную, чаще всего применяемую для ангаров. В случае продольной компоновки основную несущую раму ставят вдоль большего размера плана здания (здесь устраивают раздвижные ворота) и на нее опираются поперечные фермы.В ангарных конструкциях применяют фермы с консолями, выходящими за несущую раму, что значительно облегчает поперечные фермы, но несколько утяжеляет раму. Устойчивость несущих рам и поперечных ферм обеспечивается крестовыми связями.
Фермы, предварительно напряженные затяжками
Предварительное напряжение можно успешно применять в решетчатых конструкциях разного назначения.
Наиболее разработаны предварительно напряженные фермы покрытия зданий, в которых предварительное напряжение осуществляется с помощью высокопрочных материалов. Возможности варьирования конструктивных схем в фермах значительно шире, чем в балках, и поэтому эффект применения предварительного напряжения здесь в значительной мере зависит от рационально выбранной для конкретного случая схемы фермы и затяжки, а также последовательности предварительного напряжения.
По характеру размещения затяжек и их влиянию на работу конструкции предварительно напряженные фермы можно разделить на два основных типа: фермы, у которых затяжки размещены в пределах наиболее нагруженных стержней и вызывают предварительное напряжение только в этих стержнях; фермы, у которых затяжки размещены в пределах всего пролета или части его и вызывают предварительное напряжение в нескольких или во всех стержнях фермы.
Ферма второго типа более разнообразна по конструктивным схемам и, как правило, более эффективна.
Ферма второго типа получается при устройстве одного или нескольких затяжек вдоль нижнего (растянутого) пояса. Одна затяжка создает предварительное напряжение в нескольких панелях пояса, вдоль которых она размещена, но другие стержни предварительного напряжения не получают.
При равномерном предварительном напряжении всего нижнего пояса одной затяжкой предварительное напряжение лимитируется несущей способностью на сжатие наиболее гибкой панели.
Натяжение затяжек целесообразно производить на заводе или на укрупнительной сборке. Чтобы обеспечить устойчивость пояса в процессе натяжения, затяжки по их длине соединяют с поясом диафрагмами через 40—50 наименьших радиусов инерции сечения пояса. Число ветвей в затяжке определяется формой сечения пояса и способом предварительного напряжения.
Оптимальная высота ферм посередине пролета от затяжки до верхнего пояса составляет 1/6-1/8 пролета, а высота жесткой части фермы принимается в пределах 1/10-1/12.
Эффективность предварительного напряжения ферм в значительной степени зависит от последовательности натяжения затяжки и загружения фермы. Натяжение затяжки в проектном положении конструкции после передачи на ферму части или всей постоянной нагрузки, как правило, дает больший эффект, чем натяжение до загружения ферм.
При закреплении затяжки, создающей общее предварительное напряжение в стержнях фермы, усилие в затяжке получается обычно значительным и поэтому надо при конструировании укреплять узел дополнительными ребрами жесткости.
Заключение
Я разрабатывал дипломный проект «Технология изготовления строительной фермы из прямоугольных труб».
Мне понравилась работа над дипломным проектом, так как она требовала самостоятельной работы.
Часть знаний я применил в дипломном проекте, а остальную информацию получил в библиотеке.
Дипломная работа требовала знаний по черчению, технологии, электросварке и другим специальным дисциплинам.
Во время дипломной работы я почувствовал себя конструктором сварочного производства и, конечно же, ответственным лицом над своей конструкцией.
Похожие рефераты:
Конструктивная схема одноэтажного промышленного здания
Стальной каркас одноэтажного производственного здания
Металлический каркас одноэтажного производственного здания
Конструкция общественного здания
Технология производства бетонных работ при возведении фундаментов
Конструктивное решение домов из обжигового кирпича для районов Сибири
Проектирование металлической фермы