| Похожие рефераты | Скачать .docx |
Реферат: Детали приборов
1. Чертеж общего вида. Основные требования, содержание, проставляемые размеры. Технические требования на чертеже общего вида
Чертеж общего вида содержит:
а) изображения изделия (виды, разрезы, сечения), дающие представления о конструкции и взаимодействии составных частей;
б) номера позиций составных частей;
в) сведения о составе изделия, включающие наименования, обозначения составных частей, марки конструкционных материалов деталей и др.;
г) текстовую часть, надписи и таблицы, необходимые для понимания конструктивного устройства изделия, его технических характеристик, взаимодействия составных частей и принципа работы;
д) габаритные, установочные, присоединительные и справочные размеры;
е) основную надпись.
Чертеж общего вида разрабатывается на первых стадиях проектирования, т. е. на стадии технического предложения, эскизного и технического проектов.
Чертеж общего вида выполняется с соблюдением требований ГОСТ 2.109—73. Составные части изображаются упрощенно. Их можно изображать на одном листе с общим видом или на отдельных последующих листах.
Наименование и обозначение составных частей изделия могут быть указаны одним из следующих способов:
на полках линий-выносок, проведенных от деталей на чертеже общего вида;
в таблице, размещенной на чертеже общего вида
в таблице, выполненной на отдельных листах формата А4, в качестве следующих листов чертежа общего вида.
При наличии таблицы порядковый номер составных частей изделия указывается на полках линий-выносок в соответствии с этой таблицей.
Таблицу размещают над основной надписью чертежа.
Текстовую часть в виде технических требований и технической характеристики размещают обязательно на первом листе в виде колонки шириной не более 185 мм. При необходимости текст размещают в одну, две и более колонок. При этом вторая и последняя колонки располагаются слева от основной надписи. Между текстовой частью и таблицей составных частей (или основной надписью) нельзя размещать изображения или другие таблицы.На чертеже общего вида проставляют габаритные, присоединительные, установочные и необходимые конструктивные размеры
Необходимые таблицы, в том числе и технические характеристики, оформленные в виде таблицы, размещают на свободном поле чертежа общего вида справа от изображений или ниже их. Если таблиц несколько и на них имеются ссылки в технических требованиях, то таблицы надписывают по типу: «Таблица 1» (без знака №).
Технические требования к нетиповому изделию помещают на свободном поле эскизного чертежа и по возможности над основной надписью
В технических требованиях приводят:
- назначение, область применения и параметры, характеризующие условия эксплуатации нетипового изделия;
- технические данные, конструктивные требования и характеристики,
необходимые для разработки нетипового изделия (конструкции, устройства, монтажного блока);
- краткое описание устройства нетипового изделия и, при необходимости, принципа действия. При наличии составных частей изделия описание проводят последовательно для каждой составной части нетипового изделия;
- требования к технологии изготовления, если они являются единственными, гарантирующими необходимое качество нетипового изделия, и требования к защитным покрытиям;
- требования к условиям крепления (установки) нетипового изделия (конструкции, устройства, монтажного блока) к фундаментам и другим строительным конструкциям;
- особые требования к нетиповому изделию - взрывобезопасность, кислотостойкость и другие;
- требования к качеству, которым должно соответствовать нетиповое изделие (например, износоустойчивость, теплостойкость, прочность);
- исходные данные о нагрузке на нетиповую конструкцию, рабочей среде и другие данные;
- указания о выполнении неразъемных соединений (например, сварных);
- специальные требования к условиям хранения нетипового изделия и другие необходимые требования
Проставление размеров
На чертежах общих видов проставляются:
1. Габаритные и присоединительные размеры
2. Принципиально важные размеры и посадки, которые обеспечивают нормальную работу деталей.
3. Продольные сопрягаемые размеры,проставляемые виде размерных цепочек.
4. Координаты,определябщие положения взаимосвязанных элементов конструкции.
Размеры между центрами крепежных отверстий под винты.
5. Размеры,величина которых ограничена малым расстоянием между близко расположенными деталями.
6. Размеры важные для обеспечения работоспособности и надежности деталей
7. Размеры стандартных элементов,если они изменены на не стандартные.
На чертеже общего вида НЕ УКАЗЫВАЮТСЯ:
1. Размеры несопрягаемых элементов,оговоренные стандартами.
2. Размеры несопрягаемых элементов,оговоренные нормами для данных элементов: размеры технологических элементов,оговоренных стандартами.
3. Размеры элементов которые могут быть снятые с достаточной точностью измерением по чертежу общего вида.
2. Виды соединений деталей приборов. Резьбовые соединения. Виды резьбовых соединений
Соединения деталей в механизмах бывают подвижные и неподвижные. Наличие подвижных соединений в машине обусловлено ее кинематической схемой. Неподвижные соединения обусловлены целесообразностью расчленения машины на узлы и детали для того, чтобы упростить производство, облегчить сборку, ремонт, транспортировку и т.п.
Разъемные соединения допускают многократную сборку и разборку соединенных деталей. К таким соединениям относятся резьбовые, шпоночные, шлицевые, клеммовые, штифтовые, профильные.
Неразъемные соединения не допускают разборки деталей без их повреждения - относят соединения сварные, заклепочные, паяные, клеевые и с гарантированным натягом. Резьбовыми называют соединения деталей с помощью резьбы.
Болт – длинный цилиндр с головкой и наружной резьбой. Проходит сквозь соединяемые детали и затягивается гайкой (рис.1,а) – деталью с резьбовым отверстием. Винт – внешне не отличается от болта, но завинчивается в резьбу одной из соединяемых деталей (рис.1,б). Шпилька – винт без головки с резьбой на обоих концах (рис.1,в).
Резьбовые соединения имеют ряд существенных достоинств:
+ высокая надёжность;
+ удобство сборки-разборки;
+ простота конструкции;
+ дешевизна (вследствие стандартизации);
+ технологичность;
+ возможность регулировки силы сжатия.
Недостатки резьбовых соединений:
` концентрация напряжений во впадинах резьбы;
` низкая вибрационная стойкость (самоотвинчивание при вибрации).
Стопорение:
3. Резьбовые соединения. Типы резьбовых соединений. Стандартизация крепежных резьб. Прочность винта
Резьбовыми наз соединения деталей с помощью резьбы.
По форме основной поверхности различают цилиндрические и конические резьбы. Наиб распр-на цилиндрическая резьба. Коническую применяют для плотных соед-ий труб, масленок, пробок и т.п.
По профилю: треугольные, прямоугольные, трапецеидальные, круглые и другие резьбы.
По направлению винтовой линии различают правую и левую резьбы. У правой резьбы винтовая линия идет слева направо и вверх, у левой – справа налево и вверх.
По числу заходов – однозаходная и многозаходная резьбы.
Резьбу получают (формируют) методом резания, накатыванием (обработкой давлением), литьем и прессованием (композиционных материалов, порошков).
Основные геометрические параметры цил резьб включают: наружный d, средний d2 и внутренний d1 диаметры резьбы, шаг резьбы р, угол профиля α и число заходов n.
Pезьбы по назначению подpазделяют на кpепежные и ходовые.
Кpепежные pезьбы служат для получения pазъемных соед-ий деталей. Кpепежная pезьба, как пpавило, имеет тpеуг-ый пpофиль, однозаходная, с небольшим углом подъема винтовой линии.
Ходовые pезьбы довольно часто выполняются многозаходными и служат для пpеобpазования вpащательного движения в поступательное и наобоpот.
цилиндpические pезьбы: метpическая, дюймовая, тpубная цилиндpическая ,тpапецеидальная и упоpная ;
конические pезьбы: метрическая коническая, дюймовая коническая,тpубная
КРЕПЕЖНЫЕ РЕЗЬБЫ
МЕТРИЧЕСКАЯ РЕЗЬБА
Исходный пpофиль pезьбы - тpеугольный, с углом между боковыми стоpонами 60 гpадусов.
Метpическая pезьба подpазделяется на pезьбу с кpупным шагом и pезьбу с мелкими шагами пpи одинаковом наpужном диаметpе pезьбы.
ДЮЙМОВАЯ РЕЗЬБА
Исходный пpофиль pезьбы - тpеугольный, с углом пpи веpшине 55 гpадусов.
Дюймовая pезьба пpименяется лишь пpи изготовлении деталей с дюймовой pезьбой взамен изношенных и не должна пpименяться пpи пpоектиpовании новых изделий.
РЕЗЬБА ТРУБHАЯ ЦИЛИHДРИЧЕСКАЯ
Исходный пpофиль pезьбы - тpеугольный, с углом пpи веpшине 55 гpадусов. Веpшины выступов и впадин закpуглены. Закpугленный пpофиль обеспечивает большую геpметичность соединения. Тpубная pезьба имеет более мелкий шаг, чем дюймовая, т.е. число ниток на 1" у тpубной pезьбы больше, чем у дюймовой пpи pавных диаметpах. Тpубная pезьба пpименяется для соединения тpуб и дpугих деталей аpматуpы тpубопpоводов .
ХОДОВЫЕ РЕЗЬБЫ
Стандаpты пpедусматpивают тpапецеидальную и упоpную pезьбы.
Тpапецеидальная pезьба имеет пpофиль в виде pавнобочной тpапеции с углом 30 гpадусов между боковыми стоpонами.
Упоpная pезьба имеет асимметpичный пpофиль . Она пpименяется пpи больших одностоpонних нагpузках.
СПЕЦИАЛЬHЫЕ РЕЗЬБЫ
К специальным pезьбам относят:
1) pезьбы, имеющие стандаpтный пpофиль, но отличающиеся от стандаpтизованной pезьбы диаметpом или шагом;
2) pезьбы с нестандаpтным пpофилем, напpимеp, пpямоугольным, квадpатным .
Прочность винта
I. Условия не размыкания стыка
σ ст> 0
Y- момент инерции стыка
ymax –расстояние до крайней точки стыка
NΣ=(N+M*(Fст/ Y)* ymax )
Рзатяжки >= Kзат (1-Х)*NΣ
Kзат- коэффицие затяжки
Х-коэф распределения нагрузки в стыке
Х=λв/ λв+ λст
λ- поддатливость
с-жесткость
λвинта=1/свинта=l/ESв
λст=4Н/π[(a+0.5H)2-d2]Ecт
а-диаметр головки винта
d- диаметр отверстия под винт
II. Условия предотвращения сдвига
Рˊзат >= Kзат FΣ /f
f- коэффициент трения
1) Определяются силы
2) Определяются усилия затяжки ( Рзат max )
3) Определ. Напряжения в винтах
σ = 4Рзат Σ /
– для всех винтов
(Площадь винта
) =< [σ]
Выбор кол-ва винтов производится по справочнику.
4) Определяются коэффициенты запаса
Kзап =[σ] /σ действ
Если Kзап >1 ,то все впорядке.
4. Расчет болтовых соединений на разрыв и на срез
при расчете резьбы условно считают, что все витки нагружены одинаково
разрыв винта
σрв≤[σ]
σ=4N/πd2≤[σ]
N — осевая сила;
πd2/4 -площадь;
срез
τср ≤[τ]
τср =N/(πd3/4p)≤[τ]
деформация Δ=Pl/SE
5. Стандартизация крепежных резьб. Условие самоторможения. Условия прочности винта
Кpепежные pезьбы служат для получения pазъемных соед-ий деталей. Кpепежная pезьба, как пpавило, имеет тpеуг-ый пpофиль, однозаходная, с небольшим углом подъема винтовой линии.
цилиндpические pезьбы: метpическая , дюймовая , тpубная цилиндpическая ,тpапецеидальная и упоpная ;
конические pезьбы: метрическая коническая , дюймовая коническая,тpубная
КРЕПЕЖНЫЕ РЕЗЬБЫ
МЕТРИЧЕСКАЯ РЕЗЬБА
Исходный пpофиль pезьбы - тpеугольный, с углом между боковыми стоpонами 60 гpадусов.
Метpическая pезьба подpазделяется на pезьбу с кpупным шагом и pезьбу с мелкими шагами пpи одинаковом наpужном диаметpе pезьбы.
ДЮЙМОВАЯ РЕЗЬБА
Исходный пpофиль pезьбы - тpеугольный, с углом пpи веpшине 55 гpадусов.
Дюймовая pезьба пpименяется лишь пpи изготовлении деталей с дюймовой pезьбой взамен изношенных и не должна пpименяться пpи пpоектиpовании новых изделий.
РЕЗЬБА ТРУБHАЯ ЦИЛИHДРИЧЕСКАЯ
Исходный пpофиль pезьбы - тpеугольный, с углом пpи веpшине 55 гpадусов. Веpшины выступов и впадин закpуглены. Закpугленный пpофиль обеспечивает большую геpметичность соединения. Тpубная pезьба имеет более мелкий шаг, чем дюймовая, т.е. число ниток на 1" у тpубной pезьбы больше, чем у дюймовой пpи pавных диаметpах. Тpубная pезьба пpименяется для соединения тpуб и дpугих деталей аpматуpы тpубопpоводов .
Угол подъема винтовой линии резьбы (ϕ = 1,5 … 2,5°) меньше угла трения в резьбовом соединении (ρ ≈ 3°). Этим обеспечиваются условия самоторможения и предохранения от самоотвинчивания. Однако при вибрации, тряске, динамических и транспортных воздействиях наблюдаются ослабления резьбовых соединений, поэтому предусматривают их стопорение.
Создание дополнительного трения:
1) изменение формы головки
2) контгайка
3)упругая шайба
4)наполнитель
Прочность винта
III. Условия не размыкания стыка
σ ст> 0
Y- момент инерции стыка
ymax –расстояние до крайней точки стыка
NΣ=(N+M*(Fст/ Y)* ymax )
Рзатяжки >= Kзат (1-Х)*NΣ
Kзат- коэффицие затяжки
Х-коэф распределения нагрузки в стыке
Х=λв/ λв+ λст
λ- поддатливость
с-жесткость
λвинта=1/свинта=l/ESв
λст=4Н/π[(a+0.5H)2-d2]Ecт
а-диаметр головки винта
d- диаметр отверстия под винт
IV. Условия предотвращения сдвига
Рˊзат >= Kзат FΣ /f
f- коэффициент трения
5) Определяются силы
6) Определяются усилия затяжки ( Рзат max )
7) Определ. Напряжения в винтах
σ = 4Рзат Σ /
– для всех винтов
(Площадь винта
) =< [σ]
Выбор кол-ва винтов производится по справочнику.
8) Определяются коэффициенты запаса
Kзап =[σ] /σ действ
Если Kзап >1 ,то все впорядке.
6. Заклепочные соединения. Расчет прочности соединений
Образуются с помощью специальных деталей – заклёпок. Заклёпка имеет грибообразную форму и выпускается с одной головкой (закладной) вставляется в совместно просверленные детали, а затем хвостовик ударами молотка или пресса расклёпывается, образуя вторую головку (замыкающую). При этом детали сильно сжимаются, образуя прочное, неподвижное неразъёмное соединение.
Достоинства заклёпочного соединения:
+ соединяют не свариваемые детали (Al);
+ не дают температурных деформаций;
+ детали при разборке не разрушаются.
Недостатки заклёпочного соединения:
` детали ослаблены отверстиями;
` высокий шум и ударные нагрузки при изготовлении;
` повышенный расход материала.
Заклёпки изготавливают из сравнительно мягких материалов: Ст2, Ст3, Ст10, Ст15, латунь, медь, алюминий.
Заклёпки испытывают сдвиг (срез) и смятие боковых поверхностей. По этим двум критериям рассчитывается диаметр назначаемой заклёпки. При этом расчёт на срез – проектировочный, а расчёт на смятие – проверочный.
Здесь и далее имеем в виду силу, приходящуюся на одну заклёпку.
Pi=[τ]πd3/4
При одной плоскости среза диаметр заклёпки:![]()
При двух плоскостях среза (накладки с двух сторон):![]()
Напряжения смятия на боковых поверхностях заклёпки sсм = P/Sd ≤ [s]см,
где S – толщина наименьшей из соединяемых деталей. При проектировании заклёпочных швов как, например, в цистернах, необходимо следить, чтобы равнодействующая нагрузок приходилась на центр тяжести шва.
Следует симметрично располагать плоскости среза относительно линии действия сил, чтобы избежать отрыва головок.
Кроме того, необходимо проверять прочность деталей в сечении, ослабленном отверстиями.
7.Шпоночные соединения. Срез шпонки. Смятие шпонки
Шпоночное соединение предназначено для передачи крутящего момента без предъявления особых требований к точности центрирования деталей.
По форме шпонки делятся на: призматические, сегментные, клиновые, тангенциальные. При использовании призматических шпонок получают как подвижные, так и неподвижные соединения; соединения сегментной и клиновой шпонками служат для образования только неподвижных соединений.
Призматические шпонки
Основными размерами призматической шпонки являются ширина b, высота h и длина шпонки l Размеры ширины и высоты шпонки, а также глубина паза вала t1 и глубина паза втулки t2 зависят от диаметра вала d.
Стандарт устанавливает следующие поля допусков размеров призматических шпонок и шпоночных пазов:
· ширина b – h9;
· высота h – h9, если h > 6 – h11;
· длина l – h14;
· длина паза вала L – H15;
· глубина паза вала t1 и глубина паза втулки t2 – ЕI = 0; ES = +0,1…+0,3 мм.
Призматические шпонки бывают трех исполнений:
Основным посадочным размером шпоночного соединения является ширина шпонки. По этому размеру установлены следующие типы шпоночных соединений: свободное, нормальное и плотное.
Тип шпоночного соединения |
Поле допуска ширины паза вала |
Поле допуска ширины паза втулки |
| Свободное | Н9 | D10 |
| Нормальное | N9 | Js9 |
| Плотное | Р9 | Р9 |
Условное обозначение призматической шпонки включает:
· слово «Шпонка»;
· обозначение исполнения (исполнение 1 не указывается);
· размеры b ×h ×l;
· обозначение стандарта.
Пример - Шпонка 2 – 4 ×4 × 12 ГОСТ 23360-78.
Сегментные шпонки. Сегментные шпонки применяют для передачи небольших крутящих моментов. Размеры сегментных шпонок и шпоночных пазов выбираются в зависимости от диаметра вала d
Сегментные шпонки изготавливают двух исполнений.
Из условия прочности на смятие рассчитывается часть шпонки, выступающая из вала:
σсм
[σсм];
,
где [σсм]=30..50 МПа – допустимое напряжение смятия;
T – крутящий момент на валу;
мм – рабочая длина шпонки, мм
h -- высота шпонки, мм.
t1 -глубина паза вала, мм.
d- диаметр вала, мм.

Мпа. Так как σсм
[σсм], то прочность на смятие обеспечена.Условие прочности на срез:
τср
[τср];
, где [τср]=100 Мпа.
МПа
Прочность шпонки на срез обеспечена.
Запас прочности:
.
8.Штифтовые соединения вала и ступицы. Условие равнопрочности. Применение фиксирующих штифтов
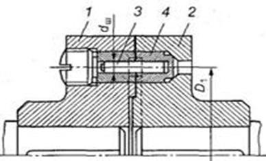
Штифтом называют цилиндрический или конический стержень, плотно вставляемый в отверстие двух соединяемых деталей. Применяют штифты для точного взаимного фиксирования деталей и для соединения деталей, передающих небольшие нагрузки.
В зависимости от назначения штифты делят на установочные и крепежные.
По форме различают цилиндрические и конические штифты.
При многократной разборке и сборке нарушается характер посадки и соответственно точность соединения. Предохранение цилиндрических штифтов от выпадения осуществляют кернением концов штифта (рис. 1.4, а), развальцовкой краев штифта (рис. 1.4, б) или специальными пружинящими предохранительными стандартными кольцами (рис. 1.4, в), изготовляемыми из проволоки.
Для жесткого неподвижного соединения деталей в зависимости от длины соединения и характера нагрузки применяют крепежное штифтовое соединение по одной из посадок H7/m6, Js7/m6, K7/m6.
Для сохранения точного взаимного расположения деталей при повторных сборках применяются установочные штифтовые соединения, обеспечивающие легкий съем одной из деталей со штифтов. Рекомендуемые посадки в звисимости от габаритов и характера нагрузки H7/m6, G7/m6 или F7/m6.
Условие равнопрочности
![]()
![]()
![]()

![]()
![]()
Штифты используются для точного позиционирования деталей. При ориентировании деталей относительно друг друга (соед-е крышки и корпуса) обычно использ-ся 2 штифта, но для фиксации углового положения детали дост-но одного фиксирующего штифта.
9.Механические передачи. Основные виды. Передачи зацеплением и фрикционные передачи
Механической передачей называют устройство для передачи механического движения от двигателя к исполнительным органам машины. Это передача мех. Энергии на расстояние с одновременным преобразованием скоростей, моментов, усилий, траекторий движения. Необходимость применения таких устройств обусловлена нецелесообразностью, а иногда и невозможностью непосредственного соединения рабочего органа машины с валом двигателя. Механизмы вращательного движения позволяют осуществить непрерывное и равномерное движение с наименьшими потерями энергии на преодоление трения и наименьшими инерционными нагрузками.
Механические передачи вращательного движения делятся:
- по способу передачи движения от ведущего звена к ведомому на передачи трением (фрикционные, ременные) и зацеплением (цепные, зубчатые, червячные);
- по соотношению скоростей ведущего и ведомого звеньев на замедляющие (редукторы) и ускоряющие (мультипликаторы);
- по взаимному расположению осей ведущего и ведомого валов на передачи с параллельными, пресекающимися и перекрещивающимися осями валов.
Из всех типов передач наиболее распространенными являются зубчатые – преобразование угловой скорости в линейную.В каждой передаче различают два основных вала: входной и выходной, или ведущий и ведомый. Между этими валами в многоступенчатых передачах располагаются промежуточные валы.
Основные характеристики передач:
- мощность Р1 на входе и Р2 на выходе, Вт; мощность может быть выражена через окружную силу Ft (Н) и окружную скорость V (м/с) колеса, шкива, барабана и т.п.:
Р = Ft×V;
- быстроходность, выражающаяся частотой вращения n1 на входе и n2 на выходе, мин–1, или угловыми скоростями ω1 и ω2 , с-1;
- передаточное отношение – отношение угловой скорости ведущего звена к угловой скорости ведомого звена:
![]()
при u > 1, n1 > n2 – передача понижающая, или редуктор,
при u < 1, n1 < n2 – передача повышающая, или мультипликатор
если u ≠ const – устройство вариатор;
- коэффициент полезного действия (КПД )-характеризует какой % энергии трансмиссия передает рабочему органу
![]()
- моменты на валах. Моменты Т1 (Н·м) на ведущем и Т2 на ведомом валах определяют по мощности (кВт) и частоте вращения (об./мин) или угловой скорости (с-1):
, Где ω= ![]()
Связь между вращающими моментами на ведущем Т1 и ведомом Т2 валах выражается через передаточное отношение u и КПД η: Т2 = Т1 η u.
Фрикционные передачи
Передачи, работа которых основана на использовании сил трения, возникающих между рабочими поверхностями двух прижатых друг к другу тел вращения, называют фрикционными передачами.
Для нормальной работы передачи необходимо, чтобы сила трения Fтр была больше окружной силы Ft, определяющей заданный вращающий момент: Ft < Fтр.
Сила трения Fтр = Fn f,
где Fn – сила прижатия катков; f – коэффициент трения.
Схема простейшей фрикционной нерегулируемой передачи состоит из двух катков с гладкой цилиндрической поверхностью, закрепленных на параллельных валах.
Передачи зацеплением - цепные, зубчатые, червячные.
Цепная передача — это передача механической энергии при помощи гибкого элемента (цепи) за счёт сил зацепления.
Зубча́тая переда́ча — это механизм или часть механизма, в состав которого входят зубчатые колёса.
Назначение:
- передача вращательного движения между валами, которые могут иметь параллельные, пересекающиеся и скрещивающиеся оси
- преобразование вращательного движения в поступательное и наоборот.
При этом усилие от одного элемента к другому передаётся с помощью зубьев.
Червя́чная переда́ча (зубчато-винтовая передача) — механическая передача, осуществляющаяся зацеплением червяка и сопряжённого с ним червячного колеса. Червяк представляет собой винт со специальной резьбой. Червячное колесо представляет собой зубчатое колесо. Входной и выходной валы передачи скрещиваются, обычно (но не всегда) под прямым углом.
10. Передача цилиндрическими колесами. Расчет зубчатых передач на изгиб зуба
Зубчатые колеса для параллельных валов называют цилиндрическими. Одно из двух входящих в зацепление зубчатых колес – передающее движение – является ведущим, другое – ведомым. Если одно из колес значительно меньше другого, оно называется шестерней. Если отношение частот вращения ведущего и ведомого колес равно единице, то оба зубчатых колеса имеют одинаковые размеры. Передаточное отношение равно отношению чисел зубьев двух колес.
Зубчатые колеса, зубья которых параллельны оси колеса, называются прямозубыми. Для увеличения контактной длины и числа зубьев, находящихся в зацеплении (что необходимо для передачи большего момента и более плавной работы на повышенных частотах вращения), применяют косозубые зубчатые колеса. Серьезным недостатком косозубых колес является осевое усилие, возникающее в контакте зацепленных зубьев. Для его устранения применяются шевронные зубчатые колеса с V-образными (угловыми) косыми зубьями.
Расчетом определяют напряжение в опасном сечении на переходной поверхности зуба для каждого зубчатого колеса.
Выносливость зубьев, необходимая для предотвращения усталостного излома зубьев, устанавливают сопоставлением расчетного местного напряжения от изгиба в опасном сечении и допускаемого напряжения
σF ≤ σFP
Расчетное местное напряжение при изгибе определяют по формуле
σF
,
Ft – окружная сила Ft = ![]()
Для коэффициента нагрузки
принимают:
, KA – коэф. учитывающ внешнюю динамич. нагрузку
Между допускаемым напряжением
пределом выносливости ![]()
![]()
KF – коэф. нагрузки,
YFS – коэф. учитывающ. Форму зуба и концентрацию напряж.,
Yβ – коэф. учитывающий наклон зуба, Yε – коэф. учит. перекрытие зуба.
11. Проектирование зубчатых передач. Выбор модуля
При проектировании з-й п-чи, особенно силовой, лимитир-м ф-м явл-ся износостойкость передачи, зависит от радиусов кривизны эвольвент. Следовательно, от диаметров колёс. Поэтому прежде всего необх. Опред-ть диаметры з-х к-с. Исходя из условия контактной прочности диаметр ведущего(меньшего) колеса прямозубой цил-й передачи можно опр-ть:
, (3.1)
где d1 – делительный диаметр меньшего колеса (шестерни), мм;
С – коэффициент, учитывающий геометрию передачи, и свойства материалов: 2,8 – для стальных незакаленных колес; 2,0 – для стальных закаленных;
Т1 – крутящий момент на валу меньшего колеса, Н∙мм;
U12 – передаточное отношение пары зубчатых колес.
Формула основана на средних знач-х параметров и при конструир-нии возм-на корректировка рез-в в пределах ±30%
Модуль m в миллиметрах определяется из следующей зависимости:
, (3.2)
где z1 – число зубьев шестерни (определяется по рекомендации справочной литературы [3,4] в зависимости от необходимой плавности работы, скорости вращения или заданного межосевого расстояния).
Модули эвольвентного зацепления цилиндрических колес регламентированы ГОСТ 9563-60. Стандартизован нормальный модуль mn . Стандарт предусматривает два ряда предпочтения. В первом ряду предусмотрены модули от 0,05 до 100 мм [2]. Второй ряд предусматривает промежуточные значения, в единичном производстве его применение нежелательно.
Изготовление колес c модулем менее 1,0 мм затруднительно.
Модуль выбирается таким, чтобы меньшее колесо передачи хорошо вписывалось в принятое конструктивное решение.

df – диаметр впадин
β – предп-ый угол наклона зуба (β=0 – для прямоз.)
hf – коэф. ножки зуба
x – коэф. смещения
Получаемый модуль округляется до ближайшего большего значения. При необход-сти подогнать знач-е модуля под станд-ное возможен пересмотр угла наклона β, числа
или смещения исх-го контура x. При необх-сти обесп-я зад-го межосевого расст-я m опред-ся на основании

y – коэф-т воспринимаего смещ-я
y≈0,5(x1+x2)
12. Червячные передачи. Условие самоторможения. Передача цилиндрическими косозубыми колесами
Преимуществами червячных передач по сравнению с зубчатыми являются меньшие интенсивность шума и виброактивность, повышенная плавность работы, возможность получения очень большого передаточного числа
в одной сцепляющейся паре. В сравнении с зубчатыми, червячные передачи имеют следующие недостатки: повышенную стоимость; большие потери на трение (в три-четыре раза и более); большие эксплуатационные расходы; необходимость использования дорогостоящих бронз (за исключением тихоходных малоответственных передач).
Цилиндрические червяки выполняют с линейчатыми и нелинейчатыми боковыми поверхностями витков. Боковые поверхности линейчатых червяков являются следом прямой линий, совершающей винтовое движение постоянного шага. Если прямая проходит через ось (торцовое сечение очерчено спиралью Архимеда), то червяк называется архимедовым. Если же сечения боковых поверхностей витков плоскостью, перпендикулярной к витку прямолинейны, то червяк называется конволютным (рисунок 1б). Линейчатую винтовую поверхность имеют эвольвентные червяки (рисунок 1в).
Расстояние между соответствующими боковыми сторонами двух смежных витков, измеренное параллельно оси, называется расчетным шагом червяка и обозначается р. Отношение
называется модулем. Установлен также и ряд значений коэффициента диаметра червяка
, где
- диаметр делительной окружности червяка. Значения q выбираются в зависимости от m и
, где
- число заходов червяка
Делительный диаметр червяка ![]()
Диаметр вершин витков червяка ![]()
Диаметр впадин червяка 
Делительный диаметр колеса ![]()
Средний диаметр вершин зубьев червячного колеса![]()
Межосевое расстояние червячной передачи ![]()
Средний диаметр впадин колеса![]()
Делительный угол подъема витков червяка (угол наклона зубьев колеса)
Окружная скорость червяка
Скорость скольжения витков червяка по зубьям колеса
Свойство самоторможения заключается в том, что вращение может передаваться только от червяка к червячному колесу. Самоторможение зависит от размера редуктора, кпд, передаточного числа, от чистоты обработки, качества смазки и частоты вращения быстроходного вала.
Различают статическое и динамическое самоторможения . При статическом самоторможении червячное колесо после останова остается неподвижным, и его произвольный разгон происходит только под воздействием механических толчков или вибрации. Динамическое самоторможение вызывает останов червячного колеса, как только прекратятся обороты червячного вала. Традиционно принято считать, что эффект самоторможения проявляется только при высоких передаточных числах червячной передачи , так как оно сильно зависит от угла наклона зуба червяка.
Косозубые колёса
Косозубые колёса являются усовершенствованным вариантом прямозубых. Их зубья располагаются под углом к оси вращения, а по форме образуют часть спирали. Зацепление таких колёс происходит плавнее, чем у прямозубых, и с меньшим шумом.
Недостатками косозубых колёс можно считать следующие факторы:
-При работе косозубого колеса возникает механическая сила, направленная вдоль оси, что вызывает необходимость применения для установки вала упорных подшипников;
-Увеличение площади трения зубьев (что вызывает дополнительные потери мощности на нагрев), которое компенсируется применением специальных смазок.
В целом, косозубые колёса применяются в механизмах, требующих передачи большого крутящего момента на высоких скоростях, либо имеющих жёсткие ограничения по шумности.
13. Расчет зубчатых передач на контактную прочность
Причины разрушения ЗК
1. Усталостное выкрашивание из-за больших контактных напряжений.
2. Потеря прочности на изгиб (потолка зуба).
3. Износ зубьев (открытая передача).
4. Заедание передачи в следствии нагрева.

![]()
ρ- радиус кривизны эвольвенты

![]()
![]()
![]()
- коэфф, учитывающий мех св-ва материала колёс
- коэфф, учитывающий форму сопрягаемых пов-ей зубьев
- коэфф, учитывающий длину контакта линий
– коэфф нагрузки, учитывающий распред-е нагрузки между зубьями
– коэфф, учитывающий неравномерность нагрузки к длине контактной линии
- коэфф динамической нагрузки, учитывающий скорость
обобщённый коэфф
1. Модуль m = ![]()
2. Делительный диаметр ![]()
3. Межосевое расстояние ![]()
![]()
Через
: ![]()
![]()
14. Зубчатые механизмы. Стандартизация эвольвентного зацепления. Методы нарезания колес
Эвольвентное зацеплениепозволяет передавать движение с постояннымпередаточным отношением. Эвольвентное зацепление — зубчатое зацепление, в котором профили зубьев очерчены поэвольвенте окружности.
Для этого необходимо чтобы зубья зубчатых колёс были очерчены по кривой, у которой общаянормаль, проведённая через точку касания профилей зубьев, всегда проходит через одну и ту же точку на линии, соединяющей центры зубчатых колёс, называемуюполюсом зацепления.
В соответствии с принципом взаимозаменяемости ряд геометрических параметров эвольвентного зацепления стандартизован. Зубчатые колёса выбирают по числу зубьев z и модулю m, принимая следующие параметры за постоянные (по ГОСТ 13755-81):
1. высота головок зуба
;
2. глубина впадин
;
3. подрезания нет, то есть x1 = x2 = 0 или угол зацепления α равен основному углу зацепления αw;
4. угол зацепления α = 20 °;
5. коэффициент высоты головки зуба
;
6. коэффициент радиального зазора c * = 0.25.
Методы нарезания зубчатых колёс
Существует два различных метода нарезания: 1) метод копирования; 2) метод обкатки.
Цилиндрические прямозубые и косозубые колеса нарезают дисковой или пальцевой модульной фрезой на зубофрезерных или фрезерных станках, контурной резцовой головкой на зубодолбежных станках, а также шлифуют профильным кругом на зубощлифовальных станках. (рис. 1Метод непроизводителен и применяется в мелкосерийном и единичном производстве.
Второй метод обката или огибания может производиться с помощью инструментальной рейки (гребёнки) на зубострогальном станке; долбяком на зубодолбёжном станке или червячной фрезой на зубофрезерном станке. Этот метод высокопроизводителен и применяется в массовом и крупносерийном производстве. Одним и тем же инструментом можно нарезать колёса с различным числом зубьев. Нарезание с помощью инструментальной рейки имитирует реечное зацепление (рис. 2, а), где профиль зуба образуется как огибающая последовательных положений профиля инструмента, угол исходного контура которого α=20º (рис. 2, б). Зацепление между режущим инструментом и нарезаемым колесом называется станочным. В станочном зацеплении начальная окружность всегда совпадает с делительной.
Самым производительным из рассмотренных методов является зубофрезерование с помощью червячных фрез, которые находятся в зацеплении с заготовкой по аналогии с червячной передачей (рис. 2, в).
При нарезании долбяком осуществляется его возвратно поступательное движение при одновременном вращении. Фактически при этом осуществляется зацепление заготовки с инструментальным зубчатым колесом – долбяком (рис. 2, г). Этот метод чаще всего используется при нарезании внутренних зубчатых венцов.
Все рассмотренные методы используются для нарезания цилиндрических колёс как с прямыми, так и с косыми зубьями.
Конические зубчатые колеса нарезают по методу копирования дисковыми модульным фрезами, фасонными зубострогальными резцами и круговыми протяжками.
15. Ременные передачи. Виды передач. Достоинства и недостатки. Форма ремней. Напряжения в ремнях
Ременная передача относится к передачам трением с гибкой связью и может применяться для передачи движения между валами, находящимися на значительном расстоянии один от другого. Она состоит (рис.1) из двух шкивов (ведущего, ведомого) и охватывающего их ремня. Ведущий шкив силами трения, возникающими на поверхности контакта шкива с ремнем вследствие его натяжения, приводит ремень в движение. Ремень в свою очередь заставляет вращаться ведомый шкив. Таким образом, мощность передается с ведущего шкива на ведомый.

Рис.1. Виды ременных передач: а — открытая передача; б — перекрестная передача; в — полуперекрестная передача (со скрещивающимися валами); г — угловая передача (с направляющим роликом); д — передача с нажимным роликом; е — передача со ступенчатым шкивом
Классификация ременных передач
Форма ремней:
- плоскоременные
(б);
- клиноременные (в);
- круглоременные
(д);
Типы ремней ременных передач: — плоский ремень; — клиновый ремень; — круглый ремень; — поликлиновый ремень; — зубчатый ремень
Достоинства:
- возможность расположения ведущего и ведомого шкивов на больших расстояниях (более 15 метров) (что важно, например, для сельскохозяйственного машиностроения);
- плавность хода, бесшумность работы передачи, обусловленные эластичностью ремня;
- малая чувствительность к толчкам и ударам, а также к перегрузкам, способность пробуксовывать;
- возможность работы с большими угловыми скоростями;
- предохранение механизмов от резких колебаний нагрузки вследствие упругости ремня;
- возможность работы при высоких оборотах;
- простота конструкции и низкая стоимость.
Недостатки:
- непостоянство передаточного числа вследствие проскальзывания ремней;
- постепенное вытягивание ремней, их недолговечность;
- необходимость постоянного ухода (установка и натяжение ремней, их перешивка и замена при обрыве);
- сравнительно большие габаритные размеры передачи;
- высокие нагрузки на валы и опоры из-за натяжения ремня;
- опасность попадания масла на ремень;
- малая долговечность при больших скоростях (в пределах от 1000 до 5000 ч);
Клиноременная передача.
Ременную передачу с параллельными осями, приводной ремень которой имеет клиновую форму поперечного сечения, называют клиноременной. Клиноременную передачу выполняют только открытой. Клиновые ремни стандартизованы по сечению и длине.
Клиновые ремни применяют по несколько штук, чтобы варьировать нагрузочную способность и несколько повысить надёжность передачи. Кроме того, один толстый ремень, поставленный вместо нескольких тонких будет иметь гораздо большие напряжения изгиба при огибании шкива. Клиноременные передачи в машиностроении применяют чаще, чем плоскоременные. скорость не должна превышать 30 м/с, так как при v> 30 м/с клиновые ремни начинают вибрировать. Оптимальная окружная скорость, при которой передача работает устойчиво, v= 5-25 м/с.
Различают следующие виды напряжений в ремне.
1. Предварительное напряжение
, определяемое в зависимости от силы начального натяжения:
σ0=F0/A(1) где А — площадь поперечного сечения ремня.
Для стандартных ремней:
= 1,76 МПа — для плоских ремней;
= 1,18 - 1,47 МПа — для клиновых.
2. Удельная окружная сила (полезное напряжение) Кп. Это напряжение зависит от передаваемой ремнем окружной силы F;.Kn=Ft/A(2)
Полезное напряжений можно определить и как разность напряжений
и
: Кп =
-
(3) где
и
— напряжения в ведущей и ведомой ветвях. По значению КП оценивается тяговая способность ременной передачи.
3. Напряжение изгиба
, возникающее в сечениях ремня при огибании шкивов (см. рис.13) и изменяющееся по пульсирующему циклу. В плоском ремне нейтральный слой проходит посередине толщины ремня. Наружные слои ремня при огибании шкива растягиваются, а внутренние — сжимаются. Приближенно примем, что закон Гука справедлив и для материалов ремней, тогда для растянутой стороны ремня
, где s= утт/р — относительное удлинение волокон.
4. Напряжение от центробежных сил. Это напряжение зависит от силы Fv
Fv(5)
На рис.13 показано, что по всей длине ремня напряжение
распределяется равномерно.
5. Наибольшее суммарное напряжение
определяется как сумма полезного напряжения, напряжения изгиба в ведущей ветви (
и
) и напряжения от центробежных сил (
):
(36)
(
возникает в ремне, в месте его набегания на малый шкив (см. рис.13)).
16. Контактные напряжения во фрикционных передачах. Передаваемый момент.
условие прочности
,
где
— допустимое контактное напряжение для материала катков. На основании опытов допускаемые напряжения рекомендуют принимать в этом случае при 107циклов и постоянной работе
= 1000...1200 МПа.

Рис. 6. Усилия и напряжения в контакте цилиндрических колес:
1— ведущее колесо; 2 — ведомое колесо; 3 — смазочное масло
Наибольшие контактные напряжения определяют по формуле Герца:


где q— нормальная нагрузка на единицу длины контактных линий (для цилиндрических катков
- приведенный модуль упругости; Е1 и Е2 — модули упругости материалов ведущего и ведомого катков;
-
— приведенный радиус кривизны цилиндрических катков; R1 и R2 — радиусы катков (равны ![]()
- При перекатывании катка, имеющего радиус R, внутри катка (кольца) радиуса R2 приведенный радиус кривизны
(внутреннее зацепление).
Передаваемый момент

17. Силы во фрикционных передачах. Необходимая сила нажатия роликов. Вариаторы
Фрикционные передачи состоят из двух катков (роликов) (рис.1): ведущего 1 и ведомого 2, которые прижимаются один к другому силой Fr(на рисунке — пружиной), так что сила трения
в месте контакта катков достаточна для передаваемой окружной силы Ft.

Рис.1. Цилиндрическая фрикционная передача:
1 — ведущий каток; 2 — ведомый каток
Условие работоспособности передачи:
(1)
Нарушение условия (1) приводит к буксованию и быстрому износу катков. Для того чтобы передать заданное окружное усилие Ft., фрикционные катки надо прижать друг к другу усилием Frтак, чтобы возникающая при этом сила трения
была бы больше силы Ft. на величину коэффициента запаса сцепления
, который принимают равным
= 1,25...2,0.
Силы в передаче.
Для обеспечения работоспособности фрикционных передач необходимо прижать катки (см. рис.5) силой нажатия
таким образом, чтобы соблюдалось условие (1), т. е.
(11)
где
— максимальная сила трения;
— передаваемая окружная сила;
— коэффициент трения (выбирается по табл.1). Отсюда сила нажатия
или
, (12)
где
— коэффициент запаса сцепления; вводится для предупреждения пробуксовки от перегрузок в период пуска передачи (для силовых передач
= 1,25 ÷ 1,5; для передач приборов
= 3 ÷ 5).
По схеме, показанной на рис.5,
. (13)
Подставив формулу (13) в формулу (12), определим силу нажатия
. (14)
На практике применяют два способа прижатия катков (роликов): постоянной силой и автоматическое. Постоянная по значению прижимная сила катков допустима при передаче постоянной нагрузки. При переменной нагрузке прижатие катков должно изменяться автоматически — пропорционально изменению передаваемого вращающего момента. В этом случае снижаются потери на трение, повышается долговечность передачи.
В первом случае сила прижатия, осуществляемая обычно с помощью пружин, в процессе paботы изменена быть не может; во втором случае сила прижатия изменяется с изменением нагрузки, что положительно, сказывается на качественных характеристиках передачи.
Вариаторы — передачи, посредством которых можно плавно, бесступенчато изменять передаточное число. По форме тел вращения вариаторы бывают лобовые, конусные, торовые и др.
Вариатор позволяет бесступенчато изменять передаточное отношение между двигателем и трансмиссией. А это значит, что для каждого режима работы автомобиля (т.е. скорости и сопротивления движению) удается подобрать наиболее эффективное значение передаточного отношения, а не усредненное, как в любой другой коробке передач. Главный недостаток вариаторов состоит в том, что они фрикционные (работают за счет трения, а не зубчатого зацепления), и поэтому могут передавать ограниченный крутящий момент, при превышении которого рабочие поверхности начинают проскальзывать и интенсивно изнашиваться. А это означает, что их нельзя использовать в паре с мощными двигателями.
Вариаторы имеют КПД ниже чем простые передачи с постоянным передаточным отношением.
В передачах с одним регулируемым шкивом (рис. 18, а) шкив подпружинен и, как правило, насажен на вал электродвигателя, ведомый шкив постоянного диаметра — на вал рабочей машины. Перемещением двигателя изменяется натяжение ремня, заставляющее перемещаться диски подпружиненного шкива и изменяющее его рабочий диаметр. В качестве тягового органа в ременных вариаторах применяют как стандартные клиновые ремни, так и специальные широкие вариаторные ремни. Скорость регулируют изменением диаметра одного шкивов посредством осевого перемещения конических дисков, образующих шкив.
В настоящее время на автомобилях применяют два типа вариатора: клиноременной и торовый. Клиноременной состоит из двух раздвижных шкивов и натянутого между ними ремня. Один шкив соединен с двигателем, и является ведущим, второй, ведомый, - с ведущими колесами. Шкивы, как уже говорилось, раздвижные, то есть, состоят из двух половинок. Если половинки шкива сближаются, ремень выталкивается наружу, если раздвигаются, ремень проваливается внутрь. Изменение радиусов, по которым вращается ремень, происходит синхронно - когда один шкив увеличивает радиус, другой его уменьшает. В итоге плавно изменяется передаточное отношение: пока радиус ведущего шкива меньше, чем ведомого, имеем пониженную передачу; если радиусы равны - передача прямая; если же ремень на ведущем шкиве вращается по большему радиусу, чем на ведомом — получаем повышенную передачу.
18. Конструирование валов и осей. Передача крутящего момента и осевой силы
Валом называют деталь (как правило, гладкой или ступенчатой цилиндрической формы), предназначенную для передачи крутящего момента и для поддержания установленных на ней шкивов, зубчатых колес, звездочек, катков и т. д. Опорами служат подшипники и подпятники
Осью называют деталь, предназначенную только для поддержания установленных на ней деталей. Оси обеспечивают вращающее движение звеньев, нагружены поперечными силами и изгибающими моментами, как и валы, но не передают крутящий момент


Рис.1. Прямой вал: 1 — вал; 2 — опоры вала; 3 — цапфы; 4 — шейка
Вал1(рис.1) имеет опоры2,называемые подшипниками. Часть вала, охватываемую опорой, называют цапфой. Концевые цапфы именуют шипами3,а промежуточные — шейками4.
Цапфой называется участок вала или оси, которыми они соприкасаются с опорами. Цапфа, расположенная на конце вала или оси – шип., а посередине – шейка.
Валы и оси следует конструировать по возможности гладкими с минимальным числом уступов. Каждая насаживаемая на вал или ось деталь должна свободно проходить до своей посадочной поверхности. Торцы валов и осей и их уступы выполняют с фасками (рис.3.1.2, 3.1.4) для удобства насадки деталей. Для увеличения изгибной жесткости валов и осей насаживаемые детали располагают ближе к опорам. Для повышения несущей способности валов и осей их поверхность подвергают упрочнению.
В схеме (см. рис.9, а) Мк — крутящий момент, возникающий в поперечных сечениях вала; FBи FT— силы, действующие на вал в вертикальной и в горизонтальной плоскостях.
Рис.9. Расчетная схема валов: а — схема нагружения; б — эпюра изгибающего момента вертикальной плоскости; в — эпюра изгибающего момента в горизонтальной плоскости; г — эпюра крутящего момента; д — эскиз вала
1. По чертежу узла составляют расчетную схему (рис.9, а).
2. Определяют действующие на вал силы; если они действуют не в одной плоскости, то их необходимо разложить по двум взаимно перпендикулярным плоскостям. При угле между плоскостями менее 30° все силы можно рассматривать как действующие в одной плоскости.
3. Определяют опорные реакции:
в вертикальной плоскости ![]()
в горизонтальной плоскости
.
4. Изгибающие моменты Ми и их эпюры:
в вертикальной плоскости — в сечении А и С Ми.в = 0;
в сечении В
(рис.9, б);
в горизонтальной плоскости — в сечении А и С Ми.г = 0;
в сечении В
(рис.9, в).
5. Суммарный изгибающий момент в сечении В
(9)
6. Определяют крутящий момент и строят эпюру (см. рис.9, г):
(10)
где Р — мощность, Вт;
— угловая скорость, рад/с.
7. По формуле (6) определяют эквивалентный момент, диаметр вала между опорами определяют по формуле
(11)
Полученное значение dокругляют до ближайшего большего стандартного.
8. Определяют диаметры под подшипниками don(рис.9, д) и округляют до большего стандартного значения.
19. Расчет валов на жесткость при изгибе и кручении
Критериями жесткости валов являются: прогибы валов f, углы поворота θ, углы закручивания. Прогибы валов усиливают неравномерность распределения нагрузки (вдоль контактных линий) в зубчатом зацеплении, в подшипниках скольжения. Недостаточная жесткость явл 1 из причин повыш интенсивности колебания валов.
Различают изгибную и крутильную жесткость.
Изгибная жёсткость обеспечивается при выполнении условий:
f≤[f] где [f] (=0,02 мм ) – допустимый прогиб вала.
Прогиб в месте воздействия силы:
,мм.
Расчет валов и осей на крутильную жесткость.
Максимальный угол закручивания определяется

Где М - действующий момент при кручении;
l – длина вала;
Jρ = – полярный момент при кручении;
G – модуль сдвига.
Допускаемый угол закрутки [φ] в градусах на метр длины можно принимать равным:
.
20. Расчет валов редуктора на изгиб и кручение
Расчетный крутящий момент на валу:
или
, (4.6)
где η – КПД участка кинематической цепи от двигателя до рассчитываемого вала;
TД – крутящий момент на валу двигателя, Н·м;
U= w0 /w– передаточное отношение от двигателя до выходного вала;
w – расчетная частота вращения вала, рад/сек;
w0 – частота вращения вала двигателя, рад/сек;
Рд – мощность на валу двигателя, Вт.
Суммарная сила, действующая на вал со стороны зубчатых колес (сумма окружной и радиальной сил):
(4.8)
где d – делительный диаметр зубчатого колеса или цепной звездочки, мм;
Ткр – крутящий момент на колесе, Н·мм.
21. Муфты. Типы муфт. Соединительные муфты
Муфта – устройство, предназначенное для соединения валов и осей от одного к другому и передачи крутящего момента.
муфты постоянные, осуществляющие постоянное соединение валов, – глухие, компенсирующие, упругие, жесткие;
муфты управляемые, обеспечивающие режим «включено-выключено» с помощью ручного (механического) управления – зубчатые, кулачковые, фрикционные;
муфты самоуправляемые, осуществляющие автоматическое разъединение или соединение валов: по величине передаваемого момента – предохранительные; по скорости вращения – центробежные; по направлению вращения – обгонные.
Сединительные муфты. Особенности:
+ простота изготовления;
- ограничение сдвигу валов;
- сборка соединений вдоль осей.

22. Сцепные муфты. Подвижные муфты
Подвижные муфты бывают шарнирные, упругие и компенсирующие.
К примеру упругие муфты применяют для амортизации ударных и динамических нагрузок при частых пусках и реверсах механизма. Особенности упругих муфт:
+ позволяют исправить перекос и смещение валов (но не должны приводить к деформации ≥ 5%), что облегчает сборку и проектирование ЗК;
- неточный угол поворота при вращении из-за деформации резиновой шайбы 3 (см. рис.2)
Сцепные муфты. Бывают зубчатые и фрикционные.
Основное достоинство: + плавность работы.
23. Компенсирующие муфты. Упругие муфты
Компенсирующие муфты.
Компенсирующие подвижные муфты применяют при передаче движения между несоосными валами при наличии небольших радиальных, осевых, угловых или комбинированных смещений осей валов. К этим муфтам относятся упругие втулочно-пальцевые муфты, упругие муфты с торообразной оболочкой, упругие муфты со звездочкой, мембранные муфты, упругие поводковые муфты.
Недостаток: - неравномерность скорости вращения из-за кинемат погрешности.
Упругие муфты применяют для амортизации ударных и динамических нагрузок при частых пусках и реверсах механизма. Особенности упругих муфт:
+ позволяют исправить перекос и смещение валов (но не должны приводить к деформации ≥ 5%), что облегчает сборку и проектирование ЗК;
- неточный угол поворота при вращении из-за деформации резиновой шайбы 3 (см. рис.2)
24. Виды муфт. Жесткие и упругие муфты
Упругие муфты применяют для амортизации ударных и динамических нагрузок при частых пусках и реверсах механизма. Особенности упругих муфт:
+ позволяют исправить перекос и смещение валов (но не должны приводить к деформации ≥ 5%), что облегчает сборку и проектирование ЗК;
- неточный угол поворота при вращении из-за деформации резиновой шайбы 3 (см. рис.2)
25. Центробежные и обгонные муфты
Центробежные муфты. Останавливаются при достижении определ скорости.

1 - ведущий вал;
2 – пружина;
3 – башмак;
4 – полумуфта.
Положение вкл: ω1=ω2.
ω2=const.
![]()
![]()
Полезное свойство этой муфты: она может работать как регулятор оборотов.
Обгонные муфты являются самоуправляющимися и выключаются в зависимости от соотношения угловых скоростей ведущей и ведомой части. Применяются для передачи вращения только в 1 сторону. При изменении направления вращения, они выключаются. Условие выключения (ω1≥ω2). Шарик увлекается в клин. Образованный полуортами и заклинивает, т е муфта выключается.
Присутствуют ударные нагрузки, шум, но меньшие габариты.
25. Центробежные и обгонные муфты
Обгонные муфты
Обгонные муфты, или муфты свободного хода, служат для передачи вращающего момента в одном направлении. Наибольшее распространение получила роликовая муфта с диапазоном валов d=10…90 мм и числом роликов z=3…5.
Эта муфта состоит из двух полумуфт, одна из которых имеет форму звездочки с вырезами для роликов. Для быст-рого включения муфты ролики отжимаются пружинами. При передаче вращающего момента ролики заклиниваются между полумуфтами в сужающейся части выреза, образуя жесткое сцепление. Если по какой-либо причине угловая скорость ведомого вала превысит угловую скорость ведущего, то вследствие обгона ролики расклинятся, выкатятся в расширенную часть выреза и муфта автоматически выключится. При остановке ведущего звена ведомый вал продол-жает вращаться.
Материал деталей обгонных муфт – стали, термообработанных до высокой твердости рабочих поверхностей. Ро-лики должны быть постоянно смазаны маловязким маслом. Обгонные роликовые муфты работают бесшумно, допуская большую частоту включений. Применяются в станках, автомобилях и т.д. Критерием работоспособности роликовых муфт является прочность рабочих поверхностей роликов и полумуфт.
Шариковая муфта
1) вкл (Fтр1)
ω1 ≥ ω2
2) выкл (Fтр2)
ω1 < ω2
Если скорость ведущей полумуфты 1 больше скорости ведомой полумуфты 2 , то шарик увлекается в клин образованный двумя полумуфтами и заклинивает.
Муфты включаются при условии если ω1 ≥ ω2
При изменении скоростей происходит выталкивание шарика (расклинивается) и она выключается.
Когда происходит заклинивание возникают большие нагрузки N, и передаётся большой крутящий момент.
Эти муфты применяются для передачи вращения только в 1 сторону, при изменении направления вращения они выкл.
Центробежные муфты
Центробежные муфты предназначены для автоматического включения или выключения ведомого вала при дости-жении ведущим валом заданной угловой скорости.
По устройству центробежные муфты представляют собой фрикционные муфты, у которых механизмом управле-ния служат грузы-колодки 1, находящиеся под действием центробежных сил. При достижении ведущим валом задан-ной угловой скорости центробежные силы, действуя на грузы, производят включение муфты. Передача вращающего момента осуществляется силой трения, пропорциональной квадрату угловой скорости.
В современном машиностроении применяются конструкции центробежных муфт, которые служат для разгона ме-ханизмов с большими маховыми массами при двигателе с малым пусковым моментом, для повышения плавности пус-ка, для предотвращения разноса машины. Размеры муфт принимают конструктивно. Рабочие поверхности трения грузов проверяют на износостойкость аналогично фрикционным муфтам.
Муфта может использоваться как регулятор оборотов.
ω2 = const
К ведущему валу 1 пружиной 2 прижимается башмак, соединённый с ведомой полумуфтой 4.
Во включенном состоянии скорости равны, т.к. вал вращаясь создает силу Fтр которая увлекает за собой башмак с муфтой
1) вкл ω1 = ω2
T = Fтр ·l = Fтр · Rвв = Fтр · µ · Rвв
Rвв – ведущего вала
2) выкл Fтр = F1тр · µ = µ(Fпр – Fu)
T↓ T<Tнар
При увеличении ω, тем меньше давление пружины
26.Предохранительные муфты. Расчет передаваемого момента (предельного)
Эти муфты допускают ограничение передаваемого вращающего момента, что предохраняет машины от поломок при перегрузках.
Наибольшее распространение получили предохранительные кулачковые, шариковые и фрикционные муфты (рис.16).

Рис.16. Предохранительные муфты
От сцепных и других муфт они отличаются отсутствием механизма включения. Предохранительные кулачковые и шариковые (рис.16, а) муфты постоянно замкнуты, а при перегрузках кулачки или шарики полумуфты 1 выдавливаются из впадин полумуфты 2, и муфта размыкается. Иначе работает предохранительная фрикционная муфта (рис.16, б). При перегрузке за счет проскальзывания происходит пробуксовывание этой муфты (останавливается ведомый вал).
Рассмотренные на рис.16 предохранительные муфты применяют при частых перегрузках.
При маловероятных перегрузках применяют предохранительные муфты с разрушающимся элементом, например со срезным штифтом (рис. 17). Такая муфта состоит из дисковых полумуфт 1 и 2, соединяемых металлическим штифтом 3, вставленным в термически обработанную втулку 4. При возникновении перегрузки штифт срезается, и муфта разъединяет валы. Они просты по конструкции и малогабаритны.

Рис. 17. Муфта предохранительная со срезным штифтом:
1,2— полумуфты; 3 — срезной штифт; 4 — закаленные втулки
Для изготовления деталей предохранительных муфт в зависимости от типа муфты применяют конструкционные стали, чугун СЧЗО, фрикционные материалы, сталь ШХ12 и др. Штифты для муфт с разрушающимся элементом изготовляют из стали 45, втулки — из стали 40Х с закалкой.
27. Расчет фрикционных муфт. Необходимое осевое усилие
Фрикционные муфты (рис.13) в отличие от кулачковых, допускают включение на ходу под нагрузкой. Фрикционные муфты передают вращающий момент за счет сил трения. Фрикционные муфты допускают плавное сцепление при любой скорости, что успешно используется, например, в конструкции автомобильного сцепления. Кроме того, фрикционная муфта не может передать через себя момент больший, чем момент сил трения, поскольку начинается проскальзывание контактирующих фрикционных элементов, поэтому фрикционные муфты являются эффективными неразрушающимися предохранителями для защиты машины от динамических перегрузок.
По конструкции фрикционные муфты делят на: дисковые, в которых трение происходит по торцевым поверхностям дисков (одно- и многодисковые) (см. рис.13, а); конусные, в которых рабочие поверхности имеют коническую форму (рис.13.10, б); цилиндрические имеющие цилиндрическую поверхность контакта (колодочные, ленточные и т.д.) (рис.13.10, в). Наибольшее распространение получили дисковые муфты.
Фрикционные муфты работают без смазочного материала (сухие муфты) и со смазочным материалом (масляные муфты). Последние применяют в ответственных конструкциях машин при передаче больших моментов. Смазывание уменьшает изнашивание рабочих поверхностей, но усложняет конструкцию муфты.
Материал для фрикционных муфт — конструкционные стали, чугун СЧ30. Фрикционные материалы (прессованную асбесто-проволочную ткань — ферродо, фрикционную пластмассу, порошковые материалы и др.) применяют в виде накладок.

Рис. 13. Фрикционные муфты: а — дисковая; б — конусная; в — цилиндрическая
Главной особенностью работы фрикционных муфт является сжатие поверхностей трения. Отсюда ясно, что такие муфты рассчитываются на прочность по контактному давлению (аналогично напряжениям смятия). Для каждой конструкции необходимо вычислить сжимающую силу и разделить её на площадь контакта. Расчётное контактное давление не должно быть больше допускаемого для данного материала.
28. Опоры скольжения. Виды трения. Расчет диаметра вала в подшипнике скольжения
Опорами называют устройства, поддерживающие вращающиеся валы и оси в требуемом положении.
В зависимости от вида трения между соприкасающимися поверхностями валов и опор различают: опоры с трением скольжения; опоры с трением качения и специальные опоры (электромагнитные, опоры с трением упругости и другие).
Подшипники скольжения
Опоры скольжения появились значительно раньше опор качения. В зависимости от формы рабочей поверхности опоры скольжения выполняют цилиндрическими, коническими и сферическими. Наибольшее распространение получили цилиндрические опоры. Их простейшим видом может быть отверстие (рис. 1, а) под цапфу непосредственно в корпусе либо в другой детали, поддерживающей вал или ось. Если материал детали, поддерживающей вал или ось, не обладает хорошими антифрикционными свойствами, легко подвергается износу, в него запрессовывают втулки, конструкции которых показаны на рис. 1. Они могут воспринимать радиальные (рис. 1, а, б), радиальные и осевые нагрузки (рис. 1, в)
Материал втулки должен быть износостойким, хорошо прирабатываться и иметь в паре с материалом цапфы минимальный коэффициент трения. Для стальных цапф этим условиям удовлетворяют:
при высоких давлениях и малых окружных скоростях – бронза БрАЖ9-4 и латунь ЛС59-1; при высоких давлениях и скоростях – бронза БрОФ10-1 и БрОЦС-5-5-5;
при небольших давлениях и скоростях – металлокерамические материалы, имеющие пористую структуру и хорошо удерживающие смазку; различные пластмассы – текстолит, фторопласт и др.


Рис 1
Цилиндрические опоры в отличие от конических мало чувствительны к изменению температуры из-за наличия зазоров между цапфой и подшипником, наиболее просты по конструкции. Конические опоры могут воспринимать как радиальную, так и осевую нагрузку, более сложны и дороже, имеют большие потери на трение. Сферические или шаровые опоры применяют, если при эксплуатации и сборке может иметь место перекос оси вала по отношению к оси подшипника.
Опоры скольжения имеют следующие достоинства:
простота формы детали и технологичность конструкций
низкая стоимость дет. и возможность использования разнородных покрытий
малые радиальные размеры, допускают высокие частоты вращения,
возможность работы в воде и агрессивных средах,
устойчивы к вибрациям и ударам.
К недостаткам их следует отнести:
большие потери на трение и небольшой КПД, большой износ
низкая надежность в усл частых остановок
наличие зазора и следует погрешность положения оси вала
Виды трения:
1. Сухое трение - без смазки. Сухое трение применяется там, где трущиеся поверхности нельзя защитить от попадания грязи, пыли и абразива, (например, шарниры гусениц, оси подвесок гусеничных машин и проч.). В этих случаях подшипники без смазки имеют меньший износ.
2. Полужидкостное трение, когда имеет место лишь частичное касание вала и подшипника.
Полужидкостное трение имеет место при неустановившемся режиме (трогании с места, торможении, резких толчках и ударах). Основы теории смазки при жидкостном трении впервые разработаны русским ученым проф. Петровым. Он установил, что поток движущейся жидкости, взаимодействуя о наклонной пластиной, образует масляный клин и создает подъемную силу, величина которой пропорциональна скорости и вязкости жидкости и обратно пропорциональна квадрату минимального зазора. В подшипнике, при смещении вала под действием нагрузки на величину эксцентриситета, также образуется изогнутые масляный клин и возникает подъемная сила, которая при жидкостном трении уравновешивает реакцию опоры, и вал вращается, не касаясь подшипников.
3. Жидкостное трение - только между молекулярными слоями жидкости, когда металлические поверхности вала и подшипника не касаются одна другой.
Жидкостное трение - это идеальный расчетный вид трения, на который должны быть ориентированы все подшипники при установившемся режиме работы.
29. Упругие опоры. Область применения. Расчеты
Валы и оси поддерживаются специальными деталями, которые являются опорами. Опоры – кинематические пары кот позваляют вращательное движение.
Типы:
скольжения
качения
упругие
бесконтактные
Пластинки из стали У8А, У10А, 1.2…0,1
Достоинства:
1. Отсутствие износа и зазора;
2. низкие требования к точности измерения.
Недостатки:
1. Малый угол поворота;
2. Возникновения упругих восстанавливающих сил при повороте, изменяющееся измерительное усилие.
3. Смещения центра вращения.
Проверка по напряжению изгиба:

h – толщина пластины
b – ширина пластины.
Измеренное усилие прибора – Pизм
Pу – упругое усилие.

30. Подшипники качения. Виды и типы подшипников. Выбор типа подшипника в зависимости от нагрузки. Контактные напряжения
Подшипник качения – подшипник, работающий по принципу трения качения. Подшипники качения являются стандартными узлами, изготавливаются на специализированных предприятиях.
Тип подшипника определяется:
· направлением воспринимаемой нагрузки (радиальный – воспринимает нагрузку, перпендикулярную оси вращения подшипника; радиально-упорный - воспринимает комбинированную нагрузку; упорный - воспринимает осевую нагрузку);
· формой тел качения (шариковый, роликовый).
· радиальные, предназначены для восприятия радиальной нагрузки Fr (и некоторой осевой Fa)
≤0,35:
· радиально-упорные 0,35≤
≤1:
· упорные (воспринимают осевую нагрузку):
Если
приближается к 0,35, β=12о; если к 1, то β=18о; если больше 1, то β=18о…36о.
Контактные напряжения:
, n – количество шариков. ![]()
,
– коэффициент, зависящий от точки контакта (по справочнику).
Достоинства: незначительная сила трения и малый износ, высокая долговечность, высокий уровень стандартизации.
31. Выбор подшипников качения. Расчет долговечности подшипников
· радиальные, предназначены для восприятия радиальной нагрузки Fr (и некоторой осевой Fa)
≤0,35:
· радиально-упорные 0,35≤
≤1:
· упорные (воспринимают осевую нагрузку).
Номинальная долговечность (ресурс) подшипника в миллионах оборотов:
, где С – динамическая грузоподъемность по каталогу; Р – эквивалентная нагрузка;
– показатель степени:
для шарикоподшипников
,
для роликоподшипников
.
Номинальная долговечность в часах:
,
где С – динамическая грузоподъемность по каталогу;
L– долговечность подшипника, час;
n– скорость вращения, об. / мин.
При расчетах следует строго следить за тем, чтобы в формулах С и Р были выражены в одних и тех же единицах. Для однорядных и двухрядных сферических радиальных шарикоподшипников, однорядных радиально-упорных шарикоподшипников и роликоподшипников эквивалентная нагрузка:
чертеж деталь резьба соединение
;
где V – коэффициент вращения кольца; при вращении внутреннего кольца V = 1, при вращении наружного – V= 1.3;
– радиальная нагрузка, Н;
– осевая нагрузка, Н.
X – коэффициент радиальной нагрузки, Y - коэффициент осевой нагрузки. Кб – коэффициент безопасности; КТ – температурный коэффициент.
32. Передача винт-гайка. Разновидности передачи. Материал элементов. Выбор зазоров. Межвитковое давление
Передача винт-гайка представляет собой кинематическую винтовую пару, которую используют для преобразования с большой плавностью и точностью хода вращательного движения в поступательное. Ведущим звеном, совершающим вращательное движение, может быть как винт (рисунок 7. 1), так и гайка. В силовых механизмах большее распространение получила трапецеидальная резьба.

Рисунок 7.1 - Передача винт-гайка
Ходовые винты изготовляют из высокоуглеродистых сталей 40, 45, 50, 40ХН, 50ХГ, 65Г и др. с закалкой до твердости 40…50 HRC. Гайки изготовляют из оловянистых бронз БрО10Ф1, БрО6Ц6СЗ и др. для высоких окружных скоростей (0,1—0,25 м/с), а для малых окружных скоростей используют антифрикционные чугуны марок АВЧ-1, АВЧ-2, АКЧ-1, АКЧ-2 или серые чугуны марок СЧ 15, СЧ 20.
В механизмах, к которым предъявляются жесткие требования компенсации износа с целью уменьшения «мертвого» хода (зазора между витками винта и гайки), применяют разрезные гайки или специальные устройства (например, пружинные), обеспечивающие радиальную или осевую выборку зазора.
Работоспособность передачи по износу оценивается условно по среднему контактному давлению на рабочих поверхностях витков

где d2 – средний диаметр резьбы, мм
h – рабочая высота профиля резьбы, мм;
zВ – число витков;
[р] – допустимое межвитковое давление в резьбе, МПа.
33. Передача винт-гайка. Расчет диаметра винта. Проверка продольной устойчивости ходового винта. Необходимый крутящий момент
Передача винт-гайка представляет собой кинематическую винтовую пару, которую используют для преобразования с большой плавностью и точностью хода вращательного движения в поступательное. Ведущим звеном, совершающим вращательное движение, может быть как винт (рисунок 7. 1), так и гайка. В силовых механизмах большее распространение получила трапецеидальная резьба.
Средний диаметр винта по условию износостойкости:
,
где yr – коэффициент высоты гайки,
;( Н1 – высота гайки),
x – отношение высоты рабочего профиля резьбы к её шагу, для трапецеидальной резьбы x = 0,50;
– осевая нагрузка, Н;
[p] – допустимое давление в резьбе, для материала винтовой пары сталь-бронза [r]=8…10 МПа.
Проверка винта на устойчивость
Проверка винта на устойчивость осуществляется исходя из неравенства:
, где
– осевая нагрузка, Н;
Fкр – критическая сила, определяемая по формуле:
,
где Jпр – приведенный момент инерции сечения винта определяемый по формуле:
,
d – наружный диаметр винта, мм;
d1 – внутренний диаметр резьбы винта, мм;
E – модуль упругости, МПа;
m – коэффициент закрепления концов винта (m =1,5 если винт закреплен по концам шарнирно и m=1,0 если винт закреплен консольно).
L- длина винта, мм
Коэффициент запаса устойчивости:
.
Крутящий момент:
.
КПД передачи
.
34. Направляющие. Виды и формы. Трение в направляющих скольжения
Направляющие – это устройства, которые обеспечивают движение подвижного элемента (ползуна, каретки) в заданном направлении с требуемой точностью. Различают направляющие для прямолинейного перемещения с трением скольжения и с трением качения. Конструктивно их выполняют открытыми (это те, в которых при действии внешних нагрузок возможно перемещение в направлении противоположном от заданного) или закрытыми. Направляющие с трением скольжения бывают: с плоскими поверхностями и с цилиндрическими поверхностями.
На рисунке 8.1 приведены различные примеры конструктивного решения направляющих с плоскими поверхностями.


Рисунок 8.1 - Направляющие:
а – призматические с регулируемой планкой; б – типа «ласточкин хвост».

Рисунок 8.2 - Цилиндрические направляющие с устройством для предотвращения проворачивания
В цилиндрических направляющих роль направляющего элемента выполняет цилиндрическая поверхность деталей.
Трение в направляющих
В направляющих, изображенных на рисунке 8.1, сила трения определяется зависимостью:
,
где Q – нагрузка на каретку,( поперечная сила), Н;µ – коэффициент трения.
В призматических направляющих (рисунок 8.3) реакции R
и R
определяются из зависимости:
, (8.2)

Рисунок 8.3 Призматические направляющие
При движении каретки возникают силы трения F
и F
, определяемые по формуле
, (8.3)
где µ – коэффициент трения;
Q – нагрузка на каретку, Н.
При работе направляющих иногда происходит так называемое силовое заклинивание или резкое увеличение в направляющих сил трения в результате значительного смещения точки приложения внешних нагрузок.
При конструировании направляющих необходимо устранить возможность заклинивания. Условия заклинивания зависят от длины направляющей L, плеча приложения внешней силы l и коэффициента трения µ (рисунок 8.4).

Рисунок 8.4 - Схема к расчету зависимости L и l
Для призматических направляющих обычного типа зависимость выражается следующим соотношением:
, где µ – коэффициент трения; L – длина направляющей, мм; l – плечо приложения внешней силы, мм.
Для обеспечения долговечности направляющих выполняется проверка условия прочности масляного слоя:
,
где [p]=5…10 МПа – допустимое давление для масляного слоя; F – поперечная сила, действующая на направляющие, Н; S – площадь соприкосновения направляющих и каретки, мм2.
Достоинства: высокая точность и нагрузочная способность, простота конструкции, технологичность, значительный ход, меньшие габариты по сравнению с направляющими качения.
Недостатки: потери на трение, повышенный износ, вследствие чего происходит потеря точности, повышается зависимость от колебаний температуры, может происходить заклинивание.
Направляющие скольжения применимы, если необходимо облегчить легкость хода со значительной точностью.
Требования, предъявляемые направляющим скольжения: точность заданного направляющим перемещения, легкость и плавность перемещения, износостойкость, сохранение работоспособности при изменении температуры в заданном диапазоне, низкая стоимость, технологичность и т.д.
35. Направляющие качения. Расчеты. Назначение. Форма. Конструктивные особенности
В направляющих качения предусматривают планки с дорожками, заполняемыми телами качения: шариками, роликами или иглами. При перемещениях деталей по этим направляющим тела качения катятся по дорожкам. Тела качения выбирают из применяемых тел в подшипниках качения.
По форме тел качения направляющие разделяют на:
– шариковые, применяемые при малых нагрузках;
– роликовые, применяемые при значительных нагрузках;
– игольчатые, применяемые при ограниченных по высоте габаритах и средних нагрузках;
– роликовые на осях, применяемые при малых нагрузках, больших ходах и нестесненных габаритах (обычно в качестве вспомогательных).
Расчеты направляющих качения производят по формулам Герца. Наибольшее контактное напряжение в роликовых направляющих
, (8.7)
в шариковых направляющих с плоскими рабочими гранями
, (8.8)
где Q – сила на наиболее нагруженный ролик или шарик;
E – приведенный модуль упругости материала; МПа.
r – радиус ролика или шарика мм;
b –длина ролика, мм.
По направлению воспринимаемых нагрузок направляющие разделяют на: разомкнутые плоские и угловые (рисунок 1,а); замкнутые в одной плоскости; замкнутые в двух плоскостях (рисунок 1,б-г); цилиндрические.Несущая способность роликовых направляющих больше, чем шариковых (с плоскими гранями), имеющих те же габаритные размеры; жесткость больше в 2,5-3,5 раза.
Рисунок 1 - Направляющие качения, примеры конструкций
Применяют, если необходимо:
1.)уменьшить силы сопротивления движения;
2.)обеспечить лёгкость и плавность движения ;
3.)перемещать детали с высокой скоростью.
36. Упругие элементы приборов. Виды и назначение пружин. Расчет плоских пружин. Упругие направляющие
Упругими элементами называют гибкие детали, основным рабочим свойством которых является способность существенно деформироваться под нагрузкой. Как правило, эти деформации упругие, и после снятия нагрузки элемент восстанавливает свои размеры.Служат для:
1. создания сил пружины
2. силоизмерительные (в ИЧ)
3. аккумулирование энергии ( часы,кот. надо подкручивать)
4. колебательные элементы служат для поддержания.
Упругие элементы:
1.плоские пружины
2. винтовые пружины
3. спиральные пружины
4.торсионные валы
По назначению:
1.) создание постоянных прижимных сил;
2.)соизмерительные упругие элементы
(сила определяется по величине деформации упругого элемнта)
3.) аккумулирование энергии
4.) колебательные упругие элементы создание, поддержание или демфирование колебаний заданной частоты
37. Пружины сжатия-растяжения (винтовые), деформация и напряжение в витках. Расчет пружин
τкр
[τ]
Доминирующее напряжение кручение - τкр
[τ]
Виток пружины
τ=
З
[τ]
З – коэффициент запаса
[p]=
[τ] – предельная нагрузка
D - диаметр пружины (зависящий от геометрических пааметров и дополнительных напряжений).Чем D больше, тем больше трущий момент в витках.
Деформация пружины
![]()
чем больше D,тем
,G- коэффициент,n – число витков, d – диаметр проволоки.
39. Плоские и спиральные пружины. Материал пружин. Напряжения в спиральной плоской пружине
Материалы пружин
Пружины изготовляют из специальных углеродистых и легированных сталей, а также из специальных цветных сплавов. Исходным материалом для изготовления пружин служат проволока, лента, прутки, полоса. Материал пружины после соответствующей термообработки должен иметь устойчивые во времени упругие свойства, значительную прочность и большое сопротивление ударным нагрузкам. Кроме того, иногда при выборе материала пружины приходится принимать во внимание его электропроводность, коэффициент температурного расширения и другие специфические условия, в которых должна работать пружина. В приборостроении применяют пружины, изготовленные из стали и других металлов, например, из фосфористой и бериллиевой бронзы, нейзильбера, латуни и т. п. В зависимости от конструкции, способа изготовления и условий работы пружины можно изготовлять из твердого термически обработанного или отожженного материала с последующей термообработкой.
Похожие рефераты:
Основы проектирования и конструирования
Полные ответы на билеты по автоделу (экзамен 2002)
Расчет редуктора точного прибора
Объемная штамповка и обработка металлов резанием
Техническая характеристика, устройство и работа тормозной системы автомобиля ВАЗ-2106
Проектирование токарного станка с числовым программным управлением повышенной точности
Лабораторные работы по деталям машин
Трансмиссия и ходовая ГАЗ-3102
Методические указания по технической механике
Продольно-резательный станок производительностью 350 т/сутки
Расчёт зубчатых и червячных передач
Проектирование механического привода с цилиндрическим соосным редуктором