| Похожие рефераты | Скачать .docx |
Дипломная работа: Технічне обслуговування й ремонт електричних машин
ДИПЛОМНА РОБОТА
На тему: «Технічне обслуговування й ремонт електричних машин»
Зміст
Введення
Розділ 1. Загальні поняття й визначення електричних машин
1.1 Основні типи й класифікація електричних машин
Розділ 2. Загальна характеристика синхронного електричного двигуна і його призначення
Розділ 3. Особливості випробувань синхронних двигунів
3.1 Випробування на стенді заводу-виготовлювача й на місці установки
3.2 Ремонт синхронних двигунів
Розділ 4. Технічне обслуговування й ремонт електричних машин
4.1 Обсяг робіт по технічному обслуговуванню й ремонту
4.2 Техніка безпеки при ремонті електричних машин
Висновок
Література
Введення
Прогрес у розвитку електромашинобудування залежить від успіхів в області теорії електричних машин. Глибоке розуміння процесів електромеханічного перетворення енергії необхідно не тільки інженерам-електромеханікам, що створюють і експлуатує електричні машини, але й багатьом фахівцям, діяльність яких пов'язана з електромеханікою.
Електричні машини застосовуються у всіх галузях промисловості, на транспорті, у сільському господарстві й побуті. Майже вся електрична енергія виробляється електричними генераторами, а дві третини її перетвориться електричними двигунами в механічну енергію. Від правильного вибору й використання електричних машин багато в чому залежить технічний рівень виробів багатьох галузей промисловості.
Електротехнічна промисловість випускає в рік мільйони електричних машин для всіх галузей народного господарства. І звичайно ж від фахівців в області електромеханіки потрібні глибокі знання обслуговування й ремонту електричних машин, а також їхньої правильної експлуатації. Без електричних машин не може розвиватися жодна комплексна наукова програма. Електричні машини працюють у космосі й глибоко під землею, в океані й активній зоні атомних реакторів, у тваринницьких приміщеннях і медичних кабінетах. Без перебільшення можна сказати, що електромеханіка визначає технічний прогрес у більшості основних галузей промисловості.
Особлива роль приділяється електричним машинам у космічній, авіаційній і морській техніці. Електричні машини, що працюють на пересувних установках, випускаються в більших кількостях. Ці машини повинні мати мінімальні габарити при високих енергетичних показниках і високій надійності. Окрему область електромеханіки становлять електричні машини систем автоматичного керування, де електричні машини використовуються як датчики швидкості, положення, кута і є основними елементами складних навігаційних систем.
Неможливо для кожного замовника випускати окрему машину, тому електричні машини випускаються серіями. У нашій країні самою масовою серією електричних машин є запрошена серія асинхронних машин 4А. Серія включає машини потужністю від 0,06 до 400 кВт і виконана на 17 стандартних висотах осі обертання. На кожну з висот обертання випускаються двигуни двох потужностей, що відрізняються по довжині. На базі єдиної серії випускаються різні модифікації двигунів, які забезпечують технічні вимоги більшості споживачів. Більшими серіями випускаються синхронні машини, машини постійного струму, мікромашини й трансформатори. Серійне виготовлення машин дозволяє модифікувати окремі вузли й деталі, застосовувати потокові автоматичні лінії й забезпечувати необхідний випуск електричних машин при мінімальних витратах.
У цей час перед електромеханіками коштують важкі й цікаві проблеми, які вимагають глибокого знання теорії, проектування й технології виготовлення електричних машин.
Електромонтер, що здійснює діяльність у сфері електромеханіці повинен знати призначення й технічні характеристики основних елементів і пристроїв систем електричних машин, а також електроустаткування, кабельні й електроізоляційні вироби, електричні апарати, трансформатори, напівпровідникові прилади, перетворювачі й т.д., щоб у свою чергу виконувати правильну експлуатацію, обслуговування й своєчасний ремонт, а також дотримувати електробезпечності.
У дипломній роботі наведені технічні дані по електричних машинах як загального, так і спеціального призначення, широко застосовуваним у сучасному електроприводі. Розглянуто питання технічного обслуговування й техніки безпеки при експлуатації електричних машин.
У дипломній роботі розглядається теорія одного з виду електричних машин - синхронний двигун, його характеристики, пристрій, перехідні й сталі режими роботи. Теорія електричних машин викладається на базі диференціальних рівнянь. Максимально використовуються сучасні досягнення загальної теорії електричних машин; розвивається класична теорія комплексних рівнянь, векторних діаграм і схем заміщення.
Метою дипломної роботи є вивчення основних організаційних і технічних положень по обслуговуванню й ремонту електричних двигунів.
У процесі вивчення ставляться наступні завдання:
1. Дати загальне подання про електричні машини, їхньої класифікації;
2. Розглянути синхронний двигун і його призначення;
3. Розглянути особливості випробувань синхронних машин;
4. Вивчити технічні умови ремонту й обслуговування електричних машин (синхронного двигуна);
5. Визначити заходу щодо техніки безпеки при ремонті електричних машин.
При підготовці дипломної роботи використовувалася література наступних авторів Копилов И.П. «Електричні машини», Клокова Б. К. «Довідник по електричних машинах», Москаленко В.В. «Довідник електромонтера» і т.д.
Розділ 1. Загальні поняття й визначення електричних машин
1.1 Основні типи й класифікація електричних машин
Електричні машини - це електромеханічні перетворювачі, у яких здійснюється перетворення електричної енергії в механічну або механічної в електричну. Основна відмінність електричних машин від інших перетворювачів у тім, що вони оборотні, тобто та сама машина може працювати в режимі двигуна, переробляти електричну енергію в механічну, і в режимі генератора, переробляти механічну енергію в електричну.
По виду створюваного в машинах поля, у якому відбувається перетворення енергії, електричні машини підрозділяються на індуктивні, ємнісні й індуктивно-ємнісні. Сучасні широко застосовувані в промисловості й інших галузях народного господарства електричні машини - індуктивні. Перетворення енергії в них здійснюється в магнітному полі. Ємнісні електричні машини, хоча й були винайдені задовго до індуктивних, дотепер не знайшли практичного застосування через складність створення досить потужного електричного поля, у якому відбувається перетворення енергії. Індуктивно-ємнісні машини з'явилися лише в останні роки. Перетворення енергії в них відбувається в електромагнітному полі, і вони поєднують властивості індуктивних і ємнісних електричних машин. У практиці ці машини ще не застосовуються, тому в даній роботі розглядаються тільки індуктивні електричні машини, які надалі будуть називатися просто електричними машинами. [7, с. 6]
Для того щоб електрична машина працювала, у ній повинне бути створене обертове магнітне поле. Принцип утворення обертового поля у всіх машин той самий.
Найпростішою електричною машиною є ідеальна узагальнена електрична машина (мал. 1), тобто машина симетрична, ненасичена, що має гладкий повітряний зазор. На статорі й роторі такої машини розташовані по двох обмотки: wsб і wsв на статорі, wrб і wrв на роторі, зрушені в просторі відносно один одного на електричний кут, рівний 90°. Якщо до обмоток статора або ротора такої машини підвести струми, зрушені в часі на електричний кут 90°, то в повітряному зазорі машини буде обертове кругове поле. При симетричній синусоїдальній напрузі поле буде синусоїдальне, тому що ідеальна машина не вносить у зазор просторових гармонік. Всі реальні електричні машини в тім або іншому ступені відрізняються від ідеальної машини, тому що в повітряному зазорі реальної машини не можна одержати синусоїдальне поле.

Мал. 1. Узагальнена електрична машина
Для того щоб МДС, необхідна для створення магнітного поля, не була надмірно велика, статор і ротор електричної машини виконують із феромагнітного матеріалу, магнітна провідність якого в багато разів більше, ніж провідність неферомагнітного середовища (µст>>µ0). При цьому магнітні силові лінії поля замикаються по муздрамтеатрі машини й практично не виходять за межі її активних частин. Ділянки муздрамтеатру, у яких потік змінний, для зменшення втрат на вихрові струми й гістерезис виконують шихтованими з тонких аркушів електротехнічної сталі. Ділянки муздрамтеатру машин, у яких потік постійний (наприклад, полюси й станини машин постійного струму), можуть бути виконані масивними з конструкційної сталі. [7, с. 6]
Неодмінною умовою перетворення енергії є зміна потокосцепления обмоток залежно від взаємного положення її частин - статора й ротора. Ця умова може бути виконане при різних варіантах конструктивних форм муздрамтеатру й при різних конструкціях і розташуванні обмоток (мал. 2, а - г). Той або інший варіант вибирається залежно від роду живильного струму, найбільш зручного способу створення поля й типу машини. Для перетворення енергії в переважній більшості електричних машин використовується обертовий рух.
Електричні машини звичайно виконуються з одною обертовою частиною - циліндричним ротором і нерухливою частиною - статором. Такі машини називаються одномірними. Вони мають один ступінь волі. Майже всі випускаються промисловістю машини - одномірні із циліндричним обертовим ротором і зовнішнім нерухливим статором. [7, с. 7]
Електромагнітний момент в електричних машинах прикладений і до ротора, і до статора. Якщо дати можливість обертатися обом частинам машини, вони будуть переміщатися в протилежні сторони. У машин, у яких обертаються й ротор, і статор, два ступені волі. Це двомірні машини. У навігаційних приладах ротором може бути куля, що обертається щодо двох статорів, розташованих під кутом 90°. Такі машини мають три ступені волі. У космічній електромеханіці зустрічаються шестимерні електромеханічні системи, у яких і ротор, і статор мають по трьох ступеня волі.

Мал. 2. Основні конструктивні виконання електричних машин: а - асинхронна; б - синхронна; в - колекторна; г - індукторна
Знаходять застосування також електричні машини, у яких ротор (або й ротор, і статор) має форму диска. Такі машини називають торцевими.
Електричні машини крім обертального можуть мати й зворотно-поступальний рух (лінійні машини). У таких машинах статор і ротор розімкнуті й магнітне поле відбивається від країв, що приводить до перекручування поля в повітряному зазорі.
Крайовий ефект у лінійних електричних машинах погіршує їхні енергетичні показники. Низькі енергетичні показники обмежують застосування електричних машин зі зворотно-поступальним рухом.
Зі звичайної машини із циліндричним статором і ротором виходять машини із сегментним статором і лінійні (мал. 3). Якщо збільшити діаметр ротора сегментної машини нескінченно, одержимо лінійний двигун (мал. 3, б).
Лінійні двигуни постійний і змінний токи знаходять застосування в промисловості для одержання лінійних переміщень.
У генераторному режимі лінійні машини практично не застосовуються.

Мал. 3. Модифікація конструктивного виконання електричних машин: а - машина із сегментним статором; б - лінійний двигун; 1 - статор; 2 - ротор
У більшості типів електричних машин магнітне поле створюється змінними струмами обмоток статора й ротора. Однак існує клас машин, у яких поле створюється постійними струмами обмоток, розташованих тільки на статорі. Перетворення енергії в них відбувається за рахунок зміни магнітного потоку в повітряному зазорі через зміну його провідності при обертанні ротора. Ротор у таких машинах має яскраво виражені зубці, переміщення яких щодо статора викликає зміна магнітного опору на ділянках зазору й обмотки статора. Такі машини називають параметричними або індукторними. Конструктивні виконання індукторних машин досить різноманітні. Найбільше поширення одержала конструкція індукторної машини із двома роторами 1 і статорами 2 (мал. 4). Якщо ротори зрушені відносно один одного на електричний кут 90°, загальний магнітний опір машини під час обертання роторів не змінюється й в обмотці збудження 3, що харчується постійним струмом, не наводиться змінна напруги. Обмотки на роторах відсутні. При роботі машини з обмоток змінного струму 4, розташованих у пазах кожного статора, знімається напруга. Потік порушення замикається по корпусі статора й втулці ротора 5, насадженої на вал.
Залежно від роду споживаного або струму, що віддається в мережу, електричні машини підрозділяються на машини змінний і постійний токи. Машини змінного струму діляться на синхронні, асинхронні й колекторні.

Мал. 4. Індукторна машина із двома роторами
У синхронних машинах поле порушення створюється обмоткою, розташованої на роторі, що харчується постійним струмом. Обмотка статора з'єднана з мережею змінного струму. У звичайному виконанні машин обертовий ротор з обмоткою збудження розташовується усередині статора, а статор нерухливий. Звернена конструкція, при якій ротор з обмоткою збудження нерухливий, а обертається статор, у синхронних машинах зустрічається рідко через складність підведення струму до обертової обмотки змінного струму.
Ротор синхронної машини може бути полюсним, тобто з явно вираженими полюсами, що мають феромагнітні сердечники з насадженими на них котушками порушення. Ротори синхронних машин, розрахованих на частоту обертання 1500 і 3000 про/хв і вище, звичайно виконуються не явно полюсними. При цьому обмотка збудження укладається в профрезерованні в роторі пази. Обмотка змінного струму синхронних машин, як правило, розподілена, тобто розташована рівномірно по окружності внутрішнього діаметра статора в пазах його муздрамтеатру. [7, с. 7]
В асинхронних машинах спеціальна обмотка збудження відсутній, робочий потік створюється реактивного тридцятимільйонного струму обмотки статора. Цим пояснюється простота конструкції й обслуговування асинхронних двигунів, тому що відсутні ковзні контакти для підведення струму до обертової обмотки збудження й відпадає необхідність у додатковому джерелі постійного струму для порушення машини. Обмотки статорів і роторів асинхронних машин розподілені й розміщені в пазах їхніх муздрамтеатрів.
На роторах асинхронних машин розташовується або фазна, тобто яка має фази, яких звичайно стільки ж, скільки й обмотка статора, ізольована від корпуса обмотка, або короткозамкнена. Короткозамкнена обмотка ротора складається з розташованих у пазах ротора замкнутих між собою по обох торцях ротора неізольованих стрижнів із провідникового матеріалу. Вона може бути також виконана заливанням пазів алюмінієм. Залежно від типу обмотки ротора розрізняють асинхронні двигуни з фазними роторами або асинхронні двигуни з короткозамкненими роторами. [7, с. 8]
Нормальне виконання асинхронних машин - з ротором, розташованим усередині статора. Однак для деяких приводів, наприклад привода транспортера, виявляється вигідніше розташувати обертовий ротор зовні статора. Такі машини називають зверненими або машинами із зовнішнім ротором. Вони виконуються звичайно з короткозамкненими роторами.
Серед колекторних машин змінного струму одержали поширення в основному однофазні двигуни малої потужності. Вони знаходять застосування в приводах, до яких підведення трифазний або постійний токи утруднене або недоцільний (в електрифікованому інструменті, побутовій техніці й т.п.). У машинах середньої й тим більше великої потужності колекторні машини змінного струму в цей час у СРСР не застосовуються. Виключення становлять окремі спеціальні машини, наприклад машини типу двигуна Шраге - Ріхтера.
Більшість машин постійного струму - це колекторні машини. Вони випускаються потужністю від часток вата до декількох тисяч кіловатів. Обмотки збудження машин постійного струму розташовуються на головних полюсах, закріплених на станині. Виводи секцій обмотки ротора (якорі) упаяні в пластини колектора. Колектор, що обертається на одному валу з якорем, і нерухливий щітковий апарат служать для перетворення постійного струму мережі в змінний струм якоря (у двигунах) або змінного багатофазного струму якоря в постійний струм мережі (у генераторах постійного струму).
Конструкція машин постійного струму більше складна, вартість вище й експлуатація більше дорога, чим асинхронних, тому двигуни постійного струму застосовуються в приводах, що вимагають широкого й плавного регулювання частоти обертання, або в автономних установках при живленні двигунів від акумуляторних батарей. [7, с. 8]
Гнітюче число машин постійного струму виконується з колектором - механічним перетворювачем частоти. Але існує кілька типів і безуважних машин, наприклад уніполярні генератори (мал. 5), які використовуються для одержання більших струмів (до 100 ка) при низьких напругах. У таких машинах колектор відсутній, але вони можуть працювати тільки при наявності ковзного контакту, що складається із щіток 1 і кілець 2. Постійний магнітний потік, створений струмами обмотки збудження 5, замикається по станині 3, масивному ротору 4 і двом зазорам. Постійні струми наводяться в масивному роторі й знімаються щітками. Щоб зменшити електричні втрати в роторі, у ньому роблять пази, у які укладають мідні стрижні 6. Стрижні, приварені до контактних кілець, утворять на роторі короткозамкнену обмотку.

Мал. 5. Уніполярна електрична машина
В останні роки одержали поширення також безуважні машини постійного струму з вентильним керуванням, у яких механічний перетворювач частоти замінений перетворювачем частоти на напівпровідникових елементах.
Незважаючи на велику кількість різних типів електричних машин і незалежно від їхнього конструктивного виконання, роду й числа фаз живильного струму й способів створення магнітних полів перетворення енергії в машинах відбувається тільки при наступній умові: у всіх електричних машинах у сталих режимах поля статора й ротора нерухливі відносно один одного. Поле ротора, що створюється струмами, що протікають в обмотці ротора, обертається щодо ротора. При цьому механічна частота обертання ротора й частота обертання поля щодо ротора в сумі рівні частоті обертання поля статора, тому частоти струмів у статорі й роторі жорстко зв'язані співвідношенням f 2 = f 1 s, (1)
де f 1, f 2 - частоти струму й напруги статора й ротора; s - відносна частота обертання ротора або ковзання, обумовлена частотою обертання поля статора n 1 і частотою обертання ротора машини n 2 :
s = (nl ± n 2) / n 1 (2)
У синхронних машинах обмотка збудження ротора харчується постійним струмом (f 2 = 0), і, отже, з (1) s = 0, звідки по (2) n = n 1 т. е. ротор синхронної машини обертається синхронно з полем, створеним струмами обмотки статора.
Твердий зв'язок частоти струму й частоти обертання визначив область застосування синхронних машин. Синхронні генератори є практично єдиними потужними генераторами електричної енергії на електростанціях. Синхронні двигуни з урахуванням труднощів їхнього пуску застосовуються як приводи промислових установок, що довгостроково працюють при постійній частоті обертання й не потребуючих частих пусків, наприклад як приводні двигуни повітродувок, компресорів і т.п. [7, с. 9]
В асинхронних машинах струм в обмотці ротора обумовлений ЕДС, наведеної в провідниках обмотки магнітним полем статора.
Наведення ЕДС відбувається тільки при перетинанні провідниками магнітних силових ліній поля, що можливо лише при нерівності частот обертання ротора й поля статора (n 2 ≠ n 1). Частота струму в роторі дорівнює f 2 = f 1 s, що забезпечує взаємну нерухомість поля струмів ротора й поля статора, а частота обертання ротора при цьому дорівнює n 2 = n 1(1 - s). При ковзанні s = l ротор нерухливий (f 2 = f 1), перетворення механічної енергії не відбувається й має місце трансформаторний режим роботи машини.
При живленні обмотки ротора постійним струмом машина переходить у синхронний режим роботи. При живленні ротора змінним струмом асинхронний двигун може обертатися із частотою більшої, ніж частота поля статора. Такі режими використовуються рідко через складність пуску машини: необхідні розгінний двигун або перетворювач частоти. Прикладом двигуна цього типу є двигуни Шраге - Ріхтера, у яких для перетворення частоти струму ротора використовується колектор, з'єднаний з додатковою обмоткою ротора. Регулювання частоти обертання двигуна виробляється зміною додаткової ЕДС, що вводиться в обмотку ротора, шляхом зміни положення щіток на колекторі .
У машинах постійного струму поле порушення створюється постійним струмом, а поле якоря - змінним. Перетворення постійного струму мережі в багатофазний змінний струм якоря відбувається за допомогою механічного перетворювача - колектора. Частота змінного струму якоря визначається частотою його обертання, і магнітне поле, створюване струмом якоря, нерухомо відносно поля порушення машини. [7, с. 9]
Безуважні (вентильні) машини постійного струму, як правило, звернені, тобто їхньої обмотки збудження, що харчуються постійним струмом, розташовані на обертовому роторі, а якірні обмотки - на нерухливому статорі. Частота живлення якірних обмоток задається статичним перетворювачем частоти. Умова взаємної нерухомості полів статора й ротора приводить до можливості регулювання частоти обертання вала двигуна зміною частоти живлення його якірних обмоток. Із цього погляду вентильні машини постійного струму можуть розглядатися як синхронні, обмотки змінного струму яких харчуються від перетворювача частоти.
В однофазних колекторних машинах обмотки збудження харчуються змінним струмом і створюють пульсуюче поле. Колектор перетворить однофазний струм живлення в багатофазний змінний струм із частотою, що залежить від частоти обертання ротора, при якій магнітні поля статора й ротора нерухливі відносно один одного. Через утруднену комутацію колекторні машини змінного струму виконуються лише невеликої потужності
Розділ 2. Загальна характеристика синхронного електричного двигуна і його призначення
Синхронні машини, як і інші електричні машини, оборотні, тобто вони можуть працювати як у руховому, так і генераторному режимах. Однак електропромисловість випускає синхронні машини, призначені для роботи тільки в генераторному або тільки в руховому режимі, тому що особливості роботи машини в тім або іншому режимі висувають різні вимоги до конструкції машини. [6, с. 431]
Синхронні двигуни частіше працюють у пускових режимах і повинні розвивати більший пусковий момент, чим генератори. Це накладає певні умови на конструкцію ротора: демпферну (пускову) обмотку синхронних двигунів розраховують на більші струми й більше тривалий режим.
Для порушення синхронних двигунів використовується електромашинна система порушення або тиристорна система порушення. В електромашинних системах порушення якір збудника - генератора постійного струму - з'єднується з валом синхронного двигуна жорстко або в тихохідних машинах - через кубістську передачу, що забезпечує збільшення частоти обертання збудника й зниження його маси. Системи порушення синхронних двигунів принципово не відрізняються від систем порушення генераторів.
Рівняння синхронного двигуна відрізняються від рівнянь синхронного генератора лише тим, що в них змінюється знак моменту опору.
Щоб з генераторного режиму перейти в руховий, треба змінити знак моменту опору, прикладеного до вала синхронної машини. Тоді зміниться знак кута ? і напрямок активної потужності; машина почне споживати потужність із мережі.
На кутовій характеристиці (мал. 6) область рухового режиму перебуває в зоні негативних кутів и. Стійкою частиною кутової характеристики в руховому режимі є область від 0 до - 90°. Номінальний момент, що відповідає и ном, перебуває в області 20-30°. Двигун з не явно полюсним ротором має максимум моменту при и = - 90°:
(3)
Максимальний момент залежить від розміру повітряного зазору двигуна. Чим більше зазор, тим менше xd і більше М эм мах . Однак при великому зазорі ростуть габарити машини. Межа статичної стійкості
(4)

Мал. 6 Кутова характеристика синхронної машини
Питомий синхронізуючий момент, як і в генераторному режимі, максимальний при и = 0 і дорівнює нулю при и = 90° .
Для явно полюсного двигуна залежність Мс, Мэм = f (0) має такий же вид, як і для генератора, але розташовується в зоні негативних кутів и. [6, с. 432]
U-Образні характеристики синхронних двигунів мають той же вид, що й для генераторів. При перепорушенні синхронний двигун стосовно мережі є ємністю, недозбуджений двигун споживає з мережі реактивну потужність, будучи стосовно мережі індуктивністю. При недопорушенні реакція якоря в синхронному двигуні - подмагнічує при перепорушенні - що розмагнічує. Важливе значення для дослідження процесів перетворення енергії в синхронних двигунах мають робочі характеристики (мал. 7).

Мал. 7. Робочі характеристики синхронного двигуна
З ростом навантаження на валу двигуна збільшується момент і струм у якорі, спочатку за лінійним законом, а потім через зміну параметрів - за нелінійним законом. Якщо не змінюється If, cos ц може падати, рости або мати максимум. Це залежить від значення If і може бути простежене по U-Образних характеристиках: при збільшенні Р2 - переході з однієї U-Образної характеристики на іншу cos ц змінюється, тому що через внутрішнє спадання напруги крива cos ц = 1 зміщається в область більших навантажень. При зміні If можна одержати постійне значення cos ц при різних Р2 (мал. 8).
Крива 1 на мал. 8 відповідає роботі синхронного двигуна з постійним струмом порушення в зоні недопорушення на U-Образних характеристиках, крива 2 - роботі синхронного двигуна з перепорушенням; крива 3 можлива при регулюванні струму порушення.
Залежність КПД від навантаження така ж, як і для всіх електричних машин.

Мал. 8. Залежності cos синхронного двигуна від навантаження
Характерною відмінністю синхронних двигунів є сталість частоти обертання при зміні навантаження. Синхронні двигуни мають гранично тверді механічні характеристики. [6, с. 432]
Одним з основних недоліків синхронних двигунів є погані пускові властивості, які обмежують їхнє застосування. Пуск синхронних двигунів може бути частотним, за допомогою розгінного двигуна або синхронних двигунів можуть включатися на повну напругу мережі (асинхронний пуск). Найпоширенішим є асинхронний пуск. Внаслідок наявності короткозамкнених контурів на роторі (демпферної обмотки, масивних полюсних наконечників) ротор розганяє до частоти обертання, близької до синхронного. Обмотка збудження при асинхронному пуску виходить на активний опір. Після підходу ротора до частоти обертання, близької до синхронного ( s ? 0,05), обмотка збудження підключається до збудника й здійснюється груба синхронізація машини.
Застосовується також пуск із наглухо приєднаним збудником. У цьому випадку при частоті обертання, рівної (0,5 ч 0,7) n ном, в обмотці збудження синхронного двигуна починає протікати постійний струм і машина втягується в синхронізм. Пуск двигуна з наглухо приєднаним збудником супроводжується більшими кидками струмів і може здійснюватися, якщо навантаження не перевищує (0,4-0,5) М ном. Однак схема пуску з наглухо приєднаним збудником більше проста й знаходить все більше застосування.
При тяжких умовах пуску потужних синхронних двигунів застосовується реакторний або автотрансформаторний пуск по схемах, розглянутим для асинхронних двигунів.
При пуску синхронного двигуна за допомогою розгінного двигуна синхронний двигун доводить до майже синхронної частоти обертання. Як розгінний двигун може використовуватися асинхронний двигун, що має більшу, ніж синхронний, синхронну частоту обертання або двигун постійного струму, якщо є мережа постійного струму. Пуск за допомогою розгінного двигуна застосовується рідко, тому що розгінний двигун використовується тільки при пуску. [6, с. 432]
При частотному пуску обмотка статора синхронного двигуна підключається до перетворювача частоти, що змінює частоту від декількох герців до номінальної частоти. При частотному пуску синхронний двигун входить у синхронізм при малих частотах. Частотний пуск зручно використовувати, якщо перетворювач частоти можна застосовувати для пуску декількох двигунів.
Порівнюючи синхронні двигуни з асинхронними, слід зазначити основна перевага синхронних двигунів - можливість працювати з cos ? = 1, а при перепорушенні - і з випереджальної cos ?
Максимальний момент синхронного двигуна пропорційний U, а асинхронного – U2. Тому синхронні двигуни менш чутливі до зміни напруги мережі й мають більшу перевантажувальну здатність. Регулювання потоку порушення шляхом зміни струму порушення забезпечує регулювання реактивної потужності при спаданні напруги й зменшенні частоти мережі.
Недоліком синхронних двигунів є їх більше складна конструкція, необхідність у джерелі постійного струму й гірші в порівнянні з асинхронними пускові властивості.
При потужності двигунів від декількох кіловатів до 100 кВт проявляється ще один недолік синхронних двигунів - схильність до хитань. При певному співвідношенні параметрів синхронних двигунів ротор погойдується біля синхронної частоти обертання.
Синхронні двигуни за умови легких пусків доцільно застосовувати при потужності понад 200 кВт. Області застосування синхронних двигунів безупинно розширюються, і їхньої потужності зростають до 50 Мвт.
Синхронні двигуни потужністю до 1-2 кВт виконуються з явнополюсным ротором без обмотки збудження. За рахунок розходження провідності по поздовжній і поперечній осях машини в таких машинах виникає реактивний момент, а асинхронний пуск забезпечується демпферною обмоткою. [6, с. 433]
На мал. 9 показані дві найпоширеніші конструкції роторів синхронних реактивних двигунів. Чотирьохполюсна конструкція ротора (мал. 9, а) має сталевий шихтований явно полюсний муздрамтеатр 1 і демпферну обмотку 2. Двохполюсний шихтований ротор, залитий алюмінієм, даний на мал. 9, б. Сердечник ротора 3 заливається алюмінієм 4, що скріплює сердечник і утворить демпферну обмотку.

Мал. 9. Конструкції роторів синхронних реактивних двигунів
Реактивні двигуни мають низькі cos ? і КПД (? = 0,3?0,4), їхня маса більше, ніж у звичайних трифазних асинхронних двигунів.
Замість електромагнітного порушення можна застосовувати постійні магніти. Серії двигунів з постійними магнітами випускаються на потужності від десятків ватів до декількох кіловатів. Вони мають кращі енергетичні показники в порівнянні з реактивними.
Для забезпечення пускового моменту двигуни з постійними магнітами мають пускову обмотку у вигляді білячої клітки, залитої алюмінієм. Ротор з магнитотвердого матеріалу виготовляється шляхом лиття зі спеціальних сплавів. Цей процес трудомісткий, тому ротор має
Розділ 3. Особливості випробувань синхронних двигунів
3.1 Випробування на стенді заводу-виготовлювача й на місці установки
На стенді заводу-виготовлювача роблять приймально-здавальні випробування кожної машини й приймальні головних (досвідчених) машин.
За діючими стандартами (ДЕРЖСТАНДАРТ 183-74, ДЕРЖСТАНДАРТ 533-85, ДЕРЖСТАНДАРТ 5616-81, ДЕРЖСТАНДАРТ 609-84) здавальний^-здавальні-приймально-здавальні випробування кожної машини включають: виміру опорів ізоляції обмоток щодо корпуса й між обмотками, ізоляції закладених температурних перетворювачів, обмоток при постійному струмі в практично холодному стані, термометрів опору при постійному струмі в практично холодному стані; випробування ізоляції обмоток щодо корпуса й між обмотками на електричну міцність; визначення характеристики сталого замикання (для гідрогенераторів на місці установки), холостого ходу (для гідрогенераторів на місці установки); випробування при підвищеній частоті обертання (для турбогенераторів); вимір опору ізоляції підшипників, температури масла в підшипниках (для гідрогенераторів на місці установки); перевірку стану ущільнень вала в зборі й визначення витоку повітря при надлишковому тиску не менш номінального тиску водню (для машин з водневим охолодженням). [7, с. 209]
У приймальні випробування головних (досвідчених) зразків (для гідрогенераторів на місці установки) додатково включають: випробування на короткочасне перевантаження по струму; визначення КПД; випробування на нагрівання; визначення коефіцієнта перекручування синусоїдальності кривій напруги, індуктивних опорів і постійних часу обмоток; випробування при ударному струмі короткого замикання, на нагрівання; визначення вібрацій, номінального струму порушення й регулювальної характеристики; вимір рівня шуму; перевірку роботи газо-масляної системи водневого охолодження й визначення витоку водню (для машин з водневим охолодженням); перевірку системи рідинного охолодження (для машин з рідинним охолодженням).
Відповідно до діючих стандартів виконання частини приймальних випробувань можливо на місці установки машин.
Вимір опору ізоляції обмотки статора щодо корпуса машини й між обмотками роблять за допомогою мегомметра не менш чим на 1000 У в практично холодному стані, при якому за температуру обмотки приймають температуру навколишнього середовища.
При вимірі опору ізоляції обмоток генераторів з безпосереднім водяним охолодженням вивід екрана мегомметра з'єднують із водяним колектором, від якого від'єднують зовнішню водяну систему. Опір ізоляції визначають по черзі для кожної галузі обмотки статора, при цьому інші галузі з'єднують із корпусом машини. При визначенні абсолютного значення опору ізоляції виміру проводять не менш чим через 60 з послу додатка напруги до ізоляції. Після виміру опору ізоляцію окремих частин обмотки розряджають на корпус генератора.
Вимір опору обмоток при постійному струмі проводять у практично холодному стані до початку сушіння генератора методом вольтметра й амперметра, при цьому використовують магнітоелектричні прилади класу точності не нижче 0,5. Відлік по приладах роблять одночасно при сталих значеннях обумовлених величин. Опору обмоток знаходять як середнє значення по даним не менш трьох вимірів, які проводять при різних значеннях струму. Точність вимірів у більшій мері залежить від якості контактів у місцях приєднання вимірювальних приладів, при цьому приєднання вольтметра рекомендується робити окремо від фотополяриметрів ланцюгів.
Вимір опорів термометрів опору при постійному струмі проводять при температурі навколишнього середовища методом вольтметра й амперметра з погрішністю виміру опору не вище 0,5%. Виміру рекомендується проводити безпосередньо на складанні виводів.
Випробування (напругою частотою 50 Гц) ізоляції обмотки статора на електричну міцність роблять іспитовою напругою, кВ,
UИСП = 2UФ + 1, (5)
де UФ – номінальна фазна напруга.
Випробування проводять для кожної з фаз стосовно корпуса й двом іншим заземленим фазам. Для генераторів з водяним охолодженням обмотки статора випробування ізоляції виконують при циркуляції дистиляту. Для випробування рекомендується застосовувати іспитові трансформатори, потужність яких не менш 1 кВ А на 1 кВ напруги.
Іспитову напругу вимірюють на стороні вищої напруги іспитового трансформатора через вимірювальний трансформатор напруги. Для машин з номінальною напругою 13,8 кВ і вище на стороні вищої напруги іспитового трансформатора рекомендується включати захисний розрядник, що настроюється на напругу, рівне 110% іспитового.
Відповідно ДО ДЕРЖСТАНДАРТУ 11828-75 випробування рекомендується починати з напруги не вище 1/3 іспитового, при цьому час, протягом якого виробляється підйом напруги від половинного значення до повного, повинне бути не менш 10 с.
Випробування напругою ізоляції кожної фази обмотки статора стосовно корпуса й двом іншим заземленим фазам у машинах з непрямим охолодженням роблять напругою, рівним 1,6 іспитової напруги частотою 50 Гц. [7, с. 212]
Іспитова напруга в цих випробуваннях відповідно ДО ДЕРЖСТАНДАРТУ 11828-75 витримують протягом 1 хв, підйом напруги роблять не менш чим трьома щаблями, починаючи з половинної іспитової напруги. На кожному із щаблів вимірюють струм витоку при сталих показаннях приладів. Після випробування вимірюють опори ізоляції мегомметром.
Випробування междувиткової ізоляції котушкової обмотки статора проводять напругою, рівним 150% номінального, протягом 5 хв, стрижневої обмотки - протягом 1 хв.
Характеристика холостого ходу являє собою залежність напруги обмотки статора від струму порушення при номінальній частоті обертання. Рекомендується робити вимір напруги приладами класом точності не нижче 0,5, при цьому можуть бути використані експлуатаційні трансформатори напруги. Вимір струму порушення можна робити також приладами класу точності 0,5 із застосуванням шунтів класу 0,1 або 0,2. Під час визначення характеристики контролюють частоту обертання гідрогенератора.
Попередня напруга машини збільшують до 130% номінального. Характеристику знімають при плавному зменшенні струму порушення до нуля. При струмі порушення, рівному нулю, визначають залишкову напругу.
У генераторів, що працюють у блоці із трансформатором, знімається також характеристика холостого ходу блоку.
Одночасно зі зняттям характеристики холостого ходу визначається симетрія напруги, що перебуває по відношенню різниці найбільших і найменшого обмірюваних лінійних напруг до середнього його значення.
Коефіцієнт перекручування синусоїдальності кривій напруги знаходять по амплітудах окремих гармонійних тридцятимільйонній кривій напруги, певним при номінальній напрузі при холостому ході генератора. Амплітуди гармонійних вимірюють, як правило, за допомогою аналізатора гармонійних. При відомих амплітудах коефіцієнт перекручування знаходять по формулі
(6)
де А1, А i - амплітуди першої й i-й гармонійних.
Характеристика сталого короткого замикання являє собою залежність струму в обмотці статора від струму порушення генератора при трифазному короткому замиканні. При знятті характеристики вимірюють струми в кожній фазі обмотки статора й струм порушення. Зняття характеристики роблять при плавному підйомі струму статора до номінального значення. Для генераторів, що працюють у блоці із трансформатором, характеристику короткого замикання знімають для замкнутого на коротко трансформатора. [7, с. 212]
При приймально-здавальних випробуваннях, як правило, визначають лише основні параметри: відношення короткого замикання (ОКЗ), реактивність Потьє, синхронний індуктивний опір, сверхпереходні індуктивні опори й, перехідний індуктивний опір індуктивний опір зворотного проходження фаз, постійну часу при розімкнутої Tj0 і замкнутої накоротко обмотках статора.
По нормах МЕК машина вважається, яка пройшла випробування на раптове коротке замикання, якщо вона може бути включена в мережу відразу ж після випробування або після незначного ремонту обмотки статора. Перед включенням у мережу обмотка статора повинна бути випробувана на електричну міцність напругою, рівним 80% іспитової напруги, передбаченого для нової машини. Незначним уважається ремонт кріплення обмотки або зовнішніх шарів ізоляції, не пов'язаний із заміною стрижнів.
На місці установки всі турбо-, гідрогенератори й великі синхронні машини піддаються приймально-здавальним випробуванням, які включають крім приймально-здавальних випробувань на стенді заводу-виготовлювача додатково випробування на нагрівання; вимір вібрацій підшипників; перевірку роботи газомасляної системи водневого охолодження й визначення витоку водню (для машин з водневим охолодженням); перевірку роботи системи рідинного охолодження (для машин з рідинним охолодженням). [7, с. 213]
На місці установки проводять також випробування гідрогенераторів і інших синхронних машин великого габариту, випробування яких на стенді заводу-виготовлювача або не представляються можливими, або вимагають більших витрат на їхнє проведення.
Випробування на нагрівання. У гідрогенераторах вимір температури обмотки статора й активної сталі роблять за допомогою термометрів опору. Температуру обмотки визначають за показниками термометра опору, закладеного між стрижнями (сторонами котушок) обмотки статора. Температуру активної сталі визначають за показниками термометрів опору, закладених на дно паза. Відповідно до вимог ДЕРЖСТАНДАРТ 5616-81Е для виміру температури обмотки в гідрогенераторах потужністю понад 10 MB А повинне встановлюватися 12 термометрів опору при одній або двох паралельних галузях обмотки й по двох термометра на кожну паралельну галузь при числі галузей більше двох. Для виміру температури сердечника статора повинне встановлюватися не менш шести термометрів на гідрогенератор. Для генераторів з водяним охолодженням обмотки статора повинні встановлюватися термометри (або інші температурні індикатори) наприкінці кожного паралельного ланцюга системи охолодження.
Для виміру температури повітря на виході з кожної секції повітроохолоджувача встановлюють по одному термометрі, а в зоні гарячого повітря - два термометри на генератор.
Відповідно до ДЕРЖСТАНДАРТ 5616-8IE у гідрогенераторах за допомогою термометрів також вимірюють температуру сегментів підп'ятників і підшипників (установлюють по двох термометра на кожний сегмент) і температуру масла у ванні підп'ятника й кожного підшипника (за даними показань двох термометрів).
Визначення температури обмотки збудження роблять по даним виміру опору обмотки в нагрітому й холодному станах. Якщо rr, rх - опору обмоток у нагрітому й холодному станах, а
- температура обмотки в практично холодному стані, то перевищення температури обмотки збудження
(7)
Визначення температури активних і конструктивних елементів гідрогенераторів роблять як методом безпосереднього навантаження, так і за даними випробувань у непрямих режимах.
При випробуванні методом безпосереднього навантаження визначення перевищень температури обмоток і стали роблять при трьох-чотирьох різних навантаженнях (від 0,6 номінальної й вище). За даними випробувань будують залежності перевищення температур від квадрата струму статора, а з їхньою допомогою уточнюють (або визначають) перевищення температур при номінальній потужності. [7, с. 214]
Перевищення температури обмотки статора по даним вимірів перевищення температури обмотки в непрямих режимах визначають у вигляді
(8)
де
- перевищення температури в режимі короткого замикання (обумовлено основними й додатковими втратами в обмотці, а також механічними втратами);
- перевищення температури в режимі холостого ходу (обумовлено втратами в сталі й механічними)
- перевищення температури в режимі холостого ходу без порушення.
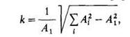
Визначення номінального струму порушення. Номінальний струм порушення визначають методом безпосереднього навантаження або методом графічної побудови. В останньому випадку номінальний струм порушення знаходять по характеристиках холостого ходу, короткого замикання й реактивності Потьє хр (мал. 10). З характеристики холостого ходу з обліком хр знаходять струм Ів, з характеристики короткого замикання - тридцятилітній струму порушення І до, з і по цих величинах - номінальний струм порушення І в, ном
Визначення КПД гідрогенератора. Для експериментального визначення КПД гідрогенератора використовують метод окремих втрат, що передбачає два способи виміру втрат - калориметричний і самогальмування. Кращим є метод самогальмування. [7, с. 214]
Калориметричним способом визначають втрати механічні, у сталі, а також додаткові. Із цією метою послідовно проводять досвіди холостого ходу без порушення, холостого ходу з порушенням до номінальної напруги й сталого симетричного короткого замикання з номінальним струмом в обмотці статора. Втрати в кожному досвіді визначають по кількості тепла, що відводиться охолодним середовищем (або охолодними середовищами, якщо різні частини машини прохолоджуються різними охолодними середовищами), при сталому тепловому стані машини по формулі
(9)
де Vc - об'ємна витрата охолодного середовища, м3/з; Сv - об'ємна теплоємність охолодного середовища, кДж/м3;
- температура охолодного середовища на вході в машину й виході з її.
Для визначення втрат випробуваний гідрогенератор приводиться в обертання з номінальною частотою обертання в режимі не завантаженого двигуна від іншого гідрогенератора.

Мал. 10. До визначення номінального струму порушення
Для визначення втрат способом самогальмування частота обертання випробуваного гідрогенератора доводить до значення, що трохи перевищує номінальне, після чого джерело енергії відключається. При цьому проводять три досвіди: самогальмування без порушення; при холостому ході й номінальній напрузі; у режимі симетричного короткого замикання на виводах машини й номінальному струмі в обмотці статора.
З досвіду самогальмування при осушеній порожнині турбіни визначають механічні втрати всього агрегату. Сумарні механічні втрати в генераторі знаходять шляхом вирахування втрат на тертя обертових частин турбіни об повітря, які розраховують по емпіричних формулах. Втрати в підп'ятнику й підшипниках або приймають рівними розрахунковим, або вимірюють калориметричним способом.
Відповідно до вимог ДЕРЖСТАНДАРТ 10169-77 кожний досвід проводиться не менш 3 разів. У всіх досвідах визначається час, протягом якого частота обертання машини зміниться від 1,1 до 0,9 номінальної. Отсчеты по приладах, що вимірює електричні величини, виробляються в момент проходження випробуваною машиною синхронної швидкості.
Для синхронних машин по вимогах діючих стандартів виміряється вібрація підшипників машин. Вимір вібрації (вібропереміщень або ефективного значення вібраційної швидкості) роблять на верхніх кришках підшипників у вертикальному напрямку й у рознімання в поперечному й осьовому напрямках,
Для турбогенераторів ефективне значення вібраційної швидкості не повинне перевищувати 4,5 мм/з у всіх режимах роботи.
У гідрогенераторах вібрацію вимірюють у горизонтальній площині хрестовин. Відповідно до ДЕРЖСТАНДАРТУ 5616-81Е до частоти обертання 100 про/хв припустима вібрація становить 180 напівтемних, понад 100 до 187,5 про/хв - 150 напівтемних, до 375 про/хв - 100 напівтемних, до 750 про/хв - 70 напівтемний.
Вібрація контактних кілець у турбогенераторах не повинна бути більше 200 напівтемний. Для машин з водневим охолодженням роблять визначення витоку водню. Випробування роблять на спресованих машинах і машинах, випробуваних на газощільність у нерухливому стані після складання на місці випробування. Визначення витоку повинне виконуватися при робочому тиску газу усередині машини й при обертанні з номінальною частотою обертання на холостому ходу без порушення.
Вимір опору ізоляції підшипників проводять при температурі навколишнього середовища мегомметром на напругу не менш 1000 У. [7, с. 214]. Вимір електричної напруги між кінцями вала здійснюють на працюючій машині за допомогою вольтметра з малим внутрішнім опором, при цьому прилад приєднують безпосередньо до кінців вала.
3.2 Ремонт синхронних двигунів
Відповідно до Правил технічної експлуатації в системі планово попереджувальних ремонтів електроустаткування передбачено два види ремонтів: поточний і капітальний.
Поточний ремонт виробляється з періодичністю, установленої з урахуванням місцевих умов, для всіх електродвигунів, що перебувають в експлуатації, у тому числі в холодному або гарячому резерві (докладне роз'яснення див. главу 4). Поточний ремонт є основним видом профілактичного ремонту, що підтримує на заданому рівні безвідмовність і довговічність електродвигунів. Цей ремонт роблять без демонтажу двигуна й без повного його розбирання.
Капітальний ремонт. Періодичність капітальних ремонтів електродвигунів Правилами технічної експлуатації не встановлюється. Вона визначається особою, відповідальним за електрогосподарство підприємства на підставі оцінок загальної тривалості роботи електродвигунів і місцевих умов їхньої експлуатації. Капітальний ремонт, як правило, роблять в умовах спеціалізованого електроремонтного цеху (ЭРЦ) або спеціалізованого ремонтного підприємства (СРП). В обсяг робіт при капітальному ремонті входять роботи, передбачені поточним ремонтом, а також роботи.
Розбирання електродвигуна виробляється в порядку, обумовленому особливостями конструкції електродвигунів. Послідовність розбирання електродвигунів малої й середньої потужності, що мають підшипникові щити з підшипниками кочення або ковзання. [6, с. 500]
Складання електродвигунів після ремонту. Підшипники кочення напресовивають на вал ротора. Кулькові підшипники встановлюють цілком. У роликових підшипників на вал насаджують внутрішнє кільце з тілами кочення. Зовнішнє кільце встановлюють окремо в підшипниковий щит. Зовнішнє кільце встановлюють у посадкове гніздо підшипникового щита з рухливою посадкою (ковзної або руху). Перед складанням посадкові поверхні протирають і змазують. Внутрішні кришки підшипників установлюють на вал до посадки підшипників. Підшипники невеликих розмірів садять на вал у холодному стані. Для посадки використовують монтажну трубу, що передає ударні зусилля запресовування тільки на внутрішнє кільце підшипника. Для кращого центрування ударного посилення трубу постачають мідним кільцем і сферичним оголовком. Внутрішнє кільце підшипника повинне щільно прилягати до заплечнику вала. Зовнішнє кільце повинне легко обертатися вручну. Нероз'ємні вкладиші підшипників ковзання запресовуються в посадкові гнізда підшипникових щитів і фіксуються стопорним гвинтом.
Варто помітити, що в підшипників типу 180000 (закритих), застосовуваних в електродвигунах серії 4А, змащення видаляють обтиральним матеріалом, змоченим в ацетоні. Установити на вал внутрішню кришку підшипника, змазати посадкове місце на валу машинним або дизельним маслом і молотком пресують підшипник на вал ротора. Перед непроектним підшипник нагріти, заповнити порожнина підшипника змащенням і закласти змащення, що залишилося, у камери підшипників. Порожнини підшипників електродвигунів серії 4А с висотами обертання 112-280 мм заповнюють змащенням ЛДС-2, серії 4А с висотами обертання 56-100 мм - змащенням ЦИАТИМ-221, а інших електродвигунів - змащенням 1-13. [6, с. 500]
Усунути дефект при зібраному електродвигуні й знятій кришці щіткового пристрою, для чого провести наступні операції й включити електродвигун у мережу. З боку, протилежної щітковому пристрою, прикласти по черзі до кожного контактного кільця ізольовану планку із закріпленої на ній шліфувальною шкуркою й шліфувати поверхня кілець до зникнення слідів плям і дрібних подряпин і одержання чистоти не нижче 8-го класу. Шліфувати поверхня контактних кілець на токарському верстаті за допомогою суппортно-шліфувального пристосування або дерев'яної колодки, під якою покладена шліфувальна шкурка. Биття проточених і прошліфованих кілець у радіальному напрямку не повинне перевищувати 0,06 мм, а в осьовому - 0,1 мм. Зняти ушкоджену ізоляцію з контактної шпильки ножем. Обмотати шпильку кабельним або телефонним папером до одержання розмірів шпильки з ізоляцією електродвигуна 6-го габариту по ширині 12 і товщині 4 мм, а 7-го й 8-го габаритів - по ширині 16 і товщині 6 мм. При намотуванні на шпильку перший і останній шари кабельного або телефонного паперу змазати клеєм БФ-2. Поверхня ізоляції шпильки покрити ізоляційним лаком БТ-99 і просушити на повітрі протягом 3 годин.
Розділ 4. Технічне обслуговування й ремонт електричних машин
4.1 Обсяг робіт по технічному обслуговуванню й ремонту
Найважливішою умовою правильної експлуатації електричних машин є своєчасне проведення планово-попереджувальних ремонтів і періодичних профілактичних випробувань.
Поряд з повсякденним відходом і оглядом електричних машин відповідно до системи планово-попереджувальних ремонтів через певні проміжки часу проводять планові профілактичні огляди, перевірки (випробування) і різні види ремонту. За допомогою системи планово-попереджувальних ремонтів електричні машини підтримують у стані, що забезпечує їх нормальні технічні параметри, частково запобігають випадки відмов, поліпшують технічні параметри машин при планових ремонтах у результаті модернізації. У цей час відповідно до ДЕРЖСТАНДАРТ 18322-78 використовують два види ремонту - поточний і капітальний, хоча для окремих видів електроустаткування передбачається й середній ремонт. [7, с. 129]
Період між двома плановими капітальними ремонтами називається ремонтним циклом. Для електричних машин, що вводяться знову в експлуатацію, ремонтний цикл - це наробіток від уведення в експлуатацію до першого планового капітального ремонту.
Існують три форми організації ремонтів - централізована, децентралізована, змішана. При централізованій формі ремонт, випробування й налагодження електричних машин виробляються спеціалізованими ремонтно-налагоджувальними організаціями. Ця форма є найбільш прогресивної, тому що забезпечує мінімальну вартість ремонту при більше високій якості.
При децентралізованій формі ремонт, випробування й налагодження виробляються ремонтними службами виробничих підрозділів підприємств, при змішаній частина робіт виконується централізовано, частина - децентралізовано, причому ступінь централізації залежить від характеру підприємства, типу й потужності електроустаткування.
Зі збільшенням кількості спеціалізованих ремонтних підприємств і їхньої потужності поліпшується якість ремонтних робіт, зменшуються їхня собівартість і строки ремонту, що робить централізований ремонт усе більше вигідним як для окремих промислових підприємств, так і для народного господарства країни в цілому. Удосконалення централізованого ремонту припускає створення централізованого обмінного фонду електричних машин і розширення їхньої номенклатури, поширення сфери послуг ремонтних підприємств на виробництво поточних ремонтів і профілактичного обслуговування.
Тривалість ремонтного циклу визначається умовами експлуатації, вимогами до показників надійності, ремонтопридатністю, правилами технічної експлуатації, інструкціями заводу-виготовлювача. Звичайно ремонтний цикл обчислюється в календарному часі виходячи з 8-вартового робочого дня при 41-годинному робочому тижні. Реальна змінність роботи встаткування й сезонність його роботи враховуються відповідними коефіцієнтами.
При визначенні тривалості
ремонтного циклу виходять із графіка розподілу відмов електричних машин у функції часу експлуатацію. На ньому можна виділити три області: область І – після ремонтну приробітку, коли ймовірність відмов підвищена за рахунок можливого застосування при ремонті неякісних вузлів, деталей і матеріалів, недотримання технології ремонту й т.д.; область ІІ - нормальний етап роботи електричних машин із практично незмінним числом відмов у часі; область ІІІ - старіння окремих вузлів електричної машини, що характеризується ростом числа відмов. [7, с. 129]
Тривалість ремонтного циклу не повинна перевищувати тривалості нормального етапу роботи II. При плануванні структури ремонтного циклу (види й послідовність чергування планових ремонтів) виходять із того, що в електричній машині поряд зі швидкозношуваними деталями (щітки, підшипники кочення, контактні кільця), відновлення яких виробляється їхнім незначним ремонтом або заміною на нові, є вузли з більшим строком наробітку (обмотки, механічні деталі, колектори), ремонт яких досить трудомісткий і займає багато часу, тому протягом наробітку між капітальними ремонтами електричні машини повинні пройти кілька поточних ремонтів.
Поточні ремонти, як правило, не порушують ритму виробництва, у той час як капітальний ремонт при відсутності резерву пов'язаний із припиненням виробництва (технологічного процесу). Тому міжремонтний період для електричних машин варто дорівнювати до міжремонтного періоду основного технологічного встаткування, якщо останній виявляється меншим.
Для електричних машин масового застосування, не віднесених до основного встаткування й яка має достатній резерв, можна перейти від системи планово-попереджувального ремонту до після відмовної системи ремонту. Доцільність такого переходу повинна підтверджуватися техніко-економічним аналізом.
Тривалість Т ремонтного циклу, а також тривалість міжремонтного періоду t визначають, виходячи з нормальних умов експлуатації при двозмінній роботі з даних, наведеним у табл. 1 (Ттабл, tтабл). Для колекторних машин постійний і змінний токи наведені в табл. тривалості ремонтного циклу й міжремонтного періоду зменшують шляхом введення коефіцієнта вдо = 0,75.
Таблиця 1
| Умови роботи електричних машин | Коефіцієнт попиту Кс | Т табл, років | t табл, мес |
Сухі приміщення Гарячі гальванічні, хімічні цеха Забруднені ділянки - сухого шліфування й ін. Тривалі цикли безперервної роботи з високим ступенем завантаження - приводи насосів, вентиляторів, компресорів, кондиціонерів і ін. |
0,25 0,45 0,25 0,75 |
12 4 6 9 |
12 6 8 9 |
Величини Т и t залежать також від змінності роботи електричних машин, коефіцієнта використання, характеру роботи (пересувні або стаціонарні установки, основне або допоміжне устаткування). [7, с. 130]
Система планово-попереджувального ремонту передбачає технічне обслуговування, поточний і капітальний ремонти, профілактичні й після ремонтні випробування. У зв'язку з більшою розмаїтістю електричних машин, що перебувають в експлуатації, неможливо дати повний перелік робіт з кожного із тридцятилітніх цієї системи (крім випробувань), тому обмежимося типовими обсягами робіт. Перед ремонтом проводяться випробування електричних машин для виявлення й наступного усунення дефектів.
Типовим обсягом робіт по технічному обслуговуванню включає: щоденний нагляд за виконанням правил експлуатації й інструкцій заводу-виготовлювача (контроль навантаження, температури окремих вузлів електричної машини, температури охолодного середовища при замкнутій системі охолодження, наявності змащення в підшипниках, відсутності ненормальних шумів і вібрацій, надмірного іскріння на колекторі й контактних кільцях і ін.); щоденний контроль за справністю заземлення; контроль за дотриманням правил техніки безпеки працюючими на електроустаткуванні; відключення електричних машин в аварійних ситуаціях; дрібний ремонт, здійснюваний під час перерв у роботі основного технологічного встаткування й не потребуючої спеціальної зупинки електричних машин (підтяжка контактів і кріплень, заміна щіток, регулювання траверс, системи захисту, чищення доступних частин машини й т.д.); участь у приймально-здавальних випробуваннях після монтажу, ремонту й налагодження електричних машин і систем їхнього захисту й керування; планові огляди експлуатованих машин по затвердженому головним енергетиком графікові із заповненням карти огляду.
Типовим обсягом робіт при поточному ремонті включає: виробництво операцій технічного обслуговування; відключення від живильної мережі й від'єднання від приводного механізму (двигуна); очищення зовнішніх поверхонь від забруднень; розбирання електричної машини в потрібному для ремонту обсязі; перевірку стану підшипників, промивання їх, заміну підшипників кочення, якщо зазори в них перевищують припустимі, перевірку й ремонт системи примусового змащення, заміну змащення; перевірку, очищення й ремонт кріплення вентилятора, перевірку й ремонт системи примусової вентиляції; огляд, очищення й продувку стисненим повітрям обмоток, колектора, вентиляційних каналів; перевірку стану й надійності кріплення лобових частин обмоток, усунення виявлених дефектів; усунення місцевих ушкоджень ізоляції обмоток, сушіння обмоток, покриття лобових частин обмоток покривним лаком; перевірку й підтяжку кріпильних з'єднань і контактів із заміною дефектних кріпильних деталей; перевірку й регулювання щіткотримачів, траверс, коротко замикаючих пристроїв, механізму підйому щіток; зачищення й шліфування колектора й контактних кілець, перевірку стану й правильності позначень вивідних кінців обмоток і клемних колодок з необхідним ремонтом; заміну фланцевих прокладок і ущільнень; приєднання машини до мережі й перевірку її роботи на холостому ходу й під навантаженням; усунення ушкоджень фарбування; проведення приймально-здавальних випробувань і оформлення здачі машини в експлуатацію. [7, с. 131]
Типовим обсягом робіт при капітальному ремонті включає: виробництво операцій поточного ремонту; перевірку осьового розбігу ротора й радіальних зазорів підшипників ковзання з наступним пере заливанням вкладишів; заміну підшипників кочення; повне розбирання машини із чищенням і промиванням всіх механічних деталей; заміну дефектних обмоток (включаючи ремонт коротко замкнутих обмоток)*, очищення й продувку обмоток, що зберігаються; просочення й сушіння обмоток, покриття лобових частин обмоток покривними лаками й емалями; ремонт колекторів, контактних кілець і щіткових вузлів (аж до їхньої заміни на нові); ремонт статора й ротора, включаючи часткову заміну листів; відновлення пресовки; ремонт підшипникових щитів, корпуса, відновлення розмірів посадкових місць; ремонт вала; ремонт або заміну вентилятора; заміну несправних пазових клинів, різних ізоляційних деталей; складання й фарбування машини; проведення випробувань і оформлення здачі машини в експлуатацію.
* Обмотки із прямокутного проведення ремонтуються з використанням старого проведення. Кругле проведення повторно, як правило, не використовується.
Перед установкою двигуна на робочу машину необхідно виконати наступні підготовчі роботи:
Очистити корпус двигуна від пилу. Ганчіркою, змоченої в гасі або бензині, зняти антикорозійне змащення з вільного кінця вала. Перевірити кріпильні деталі двигуна. Переконатися у вільному обертання ротора в обидва боки. Перевірити наявність змащення в підшипникових вузлах. Виміряти опір ізоляції між фазами й корпусом мегомметром на напругу 500У. Якщо опір ізоляції виявиться менш 0,5 Мом, обмотку двигуна необхідно підсушити.
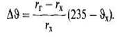
Сушити обмотку можна фотополяриметром способом (з розбиранням двигуна або без її), у сушильній шафі або лампами накалювання. Під час сушіння температура обмоток не повинна перевищувати 100 градусів по Цельсію. У процесі сушіння фотополяриметром образом необхідно контролювати температуру обмотки.
Виміряти температуру обмотки двигуна в будь-якій частині можна термопарою або термометром, кулька якого обертають алюмінієвою фольгою, а зовнішню частину покривають теплоізоляцією (повстю, ватою й т.д.). Температура в пазовій частині обмотки на 10 - 15 градусів вище, ніж у лобовий.
Температуру обмоток можна визначити й по зміні її опору ( в Омах ) у період нагрівання. Опір обмотки можна виміряти вольтметром - амперметром або мостом постійного струму. Температуру обмотки визначають із вираження R2-R1
tоб = (235+ t1) / R1 + t1 , (10)
де tоб - температура обмотки в період сушіння, у градусах
R1 - опір обмотки в холодному стані, Ом
R2 - опір обмотки під час сушіння, у градусах
t1 - температура обмотки до початку сушіння, у градусах
Сушать обмотки доти, поки, опір ізоляції не досягне значення 0,5 Мом. Якщо опір ізоляції не піднімається до зазначеної величини (обмотка сильно відволожилася), сушіння продовжують. [7, с. 132]
Необхідно зробити установку двигуна на робочу машину відповідно до правил монтажу й підключити до живильної мережі. Якщо маркування вивідних кінців ні, можна визначити початки й кінці фаз досвідченим шляхом. Для цієї мети можна використовувати два простих способи.
У першому випадку, визначивши контрольною лампою або мегомметром початку й кінці фаз, з'єднують між собою два провідники різних фаз. На ці дві послідовно з'єднані фази подають змінну напругу. До третьої фази підключають вольтметр або контрольну лампу. Якщо фази підключені однойменними виводами, наприклад «початками» або «кінцями», напруга на третій фазі буде відсутній. Підключену раніше до вольтметра або лампочки фазу міняють місцями з однієї із двох послідовно з'єднаних фаз і аналогічно маркірують третю фазу.
У другому випадку знайдені кінці фаз з'єднують по трьох разом і до отриманих крапок приєднують міліамперметр постійного струму або прилад Ц-435, використовуючи його як амперметр постійного струму. Якщо при обертанні ротора двигуна від руки стрільця приладу відхиляється, потрібно поміняти місцями виводи однієї з фаз. Якщо після перемикання однієї фази стрілка буде відхилятися варто відновити первісне положення переключеної фази й поміняти місцями виводи іншої фази. В одному із трьох варіантів відхилення стрілки приладу припиниться, цим указуючи на те, що всі фази з'єднані однойменними виходами. Обертати ротор при перемиканні виводів фаз потрібно в одну сторону.
Після ремонту електричні машини піддаються випробуванням на ремонтному підприємстві, обсяг яких залежить від типу машини й виду проведеного ремонту. Висновок про придатність до експлуатації дається не тільки на підставі порівняння результатів випробування з нормами, але й по сукупності результатів проведених випробувань і оглядів. Значення отримані при випробуваннях параметрів повинні бути зіставлені з вихідними, а також з результатами попередніх випробувань електричної машини. [7, с. 132]
4.2 Техніка безпеки при ремонті електричних машин
При проведенні планово-попереджувальних робіт, технічного обслуговування, що течуть і капітальних ремонтів електричних машин фахівцеві необхідно дотримувати техніки безпеки при експлуатації.
І у свою чергу повинен знати наступне:
Виводи обмоток і кабельні вирви в електродвигунів повинні бути закриті огородженнями, зняття яких вимагає вигвинчування гайок або вигвинчування гвинтів. Знімати ці огородження під час роботи електродвигуна забороняється. Обертові частини електродвигунів: контактні кільця, шківи, муфти, вентилятори - повинні бути обгороджені.
Відкривати ящики пускових пристроїв електродвигунів, установлених у цеху, коли пристрій перебуває під напругою, дозволяється для зовнішнього огляду особам, що мають кваліфікаційну групу не нижче 4-ой.
Операції по включенню й вимиканню електродвигунів пусковою апаратурою із приводами ручного керування повинні вироблятися із застосуванням діелектричних рукавичок або ізолюючої підстави (підставки).
Включення й відключення вимикачів електродвигунів виробляється черговим в агрегатів одноосібно.
5. У працюючого синхронного електродвигуна не використовувана обмотка й живильний його кабель повинні розглядатися як перебувають під напругою.
6. Робота в ланцюзі пускового реостата працюючого електродвигуна допускається лише при піднятих щітках і замкнутому на коротко роторі.
Робота в ланцюгах регулювального реостата працюючого електродвигуна повинна розглядатися як робота під напругою в ланцюгах до 1000У и вироблятися з дотриманням мер обережності. [8]
Шліфування кілець ротора допускається проводити на обертовому електродвигуні лише за допомогою колодок з ізоляційного матеріалу.
7. Перед початком роботи на електродвигунах, що приводять у рух насоси або механізми, повинні бути вжиті заходи, що перешкоджають обертанню електродвигуна з боку механізму (насос може працювати як турбіна, димосос може почати обертатися у зворотну сторону за рахунок засоса холодного повітря через трубу й т.д.). Такими мірами є закриття відповідних вентилів або шиберів, їхнє заклинювання або перев'язка ланцюгом із запиранням на замок (або зняттям штурвала) і вивішуванням плакатів «Не відкривати - працюють люди» або розчіплюванням муфт.
8. При від'єднанні від синхронного електродвигуна живильного кабелю кінці всіх трьох фаз кабелю повинні бути замкнуті на коротко й заземлені. [8]
Заземлення кінців кабелю повинне вироблятися за допомогою спеціально пристосованого для цієї мети переносного заземлення, виконаного відповідно до загальних вимог.
Висновок
На підставі матеріалу, розглянутого в даній дипломній роботі можна зробити вивід, що майже вся електрична енергія (на частку хімічних джерел доводиться незначна частина) виробляється електричними машинами. Але електричні машини можуть працювати не тільки в генераторному режимі, але й у руховому, перероблюючи електричну енергію в механічну. Маючи високі енергетичні показники й меншими, у порівнянні з іншими перетворювачами енергії, витратами матеріалів на одиницю потужності, екологічно чисті електромеханічні перетворювачі мають у житті людського суспільства величезне значення.
Електричний двигун - основний вид двигуна в промисловості електроприводний, на транспорті, у побуті й т.д. По роду струму розрізняють електродвигуни постійного струму, основна перевага яких полягає в можливості економічного й плавного регулювання частоти обертання, і двигуни змінного струму. До останнього ставляться:
синхронні електродвигуни, у яких частота обертання жорстко пов'язана із частотою живильного струму;
асинхронні електродвигуни, частота обертання яких зменшується з ростом навантаження;
колекторні електродвигуни із плавним регулюванням частоти обертання в широких межах.
Найпоширеніші асинхронні двигуни електричні, вони прості у виробництві й надійні в експлуатації (особливо короткозамкнені). Їхні головні недоліки: значне споживання реактивної потужності й неможливість плавного регулювання частоти обертання. У багатьох потужних електроприводах застосовують синхронні двигуни електричні. У тих випадках, коли необхідно регулювати частоту обертання, користуються двигунами електричними постійного струму й значно рідше в цих випадках застосовують більше дорогі й менш надійні колекторні двигуни електричні змінного токи. Потужність двигуна електричного від десятих часток Вт до десятків Мвт.
У синхронних машинах у сталих режимах частота обертання ротора щр рівняється частоті обертання поля щс. При щр = щс частота струму в роторі ѓ2 = 0. В обмотці збудження, звичайно розташованої на роторі, протікає постійний струм. Синхронні машини можуть працювати в режимах генератора, двигуна й синхронного компенсатора. Найпоширеніший режим роботи синхронних машин - генераторний. Майже вся електроенергія на Землі на електростанціях виробляється синхронними генераторами - турбо - і гідрогенераторами.
Синхронні двигуни застосовуються в електроприводах, де потрібна постійна частота обертання. Перевага синхронних двигунів перед асинхронними - можливість роботи з випереджальної cos ? або cos? = l, а також більша перевантажувальна здатність. Однак синхронні двигуни мають погані пускові властивості, і для живлення обмотки збудження потрібен постійний струм. Синхронні двигуни застосовуються в основному як потужні двигуни на потужності понад 600 кВт і як мікродвигуни на потужності до 1 кВт.
Синхронні машини знаходять застосування також як синхронні компенсатори - генераторів реактивної потужності. При паралельній роботі з мережею при пере порушенні синхронна машина видає в мережу реактивну потужність і є ємністю, а при не до порушенні стосовно мережі синхронна машина є індуктивністю й споживає з мережі реактивну потужність.
Синхронні компенсатори використовуються в енергосистемах як регульовані ємності або індуктивності.
У конструктивному виконанні синхронні машини діляться на явно - і не явно полюсні. Швидкохідні машини виконуються з не явно полюсним ротором, а тихохідні - з явно полюсним.
Найважливішою умовою правильної експлуатації електричних машин є своєчасне проведення планово-попереджувальних ремонтів і періодичних профілактичних випробувань.
Система планово-попереджувального ремонту передбачає технічне обслуговування, що поточний і капітальний ремонти, профілактичні й після ремонтні випробування. У зв'язку з більшою розмаїтістю електричних машин, що перебувають в експлуатації, неможливо дати повний перелік робіт з кожного із тридцятилітніх цієї системи (крім випробувань), тому обмежуються типовими обсягами робіт. Перед ремонтом проводяться випробування електричних машин для виявлення й наступного усунення дефектів.
При експлуатації й ремонті електричних машин і мереж людина може виявитися в сфері дії електричного поля або безпосереднім зіткненні із проводками, що перебувають під напругою, електричного струму. Вплив електричного струму на організм людини може з'явитися причиною завихрення, тобто може відбутися порушення його життєдіяльних функцій. Тому дуже важливо для електромонтера або іншого фахівця, що здійснює ремонт електричних машин дотримувати правил техніки безпеки.
Як у практиці електромашинобудування, так і в області теорії електричних машин, зроблено вже багато чого й досягнуті безсумнівні успіхи. Але не можна думати, що все основне вже зроблено й залишається тільки вивчати створене старшим поколінням електромеханіків.
До основної проблеми в області електромеханіки варто віднести створення електричних машин, що використовують нові нетрадиційні джерела енергії. Зараз близько 80% електроенергії виробляється на теплових електростанціях за рахунок спалювання органічного палива. Запаси нафти, газу й вугілля обмежені, і необхідно в найближчі роки значно зменшити частку органічного палива в паливному балансі країни. Електромеханічне перетворення енергії й у майбутньому буде основним в енергетику, тому створення електрогенераторів, що використовують нові джерела енергії, є особливою турботою фахівців в області електромеханіки.
Література
1. Вешеневський С.Н. Характеристики двигунів в електроприводі – К., 1997.
2. Гольдберг О.Д. Гурин Я.С. Проектування електричних машин. – К., 2001.
3. Іноземців Е.К. Ремонт і експлуатація електродвигуна з безпосереднім водяним охолодженням типу ЛВ - 8000/6000 УЗ – К., 1980
4. Иванов И.И., Равдоник В.С. Электротехника: Учебник для вузов. – М.: Высшая школа, 1984. – 375 с.
5. Копылов И.П., Клоков Б.К., Морозкин В.П. Проектирование электрических машин: Учебное пособие для вузов – 3-е изд. перераб. и доп. – М.: Высшая школа, 2002 – 757 с.
6. Копылов И.П. Электрические машины: Учеб. для вузов. - 2-е изд., перераб. - М.: Высш. шк.; Логос; 2000. - 607 с.
8. Москаленко В.В.Довідник електромонтера 2005 р., - К., 2005
9. Столів Л.И., Афанасьєв А.Ю. Моментные двигуни постійного струму. – К.,1989
10. Токарев Б.Ф. Электрические машины: Учебник для техникумов – М.: Энергоатомиздат, 1989. - 672 с.
11. Электродвигатели и электрооборудование. Каталог. Ч1 – М.: ИКФ «Каталог», 1994.
12. Электродвигатели и электрооборудование. Каталог. Ч3 – М.: ИКФ «Каталог», 1996.
13. Защита и диагностика агрегатов электродвигателей: Диагностика и ремонт электротехнического оборудования //Главный энергетик. – 2004. - № 5. – С. 65-67
14. Заякин С. Частотный преобразователь в системах водоснабжения: Электротехническое оборудование //Оборудование: Рынок, предложение, цены. – 2005. - №1. – С. 63-65
15. Кимкетов М. Устройство защиты электродвигателя от перегрузки без оперативного питания //Главный энергетик. – 2005. – № 11. – С.26-27
Похожие рефераты:
Розробка, дослідження системи керування на основі нейронної мережі
Технологія монтажу, ремонту та правила технічного обслуговування синхронних двигунів
Електропостачання металообробного цеху ВАТ "Завод ім. Фрунзе"
Приплотинна ГЕС потужністю 2х27 МВт на річці "Т"
Комп’ютеризована вимірювальна система параметрів електричних машин з газомагнітним підвісом
Оптимізація параметрів динамічної системи підресорювання корпуса БТР
Динамічне гальмування асинхронного двигуна на прикладі фрезерного деревообробного верстата
Технічне обслуговування та ремонт двигунів змінного струму
Використання трифазного асинхронного двигуна в мережах однофазного струму
Електропоїзди постійного струму
Розробка інвертора напруги для апаратури зв'язку
Автомобілі з гібридною трансміссією і комбінованою енергетичною установкою
Система автоматичного регулювання (САР) турбіни атомної електростанції
Діагностика системи запалення ДВЗ
Розвиток і вдосконалення льотної промисловості України
Режим роботи та захист трансформаторів
Трифазний асинхронний двигун типу 4А112М4У3 з коротко замкнутим ротором