| Похожие рефераты | Скачать .docx |
Курсовая работа: Анализ радиосигналов и расчет характеристик оптимальных согласованных фильтров
Министерство образования и науки Российской Федерации
ФГАОУ ВПО «УРАЛЬСКИЙ ФЕДЕРАЛЬНЫЙ УНИВЕРСИТЕТ
имени первого Президента России Б.Н.Ельцина»
ПОЯСНИТЕЛЬНАЯ ЗАПИСКА
к курсовой работе
АНАЛИЗ РАДИОСИГНАЛОВ И РАСЧЕТ ХАРАКТЕРИСТИК ОПТИМАЛЬНЫХ СОГЛАСОВАННЫХ ФИЛЬТРОВ
по курсу «Радиотехнические цепи и сигналы»
Вариант № 6.1
Руководитель Макаров Д.В
Студент Хрестина Е.И
Реферат
Курсовая работа по дисциплине "Радиотехнические цепи и сигналы” охватывает разделы курса, посвященные основам теории сигналов и их оптимальной линейной фильтрации.
Целями работы являются
- изучение временных и спектральных характеристик импульсных радиосигналов, применяемых в радиолокации, радионавигации, радиотелеметрии и смежных областях;
- приобретение навыков по расчету и анализу корреляционных и спектральных характеристик детерминированных сигналов: автокорреляционных функций, спектров амплитуд, спектров фаз и энергетических спектров;
- изучение методов оптимальной согласованной фильтрации сигналов известной формы на фоне помех типа белого шума;
- приобретение навыков выполнения инженерных расчетов по определению спектральных характеристик сигналов на ПЭВМ
В процессе работы требуется рассчитать математическую модель заданного сигнала, построить спектр сигнала, амплитудный спектр, автокорелляционную функцию и импульсную характеристику согласованного фильтра.
Все вычисления, проделанные в работе производились при помощи программы Mathcad 14.
Перечень условных обозначений, единиц и терминов
f – несущая частота, Гц
fS – частота следования, Гц
τ – длительность импульса, с
N – число импульсов в пачке
Tповт – расстояние между двумя импульсами (период), с
C1(t) – огибающая одного радиоимпульса
S1(t) – одиночный радиоимпульс
S(t) – пачка радиоимпульсов
S(ω) – спектральная плотность амплитуды одного видеоимпульса
S1(ω) – спектральная плотность пачки радиоимпульсов
Sрад1 (ω)– спектральная плотность радиосигнала
W(ω) – энергетический спектр
Ψ(τ1) – АКФ сигнала
А – произвольный постоянный коэффициент
h(t) – импульсная характеристика согласованного фильтра
Задание на курсовую работу
Заданный тип сигнала:
Прямоугольная когерентная пачка прямоугольных радиоимпульсов. В середине каждого импульса фаза скачком меняется на 180°.
№ подварианта – 2:
Несущая частота – f = 5 МГц,
Длительность импульса – τ = 25 мкс,
Частота следования – fs = 10кГц,
Число импульсов в пачке – N=5
Для заданного типа сигнала рассчитать:
1) Математическую модель сигнала.
2) Расчет АКФ.
3) Расчет спектра амплитуд и энергетического спектра.
4) Расчет импульсной характеристики согласованного фильтра.
5) Рекомендации по построению и практической реализации согласованного фильтра.
Глава 1.Расчет параметров сигнала
1.1 Расчет математической модели сигнала
Одиночный прямоугольный импульс, в середине которого фаза скачком меняется на 180º можно описать выражением:

График одиночного радиоимпульса представлен на рис.1.

Рис.1. График одиночного радиоимпульса
На рис.2 рассмотрим подробнее середину импульса, где фаза меняется на 180º

Рис.2. Подробный график одиночного радиоимпульса.
Огибающая одного радиоимпульса представлена на рис.3.

Рис.3 Огибающая одного радиоимпульса
Так как все импульсы в пачке имеют одинаковую форму, то при построении когерентной пачки можно пользоваться формулой:
где Tn - период повторения импульсов, N - число импульсов в пачке, U1(t) - огибающая первого импульса

На рис.4 представлен вид когерентной прямоугольной пачки радиоимпульсов.

Рис.4 Когерентная пачка радиоимпульсов
1.2 Расчет спектра амплитуд
Модуль спектральной плотности характеризует плотность распределения амплитуд составляющих сплошного спектра сигнала по частоте, а аргумент спектральной плотности – распределение фаз составляющих.

В данном случае нет необходимости интегрировать по данным пределам, так как единичный сигнал находится в пределах от (0; τ), а вне того предела тождественно равен нулю.
Для данного сигнала спектральная плотность амплитуд одиночного видеоимпульса представлена на рис.5

Рис.5Спектральная плотность одиночного видеоимпульса
На рис.6 представлен увеличенный центральный фрагмент.

Рис.6 Увеличенный центральный фрагмент
Спектр амплитуд пачки радиоимпульсов представляет собой произведение спектра амплитуд одиночного импульса и функции вида |sin(Nx)/sin(x)| называемой "множителем решетки". Эта функция носит периодический характер.
Спектр амплитуд пачки видеоимпульсов представлен на рис 7.


Рис.7 Спектральная плотность пачки
Установим связь между спектром радиосигнала S и спектром его комплексной огибающей

Таким образом, спектральная плотность радиосигнала может быть найдена путем переноса спектра комплексной огибающей в окрестности точек ±w0 и уменьшения вдвое амплитуд всех спектральных составляющих. При этом для получения спектра в области отрицательных частот используется операция комплексного сопряжения.
Для заданного сигнала спектральная плотность рассчитывается по следующей формуле:

Спектральная плотность радиоимпульса представлена на рис.8. На рис.9 представлен увеличенный фрагмент в области положительных частот.

Рис.8 Спектральная плотность радиоимпульса

Рис.9. Увеличенный фрагмент в области положительных частот
Спектр пачки получается в результате умножения спектра радиоимпульса на «множитель решетки», рис.10.


Рис.10 Амплитудный спектр сигнала в области положительных частот
1.3 Расчет энергетического спектра
Энергетический спектр вычисляется по простому соотношению
![]()
Энергетический спектр представлен на рис.11. На рис.12 представлен увеличенный фрагмент энергетического спектра.
![]()

Рис.11 энергетический спектр сигнала

Рис.12 увеличенный фрагмент энергетического спектра сигнала
1.4 Расчет автокорелляционной функции
Автокорреляционная функция (АКФ) сигнала служит для количественной оценки степени отличия сигнала и его сдвинутой во времени копии s(t-t) и представляет собой их скалярное произведение на бесконечном интервале

АКФ для огибающей одного импульса представлена на рис.13


Рис.13 АКФ для огибающей одного импульса
Автокорелляционная функция для заданного сигнала представлена на рис.14.


Рис.14 АКФ заданного сигнала
Глава 2. Расчет параметров согласованного фильтра
2.1 Расчет импульсной характеристики
Импульсная характеристика согласованного фильтра представляет собой масштабную копию зеркального отображения входного сигнала, сдвинутого на некоторый отрезок времени. Иначе не выполняется условие физической реализуемости фильтра, так как сигнал должен успеть «обработаться» фильтром за это время.
Импульсную характеристику строим для огибающей заданного сигнала.
Огибающая пачки представлена на рис.15


Рис.15 Огибающая пачки
Импульсная характеристика представлена на рис.16.
![]()

Рис.16 Импульсная характеристика согласованного фильтра
На рис. 17 представлены два графика в едином масштабе.

Рис.17
2.2 Рекомендации по построению и практической реализации согласованного фильтра
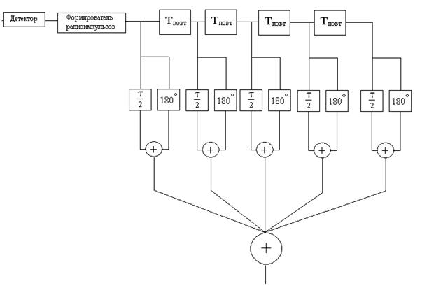
Структурная схема согласованного фильтра для заданного сигнала изображена на рис.18.

Рис.18 Структурная схема фильтра
Заключение
В данной курсовой работе были рассчитаны параметры сигнала для прямоугольной когерентной пачки радиоимпульсов прямоугольной формы, у которых в середине импульса фаза меняется на 180º.
Также в программе Mathcad 14 были построены графики огибающей сигнала, спектральной плотности, энергетического спектра, автокорелляционной функции.
Также была построена импульсная характеристика согласованного фильтра.
Список используемой литературы
1) Баскаков С.И., Радиотехнические цепи и сигналы: Учеб. для вузов по спец. «Радиотехника».-2-е изд.., перераб. и доп.-М: Высш.шк..,1988.
2) Коберниченко В.Г., Методические указания к курсовой работе.
Похожие рефераты:
Беспроводные телекоммуникационные системы
Радиолокационная станция обнаружения воздушных целей
Средства радиоэлектронной защиты и подавления радиоэлектронных средств (РЭС)
Анализ радиосигналов и расчет характеристик оптимальных согласованных фильтров
Методы позиционирования и сжатия звука
Машины, которые говорят и слушают
Дискретизация и квантование изображений
Техническая диагностика средств вычислительной техники
Модель тракта прослушивания гидроакустических сигналов