| Скачать .docx |
Книга: Прикладная теория информации
В.И. Дмитриев
ПРИКЛАДНАЯ ТЕОРИЯ ИНФОРМАЦИИ
Москва 1989
Оглавление
Введение. 3
§ В.1. О понятии "информация". 5
§ В.2. Этапы обращения информации. 7
§ В.3. Информационные системы.. 9
§ В.4. Система передачи информации (основные понятия и определения) 11
§ В.5. Уровни проблем передачи информации. 14
§ Β.6. Теория информации. 16
Глава 1. Математические модели сигналов. 20
§ 1.1 Понятия сигнала и его модели. 20
§ 1.2 Формы представления детерминированных сигналов. 22
§ 1.3 Временная форма представления сигнала. 28
§ 1.4 Частотная форма представления сигнала. 30
§ 1.5 Соотношения между длительностью импульсов и шириной их спектров 47
§ 1.6 Спектральная плотность мощности детерминированного сигнала. 49
§ 1.7 Функция автокорреляции детерминированного сигнала. 50
§ 1.8 Случайный процесс как модель сигнала. 52
§ 1.9 Стационарные и эргодические случайные процессы.. 58
§ 1.10 Спектральное представление случайных сигналов. 61
§ 1.11 Частотное представление стационарных случайных сигналов. 64
Введение
Эффективная организация обмена информацией приобретает все большее значение, прежде всего как условие успешной практической деятельности людей. Объем информации, необходимой для нормального функционирования современного общества, растет примерно пропорционально квадрату развития производительных сил. Доля рабочей силы, занятой вопросами обеспечения информацией, в развитых странах начинает превышать долю рабочей силы, занятой непосредственно в сфере производства. Применение методов и средств автоматизации на всех этапах обращения информации позволяет существенно повысить эффективность функционирования экономики страны и высвободить значительные трудовые ресурсы.
В соответствии с Постановлением ЦК КПСС и Совета Министров СССР об общегосударственной программе создания, развития производства и эффективного использования вычислительной техники и автоматизированных систем до 2000 г. в нашей стране намечен переход к широкой эксплуатации банков данных, локальных вычислительных сетей и других информационных систем. При этом особое значение приобретают системы связи и передачи данных, позволяющие обеспечить коллективный и удаленный доступ к средствам хранения и обработки информации.
Комплексная автоматизация процессов восприятия, преобразования, передачи, обработки и отображения информации с целью принятия оптимальных управляющих воздействий осуществляется в рамках создания автоматизированных систем управления (АСУ) на различных уровнях - от предприятия до народного хозяйства в целом.
Основой решения многих теоретических проблем создания АСУ является теория информации, предоставляющая возможности для комплексного информационного рассмотрения сложных систем.
Поскольку слово "информация" полисемично, возникает необходимость уточнения смысла этого понятия в рамках рассматриваемой теории.
§ В.1. О понятии "информация"
Понятие "информация" является центральным понятием кибернетики. Оно используется и в теории информации, хотя основным понятием классической теории информации следует признать "количество информации", смысла которого коснемся несколько позже.
Имеется множество определений понятия информации от наиболее общего философского, (информация есть отражение реального мира) до наиболее узкого практического (информация есть все сведения, являющиеся объектом хранения, передачи и преобразования).
Некоторыми зарубежными авторами информация трактуется с идеалистических позиций в отрыве от материи как некоторая субстанция, занимающая промежуточное положение между материей и сознанием.
С позиций марксистской философии информация рассматривается как характеристика такого всеобщего свойства материи, как разнообразие. Такая трактовка находится в полном соответствии с известным положением В.И. Ленина о том, что вся материя обладает свойством отражения. Она четко выявляет взаимоотношения понятий "информация" и "отражение".
Информация - это отраженное разнообразие. В понятии "отражение" акцентируется внимание на воспроизведении содержания в целом, а в понятии "информация" - на воспроизведении одной его стороны - разнообразия. Следовательно, понятие "отражение" более широкое, более содержательное.
В рамках материалистической исходной посылки при конкретизации понятия "информация" имеют место расхождения по ряду существенных вопросов: информация - это свойство индивидуального объекта (процесса) или результат взаимодействия объектов (процессов)? Присуща ли информация всем видам материи или лишь определенным образом организованной материи? Существует ли информация в любых процессах или возникает только в процессах управления? Выдвинутое академиками Глушковым В.М. [3] и Колмогоровым А.Н. [10], а также английским философом Эшби и развиваемое советскими учеными понятие информации как характеристики внутренней организованности материальной системы (по множеству состояний, которые она может принимать) позволяет оценивать потенциальные возможности систем независимо от процесса передачи или восприятия информации. Здесь подчеркивается мысль о том, что информация существует независимо от того, воспринимается она или нет. Однако справедливо отмечается, что информация проявляется только при взаимодействии объектов (процессов).
Противоречия не возникает, если информацию рассматривать как свойство объекта в потенциальном смысле - свойство, которое проявляется лишь при взаимодействии объектов (процессов). Так, в куске каменного угля содержится информация о событиях, происшедших в далекие времена, однако эта информация проявляется лишь при взаимодействии с человеком. В книге Н. Винера "Кибернетика" [1] подчеркивается, что "информация есть информация, а не материя и не энергия". В отличие от них информация может возникать и исчезать. В указанном примере с информацией в куске каменного угля она исчезнет, когда этот кусок каменного угля сгорит.
Весьма распространенным является также мнение о том, что информация присуща лишь определенным образом организованной материи, в которой возможны процессы управления. Сторонники этой точки зрения под информацией подразумевают только то, что воспринято и осмыслено, т.е. то, что целесообразно использовать для управления. Нетрудно заметить, что вопрос о существовании информации здесь неправомерно отождествляется с вопросом о способности объекта к восприятию и использованию информации. При таком подходе легко сойти на позиции субъективизма, ставящего объективно существующее в зависимость от воспринимающего субъекта.
При всех различиях в трактовке понятия информации, бесспорно то, что проявляется информация всегда в материально-энергетической форме в виде сигналов. Информацию, представленную в формализованном виде, позволяющем осуществить ее обработку с помощью технических средств, называют данными.
§ В.2. Этапы обращения информации
Хотя роль информации может ограничиваться неопределенным эмоциональным воздействием на человека, в чисто технических (автоматических) и человеко-машинных (автоматизированных) системах она чаще всего используется для выработки управляющих воздействий. При обращении информации в системах можно выделить отдельные этапы [26]. Так как материальным носителем информации является сигнал, то реально это будут этапы обращения и преобразования сигналов (рис. В.1).

На этапе восприятия информации осуществляется целенаправленное извлечение и анализ информации о каком-либо объекте (процессе), в результате чего формируется образ объекта, проводятся его опознание и оценка. При этом необходимо отделить интересующую нас в данном случае информацию от мешающей (шумов), что в ряде случаев связано со значительными трудностями. Простейшим видом восприятия является различение двух противоположных состояний: наличия ("да") и отсутствия ("нет"), более сложным - измерение.
На этапе подготовки информации проводятся такие операции, как нормализация, аналого-цифровое преобразование, шифрование. Иногда этот этап рассматривается как вспомогательный на этапе восприятия. В результате восприятия и подготовки получается сигнал в форме, удобной для передачи или обработки.
На этапах передачи и хранения информация пересылается либо из одного места в другое, либо от одного момента времени до другого. Поскольку теоретические задачи, возникающие на этих этапах, близки друг другу, этап хранения информации часто в самостоятельный этап не выделяется. При этом передача информации получает более широкое толкование. Для передачи на расстояние используются каналы различной физической природы, самыми распространенными из которых являются электрические и электромагнитные. В последнее десятилетие получил признание также перспективный оптический канал. Для хранения информации используются в основном полупроводниковые и магнитные носители. Извлечение сигнала на выходе канала, подверженного действию шумов, носит характер вторичного восприятия.
На этапах обработки информации выявляются ее общие и существенные взаимозависимости, представляющие интерес для системы. Преобразование информации на этапе обработки (как и на других этапах) осуществляется либо средствами информационной техники, либо человеком. Если процесс обработки формализуем, он может выполняться техническими средствами. В современных сложных системах эти функции возлагаются на ЭВМ и микропроцессоры. Если процесс обработки не поддается формализации и требует творческого подхода, обработка информации осуществляется человеком. В системах управления важнейшей целью обработки является решение задачи выбора управляющих воздействий (этап принятия решения).
Этап отображения информации должен предшествовать этапам, связанным с участием человека. Цель этапа отображения - предоставить человеку нужную ему информацию с помощью устройств, способных воздействовать на его органы чувств.
На этапе воздействия информация используется для осуществления необходимых изменений в системе.
§ В.3. Информационные системы
Совокупность средств информационной техники и людей, объединенных для достижения определенных целей или для управления, образуют автоматизированную информационную систему, к которой по мере надобности подключаются абоненты (люди или устройства), поставляющие и использующие информацию.
Информационные системы, действующие без участия человека, называют автоматическими. За человеком в таких системах остаются функции контроля и обслуживания.
Автоматизированная информационная система становится автоматизированной системой управления (АСУ), если поставляемая информация извлекается из какого-либо объекта (процесса), а выходная используется для целенаправленного изменения состояния того же объекта (процесса), причем абонентом, использующим информацию для выбора основных управляющих воздействий (принятия решения), является человек. Объектом могут быть техническая система, экологическая среда, коллектив людей. Существуют АСУ, в которых отдельные функции управления возлагаются на технические средства, в основном на ЭВМ и микропроцессоры.
Автоматизированные информационные системы и АСУ нашли широкое применение во всех отраслях народного хозяйства в первую очередь как информационно-справочные и информационно-советующие системы, системы управления технологическими процессами и коллективами людей. Большинство из них являются локальными системами и функционируют на уровне предприятий и учреждений. В настоящее время происходит интенсивный процесс интеграции таких систем в системы производственных объединений и далее - в отраслевые и ведомственные системы.
Системы более высокого уровня становятся территориально рассредоточенными, иерархичными как по функциональному принципу, так и по реализации их техническими средствами. Обеспечение взаимодействия территориально рассредоточенных систем требует протяженных высокоскоростных и надежных каналов связи, а увеличение объема обрабатываемой информации - ЭВМ высокой производительности. Это привело к необходимости коллективного использования дорогостоящих средств автоматизации (ЭВМ и линий связи) и обрабатываемой информации (банков и баз данных). Техническое развитие, как самих электронных вычислительных машин, так и средств связи позволило, решить эту проблему путем перехода к созданию распределенных информационно-вычислительных сетей коллективного пользования.
Централизация различных видов информации в одной сети дает возможность использовать ее для решения широкого спектра задач, связанных с административным управлением, планированием, научными исследованиями, конструкторскими разработками, технологией производства, снабжением, учетом и отчетностью. В недалеком будущем использование информационно-вычислительных сетей позволит отказаться от традиционных форм массового общения, таких, как телефон, телеграф, почта, отдельные справочные службы.
Наиболее распространенными информационными системами являются системы, обеспечивающие передачу информации из одного места в другое (системы связи) и от одного момента времени до другого (системы хранения информации). Обе разновидности систем передачи информации имеют много общего в принципиальных вопросах обеспечения эффективности функционирования. Их применяют как самостоятельные системы и как подсистемы в составе любых более сложных информационных систем. Совокупность таких подсистем в информационно-вычислительной сети образует ее основное ядро - сеть передачи данных.
Последующее изложение будем вести в основном применительно к системам связи, подразумевая возможность интерпретации основных понятий и выводов к другим информационным системам.
§ В.4. Система передачи информации (основные понятия и определения)
Структурная схема одноканальной системы передачи информации приведена на рис. В.2. Информация поступает в систему в форме сообщений. Под сообщением понимают совокупность знаков или первичных сигналов, содержащих информацию. Источник сообщений в общем случае образует совокупность источника информации ИИ (исследуемого или наблюдаемого объекта) и первичного преобразователя ПП (датчика, человека-оператора и т.п.), воспринимающего информацию о его состояниях или протекающем в нем процессе. Различают дискретные и непрерывные сообщения.

Дискретные сообщения формируются в результате последовательной выдачи источником отдельных элементов - знаков. Множество различных знаков называют алфавитом источника сообщений, а число знаков - объемом алфавита. В частности, знаками могут быть буквы естественного или искусственного языка, удовлетворяющие определенным правилам взаимосвязи. Распространенной разновидностью дискретных сообщений являются данные.
Непрерывные сообщения не разделимы на элементы. Они описываются функциями времени, принимающими непрерывное множество значений. Типичными примерами непрерывных сообщений могут служить речь, телевизионное изображение. В ряде систем связи непрерывные сообщения с целью повышения качества передачи преобразуются в дискретные.
Для передачи сообщения по каналу связи ему необходимо поставить в соответствие определенный сигнал. В информационных системах под сигналом понимают физический процесс, отображающий (несущий) сообщение. Преобразование сообщения в сигнал, удобный для передачи по данному каналу связи, называют кодированием в широком смысле слова. Операцию восстановления сообщения по принятому сигналу называют декодированием.
Так как число возможных дискретных сообщений при неограниченном увеличении времени стремится к бесконечности, а за достаточно большой промежуток времени весьма велико, то ясно, что создать для каждого сообщения свой сигнал практически невозможно. Однако, поскольку дискретные сообщения складываются из знаков, имеется возможность обойтись конечным числом образцовых сигналов, соответствующих отдельным знакам алфавита источника.
Для обеспечения простоты и надежности распознавания образцовых сигналов их число целесообразно сократить до минимума. Поэтому, как правило, прибегают к операции представления исходных знаков в другом алфавите с меньшим числом знаков, называемых символами. При обозначении этой операции используется тот же термин "кодирование", рассматриваемый в узком смысле. Устройство, выполняющее такую операцию, называют кодирующим или кодером К. Так как алфавит символов меньше алфавита знаков, то каждому знаку соответствует некоторая последовательность символов, которую назовем кодовой комбинацией. Число символов в кодовой комбинации называют ее значностью, число ненулевых символов - весом.
Аналогично, для операции сопоставления символов со знаками исходного алфавита используется термин "декодирование". Техническая реализация ее осуществляется декодирующим устройством или декодером ДК. В простейшей системе связи кодирующее, а следовательно, и декодирующее устройство может отсутствовать.
Передающее устройство осуществляет преобразование непрерывных сообщений или знаков в сигналы, удобные для прохождения по конкретной линии связи (либо для хранения в некотором запоминающем устройстве). При этом один или несколько параметров выбранного носителя изменяют в соответствии с передаваемой информацией. Такой процесс называют модуляцией. Он осуществляется модулятором М. Обратное преобразование сигналов в символы производится демодулятором ДМ.
Под линией связи понимают любую физическую среду (воздух, металл, магнитную ленту и т.п.), обеспечивающую поступление сигналов от передающего устройства к приемному. Сигналы на выходе линии связи могут отличаться от переданных вследствие затухания, искажения и воздействия помех. Помехами называют любые мешающие возмущения, как внешние (атмосферные помехи, промышленные помехи), так и внутренние (источником которых является сама аппаратура связи), вызывающие случайные отклонения принятых сигналов от переданных. Эффект воздействия помех на различные блоки системы стараются учесть эквивалентным изменением характеристик линии связи. Поэтому источник помех условно относят к линии связи.
Из смеси сигнала, и помехи приемное устройство выделяет сигнал и посредством декодера восстанавливает Сообщение, которое в общем случае может отличаться от посланного. Меру соответствия принятого сообщения посланному называют верностью передачи. Обеспечение заданной верности передачи сообщений - важнейшая цель системы связи.
Принятое сообщение с выхода системы связи поступает к абоненту-получателю, которому была адресована исходная информация.
Совокупность средств, предназначенных для передачи сообщений, называют каналом связи. Для передачи информации от группы источников, сосредоточенных в одном пункте, к группе получателей, расположенных в другом пункте, часто целесообразно использовать только одну линию связи, организовав на ней требуемое число каналов. Такие системы называют многоканальными.
§ В.5. Уровни проблем передачи информации
Обмен информацией предполагает использование некоторой системы знаков, например, естественного или искусственного (формального) языка. Информация о непрерывных процессах также может быть выражена посредством знаков.
Изучение знаковых систем наукой о знаках, словах и языках (семиотикой) проводится, по крайней мере, на трех уровнях:
на синтактическом уровне рассматривают внутренние свойства текстов, т.е. отношения между знаками, отражающие структуру данной знаковой системы. Внешние свойства текстов изучают на семантическом и прагматическом уровнях;
на семантическом уровне анализируют отношения между знаками и обозначаемыми ими предметами, действиями, качествами, т.е. смысловое содержание текста, его отношение к источнику информации;
на прагматическом уровне рассматривают отношения между текстом и теми, кто его использует, т.е. потребительское содержание текста, его отношение к получателю.
Учитывая определенную взаимосвязь проблем передачи информации с уровнями изучения знаковых систем, их разделяют на проблемы синтактического, семантического и прагматического уровней.
Проблемы синтактического уровня касаются создания теоретических основ построения систем связи, основные показатели функционирования которых были бы близки к предельно возможным, а также совершенствования существующих систем с целью повышения эффективности их использования. Это чисто технические проблемы совершенствования методов передачи сообщений и их материального воплощения - сигналов. Иначе говоря, на этом уровне интересуют проблемы доставки получателю сообщений как совокупности знаков, при этом полностью абстрагируемся от их смыслового и прагматического содержания [16].
Основу интересующей нас теории информации составляют результаты решения ряда проблем именно этого уровня. Она опирается на понятие "количество информации", являющееся мерой частоты употребления знаков, которая никак не отражает ни смысла, ни важности передаваемых сообщений. В связи с этим иногда говорят, что теория информации находится на синтактическом уровне.
Проблемы семантического уровня связаны с формализацией смысла передаваемой информации, например, введением количественных оценок близости информации к истине, т.е. оценок ее качества. Эти проблемы чрезвычайно сложны, так как смысловое содержание информации больше зависит от получателя, чем от семантики сообщения, представленного в каком-либо языке. Информация заложена в сообщении, но проявляется она только при взаимодействии с получателем, так как может быть зашифрована. Из полученной телеграммы адресат может извлечь совершенно другую информацию по сравнению с той, которая будет доступна работнику телеграфа. Если получатель - человек, то и незашифрованное (или правильно расшифрованное) сообщение может быть понято по-разному. Основная причина состоит в том, что различное понимание того или иного слова может сильно изменить смысл переданной информации. Кроме того, восприятие человеком информации зависит от его эмоционального состояния, накопленного жизненного опыта и других факторов.
Следует отметить, что мы еще не умеем измерять семантическую информацию. Имевшие место подходы к ее измерению пока носили весьма частный характер.
На прагматическом уровне интересуют последствия от получения и использования данной информации абонентом. Проблемы этого уровня - это проблемы эффективности. Основная сложность здесь состоит в том, что ценность или потребительская стоимость информации может быть совершенно различной для различных получателей. Кроме того, она существенно зависит от истинности и прогностичности информации, своевременности ее доставки и использования. Высокие требования в отношении скорости доставки информации часто диктуются тем, что управляющие воздействия должны осуществляться в реальном масштабе времени, т.е. со скоростью изменения состояния управляемых объектов или процессов. Задержки в доставке или использовании информации могут иметь катастрофические последствия.
В направлении количественного определения прагматического содержания информации сделаны лишь первые шаги. Предложен ряд количественных мер, которые еще недостаточно конструктивны, чтобы найти широкое практическое применение. В связи с созданием информационно-вычислительных сетей ведутся интенсивные исследования в области оценки старения информации, т.е. потери ее ценности в процессе доставки [26].
§ Β.6. Теория информации
Возникновение теории информации связывают обычно с появлением фундаментальной работы американского ученого К. Шеннона "Математическая теория связи" (1948). Однако в теорию информации органически вошли и результаты, полученные другими учеными, например Р. Хартли, впервые предложившим количественную меру информации (1928), акад. В.А. Котельниковым, сформулировавшим важнейшую теорему о возможности представления непрерывной функции совокупностью ее значений в отдельных точках отсчета (1933) и разработавшим оптимальные методы приема сигналов на фоне помех (1946), акад.А.Н. Колмогоровым, внесшим огромный вклад в статистическую теорию колебаний, являющуюся математической основой теории информации (1941).
В последующие годы теория информации получила дальнейшее развитие в трудах советских ученых (А.Н. Колмогорова, А.Я. Хинчина, В.И. Сифорова, Р.Л. Добрушина, М.С. Пинскера, А.Н. Железнова, Л.М. Финка и др.), а также ряда зарубежных ученых (В. Макмиллана, А. Файнстейна, Д. Габора, Р.М. Фано, Ф.М. Вудворта, С. Гольдмана, Л. Бриллюэна и др.).
К теории информации в ее узкой классической постановке относят результаты решения ряда фундаментальных теоретических вопросов, касающихся повышения эффективности функционирования систем связи. Это в первую очередь:
анализ сигналов как средства передачи сообщений, включающий вопросы оценки переносимого ими "количества информации";
анализ информационных характеристик источников сообщений и каналов связи и обоснование принципиальной возможности кодирования и декодирования сообщений, обеспечивающих предельно допустимую скорость передачи сообщений по каналу связи, как при отсутствии, так и при наличии помех.
Прикладные результаты приводятся здесь только для пояснения основ теории. При более широкой трактовке теории информации результаты рассмотрения указанных вопросов составляют ее основу.
Если расширение связано с приложением теории в технике связи - рассмотрением проблемы разработки конкретных методов и средств кодирования сообщений, то совокупность излагаемых вопросов называют теорией информации и кодирования или прикладной теорией информации.
Другая точка зрения состоит в том, что глобальной проблемой теории информации следует считать разработку принципов оптимизации системы связи в целом. В этом случае к ней относят все локальные проблемы систем связи, включая, например, проблему оптимального приема и др.
В соответствии с третьей крайней точкой зрения к компетенции теории информации относят все проблемы и задачи, в формулировку которых входит понятие информации. Ее предметом считают изучение процессов, связанных с получением, передачей, хранением, обработкой и использованием информации. В такой постановке она затрагивает проблемы многих наук (в частности, кибернетики, биологии, психологии, лингвистики, педагогики) на всех трех уровнях (синтактическом, семантическом и прагматическом).
Попытки широкого использования идей теории информации в различных областях науки связаны с тем, что в основе своей эта теория математическая. Основные ее понятия (энтропия, количество информации, пропускная способность) определяются только через вероятности событий, которым может быть приписано самое различное физическое содержание. Подход к исследованиям в других областях науки с позиций использования основных идей теории информации получил название теоретико-информационного подхода. Его применение в ряде случаев позволило получить новые теоретические результаты и ценные практические рекомендации. Однако не редко такой подход приводит к созданию моделей процессов, далеко не адекватных реальной действительности. Поэтому в любых исследованиях, выходящих за рамки чисто технических проблем передачи и хранения сообщений, теорией информации следует пользоваться с большой осторожностью. Особенно это касается моделирования умственной деятельности человека, процессов восприятия и обработки им информации.
Содержание данной книги ограничивается теорией информации в первой трактовке, вопросами теории и практики кодирования и некоторыми примерами применения теории информации в областях, смежных с техникой связи.
Прикладная теория информации является одним из фундаментальных курсов при подготовке инженеров - системотехников, специализирующихся в области автоматизированных систем управления. Функционирование таких систем существенным образом связано с получением, подготовкой, передачей, хранением и обработкой информации, поскольку без осуществления этих этапов невозможно принять правильное решение, а, следовательно, и осуществить требуемое управляющее воздействие, которое является конечной целью функционирования системы.
Контрольные вопросы
1. В чем сущность принципиальных различий в трактовке понятия информации?
2. Каковы основные этапы обращения информации?
3. Охарактеризуйте разновидности информационных систем и тенденции их развития.
4. Совокупность, каких объектов составляет систему передачи информации?
5. Что понимают под сообщением и сигналом?
6. В чем различие между линией и каналом связи?
7. Объясните разницу в уровнях проблем передачи информации.
8. Каковы основные задачи теории информации?
9. В чем сущность теоретико-информационного подхода к исследованиям?
Глава 1. Математические модели сигналов
§ 1.1 Понятия сигнала и его модели
Как указывалось во введении, понятие "сигнал" имеет неоднозначное толкование. В широком смысле слова под сигналом понимают материальный носитель информации. При этом к сигналам относят как естественные сигналы, так и сигналы, специально создаваемые с определенной целью. Естественными являются, например, световые сигналы, позволяющие видеть окружающий мир, космические сигналы. Примером специально создаваемых могут служить сигналы, генерируемые с целью извлечения информации об изменениях в объекте или процессе (эталонные сигналы).
В дальнейшем понятие "сигнал", если это не оговорено специально, будет использоваться в узком смысле как сигнал, специально создаваемый для передачи сообщения в информационной системе. Материальную основу сигнала составляет какой-либо физический объект или процесс, называемый носителем (переносчиком) информации (сообщения). Носитель становится сигналом в процессе модуляции. Параметры носителя, изменяемые во времени в соответствии с передаваемым сообщением, называют информативными.
В качестве носителей информации используются колебания различной природы, чаще всего гармонические, включая частный случай - постоянное состояние (ω = 0). В технических информационных системах наиболее широкое распространение получили носители в виде электрического напряжения или тока. Поэтому, рассматривая в дальнейшем модели сигналов, для конкретности, будем соотносить их с электрическими сигналами.
В носителе u(t) = const имеется только один информативный параметр - уровень (например, уровень напряжения). При использовании гармонических электрических колебаний информативными могут стать такие параметры, как амплитуда, частота, фаза. Колебания принято подразделять на детерминированные и случайные.
Детерминированными называют колебания, которые точно определены в любые моменты времени.
Случайные колебания отличаются тем, что значения их некоторых параметров предсказать невозможно. Они могут рассматриваться как сигналы, когда несут интересующую нас информацию (случайные сигналы), или как помехи, когда мешают наблюдению интересующих нас сигналов.
При изучении общих свойств каналов связи, сигналов и помех мы отвлекаемся от их конкретной физической природы, содержания и назначения, заменяя моделями. Модель - это выбранный способ описания объекта, процесса или явления, отражающий существенные с точки зрения решаемой задачи факторы.
Задачи повышения эффективности функционирования информационных систем связаны с установлением количественных соотношений между основными параметрами, характеризующими источник информации и канал связи. Поэтому при исследовании используют математические модели. Математическое моделирование может быть реализовано различными методами в зависимости от способа, которым определяются интересующие нас показатели.
Фундаментальные исследования базируются на методе аналитического моделирования, заключающемся в создании совокупности математических соотношений, позволяющих выявить зависимости между параметрами модели в общем виде. При этом широко используются модели, параметры которых противоречат физическим свойствам реальных объектов. Например, модель сигнала часто представляется суммой бесконечного числа функций, имеющих неограниченную продолжительность (синусоид). Поэтому важно обращать внимание на условия, при которых это не мешает получать результаты, соответствующие наблюдаемым в действительности.
Так как источник сообщений выдает каждое сообщение с некоторой вероятностью, то предсказать точно изменения значения информативного параметра невозможно. Следовательно, сигнал принципиально представляет собой случайное колебание и его аналитической моделью может быть только случайный процесс, определяемый вероятностными характеристиками.
Тем не менее, в случае детерминированного колебания условно так же говорят о детерминированном сигнале. Такой сигнал отображает известное сообщение, которое нет смысла передавать. Ему соответствует модель в виде функции, полностью определенной во времени.
Изучение моделей детерминированных сигналов необходимо по многим причинам. Важнейшая из них заключается в том, что результаты анализа детерминированных сигналов являются основой для изучения более сложных случайных сигналов. Это обусловлено тем, что детерминированный сигнал может рассматриваться как элемент множества детерминированных функций, составляющих в совокупности случайный процесс. Детерминированное колебание, таким образом, представляет собой вырожденную форму случайного процесса со значениями параметров, известными в любой момент времени с вероятностью, равной единице. Детерминированные сигналы имеют и самостоятельное значение. Они специально создаются для целей измерения, наладки и регулирования объектов информационной техники, выполняя роль эталонов.
§ 1.2 Формы представления детерминированных сигналов
В зависимости от структуры информационных параметров сигналы подразделяют на дискретные, непрерывные и дискретно-непрерывные.
Сигнал считают дискретным по данному параметру, если число значений, которое может принимать этот параметр, конечно (или счетно). Если множество возможных значений параметра образует континуум, то сигнал считают непрерывным по данному параметру. Сигнал, дискретный по одному параметру и непрерывный по другому, называют дискретно-
![]() |
непрерывным.
В соответствии с этим существуют следующие разновидности математических представлений (моделей) детерминированного сигнала:
непрерывная функция непрерывного аргумента, например непрерывная функция времени (рис.1.1, а);
непрерывная функция дискретного аргумента, например функция, значения которой отсчитывают только в определенные моменты времени (рис.1.1, б);
дискретная функция непрерывного аргумента, например функция времени, квантованная по уровню (рис.1.1, в);
дискретная функция дискретного аргумента, например функция, принимающая одно из конечного множества возможных значений (уровней) в определенные моменты времени (рис.1.1, г).
Рассматриваемые модели сигналов в виде функций времени предназначены в первую очередь для анализа формы сигналов. Желательно найти такое представление сигнала, которое облегчает задачи исследования прохождения реальных сигналов, часто имеющих достаточно сложную форму, через интересующие нас системы. С этой целью сложные сигналы представляются совокупностью элементарных (базисных) функций, удобных для последующего анализа.
Наиболее широкий класс исследуемых систем - это инвариантные во времени линейные системы.
При анализе прохождения сложного сигнала u(t) через такие системы его представляют в виде взвешенной суммы базисных функций
(t) (или соответствующего ей интеграла):
![]()
где [
,
] - интервал существования сигнала.
При выбранном наборе базисных функций сигнал u(t) полностью определяется совокупностью безразмерных коэффициентов
. Такие совокупности чисел называют дискретными спектрами сигналов.
На интервале [t
, t
] выражение (1.1) справедливо как для сигналов, неограниченных во времени, так и для сигналов конечной длительности. Однако за пределами интервала [t
, t
] сигнал конечной длительности не равен нулю, так как он представляется суммой в том случае, если условно считается периодически продолжающимся. Поэтому, когда для ограниченного во времени сигнала необходимо получить представление, справедливое для любого момента времени, используется интеграл:
(1.2)
где φ(α, t) - базисная функция с непрерывно изменяющимся параметром
.
В этом случае имеется непрерывный (сплошной) спектр сигнала, который представляется спектральной плотностью S(
). Размерность ее обратна размерности
. Аналогом безразмерного коэффициента
здесь является величина S(
) d
.
Совокупность методов представления сигналов в виде (1.1) и (1.2) называют обобщенной спектральной теорией сигналов. В рамках линейной теории спектры являются удобной аналитической формой представления сигналов.
Для теоретического анализа базисные функции
нужно выбирать так, чтобы они имели простое аналитическое выражение, обеспечивали быструю сходимость ряда (1.1) для любых сигналов u(t) и позволяли легко вычислять значения коэффициентов
. Базисные функции не обязательно должны быть действительными, их число может быть неограниченным
.
В случае практической аппроксимации реального сигнала совокупностью базисных сигналов решающее значение приобретает простота их технической реализации. Сигнал представляется суммой ограниченного числа
действительных линейно независимых базисных функций (сигналов).
Ортогональные представления сигналов. Вычисление спектральных составляющих сигнала существенно облегчается при выборе в качестве базиса системы ортогональных функций.
Систему функций
, ![]()
(t),...,
,...,
,...,
называют ортогональной на отрезке [t
, t
], если для всех k =
;
, за исключением случая k = j, удовлетворяется условие:

Эта система функций будет ортонормированной (ортонормальной), если для всех
справедливо соотношение

Если соотношение (1.4) не выполняется и

то систему можно нормировать, умножая функции
на 1/
.
Определим коэффициенты
при представлении сигнала u(t) совокупностью ортонормированных функций в виде

предполагая, что интервал [t
, t
] лежит внутри отрезка ортогональности [t
, t
].
Правую и левую части уравнения (1.5) умножаем на
и интегрируем, на интервале [t
, t
]:

В силу справедливости условия (1.3) все интегралы в правой части выражения (1.6) при
будут равны 0. При k = j в соответствии с (1.4) интеграл равен 1. Следовательно,

В теоретических исследованиях обычно используют полные системы ортогональных функций, обеспечивающие сколь угодно малую разность непрерывной функции u(t) и представляющего ее ряда при неограниченном увеличении числа его членов. Разность оценивают по критерию

При этом говорят о среднеквадратической сходимости ряда
к функции u(t).
Широко известной ортонормированной системой является совокупность тригонометрических функций кратных аргументов: ![]()

![]() |
Она ортонормальна на отрезке [-π, π]. Так как соответствующее разложение исторически появилось первым и было названо рядом Фурье, то соотношение (1.5) часто именуют обобщенным рядом Фурье, а значения
На рис.1.2 приведена система функций Хаара, ортонормированность которых на интервале 0-1 также очевидна. Известны представления сигналов по системам ортогональных базисных многочленов Котельникова, Чебышева, Лаггера, Лежандра и др., а также неортогональные разложения по функциям Лагранжа, Тейлора и др
.
Обобщенная спектральная теория облегчает решение проблемы обоснованного выбора базисных функций для конкретных задач анализа процессов, происходящих при формировании и прохождении сигналов через те или иные звенья информационной системы.
§ 1.3 Временная форма представления сигнала
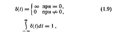
Временным представлением сигнала называют такое разложение сигнала u(t), при котором в качестве базисных функций используются единичные импульсные функции - дельта-функции. Математическое описание такой функции задается соотношениями

где δ(t) - дельта-функция, отличная от нуля в начале координат (при t = 0).
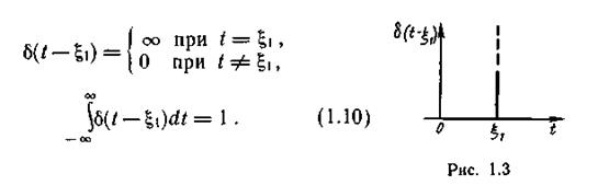
Для более общего случая, когда дельта-функция отличается от нуля в момент времени t=
(рис.1.3), имеем

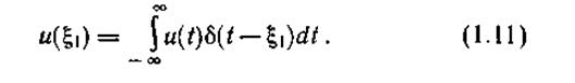
Такая математическая модель соответствует абстрактному импульсу бесконечно малой длительности и безграничной величины. Единственным параметром, правильно отражающим реальный сигнал, является время его действия. Однако, учитывая (1.10), с помощью дельта-функции можно выразить значение реального сигнала u(t) в конкретный момент времени ξι:

Равенство (1.11) справедливо для любого текущего момента времени t. Заменив ξι на t и приняв в качестве переменной интегрирования ξ, получим

Таким образом, функция u(t) выражена в виде совокупности примыкающих друг к другу импульсов бесконечно малой длительности. Ортогональность совокупности таких импульсов очевидна, так как они не перекрываются во времени.
Разложение (1.12) имеет большое значение в теории линейных систем, поскольку, установив реакцию системы на элементарный входной сигнал в виде дельта-функции (импульсную переходную функцию), можно легко определить реакцию системы на произвольный входной сигнал как суперпозицию реакций на бесконечную последовательность смещенных дельта-импульсов с "площадями", равными соответствующим значениям входного сигнала.
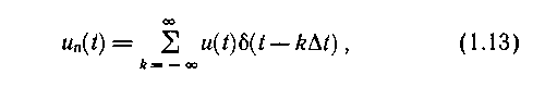
С помощью дельта-функций можно также представить периодическую последовательность идеализированных импульсов с постоянными или меняющимися уровнями. Обозначив через u
(t) функцию, равную u(k
t) в точках t = k
t и нулю в остальных точках, запишем:

где Δt - период следования импульсов.
Поскольку умножение u(t) на дельта - функцию в момент времени t = k
t соответствует получению отсчета этой функции, uп(k
t) может представлять результат равномерной дискретизации функции u(t).
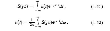
§ 1.4 Частотная форма представления сигнала
Рассмотрим, какие функции целесообразно выбирать в качестве базисных при анализе инвариантных во времени линейных систем. При исследовании таких систем решения всегда содержат комплексные экспоненциальные функции времени. Детерминированные сигналы, описываемые экспоненциальными функциями времени, при прохождении через инвариантные во времени линейные системы не изменяются по своему характеру, что является следствием инвариантности класса экспоненциальных функций относительно операций дифференцирования и интегрирования.
Широко используются представления детерминированных сигналов с применением базисных функций еpt как при ρ =
(преобразование Фурье), так и при p = s+jw (обобщенное преобразование Фурье, известное как преобразование Лапласа).
До сих пор мы не касались физической интерпретации базисных функций. Для чисто математических преобразований она не обязательна. Однако такая интерпретация имеет безусловные преимущества, так как позволяет глубже вникнуть в физический смысл явлений, протекающих в системах при прохождении сигналов.
Использование экспоненциальных базисных функций в преобразовании Фурье комплексно-сопряженными парами (с положительным и отрицательным параметром ω) позволяет в соответствии с формулой Эйлера:
![]()
представить сложный детерминированный сигнал в виде суммы гармонических составляющих. Поскольку параметр ω в этом случае имеет смысл круговой частоты, результат такого преобразования называют частотной формой представления сигнала.
В силу указанных преимуществ разложение сигналов по системе гармонических базисных функций подверглось всестороннему исследованию, на основе которого была создана широко известная классическая спектральная теория сигналов.
В дальнейшем, если это не оговорено специально, спектральное представление сигналов рассматривается в рамках классической теории.
Спектры периодических сигналов. Периодических сигналов, естественно, не существует, так как любой реальный сигнал имеет начало и конец. Однако при анализе сигналов в установившемся режиме можно исходить из предположения, что они существуют бесконечно долго и принять в качестве математической модели таких сигналов периодическую функцию времени. Далее рассматривается представление таких функций, как в виде суммы экспоненциальных составляющих, так и с преобразованием их в гармонические.
Пусть функция u(t), заданная в интервале времени
и удовлетворяющая условиям Дирихле, повторяется с периодом T = 2
/
= t2-t1 на протяжении времени от -
до +
.
Условия Дирихле: на любом конечном интервале функция должна быть непрерывной или иметь конечное число точек разрыва первого рода, а также конечное число экстремальных точек. В точках разрыва функцию u(t) следует считать равной.
![]()
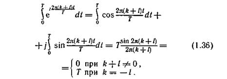
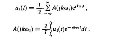
Если в качестве базисных выбраны экспоненциальные функции, то выражение (1.5) запишем в виде

Соотношение (1.15) представляет собой ряд Фурье в комплексной форме, содержащий экспоненциальные функции как с положительным, так и с отрицательным параметром ω (двустороннее частотное представление). Составляющие с отрицательными частотами являются следствием комплексной формы записи вещественной функции.
Функцию A(jkw1) принято называть комплексным спектром периодического сигнала u(t). Этот спектр дискретный, так как функция A(jkw1) определена на числовой оси только для целых значений k. Значение функции A(jkw1) при конкретном k называют комплексной амплитудой.
Огибающая комплексного спектра A(jw) имеет вид

Запишем комплексный спектр в форме
![]()
Модуль комплексного спектра A(kw1) называют спектром амплитуд, а функцию φ(kw1) - спектром фаз.
Если известны спектр амплитуд и спектр фаз сигнала, то в соответствии с (1.15) он восстанавливается однозначно. В практических приложениях более значимым является спектр амплитуд, а информация о фазах составляющих часто несущественна.
Поскольку A(kw1) и φ(kw1) отличны от нуля только при целых k, спектры амплитуд и фаз периодического сигнала являются дискретными.
Воспользовавшись формулой Эйлера е - jkwt = coskwt - j sinkwt, выразим комплексный спектр A(jkw1) в виде действительной и мнимой частей:

где

Спектр амплитуд
![]()
является четной функцией k, т.е.
![]()
Поскольку четность Ak и Вk, противоположна, спектр фаз
![]()
функция нечетная, т.е.
![]()
При k = 0 получаем постоянную составляющую

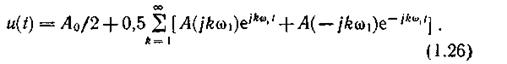
От двустороннего спектрального представления легко перейти к одностороннему (не имеющему отрицательных частот), объединяя комплексно-сопряженные составляющие [см. (1.14)]. В этом случае получаем ряд Фурье в тригонометрической форме. Действительно, выделив в (1.15) постоянную составляющую A0/2 и суммируя составляющие симметричных частот ω и - ω, имеем

Учитывая соотношения (1.15) и (1.16), запишем

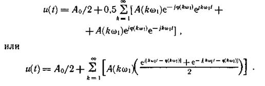
Воспользовавшись формулой Эйлера (1.14) и обозначив φ(kw1) через φk, окончательно получим

Распространена и другая тригонометрическая форма ряда Фурье, имеющая вид

Однако она менее удобна для практического применения. Отдельные составляющие в представлениях (1.23) и (1.24) называют гармониками. Как спектр амплитуд, так и спектр фаз периодического сигнала удобно представлять наглядно спектральными диаграммами. На диаграмме спектра амплитуд каждой гармонике ставится в соответствие вертикальный отрезок, длина которого пропорциональна амплитуде, а расположение на оси абсцисс отвечает частоте этой составляющей. Аналогично на диаграмме спектра фаз обозначают значения фаз гармоник. Поскольку в результате спектры отображаются совокупностями линий, их часто называют линейчатыми.
Отметим, что дискретный (линейчатый) спектр не обязательно должен принадлежать периодическому сигналу. Спектр периодического сигнала характеризует совокупность гармоник, кратных основной частоте ωι. Линейчатые спектры, включающие гармоники некратных частот, принадлежат так называемым почти периодическим сигналам. Диаграмма спектра амплитуд периодического сигнала показана на рис.1.4 Огибающую A(t) этого спектра амплитуд можно получить, заменив kw1 в A(kw1) на ω, где ω = kω1 для k-й гармоники.

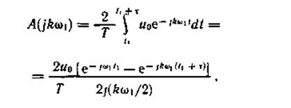
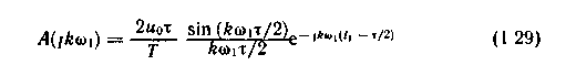
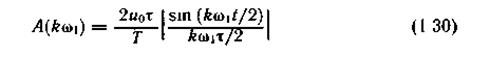
Пример 1.1 Определить спектры амплитуд и фаз периодической последовательности прямоугольных импульсов длительностью τ и амплитудой u0, следующих с частотой ω1 = 2π / Τ (рис.1.5).
Функция u(t), описывающая такую последовательность импульсов на периоде, может быть задана в виде:

В соответствии с (1.16) имеем

или

Амплитуды гармоник, включая постоянную составляющую, равную А0/2, определим из выражения

при k = О, 1, 2,...
![]() |
Выбор начала отсчета времени на их величину не влияет. Огибающая спектра амплитуд определяется видом функции

При ω = 0 получаем
![]()
Характер изменения амплитуд диктуется функцией sin х / х и не зависит от частоты следования импульсов. На частотах, кратных 2π / τ, огибающая спектра равна нулю.
На рис.1.6 приведена диаграмма спектра амплитуд для случая
Τ / τ = 3 [ω1 = 2π / (3τ)]. Число составляющих в спектре бесконечно велико. Крутизна фронтов импульсов обусловлена наличием в спектре составляющих с частотами, существенно превышающими основную частоту ω1.

Опираясь на формулу (1.29) и принимая во внимание, что знаки функции sin(kw1
/ 2) на последовательности интервалов частот Δω = 2π / τ чередуются, выражение для спектра фаз запишем следующим образом:
![]()
где n - номер интервала частот
ω = 2π / τ, отсчитываемого от ω = 0.
Спектр фаз зависит от выбора начала отсчета. Если передний фронт прямоугольного импульса последовательности приходится на начало отсчета времени, то на каждом интервале Δω = 2π / τ фазы составляющих возрастают линейно. Диаграмма спектра фаз последовательности прямоугольных импульсов для этого случая (Τ / τ = 3, t1 = 0) показана на рис.1.7
Пример 1.2 Вычислить несколько первых членов ряда Фурье для периодической последовательности прямоугольных импульсов и проследить, как их гумма сходится к указанному сигналу.
Воспользуемся результатами предыдущего примера для случая широко используемой на практике периодической последовательности импульсов, у которых длительность τ равна половине периода Т. Примем также t1 = 0.
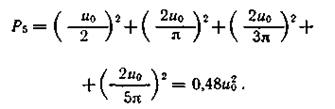
По формуле (1.32) определим постоянную составляющую, а по формулам (1.30) и (1.33) - амплитуды и фазы пяти первых гармоник. Данные расчетов сведены в табл.1.1 Четные гармоники в табл.1.1 не указаны, так как они равны нулю.
Таблица 1.1

Суммируя указанные составляющие, получим последовательность импульсов (рис.1.8), отличающихся от прямоугольных в основном недостаточно высокой крутизной фронтов.
Отметим, что крутизна фронтов импульсов обусловлена наличием в их спектре составляющих с частотами, многократно превышающими основную частоту.
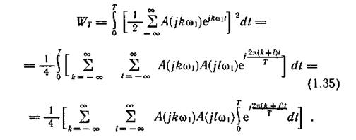
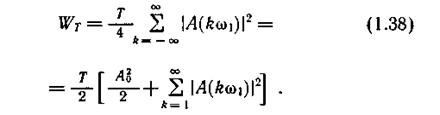
Распределение энергии в спектре. Рассмотрим, как распределяется энергия сложного периодического сигнала u(t) по его спектральным составляющим. Под временной функцией u(t) будем подразумевать электрическое напряжение на резисторе в 1 Ом. Энергия WT, выделяемая на этом резисторе за время, равное периоду колебаний Т,

Используя спектральное представление u(t) в виде ряда Фурье (1.15), получим

Определим значения интегралов в выражении (1.35):

Так как A(jkw1) и А(-jkw1) комплексно сопряжены, то
![]()
С учетом (1.28) и (1.29) выражение для WT существенно упрощается:

Из (1.38) следует, что средняя за период энергия сложного периодического сигнала равна сумме средних энергий, выделяемых на резисторе в 1 Ом каждой его гармоникой в отдельности (включая постоянную составляющую).
С течением времени выделяемая энергия безгранично растет, при этом средняя мощность остается постоянной:

Важно отметить, что она не зависит от фаз отдельных гармоник и, следовательно, будет сохранять свое значение при изменениях формы сигнала, обусловленных нарушениями фазовых соотношений гармоник спектра.
Пример 1.3 Определим, какая часть средней мощности, выделяемой на резисторе с сопротивлением в 1 Ом, периодической последовательностью прямоугольных импульсов с параметрами из примера 1.2 приходится на пять первых гармоник и постоянную составляющую.
Значения амплитуд составляющих определены ранее (см. табл.11). Подставляя их в (1.39), для средней мощности Р5 сигнала, включающего указанные составляющие, получим

Так как средняя мощность последовательности прямоугольных импульсов при τ= Т / 2 равна 0,5
, то искомая часть составляет 96% от этой мощности.
Область частот, в которой сосредоточена подавляющая часть мощности периодического сигнала, называют практической шириной его спектра. Если не предъявляется жестких требований относительно крутизны фронтов импульсов (см. пример 1 2), расширение этой области нецелесообразно.
Спектры непериодических сигналов. Любой физически реализуемый сигнал ограничен во времени и обладает конечной энергией. Функции, отображающие реальные сигналы, удовлетворяют условиям Дирихле и абсолютно интегрируемы, т.е.

где M - конечная величина.
Модели таких сигналов также могут быть представлены совокупностью гармонических составляющих в соответствии с выражением (1.2). Конкретный вид спектрального преобразования для непериодического сигнала получим, проследив изменения, происходящие в спектре периодической последовательности импульсов u1(t) при увеличении периода их повторения.
В соответствии с формулой (1.30), которая справедлива для любого значения периода Т, абсолютные значения амплитуд спектральных составляющих в (1.27) при увеличении периода уменьшаются. Так как частоты составляющих спектра кратны основной частоте, то при ее уменьшении линии на спектральной диаграмме сближаются.
Спектральное представление для одиночного импульса u(t) получим как следствие увеличения периода сигнала u1(t) до бесконечности.
Пару преобразований Фурье для периодической функции u1(t) запишем в форме (1.15) и (1.16):

При T
u1(t) переходит в u(t), частота ω1 уменьшается до dw, а kw1 превращается в текущую частоту ω. Заменяя суммирование интегрированием, находим

Обозначив интеграл в квадратных скобках S(jω), получим формулы для прямого и обратного интегрального преобразования Фурье:

Величину S(jω) называют комплексной спектральной плотностью или спектральной характеристикой. Она имеет размерность [амплитуда / частота]. На каждой конкретной частоте амплитуда соответствующей составляющей равна нулю. Сравнивая (1.15) и (1.42), находим, что бесконечно малому интервалу частоты dω соответствует составляющая с бесконечно малой комплексной амплитудой dA(jw):

Сравнение выражения (1.41) для спектральной характеристики функции u(t), заданной на интервале времени
, с формулой (1.17) для огибающей комплексного спектра такой же функции, периодически продолжающейся во времени, показывает, что они различаются только множителем:

Поэтому по известной спектральной характеристике одиночного импульса легко построить линейчатый спектр их периодической последовательности. Соотношением (1.44) объясняется и тот факт, что для различных представлений спектральной характеристики имеют место формулы, весьма похожие на (1.18) - (1.24).
Как комплексная величина спектральная характеристика может быть записана в виде

где S(ω) = |S(jω) | называется спектральной плотностью амплитуд или спектром непериодического сигнала.
Так как составляющие расположены на всех частотах, то спектр непериодического сигнала является непрерывным или сплошным. Представим спектральную характеристику состоящей из действительной и мнимой частей:

где

Модуль спектральной характеристики S(ω) определяется выражением

и представляет собой четную функцию частоты.
Для фазы спектральной характеристики S(jω) соответственно получаем
![]()
Так как из (1.42) и (1.43) следует, что A(ω) - четная функция частоты, а B(ω) - нечетная, то функция φ(ω) относительно частоты нечетна.
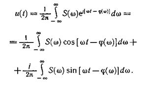
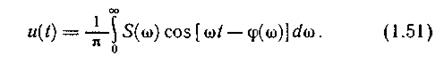
Комплексная форма интегрального преобразования Фурье легко приводится к тригонометрической:

Второй член в связи с нечетностью подынтегрального выражения равен нулю. Окончательно имеем

Преимущество тригонометрической формы записи Фурье-преобразования заключается в возможности некоторого физического толкования с использованием идеализации, не очень далеких от реальности.
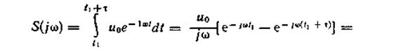
Пример 1.4 Найти спектр одиночного прямоугольного импульса, описываемого функцией времени (рис.1.9):

Выражение для спектральной характеристики амплитуд находим в соответствии с (1.41)


Искомый спектр представляет собой модуль этого выражения:

Спектр одиночного прямоугольного импульса (рис.1.10), естественно [см. (1.44)], имеет ту же форму, что и огибающая периодической последовательности таких импульсов (см. рис.1.6).

Пример 1.5 Определить спектр дельта-функции [см. соотношения (1.10) и рис.1.3].
Запишем выражение для спектральной характеристики Sd(jw) дельта-функции, сосредоточенной в точке
:

В соответствии с (1.11) имеем
![]()
откуда модуль спектральной характеристики
![]()
Следовательно, дельта-функции соответствует сплошной равномерный спектр, включающий в себя составляющие бесконечно больших частот (рис.1.11). При ξι = 0 начальные фазы всех составляющих равны нулю.
Распределение энергии в спектре. Рассмотрим непериодический сигнал u(t), физическим представлением которого будем считать электрическое напряжение на резисторе с сопротивлением в 1 Ом.
Тогда энергия, выделяемая на этом резисторе

В предположении, что интеграл (1.54) сходится, выразим энергию через модуль спектральной характеристики S(ω) сигнала u(t). Квадрат этого модуля запишем в виде
![]()
где
![]()
функция, комплексно-сопряженная спектральной характеристике S(jω) сигнала u(t). Тогда

После изменения последовательности интегрирования и использования обратного преобразования Фурье (1.42) получим

Окончательно имеем

Соотношение (1.56) известно как равенство Парсеваля. Оказывается, что энергию, выделяемую непериодическим сигналом за время его существования, можно определить, интегрируя квадрат модуля его спектральной характеристики в интервале частот.
Каждое из бесконечно малых слагаемых (1/π) |S(ω) |2dω, соответствующих бесконечно малым участкам спектра, характеризует энергию, приходящуюся на спектральные составляющие сигнала, сосредоточенные в полосе частот от ω до ω + dω.
§ 1.5 Соотношения между длительностью импульсов и шириной их спектров
Анализируя спектр одиночного прямоугольного импульса (см. рис.1.10), можно установить, что при увеличении его длительности τ от 0 до
спектр сокращается от безграничного (у дельта-функции) до одной спектральной линии в начале координат, соответствующей постоянному значению сигнала. Это свойство сокращения ширины спектра сигнала при увеличении его длительности и наоборот справедливо для сигналов любой формы. Оно вытекает непосредственно из особенностей прямого и обратного интегрального преобразования Фурье, у которых показатель степени экспоненциальной функции в подынтегральных выражениях имеет переменные t и ω в виде произведения.
Рассмотрим функцию u(t) определенной продолжительности и функцию u(
t), длительность которой при λ>1 будет в λ раз меньше. Считая, что u(t) имеет спектральную характеристику S(jω), найдем соответствующую характеристику S
(jω) для u(
t):

где
=λt.
Следовательно, спектр укороченного в λ раз сигнала ровно в λ раз шире. Коэффициент l / λ перед S(jω / λ) изменяет только амплитуду гармонических составляющих и на ширину спектра не влияет.
Другой важный вывод, также являющийся прямым следствием Фурье-преобразования, заключается в том, что длительность сигнала и ширина его спектра не могут быть одновременно ограничены конечными интервалами: если длительность сигнала ограничена, то спектр его неограничен, и, наоборот, сигнал с ограниченным спектром длится бесконечно долго. Справедливо соотношение
![]()
где Δt - длительность импульса; Δf - ширина спектра импульса; С - постоянная величина, зависящая от формы импульса (при ориентировочных оценках обычно принимают С=1).
Реальные сигналы ограничены во времени, генерируются и передаются устройствами, содержащими инерционные элементы (например, емкости и индуктивности в электрических цепях), и поэтому не могут содержать гармонические составляющие сколь угодно высоких частот.
В связи с этим возникает необходимость ввести в рассмотрение модели сигналов, обладающие как конечной длительностью, так и ограниченным спектром. При этом в соответствии с каким-либо критерием дополнительно ограничивается либо ширина спектра, либо длительность сигнала, либо оба параметра одновременно. В качестве такого критерия используется энергетический критерий, согласно которому практическую длительность Тп и практическую ширину спектра wп выбирают так, чтобы в них была сосредоточена подавляющая часть энергии сигнала.
Для сигналов, начинающихся в момент времени t0 = О, практическая длительность определяется из соотношения

где η - коэффициент, достаточно близкий к 1 (от 0,9 до 0,99 в зависимости от требований к качеству воспроизведения сигнала).
Принимая во внимание равенство Парсеваля (1.56), для практической ширины спектра сигнала соответственно имеем

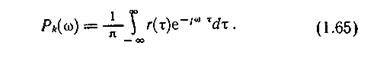
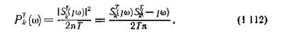
§ 1.6 Спектральная плотность мощности детерминированного сигнала
Величина
, характеризующая распределение энергии по спектру сигнала и называемая энергетической спектральной плотностью, существует лишь для сигналов, У которых энергия за бесконечный интервал времени конечна и, следовательно, к ним применимо преобразование Фурье.
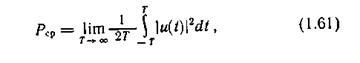
Для незатухающих во времени сигналов энергия бесконечно велика и интеграл (1.54) расходится. Задание спектра амплитуд невозможно. Однако средняя мощность Рср, определяемая соотношением

оказывается конечной. Поэтому применяется более широкое понятие "спектральная плотность мощности". Определим ее как производную средней мощности сигнала по частоте и обозначим Ρk(ω):

Индексом k подчеркивается, что здесь мы рассматриваем спектральную плотность мощности как характеристику детерминированной функции u(t), описывающей реализацию сигнала.
Эта характеристика сигнала менее содержательна, чем спектральная плотность амплитуд, так как лишена фазовой информации [см. (1.38)]. Поэтому однозначно восстановить по ней исходную реализацию сигнала невозможно. Однако отсутствие фазовой информации позволяет применить это понятие к сигналам, у которых фаза не определена.
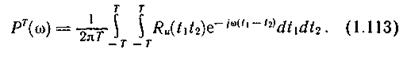
Для установления связи между спектральной плотностью Ρk(ω) и спектром амплитуд воспользуемся сигналом u(t), существующим на ограниченном интервале времени (-T<. t<T). К такому сигналу применимо равенство Парсеваля (1.56). Из сравнения (1.62) с правой частью соотношения (1.56) следует

где
- спектральная плотность мощности сигнала, ограниченного во времени.
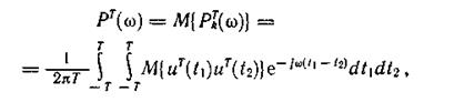
В дальнейшем будет показано (см. § 1.11), что, усредняя эту характеристику по множеству реализаций, можно получить спектральную плотность мощности для большого класса случайных процессов.
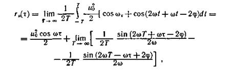
§ 1.7 Функция автокорреляции детерминированного сигнала
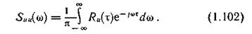
Теперь в частотной области имеется две характеристики: спектральная характеристика и спектральная плотность мощности. Спектральной характеристике, содержащей полную информацию о сигнале u(t), соответствует преобразование Фурье в виде временной функции. Выясним, чему соответствует во временной области спектральная плотность мощности, лишенная фазовой информации.
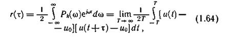
Следует предположить, что одной и той же спектральной плотности мощности соответствует множество временных функций, различающихся фазами. Советским ученым Л.Я. Хинчиным и американским ученым Н. Винером практически одновременно было найдено обратное преобразование Фурье от спектральной плотности мощности:

где

Обобщенную временную функцию r(t), не содержащую фазовой информации, назовем временной автокорреляционной функцией. Она показывает степень связи значений функции u(t), разделенных интервалом времени t, и может быть получена из статистической теории путем развития понятия коэффициента корреляции. Отметим, что во временной функции корреляции усреднение проводится по времени в пределах одной реализации достаточно большой продолжительности.
Справедливо и второе интегральное соотношение для пары преобразования Фурье:

Пример 1.6 Определить временную функцию· автокорреляции гармонического сигнала u(t) = u0 cos(wt-φ). В соответствии с (1.64)

Проведя несложные преобразования

окончательно имеем
![]()
Как и следовало ожидать, ru(t) не зависит от φ и, следовательно, (1.66) справедливо для целого множества гармоник, различающихся фазами.
§ 1.8 Случайный процесс как модель сигнала
Рассмотренные математические модели детерминированных сигналов являлись известными функциями времени. Их использование позволяет успешно решать задачи, связанные с определением реакций конкретных систем на заданные входные сигналы. Случайные составляющие, всегда имеющие место в реальном входном сигнале, считают при этом пренебрежимо малыми и не принимают во внимание.
Однако единственная точно определенная во времени функция не может служить математической моделью сигнала при передаче и преобразовании информации. Поскольку получение информации связано с устранением априорной неопределенности исходных состояний, однозначная функция времени только тогда будет нести информацию, когда она с определенной вероятностью выбрана из множества возможных функций. Поэтому в качестве моделей сигнала используется случайный процесс. Каждая выбранная детерминированная функция рассматривается как реализация этого случайного процесса.
Необходимость применения статистических методов исследования диктуется и тем, что в большинстве практически важных случаев пренебрежение воздействием помехи в процессах передачи и преобразования информации недопустимо. Считается, что воздействие помехи на полезный сигнал проявляется в непредсказуемых искажениях его формы. Математическая модель помехи представляется также в виде случайного процесса, характеризующегося параметрами, определенными на основе экспериментального исследования. Вероятностные свойства помехи, как правило, отличны от свойств полезного сигнала, что и лежит в основе методов их разделения.
Учитывая, что все фундаментальные выводы теории информации базируются на указанном статистическом подходе при описании сигналов (и помех), уточним основные характеристики случайного процесса как модели сигнала.
Под случайным (стохастическим) процессом подразумевают такую случайную функцию времени U(t), значения которой в каждый момент времени случайны. Конкретный вид случайного процесса, зарегистрированный в определенном опыте, называют реализацией случайного процесса. Точно предсказать, какой будет реализация в очередном опыте, принципиально невозможно. Могут быть определены лишь статистические данные, характеризующие все множество возможных реализаций, называемое ансамблем. Ценность таких моделей сигналов в том, что появляется возможность судить о поведении информационной системы не по отношению к конкретной реализации, а по отношению ко всему ансамблю возможных реализаций.
Основными признаками, по которым классифицируются случайные процессы, являются: пространство состояний, временной параметр и статистические зависимости между случайными величинами U(ti) в разные моменты времени ti.
Пространством состояний называют множество возможных значений случайной величины U(ti). Случайный процесс, у которого множество состояний составляет континуум, а изменения состояний возможны в любые моменты времени, называют непрерывным случайным процессом. Если же изменения состояний допускаются лишь в конечном или счетном числе моментов времени, то говорят о непрерывной случайной последовательности.
Случайный процесс с конечным множеством состояний, которые могут изменяться в произвольные моменты времени, называют дискретным случайным процессом. Если же изменения состояний возможны только в конечном или счетном числе моментов времени, то говорят о дискретных случайных последовательностях.
Примеры реализаций указанных случайных процессов представлены на рис.1.1
Так как в современных информационных системах предпочтение отдается цифровым методам передачи и преобразования информации, то непрерывные сигналы с датчиков, как правило, преобразуются в дискретные, описываемые дискретными случайными последовательностями. Вопросы такого преобразования рассмотрены в гл.2.
Среди случайных процессов с дискретным множеством состояний нас будут интересовать такие, у которых статистические зависимости распространяются на ограниченное число k следующих друг за другом значений. Они называются обобщенными марковскими процессами k-го порядка.
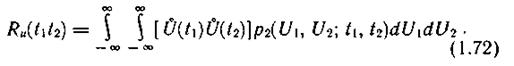
Вероятностные характеристики случайного процесса. В соответствии с определением случайный процесс U(t) может быть описан системой N обычно зависимых случайных величин U1 = U(t1),..., Ui= U(ti),..., UN = U(tN), взятых в различные моменты времени t1... ti... tN. При неограниченном увеличении числа N такая система эквивалентна рассматриваемому случайному процессу U(t).
Исчерпывающей характеристикой указанной системы является N-мерная плотность вероятности pN(U1,..., Ui,..., UN; t1,..., tN). Она позволяет вычислить вероятность РN реализации, значения которой в моменты времени t1,t2,...,tN будут находиться соответственно в интервалах (u1, u1+Δu1),..., (ui, ui+
ui),..., (uN, uN +
uN), где ui(1
) - значение, принимаемое случайной величиной Ui, (рис.1.12).

Если Δui, выбраны достаточно малыми, то справедливо соотношение
![]()
Получение N-мерной плотности вероятности на основе эксперимента предполагает статистическую обработку реализаций, полученных одновременно от большого числа идентичных источников данного случайного процесса. При больших N это является чрезвычайно трудоемким и дорогостоящим делом, а последующее использование результатов наталкивается на существенные математические трудности.
На практике в таком подробном описании нет необходимости. Обычно ограничиваются одно - или двумерной плотностью вероятности.
Одномерная плотность вероятности p1(U1; t1) случайного процесса U(t) характеризует распределение одной случайной величины U1, взятой в произвольный момент времени t1. В ней не находит отражения зависимость случайных величин в различные моменты времени.
Двумерная плотность вероятности p2 = p2(U1, U2; t1, t2) позволяет определить вероятность совместной реализации любых двух значений случайных величин U1 и U2 в произвольные моменты времени t1 и t2 и, следовательно, оценить динамику развития процесса. Одномерную плотность вероятности случайного процесса U(t) можно получить из двумерной плотности, воспользовавшись соотношением

Использование плотности вероятности даже низших порядков в практических приложениях часто приводит к неоправданным усложнениям. В большинстве случаев оказывается достаточно знания простейших характеристик случайного процесса, аналогичных числовым характеристикам случайных величин. Наиболее распространенными из них являются моментные функции первых двух порядков: математическое ожидание и дисперсия, а также корреляционная функция.
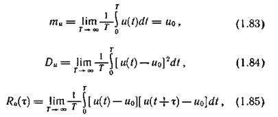
Математическим ожиданием случайного процесса U(t) называют неслучайную функцию времени mu(t1), которая при любом аргументе t1 равна среднему значению случайной величины U(t\) по всему множеству возможных реализаций:

Степень разброса случайных значений процесса U(t1) от своего среднего значения mu(t1) для каждого t1 характеризуется дисперсией Du(t1):
![]()
где
(t1) = U(t1) - mu(t1) - центрированная случайная величина.
Дисперсия Du(t1) в каждый момент времени t1 равна квадрату среднеквадратического отклонения su(t1):
![]()
Случайные процессы могут иметь одинаковые математические ожидания и дисперсии (рис.1.13, а, б), однако резко различаться по быстроте изменений своих значений во времени.
![]()
Для оценки степени статистической зависимости мгновенных значений процесса U(t) в произвольные моменты времени t1 и t2 используется неслучайная функция аргументов Ru(t1,t2), называемая автокорреляционной или просто корреляционной функцией.
При конкретных аргументах t1 и t2 она равна корреляционному моменту значений процесса U(t1) и U(t2):
![]()
Через двумерную плотность вероятности выражение (1.71) представляется в виде

В силу симметричности этой формулы относительно аргументов справедливо равенство
![]()
Для сравнения различных случайных процессов вместо корреляционной функции удобно пользоваться нормированной функцией автокорреляции:

Из сравнения (1.69) и (1.70) следует, что при произвольном t1 = t2 автокорреляционная функция вырождается в дисперсию:
![]()
а нормированная функция автокорреляции равна единице:
![]()
Следовательно, дисперсию случайного процесса можно рассматривать как частное значение автокорреляционной функции.
Аналогично устанавливается мера связи между двумя случайными процессами U(t) и V(t). Она называется функцией взаимной корреляции:
![]()
§ 1.9 Стационарные и эргодические случайные процессы
Случайные процессы различаются по степени однородности протекания их во времени. В общем случае процесс может иметь определенную тенденцию развития и характеристики, зависящие от начала отсчета времени. Такие случайные процессы называются нестационарными.
Для описания сигнала математическая модель в виде нестационарного случайного процесса подходит наилучшим образом, но неконструктивна в силу своей чрезмерной сложности.
Поэтому очень часто вводят предположение о стационарности случайного процесса, что позволяет существенно упростить математический аппарат исследования.
Случайный процесс называют стационарным в узком смысле, если выражения для плотностей вероятности не зависят от начала отсчета времени, т.е. справедливо соотношение

где U
-случайная величина, отражающая значение процесса в момент времени t = ti + τ(τ - произвольное число).
Иначе говоря, стационарность процесса предполагает его существование и статистическую однородность во всем диапазоне времени от -
до +
.
Такое предположение противоречит физическим свойствам реальных сигналов, в частности тому, что всякий реальный сигнал существует лишь в течение конечного отрезка времени. Однако аналогично установившимся детерминированным процессам случайные процессы, протекающие в установившемся режиме системы при неизменных внешних условиях на определенных отрезках времени, с известным приближением можно рассматривать как стационарные.
При решении многих технических задач идут на дальнейшее упрощение модели, рассматривая случайный процесс стационарным в широком смысле. Процесс U(t) принято называть стационарным в широком смысле, если выполняется условие постоянства математического ожидания и дисперсии, а корреляционная функция не зависит от начала отсчета времени и является функцией только одного аргумента τ = t2 - t1, т.е.

Так как условие постоянства дисперсии является частным случаем требования к корреляционной функции при τ = 0:
![]()
то выполнения соотношений (1.79) и (1.81) достаточно, чтобы рассматривать случайный процесс U(t) как стационарный.
Всякий стационарный случайный процесс является стационарным в широком смысле. В дальнейшем, если это не оговорено особо, стационарность будем рассматривать в широком смысле.
Случайные процессы, наблюдаемые в устойчиво работающих реальных системах, имеют конечное время корреляции. Поэтому для стационарных процессов, представляющих практический интерес, справедливо соотношение
![]()
Если для случайного процесса равенства (1.79), (1.81) не выдерживаются, но на интересующем нас интервале времени изменением указанных параметров можно пренебречь, его называют квазистационарным.
Среди стационарных случайных процессов многие удовлетворяют свойству эргодичности. Оно проявляется в том, что каждая реализация случайного процесса достаточной продолжительности несет практически полную информацию о свойствах всего ансамбля реализаций, что позволяет существенно упростить процедуру определения статистических характеристик, заменяя усреднение значений по ансамблю реализаций усреднением значений одной реализации за длительный интервал времени.
Следовательно, для стационарных эргодических процессов справедливы соотношения

где u(t) - конкретная реализация случайного процесса U(t).
Результаты исследования случайных процессов в их временном представлении, т.е. с использованием формул (1.83) и (1.85), лежат в основе корреляционной теории сигналов.
Для облегчения практического определения корреляционных функций в соответствии с (1.85) серийно выпускаются специальные вычислительные устройства - коррелометры (корреляторы).
§ 1.10 Спектральное представление случайных сигналов
В § 1.2 была показана эффективность представления детерминированных сигналов совокупностью элементарных базисных сигналов для облегчения анализа прохождения их через линейные системы. Аналогичный подход может быть использован и в случае сигналов, описываемых случайными процессами [21].
Рассмотрим случайный процесс U(t), имеющий математическое ожидание mu(t). Соответствующий центрированный случайный процесс
(t) характеризуется в любой момент времени t1 центрированной случайной величиной
(t1):
![]()
Центрированный случайный процесс
(t) можно, как и ранее [см. (1.1)], выразить в виде конечной или бесконечной суммы ортогональных составляющих, каждая из которых представляет собой неслучайную базисную функцию jk(t) с коэффициентом Ck, являющимся случайной величиной. В результате имеем разложение центрированного случайного процесса ![]()
(t):
![]()
![]()
Случайные величины Сk называются коэффициентами разложения. В общем случае они статистически зависимы, и эта связь задается матрицей коэффициентов корреляции
. Математические ожидания коэффициентов разложения равны нулю. Неслучайные базисные функции принято называть координатными функциями.
Для конкретной реализации коэффициенты разложения являются действительными величинами и определяются по формуле (1.7).
Предположив, что

детерминированную функцию mu(f) в (1.86) на интервале - T<t<. T также можно разложить по функциям φk(t), представив в виде

Подставляя (1.87 а) и (1.876) в (1.86) для случайного процесса U(t) с отличным от нуля средним, получим
![]()
Выражение случайного процесса в виде (1.87 в) позволяет существенно упростить его линейные преобразования, поскольку они сводятся к преобразованиям
детерминированных функций [mu(t),
jk(t)], а коэффициенты разложения, являющиеся случайными величинами, остаются неизменными.
Чтобы определить требования к координатным функциям, рассмотрим корреляционную функцию процесса
(t), заданную разложением

Так как

то

Соотношение (1.88) становится значительно проще, если коэффициенты {Ck} некоррелированы (Rkl = 0 при k
l, Rkl = 1 при k = l):
![]()
В частности, при t1 = t2 = t получим дисперсию случайного процесса U(t):
![]()
Поэтому целесообразно выбирать такие координатные функции, которые обеспечивают некоррелированность случайных величин {Сk}. Разложение (1.87), удовлетворяющее этому условию, называют каноническим разложением.
Доказано [21], что по известному каноническому разложению корреляционной функции случайного процесса можно записать каноническое разложение самого случайного процесса с теми же координатными функциями, причем дисперсии коэффициентов этого разложения будут равны дисперсиям коэффициентов разложения корреляционной функции.
Таким образом, при выбранном наборе координатных функций центрированный случайный процесс характеризуется совокупностью дисперсий коэффициентов разложения, которую можно рассматривать как обобщенный спектр случайного процесса.
В каноническом разложении (1.87) этот спектр является дискретным (линейчатым) и может содержать как конечное, так и бесконечное число членов (линий).
Однако используются и интегральные канонические разложения в форме (1.2). В этом случае мы имеем непрерывный спектр, представляемый спектральной плотностью дисперсии.
Основным препятствием к широкому практическому использованию канонических разложений случайных процессов является сложность процедуры нахождения координатных функций. Однако для ряда стационарных случайных процессов эта процедура вполне приемлема.
§ 1.11 Частотное представление стационарных случайных сигналов
Дискретные спектры. Корреляционную функцию Ru(t) (рис.1.14) стационарного случайного процесса, заданного на конечном интервале времени [-Т, Т], можно разложить в ряд Фурье (1.15), условно считая ее периодически продолжающейся с периодом 4T (при - T<. t1, t2<T, - 2Τ<τ<2Τ):

где


Учитывая, что Ru(t) является четной функцией, имеем

Положив τ = t1 - t2, находим
![]()
что согласно (1.89) представляет собой каноническое разложение корреляционной функции. По нему, как было указано ранее, получаем каноническое разложение случайного процесса:

причем
![]()
Выражение (1.95) записано для случайного процесса с нулевой постоянной составляющей, что характерно для многих реальных сигналов. В общем случае в правую часть этого выражения необходимо добавить постоянную величину, соответствующую математическому ожиданию случайного процесса (mu). Корреляционная функция при этом не изменяется.
Очевидно, что при попарном объединении экспоненциальных составляющих с одинаковыми положительными и отрицательными индексами k каноническое разложение (1.95) приводится к тригонометрической форме.
Таким образом, стационарный случайный процесс на ограниченном интервале времени можно представить совокупностью гармонических составляющих различных частот с амплитудами, являющимися некоррелированными случайными величинами, математические ожидания которых равны нулю:

где

На спектральной диаграмме такого процесса каждой гармонике ставится в соответствие вертикальный отрезок, длина которого пропорциональна дисперсии ее амплитуды, а расположение на оси абсцисс отвечает частоте (рис.1.15).

Чтобы получить описание стационарного случайного процесса в точном смысле, т.е. справедливое для любого момента времени на бесконечном интервале -
<t<
, необходимо перейти к интегральному каноническому разложению.
Непрерывные спектры. Интегральное каноническое разложение для корреляционной функции получим из формулы (1.91) путем предельного перехода при Т
. Увеличение интервала времени, на котором наблюдается случайный процесс, сопровождается уменьшением значений дисперсий, что следует из (1.92), а также сокращением расстояния между спектральными линиями, поскольку
![]()
При достаточно большом, но конечном Т можно записать выражение для средней плотности распределения дисперсии по частоте:
S
(wk) = Dk / (Δω) = 2DkT /
(k = 0,±l, ±2,.) (1.98)
где S
(wk) - средняя плотность дисперсии на участке, прилегающем к частоте ωk.
Теперь можно преобразовать формулы (1.94) и (1.98) к виду

Переходя к пределу при Т
, получаем

где
![]()
Так как величина S
(ωk) Δω являлась не только дисперсией Dk коэффициента разложения корреляционной функции Ru(t), но и дисперсией D [Ck] коэффициента разложения случайного процесса U(t), то величина Suu(w) dw, полученная в результате предельного перехода при Т
, представляет собой дисперсию, приходящуюся на спектральные составляющие стационарного случайного процесса, занимающие бесконечно малый интервал частот (ω, ω+ dw). Функцию Suu(w), характеризующую распределение дисперсии случайного процесса по частотам, называют спектральной плотностью стационарного случайного процесса U(t).
Выражение для интегрального канонического разложения корреляционной функции Ru(t) найдем, положив в формуле (1.101) τ = t1 - t2:
![]()
Обозначив G
(w) = Сk / (
w) и повторив процедуру предельного перехода при T
для соотношения (1.95), получим каноническое разложение стационарной случайной функции U(t):

где дисперсией случайной функции G(w) dwявляется функция Suu(w) dw.
Поскольку понятие спектральной плотности стационарного случайного процесса играет большую роль при исследовании преобразования сигналов линейными системами, уточним ее свойства и физический смысл.
Основные свойства спектральной плотности. Отметим, что в формулах (1.101) и (1.102) Suu(w) определена как для положительных, так и для отрицательных частот. Перейдем к одностороннему спектру, ограничиваясь только положительными частотами. Воспользовавшись формулой Эйлера, представим соотношение (1.102) состоящим из двух слагаемых:

В силу четности функции Ru(t) второе слагаемое равно нулю, а первое можно преобразовать к виду

Из (1.105) следует, что Suu(w) является действительной и четной функцией, т.е.
![]()
Это позволяет ограничиться положительными частотами и в (1.101):

Соотношения (1 101) и (1.102), а также (1.105) и (1.107) являются парами интегрального преобразования Фурье, причем (1.105) и (1.107) для случая четной функции. Поэтому корреляционная функция и спектральная плотность подчинены закономерности: чем протяженнее кривая Suu(ω), тем уже корреляционная функция Ru(t) (тем меньше время корреляции), и наоборот.
Площадь, ограниченная непрерывной кривой Suu(w) на спектральной диаграмме, очевидно, должна равняться дисперсии Du случайного процесса U(t). Действительно, положив в формуле (1.107) τ = 0, получим

Подразумевая под случайным процессом U(t) напряжение, Du можно рассматривать как среднюю мощность, выделяемую этим напряжением на резисторе с сопротивлением в 1 Ом:
![]()
Следовательно, величина
![]()
представляет собой долю средней мощности, выделяемой составляющими спектра, относящимися к интервалу частот (ω, ω + dw).
В связи с этим спектральную плотность Suu(w) называют еще спектральной плотностью мощности, а также энергетическим спектром стационарного случайного процесса, поскольку Suu(w) имеет размерность энергии.
Спектральная плотность мощности случайного процесса является средней характеристикой множества реализаций. Ее можно получить и путем усреднения спектральной мощности реализации Ρk(ω) (1.62) по множеству реализаций.
Рассмотрим с этой целью одну реализацию u
(t) стационарного случайного процесса U(t) сначала на ограниченном интервале времени - T<t<. T. Для нее можно записать преобразование Фурье:

В соответствии с (1.63) спектральная плотность мощности этой реализации

Найдем среднее значение Ρ
(ω) по множеству реализации k. Имеем

или

Так как мы предполагаем, что случайный процесс U(t) стационарный, то
![]()
где t1 - t2 = τ.
При выполнении условия (1.114) для выражения (1.113) существует предел при T
:

что и требовалось показать.
Пример 1.7 У центрированного стационарного случайного процесса спектральная плотность постоянна. Рассмотреть особенности такого процесса.
Пусть спектральная плотность Suu(ω) ограничена определенной полосой частот (рис.1.16, а):

В соответствии с (1.107) найдем автокорреляционную функцию процесса U(t):

Вид функции Ru(t) приведен на рис.1.16,6. Значение ее при τ = 0 равно дисперсии, а следовательно, средней мощности рассматриваемого процесса:
![]()
Будем теперь расширять полосу частот, занимаемую энергетическим спектром (рис.1.17, а). Интервал времени, на котором наблюдается существенная корреляционная связь значений процесса, при этом уменьшается, а дисперсия Du возрастает.
При w0
дисперсия становится безграничной, а корреляционная функция принимает вид дельта-функции (рис.1.17,6).

Идеализированный случайный процесс, энергетический спектр которого безграничен и равномерен, известен как "белый шум". Такое название возникло по аналогии с белым светом, имеющим равномерный и неограниченный спектр интенсивности. Основная особенность процесса в том, что его значения в любые два сколь угодно близкие моменты времени некоррелированы. Создать белый шум принципиально невозможно, так как реальные источники сигналов всегда имеют ограниченную мощность. Тем не менее, понятие "белый шум" нашло широкое применение в информационной технике. Такая модель может быть принята, например, для сигналов (шумов), имеющих равномерный энергетический спектр в пределах полосы пропускания входного блока системы, в которой они рассматриваются.
Иногда говорят о "реальном белом шуме", подразумевая стационарный случайный процесс с равномерным энергетическим спектром в пределах конечной, но достаточно широкой полосы частот.
Пример 1.8 Определить спектральную плотность мощности случайного процесса с линейно убывающей нормированной функцией автокорреляции (рис.1.18).

Аналитическое выражение нормированной корреляционной функции запишем в виде

Воспользовавшись соотношением (1.105) при р„ (0) = 1, получим
![]()
Раскрывая по правилу Лопиталя неопределенность выражения (1.119) при ω = 0, найдем
![]()
Несложный дополнительный анализ дает возможность определить форму кривой Suu(w) (рис.1. 19).
Контрольные вопросы
1. В чем относительность сигнала и помехи?
2. Охарактеризуйте основной метод исследования сигналов.
3. Что понимают под детерминированным сигналом?
4. Назовите различные формы представления моделей сигналов.
5. В чем сущность спектрального представления сигналов?
6. Запишите условия ортогональности и ортонормированности системы функций.
7. Назовите преимущества частотного представления сигналов.
8. Дайте определение спектру амплитуд и спектру фаз.
9. В чем различие спектров периодического и непериодического сигналов?
10. Дайте определение практической ширины спектра периодического и непериодического сигналов.
11. Как связаны между собой длительность сигнала и ширина его спектра?
12. Каковы причины использования случайного процесса в качестве модели сигнала?
13. Назовите разновидности случайных функций времени.
14. В чем трудности точного математического описания случайного процесса?
15. Как определить математическое описание, дисперсию и корреляционную функцию случайного процесса?
16. Поясните физический смысл корреляционной функции, перечислите ее свойства.
17. Какой случайный процесс называется центрированным?
18. Дайте определение стационарности случайного процесса в узком и широком смысле.
19. Сформулируйте условие эргодичности стационарного случайного процесса.
20. Каков физический смысл дисперсии стационарного случайного процесса, имеющего размерность тока или напряжения
21. Что подразумевается под каноническим разложением случайного процесса?
22. Как определяются дисперсии случайных коэффициентов разложения по корреляционной функции процесса?
23. Запишите соотношения, связывающие корреляционную функцию стационарного случайного процесса с его спектральной плотностью.
24. Сформулируйте основные свойства спектральной плотности стационарного случайного процесса.
25. Какой случайный процесс называют белым шумом и каковы его основные характеристики?


