| Похожие рефераты | Скачать .docx |
Реферат: Цифровая обработка сигналов
ВВЕДЕНИЕ
В ЦИФРОВУЮ ОБРАБОТКУ
СИГНАЛОВ
Содержание.
1. Дискретные сигналы
1.1. Дискретизация непрерывных сигналов
1.2. Связь спектров дискретных и непрерывных сигналов
1.3. Преобразование Фурье и Лапласа для дискретных сигналов
1.4. Z - преобразование
1.5. Основные теоремы Z - преобразования
1.6. Дискретное преобразование Фурье
2. Дискретные цепи
2.1. Разностное уравнение и дискретная цепь
2.2. Передаточная функция дискретной цепи
2.3. Общие свойства передаточной функции
2.4. Частотные характеристики
2.5. Импульсная характеристика. Свертка.
2.6. Круговая свертка
2.7. Энергия дискретного сигнала. Корреляция и энергетический спектр
2.8. Расчет энергии сигнала в дискретной цепи
2.9. Секционирование
3. Цифровые фильтры
3.1. Цифровая система обработки сигналов
3.2. Расчет не рекурсивных ЦФ общего вида
3.3. Схема и характеристики фильтров с линейной фазой
3.4. Общие свойства фильтров с линейной фазой
3.5. Расчет ЦФ с линейной фазой. Метод взвешивания.
3.6. Метод частотной выборки
3.7. Расчет рекурсивных фильтров. Метод билинейного преобразования
4. Эффекты конечной разрядности и их учет.
4.1. Шум квантования и шумовая модель
4.2. Расчет шумов квантования
4.3. Влияние структуры ЦФ на шум квантования
4.4. Квантование коэффициентов. Расчет разрядности.
4.5. Чувствительность
4.6. Масштабирование сигнала в цепи
4.7. Динамический диапазон ЦФ
4.8. Предельные циклы
5. Восстановление непрерывного сигнала
5.1. Характеристики ЦАП
5.2. Погрешности восстановления
Литература
Обсуждены основные положения теории дискретных сигналов и способы их обработки. Рассмотрены особенности цифровой реализации дискретных систем. Изложены методы расчета цифровых фильтров, получившие наибольшее распространение.
Эффекты конечной разрядности ЦФ и их учет рассмотрены применительно к системам с фиксированной запятой. Погрешности дискретизации и восстановления обсуждены на уровне необходимом для понимания вопроса.
Для технических факультетов.
1. Дискретные сигналы.
1.1 Дискретизация непрерывных сигналов.
Обработка сигналов на цифровых ЭВМ начинается с замены непрерывного сигнала X(t) на дискретную последовательность, для которой применяются такие обозначения
x(nT) , x(n) , xn , {x0 ; x1 ; x2 ; … } .
Дискретизация осуществляется электронным ключом (ЭК) через равные интервалы времени T (Рис. 1.1).

Дискретная последовательность аппроксимирует исходный сигнал X(t) в виде решетчатой функции X(nT). Частота переключения электронного ключа fд и шаг дискретизации T связаны формулой
fд = 1 / T . (1.1)
Дискретная последовательность или дискретный сигнал выражается через исходный непрерывный (аналоговый) сигнал следующим образом
x(nT) = x(t)
d(t - nT) , (1.2)
где d(t) - дискретная d - функция (Рис. 1.2, а),
d(t - nT) - последовательность d - функций (Рис. 1.2, б).

Погрешность, возникающую при замене аналогового сигнала дискретным сигналом, удобно оценить сравнивая спектры этих сигналов.
1.2. Связь спектров дискретного и непрерывного сигналов.
Исходное выражение для спектра дискретного сигнала с учетом (1.2) запишется следующим образом
X(jw) =
x(nT) e-j
w
t
dt =
x(t)
d(t - nT) e-j
w
t
dt .
Периодическую последовательность d - функций здесь можно разложить в ряд Фурье
d(t - nT) =
,
где с учетом формулы связи спектров периодического и непериодического сигналов
, поскольку Fd
(jw) = 1
После замены в исходном выражении периодической последовательности d - функций ее разложением в ряд Фурье получим
X(jw) =
x(t)(
) e-j
w
t
dt =
x(t)
e-j
w
t
dt .
Учитывая здесь теорему смещения спектров, т.е. :
если f(t) ® F(jw), то f(t)
® F[j(w±w0
)] ,
последнее равенство можно представить в виде формулы, выражающей связь спектров дискретного X(jw) и аналогового Xa (jw) сигналов
X(jw) =
Xa
[j(w -
)] . (1.3)
На основании формулы (1.3) с учетом поясняющих рисунков 1.3, а, б можно сделать следующие выводы :

1. Спектр дискретного сигнала состоит из суммы спектров исходного непрерывного сигнала, сдвинутых друг относительно друга по оси частот на величину равную частоте дискретизации wд
2. Спектры аналогового и дискретного сигналов совпадают в диапазоне частот [-0,5wд ; 0,5wд ], если удовлетворяется неравенство
wв Ј 0,5wд , (1.4)
где wв - верхняя частота спектра аналогового сигнала.
Равенство в (1.4) соответствует утверждению теоремы Котельникова о минимальной частоте wд .
1. Смежные спектры Xa (jw) в (1.3) частично перекрываются, если условие (1.4) не выполняется (Рис 1.3, б). В этом случае спектр дискретного сигнала искажается по отношению к спектру аналогового сигнала. Эти искажения являются неустранимыми и называются ошибками наложения.
2. Аналоговый сигнал можно восстановить полностью по дискретному сигналу с помощью ФНЧ, частота среза которого wс = 0,5wд . Это утверждение основано но совпадении спектров дискретного сигнала на выходе ФНЧ и непрерывного сигнала. Сигнал восстанавливается без искажений, если выполняется условие (1.4). в противном случае сигнал восстанавливается с искажениями, обусловленными ошибками наложения.
Выбор частоты дискретизации осуществляется в соответствии с (1.4). если частота wв не известна, то выбор из wд определяется расчетом по формуле (1.1), в которой интервал T выбирается приближенно с таким расчетом, чтобы аналоговый сигнал восстанавливался без заметных искажений плавным соединением отсчетов дискретного сигнала.
1.3 Преобразование Фурье и Лапласа для дискретных сигналов.
Для дискретных сигналов формулы Фурье и Лапласа представляется возможным упростить. Действительно, поскольку

то после перехода к дискретной переменной пара преобразований Фурье принимает вид

Здесь применяются формулы одностороннего преобразования Фурье, так как начало отсчета совмещается с началом действия дискретного сигнала.
Формулы Фурье для дискретных сигналов применяются в нормированном виде, поэтому после замены X(nT) ® X(nT) / T преобразование Фурье принимает окончательный вид
(1.5)
Формулы Лапласа для дискретных сигналов получаются на основании (1.5) после обобщения частоты на всю плоскость комплексного переменного, то есть jw® P = d + jw
(1.6)
1.4. Z - преобразование.
Эффективность частотного анализа дискретных сигналов существенно возрастает, если заменить преобразование Лапласа Z - преобразованием. В этом случае изображение сигнала X(p), которое представляет собой трансцендентную функцию переменной P = d + jw, заменяется Z - изображением сигнала X(Z), которое является рациональной функцией переменной Z = x + jy.
Формулы Z - преобразования получаются из формулы Лапласа (1.6) заменой переменных
epT = Z . (1.7)
Подстановка (1.7) и ее производной
dZ / dp = TepT
в (1.6) приводит к формулам прямого и обратного Z - преобразования
(1.8)
Точки на мнимой оси комплексного переменного p = d +jw, то есть точки p = jw, определяют реально частотные характеристики сигнала. Мнимой оси соответствует на плоскости Z единичная окружность, так как в этом случае согласно (1.7)
Z = ej
w
T
=
(1.9)
Поэтому непрерывному росту переменной на мнимой оси плоскости p = d + jw, соответствует многократный обход единичной окружности на плоскости z = x + jy (Рис. 1.4). Этим фактом объясняется, в частности, то обстоятельство, что интегрирование в формуле обратного z - преобразования (1.8) осуществляется вдоль единичной окружности плоскости z взамен интегрирования вдоль прямой параллельной мнимой плоскости p.
Учитывая вышеизложенное и формулы (1.7), (1.9) можно утверждать, что левая полуплоскость переменного p = d + jw отображается на плоскость единичного круга переменного z = x + jy, правая полуплоскость - на плоскость z за пределами единичного круга.

Подстановка (1.9) в z - изображение сигнала приводит к спектру этого сигнала, подстановка (1.7) дает изображение по Лапласу.
Пример. Определить спектр и построить графики модуля и аргумента спектральной плотности сигнала x(nT) = {a ; b} (Рис. 1.5, а).

Решение.
Z - изображение сигнала согласно (1.8)
X(Z) =
x(nT) Z-n
= x(0T) Z-0
+ x(1T) Z-1
= a + bZ-1
Отсюда подстановкой (1.9) определяем спектр сигнала
X(jw) = a + be-j w T .
Графики модуля и аргумента спектральной плотности приведены на рисунке 1.6, а, б на интервале частот [0 ; wд ].

Вне интервала частот [0 ; wд ] частотные зависимости повторяются с периодом wд .
1.5 Основные теоремы Z - преобразования.
Перечислим без доказательства теоремы z - преобразования, которые потребуются в последующих разделах.
1. Теорема линейности.
Если x(nT) = ax1 (nT) + bx2 (nT) ,
то X(Z) = a X1 (Z) + bX2 (Z).
2. Теорема запаздывания.
Если x(nT) = x1 (nT - QT) ,
то X(Z) = X1 (Z) Z-Q .
3. Теорема о свертке сигналов.
Если X(nT) =
x1
(kT) x2
(nT - kT) ,
то X(Z) = X1 (Z) X2 (Z).
4. Теорема об умножении сигналов.
Если x(nT) = x1 (nT) x2 (nT) ,
то X(Z) =
X1
(V) X2
(
) V-1
dV,
где V, Z - переменные на плоскости Z.
5. Теорема энергий (равенство Парсеваля).
x2
(nT) =
X(Z) X(Z-1
) Z-1
dZ.
Z - преобразование дискретных сигналов имеет значение равное значению преобразования Лапласа непрерывных сигналов.
1.6. Дискретное преобразование Фурье.
Если сигнал ограничен во времени значением tu , а его спектр - частотой wв , то он полностью характеризуется конечным числом отсчетов N как во временной, так и в частотной областях (Рис. 1.7, а, б) :
N = tu /T - во временной области, где T = 1/fд ,
N = fд /f1 - в частотной области, где f1 = 1/tu .

Дискретному сигналу соответствует периодический спектр, дискретному спектру будет соответствовать периодический сигнал. В этом случае отсчеты X(nT) = {X0 ; X1 ; … XN-1 } являются коэффициентами ряда Фурье периодической последовательности X(jkw1 ), период, который равен wд . Соответственно, отчеты X(jkw1 ) = {X0 ; X1 ; … XN-1 } являются коэффициентами ряда Фурье периодической последовательности X(nT), период, который равен tu .
Связь отсчетов сигнала и спектра устанавливается формулами дискретного преобразования Фурье (ДПФ). Формулы ДПФ следуют из формул Фурье для дискретных сигналов (1.5), если непрерывную переменную w заменить дискретной переменной kw1 , то есть
w® kw1 , dw®w1 .
После замены переменной в (1.5) получим
X(jkw1
) =
x(nT)
,
x(nT) =![]()
X(jkw1
)
.
Отсюда после подстановки w1 = wд /N, T = 2p/wд формулы ДПФ принимают окончательный вид
X(jkw1
) =
x(nT)
- прямое ДПФ ,
x(nT) =
X(jkw1
)
- обратное ДПФ (1.10)
Сигнал с ограниченным спектром имеет, строго говоря, бесконечную протяженность во времени и, соответственно бесконечное число отсчетов и непрерывный спектр. Спектр останется непрерывным, если число отсчетов сигнала ограничить конечным числом N. Формулы (1.10) в этом случае будут выражать связь между N отсчетами дискретного сигнала и N отсчетами его непрерывного спектра, который можно полностью восстановить по его отсчетам.
Пример. Определить отсчеты спектра сигнала на Рис. 1.5, а.
Здесь N = 2 поэтому X(jkw1
) =
x(nT) e-j
p
kn
следовательно
X(j0w1
) =
x(nT)e-j0
= x(0T) + x(1T) = a + b
X(j1w1
) =
x(nT)e-j
p
n
= x(0T) e-j0
+ x(1T) e-j
p
= a - b
график отсчетов спектра приведен на Рис. 1.5, б, где w1 = wд /N = 0,5wд .
Сигнал с конечным числом отсчетов N имеет спектр, который повторяет с конечной погрешностью спектр сигнала с бесконечным числом отсчетов : спектры совпадают на отсчетных частотах kw1 и отличаются на других частотах. Отличие спектров тем меньше, чем больше N. В самом деле, реальные сигналы обладают конечной энергией и, следовательно, начиная с некоторого номера отсчета остальными номерами можно пренебречь ввиду их малости, что не окажет заметного влияния на спектр сигнала.
Пример. Осуществить дискретизацию экспоненциального импульса X(t) = Ae- a t = 1 e-10t и сравнить спектры исходного и дискретного сигналов.
Решение.
График сигнала X(t) представлен на Рис. 1.8

Пусть T = 0,02с. В этом случае плавным соединением отсчетов сигнала (штриховая линия на Рис. 1.8) сигнал восстанавливается удовлетворительно хотя заметны искажения в окрестности точки t = 0, поэтому ошибки наложения будут некоторым образом влиять на спектральные характеристики.
Пусть tu = 0,4с. В этом случае
N = tu /T = 20.
Расчет спектра по формуле прямого ДПФ в точке w = 0 (k = 0) запишется так
X(j0w1 ) = 1,0 + 0,8187 + 0,6703 + 05488 + 0,4493 + 0,368 + 0,3012 + 0,2466 + 0,2019 + 0,1653 + 0,1353 + 0,1108 + 0,09072 + 0,07427 + 0,06081 + 0,04979 + 0,04076 + 0,03337 + 0,02732 + 0,02237 = 5,41
Истинное значение спектра в точке w = 0 можно определить зная спектр аналогового экспоненциального импульса
Xa
(jw) =
, следовательно Xa
(j0) =
= 0,1.
чтобы сравнить спектры дискретного и непрерывного сигналов, дискретный спектр необходимо денормировать умножением на T, так как формулы Фурье для дискретных сигналов применяются в нормированном виде. Поэтому
X(jow1 ) = 5,41 T = 5,42Ч0,02 = 0,1082.
Таким образом совпадение спектров Xa (jw) и X(jw) в точке w = 0 вполне удовлетворительное. Некоторая неточность объясняется влиянием ошибок наложения.
Уместно заметить, что выбор шага дискретизации достаточно контролировать в точках максимальной крутизны исходной функции X(t). В рассмотренном примере такой точкой является момент времени t = 0.
В заключение отметим, что формулы ДПФ упрощают расчетные процедуры по взаимному преобразованию сигналов и их спектров, что особенно важно для технических систем, функционирующих В реальном масштабе времени. В этих случаях применяется алгоритм быстрого преобразования Фурье (БПФ), основанный на формулах ДПФ. Ускоренная процедура расчетов по алгоритму БПФ достигается за счет исключения повторных арифметических операций, характерных для расчетов по формулам ДПФ.
2. Дискретные цепи.
2.1 Разностное уравнение и дискретная цепь.
Непрерывный сигнал на входе линейной системы x(t) и соответствующий сигнал y(t) на выходе связаны дифференциальным уравнением. Замена непрерывной переменной t на дискретную переменную nT приводит к замене дифференциального уравнения разностным уравнением. Каноническая форма разностного уравнения общего вида, учитывающая в явном виде наличие в системе как прямых, так и обратных связей, запишется так
y(nT) =
am
x(nT - mT) +
y(nT -
), (2.1)
где (M + 1) - число прямых связей,
Z - число обратных связей,
m,
, n - целые положительные числа.
Аналитические методы решения разностных уравнений во многом повторяют методы решения дифференциальных уравнений и позволяют получить решение в общем виде, пригодном для анализа работы дискретной системы. Численные методы решения приводят к результату в виде числовой последовательности, поэтому разностное уравнение в этом случае воспринимается как алгоритм функционирования дискретной системы, пригодной для программирования на ЭВМ работы такой системы.
Система работа которой описывается разностными уравнениями, является дискретной так как она способна воздействовать только на отсчеты сигнала. Дискретная система и дискретная цепь осуществляет, согласно (2.1) следующие операции над дискретными сигналами.
1. Сдвиг (запаздывание) на целое число интервалов T
2. Умножение на некоторый коэффициент am
или b
3. Сложение сигналов.
Перечисленные операции образуют полный базис, в котором можно реализовать заданное воздействие на сигнал.
Набору операций базиса соответствует набор типов элементов дискретной цепи : элементы памяти (задержки), умножители и сумматоры.
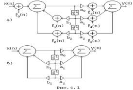
Каноническая схема дискретной цепи общего вида, соответствующая разностному уравнению (2.1), приведена на Рис. 2.1.

Разностное уравнение с постоянными коэффициентами am
, b
описывает линейную дискретную цепь. Разностное уравнение с коэффициентами, зависящими от уровня отсчетов дискретного сигнала, описывает нелинейную дискретную цепь.
Разностное уравнение составляется непосредственно по схеме цепи, учитывая возможные пути прохождения сигнала, или по системным характеристикам цепи.
Пример. Составить разностное уравнение цепи, схема которой приведена на Рис. 2.2, а.
Решение.
Здесь имеется три пути прохождения сигнала от входа до выхода цепи, по которым сигналы проходят и затем складываются в сумматоре. Поэтому разностное уравнение имеет вид
y(nT) = 0,5 x(nT) - 0,7 x(nT - T) + 0,35 x(nT - 2T).

Пример. Определить y(nT) (Рис. 2.2, б), если x(nT) = {1,0 ; 0,5}.
Решение.
Разностное уравнение цепи y(nT) = 0,5 x(nT - T) + 0,1 x(nT) численное решение разностного уравнения :
n=0; y (0T) = 0,5 x(-T) + 0,1 x(0T) = 0,1;
n=1; y (1T) = 0,5 x(0T) + 0,1 x(1T) = 0,55;
n=2; y (2T) = 0,5 x(1T) + 0,1 x(2T) = 0,25;
n=3; y (3T) = 0,5 x(2T) + 0,1 x(3T) = 0.
Следовательно y(nT) = {0,1; 0,55; 0,25}.
Графики сигналов x(nT) и y(nT) приведены на рис (2.3,а,б).

Пример. Определить сигнал на выходе цепи (рис 2.2,в), если y(nT)={0,1; 0,1}.
Решение.
Цепь содержит обратную связь (ОС), поэтому сигнал на выходе цепи формируется как сигнал со стороны входа, так и со стороны выхода.
y(nT) = 0,4 x(nT-T) - 0,08 y(nT-T)
n=0 y(0T) = 0,4 x(-T) - 0,08 y(-T) = 0
n=1 y(1T) = 0,4 x(0T) - 0,08 y(0T) = 0,4
n=2 y(0T) = 0,4 x(1T) - 0,08 y(1T) = 0,368 ит.д. ...
Следовательно y(nT) = {0; 0,4; 0,368; ...}.
В данном случае за счет циркуляции сигнала по цепи ОС выходной сигнал состоит из бесконечного числа отсчетов.
Дискретная цепь, содержащая ОС, называется рекурсивной. Дискретная цепь без ОС называется нерекурсивной.
2.2 Передаточная функция дискретной цепи.
Замена сигналов в разностном уравнении (2.1) на Z - изображения этих сигналов
, ![]()
приводит к алгебраизации разностного уравнения
.
Алгебраизация осуществляется применением теорем линейности и запаздывания.
Переход в область Z - изображений позволяет ввести понятие передаточной функции дискретной цепи H(Z), которая определяется как отношение Z - изображения сигнала на выходе цепи к Z - изображению сигнала на входе цепи. Поэтому, учитывая алгебраическую форму разностного уравнения общего вида, можно записать общий вид передаточной функции дискретной цепи
. (2.3)
Отсюда, в частности, для нерекурсивной цепи
. (2.4)
Если нерекурсивная цепь состоит всего из одного элемента запаздывания, то
,
что находит своё отражение в обозначении элементов памяти на схемах дискретных цепей.
Передаточная функция конкретной цепи формируется по передаточным функциям её элементов согласно общих правил линейных цепей. В частности, для цепи содержащей ОС применяется известная формула
, (2.5)
где
- передаточная функция цепи
прямого прохождения сигнала,
- предаточная функция цепи ОС.
Пример. Оперделить передаточную функцию цепи на рис. (2.4,а).
Решение.
, где
,
.

Пример. Определить передаточную функцию на рис.(2.4,б).
Решение.
,
где
- передаточная функция рекурсивной части схемы,
- передаточная функция нерекурсивной части цепи.
По известной передаточной функции можно легко определить разностное уравнение цепи.
Пример. Составить разностное уравнение цепи на рис.(2.2,в).
Решение.
Здесь
.
Поэтому
.
Отсюда
.
Следовательно переходя к оригиналам: y(nT)= 0,4 x(nT-T) - 0,08 y(nT-T).
2.3 Общие свойства передаточной функции.
Критерий устойчивости дискретной цепи совпадает с критерием устойчивости аналоговой цепи: полюсы передаточной функции должны располагаться в левой полуплоскости комплексного переменного
, что оответствует положению полюсов в пределах единичного круга плоскости
z = x + jy.
Передаточная функция цепи общего вида записывается, согласно (2.3), следующим образом:
, (2.6)
где знаки слагаемых учитываются в коэффицентах ai , bj , при этом b0 =1.
Свойства передаточной функции цепи общего вида удобно сформулировать в виде требований физической реализуемости рациональной функции от Z: любая рациональная функция от Z может быть реализована в виде передаточной функции устойчивой дискретной цепи с точностью до множителя H0 ЧHQ , если эта функция удовлетворяет требованиям:
1. коэффициенты ai , bj - вещественные числа,
2. корни уравнения V(Z)=0, т.е. полюсы H(Z), расположены в пределах единичного круга плоскости Z.
Множитель H0 ЧZQ учитывает постоянное усиление сигнала H0 и постоянный сдвиг сигнала по оси времени на величину QT.
2.4 Частотные характеристики.
Комплекс передаточной функции дискретной цепи
![]()
определяет частотные характиристики цепи
- АЧХ,
- ФЧХ.
На основании (2.6) комплекс передаточной функции общего вида запишется так
.
Отсюда формулы АЧХ и ФЧХ
, (2.7)
, (2.8)
Частотные характеристики дискретной цепи являются периодическими функциями. Период повторения равен частоте дискретезации wд .
Частотные характеристики принято нормировать по оси частот к частоте дискретезации
, (2.9)
где W - нормированная частота.
В расчетах с приенением ЭВМ нормирование по частоте становится необходимостью.
Пример. Определить частотные характеристики цепи, передаточная функция которой
H(Z) = a0 + a1 ЧZ-1 .
Решение.
Комплекс передаточной функции: H(jw) = a0 + a1 e-j w T .
с учетом нормирования по частоте: wT = 2pЧW.
Поэтому
H(jw) = a0 + a1 e-j2 p W = a0 + a1 cos 2pW - ja1 sin 2pW .
Формулы АЧХ и ФЧХ
H(W) =
, j(W) = - arctg
.
графики АЧХ и ФЧХ для положительных значений a0 и a1 при условии a0 > a1 приведены на рис.(2.5,а,б.)

Логарифмический масштаб АЧХ - ослабление А:
;
. (2.10)
Нули передаточной функции могут распологаться в любой точке плоскости Z. Если нули расположены в пределах единичного круга, то характеристики АЧХ и ФЧХ такой цепи связаны преобразованием Гильберта и однозначно могут быть определены одна через другую. Такая цепь называется цепью минимально-фазового типа. Если хотябы один нуль появляется за пределами единичного круга, то цепь относится к цепи нелинейно-фазового типа, для которого преобразование Гильберта неприменимо.
2.5 Импульсная характеристика. Свертка.
Передаточная функция характеризует цепь в частотной области. Во временной области цепь характеризуется импульсной характеристикой h(nT). Импульсная характеристика дискретной цепи представляет собой реакцию цепи на дискретную d - функцию. Импульсная харакетеристика и передаточная функция являются системными характеристиками и связаны между собой формулами Z - преобразования. Поэтому импульсную реакцию можно рассматривать как некоторый сигнал, а передаточную функцию H(Z) - Z - изображение этого сигнала.
Передаточная функция является основной характеристикой при проектировании, если нормы заданы относитеольно частотных характеритик системы. Соответственно, основной характеристикой является импульсная характеристика, если нормы заданы во временной обрасти.
Импульсную характеристику можно определить непосредственно по схеме как реакцию цепи на d - функцию, или решением разностного уравнения цепи, полагая, x(nT) = d (t).
Пример. Определить импульсную реакцию цепи, схема которой приведена на рис.2.6,б.
Решение.
Разностное уравнение цепи y(nT)=0,4 x(nT-T) - 0,08 y(nT-T).
Решение разностного уравнения в численном виде при условии, что x(nT)=d(t)
n=0; y(0T) = 0,4 x(-T) - 0,08 y(-T) = 0;
n=1; y(1T) = 0,4 x(0T) - 0,08 y(0T) = 0,4;
n=2; y(2T) = 0,4 x(1T) - 0,08 y(1T) = -0,032;
n=3; y(3T) = 0,4 x(2T) - 0,08 y(2T) = 0,00256; ит.д. ...
Отсюда h(nT) = {0 ; 0,4 ; -0,032 ; 0.00256 ; ...}
Для устойчивой цепи отсчеты импульсной реакции с течением времени стремятся к нулю.
Импульсную характеристику можно определить по известной передаточной функции, применяя
а. обратное Z-преобразование,
б. теорему разложения,
в. теорему запаздывания к результатам деления полинома числителя на полином знаменателя.
Последний из перечисленных способов относится к численным методам решения поставленной задачи.
Пример. Определить импульсную характеристику цепи на рис.(2.6,б) по передаточной функции.
Решение.
Здесь H(Z) =
.
Разделим числитель на знаменатель

Применяя к результату деления теорему запаздывания, получаем
h(nT) = {0 ; 0,4 ; -0,032 ; 0.00256 ; ...}
Сравнивая результат с расчетами по разностному уравнению в предидущем примере, можно убедиться в достоверности расчетных процедур.

Предлагается определить самостоятельно импульсную реакцию цепи на рис.(2.6,а), применяя последовательно оба рассмотренных метода.
В соответствии с определением передаточной функции, Z - изображение сигнала на выходе цепи можно определите как произведение Z - изображения сигнала на входе цепи и передаточной функции цепи:
Y(Z) = X(Z)ЧH(Z). (2.11)
Отсюда, по теореме о свертке, свертка входного сигнала с импульсной характеристикой дает сигнал на выходе цепи
y(nT) =
x(kT)Чh(nT - kT) =
h(kT)Чx(nT - kT). (2.12)
Определение выходного сигнала по формуле свертки находит применение не только в расчетных процедурах, но и в качестве алгоритма функционирования технических систем.
Пример.
Определить сигнал на выходе цепи, схема которой приведена на рис.(2.6,б), если x(nT) = {1,0; 0,5}.
Решение.
Здесь h(nT) = {0 ; 0,4 ; -0,032 ; 0,00256 ; ...}
Расчёт по (2.12)
n=0 : y(0T) = h(0T)x(0T) = 0;
n=1 : y(1T) = h(0T)x(1T) + h(1T) x(0T) = 0,4;
n=2 : y(2T)= h(0T)x(2T) + h(1T) x(1T) + h(2T) x(0T) = 0,168;
Таким образом y(nT) = { 0; 0,4; 0,168; ... }.
В технических системах вместо линейной свертки (2.12) чаще применяется круговая или циклическая свертка .
2.6 Круговая свёртка .
Реальным сигналам соответствуют числовые последовательности конечной длины. Конечную числовую последовательность можно продолжить по оси времени путём периодического повторения и получить периодическую числовую последовательность. Периодической числовой последовательности соответствует спектр в виде периодической числовой последовательности. Обе последовательности имеют одинаковый период N и связаны формулами ДПФ.
Замена реальных последовательностей периодическими позволяет повысить эффективность использования вычислительной техники применительно к дискретным сигналам (скоростная свёртка, БПФ и др. )
Свёртка периодических последовательностей называется круговой и определяется на интервале равном одному периоду.
y(nT) =
x(kT)Чh(nT - kT), (2.13)
Линейная и круговая свёртки дают одинаковый результат, если соответствующим образом выбрать в круговой свёртке размер исходных последовательностей. Дело в том, что свёртка конечных последовательностей приводит к последовательности, размер которой N превышает длину каждой из исходных последовательностей и, по определению, равен
N = N1 + N2 - 1, (2.14)
где N1 - длина последовательности x(nT),
N2 - длина последовательности h(nT).
Поэтому замена исходной последовательности на периодическую выполняется с таким расчётом, чтобы длина периода получилась равной N, добавляя с этой целью нули в качестве недостающих элементов.
Пример.
Вычислить круговую свёртку по данным примера в параграфе 2.4.
Решение.
Здесь, пренебрегая малыми значениями отсчётов представим импульсную реакцию в виде конечной числовой последовательности h(nT) ={0; 0,4 ; -0,032}.
Отсюда, поскольку x(nT) = {1,0; 0,5}, с учётом (2.14)
N1 = 2,N2 = 3,N = 4.
Следовательно исходные числовые последовательности запишутся так
x(nT) = {1,0; 0,5; 0; 0}, h(nT) ={0; 0,4; -0,032; 0}.
Отсюда, применяя (2.13), получаем
n=0: y(0T) = x(0T)h(0T) + x(1T)h(-1T) + x(2T)h(-2T) + x(3T)h(-3T) = 0;
n=1: y(1T) = x(0T)h(1T) + x(1T)h(0T) + x(2T)h(-1T) + x(3T)h(-2T) = 0,4;
n=2: y(0T) = x(0T)h(2T) + x(1T)h(1T) + x(2T)h(0T) + x(3T)h(-1T) = 0,168;
n=3: y(0T) = x(0T)h(3T) + x(1T)h(2T) + x(2T)h(1T) + x(3T)h(0T) = -0,016;
Следовательно y(nT)= {0; 0,4; 0,168; -0,016}, что совпадает с расчётами по линейной свёртке в примере параграфа 2.4.
Графики периодических числовых последовательностей x(nT), h(nT), y(nT) приведены на рис.(2.7).

К периодическим числовым последовательностям, полученным изложенным выше способом, можно применить ДПФ, перемножить результаты и после выполнения обратного ДПФ получить последовательность y(nT), совпадающую с результатами расчётов по круговой свёртке.
2.7. Энергия дискретного сигнала.
Корреляция и энергетический спектр.
В качестве энергии дискретного сигнала принята мера
Wx
=
x2
(nT), (2.15)
соответственно в частотной области, согласно равенству Парсеваля,
Wx
=
X2
(w)dw =
X(jw)X*
(jw)d(jw), (2.16)
где X(jw) = X(w)ej j ( w ) - спектр сигнала x(nT),
X* (jw) = X(w)e-j j ( w ) - спектр x(-nT) в соответствии с теоремой о спектре инверсного сигнала,
X2 (w) = X(jw)ЧX* (jw) = Sx (jw) - энергетический спектр сигнала x(nT).
На рис.(2.8) показан в качестве примера сигнал x(nT) и его инверсная копия x(-nT) для некоторого частного случая

Энергетический спектр выражает среднюю мощность сигнала x(nT), приходящуюся на узкую полосу частот в окрестности переменной w.
Во временной области энергетическому спектру соответствует свертка инверных сигналов, что определяет корреляционную функцию Sx (nT) сигнала x(nT).
. (2.17)
Согласно (2.17) и (2.15) корреляционная функция в точке n = 0 равна энергии сигнала, т. е.
(2.18)
Для периодических дискретных сигналов корреляционная функция и энергетический спектр связаны формулами ДПФ
. (2.19)
Отсюда получаются расчётные формулы энергии периодических дискретных последовательностей
, (2.20)
что соответствует равенству Парсеваля для дискретных периодических сигналов. Корреляционная функция таких сигналов определяется по формуле круговой свёртки
.
Расчет энергии дискретного сигнала можно выполнить при необходимости, применяя равенство Парсеваля относительно Z - изображений сигнала и его инверсной копии (теорема энергий)
, (2.21)
где
- Z - изображение корреляционной функции.
Умесно заметить, что применительно к случайным сигналам корреляционная функция чаще определяется формулой с весовым множителем
, т.е.
,
соответственно для энергетического спектра
,
что приводит к результату, при котором среднее значение случайной величины с ростом N сходится к постоянной величине.
Свертка сигнала с инверсной копией другого сигнала называется взаимной корреляцией этих сигналов.
2.8 Расчёт энергии сигнала в дискретной цепи.
В любой точке дискретной цепи энергию сигнала можно вычислить по известному сигналу или по корреляционной функции сигнала в этой точке. Корреляционную функцию сигнала в некоторой точке цепи можно определить не только по известному сигналу, но и по известной корреляционной функции входного сигнала и импульсной реакции
, (2.22)
где
- корреляционная функция сигнала на входе цепи,
- корреляционная функция импулсного отклика в данной точке,
- условный знак свёртки.
Докажем равенство (2.22).
.
В этом выражении в силу линейности цепи сигналы можно сочетать различными способами. Поэтому
,
что доказывает справедливость (2.22). Следовательно
. (2.23)
Автокорреляционная функция является чётной функцией, поэтому применяя круговую свёртку (2.22), периоды
и
необходимо выровнять с таким расчетом, чтобы сохранить чётный характер этих функций.
Пример. Определить энергию сигнала на выходе цепи, если
x(nT) = {0,5; 0,5}, h(nT) = {1,0; 0,5}.
Решение.
1. Расчет во временной области.
Определяем сигнал на выходе цепи по формуле круговой свёртки
![]()
Отсюда
.
2. Расчёт в частотной области.
Вначале необходимо определить отсчёты спектра сигнала по формуле прямого ДПФ
.
Отсюда, согласно равенству Парсеваля,
.
3. Расчёт по формуле (2.23).
Определяем корреляционные функции
и
.
![]()
![]()
Следовательно,
.
увеличивая период
и
до N=5, получаем
,
.
На рис.(2.9,а) показана периодическая последовательность
до увеличения периода, на рис. (2.9,б) - после увеличения периода .

Согласно (2.22)
.
Отсюда
.
В заключении рассмотрим важный часный случай применения формулы (2.23).
Для случайных сигналов с нулевым средним
, (2.24)
где
- дисперсия случайного сигнала x(nT).
Отсюда, учитывая (2.23),
.
Следовательно
, (2.25)
Формула (2.25) применяется, в частности, для расчёта шумов квантования в цифровых цепях .
2.9 Секционирование.
Реальные сигналы могут иметь значительную протяжённость во времени, поэтому обработка таких сигналов на ЭВМ осуществляется посекционно. Расчёты по каждой секции
выполняются по формуле круговой свёртки
,
где h(nT) - импульсная характеристика, определяющая способ обработки сигнала .
Каждая секция
совмещается с предидущей секцией с учётом сдвига между секциями входного сигнала .
Применяются два основных метода секционирования: метод перекрытия с суммированием и метод перекрытия с накоплением.
1. Метод перекрытия с суммированием.
Сигнал x(nT) разбивается на секции длиной L. Отсюда
- длина секции
,
- длина секции
,
- длина
.
Длина секции
больше длины секции
на
. Поэтому смежные секции выходного сигнала
перекрываются на интервале длиной
. На интервале перекрытия необходимо выполнить арифметические операции по суммированию отсчётов.
2. Метод перекрытия с накоплением.
Сигнал x(nT) разбивается на секции длиной L. Затем каждая секция наращивается слева участком предидущей секции длиной
. Поэтому
- длина
,
- длина
,
- длина
.
Искусственное удлинение каждой секции приводит к тому, что первые и последние
отсчётов секции
являются ложными и поэтому отбрасываются. Оставшиеся L отсчётов каждой секции, являются истинными, поэтому смежные секции
совмещаются без перекрытия и без зазора.
Пример. Осуществить посекционную обработку сигнала
x(nT) = { 1,0; 0,5 }, если h(nT)= { 1,0; 0,5 }.
Решение.
Применим метод перекрытия с накоплением.
Пусть L = 1. Отсюда
;
, поэтому после искусственного удлинения секций:
.
Выравниваем периоды сигналов для применения круговой свёртки:
N = N1
+ N2
- 1 = 3. Следовательно x0
(nT)= {0; 0,4; 0}, x1
(nT)= {0,4; 0,8; 0}, x2
(nT)= {0,8; 0; 0} После свёртки по каждой секции и отбрасывания
отсчётов получаем:
отсюда
y(nT)= {0,4; 1,0; 0,4}.
Метод перекрытия с накоплением получил преимущественное распространение, поскольку здесь не требуется проведения дополнительных арифметичкских операций после обработки каждой секции.
3. Цифровые фильтры.
3.1 Цифровая система обработки сигналов.
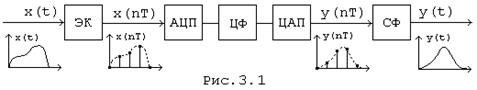
Обработка дискретных сигналов осуществляется как правило в цифровой форме: каждому отсчёту ставится в соответствие двоичное кодовое слово и, в результате, действия над отсчётами заменяются на действия над кодовыми словами. Таким образом дискретная цепь становится цифровой цепью, цифровым фильтром (ЦФ). Перевод отсчётов в двоичные кодовые слова происходит в аналогово-цифровом преобразователе (АЦП). На выходе ЦФ (рис.3.1) осуществляется обратная операция: кодовые слова в цифро-аналоговом преобразователе превращаются в отсчёты дискретного сигнала и, наконец, на выходе, синтезирующего фильтра (СФ) формируется обработанный аналоговый сигнал.

Дискретная и цифровая цепи описываются одинаковыми уравнениями. Отличие состоит в приближённом характере представления отсчётов сигнала кодовыми словами конечной размерности (ошибки квантования). Поэтому сигнал на выходе цифровой цепи отличается от идеального варианта на величину погрешности квантования.
Цифровая техника позволяет получить высокое качество обработки сигналов несмотря на ошибки квантования: ошибки (шумы) квантования можно привести в норму увеличением разрядности кодовых слов. Рациональные способы конструирования цифровой цепи также способствуют минимизации уровня шумов квантования.
Расчёт цифровой цепи по заданным требованиям к её характеристикам имеет ряд принципиальных особенностей в зависимости от наличия обратной связи. Эти особенности являются следствием конечной длины импульсного отклика нерекурсивного ЦФ.
Поэтому нерекурсивные фильтры содержат большое число элементов цепи, но вместе с тем имеют целый ряд важных достоинств: нерекурсивные ЦФ всегда устойчивы, позволяют строить фильтры с минимальной линейной фазой, отличаются простой настройкой. С учётом изложенного становятся понятны причины, по которым методы расчёта нерекурсивных ЦФ и рекурсивных цифровых фильтров принято рассматривать отдельно.
3.2 Расчёт нерекурсивных ЦФ общего вида.
Цель расчёта нерекурсивных цифровых фильтров (рис. 3.2,а) заключается в расчёте значений коэффицентов
и их числа N по допускам на системные характеристики, а так же в расчёте разрядности кодовых слов и выборе оптимального динамического диапазона ЦФ по нормам на помехозащищённость сигнала и вероятность перегрузки системы, что определяется эффектами конечной разрядности кодовых слов.
Требования к системным характеристикам чаще задаютс относительно одной из них: импульсной или частотной. Поэтому различают расчёт ЦФ во временной области и расчёт ЦФ в частотной области.
Расчёт ЦФ во временной области.
Требуемая импульсная характеристика в общем случае имеет бесконечную протяжённость во времени. Поэтому вначале необходимо задаться конечным числом N первых отсчётов требуемой импульсной характеристики
.
Оставшиеся отсчёты по причине их малости отбрасывают и определяют погрешность приближения, которую можно оценить, например, по среднеквадратичному критерию близости.
Коэффициенты фильтра
принимаются равными соответствующим отсчётам требуемой импульсной характеристики. После расчёта разрядности коэффицентов, шумов квантования и масштабирующих коэффицентов остаётся оценить погрешность реализованной импульсной характеристики по отношению к требуемой и принять решение о необходимости повторного расчёта.
Расчёт ЦФ в частотной области.
Вначале необходимо продолжить требуемую частотную характеристику на диапазон [0,5wд ; wд ] по правилам комплексно-сопряжённой симметрии (рис. 3.2,б), что определяется вещественным характером импульсного отклика. По характеристикам следует определить N комплексных частотных отсчётов
,
где число N выбирается ориентировачно с таким расчётом, чтобы плавным соединением точек
и
требуемые кривые восстановились без заметных искажений.

Расчёт коэффицентов фильтра выполняется по формуле обратного ДПФ
(3.1)
Затем необходимо расчитать реализованные частотные характеристики по формулам, которые следуют из выражения для передаточной функции фильтра.
, или
. (3.2)
Остаётся сравнить требуемые и реализованные характеристики и принять решение о необходимости повторного расчёта.
Расчёты по учёту эффектов конечной разности кодовых слов остаются
прежними.
3.3. Схемы и характеристики фильтров с линейной фазой
Нерекурсивный фильтр позволяет получить четную или нечетную импульсную характеристику и, как результат, линейную ФЧХ или произвольной АЧХ, что следует из теоремы о спектре четных и нечетных сигналов: спектр фаз четных и нечетных сигналов является линейным.
Фильтры с четными импульсными характеристиками называются симметричными, с нечетными - антисимметричными. Каждый из отмеченных типов фильтров имеет свои особенности в зависимости от четности числа отводов N, что удобно рассмотреть на конкретных примерах.
Симметричные фильтры с нечетным N.
На рис. 3.3, а приведена схема и импульсная характеристика симметричного фильтра для случая N=5. Передаточная функция такой цепи:

H(Z) = a2 + a1 Z-1 + a0 Z-2 + a1 Z-3 + a2 Z-4 = Z-2 [a0 + a1 (Z + Z-1 ) + a2 (Z2 + Z-2 )]
Отсюда, после подстановки Z = e j w T и с учетом формулы Эйлера
H (jw) = e -j2 w T (a0 + 2a1 cos wT + 2a2 cos 2wT)
следовательно, формулы АЧХ и ФЧХ
H(w) = a0 + 2a1 cos wT + 2a2 cos 2wT, j(w) = -2wT
График АЧХ и графики поясняющие характер АЧХ - cos wT, cos 2wT - приведены на рис. 3.4, а.
Симметричные фильтры с четным N.
На рис. 3.3, б приведены схема и импульсная характеристика симметричного фильтра для случая N=4. Передаточнаяфункцияфильтра
H(Z) = a2 + a1 Z-1 + a1 Z-2 + a2 Z-3 = Z-1,5 [a1 (Z0,5 + Z-0,5 ) + a2 (Z1,5 + Z-1,5 )]
Отсюда H (jw) = e -j1,5 w T (2a1 cos 0,5 wT + 2a2 cos 1,5wT)
Соответствующие формулы АЧХ и ФЧХ
H(w) = 2a1 cos 0,5 wT + 2a2 cos 1,5wT, j(w) = -1,5wT
Характер АЧХ и поясняющие графики - на рис. 3.4, б.

Антисимметричные фильтры с нечетным N.
На рис. 3.5, а приведены схема и импульсная характеристика антисимметричного фильтра для случая N=5.

Передаточная функция фильтра
H(Z) = a2 + a1 Z-1 + 0Z-2 - a1 Z-3 - a2 Z-4 = Z-2 [a1 (Z - Z-1 ) + a2 (Z2 - Z-2 )]
отсюда H (jw) = e -j2 w T j(2a1 sin wT + 2a2 sin2wT)
ПоэтомуформулыАЧХиФЧХ
H(w) = 2a1
sin wT + 2a2
sin 2wT, j(w) =
-2wT
Характер АЧХ и поясняющие графики - на рис. 3.6, f.
Антисимметричные фильтры с четным N.
Схема и импульсная характеристика для случая N=4 приведены на рис. 3.5, б. Передаточная функция
H(Z) = a2 + a1 Z-1 - a1 Z-2 - a2 Z-3 = Z-1,5 [a1 (Z0,5 - Z-0,5 ) + a2 (Z1,5 - Z-1,5 )]
Отсюда
H (jw) = e -j1,5 w T j(2a1 sin 0,5 wT + 2a2 sin 1,5wT)
ФормулыАЧХиФЧХ
H(w) = 2a1
sin 0,5 wT + 2a2
sin 1,5wT, j(w) =
-1,5wT
Характер АЧХ и поясняющие графики - на рис. 3.6, б.

3.4 Общие свойства фильтров с линейной фазой
Анализ рассмотренных вариантов фильтров с линейной фазой позволяет сделать выводы общего характера.
1. Симметричные фильтры.
H(0) № 0, j(w) = -
wT (3.3)
а. Если N - нечетное, то АЧХ - четная функция
H(w) = а0
+ 2
аm
cos mwT (3.4)
Применяется при условии H(0,5wд ) № 0
б. Если N - четное, то АЧХ - нечетная функция
H(w) = 2
аm
cos [(m - 0,5) wT] (3.5)
Применяется при условии H(0,5wд ) = 0
2. Антисимметричные фильтры
H(0) = 0, j(w) =
-
wT (3.6)
а. Если N - нечетное, то АЧХ - нечетная функция
H(w) = 2
аm
sin m wT (3.7)
Применяется при условии H(0,5wд ) = 0
б. Если N - четное, то АЧХ - четная функция
H(w) = 2
аm
sin [(m - 0,5) wT] (3.8)
Применяется при условии H(0,5wд ) № 0
На рис. 3.7, а, б приведены графики, поясняющие отмеченные выше свойства.

Если требуемая передаточная функция имеет в качестве множителя мнимую единицу, то применяются исключительно антисимметричные фильтры. Например, передаточная функция дифференциатора или интегратора
H(jw) = jw, H(jw) = 1 / jw
В этом случае условия
Н(0) = 0, или H(0,5wд ) = 0, или H(0,5wд ) № 0
при необходимости следует воспроизвести искусственно.
3.5. Расчет ЦФ с линейной фазой. Метод взвешивания.
Расчет фильтров с линейной фазой начинается с выбора типа фильтра (симметричный, антисимметричный) и четности N в соответствии с общими свойствами фильтров с линейной фазой и требуемой АЧХ.
а. Если Н(0) № 0, то фильтр симметричный. Отсюда:
N - нечетное, если H(0,5wд ) № 0
N - четное, если H(0,5wд ) = 0
б. Если Н(0) = 0, то фильтр антисимметричный. Отсюда:
N - нечетное, если H(0,5wд ) = 0
N - четное, если H(0,5wд ) № 0
После выбора типа фильтра и четности N необходимо продолжить требуемую АЧХ на диапазон [0,5wд ;wд ] в соответствие с графиками на Рис. 3.7, а, б. Выбор расчетной формулы для ФЧХ, т.е. (3.3) или (3.6), определяется типом фильтра.
После выполненных процедур расчет фильтра осуществляется по общим правилам расчета не рекурсивных ЦФ.
Пример. Рассчитать ФНЧ с линейной фазой по следующим исходным данным:
ПП ® [0; 200] Гц, переходная область ® [200; 300] Гц.
Решение
Выбираем fд
= 800 Гц. Отсюда после нормирования частот W = ![]()
ПП ® [0; 0,25], ПН ® [0,375; 0,5].
Здесь Н(0) № 0, поэтому фильтр симметричный.
H(0,5wд ) = 0, поэтому N - четное.
Следовательно, требуемую АЧХ необходимо продолжить на диапазон [0,5wд ;wд ] нечетным образом (Рис. 3.8, а).

Расчет начинается с выбора величины N.
Пусть N = 8. Отсюда интервал между выборками W1
=
= 0,125.
Формула для ФЧХ (3.3): j(w) = -
wT . Отсюда
j (W) = -7pW, или для частот выборки j (kW1 ) = -7pW1 ,
Отсчеты АЧХ - по требуемой АЧХ на графике Рис. 3.8, а.
Следовательно, комплексные частотные отсчеты:
Н(jkW1 ) = {1e j0 ; 1e -j0,875 p ; 1e -j1,75 p ; 0; 0; 0; -1e -j5,25 p ; -1e -j6,125 p }
Отсюда расчет импульсной характеристики по формуле обр. ДПФ
h (nT) =
H (jkW1
) e j (2
p
/N) kn
=
={0,065; -0,165; 0,025; 0,53; 0,53; 0,025; -0,165; 0,065}
что соответствует схеме фильтра на Рис. 3.8, б
Расчетная формула АЧХ такого типа фильтра - (3.5).
Поэтому Н(W) = 1,06 cos pW + 0,05 cos 3pW - 0,33 cos 5pW + 0,13 cos 7pW
Результаты расчета реализованной АЧХ приведены на графике Рис. 3.8, а (штриховая линия).
В окрестности точек разрыва требуемой АЧХ (в данном примере это частоты 0,25 и 0,75) отклонение от нормы реализованных характеристик получается значительным вследствие влияния эффекта Гиббса. Ослабить влияние эффекта Гиббса удается введением весовой функции (метод взвешивания) к импульсной характеристике.
Новая импульсная характеристика формируется по правилу:
h' (nT) = W (nt) * h (nT)
Где W (nT) - весовая функция или "сглаживающее окно".
Находят применение различные типы окон, например "окно" Хэмминга:
W(nT) = 0,54 + 0,46 cos [2p
], (3.9)
где n = 0, 1, 2, ... (N - 1)
Для рассматриваемого примера
W (nT) = {0,08; 0,244; 0,64; 0,96; 0,96; 0,64; 0,244; 0,08}
h' (nT) = {0,005; -0,04; 0,016; 0,51; 0,51; 0,016; -0,04; 0,005}
Отсюда новые коэффициенты фильтра и новая передаточная функция
H'(Z) = 0,005 - 0,04Z-1 + 0,016Z-2 + 0,51Z-3 + 0,51Z-4 + 0,016Z-5 - 0,04Z-6 +
+ 0,005Z-7
График АЧХ с учетом сглаживающего окна приведен на Рис. 3.9. Расчетная функция получена из формулы для Н'(Z) после подстановки
Z = ej w T = ej2 p W .
Сравнивая реализованные АЧХ на Рис. 3.8, а и Рис. 3.9, можно убедиться в улучшении качества аппроксимации требуемой АЧХ при введении "окна".
С ростом N положительный эффект от применения "сглаживающего окна" возрастает.

В рассмотренном примере нормы на отклонение реализованной АЧХ от требуемой не заданы. Если эти нормы не выполняются, то.... (строчка ксерокопии не влезла)
3.6. Метод частотной выборки
Коэффициенты не рекурсивного ЦФ (Рис. 3.2, а) соответствуют отсчетам импульсной характеристики. Схему не рекурсивного ЦФ можно преобразовать таким образом, чтобы коэффициенты фильтра соответствовали отсчетам другой системной характеристики - передаточной функции. Новая схема ЦФ является основой конструирования фильтров по методу частотной выборки.
3.6.1 Схема фильтра.
Схема фильтра формируется по результатам эквивалентных преобразований передаточной функции не рекурсивного ЦФ
H(Z) =
an
Z-n
где в соответствии с формулой обратного ДПФ
an
= h (nT) =
H (jkw1
) ej(2
p
/N)kn
следовательно
Н(Z) =
H (jkw1
) ej(2
p
/N)kn
Z-n
=
(ej(2
p
/N)kn
Z-1
)n
Применяя здесь формулу суммы N первых членов геометрической прогрессии

получаем
H(Z) =
= P(Z)
(3.10)
где
P(Z) = 1 - dZ-N , Fk (Z) = 1 / (1 - bk Z-1 ), d = ej2 p k , bk = e j2 p k/N (3.11)

Схема фильтра, соответствующего (3.10), приведена на Рис. 3.10, а. Схемы звеньев фильтра, соответствующих (3.11), приведены на Рис. 3.10, б.
Схема фильтра на рис. 3.10 применяется с учетом поправок, обусловленных особенностями расположения нулей и полюсов передаточной функции.
Нули и полюсы H(Z) (3.10), т.е. корни уравнений
1- ej2 p k Z-N = 0, 1 - e j2 p k/N Z-1 = 0
Расположены на единичной окружности плоскости Z в точках
Zk = e j2 p k/N
и взаимно компенсируется. Но компенсация получается неполной по причине конечной разрядности кодовых слов, что приводит к скачкам частотной характеристики фильтра и, более того, не исключена вероятность самовозбуждения цепи. Поэтому рекомендуется смещать точки Zk внутрь единичного круга на малую величину, т.е.
Zk = e - a T/N e j2 p k/N , гдеaТ < 10-5
что соответствует коэффициентам фильтра
d = e- a T e j2 p k , bk = e- a T e j2 p k/N (3.12)
Небольшая поправка коэффициентов фильтра (3.12) практически не отразится на характеристиках фильтра.
3.6.2 Частотная характеристика фильтра
Частотная характеристика фильтра по методу частотной выборки получается подстановкой
Z = ej
w
T
, ![]()
в (3.10). Отсюда, с учетом формулы Эйлера,
H(jw)= 

следовательно
(3.13)
что соответствует ряду Котельникова для спектров дискретных сигналов. Таким образом, частотную характеристику не рекурсивного ЦФ можно представить как в форме ряда Фурье, так и в форме ряда Котельникова.
Каждая из отсчетных функций в (3.13)
(3.14)
на частоте w = kw1 принимает значение частотной выборки H(jkw1 ); остальные отсчетные функции на этой частоте обращаются в нуль. На графике Рис. 3.11 показана в качестве примера некоторая АЧХ и ее составляющие - равносмещенные отсчетные функции для случая N=8, где отсчетные функции представлены главным лепестком, кроме модуля отсчетной функции при К=0, которая изображена полностью.

С учетом вышеизложенного становится понятным, что регулировка частотных отсчетов фильтра по методу частотной выборки является взаимонезависимой подобно взаимонезависимой регулировке отсчетов импульсной характеристики не рекурсивного ЦФ по схеме на Рис. 3.2, а.
Расчет фильтра начинается с ориентировочного выбора величины N. Коэффициенты фильтра приравнивают к соответствующим отсчетам требуемой частотной характеристики. Особый случай имеет место в точках разрыва характеристики: отсчеты, расположенные в окрестности точек разрыва, т.е. в переходной области, необходимо выбирать с таким расчетом, чтобы получить удовлетворительное приближение реализованной характеристики к требуемой в диапазоне частот, прилегающем к переходной области. Наиболее часто в переходную область попадает 1 или 2 отсчетных частоты. В этом случае удовлетворительный результат аппроксимации можно получить простым подбором модуля отсчетов в переходной области.
После проверочного расчета частотных характеристик по формуле 3.10 или 3.13 принимается решение о необходимости повторного расчета.
3.6.3. Схема фильтра с вещественными отводами
Реализация фильтров по схеме на Рис. 3.10, а сопряжена с некоторыми особенностями, обусловленными комплексным характером коэффициентов в отводах. Поэтому на практике получил распространение еще один вариант схемы такого фильтра, отличающийся вещественным характером коэффициентов.
Фильтр с вещественными коэффициентами получается за счет объединения каждой пары отводов с индексами К и (N-K), которая является комплексно-сопряженной по причине комплексно-сопряженной симметрии частотных характеристик фильтра относительно частоты 0,5wд . В результате



(3.15)
где a0k = cos jk , a1k = -bk cos (jk - qk ), b1k = -2bk cos qk , b2k = b2 k
Схема вещественного отвода, соответствующего (3.15), приведена на Рис. 3.12.

Завершая обсуждение фильтра с частотной выборкой следует отметить еще одно важное качество таких фильтров: в схеме отсутствуют звенья, соответствующие нулевым значениям требуемой АЧХ. В результате, например, схема частотно-селективного фильтра существенно упрощается, сохраняя при этом возможность получения линейной фазы.
3.7. Расчет рекурсивных фильтров. Метод билинейного преобразования.
Методы расчета рекурсивных ЦФ можно разделить на прямые и косвенные. Прямые методы предполагают расчет непосредственно рекурсивного ЦФ, косвенные используют в качестве промежуточного этапа расчет аналогового фильтра (АФ).
К числу косвенных методов относится метод билинейного преобразования, основанный на таком преобразовании частот, при котором частотная ось сжимается до конечных размеров. Формула частотного преобразования
или ![]()
где w - реальная частота, т.е. частота проектируемого ЦФ,
- расчетная частота, т.е. частота вспомогательного АФ,
,
- соответствующие комплексные частоты.
На рис. 3.13, а приведен график зависимости расчетной частоты от реальной частоты, на Рис. 3.13, б - пример соответствия кривых АЧХ фильтров АФ и ЦФ.

Связь комплексных переменных вспомогательного АФ и реального ЦФ, т.е.
и Z определяется равенством
(3.17)
Формула (3.17) получается подстановкой в (3.16) Z = epT . В результате

Перечислим последовательность этапов расчета ЦФ методом билинейного преобразования.
1. Перевести требуемые характеристики и нормы ЦФ в соответствующие требования к АФ, применяя формулу
![]()
2. Рассчитать передаточную функцию АФ
, применяя методы расчета аналоговых фильтров.
3. Определить передаточную функцию ЦФ H(Z) по известной ![]()
4. Построить схему ЦФ по H(Z).
5. Выполнить необходимые расчеты по учету эффектов конечной разрядности.
Пример. Рассчитать рекурсивный ЦФ нижних частот методом билинейного преобразования по следующим исходным данным:
ПП ® [0; 200] Гц, перех. область ® [200; 300] Гц, DА = 3 дБ, Аmin = 15 дБ.
Решение
Выбираем fд = 800 Гц.
Контрольные частоты для перевода норм ЦФ в нормы АФ: 0; 200 Гц; 300 Гц.
Расчетная формула для преобразования частот
![]()
В результате
f = 0 ®
®Wн
= 0
f = 200 Гц ®
1600 ®Wн
= 1
f = 300 Гц ®
3840 ®Wн
= 2,4
где Wн
=
- нормированная частота ФНЧ,
= 1600 - частота среза ФНЧ.
Основная формула расчета АФ
![]()
В данном случае достаточно ограничиться аппроксимирующим полиномом Баттерворта второго порядка. Поэтому, учитывая что Е=1 для DА = 3 дБ, получаем
![]()
следовательно ![]()
Отсюда полюсы Н(рн ): рн 1,2 = -0,707 ± j 0,707,
что соответствует нормированной передаточной функции
![]()
Подставляя здесь
,
получаем денормированную передаточную функцию АФ

После подстановки здесь (3.17), получаем передаточную функцию рекурсивного ЦФ

Что соответствует схеме рекурсивного ЦФ, приведенной на Рис. 3.14, а.

Уместно напомнить, что схему цепи по дробной передаточной функции от Z удобно строить в 2 этапа: вначале строится не рекурсивная часть, соответствующая числителю Н(Z), затем каскадно с ней - рекурсивная часть, соответствующая дроби, в числителе которой - единица.
График реализованной АЧХ приведен на рис. 3.14, б.
Нелинейная зависимость частотного преобразования (3.16) определяет как недостатки, так и достоинства метода билинейного преобразования. Недостаток в том, что наклонные участки частотной характеристики изменяют свой наклон тем больше, чем выше частота. Поэтому, например, линейная фаза после преобразования (3.16) становится нелинейной. Достоинство определяется отсутствием ошибок наложения при переходе АФ ® ЦФ, что позволяет получить высокие уровни ослабления в ПН при конструировании частотно-селективных фильтров.
4. Эффекты конечной разрядности и их учет.
4.1. Шум квантования и шумовая модель.
Отсчеты сигнала на входе цифровой системы квантуются к ближайшему из разрешенных уровней. Расстояния между смежными уровнями равно шагу квантования D. Шаг квантования и разрядность кодовых слов связаны соотношением
D = 2-b (4.1)
где b - разрядность кодовых слов.
Значение младшего разряда кодовых слов численно равно шагу квантования.
Разность истинного и квантованного числа называется ошибкой квантования. Ошибка квантования е(n) определяется неравенствами:
- при округлении чисел,
- при усечении чисел. (4.2)
На выходе цифровой системы ошибки квантования воспринимаются в виде шума, который называется шумом квантования.
Цифровые умножители наравне с АЦП являются источниками шума квантования; на выходе умножителей длину кодовых слов приходится ограничивать, т.к. разрядность результата перемножения кодовых слов возрастает и равна сумме разрядностей множимого и множителя.
Расчет уровня шума квантования осуществляется по шумовой модели, которая отличается от исходной цепи наличием источников шума квантования на выходе АЦП и каждого из умножителей.

На Рис. 4.1, а приведена в качестве примера шумовая модель цифровой цепи, схема которой показана на Рис. 4.1, б. Обозначения для источников шума:
e0 (n) - источник шума от АЦП
ei (n) - источник шума от каждого из Z множителей.
4.2. Расчет шумов квантования
Уровень шума квантования можно оценить, например, по величине максимума шума, т.е. оценка шума по условию наихудшего случая, или по величине усредненной энергии шума, т.е. вероятностная оценка шума.
4.2.1. Расчет максимума шума
Шум квантования на выходе цепи от i-го источника шума определяется по формуле свертки

где ei (n) - шум на выходе i-го источника шума,
hi (n) - импульсная характеристика участка цепи от i-го источника шума до выхода цепи.
Максимум шума Еi получается в этом выражении при условии выполнения равенств в формулах (4.2) и совпадении знаков ei (k) и hi (n-k). В результате
- при округлении чисел,
- при усечении чисел.
Максимум шума на выходе цепи Е от всех источников шума определяется суммой максимумов, т.е. наихудший случай, от всех источников шума
(4.3)
где D0 /2 - максимум шума на выходе АЦП при округлении чисел,
D/2 - максимум шума на выходе каждого из Z умножителей при округлении чисел или условии одинаковой разрядности всех умножителей.
Оценка шума по максимуму приводит к значительному превышению расчетного уровня шума по отношению к реальному. Поэтому чаще применяется вероятностная оценка шума.
4.2.2. Расчет усредненной энергии шума.
Шум квантования имеет характер случайной последовательности типа "белый шум". Поэтому дисперсия шума на выходе цепи согласно (2.24), (2.25) определяется формулой
,
где
- дисперсия шума на выходе i-го источника шума. Учитывая характер шума, дисперсия шума на выходе источника будет определяться известными формулами:
- при округлении чисел
- при усечении чисел (4.4)
Следовательно, при округлении чисел

Дисперсия шума от всех источников на выходе цепи, при условии отсутствия корреляции между источниками шума, определяется суммой дисперсий шума от всех источников
(4.5)
где
- дисперсия шума на выходе АЦП при округлении чисел.
- дисперсия шума на выходе каждого из Z множителей при округлении чисел.
Вероятностная оценка шума характеризует усредненный уровень энергии шума, поэтому в реальных условиях не исключены кратковременные скачки помехи относительно расчетного значения.
4.3. Влияние структуры ЦФ на шум квантования.
Уровень шума квантования зависит от добротности полюсов передаточной функции. Добротность К-ого полюса определяется по формуле
(4.6)
где rk
- радиус полюса, Zk
=
(Рис. 4.2, а), Qк
= wк
Т - угол полюса, wк
- частота полюса.
Действительно, поскольку Z = epT , то
![]()
следовательно
![]()
Отсюда
![]()
поэтому

Чем выше добротность полюсов, тем выше уровень шумов квантования поскольку высокой добротности соответствует длительная циркуляция сигнала по цепи ОС при условии медленного снижения уровня сигнала с каждым новым обходом петли обратной связи. Но цепь ОС содержит, как правило, умножители, поэтому с каждой новой циркуляцией по цепи ОС сигнал все больше поражается помехой.
Реализация цепи на каскадном принципе позволяет ослабить негативное воздействие полюсов на помехозащищенность сигнала если, с одной стороны, каждому полюсу подобрать в пару ближайший к нему нуль (при совпадении полюса и нуля влияния полюса на шум полностью исключено), с другой стороны - располагать звенья в порядке нарастания добротности полюсов.
Основой каскадной реализации является представление передаточной функции в виде произведения простейших сомножителей в числителе и знаменателе
(4.7)
где Z0m - нули H(Z), ZҐ m - полюсы H(Z).
Сомножителям 1-го порядка (нули и полюсы - вещественные) соответствуют звенья 1-го порядка, сомножителям 2-го порядка (нули и полюсы - комплексно-сопряженные) соответствуют звенья 2-го порядка. При этом добротность вещественных полюсов тем выше, чем ближе к единичной окружности на плоскости Z располагается полюс.
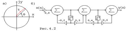
Пример. Построить цепь на каскадном принципе по известной передаточной функции
H(Z) = 0,8 
Решение.
Здесь
= 0,1 ± 0,4,
= 0,1 ± 0,3
Следовательно

что соответствует схеме цепи на рис. 4.2, б.

Реализация на каскадном принципе передаточных функций высокого порядка может привести к значительному снижению уровня шумов квантования по сравнению с реализацией другими структурами цепи.
4.4. Квантование коэффициентов. Расчет разрядности.
Габариты, вес и стоимость специализированного процессора, предназначенного для обработки сигналов, тем меньше, чем короче кодовые слова и, в частности, кодовые слова, соответствующие коэффициентам цифровой цепи. Кодовые слова коэффициентов имеют, в общем случае, бесконечную разрядность, поэтому разрядность приходится ограничивать в пределах допусков на отклонение от нормы системных характеристик.
Спецпроцессор функционирует в системе чисел с фиксированной запятой. В этом случае дробная часть кодовых слов определяет модуль числа, целая часть - знак числа: знаку плюс соответствует нуль, знаку минус - единица. Перевод чисел из десятичной системы в двоичную удобно выполнить в форме таблицы, в которой первая клетка отводится исходному числу, остальные клетки - результату перемножения на два дробной части предыдущего числа. Целая часть числа в основных клетках определяет дробную часть двоичного числа.
Пример. Дано десятичное число А(10) = 0,32.
Определить прямой код двоичного числа А(2) , если разрядность двоичного числа принять равной 8.
Решение
Заполним таблицу промежуточных расчетов.
0,32 2 |
0,64 2 |
1,28 2 |
0,56 2 |
1,12 2 |
0,24 2 |
0,48 2 |
0,96 2 |
1,92 2 |
1,84 |
Отсюда двоичное число А(2) = 0,010100011
Последний - девятый - разряд необходим для округления.
Окончательный результат:
А(2) = 0,01010010 - после округления;
А(2) = 0,01010001 - после усечения.
Оценим погрешность полученных чисел конечной разрядности.
При округлении
А(10)
0*2-1
+ 0*2-3
+ 1*2-4
+ 0*2-5
+ 0*2-6
+ 1*2-7
+ 0*2-8
= 0,3203125
Отсюда, относительная погрешность представления исходного числа кодовым словом конечной разрядности равной 8 составляет d» 0,1 %
При усечении
А(10)
0*2-1
+ 0*2-3
+ 1*2-4
+ 0*2-5
+ 0*2-6
+ 0*2-7
+ 1*2-8
= 0,31640625
что соответствует d» 1,15 %
Существуют различные способы расчета разрядности коэффициентов по допускам на системные характеристики. Самый простой способ - метод проб.
Расчет по методу проб начинается с выбора разрядности коэффициентов ориентировочно, субъективно. Затем следует расчет системных характеристик с новыми - приближенными - значениями коэффициентов, оценка искажений характеристик и соответствующая коррекция разрядности коэффициентов в ту или иную сторону. Расчет повторяется столько раз, сколько потребуется для удовлетворительного решения задачи по выбору разрядности коэффициентов.
4.5. Чувствительность
Анализ искажений, вызванных квантованием коэффициентов, удобно выполнить по функции чувствительности S.
Чувствительность некоторой величины M к изменению параметра q (сокращенно - чувствительность M по q) определяется так:
(4.8)
Чувствительность отвечает на вопрос: на сколько процентов изменится величина М, если параметр q изменится на 1%. Параметром q цифровой цепи могут быть как коэффициенты цепи, так и зависящие от них вторичные параметры, например, координаты полюсов и нулей на плоскости Z. Содержание величины М может быть разным в зависимости от поставленной задачи; например, одна из системных характеристик или положение полюса, если параметром q является коэффициент цепи.
Рассмотрим более подробно чувствительность передаточной функции по одному из коэффициентов цепи ai
(4.9)
Чувствительность комплекса передаточной функции удобно получать непосредственно по (4.9)
![]()
Чувствительность АЧХ и ФЧХ
![]()
Можно выразить через вещественную и мнимую части чувствительности комплекса передаточной функции. Действительно,
![]()
![]()
![]()
Следовательно
(4.10)
Пример. Определить чувствительность АЧХ по коэффициенту b, если
![]()
Решение
Здесь ![]()
Следовательно
![]()
где ![]()
Отсюда чувствительность АЧХ по коэффициенту b
![]()
Чувствительность частотных характеристик достаточно оценить на частоте полюса максимальной добротности wк , которая определяется, согласно (4.6), значением угла полюса
Qк = wк Т
На частоте wк чувствительность принимает максимальное значение:
Оценку максимума чувствительности по коэффициенту ai можно применить, в частности, к расчету разрядности коэффициентов по допускам на отклонение АЧХ. Расчет начинается с определения среднеквадратичной чувствительности по всем коэффициентам ai .
(4.11)
Необходимость среднеквадратичного критерия объясняется разным сочетанием знаков чувствительностей в зависимости от частоты, поэтому суммарная чувствительность может оказаться равной нулю даже на частоте wк .
В режиме малых приращений коэффициентов реакция системы проявляется по линейному закону, поэтому можно воспользоваться пропорцией
1% - ![]()
dS - dН
и определить среднеквадратичное значение погрешности коэффициентов dS по допуску на отклонение АЧХ dН .
Сравнивая требуемое значение dS и реализованное значение среднеквадратичной погрешности коэффициентов d' S
d'
S
=
(4.12)
можно определить разрядность коэффициентов методом проб.
В качестве примера анализа цепи по функции чувствительности можно сделать ссылку на анализ чувствительности полосового ЦФ к изменению тактовой частоты. Оказалось, что смещение полосы пропускания увеличением тактовой частоты, при неизменной ширине полосы пропускания, потребует увеличения разрядности коэффициентов.
4.6. Масштабирование сигнала в цепи.
Уровень шума квантования на выходе источника шума не зависит от уровня сигнала: уровень шума определяется величиной шага квантования. Поэтому соотношение сигнал/шум тем выше, чем выше уровень сигнала в цепи. Но высокие уровни сигнала могут привести к переполнению сумматоров цепи, т.е. к выходу числа за пределы разрядной сетки слева в регистре сумматора, на котором вырабатывается сумма. В системе чисел с фиксированной запятой таким пределом называется единица.
Переполнение сумматора равносильно ограничению сигнала сверху пороговым нелинейным элементом в аналоговой цепи.
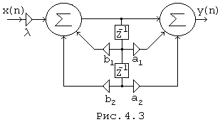
Поэтому возникает необходимость в масштабировании сигнала с таким расчетом, чтобы получить высокие уровни сигнала в цепи с минимальным риском перегрузки сумматоров. Масштабирование осуществляется специальным умножителем, который устанавливается на входе цепи. На рис. 4.3. приведен пример цепи с масштабным умножителем.

Расчет множителя l выполняется по каждому сумматору отдельно. Из множества расчетных значений l необходимо выбрать наименьшее, т.е. l того сумматора, который наиболее подвержен опасности переполнения.
Расчетные значения l рекомендуется округлить в меньшую сторону до ближайшего числа кратного степени 2: операцию умножения на число кратное степени 2 можно выполнить простым сдвигом числа в числовом регистре, что практически не требует затрат времени и оборудования на умножение поступающих кодовых слов.
Рассмотрим методы расчета масштабного множителя.
4.6.1. Расчет по условию ограничения максимума сигнала.
Сигнал на входе i-ого сумматора определяется по формуле свертки

где x(n) - сигнал на входе цепи
lhi (n) - импульсная характеристика участка цепи от входа до выхода i-ого сумматора.
Максимум модуля сигнала yi (n) имеет место при соблюдении условия:
x(n-k)={+1, если hi (k)>0
-1, если hi (k)<0}
поэтому

Если ограничить максимум модуля сигнала единицей, т.е.
,
то требование отсутствия переполнения сумматора выполняется при условии:
(4.13)
Расчет масштабного множителя по (4.13), т.е. по условию ограничения максимума сигнала, приводит к режиму работы цепи, при котором перегрузка сумматоров исключена, но уровни сигнала в цепи - низкие. Поэтому чаще применяется вариант расчета по условию ограничения энергии сигнала, который приводит к более высоким уровням сигнала.
4.6.2. Расчет по условию ограничения энергии сигнала.
Энергия сигнала на выходе i-го сумматора определяется согласно (2.25) по формуле

Формула справедлива для случайных сигналов с равномерным энергетическим спектром, что примерно соответствует реальным сигналам.
Сигнал на входе цепи не превышает единицы по абсолютной величине, поэтому сигнал на выходе i-го сумматора не превысит, наиболее вероятно, модуля единицы, если потребовать выполнение условия:
1. ![]()
2. Корреляционные связи сигнала и системы - отсутствуют.
В результате исходная формула принимает вид

Отсюда
(4.14)
Масштабный умножитель с коэффициентом (4.14) обеспечивает относительно высокие уровни сигнала в цепи, но возникает опасность перегрузок сумматоров. Перегрузки маловероятны и кратковременны, поэтому для многих систем обработки сигналов вполне допустимы, тем более, что отрицательный эффект от перегрузок можно ослабить, если подставлять единицу на выход сумматора по признаку переполнения.
4.6.3. Расчет по условию ограничения максимума усиления цепи.
Усиление участка цепи от входа цепи до выхода i-го сумматора в значительной мере определяет условия перегрузки i-го сумматора. Поэтому, ограничивая максимум усиления единицей
![]()
приходим к режиму работы цепи, при котором опасность перегрузки i-го сумматора становится минимальной, поскольку сигнал на входе цепи не превышает по модулю единицы. Отсюда расчетная формула для масштабного множителя
(4.15)
Частоту максимального усиления wк можно определить по известному углу высокодобротного полюса Qк = wк Т (4.6) передаточной функции Hi (Z).
Расчет масштабного множителя по (4.15) применяется чаще при каскадной реализации, когда масштабирование можно выполнить внутри каждого звена.
4.7. Динамический диапазон ЦФ.
Динамический диапазон цепи определяется границами уровня выходного сигнала. Для цифровой цепи, функционирующей в системе чисел с фиксированной запятой, динамический диапазон равен
[D; 1,0],
где D - значение младшего разряда кодовых слов.
Эффективность использования динамического диапазона оценивается с одной стороны - вероятностью перегрузки сумматоров, с другой - величиной помехозащищенности сигнала на выходе цепи относительно уровня шумов квантования на выходе цепи
(4.16)
где Rш - помехозащищенность сигнала,
- дисперсия шума
- усредненная энергия сигнала,
Рс , Рш - мощности сигнала и шума.
Масштабирование сигнала позволяет добиться высокой эффективности использования динамического диапазона цепи.
4.8. Предельные циклы.
Предельными циклами называется ложный сигнал, который возникает на выходе рекурсивного ЦФ, если на вход цепи поступает сигнал в виде константы. Причиной появления предельных циклов является процедура квантования сигнала в умножителях, охваченных обратной связью.
Пример. Определить форму предельных циклов заданной цепи (рис. 4.4), если сигнал на выходе умножителя округляется на уровне десятых долей, а сигнал на входе в момент t=0 прерывается, т.е. наступает пауза. Состояние цепи к моменту t=0 характеризуется условием: y(-1) = 0,5.

Решение.
Разностное уравнение цепи: y(n) = x(n) + 0,8y(n-1)
Решение разностного уравнения.
n=0 : y(0) = 0 + 0,8 * 0,5 = 0,4
n=1 : y(1) = 0 + 0,8 * 0,4 = 0,32 » 0,3
n=2 : y(2) = 0 + 0,8 * 0,3 = 0,24 » 0,2
n=3 : y(3) = 0 + 0,8 * 0,2 = 0,16 » 0,2
n=4 : y(4) = 0 + 0,8 * 0,2 = 0,16 » 0,2
............................................................
Следовательно y(n) = {0,4; 0,3; 0,2; 0,2; 0,2; ... }, т.е. сигнал "зависает" на уровне 0,2. Если знак коэффициента 0,8 заменить на противоположный, то форма предельных циклов принимает вид знакопеременной последовательности y(n) = {-0,4; 0,3; -0,2; 0,2; -0,2; ... }.
В цепях высокого порядка предельные циклы имеют сложную форму и определяются, при необходимости, моделированием фильтра на ЭВМ.
Ложные сигналы в системах передачи информации не допустимы, поэтому применяются различные способы борьбы с предельными циклами. Можно, например, подмешивать к сигналу на входе цепи псевдослучайную последовательность нулей и единиц на уровне младшего разряда кодовых слов. Но в этом случае необходимо увеличить на единицу разрядность кодовых слов, чтобы помехозащищенность сигнала оставить на прежнем уровне.
5. Восстановление непрерывного сигнала.
Последовательность кодовых слов на выходе цифрового фильтра необходимо преобразовать в аналоговый сигнал. Преобразование осуществляется с помощью двух устройств: ЦАП и ФНЧ. В ЦАП происходит преобразование каждого кодового слова в узкий импульс, амплитуда которого соответствует значению кодового слова. В ФНЧ происходит выделение той части спектра, которая соответствует спектру аналогового сигнала.
5.1. Характеристики ЦАП.
Цап преобразует отсчеты сигнала в виде кодовых слов в отсчеты сигнала в виде импульсов. Преобразование происходит с постоянным коэффициентом преобразования, не зависящим от величины отсчета. Следовательно ЦАП является линейной системой, импульсная характеристика которой совпадает с формой импульсов на выходе ЦАП. Поэтому сигнал на выходе ЦАП можно определить по формуле свертки аналоговых сигналов
yцап (t) = y(t) Е hцап (t) (5.1)
где y(t)=y(nT) - дискретный сигнал на входе ЦАП,
hцап (t) - импульсная характеристика ЦАП.
На рис. 5.1, а,в показана форма сигналов на входе и выходе ЦАП на примере импульсной характеристики в форме прямоугольного импульса длительностью t (Рис. 5.1, б)

В частотной области свертке (5.1) соответствует произведение спектров
Yцап (jw) = Y (jw) * Hцап (jw) (5.2)
где, согласно (1.3),
Y (jw) = 
Yа (jw) - спектр аналогового сигнала, подлежащего восстановлению,
Hцап (jw) - передаточная функция ЦАП.
Множитель Т-1 в формуле Y (jw) принято относить к передаточной функции ЦАП, поэтому передаточная функция ЦАП для случая, соответствующего импульсу на Рис. 5.1, б, запишется так
Hцап
(jw) =
(5.3)
Отсюда, если t << Т, получаем
Hцап (jw) »t / Т (5.4)
что подтверждается известным фактом спектральной теории: спектр короткого импульса равен его площади и не зависит от формы импульса.
5.2. Погрешности восстановления.
Аналоговый сигнал ya (t) обращается на выходе ФНЧ, который выделяет спектр частот [0; 0,5wд ], соответствующий спектру Yа (jw).
Yа (jw) = Y (jw) * Hцап (jw) * Hфнч (jw) (5.5)
Неравномерность реальных частотных характеристик ЦАП и ФНЧ приводит к искажениям восстанавливаемого непрерывного сигнала. На рис. 5.2 показаны характерные особенности реальных АЧХ восстанавливающих устройств.

Искажения ЦАП обусловлены наклоном АЧХ. На Рис. 5.2 АЧХ соответствует импульсной характеристике в форме прямоугольного импульса длительностью t. Но с уменьшением t, согласно (5.3) и (5.4), падает усиление ЦАП, что приводит к малым уровням сигнала и, соответственно, к низкой помехозащищенности сигнала по отношению к собственным помехам системы.
Искажения ФНЧ увеличиваются по мере приближения к частоте среза ФНЧ wс = 0,5wд . Поэтому рабочую полосу частот сигнала Y (jw) целесообразно размещать на неискаженном участке полосы пропускания ФНЧ, что можно сделать увеличением тактовой частоты wд цифрового фильтра. Таким образом, если имеется возможность увеличить тактовую частоту, то в качестве ФНЧ можно использовать простую цепочку RC. В противном случае качественные показатели восстанавливающего устройства приходится улучшать усложнением схемы ФНЧ. Наконец, погрешности восстановления можно скомпенсировать, если создавать соответствующие предыскажения в ЦФ. В этом случае нормы на проектируемый ЦФ необходимо поправить в расчете на реальные характеристики ЦАП и ФНЧ.
Литература.
1. Гольденберг Л.М. и др. Цифровая обработка сигналов. - Учебное пособие для вузов. - М.: Радио и Связь, 1990 г.
2. Гоноровский И.С. Радиотехнические цепи и сигналы. - М.: Радио и связь, 1986 г.
3. Гольденберг Л.М. и др. Цифровая обработка сигналов. - Задачи и упражнения. Учебное пособие для вузов. - М.: Радио и Связь, 1992 г.
4. Карташев В.Г. Основы теории дискретных сигналов и цифровых фильтров. - М.: Высшая школа, 1982 г.
5. Гольденберг Л.М. и др. Цифровая обработка сигналов. - Справочник - М.: Радио и Связь, 1985 г.
6. Лэм Г. Аналоговые и цифровые фильтры. Расчет и реализация. - М.: Радио и связь, 1982.
7. Антонью А. Цифровые фильтры: анализ и проектирование. - М.: Радио и связь, 1983г.
8. Крук Б.И. и др. 25 вопросов по цифровым фильтрам. Издание НЭИС, 1990 г.
9. Зеневич А.Ф. Дискретные сигналы и цепи. Учебное пособие. Издание НЭИС, 1992 г.
Похожие рефераты:
Машины, которые говорят и слушают
Методы позиционирования и сжатия звука
Математические основы теории систем
Дискретизация и квантование изображений
Беспроводные телекоммуникационные системы
Оборудование летательных аппаратов
Передача информации из ультразвуковой медицинской диагностической установки ALOCA SSD650
Измеритель отношения сигнал/шум ТВ канала
Расчет линии связи для системы телевидения
Модель тракта прослушивания гидроакустических сигналов
Приемник цифровой системы передачи информации ВЧ-каналом связи по ВЛ