| Похожие рефераты | Скачать .docx |
Дипломная работа: Сравнительный анализ современных методов учета себестоимости
Введение
Бухгалтерский управленческий учет один из новых и перспективных направлений бухгалтерской практики. Он обеспечивает управленческий персонал организаций информацией, необходимой для планирования, контроля и управления. Объектом управленческого учета являются издержки (текущие и капитальные) предприятия и его отдельных структурных подразделений – центров ответственности; результаты хозяйственной деятельности, как всего предприятия, так и отдельных центров ответственности; внутреннее ценообразование, бюджетирование и внутренняя отчетность. Для принятия оптимальных и рациональных управленческих решений необходимо знать о составе своих затрат и разбираться в информации о производственных расходах.
Важнейшей функцией бухгалтерского управленческого учета является калькулирование. Изучение себестоимости продукции имеет большое значение для предпринимательской деятельности организаций. Разработка и реализация управленческих решений базируется на соответствующей информации о состоянии дел в той или иной области деятельности организации. Так, данные учета издержек производства и калькулирования себестоимости продукции, работ, услуг являются важным средством выявления производственных резервов, постоянного контроля использования материальных, трудовых и финансовых ресурсов с целью повышения рентабельности производства. Это является причиной того, что участок издержек производства и калькулирования себестоимости продукции, работ, услуг занимает наиболее важное место в системе организации.
Себестоимость продукции относится к числу важнейших качественных показателей, характеризующих все стороны хозяйственной деятельности предприятия, их достижения и недостатки. Уровень себестоимости связан с объемом и качеством продукции, использованием рабочего времени, сырья, материалов, оборудования, расходованием фонда оплаты труда и т.д. Себестоимость является основой определения цен на продукцию. Ее снижение приводит к увеличению суммы прибыли и уровня рентабельности. Более того, для предприятий, производящих продукцию, цены на которую жестко регламентированы законодательством, снижение себестоимости — единственная возможность сделать свое производство рентабельным и получать прибыль.
Целью работы является описание современных методов учета и выявление наиболее альтернативных из них.
Для реализации цели поставлены и решены следующие задачи :
- раскрыть понятие себестоимости продукции, ее классификации и группировку затрат;
- рассмотреть учет расходов в соответствии с МСФО;
- раскрыть метод учета фактических затрат и калькулирования фактической себестоимости;
- рассмотреть нормативный метод учета затрат и его отклонения;
- проанализировать структуру и динамику себестоимости;
- раскрыть содержание системы «Директ-костинг» и «Стандарт-кост»;
- определить особенности учета затрат в рамках системы «Дирек-костинг».
Объектом исследования выбран Общество с ограниченной ответственностью «Экспресс», где и применяется исследуемый метод калькулирования себестоимости.
Предметом исследования являются показатели производственно-хозяйственной деятельности ООО "Экспресс".
В работе описывается эволюция методов учета затрат, организация учета производственных затрат, роль калькулирования себестоимости продукции в управлении производством, основные методы калькулирования. Подробно описывается система «Стандарт-кост» как продолжение нормативного метода учета затрат. А также излагается информация о системе «Директ-костинг» которая, является модификацией системы учета неполной себестоимости.
Теоретической основой работы являлись законодательные и нормативные акты, а также научные статьи и учебные пособия авторов: Р.З. Тумасян, Ю.А. Бабаев, Е.П. Козлова, М.А. Вахрушина, Н.Д. Врублевский, О.В. Ефимова, В.В. Ковалев, Н.П. Кондраков, Г.В. Савицкая, Н.П. Любушкин, А.Е. Суглубов, В.Ф. Палий и др.
В ходе выполнения дипломной работы применялись методы сравнения, группировки, статистического и факторного анализа.
1. Роль и значение себестоимости продукции в рыночных отношениях
1.1 Себестоимость продукции, ее структура, классификация и группировка затрат
Себестоимость продукции, работ, услуг представляет собой стоимостную оценку используемых в процессе производства продукции работ, услуг природных ресурсов, сырья, материалов, топлива, энергии, основных средств, трудовых ресурсов, а также других затрат, необходимых для производства и продажи продукции, работ, услуг.
Формирование себестоимости продукции, работ, услуг представляет собой суммирование затрат организации, сопряженных с процессом производства и относящихся к определенному отчетному периоду. При этом в зависимости от цели определения себестоимости продукции, работ, услуг: для бухгалтерского учета, для налогообложения, для принятия управленческих решений – затраты могут относиться на себестоимость продукции, работ, услуг в разном размере, и их номенклатура может варьироваться.
Калькуляция – определение затрат в стоимостной (денежной) форме на производство единицы или группы единиц изделий, или на отдельные виды производств. Калькуляция дает возможность определить фактическую или плановую себестоимостьобъекта или изделия и является основой для их оценки. В строительных организациях оценка и калькуляция используются для объектов бухгалтерского учета в денежном выражении. Калькуляция служит основой для определения средних издержек производства и установления себестоимостипродукции. Калькуляция может быть прогнозной, плановой, отчетной.
В составе калькуляционных статей издержки можно распределять по товарным группам на основе коммерческой калькуляции. Такое распределение издержек требуется для регулирования прибыльности каждой группы или наименования товаров, извлечения максимума прибыли на основе выявления наиболее прибыльных и убыточных товаров в ассортименте и правильного формирования и корректировки ценовой и финансовой политики, активного продвижения товаров на рынке посредством регулирования их конкурентоспособности.
Калькулирование издержек по товарным группам предполагает разделение товаров на группы. Выбор товарных групп, их детализация и размеры следует определять исходя из текущих и перспективных потребностей и интересов предприятия.
В процессе производства продукции затраты возникают в различных производственных сферах, они содержат разные по экономическому содержанию затраты, которые зависят от характера изготовления изделий, выполнения работ, технологии и организации труда. Поэтому затраты на производство продукции по своему количественному и качественному составу неодинаковы не только на предприятиях разных отраслей, но и в одной отрасли.
Таким образом, возникает необходимость в классификации всех затрат, которая отвечала бы требованиям планирования, учета, калькулирования и анализа себестоимости продукции. Классификация затрат необходима для сопоставления расходов по однородной продукции, выпускаемой на разных предприятиях; установления соотношений между отдельными видами затрат на разных уровнях планирования, а также для внедрения внутрифирменного расчета.
При расчете себестоимости в целом по предприятию используют классификацию затрат по экономическим элементам, под которыми понимаются экономически однородные виды затрат независимо от того, где и для каких целей они произведены.
Сущность классификации заключается в разграничении затрат по признаку экономической однородности, определяемой на основе функциональной роли отдельных видов расходов в процессе производства. Данная классификация едина для всех отраслей промышленности и включает в себя:
1. Материальные затраты за вычетом стоимости возвратных отходов (сырье и материалы, в том числе покупные полуфабрикаты и комплектующие изделия; вспомогательные материалы; топливо и энергия).
2. Затраты на оплату труда (основная и дополнительная заработная плата рабочих).
3. Отчисления на социальные нужды.
4. Амортизация основных средств и нематериальных активов (амортизационные отчисления за отчетный период).
5. Прочие затраты (платежи по процентам, командировочные расходы, представительские расходы, расходы на рекламу, расходы на подготовку кадров, заработная плата административного персонала).
Классификация затрат по экономическим элементам служит основой для разработки сметы затрат на производство; с ее помощью анализируется работа промышленности, в том числе определяется технический уровень производства, трудоемкость, производительность труда; устанавливается потребность предприятия в производственных основных и оборотных фондах. Однако классификация затрат по экономическим элементам не позволяет исчислить себестоимость единицы продукции и установить величину затрат отдельных подразделений предприятия. Для этих целей используемся другая классификация затрат – по статьям калькуляции.
Сущность этой классификации состоит в разграничении затрат по целевому назначению и месту их возникновения. Иными словами, затраты предприятия подразделяются в соответствии с их производственным назначением, учитывая, что один и тот же вид затрат может иметь различное назначение. Так, топливо расходуется на предприятии как на технологические цели, так и для отопления, т.е. затраты на топливо связаны не только с производством данного вида продукции, но и с нуждами предприятия в целом. Точно так же можно разделить затраты на энергию. Затраты предприятия на оплату труда подразделяются на оплату основных производственных рабочих, вспомогательных рабочих, оплату цехового и управленческого персонала.
Классификация затрат по статьям калькуляции имеет существенные отличия по отраслям промышленности, отражая их специфику. Установлена типовая группировка затрат по статьям калькуляции, которую можно представить в следующем виде на рисунке 1.
| Статьи калькуляции |
Виды себестоимости |
|||
| Материалы |
ТЕХНОЛОГИЧЕСКАЯ СЕБЕСТОИМОСТЬ |
ЦЕХОВАЯ СЕБЕСТОИМОСТЬ |
ПРОИЗВОДСТВЕННАЯ СЕБЕСТОИМОСТЬ |
ПОЛНАЯ СЕБЕСТОИМОСТЬ |
| Возвратные отходы вычитаются |
||||
| Топливо и энергия на технологические цели |
||||
| Основная заработная плата производственных рабочих |
||||
| Дополнительная заработная плата производственных рабочих |
||||
| Социальные отчисления |
||||
| Расходы по подготовке производства |
||||
| Расходы по содержанию и эксплуатации машин и оборудования |
||||
| Цеховые расходы |
||||
| Общехозяйственные расходы |
||||
| Потери от брака |
||||
| Коммерческие расходы |
||||
Рисунок 1 – Группировка по калькуляционным статьям и виды себестоимости
Благодаря постатейной классификации затраты могут контролироваться в плане и учете по месту их возникновения и по отдельным видам продукции. Кроме того, по каждой статье затрат можно определить степень связи величины расходов с установленной калькуляционной единицей. Описанная выше группировка позволяет определить технологическую, цеховую, производственную и полную себестоимость.
В состав технологической себестоимости входит сумма затрат данного цеха, непосредственно связанных с выполнением определенной операций или комплекса операций.
Цеховая себестоимость образуется из всех текущих затрат цеха на производство единицы продукции.
В производственную себестоимость помимо производственных затрат цехов включаются расходы по общему управлению предприятием (заработная плата персонала заводоуправления, амортизация и текущий ремонт зданий общезаводского назначения и т.п.).
Полная себестоимость складывается из затрат на производство и продажу продукции, то есть сумма производственной себестоимости и коммерческих расходов (расходы на тару и упаковку, приобретенной на стороне; расходы на транспортировку и погрузку продукции; комиссионные сборы и отчисления, уплачиваемые сбытовым предприятиям и организациям в соответствии с договорами; затраты на рекламу и др.).
Для более полного обоснования себестоимости в пределах статей затрат (постатейной номенклатуры) используют различные аналитические группировкизатрат. В отличие от рассмотренных классификаций, которые предполагают системное разграничение всей совокупности затрат по определенным признакам, аналитические группировки не ставят перед собой такой цели. С их помощью все затраты по статьям калькуляции разделяются на две части, каждая из которых характеризует определенное отношение к признаку, являющемуся основой конкретной группировки.
Существует множество различных аналитических группировок затрат, среди которых основными являются следующие (таблица 1).
Таблица 1 – Аналитическая группировка затрат
| Группировка затрат |
Виды затрат |
| 1. По месту возникновения |
- производственные; - коммерческие. |
| 2. По целесообразности |
- производительные; - непроизводительные. |
| 3. По способу отнесения на себестоимость |
- прямые; - косвенные. |
| 4. По отношению к изменению объема производства |
- переменные; - условно-постоянные. |
| 5. По экономическому содержанию |
- основные; - накладные. |
| 6. По степени экономической однородности |
- простые (однородные); - сложные (комплексные). |
| 7. По возможности охвата планом |
- планируемые; - не планируемые. |
1. По месту возникновения затраты делятся на производственные и коммерческие. К производственным относятся все виды затрат, непосредственно связанные с изготовлением продукции. Они образуют производственную себестоимость или издержки производства предприятия. Под коммерческими понимают затраты, которые связаны с продажей готовой продукции. Это издержки обращения, которые неизбежны на любом предприятии. Расходы на продажу готовой продукции подразделяются на две части: транспортные и сбытовые. Транспортировка готовой продукции является продолжением процесса производства, и транспортные, расходы включают в себя расходы на погрузку, выгрузку, железнодорожный или водный тариф и т.д. Сбытовые расходы состоят из затрат на упаковку и сортировку, на хранение готовой продукции, на заработную плату, командировочные расходы работников сбыта, на рекламу и др. Производственные и коммерческие затраты составляют полную себестоимость продукции.
2. По целесообразности затраты делятся на производительные и непроизводительные. Производительными называют расходы, которые оправданы или целесообразны в данных условиях производства. Непроизводительные – это такие расходы, которые образуются по причинам, связанным с недостатками технологии и организации производства, с потерями от брака, простоями, недостачами и т.д.
3. По способу отнесения на себестоимость отдельных продуктов затраты делятся на прямые и косвенные. Это деление затрат может существовать на предприятиях, выпускающих два и более вида изделий, поскольку при производстве однородной продукции все затраты будут прямыми.
4. По отношению к изменению объема производства затраты делятся на переменные и условно-постоянные (пропорциональные и непропорциональные). Сущность данной группировки состоит в том, что с ростом объема производства одни затраты увеличиваются, а другие – не изменяются или изменяются незначительно. Переменными являются затраты, величина которых находится в определенной прямой пропорциональной зависимости от изменения объема производства. К ним относят затраты на сырье, топливо и энергию на технологические цели, оплату труда основных производственных рабочих.
Условно-постоянные – это затраты, величина которых не изменяется в зависимости от роста объема производства или изменяется незначительно. Как правило, эти затраты непосредственно не связаны с изготовлением продукции представляют собой расходы на обслуживание производства и управление. К ним относится амортизация основных фондов и расходы на их текущий ремонт, а также все накладные расходы.
5. По экономическому содержанию (по отношению к технологическому процессу) затраты разделяют на основные и накладные. Косновным; относятся затраты, непосредственно связанные с технологическим процессом изготовления продукции и неизбежные при любых условиях и характере производства независимо от уровня и форм организации управления. Это затраты на сырье, материалы, топливо и энергию на технологические цели, оплату труда рабочих с отчислениями на социальные нужды, расходы на содержание и эксплуатацию машин и оборудования и др. Накладные расходы не связаны непосредственно с технологическим процессом изготовления продукции, а образуются под влиянием определенных условий работы по организации, управлению и обслуживанию производства. Поэтому к ним относятся: оплата труда административно-управленческого персонала; почтовые, телефонные и канцелярские расходы; командировочные расходы; расходы на интернет; расходы по подписке на газеты и журналы; расходы на содержание пожарно-сторожевой охраны; различные налоги и сборы; общепроизводственные и общехозяйственные расходы; расходы, связанные с продажей готовой продукции; непроизводительные расходы и потери.
Накладные расходы являются важнейшим резервом снижения себестоимости продукции.
Отметим, что группировка затрат на основные и накладные не совпадает с группировкой затрат на прямые и косвенные, а существующее в экономической литературе отождествление основных расходов с прямыми, а накладных с косвенными не является обоснованным.
6. По степени экономической однородности различают простые и сложные затраты.
Простые (однородные) – это затраты, состоящие из одного экономического элемента: сырье и материалы, покупные изделия и полуфабрикаты, топливо и энергия на технологические цели, заработная плата производственных рабочих, отчисления на социальные нужды.
Сложные (комплексные) – затраты, состоящие из нескольких разнородных экономических элементов, имеющих одинаковое целевое назначение. К ним относят расходы на содержание и эксплуатацию машин и оборудования, общепроизводственные, общехозяйственные расходы, потери от брака, прочие производственные и коммерческие расходы.
7. По возможности охвата планом все затраты делятся на планируемые и не планируемые.
Планируемые затраты – это неизбежные затраты предприятия, вытекающие из характера его хозяйственной деятельности и предусмотренные сметой затрат на производство.
Не планируемые – это непроизводительные расходы, не являющиеся экономически неизбежными и не вытекающие из нормальной хозяйственной деятельности предприятия. Это прямые потери, не включаемые в смету затрат на производство; недостачи; потери от порчи сырья и материалов при хранении; потери от брака и простоев.
Наряду с рассмотренными существуют и другие группировки, описанные в экономических источниках: по характеру производства (основное и вспомогательное); по цехам; по видам продукции (работ, услуг); по отдельным заказам; по стадиям производства (фазам, переделам).
С производственным уровнем системы управления затратами связано главным образом соблюдение запланированных затрат и поиски резервов снижения затрат в результате рационализации технологического процесса и совершенствования продукции.
Затраты на производство лучше всего контролировать при производственном потреблении ресурсов, т.е. там, где происходит производственный процесс или его обслуживание. В связи с этим появились такие объекты формирования и учета затрат, как:
- места возникновения затрат;
- центры затрат;
- центры ответственности.
К местам возникновения затратотносят структурные подразделения (цехи, отделы, участки), представляющие собой объекты нормирования, планирования и учета издержек производства для контроля и управления затратами производственных ресурсов. Места возникновения затрат являются объектами аналитического учета затрат на производство по элементам производства и статьям калькуляции.
По отношению к процессу производства места возникновения затрат можно классифицировать на производственные и обслуживающие. К производственным принадлежат цехи, участки, бригады, к обслуживающим – отделы и службы управления, склады, лаборатории и т.п.
Центры затрат отличаются от мест возникновения затрат тем, что представляют собой группировки затрат в аналитическом учете по отдельным работам, операциям, функциям внутри производственных подразделений. Это выделение определяется желанием иметь дополнительные точки контроля затрат в подразделении, а главное – обеспечить более точно распределение косвенных расходов по объектам калькулирования. Особенно усиливается необходимость выделения центров затрат в условиях роста автоматизации производства, когда при калькулировании возникает задача повышения точности отнесения расходов по содержанию и эксплуатации оборудования и цеховых расходов на калькуляционные объекты. Растет потребность в группировании их по группам оборудования, отдельным комплексам, т.е. по центрам затрат.
Создание центров затрат является средством детализации аналитического учета производственных затрат, их локализации по местам возникновения с целью организации текущего контроля и достоверного калькулирования себестоимости продукции.
1.2 Учет расходов в соответствии с МСФО
учет затраты себестоимость кост
Отдельного стандарта МСФО, посвященного вопросам учета затрат на производство, нет.
Международный стандарт финансовой отчетности 2 «Запасы» содержит нормы, касающиеся порядка учета затрат на производство и калькулирования себестоимости продукции. Положения стандарта регулируют правила выбора методов калькулирования оказывающих влияние на величину прибыли отчетного периода. В нем также даются рекомендации по распределению косвенных накладных расходов производственного характера; по распределению услуг комплексных производств и по разграничению затрат между капитализируемыми и не капитализируемыми в балансе.
В настоящее время российская теория и практика производственного учета предлагает спектр методов калькулирования себестоимости продукции, в т.ч. метод полной себестоимости, директ-костинг, нормативный, позаказный, попередельный методы. Они фиксируются в учетных политиках предприятий. Однако отечественные положения по бухгалтерскому учету (ПБУ 5/01 «Материально-производственные запасы» и ПБУ 10/99 «Расходы организации») никаких указаний на этот счет не содержат.
Во-первых, в п.10 МСФО 2 «Запасы» регламентируется к применению традиционный для российского бухгалтерского дела метод полной себестоимости (absorptioncosting). При данном методе учета затрат на производство и калькулирования в отличие от альтернативного ему метода «Директ-костинг» производственная себестоимость абсорбирует как переменные, так и постоянные затраты. «Директ-костинг» в целях финансовой отчетности не разрешен. На западных предприятиях он применяется только для составления управленческой отчетности.Нормативный учет, теория и практика которого у нас развивалась на всем протяжении XX в., также находит свое применение в бухгалтерском учете в соответствии с МСФО 2 «Запасы». В частности, в п. 14 данный стандарт регламентирует процедуру отнесения сверхнормативных затрат к периодическим, т.е. в полном объеме относимым на уменьшение прибыли отчетного периода. Сверхнормативные потери сырья, заработной платы, др. не должны попасть в состав запасов, отражаемых в активе баланса. Нормативный метод разрешен для оценки запасов материалов, незавершенного производства и готовой продукции.
Во-вторых, в п. 10 МСФО 2 «Запасы» определены три группы затрат, включаемых в себестоимость продукции, а именно: (1) производственные переменные прямые затраты, (2) производственные переменные косвенныезатраты, (3) производственные постоянные косвенные затраты, которые далее будем называть производственные накладные затраты. Следует предупредить, что термин «косвенные затраты» в 25 гл. Налогового кодекса и «косвенные затраты» в МСФО 2 «Запасы» не равнозначны между собой. В МСФО под косвенными понимаются затраты, которые невозможно или экономически не целесообразно прямо относить на себестоимость конкретной продукции (услуги). Поэтому они собираются в течение отчетного периода на специальном бухгалтерском счете (у нас 25 «Общепроизводственные расходы»), в конце периода распределяются по видам продукции косвенным путем.
Примерами переменных затрат первой группы являются сырье и основные материалы, заработная плата производственных рабочих с начислениями на нее и др. Это те расходы, которые можно на основе данных первичного учета отнести непосредственно на себестоимость конкретных изделий. К переменным косвенным производственным затратам (вторая группа) относятся такие расходы, которые находятся в прямой зависимости или почти в прямой зависимости от изменения объема деятельности, однако в силу технологических особенностей производства их нельзя или экономически нецелесообразно прямо отнести на изготовляемые продукты. Самыми яркими представителями таких расходов являются затраты сырья в комплексных производствах. Например, при обработке сырья – каменного угля – производится кокс, газ, бензол, угольная смола, аммиак. При сепарации молока получают обезжиренное молоко и сливки. Разделить затраты исходного сырья по видам выпускаемой продукции в этих примерах можно только косвенным путем.
К третьей группе затрат, выделенной в п.10 МСФО - постоянным косвенным накладным производственным затратам - относятся те общепроизводственные расходы, которые не изменяются или почти не изменяются в результате изменения объема производства. Например, амортизация производственных зданий, сооружений, оборудования; расходы на их ремонт и эксплуатацию; расходы на содержание аппарата управления цехов и прочего цехового персонала. Эта группа затрат в бухгалтерском учете традиционно распределяется по видам продукции косвенным путем пропорционально какой либо базе распределения.
В российском законодательстве отсутствуют нормы, регулирующие включение в формируемую в бухгалтерском (финансовом) учете производственную себестоимость продукции косвенных переменных и постоянных производственных расходов. Во втором международном стандарте такие нормы есть. Согласно п. 11 МФСО «Запасы» переменные косвенные производственные расходы включаются в себестоимость продукции пропорционально фактическому объему произведенной продукции. То есть базой распределения этих расходов является показатель «фактическая производственная мощность».
Согласно п. 11 МФСО «Запасы» постоянные накладные производственные расходы включаются в себестоимость продукции пропорционально прогнозному объему производства продукции при работе в нормальных условиях. То есть базой распределения этих расходов является показатель «нормальная производственная мощность». Стандартом так же допускается альтернативный вариант - использование в качестве базы распределения фактического объема производства в том случае, если он приближается к нормальной мощности. Для того чтобы понять, почему МСФО устанавливают именно эту базу распределения постоянных косвенных расходов, рассмотрим содержание показателей «производственная мощность» применяемых в международной практике, а также влияние выбора одного из показателей мощности на финансовые результаты деятельности компаний.
Практическая мощность – это теоретическая мощность за вычетом запланированных производственных простоев (простоев, связанных с ремонтом оборудования; простоев, в связи с праздничными и выходными днями и т.д.). В показателях теоретической и практической производственной мощности объем производства оценивается в единицах произведенной готовой продукции. А в показателе «нормальная мощность» объем производства оценивается в единицах спроса на эту продукцию. Во многих случаях спрос на рынке бывает намного ниже производственной мощности.
Нормальная мощность – это ожидаемый объем производства, рассчитываемый на основе средних показателей за несколько периодов при нормальном ходе дел, с учетом плановых простоев оборудования в ремонте и др. Т.е. это объем производства необходимый для удовлетворения среднего покупательного спроса за определенный период времени (примерно, 2-3 года). Величина нормальной мощности должна корректироваться в соответствии с периодическими и циклическими колебаниями спроса.
Бюджетная мощность – установленный уровень производственной мощности на следующий бюджетный период (обычно на 1 год).
Выбор показателя производственной мощности в качестве базы распределения постоянных накладных расходов оказывает влияние на прибыль через отклонение рассчитанной величины расходов от фактической. Выявленные отклонения (нераспределенные расходы) согласно п.п. 11 и 14 МСФО 2 «Запасы» относятся к периодическим затратам, и, следовательно, могут списываться на уменьшение прибыли отчетного периода без пропорционального распределения на запасы. Каким же образом влияет выбор показателя мощности на прибыль? Во-первых, использование разных показателей производственной мощности может влиять на плановый коэффициент распределения постоянных производственных накладных расходов (в терминологии, принятой в отечественном бухгалтерском учете постоянных общепроизводственных расходов, (ОПР)). Используя разные плановые коэффициенты распределения ОПР (умножая их на фактический объем производства), бухгалтер получает различные суммы постоянных ОПР, распределяемые между запасами и себестоимостью проданной продукции. Так же в результате расчетов исчисляются различные суммы отклонений, которые полностью списываются на уменьшение прибыли отчетного периода.
Итак, сравнивая положения МСФО 2 «Запасы» с ПБУ 5/01 «Учет материально-производственных запасов», можно выделить следующие основные отличия:
- допускается нормативный метод оценки запасов;
- регламентируется порядок: 1. учета затрат на производство в части определения метода учета затрат на производство и калькулирования себестоимости продукции (метод полного распределения затрат); 2. классификации затрат (прямые, косвенные, переменные и постоянные); 3. регламентируется специальный порядок распределения переменных и общепроизводственных косвенных затрат;
- даются рекомендации по распределению косвенных затрат сырья и материалов, а также по оценке побочной продукции в комплексных производствах,
- выделяется группа расходов, которые в установленном порядке списываются на уменьшение прибыли отчетного периода (сверхнормативные производственные затраты, складские затраты, управленческие , расходы на продажу);
- отменен способ оценки запасов – ЛИФО.
Также еще в ряде международных стандартов финансовой отчетности упоминается о расходах организации (таблица 1.2).
Таблица 1.2 – Расходы организации в МСФО
| МСФО |
Содержание |
| МСФО 1 «Представление Финансовой отчетности» |
МСФО 1 устанавливает перечень обстоятельств при которых статьи доходов и расходов должны раскрываться отдельно. Под расходами в МСФО 1 понимается уменьшение экономических выгод в течении отчетного периода, происходящее в форме оттока или истощения активов или увеличения обязательств, ведущих к уменьшению капитала, не связанных с его распределением между участниками акционерного капитала. Расходы признаются в отчете о прибылях и убытках, если уменьшение актива или увеличения обязательства может быть надежно изменено. Расходы первой группы состоят из себестоимости продаж, заработной платы, амортизации, прочих расходов. Вторая группа представляет собой потери, возникшие при реализации основных средств и других активов, в случае изменения курса валют, в результате стихийных бедствий. |
| МСФО 2 «Запасы» |
В пункте 12 МСФО 2 указывается, что в стоимость продукции включаются прямые расходы на производство (оплата труда работников, непосредственно занятых в производстве и т.п.), а также постоянные и переменные накладные расходы (overheads), связанные с изготовлением продукции, например, амортизация и расходы по ремонту и обслуживанию зданий цехов и оборудования. При этом, распределение накладных расходов происходит исходя из нормальных объемов производства (п. 13 МСФО 2). Другое важное отличие процедуры расчета себестоимости от аналогичной процедуры в российском бухгалтерском учете описано в пункте 16 МСФО 2. Оно состоит в том, что административные расходы, непосредственно не связанные с производством, в стоимость готовой продукции не включаются, а признаются расходами текущего периода. То есть, если выражаться более привычными для российского бухгалтера терминами, выходит, что общепроизводственные расходы в стоимость продукции включаются (хотя иногда и в ограниченных размерах), а общехозяйственные - не включаются совсем. Для целей МСФО всегда применяется метод "директ-костинг" - когда общие и административные расходы сразу признаются расходами текущего периода (что вообще говоря наиболее полно отвечает экономической сущности этих расходов - ведь мы понесли их в любом случае, независимо от объема производства, продаж и т.п.). |
| МСФО 14 «Сегментная отчетность» |
В сегментной отчетности должна раскрываться информация о доходах, расходах, активах, обязательствах и результатах сегмента. Расходы сегмента по МСФО 14 — это непосредственно распределенные на сегмент расходы по его операционной деятельности, а также соответствующая часть расходов, которые могут быть обоснованно распределены на сегмент. Расходы сегмента подразделяются на расходы, относящиеся к продажам внешним клиентам, и на расходы, относящиеся к операциям с сегментами своей компании. |
| МСФО 16 «Основные средства» |
По МСФО16 методы амортизации основных средств применяются при формировании учетной политики организации и раскрываются в бухгалтерской отчетности. Выбор метода начисления амортизации должен быть закреплен на все время амортизации основных средств. Изменение способа начисление амортизации на протяжении всего срока полезного использования запрещено. |
1.3 Краткая характеристика ООО «Экспресс»
ООО «Экспресс» выполняет работы и оказывает услуги с целью удовлетворения общественных потребностей и извлечения прибыли за счет:
- содержания и ремонта автомобильных дорог и сооружений;
- строительства, ремонта, реконструкции и сооружения других автомобильных дорог и сооружений.
Предприятие вправе осуществлять также:
- посредническую деятельность;
- коммерческую деятельность;
- лесозаготовку и переработку;
- маркетинговую деятельность;
- снабженческо-сбытовую деятельность.
Предприятие имеет право самостоятельно осуществлять внешнеэкономическую деятельность в соответствии с законодательством Российской Федерации.
Местонахождение предприятия: Россия, Самарская область, г. Самара, Заводское шоссе д. 9.
ООО «Экспресс» является юридическим лицом и строит свою деятельность на основании Устава и действующего Законодательства.
Учредителем предприятия является Министерство транспорта РФ.
Предприятие ООО «Экспресс» является хозяйствующим субъектом, обладает правами юридического лица, имеет самостоятельный баланс, расчетный и иные счета в банках, печать со своим наименованием, бланки.
Координацию и регулирование деятельности предприятия осуществляет Федеральный дорожный департамент Министерства транспорта Российской Федерации. Взаимоотношения с трудовым коллективом, возникшие на основе трудовых договоров, регулируются законодательством Российской Федерации о труде. На основе полученной прибыли предприятие реализует социальный и экономические интересы членов трудового коллектива и интересы собственника имущества.
Предприятие состоит из производственных звеньев, занятых изготовлением продукции, органов управления, обслуживающих организаций.
Состав подразделений, их взаимосвязь в процессе выпуска продукции и обслуживания коллектива, количество, состав, соотношение по численности работников, занимаемые площади и территориальное их расположение образуют структуру предприятия.
Общая численность предприятия 130 человек, в том числе управленческий персонал (аппарат управления) составил 27 человек. Высшим должностным лицом предприятия является его руководитель (Приложение Б). Руководитель предприятия назначается на должность и освобождается от должности директором Дирекции и осуществляет свою деятельность на основании и в соответствии с условиями контракта, заключенного с Дирекцией.
У ООО «Экспресс» в настоящее время два основных вида деятельности: содержание дороги и реконструкция. Ему поручено обслуживать участок автомобильной дороги от 630 км до 826 км протяженностью 195 км, проходящему по территории Самарской области. На всем протяжении участок относится к дороге технической категории. Из общей протяженности, участки дороги с усовершенствованным (асфальтированным и чернощебеночным) покрытием составляет 109 км, дорога с переходным (гравийным и щебеночным) типом покрытия составляет 86 км. Дорога на всем протяжении находится в удовлетворительном состоянии. На протяжении указанного участка дороги имеется три участка с незавершенной реконструкцией дороги общей протяженностью 23 км (757 – 767 км, 803 – 816 км).
Базовое предприятие – ООО «Экспресс», обслуживающее данный участок дороги дислоцируется в г. Самаре на 720 км автодороги.
Предприятие имеет два дорожно-эксплуатационных участка с дислокацией в Самарской области (644 км) и (721 км).
Дорожно-эксплуатационные участки специализируются на содержании автодороги с выполнением полного комплекса дорожных работ по элементам: земляное полотно; полоса отвода; дорожная одежда; водопропускные трубы; - уход за мостами и путепроводами.
ООО «Экспресс» выполняет содержание и ремонт дорог по всем видам работ за исключением ремонта железобетонных и металлических мостов.
Так, за 2008год были выполнены следующие виды работ, указанные в таблице 1.3.
Таблица 1.3 - Производимые работы за 2008 год
| Вид работ |
Объем работ, кв. м. |
Стоимость работ, т. р. |
| 1. Строительство участка автодороги 639 – 646 км |
2255,22 |
7880,64 |
| 2. Устройство дорожной одежды из щебня толщиной 20 см на мосту |
343,8 |
56,450 |
| 3. Содержание дороги (очистка проезжей части, удаление снежного наката, россыпь противогололедного материала и др.) |
- |
7767,8 |
| 4. Реконструкция участка 719 – 721 км |
167,1 |
1848,7 |
| 5. Реконструкция участка 639 – 643 км |
334,2 |
3409,4 |
| 6. Содержание дороги (очистка от грязи проезжей части и тротуаров, ремонт железобетонных ограждений, мытье мостов поливалочной машиной) |
58873 |
Все крупные работы (по строительству и реконструкции дорог) осуществляются в порядке поступления средств – госкапвложений.
Также при поступлении заказа и при наличии необходимой лицензии, предприятие может выполнить строительные работы согласно примерному классификатору:
1. производство по переработке нерудных (щебня, песка, гравия, песчано-гравийной смеси);
2. производство конструкций и изделий из бетона и сборного железобетона (сваи, балки, прогоны, ленты перекрытий, балконные плиты и др.);
3. производство асфальта;
4. производство деревянных строительных конструкций и изделий (оконные и дверные блоки, встроенные шкафы и их элементы, погнанная продукция);
5. функции подрядчика;
6. земляные работы (планирование площадей, разработка грунта бульдозером, экскаватором, укрепление и уплотнение грунтов);
7. возведение несущих и ограждающих конструкций зданий и сооружений.
Предприятие специализированное, поэтому четкой кооперации нет.
Предприятие строит свои отношения с другими юридическими и физическими лицами во всех сферах деятельности исключительно на основе договоров.
На своем балансе ООО «Экспресс» имеет два асфальтобетонных завода (эксплуатируется один), одну камнедробильную установку, 11 карьеров грунта камня. Асфальтобетонный завод (АБЗ) расположен на 719 + 4 км вправо от автодороги. На АБЗ выпускаются горячие асфальтированные смеси и черный щебень в общем объеме 16 тыс. тонн в год.
Камнедробильная установка расположена на 723 км автодороги, выпускает дробленый щебень в объеме 40 тыс. м³ в год. Карьеры грунта и каменных материалов расположены на 723, 728, 734, 749, 771, 765, 779, 792, 801, 807, 813 км автодороги. Возможный объем добычи грунта составляет 200 тыс. м³ в год.
Потребность в дорожных машинах и механизмах определена на основании норм, утвержденных Федеральной дорожной дирекцией на 1000 км обслуживаемых автодорог с учетом местных условий эксплуатации.
Бухгалтерский учет в ООО «Экспресс» осуществляется бухгалтерией, которая представлена одним человеком -главным бухгалтером. Основными функциями бухгалтерии ООО «Экспресс» являются:
- учет финансово хозяйственной деятельности:
- ведение бухгалтерского учета и отчетности;
- контроль за проведением инвентаризации;
- контроль за сохранностью товарно-материальных ценностей, правильным расходованием денежных средств;
- проведение анализа финансово-хозяйственной деятельности предприятия.
Основные показатели деятельности ООО «Экспресс» по данным бухгалтерской отчетности представлены в таблице 1.4.
Таблица 1.4 - Основные показатели деятельности ООО «Экспресс»
| Показатели |
2008 г. |
2009 г. |
Изменение (+,-) |
Темп роста, % |
| 1. Выручка от продажи товаров, тыс. руб. |
99654 |
122088 |
22434 |
122,51 |
| 2. Себестоимость проданных товаров, тыс. руб. |
82738 |
105658 |
22920 |
127,70 |
| 3.Управленческие и коммерческие расходы, тыс. руб. |
944 |
2 |
-942 |
0,21 |
| 4. Прибыль от продажи, тыс. руб. |
15972 |
16428 |
456 |
102,85 |
| 5. Прибыль до налогообложения, тыс. руб. |
14894 |
12878 |
-2016 |
86,46 |
| 6. Чистая прибыль, тыс. руб. |
10552 |
8223 |
-2329 |
77,93 |
| 7. Стоимость основных средств, тыс. руб. |
268 407 |
262 262 |
-6 145 |
97,71 |
| 8. Стоимость активов, тыс. руб. |
362478 |
370370 |
7892 |
102,18 |
| 9. Собственный капитал, тыс. руб. |
292 887 |
301 110 |
8 223 |
102,81 |
| 10. Заемный капитал, тыс. руб. |
69 591 |
69 260 |
331 |
99,52 |
| 11. Численность ППП, чел. |
125 |
130 |
5 |
104,00 |
| 12.Производительность труда, тыс.руб. (1/11) |
797 |
939 |
142 |
117,81 |
| 13. Фондоотдача, руб. (1/7) |
0,37 |
0,47 |
0,10 |
127,03 |
| 14. Оборачиваемость активов, раз (1/8) |
0,28 |
0,33 |
0,05 |
117,86 |
| 15. Рентабельность собственного капитала по чистой прибыли, % (6/9*100%) |
3,61 |
2,73 |
-0,88 |
75,62 |
| 16. Рентабельность продаж, % (4/1*100%) |
16,03 |
13,46 |
-2,57 |
83,97 |
| 17. Рентабельность капитала по прибыли до налогообложения, % (5/(9+10) |
0,04 |
0,03 |
-0,01 |
75 |
| 18. Затраты на рубль выручки от продажи, ((2+3)/1*100 коп.) |
83,97 |
86,54 |
2,57 |
103,06 |
Данные таблицы 1.4 свидетельствуют о том, что выручка от продажи продукции уменьшился в 2008 году по сравнению с 2009 годом на 22,5 % и составил в 2009 году 122088 тыс. руб. В связи с увеличением объема продажи продукции и услуг, их себестоимость в 2009 году составила 127,7 % уровня 2008 года (82 738).
В результате финансово-хозяйственной деятельности прибыль от продаж ООО «Экспресс» в 2009 году по сравнению с 2008 годом увеличилась на 2,9 %. Но увеличение закупочных цен на материалы, повлияло на уменьшение чистой прибыли предприятия на 22,1%.
В изменении абсолютной величины собственного капитала наибольшая доля нераспределенной прибыли. Это говорит о том, что предприятие начинает капитализировать прибыль.
Бухгалтерский учет на предприятии ООО «Экспресс» ведется бухгалтерией в соответствии с учетной политикой которая представляет собой совокупность способов ведения бухгалтерского учета - первичного наблюдения, стоимостного измерения, текущей группировки и итогового обобщения факторов хозяйственной деятельности.
Итоговый продажи продукции проводится по результатам отчетного периода. В процессе его дается заключительная оценка объема продаж, а также финансовых последствий или влияние объема продаж на финансовый результат. Итоговый анализ проводится в 3 этапа. Рассмотрим наиболее важный, третий этап: «Золотое правило экономики» по методике В.В. Ковалева и О.В. Волковой.
Используя данные формы №1 «Бухгалтерский баланс» (Приложение В) и формы № 2 «Отчет о прибылях и убытках» (Приложение Г), определим соотношение темпов роста капитала, выручки от продаж, прибыли от продаж:
100% <Тк <ТN <Tp (1)
Где: Тк – темп роста капитала; ТN – темп роста выручки от продажи;
Tp – темп роста прибыли от продажи.
Определим темп роста капитала:
370370 /362478 *100% = 102,18%
100%<102,18%. Данное неравенство означает, что валюта баланса больше на конец периода, чем 100%. ООО «Экспресс» продолжает развиваться и наращивать темпы роста деятельности.
Определим темп роста выручки от продаж:
122088 / 99654 * 100% =122,51%.
102,18%<122,51%. Данное неравенство означает эффективность использования капитала. Таким образом, на каждый вложенный рубль собственного и заемного капитала оборачиваемость капитала возрастает, т.е. получаем больше выручки от продаж продукции.
Для подтверждения этого неравенства рассчитаем оборачиваемость капитала:
Ok0 = N0 / K0 = 99 654 / 362 478 = 0,27 раза
Ok1 = N1 / K1 = 122088 / 370370 = 0,33 раза
Расчеты показывают, что оборачиваемость капитала увеличилась на 0,06, это увеличение не значительно.
Определим темп роста прибыли от продаж:
16428 / 15972 *100% = 102,85%
122,51%> 102,85%. На предприятии темп роста прибыли от продаж меньше, чем темп роста выручки от продажи, т.е. «Золотое правило экономики » не выполняется. Это свидетельствует об относительном росте затрат на производство и продажу продукции в отчетном периоде по сравнению с предыдущим.
2. Фактический и нормативный методы учета затрат
2.1 Метод учета фактических затрат и калькулирования фактической себестоимости
Независимо от множества объектов учета затраты можно исследовать двумя методами — фактическим и методом учета нормативных затрат.
Учет фактических затрат — это метод последовательного накопления данных о фактически произведенных издержках без отражения в учете данных об их величине по действующим нормам.
Нормативный метод учета предполагает предварительное определение нормативных затрат по операциям, процессам, объектам с выявлением в ходе производства отклонений от нормативных затрат. Фактические затраты определяются алгебраическим сложением затрат по нормам и отклонений от них. Пользуясь этим методом, бухгалтер имеет дело с нормативной себестоимостью и отклонениями от нее.
Оба метода направлены на выявление и отражение в конечном счете фактической себестоимости продукции, но первый — путем непосредственного учета затрат, а второй — через отклонения от норм.
Метод учета фактических затрат и калькулирования фактической себестоимости, как правило, является традиционным и наиболее распространенным на отечественных предприятиях.
Учет фактических затрат на производство строится на таких принципах, как: полное и документально оформленное отражение первичных затрат на производство в системе счетов бухгалтерского учета; учетная регистрация их в момент возникновения в процессе производства; локализация затрат по видам производств, характеру расхода, местам возникновения, объектам учета и носителям затрат; отнесение фактически произведенных затрат на объекты их учета и калькулирования; сравнение фактических показателей с плановыми. Применение этого метода позволяет в конечном счете определить фактическую (или «историческую») себестоимость.
Еще в начале XX в. данный метод начал подвергаться критике со стороны ученых-экономистов. Так, Г. Эмерсон затрагивал этот вопрос в своей книге «Производительность труда как основа оперативной работы и заработной платы». В главе, касающейся учета себестоимости, автор подчеркивал медлительность учета при такой системе, а также ошибочность получаемых цифровых данных о себестоимости как следствие «смешения производственных затрат с привходящими (случайными) расходами, которые не имеют даже самого отдаленного отношения к себестоимости». По мнению экономиста, основной недостаток учета фактической себестоимости состоит в том, что этот учет почти не имеет никакой ценности в качестве орудия для устранения потерь.
Другими недостатками учета фактической себестоимости являются:
• неоперативное обеспечение управляющего персонала бухгалтерской
информацией. Данные о стоимости изделий предоставляются лишь спустя известное время по окончании периода, в течение которого выполнялся заказ;
• в отсутствие стандартов (норм) единственный способ использования
бухгалтерских данных для анализа эффективности производства состоит в
сопоставлении себестоимости каждой последующей операции с аналогичной предыдущей. При этом обычно трудно определить, была ли себестоимость предыдущей операции высока или нет;
• данная система не создает никаких предпосылок для четкого выявления основных факторов производства и не сосредоточивает внимание управляющих на его главных недостатках. Управляющие же не могут вникать во все производственные подробности и разбираться в соотношениях отдельных цифр;
• учет фактической себестоимости трудоемок, создает много лишней работы по регистрации хозяйственных фактов, а потому оказывается более дорогостоящим.
Однако основной недостаток этого метода в том, что, применяя его, невозможно оперативно сигнализировать администрации о непроизводительных расходах труда и материалов, которые можно было бы устранить путем принятия экстренных мер.
Таким образом, учет фактических затрат исключает возможность оперативного контроля за использованием ресурсов, выявления и устранения причин перерасхода и недостатков в организации производства, нарушений технологических процессов, изыскания и мобилизации внутри производственных резервов. Ценностное выражение результатов производственной деятельности искажается влиянием разнообразных конъюнктурных колебаний, которые мешают точно определить в каждом конкретном случае, насколько то или иное изменение себестоимости обусловлено успешностью работы самого предприятия и его отдельных подразделений и насколько оно вызвано объективными причинами—удорожанием материалов или ростом других расходов, не зависящих от предприятия. Все это предопределяет ограниченность использования данного варианта учета для принятия управленческих решений, осуществления оперативного внутри хозяйственного бухгалтерского контроля.
Поэтому наиболее прогрессивными оказываются варианты учета нормативных затрат, особенно в условиях рыночных отношений и конкуренции.
2.2 Понятие нормативного метода учета затрат
Нормативный метод учета и калькулирования себестоимости продукции обычно характеризуется тем, что на предприятии по каждому изделию на основе действующих норм и смет расходов составляется предварительная калькуляция нормативной себестоимости изделия. В идеале, если бы в течение месяца все затраты на предприятии соответствовали действующим нормам, нормативам и сметам, а объём производства соответствовал запланированному, фактическая себестоимость изделия была бы равна нормативной. Исходя из этого учет организуют таким образом, чтобы все текущие затраты подразделить на расход по нормам и отклонениям от норм. Данные о выявленных отклонениях позволяют руководителям всех уровней производственного процесса управлять себестоимостью продукции и вместе с тем бухгалтерии калькулировать фактическую себестоимость изделия путем прибавления к нормативной себестоимости изделия (вычитания из неё) соответствующей доли отклонений от норм по каждой статье.
Нормативный метод учета и калькулирования себестоимости продукции в его идеальном виде предусматривает соблюдение следующих принципов:
предварительное составление калькуляции нормативной себестоимости по каждому изделию на основе действующих на предприятии текущих норм и смет;
ведение в течение месяца учета изменений действующих норм для корректировки нормативной себестоимости определения влияния этих изменений на себестоимость продукции и эффективности мероприятий, послуживших причиной изменения норм;
учет фактических затрат в течение месяца с подразделением их на расходы по нормам и отклонениям от норм;
установление и анализ причин, а также условий появления отклонений от норм по местам их возникновения;
определение фактической себестоимости выпущенной продукции как суммы нормативной себестоимости, отклонений от норм и изменений норм.
Осуществление этих принципов в полном объёме и идеальном виде позволяет укрупнить объекты учета затрат, вести аналитический учет не по изделиям, а по группам однородных изделий. Совокупность учетной группы изделий определяется самим предприятием. Важнейшим условием выделения групп является однородность изделий, включаемых в группу, по конструкции и технологии изготовления.
При соблюдении такой последовательности составления калькуляции фактической себестоимости обычно достигаются достоверные результаты о затратах для ценообразования и контроля затрат. Но это наиболее трудоёмкий вариант. Менее трудоёмкими являются варианты, при которых:
в нормативный сбор включают только прямые затраты и, следовательно, нормативную калькуляцию составляют только по прямым затратам;
остатки незавершенного производства при изменении норм не пересчитывают, а все изменения норм и отклонения от них относят на товарный выпуск;
при незначительности изменений в течение отчетного периода норм отдельный учет их не организуют, а рассматривают их вместе с отклонениями норм.
Рассмотрим схему бухгалтерских записей при использовании нормативного метода учета затрат и калькулирования на ООО «Экспресс» за 2 квартал 2009 года (рисунок 2). На нем задействован счет 40 «Выпуск продукции». По дебету счета отражается фактическая себестоимость выпущенной из производства продукции (в корреспонденции со счетом 20 «Основное производство»). По кредиту отражается нормативная себестоимость произведенной продукции (в корреспонденции со счетами 43 «Готовая продукция», 90 «Продажи»). Как уже отмечалось, учет затрат ведется по установленным нормативам, отклонение фактических затрат от нормативных фиксируется отдельно. В данном случае нормативная себестоимость готовой продукции, изготовленной за выбранный период, составила 60 тыс.руб. (проводка 1). В этой же оценке списана себестоимость проданной продукции (проводка 2). Остатков готовой продукции на складе нет. Выручка от продажи продукции — 100 тыс. руб. (проводка 3), следовательно, предварительно выявленный финансовый результат составляет 40 тыс. руб. (проводка 4). Отклонения фактических затрат от нормативных учитываются отдельно и относятся на себестоимость продукции.
Информация о фактической себестоимости готовой продукции собирается по дебету счета 40 (проводка 5). В данном случае сумма фактических затрат составила 50 тыс. руб.

Рисунок 2 - Схема бухгалтерских записей при использовании нормативного метода учета затрат и калькулирования (экономия).
Первого числа каждого квартала на счете 40 определяется отклонение фактической себестоимости от нормативной. На сумму выявленной экономии (фактическая себестоимость ниже нормативной) сторнируется себестоимость проданной продукции. В случае перерасхода (фактическая себестоимость больше нормативной) делается дополнительная запись:
Дебет счета 90 «Продажи», субсчет «Себестоимость продаж»
Кредит счета 40 «Выпуск продукции (работ, услуг)».
В данном случае достигнута экономия в сумме 10 тыс. руб. Поэтому сделана сторнировочная запись (проводка 6):
Дебет счета 90 «Продажи», субсчет «Себестоимость продаж»
Кредит счета 40 «Выпуск продукции, работ, услуг» 10 тыс руб.
и скорректирован финансовый результат (проводка 7):
Дебет счета 90 «Продажи», субсчет «Прибыль/убыток от продаж»
Кредит счета 99 «Прибыли и убытки» 10 тыс руб.
На рисунке 3 рассмотрена обратная ситуация: по результатам работы за месяц установлен перерасход производственных ресурсов против их нормативной величины. Нормативная себестоимость — 60. тыс. руб. (проводка 1), в этой же оценке отражена себестоимость проданной продукции (проводка 2). Фактическая себестоимость составила 75 тыс. руб. (проводка 3). Выручка от продажи продукции — 100 тыс. руб. (проводка 4). Предварительно (до окончания рассматриваемого периода), исходя из нормативных затрат, выведен финансовый результат — 40 тыс.руб. (проводка 5). По окончании отчетного периода на сумму перерасхода сделана дополнительная запись (проводка 6):
Дебет счета 90 «Продажи», субсчет «Себестоимость продаж»
Кредит счета 40 «Выпуск продукции (работ, услуг)» 15 тыс. руб.
и скорректирован финансовый результат (проводка 7):
Дебет счета 90 «Продажи», субсчет «Прибыль/убыток от продаж»
Кредит счета 99 «Прибыли и убытки» 15 тыс. руб.
Счет 40 может применяться при обоих вариантах учета затрат и калькулирования себестоимости продукции: по полной себестоимости или по ограниченной («усеченной») себестоимости.
Особенность счета 40 заключается не только в выявлении отклонений фактической себестоимости готовой продукции от нормативной (эти отклонения и ранее выделялись без выведения их на уровень синтетического учета), но и в том, что отклонения сразу списываются на себестоимость проданной продукции. Как следствие, готовая продукция на складе также оценивается по нормативной себестоимости. Такой порядок ведения счета 40 «Выпуск продукции (работ, услуг)» создает реальные предпосылки для практического использования в российском учете системы «стандарт-кост».

Рисунок 3 - Схема бухгалтерских записей при использовании нормативного метода учета затрат и калькулирования (перерасход)
Норма - это заранее установленное числовое выражение результатов хозяйственной деятельности в условиях прогрессивной технологии и организации производства.
Норма реально рассчитывается на основе технически обоснованных норм расхода материалов и прочих ресурсов, которая, в свою очередь, устанавливается в соответствии с технической документацией на производство продукции. Норматив калькулирования используется для определения фактической себестоимости продукции, оценки брака в производстве и размеров незавершенного производства.
Нормативы должны непрерывно поддерживаться на уровне последних достижений науки и техники, путем их систематического пересмотра, совершенствования методов определения потребности предприятия в средствах производства и разработки технически обоснованных норм расхода сырья, материалов, топлива, электроэнергии, времени. Нормативы расхода производственных ресурсов включают нормативы, определяющие использование живого труда, предметов труда и средств труда.
Нормативами живого труда являются затраты труда рабочего времени, расценки для сдельщиков и тарифные ставки повременщиков, нормы обслуживания рабочих мест и оборудования, нормативы бюджета рабочего времени работников, нормативы численности служащих и др.
По предметам труда разрабатываются нормы расхода сырья и основных материалов на производство единицы продукции (работ) или их слагаемых (г, кг, т), нормы расхода электроэнергии, пара, сжатого воздуха и других видов энергии для технологических целей и хозяйственных нужд, нормы расхода вспомогательных материалов на одно изделие, один машинокомплект, на 1000 руб. выпуска запасных частей и др.
По средствам труда устанавливают нормы амортизационных отчислений, нормы съема продукции с единицы оборудования и с 1
производственной площади, нормативы часовой, сменной и суточной производительности станков, установок и агрегатов, режимы работы оборудования в плановом периоде, нормативные коэффициенты использования оборудования во времени и мощности и др.
Нормы и нормативы использования производственных ресурсов разрабатываются совместно работниками технических служб, планового отдела и бухгалтерии. При разработке этих норм: либо используют данные предыдущего периода, либо заново разрабатывают технически обоснованные нормы.
В первом случае, по существу, нормы и нормативы не разрабатываются, а используются фактически сложившиеся в организации нормы расхода производственных ресурсов со всеми потерями и недостачами.
Разработка технически обоснованных норм и нормативов осуществляется на основе паспортных данных оборудования, отраслевых справочников, экспертных оценок, экспериментов, использования новейшей науки и техники.
При планировании общепроизводственных и общехозяйственных расходов целесообразно использовать нормативные коэффициенты этих расходов. Следует иметь в виду, что для общепроизводственных расходов нормативный коэффициент должен исчисляться отдельно для переменных и постоянных затрат. Нормативный коэффициент переменных общепроизводственных расходов исчисляют делением планируемых переменных общепроизводственных затрат на планируемое количество машиночасов, нормачасов, трудозатрат или другое планируемое количественное выражение определенной базы.
Нормативный коэффициент постоянных общепроизводственных расходов определяют отношением их планируемой величины к планируемому количественному выражению определенной базы (нормочасы трудозатрат или др.).
2.3 Выявление отклонений от норм, определение фактической себестоимости продукции
Отклонения от норм – это выявленная разница между фактическими и нормативными затратами. По содержанию отклонения делят на отрицательные (перерасход) и положительные (экономия).
Отрицательные отклонения возникают при нарушении технологического процесса производства продукции, недостатков в организации и управлении производством (при порче сырья и материалов, наличии брака, при сверхурочных работах и т.п.).
Положительные отклонения, как правило, являются следствием мер, направленных на повышение эффективности производства (при рациональном использовании отходов, устранении брака, совершенствовании технологии производства и т.п.). Положительные отклонения могут возникать при использовании заниженных норм, поэтому нормы периодически пересматривают и при необходимости – повышают.
Для учета отклонений от норм используют следующие способы: документирования, инвентарный, расчетный. Способы документирования и инвентарный используют для учета отклонений по прямым переменным затратам. Расчетный способ применяется, как правило, для учета отклонений по косвенным переменным расходам.
Аналитический учет отклонений от норм осуществляется по местам возникновения затрат, причинам, видам выкупаемой продукции, статьям калькуляции.
Вновь разработанные нормы утверждаются руководителем организации или уполномоченными им лицами. На основе распорядительных документов соответствующие службы выписывают извещения об изменении норм и передают их в цехи, в отдел снабжения и экономические службы. В извещениях указывают нормы до и после изменения, основания для внесения изменений, дату введения новых норм, шифры структурных подразделений, использующих измененные нормы, шифры изделий, по которым изменены нормы, и другие данные. С изменениями, оказывающими влияние на оплату труда рабочих (норм времени и расценок), рабочие должны быть ознакомлены до введения новых норм.
Новые нормы обычно вводят с начала месяца, но они могут вводится и в течение месяца. При значительном количестве изменений норм данные извещений целесообразно записать в карточки (ведомости) учета изменений норм, открываемые на каждое изделие. Итоговые месячные данные по изменению норм используются для корректировки нормативной калькуляции изделий. Кроме того, данные указанных карточек используют для контроля за эффективностью произведенных изменений норм по основным направлениям технического процесса, структурным подразделениям, вида продукции и т.п.
Для контроля за эффективностью мероприятий, обусловивших изменение норм, целесообразно составить классификатор причин изменений норм (таблица 2.1).
Таблица 2.1 - Классификатор причин изменений норм
| Шифр |
Наименование причины |
| Внедрение прогрессивной технологии, механизации и автоматизации производства |
|
| 01 |
Внедрение новых технологических процессов |
| 02 |
Механизация процесса производства |
| 03 |
Автоматизация процесса производства |
| 04 |
Модернизация оборудования и других средств труда |
| 05 |
Совершенствование систем технического контроля |
| 2. Улучшение использования предметов труда |
|
| 11 |
Изменение рецептуры и раскроя материалов |
| 12 |
Замена материалов |
| 13 |
Использование отходов |
| 14 |
Изменение цен на сырье, материалы, полуфабрикаты |
| 3. Совершенствование планирования, организации производства и управления |
|
| 21 |
Совершенствование системы материально - технического снабжения |
| 22 |
Специализация подразделений |
| 23 |
Кооперирование с другими организациями |
| и т.д. |
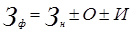
Имея нормативные калькуляции, документы на отклонения от норм и их изменения, бухгалтер рассчитывает фактические затраты отчетного месяца. Фактическая себестоимость продукции определяется алгебраическим сложением суммы затрат по текущим нормам с величиной отклонений от норм и величиной изменений норм.
, (2)
где
- фактические затраты;
- нормативные затраты;
О - величина отклонений от норм;
И – величина изменений норм.
Полная себестоимость продукции, планируемой к выпуску в предстоящем периоде, определяется в обобщенном документе - смете затрат на производство и продажу продукции. Для определения производственной себестоимости из общей суммы затрат на производство прежде всего исключаются затраты, относимые на непроизводственные счета, стоимость работ по капитальному строительству и капитальному ремонту, которые выполнялись для своего предприятия; транспортные услуги, оказываемые сторонним организациям, непромышленным хозяйствам предприятия; стоимость научно-исследовательских работ, выполняемых для сторонних организаций, и т. п.
2.4 Анализ структуры и динамики себестоимости продукции ООО «Экспресс»
Анализ занимает важное место в системе управленческого учета. Проведение анализа позволяет выявлять отклонения показателей в работе предприятия и причины, вызвавшие эти изменения. На основании результатов анализа (в частности показателей затрат на производство) принимаются различные управленческие решения, поэтому немаловажно провести точный, достоверный анализ, позволяющий понять реальную ситуацию на предприятии.
Задачами анализа себестоимости продукции являются:
оценка обоснованности и напряженности плана по себестоимости продукции, издержкам производства и обращения на основе анализа поведения затрат;
установление динамики и степени выполнения плана по себестоимости;
определение факторов, повлиявших на динамику показателей себестоимости и выполнения плана по ним, величины и причины отклонений фактических затрат от плановых;
анализ себестоимости отдельных видов продукции;
выявление резервов дальнейшего снижения себестоимости продукции.
Анализ себестоимости продукции направлен на выявление возможностей повышения эффективности использования материальных, трудовых и денежных ресурсов в процессе производства, снабжения и сбыта продукции.
Анализ фактической себестоимости продукции предприятия заключается в установлении степени ее соответствия нормативным и плановым величинам, изучении причин изменения уровня себестоимости, в выявлении резервов дальнейшего ее снижения.
Анализ себестоимости единицы важнейших видов продукций позволяет определить, за счет чего именно произошло повышение или понижение плановых затрат. Для глубокого анализа себестоимости продукции следует проанализировать себестоимость товарной продукции по калькуляционным статьям расходов.
Использование системы калькуляции себестоимости по нормативным издержкам делает возможным подробный анализ отклонений по каждому центру ответственности.
Нормативные затраты определяются заранее. Они являются плановыми. Нормативные затраты - это не то же самое, что и сметные затраты. Смета относится ко всей деятельности или операции; норма дает ту же информацию о единице продукции. Норма обеспечивает оценку затрат на единицу производства, а смета - оценку затрат на весь объем деятельности.
Чтобы установить нормативные затраты на продукт, необходимо оценить плановые затраты труда, материалов и накладные расходы. Затем они суммируются, образуя нормативные затраты на производство продукта.
Нормативные затраты на продукт определяются посредством технического анализа следующим образом.
Нормы на материалы. Они основаны на спецификациях изделий, которые определяются после исследования количества вводимых материалов, необходимых для изготовления каждой единицы продукции. Затем нормативные расходы умножаются на цены.
Нормы трудозатрат. Чтобы установить нормы трудозатрат, необходимо проанализировать все виды деятельности по различным операциям. Каждую операцию анализируют и вычисляют допустимое время, которое требуется среднему рабочему для выполнения работы.
Нормы накладных расходов. Процесс установления нормативных ставок распределения накладных расходов для системы калькуляции себестоимости по нормативным издержкам. Основное отличие заключается в том, что накладные расходы рассчитываются по почасовым ставкам, умноженным на нормо-часы (т. е. время, которое должно быть затрачено), а не на фактически отработанное время.
Далее проанализируем себестоимость продукции, которая является важнейшим показателем экономической эффективности ее производства. В ней отражаются все стороны хозяйственной деятельности, аккумулируются результаты использования всех производственных ресурсов. От ее уровня зависят финансовые результаты деятельности предприятий, темпы расширенного воспроизводства, финансовое состояние субъектов хозяйствования, конкурентоспособность продукции.
Анализ себестоимости продукции, работ и услуг является важным инструментом в системе управления затратами. Он позволяет изучить тенденции изменения ее уровня, установить отклонение фактических затрат отнормативных (плановых) и их причины, выявить резервы снижения себестоимости продукции и выработать мероприятия по их освоению.
На предприятии ООО «Экспресс» планированием и анализом себестоимости занимается планово-экономический отдел. Работники отдела составляют нормативные калькуляции и плановые сметы затрат. Планово-экономический отдел также проводит анализ себестоимости по видам выпускаемой продукции, выявляет отклонения от норм и нормативов. Этот анализ особенно важен для изучения наиболее рентабельной продукции и убыточных позиций, так как цель любого предприятия – получение прибыли.
Анализ и причины отклонений передаются руководству для принятия обоснованных управленческих решений.
Объектами анализа себестоимости продукции являются следующие показатели:
- абсолютная сумма затрат в целом по элементам, в т.ч. динамика и структура затрат, выполнение плановых и нормативных показателей, а также факторный анализ изменения себестоимости продукции;
- издержкоемкость продукции, характеризующая затраты на 1 руб. товарной продукции и факторный анализ изменения этого показателя;
- себестоимость изделий отдельных видов продукции, в т.ч. отклонения от нормативных показателей, выявление причин отклонений, а также анализ влияния факторов на изменение себестоимости основных видов продукции.
Очень важное значение в процессе управления затратами имеет деление на постоянные и переменные в зависимости от объема деятельности организации.
Переменные затраты зависят от объема производства продукции. В основном это прямые затраты ресурсов на производство продукции (прямая заработная плата, расход сырья, материалов, топлива, электроэнергии и др.).
Постоянные затраты не зависят от динамики объема производства. Это амортизация, заработная плата обслуживающего персонала, расходы, связанные с управлением и организацией производства и т.д.
ООО «Экспресс» более выгодно, если на единицу продукции приходится меньшая сумма постоянных затрат, что возможно при достижении максимума объема производства продукции на имеющихся производственных мощностях. Если при спаде производства продукции переменные затраты сокращаются пропорционально, то сумма постоянных затрат не изменяется, что приводит к росту себестоимости продукции и уменьшению суммы прибыли.
Анализ себестоимости продукции обычно начинают с изучения структуры и динамики общей суммы затрат в целом по предприятию и по основным элементам.
На отклонение себестоимости продаж в отчетном периоде по сравнению с бизнес планом или уровнем предыдущего периода влияют следующие факторы: изменение объема и структуры произведенной и проданной продукции; изменение себестоимости отдельных изделий; изменение продажных цен.
Для предприятия ООО «Экспресс» факторный анализ себестоимости продаж проводится способом цепных подстановок.
Обобщающим показателем себестоимости являются затраты на рубль продукции (Z), который рассчитывается в копейках по следующей формуле:
Z0 = S / N0 * 100 копеек = ((Sпер.0 + Sком.р. 0 ) / N0 ) * 100 коп. (3)
где: S – себестоимость продукции;
Sпер – переменные затраты;
Sком.р – коммерческие расходы
1. Z0 = ((82 738 + 944) / 99 654) * 100 = 83,97 коп.
Z1 = S / N1 * 100 копеек = ((Sпер.1 + Sком.р. 1 ) / N1 ) * 100 коп. (4)
2. Z1 = (( 105 658 + 2) / 122 088) *100 = 86,54 коп.
3. ΔZ = Z1 - Z0 = 86,54 – 83,97 = 2,57 коп.
Zусл. 1 = ((Sпер1 + Sком.р. 0 ) / N0 ) * 100 коп. (5)
4. Zусл. 1 = (( 105 658 + 944) / 99 654) * 100 = 106,97 коп.
Δ Z1 = 106,97 – 83,97 = 23 коп. – рост затрат на рубль продукции в результате увеличения переменных расходов.
Zусл. = ((Sпер1 + Sком.р. 1 ) / N0 ) * 100 коп. (6)
5. Zусл. 2 = (( 105 658 + 4 ) / 99 654) * 100 = 106,03 коп.
Δ Z2 = 106,03 – 106,97 = - 0,94 коп. – снижение затрат на рубль продукции в результате снижения коммерческих расходов.
6. Δ Z3 = 86,54 – 106,03 = - 19,49 – снижение затрат на рубль продукции в результате роста выручки от продажи.
Составим баланс факторов:
86,54 - 83,97 = 23 + (- 0,94 ) + (- 19,49 )
2,57 = 2,57
Вывод: на увеличение затрат на рубль продукции в размере 2,57 коп.в отчетном периоде по сравнению с предыдущим рост себестоимости повлиял отрицательно. Темп роста затрат значительно выше, чем темп роста выручки от продажи, поэтому в целом затраты на рубль продукции выше. Как известно, рост выручки от продажи достигается в основном за счет роста продажных цен.
На основании анализа структуры и динамики себестоимости товарной продукции за 2007, 2008, 2009 гг. (Приложение Д) можно сделать вывод, что по итогам трех лет предприятие ООО «Экспресс» безубыточно (в части валовой прибыли).
Существует тенденция к повышению рентабельности, что свидетельствует об отлаженной работе по управлению процессом формирования затрат, оперативном выявлении причин отклонений от норм и их устранению, выявлению резервов снижения себестоимости и успешной их продажи.
Затраты на 1 руб. товарной продукции (ТП) соответственно снижаются. В 2007г. затраты на 1 руб. ТП составили 89,55 коп., в 2008г. снизились на 5,58 коп., а в 2009г. по сравнению с 2007г. на 3,01 коп.и составили 86,54 коп.
Далее надо проанализировать факторы снижения затрат на 1 руб. ТП., но, заглядывая вперед, можно отметить, что затраты на 1 руб. ТП снизились в основном за счет экономии прямых материальных затрат.
За анализируемые 3 года прямые материальные затраты на 1 руб. ТП снизились с 69,76 до 62,22 коп., что составило 12,12%.
Прямые трудовые затраты на 1 руб. ТП выросли за 3 года на 26%. В основном это произошло из-за простоев вследствие перебоев и недопоставки материалов и комплектующих, поставки бракованных изделий. Работникам простой оплачивается 1/3 от тарифной ставки. Затем, чтобы выполнить план производства, руководство выводит рабочих в нерабочее время за двойную оплату. Сумма ЕСН соответственно растет пропорционально заработной плате.
В целом затраты на оплату труда за анализируемый период повысились на 76,1%, в т.ч. за 2008г. на 23,5% и за 2009г. на 52,6%. На ООО «Экспресс» проводится индексация тарифных ставок и окладов, что тоже привело к увеличению заработной платы.
Удельный вес амортизации за 2007-2008 остался на уровне, в 2009г. немного повысился за счет проведенной переоценки основных средств.
Самый большой рост произошел в 2008г. по сравнению с 2007г. по статье «прочие затраты». Это объясняется тем, что ООО «Экспресс» взял в лизинг имущество, за которое ежемесячно перечислял лизинговые платежи.
Также большой скачок наблюдается в 2008-2009 гг. по коммерческим расходам. Это в основном расходы по перевозке готовой продукции. В 2007-2009гг. уже видим незначительный рост коммерческих расходов, произошедший из-за увеличения тарифов по перевозке грузов.
Постоянные (накладные) расходы на предприятии за анализируемый период имеют тенденцию к повышению за счет роста суммы вспомогательных материалов, индексации заработной платы обслуживающего и управляющего производством персонала.
Удельный вес за счет перечисленных затрат постоянных расходов увеличивается несмотря на рост объема товарной продукции. Но при всем этом видно тенденцию к снижению процента накладных расходов, который на ООО «Экспресс» определяется отношением накладных расходов к заработной плате основных производственных рабочих. Это происходит только из-за роста общепроизводственных расходов.
Рассмотрим пример факторного анализа изменения производственных затрат на рубль товарной продукции. Для сравнения возьмем данные 2008 года и 2009 (таблица 2.2).
Таблица 2.2 – Изменение производственных затрат
| Показатели |
2008 |
2009 |
Изменение(+,-) |
Темп роста, % |
Темп прироста, % |
| Производственна себестоимость |
80 256 |
102 805 |
+ 22 549 |
128,09 |
+ 28,09 |
| Товарная прод-ия |
99 654 |
122 088 |
+ 22 434 |
122,51 |
+22,51 |
| Затраты на 1 руб. коп. |
80,53 |
84,21 |
+ 3,68 |
+ 104,57 |
+4,57 |
Zпроизв. 0 = (Sпроизв. 0 / ТП0 )*100 коп. (7)
1.Zпроизв. 0 = 80 256 /99 654 * 100 = 80, 53 коп.
Zпр. усл.1 = (S пр. усл.1 / ТП0 )*100 коп. (8)
2. 102 805 / 99 654 * 100 = 103,16 коп.
3. ΔZ = Z1 - Z0 = 103,16 – 80,53 = 22, 63 коп.
Zпр. 1 = (S пр. 1 / ТП1 )*100 коп. (9)
4. 102 805 / 122 088 * 100 = 84,21 коп.
5. Δ Z1 = 84,21 – 103,16 = - 18,95 коп.
6. Баланс факторов :
22,63 + (-18,95) = 3,68
Вывод: на уменьшение производственных затрат на рубль товарной продукции в размере 2,24 коп.в отчетном периоде по сравнению с предыдущим рост себестоимости повлиял отрицательно, а рост выпуска товарной продукции положительно. Темп роста выпуска товарной продукции значительно ниже, чем темп роста производственной себестоимости. Отсюда следует что затраты на рубль продукции повышаются, при росте производственной себестоимости.
По той же методике, проведем факторный анализ полных затрат на товарную продукцию. Обратимся к таблице 2.3, в которой представлены данные для проведения анализа.
Таблица 2.3 – Динамика изменений полной себестоимости продукции
| Показатели |
2007 |
2009 |
Изменение(+,-) |
Темп роста, % |
Темп прироста, % |
| Полная себестоимость |
70 548 |
105 660 |
+ 35 110 |
149,77 |
+ 49,77 |
| Товарная продукция |
78 781 |
122 088 |
+ 44 307 |
154,97 |
+54,97 |
| Затраты на 1 руб, коп. |
89,55 |
86,54 |
- 3,01 |
96,63 |
- 3,36 |
Zполн. 0 = (Sполн. 0 / ТП0 )*100 коп.
1. Zполн. 0 = 70 548 /78 781 * 100 = 89,55 коп.
Zполн. усл.1 = (S полн. усл.1 / ТП0 )*100 коп.
2. 105 658 / 78 781 * 100 = 134,12 коп.
3. ΔZ = Z1 - Z0 = 134,12 – 89,55 = 44,57 коп.
Zполн. 1 = (S полн. 1 / ТП1 )*100 коп.
4. 105 658 / 122 088 * 100 = 86,54 коп.
5. Δ Z1 = 86,54 – 134,12 = - 47,58 коп.
6. Баланс факторов :
44,57 + (-47,58) = - 3,01
Вывод: Темп роста выпуска товарной продукции значительно выше, чем темп роста полной себестоимости. Отсюда следует что затраты на рубль продукции снижаются, даже при росте полной себестоимости, что является положительным фактором для предприятия.
3. Реализация современных методов учета затрат на предприятии по системам «Директ-костинг» и «Стандарт-кост»
3.1 Система «Стандарт-кост» как продолжение нормативного метода учета затрат
Система «Стандарт-кост» для отечественного учета является новым методом, хотя ее зарождение связано с началом XX в. Первые упоминания о ней встречаются в книге Г. Эмерсона «Производительность труда как основа оперативной работы и заработной платы». Он считал, что традиционная бухгалтерия «имеет тот недостаток, что никакого отношения между тем, что есть, и тем, что должно было бы быть, не устанавливает». Это, по мнению Эмерсона, весьма существенный дефект традиционной бухгалтерии. Но есть и еще один, связанный с тем, что бухгалтерия игнорирует качественную сторону объектов. «Мы знаем их цену, но не ценности». Это значит, что если какие-либо ценности, например уголь, имеют одну и ту же цену, то независимо от качества этого угля, его калорийности, он будет учитываться по цене, качественно обезличенно. Эмерсон писал, что «подлинная цель учета состоит в том, чтобы увеличить число и интенсивность предостережений». Эти предостережения нужны для нахождения правильного курса хозяйственной деятельности предприятия. Суть их — в фиксации всех отклонений от нормы. Учет должен быть обращен в будущее, ибо «предвидеть — значит предупреждать». Следовательно, весь хозяйственный процесс должен быть строго проконтролирован еще до его реального начала. Однако «никаких норм, кроме норм, уже достигнутых в прошлом, бухгалтерия выставить не может», а без норм хозяйственная деятельность лишается цели и, что еще хуже, администрация не может судить о производительности работы предприятия.
Г. Эмерсоном вводится новая для учета категория —производительность. Основываясь на данных учета, она рассчитывается как частное:
Зф / Зн , (10)
где Зф — фактический расход какого-либо производственного ресурса, руб.;
Зн — нормативный расход этого ресурса, руб.
При этом Зн не могут быть больше Зф . Чем меньше разность Зф - Зн , тем выше производительность .
Однако среди специалистов счетной профессии идеи Г. Эмерсона не сразу нашли должную поддержку. Лишь в конце 1918 г. в США появляется ряд статей Д.Ч. Гаррисона на тему «Учет себестоимости в помощь производству». В них не только обращалось внимание на неувязки системы учета «исторической» себестоимости — они содержали многочисленные описания вариантов системы «Стандарт-кост», которые Д.Ч. Гаррисон ввел в практику на предприятиях различного профиля и размеров.
Идеи, высказанные Г. Эмерсоном, трансформировались Д.Ч. Гаррисоном в два положения:
• все понесенные расходы должны быть соотнесены в учете со стандартными (нормативными);
• увеличение и уменьшение при сравнении действительных расходов со стандартными должно быть дифференцировано по причинам.
Другим важным обстоятельством, способствовавшим признанию системы «Стандарт-кост», было учреждение национальной ассоциации бухгалтеров-производственников, возникшей в США в 1919 г., которая сыграла большую роль в подготовке и переподготовке бухгалтерских кадров.
Понятие «Стандарт-кост», подобно большинству новых понятий, в первое время имело различные наименования. В частности, использовались такие термины, как «нормативная себестоимость» (predetermined), «сметная себестоимость», т.е. скалькулированная предварительно (estimated), и др.
Название «Стандарт-кост» (StandardCosts) приобрело, однако, наибольшее распространение и в широком смысле подразумевает себестоимость, установленную заранее (в противоположность себестоимости, данные о которой собираются).
Советские экономисты ознакомились с идеями Д.Ч. Гаррисона в 1933 г., когда в СССР был опубликован перевод книги «Стандарт-кост».
В вышедшей годом позже книге другого американского экономиста, Т. Дауни , рассматривался упрощенный «стандарт-кост», излагались методы и техника бухгалтерских проводок в стабильной оценке и с последующей корректировкой их для приведения результатов учета к фактическому уровню, т.е. предлагалась бухгалтерская система учета производственных издержек, использующая принцип отклонений и поправочных коэффициентов лишь в итоговых цифрах, чтобы отчетливее отделить затраты, обусловленные производственной деятельностью предприятия, от всех прочих.
Реализация системы, предложенная Т. Дауни, предполагала наличие предварительного калькулирования, но не нуждалась в решении детальныхвопросов организации производства, которые поднимались Д.Ч. Гаррисоном.
Таким образом, исторически «Стандарт-кост» явился прообразом отечественной системы нормативного учета.
В 1931 г. Институт техники управления предпринял детальное изучение возможных путей реализации и практического применения системы «Стандарт-кост». Большой вклад в решение этого вопроса внес М.Х. Жебрак, представив данную систему в виде нормативного метода учета затрат.
Смысл системы «Стандарт-кост» заключается в том, что в учет вносится то, что должно произойти, а не то, что произошло, учитывается не сущее, а должное, и обособленно отражаются возникшие отклонения. Основная задача, которую ставит перед собой данная система, — учет потерь и отклонений в прибыли предприятия. В ее основе лежит четкое, твердое установление норм затрат материалов, энергии, рабочего времени, труда, заработной платы и всех других расходов, связанных с изготовлением какой либо продукции или полуфабрикатов. Причем установленные нормы нельзя перевыполнить. Выполнение их даже на 80% означает успешную работу. Превышение нормы означает, что она была установлена ошибочно.
Рассмотрим на примере. Необходимо установить норму трудозатрат на выполнение конкретной операции. Проведен хронометраж выполнения этой операции пятью рабочими. При этом установлено, что первый рабочий затратил на ее выполнение 610 с, второй — 575 с, третий — 590 с, четвертый — 675 с, пятый — 698 с. Казалось бы, что можно отобрать три наименьших показателя трех рабочих и рассчитать из них среднюю арифметическую (592 с). Однако такой подход неверен.
Ф. Тейлор — основоположник научной организации труда в промышленности — показал, что время обработки детали на станке складывается из двух слагаемых: времени подготовительно-заключительной работы и времени непосредственной работы на оборудовании.
Подготовительно-заключительное время включает затраты времени на наладку оборудования, установку съемных приспособлений (например, резцов), затраты времени на подачу к станку предмета труда и т.д. Это ручные операции, продолжительность которых зависит от сноровки и умения рабочего.
Второе слагаемое — время работы станка — зависит от других факторов: скорости работы рабочих органов оборудования (скорости резания), скорости подачи предмета труда, качества применяемых резцов и т.п. Отсюда следует, что при установлении нормы трудозатрат должен быть учтен каждый из названных факторов (таблица 3.1).
Таблица 3.1 – Расчет нормы трудозатрат
| Рабочие |
Продолжительность подготовительно-заключительного времени , с |
Продолжительность работы на станке, с |
Итого, с |
| Первый |
230 |
380 |
610 |
| Второй |
205 |
370 |
575 |
| Третий |
285 |
305 |
590 |
При рассмотрении этих данных становится ясно, что третий рабочий сравнительно медленно справляется с выполнением подготовительно-заключительных операций, но что его машинное время — наиболее короткое из всех учтенных. Просуммировав минимальную продолжительность подготовительно- заключительного времени второго рабочего (205 с) и продолжительность работы на станке третьего рабочего (305 с), за норму можно принять 510 с.
Отсюда видно, что, приняв за норму трудозатрат 592 с, был бы совершен серьезный просчет.
Подобное нормирование в условиях системы «Стандарт-кост» осуществляется в отношении всех затрат, связанных с производством и продажей продукции. В конечном счете рассчитывается стандартная (нормативная) себестоимость. Для ее расчета все затраты, связанные с изготовлением продукции, предварительно классифицируются по статьям расходов. На практике в некоторых случаях бывает трудно определить, к какой группе относятся те или иные затраты. И тогда управляющий должен решить этот вопрос самостоятельно.
Расчет стандартной себестоимости имеет определенный алгоритм. Так, все операции, связанные с изготовлением изделия, нумеруются. Определяется перечень сдельных и повременных работ, приходящихся на данное изделие. Расходы на повременные работы определяются умножением стандартного времени, необходимого для выполнения операции, на стандартную часовую ставку. Стандартная стоимость материалов рассчитывается как произведение стандартной цены на стандартный расход. В качестве стандартных цен, как правило, используются рыночные. Они рассчитываются из условий франко-станция назначения. Самостоятельным расчетом является определение ставки распределения косвенных расходов. Как уже отмечалось, наиболее распространенной базой для их распределения между отдельными изделиями являются затраты на основную заработную плату производственных рабочих. Если на предприятии несколько цехов и их трудозатраты приблизительно одинаковы для всех выпускаемых изделий, то можно избежать сложных вычислений по распределению накладных расходов по цехам, воспользовавшись одной общей (унифицированной) ставкой косвенных расходов. Если структура предприятия сложнее и оно пользуется цеховыми ставками распределения накладных расходов, то стандартную себестоимость также приходится дифференцировать по цехам.
Обобщая сказанное, можно назвать три возможных метода включения косвенных расходов в стандартную себестоимость. Они предполагают использование:
1) ставки распределения на каждый станок цеха;
2) ставки, установленной для каждого цеха;
3) общей (унифицированной) ставки.
Более точные результаты, бесспорно, дает первый метод, являющийся наиболее трудоемким. Им пользуются в тех случаях, когда требуется особая точность в расчетах стандартной себестоимости.
В условиях системы «Стандарт-кост» стандарты рассчитываются не только для производственной себестоимости, но также и для всех прочих факторов, влияющих на доходность, например для объемов продаж, для коммерческих и административных расходов и т.д. Данная система внедряется организациями как средство контроля затрат и результатов.
Характерной особенностью установление стандартов является их согласование с исполнителем, т.е. лицами, ответственными за соблюдение и достижение стандартов.
Рассмотрев общие принципы системы «Стандарт-кост», обратимся к конкретному примеру, иллюстрирующему методику расчета и анализа отклонений. Одним из видов деятельности ООО «Экспресс» является производство балконных плит. Перед выпуском плит отделом продаж проводится исследование рынка, по результатам которого планируется объем выпуска. Далее следует заказ на необходимые материалы: бетонную смесь и арматуру. В связи с тем, что предприятием используется изношенное оборудование, оно вынуждено закупать бетон с запасом. После получения необходимых материалов производится изготовление плит, после чего они поступают на склад для продажи.
Смета доходов и расходов предприятия на предстоящий период, исходя из производства 1000 балконных плит, представлена в Таблице 3.2.
По истечении планового периода в системе бухгалтерского управленческого учета подводятся итоги выполнения сметы. Оказалось, что вместо запланированного выпуска в 1000 плит реально произведено 800 ед. продукции.
В таблице 3.3 представлены данные о фактических показателях анализируемого предприятия (объем производства - 800 плит).Сравнение данных этих таблиц позволяет сделать вывод о том, что производственным отделом допущены отклонения от стандартных затрат по:
1) использованию материалов;
2) начислению заработной платы основным производственным рабочим;
3) общепроизводственным расходам.
Цель системы «Стандарт-кост» — правильно и своевременно рассчитать эти отклонения и записать их на счетах бухгалтерского учета.
Таблица 3.2 – Смета доходов и расходов на предстоящий плановый период ООО «Экспресс»
| Показатели |
Сумма, руб. |
| Выручка от продаж (1000 * 450) |
450 000 |
| Основные материалы: бетон (1 200 * 68 руб./ед ) арматурная конструкция (1000ед. * 18 руб./ед) |
81 600 18 000 |
| Итого прямых материальных расходов |
99 600 |
| Заработная плата производственных рабочих (9000ч * 10 руб. за час) |
90 000 |
| Общепроизводственные расходы: переменные (по 4 руб. за 1ч т труда ОПР) постоянные (по 7 руб. за 1 ч труда ОПР) |
36 000 63 000 |
| Всего расходов |
288 600 |
| Прибыль |
161 400 |
Таблица 3.3 – Отчет об исполнении сметы в ООО «Экспресс»
| Показатели |
Сумма, руб. |
| Выручка от продаж (800 * 600) |
480 000 |
| Основные материалы: бетон (1 000 * 70 руб./ед ) арматурная конструкция ( 1 000ед. * 20 руб./ед) |
70 000 20 000 |
| Итого прямых материальных расходов |
90 000 |
| Заработная плата производственных рабочих (8500ч * 11 руб за час) |
93 500 |
| Общепроизводственные расходы: переменные постоянные |
32 000 59 500 |
| Всего расходов |
275 000 |
| Прибыль |
205 000 |
На первом этапе анализируют отклонения по материалам. Как отмечалось выше, стандартная стоимость потребленных материалов зависит от двух факторов — стандартного расхода материала на единицу продукции и стандартной цены на него.
Определим отклонение фактических затрат от стандартных под влиянием первого фактора — цен на материалы. Формула расчета этого отклонения ΔЦМ может быть представлена в виде:
ΔЦМ = (Фактическая цена за единицу - Стандартная цена за единицу) х Количество закупленного материала.
Исходя из данных таблицы 3.2 и 3.3, определим размер отклонений фактических затрат от стандартных по ценам на бетон и арматуру.
Бетон:
ΔЦМ б = (70-68) х 1000 = + 2000 руб.
Арматурная конструкция:
ΔЦМ а = (20-18) х 1000 = + 2000 руб.
Отклонения фактических материальных затрат от стандартных — неблагоприятные (Н), допущен перерасход средств в сумме 4 000 рублей.
Расчет отклонений — не самоцель. Бухгалтер-аналитик обязан вскрыть причины возникающих неблагоприятных отклонений, с тем чтобы в дальнейшем ответственность за них была возложена на руководителя соответствующего центра ответственности. В данном случае возникшее неблагоприятное отклонение является для начальника производства неконтролируемым, так как в связи с инфляцией цены на бетон выросли. Увеличение стоимости арматурных конструкций связано с ростом курса доллара: конструкции получены по внешнеторговому контракту, и предприятием уплачена большая сумма таможенных пошлин и сборов, чем было запланировано.
Вторым фактором, влияющим на размер материальных затрат, является удельный расход материалов, т.е. их затраты на единицу продукции. Сравним стандартный расход бетона с фактическим: согласно смете затрат, стандартный расход на одну балконную плиту должен был составить 1,1 (1200 : 1000) шт.
Фактический удельный расход составил 1,11 (1000 :800) (таблица 3.2 ). С учетом того, что фактически произведено 800 балконных плит, стандартный расход бетона равен: 1,1 х 800 = 880 ед. Аналогичные расчеты можно выполнить и по арматурным конструкциям. Формула расчета отклонения фактических затрат от стандартных по использованию материалов ΔИМ :
ΔИМ = (Фактический расход материалов - Стандартный расход материалов) х Стандартная цена материалов.
Тогда по бетону имеем:
ΔИМ б = (1000 - 880) х 70 руб. = + 8400 руб. — отклонение неблагоприятное (Н).
По арматурным конструкциям:
ΔИМ а = (1000 - 800) х 18 руб. = + 3600 руб. — отклонение неблагоприятное (Н). Перерасход связан с низким качеством закупленного материала.
Ответственность за выявленные отклонения должна быть возложена на отдел закупок.
Далее рассчитаем совокупное отклонение расхода бетона от стандартного с учетом обоих факторов. Совокупное отклонение по материалам (Δсов.) — это разница между фактическими затратами на материал и стандартными затратами с учетом фактического выпуска продукции. Стандартные удельные затраты бетона: 81,6 руб./ед. (81 600 руб.: 1000 ед.). С учетом фактического объема производства (800 ед.) общая сумма стандартных затрат по балкам составит:
81,6 руб. х 800 = 65 280 руб.
Фактические затраты бетона составляют 70 000 руб. Следовательно, совокупное отклонение по балкам Δсов.б равно:
Δсов.б = 70 000 – 65 280 = +4 720 руб. (Н).
Оно складывается под действием двух факторов: отклонение по цене (ΔЦМ б) + 2000(Н) отклонение по использованию материала (ΔИМ б) + 8400(Н) + 10 400(Н)
Аналогичные расчеты выполним по арматурной конструкции. Сумма совокупного отклонения Δсов.а в этом случае составит:
Δсов. а = 20000 - 18000 : 1000 х 800 = + 5600руб.(Н)
Оно складывается из:
отклонения по цене (ΔЦМ а ) + 2000(Н) отклонения по использованию материала (ΔИМ а)+ 3600(Н)
+ 5600(Н)
Прежде чем перейти к расчету следующих отклонений, обратимся к технике бухгалтерского учета. Как отмечалось выше, особенностью системы «Стандарт-кост» является учет стандартных издержек и отдельно — возникших отклонений фактических затрат от стандартных. Порядок учетных записей в системе «Стандарт-кост» отражен на рисунке 4.

![]()
Рисунок 4 – Схема отражения на счетах учетных записей при калькулировании себестоимости по системе «Стандарт - кост»
Задолженность поставщику за приобретенные материалы (Дебет счета 10 «Материалы» Кредит счета 60 «Расчеты с поставщиками и подрядчиками») учтена по стандартным (учетным) ценам: за бетон — 68 000 руб, за арматурную конструкцию — 18 000 руб. Списание материалов на основное производство (Дебет счета 20 «Основное производство» Кредит счета 10 «Материалы») производится по стандартным затратам, скорректированным на фактический объем производства. Стоимость потребленного бетона списана в сумме 65 280 руб., арматурные конструкции — в размере 14 400руб.
Отдельно в бухгалтерском учете отражаются возникшие отклонения. С этой целью на схеме (рисунок 4) использован балансовый счет 16. Отечественным планом счетов он предназначен для учета отклонений в стоимости материалов. В данном случае по этому счету отражаются все возникшие отклонения от стандартных издержек — по материалам, трудозатратам, накладным (косвенным) расходам. При этом благоприятные отклонения записываются по кредиту счета, неблагоприятные — по дебету.
На рисунке видно, что счет 10 «Материалы» регулируется счетом 16/10, к которому открыто два субсчета — субсчет «Отклонение по ценам» и субсчет «Отклонение по использованию материалов». С учетом записей по счету 16/10 «Отклонение по ценам» задолженность поставщику возросла на 2000 руб. (неблагоприятное отклонение по стоимости бетона) и на 2000 руб. (неблагоприятное отклонение по арматуре). Итак, фактическая сумма задолженности поставщикам материалов, формируемая по кредиту счета 60 «Расчеты с поставщиками и подрядчиками» и представляющая собой алгебраическую сумму двух показателей — слагаемого, рассчитанного по установленным нормам, и возникшего отклонения, составит:
за приобретенные бетон — 68 000 + 2 000 = 70 000 руб.
за арматурные конструкции — 18 000 + 2 000 = 20 000 руб.
В результате записей по счету 16/10 «Отклонение по использованию материалов» фактический расход материалов в производстве (кредитовый оборот счета 10 «Материалы») возрос на 6 320 руб. Он вызван перерасходом материалов обоих видов против установленных стандартов.
Вторым этапом расчетов является выявление отклонений фактической заработной платы основных производственных рабочих от стандартной и установление причин их возникновения. Общая сумма начисленной заработной платы при почасовой форме оплаты труда зависит от количества 194 фактически отработанного времени и от ставки оплаты труда. Соответственно и размер отклонения фактически начисленной заработной платы основных рабочих от ее стандартной величины определяется двумя факторами:
отклонением по ставке заработной платы и отклонением по количеству отработанных часов, т.е. по производительности труда.
Отклонение по ставке заработной платы (ΔЗПСТ ) определяется как разница между фактической и стандартной ставками заработной платы, умноженная на фактическое число отработанных часов:
ΔЗПСТ = (Фактический ставка заработной платы – Стандартная ставка заработной платы) х Фактически отработанное время.
Исходя из данных таблиц 3.2 и 3.3, имеем:
ΔЗПСТ = (11 - 10) х 8500 = + 8500 руб. (Н).
Зависит ли это неблагоприятное отклонение от руководителя производственного подразделения? Если неквалифицированная работа выполняется в цехе высококвалифицированным рабочим, а потому и оплачивается по повышенной ставке, то зависит. Если администрация предприятия была вынуждена повысить уровень заработной платы персоналу цеха вследствие забастовки профсоюзов рабочих, инфляции или по другим объективным причинам, то не зависит.
Отклонение по производительности (ΔЗПпт) труда определяется следующим образом:
ΔЗПпт = (Фактически отработанное время в часах – Стандартное время на фактический выпуск продукции) х Стандартная почасовая ставка заработной платы.
Фактически отработанное время составило 8500 ч (Таблица 3.3). Стандартная трудоемкость рассчитывается по данным таблицы 6 на основании следующей информации: ожидаемый объем производства—1000 ед., стандартные трудозатраты на этот объем — 9000 ч. Следовательно, стандартная трудоемкость равна 9,0 ч (9000 : 1000).
Отсюда отклонение по производительности труда составит:
ΔЗПпт = (8500 – 9,0 х 800) х 10 = + 13000 руб. (Н).
Причины этих отклонений могут носить как объективный (не зависящий от работы цеха), так и субъективный (зависящий от деятельности начальника цеха) характер. Объективные факторы — низкое качество основных материалов, в результате чего резко возрастают трудозатраты основных рабочих. В этом случае ответственность ложится на начальника отдела снабжения. В числе других объективных причин — отсутствие квалифицированных рабочих кадров, низкое качество работ по ремонту оборудования, его физический и моральный износ, недостатки в организации труда. За все эти изъяны в производстве отвечает администрация предприятия. В нашем случае причиной этого неблагоприятного отклонения являются простои оборудования вследствие его физического и морального износа. Примерами субъективных причин могут быть нарушения трудовой дисциплины в цехе, неудовлетворительная организация рабочих мест и др.
Наконец, определяется совокупное отклонение фактически начисленной заработной платы от ее стандартной величины (ΔЗП). Для этого пользуются формулой:
ΔЗП = (Фактически начисленная заработная плата основных рабочих - Стандартные затраты по заработной плате с учетом фактического объема производства).
Сумма фактически начисленной заработной платы — 93 500 руб. (таблица 3.3) Стандартную заработную плату рассчитаем следующим образом.
Исходя из сметы затрат (таблица 3.2), сумма стандартной заработной платы составляет 90 000 руб. Она рассчитана на выпуск 1000 балконных плит. Следовательно, стандартная заработная плата в расчете на единицу продукции равна: (90 000 : 1000) = 90 руб.
Пересчитанная на фактически достигнутый объем производства, стандартная заработная плата составит: 90 х 800 = 72 000 руб.
Тогда совокупное отклонение по трудозатратам (ΔЗП) определится следующим образом:
ΔЗП = 93 500 - 72 000 = + 21 500 руб. (Н).
Как показали расчеты, оно сформировалось под воздействием двух факторов:
отклонения по ставке заработной платы (ΔЗП СТ ) + 8500 (Н)
отклонения по производительности труда (ΔЗП пт ) + 13 000 (Н)
+ 21 500 (Н)
В схеме учетных записей (рисунок 4) списание заработной платы, начисленной основным производственным рабочим, отражается по стандартным затратам как произведение фактического выпуска продукции в
нормо-часах и нормативной ставки заработной платы.
Нормочас— это время, которое необходимо затратить на производство единицы продукции в условиях наиболее эффективной работы предприятия. Производство в нормо-часах рассчитано следующим образом. Из сметы видно, что производство 1000 плит требует 9000 ч трудозатрат, т.е. норма времени на выпуск одного изделия составляет 9,0 ч (9000 :1000). Фактический выпуск продукции — 800 балконных плит, что составляет 7200
нормо-часов (9,0 х 800).
Таким образом, бухгалтерская проводка
Дебет счета 20 «Основное производство»
Кредит счета 70 «Расчеты с персоналом по оплате труда», исходя из приведенного примера, сделана на 81 000 руб. Неблагоприятные отклонения обособлены на дебете счета 16, причем каждый фактор учитывается на отдельном субсчете. По дебету счета 16 субсчет «Отклонение по ставке заработной платы» в корреспонденции с кредитом счета 70 «Расчеты с персоналом по оплате труда» учтена сумма 8500 руб. По дебету счета 16 субсчет «Отклонение по производительности труда» в корреспонденции с кредитом счета 70 записано 13 000 руб. В конечном счете кредитовый оборот по сч. 70 характеризует общую сумму начисленной заработной платы (72 000 + 8500 + 13000 = 93 500 руб.) и представляет собой алгебраическую сумму начислений по норме и возникших отклонений фактических начислений от норм.
В системе «Стандарт-кост» отклонения фактических прямых затрат от нормативных могут выявляться не расчетным, а документальным путем. Документация отклонений по использованию материалов организуется следующим образом. На ООО «Экспресс» существуют нормативные карты расхода материалов. Стандарты, установленные в них, являются основанием для выписки требования на отпуск. Для получения дополнительных материалов выписывается дополнительное требование на отпуск, имеющую специальную форму. Суммированием требований на дополнительный отпуск материалов формируется информация об общем неблагоприятном отклонении фактических затрат от стандартных. Если достигнута экономия норм, специальным образом документируется возврат материалов на склад. Суммированием этих документов определяется размер благоприятного отклонения.
Документирование отклонений по прямым трудозатратам осуществляется при помощи нарядов. Отклонения специальным образом кодируются, классифицируются по центрам ответственности, операциям, заказам, причинам (недостатки производства, поломка оборудования и т.д).
На третьем этапе рассчитываются отклонения от норм фактических общепроизводственных расходов (ОПР). С этой целью рассчитывается нормативная ставка распределения общепроизводственных расходов (Таблица 3.4).
Таблица 3.4 – Сметные и фактические общепроизводственные расходы
| № строки |
Показатели |
По смете, руб. |
Фактически, руб. |
| 1 |
Постоянные общепроизводственные расходы |
63 000 |
59 500 |
| 2 |
Переменные общепроизводственные расходы |
36 000 |
32 000 |
| 3 |
Производство внорма часах |
9 000 |
8 100 |
| 4 |
Нормативная ставка распределения постоянных ОПР на нормочас (стр. 1/ стр.3) |
7 |
- |
| 5 |
Нормативная ставка распределения переменных ОПР на нормочас (стр. 2/ стр.3) |
4 |
- |
ОПР разделим на постоянную и переменную части (Таблица 3.2 и 3.3).
Нормативная ставка распределения постоянных расходов — это частное отделения сметных постоянных накладных расходов на производство в нормо-часах: 63 000 : 9000 = 7 руб. Это означает, что на один нормо-час приходится 7 руб. постоянных общепроизводственных расходов.
Аналогично рассчитывается нормативная ставка распределения переменных ОПР: 36 000 : 9000 = 4 руб., т.е. одному нормо-часу соответствует 4 руб. переменных общепроизводственных расходов.
Эти ставки нужны для того, чтобы в дальнейшем скорректировать сметные ОПР с учетом фактически достигнутого объема производства.
Отклонение по общепроизводственным постоянным расходам (ΔОПРп ) определяется аналогично предыдущим расчетам — как разница между фактическими ОПР и их сметной величиной, скорректированной на фактический выпуск. Фактическое значение постоянных ОПР - 59 500 руб.
Далее вычисляют то значение постоянных ОПР, которое по норме должно было соответствовать фактически достигнутому объему производства. Для этого фактический объем производства в нормо-часах умножают на ставку распределения накладных расходов:
8100x7 = 56700 руб.
Отсюда отклонение фактических постоянных накладных расходов от сметных составляет:
ΔОПРП = 59 500 - 56 700 = +2800 руб. (Н)
Это отклонение формируется под воздействием двух факторов:
1) за счет отклонений в объеме производства (Δq);
2) за счет отклонений фактических постоянных расходов от сметных (Δs).
Влияние первого фактора оценивается по формуле:
Δq = (Сметный выпуск продукции в нормо-часах - Фактический выпуск продукции в нормо-часах) х Нормативная ставка распределения постоянных ОПР.
В цифровом выражении это составит:
Δq = (9000 - 8100) х 4 = + 6300 руб. (Н)
Второй фактор оценивается как разность между фактическими и сметными постоянными общепроизводственными расходами:
Δs = 59 500 - 63 000 = -3500 руб. (Б)
На схеме (рисунок 3) к счету 25 «Общепроизводственные расходы» открыты два субсчета: 25-А и 25-В. Постоянные ОПР учитываются по счету 25-В. Списание их на основное производство в учете осуществляется по нормам, т.е. бухгалтерская проводка
Дебет счета 20 «Основное производство»
Кредит счета 25-В «Постоянные общепроизводственные расходы» составляется на сумму 56 700 руб.
Отдельно на счете 16 «Отклонение постоянных ОПР» учтены благоприятное отклонение (-3500 руб.) и неблагоприятное отклонение (+ 6300 руб.).
Аналогичные расчеты выполняются по переменным общепроизводственным расходам (ΔОПРПер )- Для этого используется следующая информация (Таблица 3.4):
фактический выпуск в нормо-часах — 8100;
ставка распределения переменных ОПР — 4;
фактические переменные ОПР — 32 000.
Следовательно, отклонение составит:
ΔОПРпер = 32 000 - 8100 х 4 = - 400 руб. (Б).
Каковы же возможные причины отклонений фактических ОПР от сметных? Установлено, что переменные ОПР находятся в зависимости от времени труда основных производственных рабочих.
Таким образом, первой причиной может явиться отклонение фактического времени труда основных рабочих от сметного (АВТ). Размер данного отклонения определяется по формуле:
ΔВТ = Фактические переменные общепроизводственные расходы - Сметные переменные общепроизводственные расходы, скорректированные на фактический выпуск продукции.
Фактические переменные накладные расходы —32 000 руб., фактическое время труда основных производственных рабочих — 8500 ч (Таблица 3.2). Согласно смете, одному часу труда основных производственных рабочих соответствует 4 руб. переменных накладных расходов. Следовательно, размер отклонения составит:
ΔВТ = 32 000 - 4 х 8500 = - 2000 руб. (Б).
Для выяснения причин возникшего отклонения необходим анализ по каждой статье переменных расходов.
Второй причиной отклонения является то, что фактические общепроизводственные расходы отличаются от сметных. Это отклонение называют отклонением переменных ОПР расходов по эффективности (ΔОПРЭ ) и рассчитывают по формуле:
ΔОПРэ = (Фактическое время труда - Время труда по норме, скорректированное на фактический выпуск продукции) х Нормативная ставка переменных общепроизводственных расходов.
В рассматриваемом примере отклонение переменных общепроизводственных расходов по эффективности составит:
ΔОПРэ = (8500 - 8100)х 4 = + 1600 руб. (Н).
Таким образом, рассчитанное выше неблагоприятное совокупное отклонение фактических переменных накладных расходов от сметных (ΔОПРпер ) сложилось под воздействием двух факторов:
отклонения по переменным накладным расходам (ΔВТ) -2000 (Б)
отклонения по эффективности накладных расходов (ΔНрэ ) + 1600 (Н)
- 400 (Б)
Возвращаясь к технике учетных записей, стоит отметить, что переменные ОПР учитываются на счете 25-А «Переменные общепроизводственные расходы». Списание их на основное производство осуществляется с учетом нормативной ставки (4 руб.) и фактического выпуска продукции, рассчитанного в нормо-часах (8100 нормо-часов), т.е. бухгалтерская проводка
Дебет счета 20 «Основное производство»
Кредит счета 25-А «Общепроизводственные переменные расходы» составлена на сумму 4 х 8100 = 32 400 руб.
Для учета отклонений к счету 16 открыто два субсчета: 16/25 «Отклонения по переменным общепроизводственным расходам» и 16/25 «Отклонения переменных общепроизводственных расходов по эффективности». Благоприятное отклонение отражено записью:
Дебет счета 25-А «Общепроизводственные переменные расходы»
Кредит счета 16/25 «Отклонения по переменным общепроизводственным расходам» 2000 руб.
Неблагоприятное отклонение зафиксировано отдельно:
Дебет счета 16/25 «Отклонения по переменным общепроизводственным расходам»
Кредит счета 25-А «Общепроизводственные переменные расходы» 1600 руб.
Целью расчетов, выполненных выше, были анализ и контроль работы цеха, ответственного за выпуск продукции. Однако фактическая прибыль отклоняется от сметной не только в связи с изменениями запланированных (стандартных) затрат. Фактическая прибыль зависит и от успехов работы другого центра ответственности — отдела продаж. Продать можно больше запланированных сметой объемов продукции (первый фактор, влияющий на прибыль) и по более высоким ценам (второй фактор). Поэтому расчеты заканчиваются анализом отклонений фактической прибыли от сметной, явившихся следствием двух этих факторов.
Совокупное отклонение этого показателя (ΔП) рассчитывается как разность между фактической прибылью, определенной на базе нормативных издержек (ФП), и сметной прибылью, также рассчитанной на основе нормативных издержек (СП).
Цена продажи одной балконной плиты по смете составляла 450 руб. (таблица 3.2). Удачно проведенная рекламная кампания позволила предприятию повысить отпускную цену до 600 руб. (таблица 3.3). С учетом данных таблицы 6 вычитаемая СП будет равна:
450 * 1000 - (99 600 + 90 000 + 36 000 + 63 000) = 242 400 руб.
Остается определить размер фактической прибыли, пересчитанной с учетом нормативных издержек. Эта процедура выполняется потому, что отдел продаж отвечает лишь за количество проданной продукции и ее цену, но не за производственные затраты.
Фактическая выручка от продажи продукции составила:
800 * 600 = 480 000 руб.
Затем по данным сметы (таблица 3.2) рассчитывается нормативная себестоимость единицы продукции. Для этого все запланированные затраты делят на ожидаемое количество продукции в натуральном выражении:
288 600 /1000 = 288,6 руб.
Фактически произведено и продано 800 балконных плит, следовательно, нормативная себестоимость фактического объема продажи составляет:
288,6 х 800 = 230 880 руб.
Отсюда ФП равна:
480 000 – 230 880 = 249 120 руб.
Отклонение показателя прибыли от его сметного значения составляет:
ΔП = 249 120 - 242 400 = + 6 720 руб. (Б).
Это отклонение является благоприятным, так как речь уже идет о доход ной, а не о расходной части сметы.
Вычисленное совокупное отклонение может вызываться двумя причинами. От сметы могут отклоняться:
1) фактическая цена продаж (ΔПц );
2) фактический объем продаж (ΔПр ).
Отклонение по цене продаж ΔПЦ рассчитывается по формуле
ΔПЦ = (Фактическая прибыль, рассчитанная на базе нормативной себестоимости единицы продукции - Нормативная прибыль, рассчитанная на базе нормативной себестоимости единицы продукции) х х Фактический объем продаж.
В цифровом выражении это составит:
Пц = [(600 - 288,6) - (450 - 288,6)] х 800 = + 120 000 руб. (Б),
где 600 руб. — фактическая цена одной балконной плиты;
288,6 руб. — нормативная себестоимость одной плиты;
450 руб. — нормативная цена одной балконной плиты.
Отклонение по объему продаж: ΔПр вычисляется по формуле:
ΔПР = (Фактический объем продаж - Сметный объем продаж) х Нормативная прибыль на единицу продукции.
Нормативная прибыль на единицу продукции рассчитывается как разность между нормативной ценой и нормативной себестоимостью одной балконной плиты:
450 - 288,6 = 161,4 руб.
Тогда отклонение по объему продаж составит:
ΔПР = (800 - 1000) х 161,4 = - 32 280 руб. (Н)
Итак, благоприятное совокупное отклонение прибыли (ΔП), составившее 87 720 руб., сформировалось под воздействием двух факторов:
цены за единицу продукции (ΔПц ) +120 000 (Б)
объема продаж (ΔПр ) - 32 280 (Н)
+ 87 720 (Б)
Обращаясь к схеме учетных записей, отметим, что списание затрат на готовую продукцию (Дебет счета 43 Кредит счета 20) и себестоимость проданной продукции (Дебет счета 90 Кредит счета 43) отражаются по нормативным издержкам. Выполненные выше расчеты показали, что исходя из фактического объема продажи 1000 ед. совокупные нормативные затраты составили 288 600 руб. (1000 х 288,6). Выручка от продажи продукции достигла 450 000 руб.
Следовательно, прибыль, рассчитанная исходя из нормативных затрат, составляет:
450 000 - 288 600= 161 400 руб.
В виде самостоятельного фрагмента на схеме (рисунок 4) представлен счет 16 «Отклонения в стоимости материальных ценностей». Конечное сальдо этого счета (39 900 руб.) списывается в конце отчетного периода заключительным оборотом на счет прибылей и убытков. В результате выходим на конечный финансовый результат (прибыль) в размере
249 120- 39 900 = 209 220 руб.
Цикл выполненных расчетов иллюстрируется на рисунке 5.

Рисунок 5 – Анализ отклонений фактических расходов и доходов от сметы
Полученную информацию бухгалтер-аналитик может представить руководству в виде итоговой таблицы (таблица 3.5). Данная информация позволяет увязать ожидаемую прибыль с фактически достигнутой, оперативно устранять причины и компенсировать последствия неблагоприятных отклонений, т.е. эффективно управлять издержками.
Таблица 3.5 – Взаимосвязь сметной и фактической прибыли
| № строки |
Показатели |
Сумма, руб. |
| 1 |
Сметная прибыль |
161 400 |
| 2 |
Отклонения по продажам: по цене (ΔПЦ ) по объему (ΔПр ) |
120 000(Б) 32 280 (Н) |
| 2а |
Итого отклонение по продажам (ΔП) |
87 720(Б) |
| 3 |
Отклонения по прямым материальным затратам: по цене материала А (ΔЦм А) по цене материала Б (ΔЦм Б) |
2 000(Н) 2 000(Н) |
| 3а |
Итого отклонение по цене материалов (ΔЦМ ) по использованию материала А (ΔИм А) по использованию материала Б (ΔИМ Б) |
4 000(Н) 8 400(Н) 3 600(Н) |
| 3б |
Итого отклонение по использованию материалов (Δсов) |
14 400(Н) |
| 4 |
Отклонения по прямой заработной плате по ставке (ΔЗПСТ ) по производительности труда (ΔЗППт ) |
8 500(Н) 13 000(Н) |
| 4а |
Итого отклонение по прямым трудозатратам (ΔЗП) |
21 500(Н) |
| 5 |
Отклонения по постоянным общепроизводственным расходам: за счет отклонения фактических накладных расходов от сметных (Δs) за счет отклонения в объеме производства (Δq) |
3 500(Н) 6 300(Б) |
| 5а |
Итого отклонение по постоянным общепроизводственным накладным расходам (ΔОПРП ) |
2 800(Н) |
| 6 |
Отклонения по переменным производственным накладным расходам: за счет отклонения фактического времени труда от сметного (ΔВТ ) за счет отклонения по эффективности общепроизводственных расходов (ΔОПРЭ ) |
2 000(Б) 1 600(Н) |
| 6а |
Итого отклонение по переменным общепроизводственным расходам (ΔОПРПер ) |
400(Б) |
| 7 |
Фактическая прибыль (стр. 1 + стр. 2а + стр. 6а - стр. За - - стр. 36 - стр. 4а - стр. 5а) |
205 000 |
Следовательно, система «Стандарт-кост» позволяет оптимизировать запасы материальных ценностей.
Одно из основных преимуществ данной системы состоит в том, что при правильной ее постановке требуется меньший бухгалтерский штат, чем при учете прошлых затрат, ведь в рамках этой системы учет ведется по принципу исключений, т.е. учитываются лишь отклонения от стандартов. Чем стабильнее работает предприятие и чем более стандартизированы производственные процессы, тем менее трудоемким становится учет и калькулирование.
Если предприятие имеет массовое или крупносерийное производство, спецификации на материалы для всех деталей, использует сдельную оплату труда и стандартизацию всех производственных процессов, то в условиях системы «Стандарт-кост» бухгалтерская работа сводится к учету и выявлению незначительных отклонений от стандартов.
Предприятие, где все производственные операции оплачиваются по сдельной форме, а все материалы отпускаются исключительно по спецификациям, наиболее приспособлено для практического применения системы «Стандарт-кост». При этом необходимость учета заработной платы основных производственных рабочих утрачивается, поскольку сдельная работа сама по себе уже стандартизирована. Процедура учета затрат и калькулирования в этом случае сводится к:
- записи отклонений от стандартных цен на поступающие материалы;
- определению стоимости брака;
- сопоставлению действительных общепроизводственных расходов со
стандартными.
При этом все расходы сверх установленных норм относятся на виновных лиц и никогда не включаются в счета, отражающие затраты.
На идеальном предприятии (не имеющем отклонений) трудозатраты по учету и калькулированию будут близки к нулю.
Таким образом, можно утверждать, что учет «исторической» (ретроспективной) себестоимости на предприятии со сложной и стандартизированной продукцией не может дать такой эффект, какой достигается при применении системы «Стандарт-кост».
Система учета себестоимости может влиять на повышение доходности предприятия по таким трем направлениям, как:
1) выявление устранимых потерь (неблагоприятных отклонений), снижающих прибыль предприятия;
2) предоставление менеджерам точных данных о себестоимости производства, на основании которых отдел сбыта может планировать объем продаж и устанавливать оптимальные цены;
3) минимизация учетной работы, связанной с калькулированием.
С решением всех трех задач система «Стандарт-кост» справляется успешнее, чем система учета прошлых затрат. В конечном счете эта система
стимулирует работу всего коллектива организации.
Наиболее существенные различия между традиционным для отечественного учета нормативным методом и системой «Стандарт-кост» представлены в таблице 3.6.
Таблица 3.6 – Основные отличия нормативного метода учета от системы «Стандарт-кост»
| Область сравнения |
«Стандарт-кост» |
Нормативный метод |
| Цель учета |
Бухгалтерское отражение отклонений на специальных счетах с подразделением по факторам |
Выявление отклонений от норм в процессе расходования средств |
| Базовое уравнение, описывающее содержание учетной системы |
Δс =Сф - Сст , где Δс – отклонение от стандарта; Сф – фактическая себестоимость; Сст – стандартная себестоимость |
Сф =Сн +/- Ин +/- Δн , где Сф - нормативная себестоимость; Ин – изменения действующих норм; Δн – отклонения от действующих норм |
| Степень охвата производственных параметров и нормирования |
Разработка стандартов для всех затратных и доходных показателей производства |
Нормирование прямых затрат. Распределение косвенных расходов между объектами калькулирования индексным методом |
| Учет изменения норм |
Текущий учет изменений норм не ведется |
Ведется в разрезе причин и инициаторов |
| Учет отклонений от норм прямых расходов |
Отклонения документируются и относятся на виновных лиц и финансовые результаты |
Отклонения документируются и включаются в фактическую себестоимость объектов калькулирования пропорционально их нормативной себестоимости |
| Учет отклонений от норм косвенных расходов |
Косвенные расходы относятся на себестоимость в пределах норм, отклонения выявляются с учетом объема производства и относятся на результаты финансовой деятельности |
Косвенные расходы в сумме фактических затрат распределяются между объектами калькулирования индексным методом |
| Степень регламентации |
Нерегламентирован, не имеет единой методики установления стандартов и ведения учетных регистров |
Регламентирован, разработаны общие и отраслевые стандарты и нормы |
| Варианты ведения учета |
Учет затрат, выпуска продукции и незавершенного производства ведется по нормативам. Затраты на производство учитываются по фактическим расходам, выпуск продукции — по нормативным, остаток незавершенного производства — по стандартам с учетом отклонений |
Незавершенное производство и выпуск продукции оцениваются по нормам на начало года, в текущем учете выделяются отклонения от норм. Незавершенное производство и выпуск продукции оцениваются по нормам на начало года, в текущем учете выявляются отклонения от плана. Все издержки учитываются как алгебраическая сумма двух слагаемых — нормы и отклонения |
Сравнение данных методов позволяет сделать следующие выводы:
1. Оба метода учитывают затраты в пределах норм.
2. Оба метода предполагают учет полных затрат.
3. В учете по методу «Стандарт-кост» расходы сверх установленных норм относятся на виновных лиц или на результаты финансово-хозяйственной деятельности и не включаются в затраты на производство, как при нормативном методе.
В условиях «Стандарт-кост» изменение норм в текущем порядке не предполагается. При нормативном методе это возможно.
В отличие от «Стандарт-кост» система нормативного учета не сориентирована на процесс продажи (сосредоточена на производстве), а потому не позволяет обосновывать цены.
При нормативном методе учета в общем объеме отклонений на учтенные приходится 5-10%, на неучтенные — 90-95%. Анализ себестоимости проводится по сконструированным показателям, не подтвержденным данными бухгалтерского учета. Он лишен какого бы то ни было оперативного значения и носит характер последующего исторического обзора. Метод документации затрат и доходов не позволяет детально и оперативно анализировать финансовые результаты.
Для раскрытия причин изменения какого-либо интегрального показателя необходимо знать причины изменений частных показателей. Это возможно только тогда, когда документация, оформляющая, к примеру, все произведенные затраты, прямо отвечает на вопрос о причинно-следственных связях и факторах, определяющих произведенные затраты. Информационная база бухгалтерского учета и по сей день не обеспечивает надлежащее выполнение аналитической функции системы бухгалтерского учета.
3.2 Особенности учета затрат в рамках системы "Директ-костинг"
В бухгалтерском управленческом учете одним из альтернативных традиционному отечественному подходу к калькулированию является подход, когда по носителям затрат планируется и учитывается неполная, ограниченная себестоимость. Эта себестоимость может включать только прямые затраты, она может калькулироваться на основе только производственных расходов, т.е. расходов, непосредственно связанных с производством продукции, работ, услуг, даже если они косвенные. В каждом случае полнота включения затрат в себестоимость разная. Однако общим для этого подхода является то, что некоторые виды издержек, имеющие отношение к производству и продажи продукции, не включаются в калькуляцию, а возмещаются общей суммой из выручки. В этом состоит сущность системы учета неполной себестоимости.
Одной из модификаций данной системы является система «Директ-костинг». Ее суть состоит в том, что себестоимость учитывается и планируется только в части переменных затрат, т.е. лишь переменные расходы распределяются по носителям затрат. Оставшуюся часть издержек (постоянные расходы) собирают на отдельном счете, в калькуляцию не включают и периодически списывают на финансовые результаты, т.е. учитывают при расчете прибылей и убытков за отчетный период. По переменным расходам оцениваются также запасы — остатки готовой продукции на складах и незавершенное производство.
Основные идеи этой системы были сформулированы в 1936 г. американским экономистом Д.Ч. Гаррисоном. Начало практического применения «Директ-костинг» в США связано с 1953 годом, когда Американская ассоциация бухгалтеров опубликовала описание этого метода.
На первых этапах практического применения системы «Директ-костинг» в себестоимость включались лишь прямые расходы, а все виды косвенных расходов списывались непосредственно на финансовые результаты. Отсюда и название системы — Direct-Costing-System (система учета прямых затрат).
Позднее «Директ-костинг» трансформировался в такую учетную систему, когда себестоимость рассчитывается не только в части прямых переменных расходов, но и в части переменных косвенных затрат. Отсюда следует некоторая условность в названии.
Таким образом, принципиальное отличие системы «Директ-костинг» от калькулирования полной себестоимости состоит в отношении к постоянным общепроизводственным расходам. При калькулировании полной себестоимости постоянные общепроизводственные расходы участвуют в расчетах, при калькулировании по переменным издержкам они из расчетов исключаются.
Общехозяйственные расходы также исключаются из калькулирования. Они являются периодическими и полностью включаются в себестоимость проданной продукции общей суммой без подразделения на виды изделий. В конце отчетного периода такие расходы списываются непосредственно на уменьшение выручки от продаж:
Дебет счета 90 «Продажи», субсчет «Себестоимость продаж»
Кредит счета 26 «Общехозяйственные расходы».
Однако в соответствии с Международными стандартами бухгалтерского учета метод «Директ-костинг» не используется для составления внешней отчетности и расчета налогов. Он применяется во внутреннем учете для проведения технико-экономического анализа и для принятия оперативных управленческих решений.
«Директ-костинг» является предметом полемики среди бухгалтеров. Его сторонники утверждают, что постоянные расходы присутствуют независимо от того, загружены мощности предприятия или нет, какая продукция на них выпускается. Они в большей степени содействуют производству, чем участвуют в нем. Поэтому эти расходы не зависят от объема производства и имеют более тесную связь с временным периодом. Следовательно, делают вывод сторонники, постоянные затраты являются периодическими и их следует сразу списывать на продажи без внесения в себестоимость продукции.
Сторонники этой теории не утверждают, что постоянные расходы не важны. Они лишь подчеркивают, что различия в поведении постоянных и переменных издержек являются основными при принятии многих управленческих решений.
Оппоненты метода учета переменных затрат доказывают, что без постоянных издержек производство не сможет функционировать, а потому в оценке запасов должна участвовать и постоянная компонента производственных затрат. Таким образом, и переменные, и постоянные издержки должны рассматриваться как запасоемкие.
Рассмотрим порядок отражения операций на бухгалтерских счетах в условиях системы «Директ-костинг». Прямые производственные затраты с кредита счетов 10, 70,69 собираются по дебету счета 20 «Основное производство» или 23 «Вспомогательные производства». Переменная часть общепроизводственных расходов с одноименного счета 25 также списывается на счет 20 (23). Затраты, используя какую-либо базу распределения, в дальнейшем будут отнесены на соответствующие носители затрат, т.е. будут участвовать в калькулировании.
Постоянная часть общепроизводственных издержек вместе с коммерческими и общехозяйственными расходами, рассматриваемыми как периодические, при этом варианте не включаются в себестоимость объектов калькулирования (носителей затрат), а списываются на уменьшение выручки от продажи продукции.
Таким образом, применение системы «Директ-костинг» на практике предполагает дифференцированный учет общепроизводственных расходов. Их следует разделить на постоянную и переменную части. К счету 25 создаются два субсчета: 25-1 «Общепроизводственные переменные расходы» и 25-2 «Общепроизводственные постоянные расходы». Оборот счета 25-1 в конце отчетного периода, распределяясь по носителям затрат, списывается на счет 20 «Основное производство». Счет 25-2 закрывается счетом 90 «Продажи» (субсчет «Себестоимость продаж»).
Порядок учетных записей на счетах при учете затрат по системе «Директ-костинг» проиллюстрирован на рисунке 6. Необходимо обратить внимание на то, что остатки незавершенного производства и готовой продукции, т.е. запасы, оцениваются в этом случае по неполной (переменной) себестоимости. Использование системы «Директ-костинг» кардинально меняет не только отечественную концепцию калькулирования, но и подходы к учету и расчету финансовых результатов. Применяемая в рамках этого метода схема построения отчета о доходах (как правило, двухступенчатая) содержит два финансовых показателя: маржинальный доход (сумма покрытия) и прибыль.

Рисунок 6 – Схема учета записей при калькулирование неполной себестоимости по методу «Директ-костинг»
Маржинальный доход — это разница между выручкой от продажи продукции и ее неполной себестоимостью, рассчитанной по переменным расходам. В состав маржинального дохода входят прибыль и постоянные затраты предприятия. После вычитания из маржинального дохода постоянных издержек формируется показатель операционной прибыли.
Как же влияет выбранный метод учета на величину себестоимости продукции, оценку запасов и прибыли предприятия? Рассмотрим следующий пример.
ООО «Экспресс» производятся два вида продукции — ленты перекрытий (изделие А) и балконные плиты (изделие Б). Прямые затраты на производство лент перекрытий составляют 300 руб., в том числе прямая заработная плата— 100 руб. Прямые затраты на производство продукции бетонной плиты — 500 руб., из них заработная плата — 200 руб. За отчетный период дебетовый оборот по счету 25 «Общепроизводственные расходы» составляет 180 руб., по счету 26 «Общехозяйственные расходы» — 240 руб. Для упрощения расчета предположим, что общепроизводственные расходы состоят только из переменной части. Допустим также, что: а) половина всех произведенных за отчетный период затрат материализовалась в готовой продукции, а вторая часть осталась в виде незавершенного производства, причем за отчетный период произведено 10 ед. ленты перекрытий и 15 ед. Бетонных плит; б) вся произведенная продукция продана. Выручка от продаж составила 5 000 руб.
Учет затрат по методу «директ-костин» показан на рисунке 7. К счету 20 открыты два субсчета — для калькулирования себестоимости каждого вида продукции — 20-А и 20-Б. Прямые затраты отнесены непосредственно на носители затрат: 3 00 руб. — на продукцию А и 500 руб. — на продукцию Б. Затраты, собранные на счете 25, распределяются между продуктами А и Б пропорционально прямой заработной плате, т.е. в пропорции 1 : 2. Таким образом, из общей суммы общепроизводственных затрат в 180 руб. 60 руб. отнесено на продукцию А, 120 руб. — на продукцию Б.

Рисунок 7 - Пример учетных записей при калькулировании неполной себестоимости по методу «Директ-костинг»
Общехозяйственные расходы как периодические в сумме 240 руб. прямо списаны на себестоимость проданной продукции.
Видно, что на производство продукции А в отчетном периоде затрачено 360 руб. Половина из них (180 руб.) — себестоимость готовой продукции. По условию за отчетный период произведено 10 ед. продукции А. Следовательно, себестоимость одной единицы — 18 руб. В незавершенном производстве останется продукции А на сумму 180 руб.
Аналогичные расчеты по изделию Б позволяют оценить готовую продукцию (15 ед.) в 310 руб. Следовательно, себестоимость единицы изделия Б составляет 310 : 15 = 20,67 руб. Незавершенное производство по изделиям Б оценивается в 310 руб.
Себестоимость всей готовой продукции — 490 руб. (180 + 310). Это переменная себестоимость. На счете 90 формируется первый финансовый показатель — маржинальный доход; в данном случае он равен 4 510 руб. (5 000 - 490). После списания общехозяйственных расходов на счете 90 выводится второй показатель — прибыль, т.е. разница между маржинальным доходом и постоянными издержками. В приведенном примере операционная прибыль равна:
4 510 – 240 = 4 270 руб.
Поскольку готовой продукции на складе нет, запасы будут представлены лишь незавершенным производством. Его общий размер составляет: 180 + 360 = 540 руб.
На рисунке 8 представлен порядок учетных записей при калькулировании полной себестоимости. Отличие от предыдущей схемы состоит в том, что в калькулировании участвуют все расходы, включая и постоянные. Таким образом, между продуктами А и Б помимо общепроизводственных будут распределяться и общехозяйственные расходы. База распределения — прямая заработная плата, пропорция распределения, как и прежде, составляет 1:2. Тогда на продукцию А будет отнесено 80 руб. общехозяйственных расходов, на продукцию Б — 160 руб. Дебетовый оборот по счету 20-А с учетом прямых и общепроизводственных расходов составит 440 руб.; из них половина — стоимость готовой продукции, а половина остается в незавершенном производстве. Следовательно, 10 ед. готовой продукции А оценивается в 220 руб., т.е. себестоимость единицы — 22 руб.
По продукции Б имеем: изготовление 15 ед. обошлось предприятию в 390 руб., т.е. себестоимость единицы составляет:
390 / 15 = 26 руб.
Себестоимость всей готовой продукции—610 руб. (220 + 390). Следовательно, операционная прибыль составит:
5 000 – 610 = 4 390 руб.
Оценим запасы незавершенного производства. По продукции А их стоимость равна 220 руб., по продукции Б — 390 руб. Отсюда себестоимость запасов составила 610 руб.
Результаты выполненных расчетов сведены в таблице 3.7.
Таблица 3.7 – Оценка себестоимости, прибыли и запасов при учете переменных (метод «Директ-костинг») и полных затрат, руб.
| Показатели |
Учет переменных затрат |
Учет полных затрат |
| Себестоимость единицы продукции |
||
| Ленты перекрытий |
18 |
22 |
| Балконные плиты |
20,67 |
26 |
| Оценка запасов |
540 |
610 |
| Прибыль |
4 270 |
4 390 |
Сравнение полученных результатов позволяет заключить: себестоимость единицы продукции, рассчитанная по методу «директ- костинг», ниже полной себестоимости (по продукции А — на 4 руб., по продукции Б — на 5,33 руб.). В результате при калькулировании неполной себестоимости на 70 руб. ниже и оценка запасов, чем при методе учета полных затрат (610-540). Поэтому себестоимость проданной продукции оказывается выше, а следовательно, прибыль меньше при методе учета переменных затрат нате же 120 руб. (4 390 - 4 270).
Выбранный метод калькулирования влияет не только на величину себестоимости продукции, но и на форму отчета о прибылях и убытках. В отчете о прибылях и убытках, составленном при использовании маржинального подхода, внимание фокусируется на разделении затрат на постоянную и переменную части. При этом непременно формируется показатель маржинального дохода. С учетом цифрового примера отчет выглядит следующим образом (таблица 3.8).
Таблица 3.8 – Отчет о прибылях и убытках (составляется при использовании метода «Директ-костинг»)
| № Строки |
Показатели |
Сумма, руб |
| 1 |
Выручка от продажи продукции |
5 000 |
| 2 |
Переменная часть себестоимости проданной продукции |
540 |
| 3 |
Маржинальный доход |
4 460 |
| 4 |
Постоянные расходы |
240 |
В отчете, составленном по результатам калькулирования полной себестоимости, показатель маржинального дохода не рассчитывается (таблица 3.9).
Таблица 3.9 – Отчет о прибылях и убытках (составлен по результатам калькулирования полной себестоимости)
| № Строки |
Показатели |
Сумма, руб |
| 1 |
Выручка от продажи продукции |
5 000 |
| 2 |
Себестоимость проданной продукции |
780 |
| 3 |
Прибыль |
4 220 |
Как уже отмечалось, Международные бухгалтерские стандарты не разрешают использовать систему «Директ-костинг» для составления внешней отчетности и расчета налогов. В чем же тогда состоит практическое значение этой системы?
Прежде всего ее применение позволяет оперативно изучать взаимосвязи между объемом производства, затратами и доходом, а следовательно, прогнозировать поведение себестоимости или отдельных видов расходов при изменениях деловой активности.
В современных условиях управляющие должны знать, во что обходится производство отдельных видов продукции, независимо от того, каков размер арендной платы за помещение или какова заработная плата у директора и его помощников. Поэтому одним из принципов бухгалтерского управленческого учета является следующий: самая точная калькуляция не та, в которую после многочисленных и трудоемких расчетов включаются все затраты предприятия, а та, в которую вносятся издержки, непосредственно обеспечивающие выпуск данной продукции (выполнение работы, оказание услуги). Решить эту задачу можно лишь используя систему «Директ-костинг».
Калькулирование переменной себестоимости помогает бухгалтеру-аналитику оперативно решать ряд управленческих задач, причем расчеты полной себестоимости не дают подобных результатов.
Система «Директ-костинг» позволяет проводить эффективную политику ценообразования. В некоторых ситуациях при недостаточной загруженности производственных мощностей привлечение дополнительных заказов может быть оправданно даже в том случае, когда оплата за них не покрывает полностью издержек по их выполнению. Снижать цену на такие заказы можно до определенного предела, называемого «нижней границей цены».
За пределами этой границы выполнение подобных заказов нецелесообразно. Рассчитать значение границы позволяет система «Директ-костинг». Управленческие решения подобного рода разрушают традиционные для отечественного калькулирования представления о том, что в основе цены непременно должна лежать полная себестоимость продукции.
Наконец, данная система позволяет существенно упростить нормирование, планирование, учет и контроль резко сократившегося числа затрат, в результате себестоимость становится более обозримой, а отдельные статьи затрат — лучше контролируемыми. Система «Директ-костинп» находит все более широкое применение в отечественной бухгалтерской практике, в частности в издательской деятельности.
Заключение
Себестоимость продукции, работ, услуг представляет собой стоимостную оценку используемых в процессе производства продукции (работ, услуг) природных ресурсов, сырья, материалов, топлива, энергии, основных средств, трудовых ресурсов, а также других затрат, необходимых для производства и продажи продукции, работ, услуг.
В первой главе рассмотрены теоретические вопросы связанные с себестоимостью продукции. Формирование себестоимости продукции, работ, услуг представляет собой суммирование затрат организации, сопряженных с процессом производства и относящихся к определенному отчетному периоду. При этом в зависимости от цели определения себестоимости продукции, работ, услуг: для бухгалтерского учета, для налогообложения, для принятия управленческих решений – затраты могут относиться на себестоимость продукции, работ, услуг в разном размере, и их номенклатура может варьироваться.
Международный стандарт финансовой отчетности 2 «Запасы» содержит нормы, касающиеся порядка учета затрат на производство и калькулирования себестоимости продукции. Положения стандарта регулируют правила выбора методов калькулирования оказывающих влияние на величину прибыли отчетного периода. В нем также даются рекомендации по распределению косвенных накладных расходов производственного характера; по распределению услуг комплексных производств и по разграничению затрат между капитализируемыми и не капитализируемыми в балансе.
В настоящее время российская теория и практика производственного учета предлагает спектр методов калькулирования себестоимости продукции, в т.ч. метод полной себестоимости, директ-костинг, нормативный, позаказный, попередельный методы. Они фиксируются в учетных политиках предприятий. Однако отечественные положения по бухгалтерскому учету (ПБУ 5/01 «Материально-производственные запасы» и ПБУ 10/99 «Расходы организации») никаких указаний на этот счет не содержат.
Вторая глава дипломной работы посвящена объекту исследования – это Общество с ограниченной ответственностью «Экспресс». Рассмотрены в сравнение фактический и нормативный методы учета затрат. Проведен анализ себестоимости продукции на ООО «Экспресс».
Учет фактических затрат — это метод последовательного накопления данных о фактически произведенных издержках без отражения в учете данных об их величине по действующим нормам.
Нормативный метод учета предполагает предварительное определение нормативных затрат по операциям, процессам, объектам с выявлением в ходе производства отклонений от нормативных затрат. Фактические затраты определяются алгебраическим сложением затрат по нормам и отклонений от них. Пользуясь этим методом, бухгалтер имеет дело с нормативной себестоимостью и отклонениями от нее.
Оба метода направлены на выявление и отражение в конечном счете фактической себестоимости продукции, но первый — путем непосредственного учета затрат, а второй — через отклонения от норм.
Метод учета фактических затрат и калькулирования фактической себестоимости, как правило, является традиционным и наиболее распространенным на отечественных предприятиях.
Анализ занимает важное место в системе управленческого учета. Проведение анализа позволяет выявлять отклонения показателей в работе и причины, вызвавшие эти изменения. На основании результатов анализа (в частности показателей затрат на производство) принимаются различные управленческие решения, поэтому немаловажно провести точный, достоверный анализ, позволяющий понять реальную ситуацию на предприятии.
Анализ себестоимости продукции направлен на выявление возможностей повышения эффективности использования материальных, трудовых и денежных ресурсов в процессе производства, снабжения и сбыта продукции.
Анализ фактической себестоимости продукции предприятия заключается в установлении степени ее соответствия нормативным и плановым величинам, изучении причин изменения уровня себестоимости, в выявлении резервов дальнейшего ее снижения.
Использование системы калькуляции себестоимости по нормативным издержкам делает возможным подробный анализ отклонений по каждому центру ответственности.
Анализ себестоимости продукции, работ и услуг является важным инструментом в системе управления затратами. Он позволяет изучить тенденции изменения ее уровня, установить отклонение фактических затрат отнормативных (плановых) и их причины, выявить резервы снижения себестоимости продукции и выработать мероприятия по их освоению.
ООО «Экспресс» более выгодно, если на единицу продукции приходится меньшая сумма постоянных затрат, что возможно при достижении максимума объема производства продукции на имеющихся производственных мощностях. Если при спаде производства продукции переменные затраты сокращаются пропорционально, то сумма постоянных затрат не изменяется, что приводит к росту себестоимости продукции и уменьшению суммы прибыли.
Анализ себестоимости продукции обычно начинают с изучения структуры и динамики общей суммы затрат в целом по предприятию и по основным элементам.
На основании анализа структуры и динамики себестоимости товарной продукции за 2007, 2008, 2009 гг. можно сделать вывод, что по итогам трех лет предприятие ООО «Экспресс» безубыточно (в части валовой прибыли).
Существует тенденция к повышению рентабельности, что свидетельствует об отлаженной работе по управлению процессом формирования затрат, оперативном выявлении причин отклонений от норм и их устранению, выявлению резервов снижения себестоимости и успешной их продажи.
Затраты на 1 руб. товарной продукции (ТП) соответственно снижаются. В 2007г. затраты на 1 руб. ТП составили 89,55 коп., в 2008г. снизились на 5,58 коп., а в 2009г. по сравнению с 2007г. на 3,01 коп.и составили 86,54 коп.
Далее были проанализированы факторы снижения затрат на 1 руб. ТП., но, заглядывая вперед, можно отметить, что затраты на 1 руб. ТП снизились в основном за счет экономии прямых материальных затрат.
За анализируемые 3 года прямые материальные затраты на 1 руб. ТП снизились с 69,76 до 62,22 коп., что составило 12,12%.
Прямые трудовые затраты на 1 руб. ТП выросли за 3 года на 26%. В основном это произошло из-за простоев вследствие перебоев и недопоставки материалов и комплектующих, поставки бракованных изделий. Работникам простой оплачивается 1/3 от тарифной ставки. Затем, чтобы выполнить план производства, руководство выводит рабочих в нерабочее время за двойную оплату В целом затраты на оплату труда за анализируемый период повысились на 76,1%, в т.ч. за 2008г. на 23,5% и за 2009г. на 52,6%. На ООО «Экспресс» проводится индексация тарифных ставок и окладов, что тоже привело к увеличению заработной платы.
В целом затраты на оплату труда за анализируемый период повысились на 76,1%, в т.ч. за 2008г. на 23,5% и за 2009г. на 52,6%. На ООО «Экспресс» проводится индексация тарифных ставок и окладов, что тоже привело к увеличению заработной платы.
Также большой скачок наблюдается в 2008-2009 гг. по коммерческим расходам. Это в основном расходы по перевозке готовой продукции. В 2007-2009гг. уже видим незначительный рост коммерческих расходов, произошедший из-за увеличения тарифов по перевозке грузов.
Постоянные (накладные) расходы на предприятии за анализируемый период имеют тенденцию к повышению за счет роста суммы вспомогательных материалов, индексации заработной платы обслуживающего и управляющего производством персонала.
В третьей главе рассмотрены современные методы учета затрат такие как «Стандарт-кост» и «Директ-костинг».
Решая, какой метод учета и калькуляции себестоимости стоит применять, следует помнить, что не бывает универсальных вариантов. Для одних предприятий лучше подойдет «standard-costing», для других «direct-costing» и так далее. Поэтому нельзя однозначно сказать какой метод лучше. Однако в работе выявлены как положительные, так и отрицательные качества и последствия каждого из имеющихся методов и систем.
Поэтому, проанализировав множество примеров, можно посоветовать применять «direct-costing» на производстве, где имеется много цехов или отделов, где производится широкий ассортимент продукции, который к тому же часто меняется, где нет постоянных объемов выпуска, и где используют складирование непроданной в данный период продукции. Например, предприятие, где все производственные операции оплачиваются по сдельной форме, а все материалы отпускаются исключительно по спецификациям наиболее приспособлено для практического применения системы «Стандарт-кост». Название «Стандарт-кост» (StandartCosts) приобрело, однако, наибольшее распространение и в широком смысле подразумевает себестоимость, установленную заранее (в противоположность себестоимости, данные о которой собираются).
Позднее «Директ-костинг» трансформировался в такую учетную систему, когда себестоимость рассчитывается не только в части прямых переменных расходов, но и в части переменных косвенных затрат.
Таким образом, принципиальное отличие системы «Директ-костинг» от калькулирования полной себестоимости состоит в отношении к постоянным общепроизводственным расходам. При калькулировании полной себестоимости они участвуют в расчетах. Калькуляция себестоимости по переменным издержкам — это такой метод учета затрат, при котором постоянные общепроизводственные расходы исключаются из издержек производства.
В работе было проведено сравнение нормативного метода калькуляции себестоимости и метода «Стандарт-кост», что позволяет сделать следующие выводы:
1) Оба метода учитывают затраты в пределах норм.
2) Оба метода предполагают учет полных затрат.
3) В учете по методу «Стандарт-кост» расходы сверх установленных норм относятся на виновных лиц или на результаты финансово-хозяйственной деятельности и не включаются в затраты на производство, как при нормативном методе.
В условиях «Стандарт-кост» изменение норм в текущем учете не предполагается, а при нормативном методе это возможно.
В отличие от «Стандарт-кост» традиционная система нормативного учета не сориентирована на процесс продажи(сосредоточена на производстве), а потому не позволяет обосновывать цены.
Список использованных источников
1. Конституция Российской Федерации от 12.12.1993 г. (в ред. от 30.12.2008 г. № 7 – ФКЗ)
2. Гражданский Кодекс РФ: Часть первая от 30.11.1994 г. №51-ФЗ (в ред. от 27.12.2009 г. №352-ФЗ)
3. Налоговый кодекс РФ. Часть вторая от 05.08.2000 г. №117-ФЗ (в ред. от 05.04.2010 №41-ФЗ, вступающим в силу с 07.04.2010)
4. Трудовой Кодекс РФ от 30.12.2001 г. №197-ФЗ (в ред. от 25.11.2009 г. №267-ФЗ)
5. Федеральный закон «О бухгалтерском учете» от 21.11.1996 г. №129-ФЗ (в ред. от 23.11.2009 г. №261-ФЗ)
6. Федеральный закон «Об обществах с ограниченной ответственностью » от 08.02.1998 г. №14-ФЗ (в ред. от 27.12.2009 г. №352-ФЗ)
7. Приказ Министерства Финансов РФ « Об утверждении Положения по ведению бухгалтерского учета и бухгалтерской отчетности в Российской Федерации» от 29.07.1998 г. № 34н (в редакции от 26.03.2007 г. № 26н)
8. Приказ Министерства Финансов РФ «Об утверждении положения по бухгалтерскому учету «Учетная политика организации» (ПБУ 1/2008)», от 06.10.2008 г. № 106н (в ред. от 11.03.2009№ 22н), действует с 01.01.2009 г., от 11.03.2009 г. №22н.
9. Приказ Министерства Финансов РФ «Об утверждении положения по бухгалтерскому учету «Учет активов и обязательств, стоимость которых выражена в иностранной валюте» (ПБУ 3/2006)» от 27.11.2006 г. № 154н (в ред. от 25.12.2007 г. № 147н)
10. Приказ Министерства Финансов РФ «Об утверждении положения по бухгалтерскому учету «Бухгалтерская отчетность организации» (ПБУ 4/99)» от 06.07.1999 г. № 43н (в ред. от 18.09.2006 г. № 115н)
11. Приказ Министерства Финансов РФ «Об утверждении положения по бухгалтерскому учету «Учет основных средств» (ПБУ 6/01)» от 30.03.2001 г. № 26н (в ред. от 27.11.2006 г. № 156н)
12. Приказ Министерства Финансов РФ «Об утверждении положения по бухгалтерскому учету «Доходы организации» (ПБУ 9/99)» от 06.05.1999 г. № 32н (в ред. от 27.11.2006 г. № 156н)
13. Приказ Министерства Финансов РФ «Об утверждении положения по бухгалтерскому учету «Расходы организации» (ПБУ 10/99)» от 06.05.1999 г. № 33н (в ред. от 27.11.2006 г. № 156н)
14. Приказ Министерства Финансов РФ «Об утверждении положения по бухгалтерскому учету «Учет нематериальных активов» (ПБУ 14/2007)» от 27.12.2007 г. № 153н, с бухгалтерской отчетности 2008 г.
15. Приказ Министерства Финансов РФ «Об утверждении Плана счетов бухгалтерского учёта финансово-хозяйственной деятельности организаций и Инструкции по его применению» от 31.10.2000 г. № 94н (в редакции от 18.09.2006 г. № 115н)
16. Приказ Министерства Финансов РФ «Об утверждении положения по бухгалтерскому учету «Учет материально-производственных запасов» (ПБУ 5/01)» от 09.06.2001 г. № 44н (в ред. от 26.03.2007 г. № 26н)
17. Приказ Министерства Финансов РФ «О формах бухгалтерской отчетности организации» от 22.07.2003 г. № 67н (в ред. от 18 .09.2006 г. № 115н)
18. Методические указания по проведению анализа финансового состояния организации. Приложение к приказу ФСФО России от 23.01.2001 № 16
19. Анализ финансовой отчетности: Учеб. пособие / Под ред. О.В. Ефимовой, М.В. Мельник. – М.: Омега – Л, 2008.
20. Анализ хозяйственной деятельности предприятия: Учебник/Г.В. Савицкая. – 3-е изд., испр. и доп. – М.: Инфра-М, 2007.
21. Анализ финансово-экономической деятельности предприятия: учебно-практическое пособие / под ред. М.С. Абрютина, А.В. Грачев. – М.: Изд-во «Дело и Сервис», 2008.
22. Анализ хозяйственной деятельности в промышленности / под.ред Н.А. Русак, В.И. Стражев, О.Ф. Мигун и др.; Под общ. ред. В.И. Стражева. – Минск: Высшая школа, 2007
23. Астахов В.П. Бухгалтерский (финансовый) учет: учеб.пособие. – М.: ИКЦ «МарТ»; Ростов н/Д: Изд. центр «МарТ», 2008.
24. Афанасьев В.К. Пути повышения эффективности производства. – М.: Ленпроомбытиздат, 2006.
25. Бухгалтерский учет: Учебно-практическое пособие/Р.З. Тумасян. – 5-е изд., перераб. и доп. – М: Омега-Л, 2006.
26. Бернстайн Л.А. Анализ финансовой отчетности. – М.: Финансы и статистика, 2008
27. Бехтерева Е.В. Себестоимость: рациональный и эффективный учет расходов: практ. пособие. – М.: Омега-Л, 2010
28. Богатин Ю.В. Управленческий учет. – М.: Финансы и статистика, 2008.
29. Бухгалтерский учет: Учебник / И.Е. Тишков, А.И. Балдинов, Т.Н. Дементей и др.; Под общ.ред. И.Е. Тишкова. – Минск: Высшая школа, 2007.
30. Бухгалтерский учет: Учебник. / Ю.А. Бабаев (и др.); под ред. Ю.А.Бабаева. – М.: ТК Велби. Изд-во Проспект, 2007.
31. Бухгалтерский учет / Под ред. Е.П. Козлова, Н.В. Парашутин, Т.Н. Бабченко, Е.Н. Галанина. – М.: Изд-во «Финансы и статистика», 2007.-
32. Вахрушина М.А. Бухгалтерский управленческий учет. - М.: ЗАО “Финстатинформ” , 2007.
33. Вавилов Н. Успехи и трудности повышения эффективности производства // Экономист. – 2007.
34. Врублевский Н.Д. Управленческий учет издержек производства и себестоимости продукции в отраслях экономики: Учебное пособие. – М.: Бухгалтерский учет, 2005.
35. Гогина Г.Н. Комплексный экономический анализ хозяйственной деятельности: конспект лекций - Самара: Самар. гуманит. акад., 2008
36.Григорьев В.В. Организация, планирование и управление промышленным предприятием. – М.: Инфра-М, 2006.
37. Глушков И.Е. Бухгалтерский учет на современном предприятии: эффективное пособие по бухгалтерскому учету / И.Е. Глушков. – М.: «КНОРУС»; Новосибирск: «ЭКОР-КНИГА», 2008.
38. Григорьев Ю.А. Новый свод бухгалтерских проводок. Анализ, комментарии, практика. – М.: Книжный мир, 2008.
39. Драгункина Н.В., Соснаускене О.И. Финансовый анализ организации по данным бухгалтерской (финансовой) отчетности. – М.: Экзамен. 2009
40. Ефимова О.В. Финансовый анализ.– М.: Бухгалтерский учет, 2008.
43. Зайцев Н.Л. Экономика организации: Учебник для вузов / Н.Л. Зайцев. – М.: Экзамен, 2008.
44. Ковалев В.В., Волкова О.Н. Анализ хозяйственной деятельности предприятия. – М.: ПБОЮЛ , 2009
45. Козлова Е.П. Бухгалтерский учет . Под ред. Е.П. Козлова, Н.В. Парашутин, Т.Н. Бабченко, Е.Н. Галанина. – М.: Финансы и статистика, 2007.
46. Кондраков Н.П. Бухгалтерский учёт. Под ред. Н.П. Кондраков. – М.: Ин-фра-М, 2008.
47. Кударь Г.В. Себестоимость для целей налогообложения. Под ред. Г.В. Кударь. – М.: Бератор-Пресс, 2007. – 245 с.
48. Любушин, Н.П. Анализ финансово-экономической деятельности пред-приятия: учеб.пособие для вузов / Н.П. Любушин, В.Б. Лещева, В.Г. Дьякова; под ред. проф. Н.П. Любушина. – М.: ЮНИТИ-ДАНА, 2008.
49. Новицкий Н.И. Организация производства на предприятиях: учебно-методическое пособие. – М.: Финансы и статистика, 2003.
50. Основы организации производства: учебник / Под редакцией Н.А. Чечина. – Самара: Издательство "СГЭА", 2005.
51. Палий В.Ф. Бухгалтерский учет доходов, расходов и прибыли. – М.: Бератор-Пресс, 2008.
52. Пошерстник Е.Б. Бухгалтерский учет и аудит: Практическоепо-собие с комментариями / Е.Б. Пошерстник, М.С. Мейксин. – СПб.: ИТД Герда, 2008.
53. Просветов Г.И. Учет затрат и калькулирование себестоимости. Задачи и решения: Учебно-практическое пособие. – М.: Альфа-Пресс, 2008
54. Рассказова-Николаева С.А. Бухгалтерский учет и налогообложение в ор-ганизации. – М.: АКДИ Экономика и жизнь, 2008. – 608 с.
55. Савицкая Г.В. Анализ хозяйственной деятельности предприятий АПК: Учебник Г.В. Савицкая. – Минск: Новое знание, 2008
56. Самойлов И.В. Бухгалтерская отчетность: практические рекомендации. – М.: Изд-во ИНФРА-М, 2008.
57. Себестоимость для целей налогообложения. / под ред. Г.В. Кударь. – М.: Изд-во Бератор-Пресс, 2007.
58. Смирнов Э.А. Основы теории организации: учебное пособие для ВУЗов. – М.: Аудит, ЮНИТИ, 2008.
59. Соколов Я.В. Бухгалтерская (финансовая) отчетность. – М.: Финансы и статистика, 2009.
60. Суглобов А.Е. Бухгалтерский учет и аудит: Учебное пособие / А.Е. Суглобов, Б.Т. Жарылгасова. – М.: КНОРУС, 2007.
61. Туровец О.Г., Бухалков М.И., Родинов В.Б. Организация производства и управления предприятием: учебник. – М.: ИНФРА-М, 2009.
62. Тимофеева М.С. Бухгалтерский учет на предприятиях сервиса. Теоретические основы и практика бухгалтерского учета: Учебное пособие / под ред. М.С. Тимофеева, Б.Ю. Сербиновский, С.Н. Цветкова. – М.: Издательско-торговая корпорация «Дашков и К», 2008.
63. Учетные и налоговые последствия амортизационной политики / под ред. М.В. Семенова // Бухгалтерский учет. – 2009. – № 8
64. Фатхутдинов Р.А. Организация производства: учебник для ВУЗов. – М.: ИНФРА-М, 2008.
65. Финансовый анализ: Учебное пособие / под ред. Э.А. Маркарьян, Г.П. Герасименко, С.Э. Маркарьян. – М.: Изд-во ИД ФБК-ПРЕСС, 2008.
66. Экономика предприятия под редакцией Горфинкеля В.Я. – М: "Банки и биржи", ЮНИТИ, 2008.
67. Экономика предприятия под редакцией Волкова О.И. – М.: Инфра-М, 2008.
68. Gant C., Sarson T. Structured Analysis. Englewood Cliffis. – NI:Prentici-Hall,1979.
69. International accounting standards 2002 /YASB Publication Department. – London,2002.
70. Milltr M.F., Bailey D.B. Comprehensive GAAS Guide (General Accepted Auditing Standards). – New-York, 1983.
Похожие рефераты:
Бухгалтерско-управленческий учет
Анализ себестоимости товарной продукции на примере ОАО "Нижнекамскшина"
Учет затрат и калькулирование себестоимости добычи угля и пути ее снижения
Шпаргалки по учету, анализу и аудиту в РБ
Учет затрат и калькулирование себестоимости продукции
Основы организации учета затрат и калькулирование себестоимости продукции, работ, услуг
Анализ себестоимости продукции животноводства
Анализ себестоимости продукции ОАО "Белшина"
Затраты и себестоимость продукции предприятия ОАО "Корпорация "РОСКА", г. Санкт-Петербург