| Похожие рефераты | Скачать .docx |
Курсовая работа: Статистическое изучение заработной платы
Введение
1. Теоретические основы изучения заработной платы
1.1 Сущность оплаты труда. Формы и системы оплаты труда
1.2 Средний уровень заработной платы
1.3 Состав затрат на рабочую силу
2. Расчетная часть
Задание 1
Задание 2
Задание 3
Задание 4
3. Аналитическая часть
3.1 Постановка задачи
3.2 Методика решения
3.3 Методика выполнения компьютерных расчетов
3.4 Анализ результатов статистических компьютерных расчетов
Заключение
Использованная литература
Приложения
Заработная плата как часть валового национального дохода, поступающая в денежной и натуральной форме в индивидуальное распоряжение наемных работников за работу, выполненную в текущем периоде, является важнейшей характеристикой рынка труда.
Актуальность исследования обусловлена тем, что особая, центральная роль в структуре доходов работника принадлежит заработной плате. Она и в настоящее время и в ближайшие годы остается для подавляющего большинства трудящихся основным источником доходов, а значит, заработная плата и в перспективе будет более мощным стимулом повышения результатов труда и производства в целом.
Потребность в надежной информации о заработной плате и других формах дохода работников с переходом к рынку и углублением дифференциации в уровне оплаты труда возрастает. Программа государственного статистического наблюдения по труду предусматривает получение данных о структуре заработной платы, уровне оплаты труда по различным отраслям и секторам экономики, географическим районам, по предприятиям и организациям различных размера и форм собственности, для отдельных групп работников, выделенных по возрастному, профессиональному и иным признакам. При ее разработке учитываются конкретные потребности различных пользователей информации. Полученные данные необходимы для анализа социально-экономических процессов, измерения уровня жизни населения, изучения взаимосвязи между доходами и занятостью, проведения коллективных переговоров по вопросам труда и заработной платы, установления уровня минимальной заработной платы, разработки конкретных мер для поддержания уровня доходов малообеспеченных граждан и решения других проблем.
В задачи статистики труда входит изучение объема и состава фонда заработной платы и затрат предприятий на рабочую силу, характеристика среднего уровня заработной платы, анализ динамики оплаты труда во взаимосвязи с производительностью труда и другими важнейшими показателями, изучение степени распространения различных форм и систем оплаты труда и их воздействия на рынок труда.
Целью данной курсовой работы является статистическое изучение заработной платы.
Для осуществления этой цели необходимо выполнить следующие задачи:
рассмотреть понятие системы заработной платы и ее классификацию;
определить системы оплаты труда, основную и дополнительную заработную плату;
проанализировать показатели уровня заработной платы;
провести практическое исследование заработной платы с использованием изученных теоретических данных.
1. Теоретические основы изучения заработной платы
1.1 Сущность оплаты труда. Формы и системы оплаты труда
Оплата труда представляет собой цену рабочей силы, соответствующую стоимости предметов потребления и услуг, которые обеспечивают воспроизводство рабочей силы, удовлетворяя физические и духовные потребности самого работника и членов его семьи.
В основе организации оплаты труда лежат следующие принципы:
предоставление предприятиям максимальной самостоятельности в вопросах организации и оплаты труда;
распределение в соответствии с результатами труда, его количеством и качеством;
материальная заинтересованность в высоких конечных результатах труда и неограниченности заработной платы;
выработка эффективной системы социальной защищенности работников;
регулирование соотношения в оплате труда между наиболее и наименее оплачиваемыми категориями работников;
опережающие темпы роста производительности труда над ростом средней заработной платы.
Заработная плата выступает в различных формах: сдельной, повременной с элементами сдельщины; широко распространены премии и дополнительные выплаты в зависимости от квалификации труда, степени сложности, привлекательности и т. д. Все способы вознаграждения принимают форму ставки заработной платы. И здесь важно не только то, какую заработную плату получает работник, но и какое количество товаров и услуг можно на нее приобрести. Надо различать номинальную заработную плату, т. е. ее денежный размер, и реальную заработную плату, под которой понимается определенное количество приобретаемых на данную оплату труда товаров и услуг.
Организация оплаты труда на предприятии базируется на трех взаимосвязанных взаимозависимых элементах, а именно: тарифная система, нормирование труда и формы оплаты труда.
Тарифная система.
Тарифная система традиционно служит основой организации заработной платы работающих и строится в зависимости от условий труда, квалификации работающих, формы оплаты труда и значения данной отрасли в народном хозяйстве[1] . Тарифная система включает: тарифную ставку, тарифную сетку, тарифно-квалификационные справочники, с помощью которых можно определить разряд работы и работающего в соответствии с тарифной сеткой.
Тарифная система - совокупность нормативов, с помощью которых осуществляется дифференциация заработной платы работников различных категорий.
Тарифная ставка (оклад) - фиксированный размер оплаты труда работника за выполнение нормы труда (трудовых обязанностей) определенной сложности (квалификации) за единицу времени. Исходной является минимальная тарифная ставка первого разряда. Она определяет уровень оплаты наиболее простого труда. Тарифные ставки могут быть дневные, часовые.
Тарифная сетка - совокупность тарифных разрядов работ (профессий, должностей), определенных в зависимости от сложности работ и квалификационных характеристик работников с помощью тарифных коэффициентов. Тарифный коэффициент низшего разряда принимается равным единице.
С помощью тарифно-квалификационных справочников можно определить разряд работы или работающего в соответствии с тарифной сеткой.
Система оплаты труда по Единой тарифной системе (ЕТС), принятой в 1992 году для бюджетных отраслей, предусматривает дифференциацию зарплаты по 18 разрядам. Ставка 18 разряда в 10,07 раза превосходит ставку 1-го разряда. Первые 8 разрядов предназначены для тарификации рабочих.
В соответствии с принципами разработки ЕТС, размер ставки 1-го разряда должен быть не ниже минимального размера оплаты труда. В частности, исходя из минимальной заработной платы и средней продолжительности рабочего времени, установленных в законодательном порядке, определяются минимальные размеры часовых тарифных ставок 1-го разряда. С 1-го по 3-й разряд ставки увеличиваются на 30% от разряда к разряду, с 4-го по 15-й – на 13%, с 16-го по 18-й – на 11%.
Ставки и оклады работников на основе ЕТС являются минимальными уровнями оплаты труда как в государственном, так и в частном секторе национальной экономики. Это служит государственной социальной гарантией уровня оплаты труда, ниже которого работнику не может быть установлена заработная плата при соблюдении им условий трудового договора.
Напомним, что правительство РФ планирует с 2007 года отказаться от Единой тарифной сетки ( ЕТС) и перейти к отраслевой системе оплаты труда.[2]
Переход на новую систему связан с тем, что, по мнению правительства, ЕТС морально устарела, и это является главным основанием, чтобы перейти к другой системе оплаты труда. Отраслевые тарифные системы должны быть более эффективными, чем ЕТС .
Нормирование труда.
Для эффективной организации оплаты труда на предприятии необходимо знать, какое количество труда необходимо для выполнения той или иной работы, т.е. установить меру труда каждого работника (норму труда). Нормирование труда – это определение максимально допустимого количества времени для выполнения конкретной работы или операции в условиях данного производства (минимально допустимое количество продукции, изготавливаемой в единицу времени).
Нормирование труда – основа правильной организации труда и заработной платы, оно должно строиться на базе внедрения прогрессивных, технически обоснованных норм.
На практике применяют различные методы нормирования труда. Наиболее прогрессивный – аналитический метод, предполагающий использование комплексного, системного подхода к формированию норм и нормативов труда, предусматривающий проведения таких процедур, как: исследование трудового процесса, расчлененного на составные элементы; изучение всех факторов, влияющих на затраты труда; проектирование более совершенного состава операций и методов их выполнения; разработку мероприятий, улучшающих обслуживание рабочего места; расчет времени на выполнение работы; внедрение норм в производство и т.д[3] .
Аналитический метод может быть дифференцирован на аналитически-расчетный, в соответствии с которым нормы определяются непосредственным изучением рабочего времени (хронометраж, ФРД, выборочный метод изучения потерь рабочего времени и т.п.).
Учет затрат рабочего времени предусматривает систематическое изучение процессов труда, измерение и анализ затрат времени путем проведения наблюдений на рабочих местах, что позволяет установить загруженность исполнителей в течение рабочего дня: определить степень использования оборудования, выявить потери рабочего времени, определить выполнение норм выработки и т.д.
Формы и системы заработной платы.
Формы и системы заработной платы представляют собой способы установления зависимости между величиной оплаты труда и трудовым вкладом работников. Измерителями затрат труда являются рабочее время и количество изготовленной продукции. На основе этих измерителей строятся основные формы оплаты труда рабочих – повременная и сдельная. При повременной оплате мерой оплаты труда выступает отработанное время, а заработок начисляется в соответствии с тарифной ставкой работника или в форме оклада за фактически отработанное время. При сдельной оплате мерой труда является выработанная продукция, а оценка труда производится в соответствии со сдельной расценкой. И сдельную и повременную формы оплаты труда может представить система оплаты труда.
Сдельная оплата распространена на тех предприятиях, где можно рассчитать нормы выработки. Эта форма оплаты устанавливается в том случае, когда необходимо увеличить количество произведенного товара. Недостатком данной системы оплаты труда является возможность возникновения сверхнормативных запасов на отдельных участках технологической цепи, что ведет к снижению эффективности производства[4] . На современных производствах чаще применяется повременная система оплаты труда, основным недостатком которой является заложенный механизм стимулирования в зависимости от количества и качества произведенной работы. Поэтому в чистом виде ни сдельная, ни повременная формы оплаты труда не применяются.
При повременных формах оплата производиться за определенное количество отработанного времени независимо от количества выполненных работ. Различают простую повременную и премиально-повременную системы оплаты труда.
Заработок рабочих определяют умножением часовой или дневной тарифной ставки его разряда на количество отработанных им часов или дней. Заработок других категорий работников определяют следующим образом: если эти работники отработали все рабочие дни месяца, то их оплату составят установленные для них оклады; если же они отработали неполное число рабочих дней, то их заработок определяют делением установленной ставки на календарное количество рабочих дней и умножением полученного результата на количество оплачиваемых за счет предприятия рабочих дней.
При повременно-премиальной системе оплаты труда к сумме заработка по тарифу прибавляют премию в определенном проценте к тарифной ставке или к другому измерителю. Первичными документами по учету труда работников при повременной оплате являются табели.
Сдельная форма оплаты труда подразделяется на прямую сдельную, сдельно-премиальную, сдельно-прогрессивную, косвенно-сдельную и аккордную системы.
При прямой сдельной системе оплаты труда рабочих осуществляется за число единиц изготовленной ими продукции и выполненных работ исходя из твердых сдельных расценок, установленных с учетом необходимой квалификации. Сдельно-премиальная система оплаты труда рабочих предусматривает премирование за перевыполнение норм выработки и достижение определенных качественных показателей (отсутствие брака, рекламации и т.п.). При сдельно-прогрессивной системе оплата повышается за выработку сверх нормы. При косвенно-сдельной системе оплата труда наладчиков, комплектовщиков, помощников мастеров и других рабочих осуществляется в процентах к заработку основных рабочих обслуживаемого участка.
Аккордная форма оплаты труда предусматривает определение совокупного заработка за выполнение определенных стадий работы или производство определенного объема продукции.
Расчет заработка при сдельной форме оплаты труда осуществляется по документам о выработке.
Описанные выше формы и системы оплаты труда представляют собой основную заработную плату. Под дополнительной оплатой труда понимают такие выплаты работникам предприятий, которые производятся не за выполненную работу, а в соответствии с действующим законодательством: оплата очередных отпусков, перерывов в работе кормящих матерей, льготных часов подростков, за время выполнения государственных и общественных обязанностей, выходного пособия при увольнении и др. Решающее влияние на соотношение составных частей заработка оказывает уровень организации производства на предприятии и свойственное ему качество нормирования труда.
Вторым важным фактором, оказывающим при прочих равных условиях влияние на соотношение основной и дополнительной выплат, является степень зрелости профсоюзной организации предприятия (или какой-либо другой организации представляющей на предприятии интересы наемных работников), ее возможность влиять на условия и уровень оплаты труда.
В странах с развитой рыночной экономикой, где работодатели обеспечивают высокий уровень организации производства, а профсоюзы достаточно активно влияют на условия оплаты труда через систему многоуровневых коллективных переговоров, соотношение между основной и поощрительной оплатой не бывает менее 9:1, т.е. доля всех видов поощрений в заработной плате работников не превышает 10%. Практически это означает высокую степень гарантированности оплаты труда со стороны работодателя и высокую степень гарантированности трудовой отдачи (производительности труда) работников.
1.2 Средний уровень заработной платы
Для аналитических целей может быть исчислен средний уровень оплаты труда в единицу времени: среднечасовая, среднедневная и среднемесячная заработная плата.
Основой для расчета среднечасового заработка является часть начисленного за месяц фонда заработной платы, представляющая собой прямую заработную плату за фактически отработанные часы или проделанную работу. Эта часть фонда заработной платы называется часовым фондом заработной платы (ФЧЗП). Среднечасовая заработная плата f час исчисляется путем деления часового фонда заработной платы на отработанные человеко-часы.
В основе расчета среднедневного заработка лежит дневной фонд заработной платы (ФДЗП), представляющий собой суммы оплаты труда, начисленные за отработанное время, учтенное в человеко-днях. В его состав входит прямая заработная плата за отработанное время или проделанную работу, а также выплаты за неотработанные часы в течение рабочего дня, предусмотренные законодательством, в частности: оплата льготных часов подростков, оплата внутрисменных часов, связанных с выполнением государственных и общественных обязанностей, оплата внутрисменных простоев не по вине работников.
Среднедневная заработная плата f дн исчисляется как отношение дневного фонда заработной платы к отработанному времени, учтенному в человеко-днях. Взаимосвязь между среднедневным и среднечасовым заработком
f дн = f час аk1 (1.1)
где а — средняя фактическая продолжительность рабочего дня;
k1 — коэффициент увеличения дневного фонда заработной платы за счет доплат
k1 = ФДЗП/ФЧЗП (1.2)
Аналогично связаны между собой индексы среднечасовой и среднедневной заработной платы
Ifдн = Ifчас Iа Ik1 (1.3)
Среднемесячная заработная плата исчисляется как отношение фонда заработной платы, начисленного за месяц (ФМЗП), к среднесписочной численности работников. В составе месячного фонда заработной платы можно выделить три группы выплат:
дневной фонд заработной платы;
выплаты за неотработанные дни, а именно: оплата очередных и учебных отпусков; оплата дней, не отработанных в связи с выполнением государственных и общественных обязанностей; суммы, выплачиваемые за счет средств предприятия за неотработанные дни работникам, вынужденно работавшим неполное рабочее время по инициативе администрации; оплата целодневных простоев не по вине работника;
прочие выплаты, включаемые в соответствии с установленным порядком в состав фонда заработной платы, в том числе: денежная компенсация за неиспользованный отпуск, вознаграждение за выслугу лет, единовременные премии и другие поощрения и т.д.
Взаимосвязь между уровнями и индексами среднемесячного и среднедневного заработка отражается формулой
(1.4)
где b — средняя фактическая продолжительность рабочего периода, дни;
k2 — коэффициент увеличения фонда заработной платы, начисленного за месяц, за счет доплат
(1.5)
Изучение соотношения между уровнями оплаты труда позволяет получить представление об организации труда и степени использования рабочего времени[5] . Например, более высокие темпы роста среднечасовой заработной платы по сравнению с темпом роста среднедневной могут свидетельствовать об увеличении потерь рабочего времени или сокращении доли выплат за неотработанное время внутри рабочего дня.
Для изучения динамики среднего уровня оплаты труда используются индексы переменного, постоянного состава и влияния структурных сдвигов.
Индекс переменного состава показывает динамику среднего уровня оплаты труда под влиянием двух факторов:
а) изменения заработной платы у различных групп и категорий работников;
б) структурных изменений в составе работающих, т.е. соотношения между численностью работников с высоким и низким уровнем оплаты труда.
Индекс постоянного состава отражает среднее изменение заработной платы у отдельных групп работников. Индекс структурных сдвигов характеризует влияние структурных изменений в составе работающих на динамику среднего уровня оплаты труда.
Между средним уровнем оплаты труда, численностью работающих и фондов заработной платы существует зависимость:
(1.6)
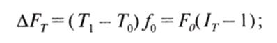
Влияние каждого фактора на изменение фонда заработной платы определяют следующим образом:
а) прирост или уменьшение фонда заработной платы в связи с изменением численности работающих
(1.7)
б) прирост или уменьшение фонда заработной платы за счет изменения уровня оплаты труда
DFf = (f1 – f0 )T1 = F0 IT (If - 1) (1.8)
Увеличение или уменьшение фонда заработной платы в связи с изменением численности работающих DFT, в свою очередь, можно разложить на две составляющие:
прирост в связи с изменением объема продукции (при базисном уровне производительности труда):
(1.9)
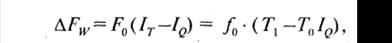
прирост за счет изменения производительности труда, что приводит к относительному высвобождению численности работников:
(1.10)
где T1 – T0IQ – относительная экономия рабочей силы
Сопоставление динамики производительности труда и средней заработной платы проводится либо путем сравнения индексов заработной платы и производительности труда
, (1.11)
либо путем сравнения, темпов прироста заработной платы и производительности труда
Опережение роста производительности труда по сравнению с ростом заработной платы свидетельствует об уменьшении доли расходов на оплату труда в стоимости произведенной продукции и наоборот.
Статистика изучает дифференциацию заработной платы работников. Размер заработной платы зависит от уровня квалификации работника, интенсивности труда, условий труда, а также от отрасли, в которой занят работник, территориального размещения предприятий и организаций и других факторов[6] .
Основным источником статистических данных о дифференциации заработной платы являются материалы ежегодно проводимого обследования. Данные этого обследования позволяют получить ряды распределения работников по размеру начисленной за месяц заработной платы. При этом предприятия представляют данные о численности работников и размере начисленной им заработной платы только для тех работников, которые работали на данном предприятии или в организации в течение всего месяца, который обследуется.
В результате получаются ряды распределения работников по размеру заработной платы по отдельным отраслям экономики и по народному хозяйству в целом. На основе этих данных рассчитываются различные коэффициенты дифференциации заработной платы. Наиболее часто используются децильный и квартальный коэффициенты дифференциации, коэффициент фондов и др.
Децильный коэффициент дифференциации равен:
Кd = d9/d1 (1.12)
где d1 -- величина первого дециля (10% работников имеют заработную плату ниже этого значения);
d9 -- величина девятого дециля (10% работников имеют заработную плату выше этого значения).
Квартальный коэффициент характеризует соотношение между верхним и нижним квартилями.
Коэффициент фондов определяется как соотношение между средними уровнями зарплаты внутри сравниваемых групп, находящихся в разных концах распределения по уровню зарплаты:
Kf=F10/F1=X10/X1 (1.13)
Где F10— фонд заработной платы, который приходится на 10% работников с самой высокой зарплатой;
F1 - фонд заработной платы, который приходится на 10% работников с самой низкой зарплатой;
Х10 — средняя зарплата наиболее оплачиваемых работников;
Х1 - средняя зарплата наименее оплачиваемых работников.
Поскольку фонды заработной платы FIO и F1 относятся к равным частям совокупности работающих (10%), то коэффициент фондов можно исчислить на основе соотношения средних значений заработной платы для сопоставления групп работников.
Показатели дифференциации заработной платы рассчитываются на уровне предприятий, отраслей и экономики в целом.
На основе данных рядов распределения работников по размеру получаемой ими заработной платы можно определить также общую численность и удельный вес численности работников, зарплата которых находится ниже прожиточного минимума трудоспособного населения.
1.3 Состав затрат на рабочую силу
Одним из важнейших направлений исследований в статистике труда и заработной платы является изучение уровня, структуры и динамики затрат на рабочую силу, имеющих большое значение при определении политики заработной платы, при заключении тарифных соглашений и решении других задач.
Затраты на рабочую силу могут изучаться в двух направлениях: издержки предприятия в связи с использованием наемного труда и расходы на рабочую силу на уровне экономики в целом. В первом случае основное внимание уделяется изучению тех издержек на рабочую силу, которые несет непосредственно работодатель[7] . Во втором случае при определении расходов на рабочую силу в расчет принимаются и затраты государства в части финансирования социального обеспечения, пенсионных и других программ. В статистической практике предпочтение отдается концепции издержек работодателя на рабочую силу. Вместе с тем для международных сопоставлений данные о расходах работодателей на рабочую силу должны дополняться информацией об участии государства в финансировании этих затрат.
Согласно международным стандартам изучение затрат на содержание рабочей силы проводится на основе специальных единовременных выборочных обследований один раз в два года. В качестве периода наблюдения выбирается календарный год, с тем чтобы учесть все затраты на рабочую силу — регулярные (ежемесячные) и нерегулярные. Программа таких обследований позволяет увязать затраты на рабочую силу с видом деятельности, отраслью или сектором экономики, уровнем рентабельности, фондовооруженности и другими характеристиками предприятий.
Затраты предприятия (организации) на рабочую силу — это суммы вознаграждений в денежной и натуральной формах, начисленные наемным работникам за выполненную работу, и дополнительные расходы, произведенные организацией в пользу своих работников. Они рассматриваются, с одной стороны, как часть фактических издержек работодателя, связанных с использованием наемного труда, а с другой стороны, как доходы работников предприятия.
В составе затрат на рабочую силу согласно международной стандартной классификации выделяют 10 групп затрат:
первые четыре группы охватывают расходы на оплату труда, входящие в состав фонда заработной платы: оплату за отработанное время, оплату за неотработанное время, единовременные поощрительные выплаты, регулярные выплаты в натуральной форме (на питание, жилье, топливо);
расходы предприятия по обеспечению работников жильем: стоимость жилья, переданного в собственность работникам; расходы на содержание ведомственного жилого фонда; суммы, предоставленные работникам для первоначального взноса на жилищное строительство или на погашение кредита, выданного на эти цели; расходы на погашение ссуд, выданных работникам на улучшение жилищных условий;
расходы на социальную защиту работников. В составе этой группы можно выделить четыре группы затрат: обязательные отчисления в государственные социальные фонды; взносы в негосударственные пенсионные фонды; расходы, являющиеся частью выплат социального характера, например: надбавки к пенсиям работающим на предприятии, оплата путевок работникам и членам их семей на лечение и отдых, оплата услуг, оказываемых работникам предприятия учреждениями и организациями здравоохранения и др.; расходы на содержание медпунктов, профилакториев, домов отдыха, находящихся на балансе предприятия или организации;
расходы на профессиональное обучение, включающие затраты на содержание и аренду учебных помещений, расходы на платное обучение работников, стипендии за счет средств организации работникам, направленным на обучение и другие расходы по подготовке и переподготовке кадров;
расходы на культурно-бытовое обслуживание, в том числе расходы на проведение вечеров отдыха и других культурно-массовых и спортивных мероприятий, на содержание столовых, библиотек, клубов, спортивных сооружений, расходы по организации работы кружков, курсов, студий и т.п., оплата путевок на экскурсии, путешествия, расходы по обустройству садоводческих товариществ, расходы по возмещению ценовой разницы на продукцию, отпускаемую подсобными хозяйствами для общественного питания работников предприятия;
прочие затраты, не отнесенные к вышеперечисленным группам, но связанные с использованием наемного труда (оплата проезда к месту работы или отдыха, стоимость выданной бесплатно форменной одежды, обмундирования, спецодежды, спецобуви, других средств индивидуальной защиты, командировочные расходы, включая суточные или расходы, выплачиваемые взамен суточных);
налоги, связанные с использованием рабочей силы (налог с суммы превышения фактических расходов на оплату труда работников по сравнению с их нормируемой величиной, плата за привлечение иностранной рабочей силы).
Не включаются в затраты организаций на рабочую силу пособия по временной нетрудоспособности, беременности и родам, уходу за ребенком и другие выплаты из внебюджетных фондов, расходы на капитальное строительство жилья и объектов социальной сферы, доходы по акциям и другие доходы от участия работников в собственности организации (дивиденды, проценты и др.).
Для характеристики эффективности использования живого труда служат показатели средних затрат в расчете на единицу отработанного времени (среднечасовые затраты) и в расчете на одного работника за месяц (среднемесячные затраты)[8] . Интерес представляет также сопоставление издержек, которые несет работодатель при использовании наемного труда, с объемом произведенной продукции.
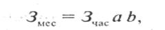
Среднечасовые затраты на рабочую силу исчисляют путем сопоставления суммы затрат на рабочую силу с количеством отработанных человеко-часов, характеризующих реальные затраты труда в текущем периоде в процессе производства и реализации продукции. Взаимосвязь между среднечасовыми и среднемесячными затратами на рабочую силу:
(1.14)
где Змес — затраты на одного работника в месяц (цена рабочей силы); Зчас — затраты в расчете на один отработанный человеко-час; а — средняя фактическая продолжительность рабочего дня; b — средняя .
Имеющая место дифференциация в уровне затрат на рабочую силу обусловлена в значительной части объективными условиями воспроизводства рабочей силы, использованием районных коэффициентов оплаты труда, различиями в стоимости жизни.
Исходные данные
Имеются следующие выборочные данные по предприятиям одной из отраслей промышленности в отчетном году (выборка 20 %-ная механическая), млн. руб.:
| № № предприятия п/п |
Фонд заработной платы млн. руб. |
Среднесписочная численность работников чел |
№ предприятия п/п |
Фонд заработной платы млн. руб. |
Среднесписочная численность работников чел |
| 1 |
11,340 |
162 |
16 |
11,502 |
162 |
| 2 |
8,112 |
156 |
17 |
16,356 |
188 |
| 3 |
15,036 |
179 |
18 |
12,792 |
164 |
| 4 |
19,012 |
194 |
19 |
17,472 |
192 |
| 5 |
13,035 |
165 |
20 |
5,85 |
130 |
| 6 |
8,532 |
158 |
21 |
9,858 |
159 |
| 7 |
26,400 |
220 |
22 |
11,826 |
162 |
| 8 |
17,100 |
190 |
23 |
18,142 |
193 |
| 9 |
12,062 |
163 |
24 |
8,848 |
158 |
| 10 |
9,540 |
159 |
25 |
13,944 |
168 |
| 11 |
13,694 |
167 |
26 |
23,920 |
208 |
| 12 |
21,320 |
205 |
27 |
13,280 |
166 |
| 13 |
16,082 |
187 |
28 |
22,356 |
207 |
| 14 |
10,465 |
161 |
29 |
10,948 |
161 |
| 15 |
4,32 |
120 |
30 |
15,810 |
186 |
Признак – Среднегодовая заработная плата (определите как отношение фонда заработной платы к среднесписочной численности работников).
Число групп – пять.
Решение:
Прежде всего, рассчитаем среднегодовую заработную плату работников на каждом предприятии, как указано в задании, и отсортируем их по возрастанию заработной платы для удобства дальнейших расчётов; результаты отразим в таблице 2.1.
Таблица 2.1
Таблица результатов расчета среднегодовой заработной платы (предприятия отсортированы по возрастанию заработной платы)
| № п/п |
Фонд заработной платы, млн. руб. |
Среднесписочная численность работников, чел. |
Среднегодовая заработная плата, тыс. руб./чел. |
| 15 |
4,32 |
120 |
36 |
| 20 |
5,85 |
130 |
45 |
| 2 |
8,112 |
156 |
52 |
| 6 |
8,532 |
158 |
54 |
| 24 |
8,848 |
158 |
56 |
| 10 |
9,54 |
159 |
60 |
| 21 |
9,858 |
159 |
62 |
| 14 |
10,465 |
161 |
65 |
| 29 |
10,948 |
161 |
68 |
| 1 |
11,34 |
162 |
70 |
| 16 |
11,502 |
162 |
71 |
| 22 |
11,826 |
162 |
73 |
| 9 |
12,062 |
163 |
74 |
| 18 |
12,792 |
164 |
78 |
| 5 |
13,035 |
165 |
79 |
| 27 |
13,28 |
166 |
80 |
| 11 |
13,694 |
167 |
82 |
| 25 |
13,944 |
168 |
83 |
| 3 |
15,036 |
179 |
84 |
| 30 |
15,81 |
186 |
85 |
| 13 |
16,082 |
187 |
86 |
| 17 |
16,356 |
188 |
87 |
| 8 |
17,1 |
190 |
90 |
| 19 |
17,472 |
192 |
91 |
| 23 |
18,142 |
193 |
94 |
| 4 |
19,012 |
194 |
98 |
| 12 |
21,32 |
205 |
104 |
| 28 |
22,356 |
207 |
108 |
| 7 |
26,4 |
220 |
120 |
| 26 |
23,92 |
208 |
115 |
| 7 |
26,4 |
220 |
120 |
Для того чтобы разбить данные предприятия на пять групп с равными интервалами по среднегодовой заработной плате, необходимо рассчитать величину шага разбиения по формуле:
i = (Xmax-Xmin)/n, где n – число образуемых групп.
i = (120 - 36) / 5 = 16,8 (тыс. руб./чел.).
Распределение предприятий по группам по среднегодовой заработной плате продукции представлено в таблице 2.2.
Таблица 2.2
Распределение предприятий по уровню рентабельности
| Группы предприятий по среднегодовой заработной плате |
Количество предприятий |
Кумулятивная частота |
||
| 1 |
36,0 |
52,8 |
3 |
3 |
| 2 |
52,8 |
69,6 |
6 |
9 |
| 3 |
69,6 |
86,4 |
12 |
21 |
| 4 |
86,4 |
103,2 |
5 |
26 |
| 5 |
103,2 |
120,0 |
4 |
30 |
| Итого: |
30 |
- |
||
![]() |
Согласно данным таблицы 2.2 построим графики полученного ряда распределения.
Рис. 2.1: Гистограмма распределения предприятий по уровню заработной платы
![]() |
Рис. 2.2: Кумулята распределения предприятий по уровню рентабельности
По графикам видно, что Мо = 78, а Ме = 69,6. Конечно, при определении значений по графикам имеет место небольшая погрешность.
Для расчёта средней арифметической, среднего квадратического отклонения, коэффициента вариации применяем формулы во взвешенной форме, так как данные сгруппированы и представлены в виде интервального ряда.
Для расчета указанных величин нам понадобятся некоторые промежуточные данные, представленные в таблице 2.3
Таблица 2.3
Данные для расчёта средней арифметической, среднего квадратического отклонения, коэффициента вариации
| № группы |
Интервал |
Число п/п (fi) |
Середина интервала (хi) |
хi* fi |
хi2* fi |
хi-ха |
(хi-ха)2* fi |
|
| 1 |
36,0 |
52,8 |
3 |
44,4 |
133,2 |
5914,08 |
-34,16 |
3500,72 |
| 2 |
52,8 |
69,6 |
6 |
61,2 |
367,2 |
22472,64 |
-17,36 |
1808,22 |
| 3 |
69,6 |
86,4 |
12 |
78,0 |
936 |
73008 |
-0,56 |
3,76 |
| 4 |
86,4 |
103,2 |
5 |
94,8 |
474 |
44935,2 |
16,24 |
1318,69 |
| 5 |
103,2 |
120,0 |
4 |
111,6 |
446,4 |
49818,24 |
33,04 |
4366,57 |
| Итого |
30 |
- |
30 |
- |
2356,8 |
196148,16 |
- |
10997,95 |
1) Для расчёта средней арифметической используется следующая формула:
ха = ∑ хifi / ∑ fi = 2356,8/30 = 78,56 тыс. руб./чел.
2) Расчёт средней квадратической произведём по формуле:
хкв = ∑ хi2fi / ∑ fi = 196148,16/30 = 80,86
3) Среднее квадратическое отклонение высчитывается по формуле:
σ = ∑(хi-ха)2 fi / ∑ fi = 10997,95/30 = 19,147 тыс. руб./чел.
4) Тогда коэффициент вариации будет равен:
Vδ = σ /ха = (19,147/78,56)100 = 24,4%
Теперь вычислим среднюю арифметическую по данным таблицы 5, расчёт будем производить по формуле:
ха = ∑ хi / n = 2350/30 = 78,33 тыс. руб./чел.
Полученный результат отличен от приведённого выше, так как в данном случае расчет проводился для несгруппированных данных, представленных в виде дискретного ряда. Следовательно, расчёт проводился по формуле средней арифметической простой.
Таким образом, по результатам задания №1 можно сделать такой вывод: коэффициент вариации (24,4%) не превышает 33%, что говорит о том, что найденная средняя заработная плата является типичной характеристикой, а также об однородности совокупности предприятий по данному признаку.
Связь между признаками – фонд заработной платы и среднегодовая заработная плата
Решение:
Сначала установим связь между указанными признаками методом аналитической группировки. В качестве факторного признака будет выступать фонд заработной платы работников предприятия, а в качестве результативного – среднегодовая заработная плата. Сначала необходимо рассчитать величину интервала: i = (26,4 – 4,3)/5 = 4,42
Результаты группировки отражены в таблицах 2.4 и 2.5 (для составления таблицы 2.5 будут использоваться данные из таблицы 2.4).
Таблица 2.4
Зависимость рентабельности от объёма выпуска продукции
| Группы предприятий по размеру фонда оплаты труда |
Интервал |
Количество предприятий |
Среднегодовая заработная плата, тыс.руб./чел. |
||
| всего |
в среднем на 1 предприятие |
||||
| 1 |
4,3 |
8,72 |
4 |
187 |
46,75 |
| 2 |
8,72 |
13,14 |
11 |
756 |
68,73 |
| 3 |
13,14 |
17,56 |
9 |
768 |
85,33 |
| 4 |
17,56 |
21,98 |
3 |
296 |
98,67 |
| 5 |
21,98 |
26,4 |
3 |
343 |
114,33 |
| Итого: |
30 |
2350 |
78,33 |
||
Таблица 2.5
Корреляционная таблица
| Группы предприятий по размеру ФОТ |
4,3 – 8,72 |
8,72 –13,14 |
13,14-17,56 |
17,56-21,98 |
21,98 – 26,4 |
Частота |
|
| Группы предприятий по уровню зарплаты |
|||||||
| 36,0 |
52,8 |
3 |
- |
- |
- |
- |
3 |
| 52,8 |
69,6 |
1 |
5 |
- |
- |
- |
6 |
| 69,6 |
86,4 |
- |
6 |
6 |
- |
- |
12 |
| 86,4 |
103,2 |
- |
- |
3 |
2 |
- |
5 |
| 103,2 |
120,0 |
- |
- |
- |
1 |
3 |
4 |
| Частота |
4 |
11 |
9 |
3 |
3 |
30 |
|
Теперь измерим тесноту корреляционной связи между названными признаками с использованием коэффициента детерминации и эмпирического корреляционного отношения. Для удобства расчёта указанных показателей представим в таблице 2.6 некоторые промежуточные данные.
Таблица 2.6
Промежуточные расчеты
| Показатель |
x1 |
х2 |
х3 |
х4 |
х5 |
ха |
x1-xa |
х2-xa |
х3-xa |
х4-xa |
х5-xa |
| Значение |
46,75 |
68,73 |
85,33 |
98,67 |
114,33 |
78,33 |
-31,58 |
-9,6 |
7,0 |
20,34 |
36 |
х1 – х5 – групповые средние (хj); ха – общая средняя.
Общую дисперсию рассчитаем по формуле:
Σобщ2 = (∑ хi2 / n)-( ∑ хi / n)2;
Σобщ2 = (195626/30)-(78,33)2 = 385,28
Величина межгрупповой дисперсии определяется по следующей формуле:
Δ2 = ∑(хj-ха)2 nj / ∑nj , где nj – число единиц в j-той группе
После вычисления имеем: δ2 = 352,44.
Теперь мы имеем все данные для расчёта коэффициента детерминации (η2)и эмпирического корреляционного отношения (η).
η2 = δ2/σобщ2 η = δ2/σобщ2
η2 = (352,44/385,28)*100 = 91,5%;
η = 352,44/385,28 = 0,956
Таким образом, по результатам выполнения задачи №2 можно сделать следующие выводы:
из таблицы 2.4 видно, что с ростом фонда оплаты труда от группы к группе, увеличивается и среднегодовая заработная плата от группы к группе. Следовательно, связь между рассматриваемыми признаками прямая корреляционная;
выводы, сделанные в п.1) подтверждаются и корреляционной таблицей, где присутствует ярко выраженное распределение предприятий вдоль диагонали (таблица 2.5);
коэффициента детерминации (91,5%) показывает, что среднегодовая зарплата почти на 91,5% объясняется различием в размере фонда оплаты труда и только на 8,5% - другими признаками;
эмпирическое корреляционное отношение (0,956, т.е. близко к единице) свидетельствует, что на среднегодовую зарплату существенно влияет размер фонда оплаты труда.
По результатам выполнения задания 1 с вероятностью 0,954 определите:
Ошибку выборки среднегодовой заработной платы и границы, в которых будет находиться уровень среднегодовой заработной платы в генеральной совокупности.
Ошибку выборки доли организаций с уровнем среднегодовой заработной платы 86,4 тыс. руб. и более и границы, в которых будет находится генеральная доля.
Решение:
Расчёт ошибки выборки среднего уровня рентабельности будем производить по формуле:
Δх = tμх = (σ2/n)(1-n/N)
а ошибку выборки доли организаций с уровнем среднегодовой заработной платы 86,4 тыс. руб. и более по следующей формуле:
Δw = tμw = (w(1-w)/n)(1-n/N)
Данные, необходимые для расчёта, представлены в следующей таблице
Таблица 2.7
| Показатель |
P |
t |
N, шт. |
n, шт. |
xa, тыс.руб./чел. |
σ |
w |
| Значение |
0,954 |
2,0 |
150 |
30 |
78,33 |
19,147 |
0,300 |
Р – доверительная вероятность;
t – коэффициент доверия;
n – число единиц выборочной совокупности;
N – число единиц генеральной совокупности;
w – доля единиц, обладающих данным признаком;
σ – среднее квадратическое отклонение.
Δх = 2,0 ((19,147)2/30)(1-30/150) = 6,25 (тыс. руб./чел.)
Таким образом, среднегодовая заработная плата на предприятиях генеральной совокупности с вероятностью 0,954 будет находиться в промежутке: 72,08 ≤ 78,33 ≤ 84,58.
Δw = 2,0 (0,30(1- 0,30)/30)(1-30/150) = 0,149
Следовательно, от 15,1 до 44,9% организаций с вероятностью 0,954 будут превышать уровень среднегодовой зарплаты 86,4 тыс. руб./чел.
Имеются следующие данные по двум организациям:
| Организация |
базисный период |
отчетный период |
||
| Средняя заработная плата, руб. |
Среднесписочная численность работников, чел. |
Средняя заработная плата, руб. |
Фонд заработной платы, тыс. руб |
|
| 1 |
5000 |
100 |
6500 |
682,5 |
| 2 |
5600 |
100 |
8000 |
760,0 |
Определите:
1. Индексы динамики средней заработной платы по каждой организации.
Результаты расчетов представьте в таблице.
По двум организациям вместе:
- индексы средней заработной платы переменного, постоянного состава и структурных сдвигов;
- абсолютное изменение фонда заработной платы в целом и за счет отдельных факторов;
- абсолютное изменение фонда заработной платы вследствие изменения среднесписочной численности работников, средней заработной платы и двух факторов вместе.
Сделайте выводы.
Решение:
Вычислим среднюю заработную плату по каждой организации в отчетном периоде и индекс динамики средней заработной платы. Результаты представим в таблице:
1. Индексы средней заработной платы по каждой организации
№ 1
6500/5000=1,3 взросла на 30%
№ 2
8000/5600 = 1,43 возросла на 43 %
| Организация |
Базисный период |
Отчетный период |
||||
| Средняя заработная плата, руб. z0 |
Среднесписочная численности работников, чел. t0 |
Фонд заработной платы z0t0 |
Средняя заработная плата, руб. z1 |
Среднесписочная численности работников, чел. t1 |
Фонд заработной платы, тыс.руб. z1t1 |
|
| № 1 |
5000 |
100 |
500 |
6500 |
105 |
682,5 |
| № 2 |
5600 |
100 |
560 |
8000 |
95 |
760 |
| Итого |
10600 |
200 |
1060 |
14500 |
200 |
1442,5 |
Индекс переменного состава
![]()

Индекс постоянного состава

Индекс структурных сдвигов
![]()
![]()
Абсолютное изменение средней заработной платы:
в целом 7212,5 - 5300 = +1912,5 (руб.);
за счет изменения средней зарплаты на каждом из предприятий:
7212,5 – 5285 = + 1927,5 (руб.)
за счет изменения структуры численности работников:
5285 – 5300 = -15 (руб.)
Абсолютное изменение фонда заработной платы:
Всего S z1t1 - S z0t0 = 1442,5 – 1060 = +382,5 (тыс. руб.)
вследствие изменения среднесписочной численности работников
S z0t1 - S z0t0 = 1057 – 1060 = -3 (тыс. руб.)
вследствие изменения средней заработной платы:
S z1t1 - S z0t1 = 1442,5 – 1057 = +385,5 (тыс. руб.)
Таким образом, средняя заработная плата в 1 организации выросла в отчетном периоде на 30% по сравнению с базисным, а во 2 организации на 42,9%. За счет этого средняя заработная плата в целом по двум организациям увеличилась на 1927,5 руб. или на 36,5%. За счет изменения структуры численности работников организаций средняя заработная плата в целом по двум организациям снизилась на 15 руб. или на 0,3%. В целом за счет действия этих двух факторов фонд заработной платы по двум организациям вырос в отчетном периоде на 385,5 руб. или на 36,47%.
Анализ заработной платы на предприятии является важной задачей, т.к. заработная плата является одной из основных составляющих себестоимости продукции.
Для проведения анализа заработной платы были использованы следующие данные о средней заработной плате и численности работников на предприятии.
Заработная плата ООО «Керама»
| Продукция |
Количество произведенной продукции, чел |
Средняя заработная плата, тыс.руб. |
z0t0 |
z1t1 |
z0t1 |
|||
| t0 |
t1 |
z0 |
z1 |
|||||
| Магазин |
5 |
6 |
2,0 |
1,9 |
10,0 |
11,4 |
12,0 |
|
| Ресторан |
4 |
5 |
1,0 |
0,9 |
4,0 |
4,5 |
5,0 |
|
| Итого: |
14,0 |
15,9 |
17,0 |
|||||
На основании имеющихся данных вычислим среднюю заработную плату по каждой организации в отчетном периоде и индекс динамики средней заработной платы, с использованием следующих формул:
Общий индекс затрат на производство продукции

общий индекс физического объема производства продукции

общий индекс себестоимости продукции

Взаимосвязь между исчисленными индексами.
Izt = It * Iz = 1,214 * 0,935 =1,136
3.3 Методика выполнения компьютерных расчетов
Статистический анализ выполнен с применением пакета прикладных программ MS Excel в среде Windows.
В результате выполнения всех необходимых расчетов получены данные.
Покажем, каким образом велось выполнение расчетов с применением компьютерных технологий.
Таблица 3.1
Полученные данные

Таблица 3.2
Компьютерные данные

На основе представленных данных также выполнены гистограммы, показывающей динамику изменения производства продукции предприятия и заработной платы.

Рис. 3.1 Динамика производства продукции предприятия

3.2 Динамика средней заработной платы работников предприятия
3.4 Анализ результатов статистических компьютерных расчетов
Результаты проведенных расчетов позволяют сделать следующие выводы.
На основе полученных данных делаем вывод, что на данном предприятии постоянно происходит увеличение выпускаемой продукции, однако также прослеживается снижение средней заработной платы, что наглядно показано на гистограммах.
Индексы динамики показывают следующие изменения:
общий индекс затрат на производство продукции 13,6%
общий индекс физического объема производства продукции 21,4%
общий индекс себестоимости продукции -6,5%
Это говорит о том, что возможно данное предприятие ведет не рациональную политику по отношению к работникам предприятия, хотя возможны ситуации, когда возникают чрезвычайные расходы, не позволяющие увеличение фонда заработной платы. И все же данному предприятию следует более детально разобрать данную ситуацию, с целью изменения данной ситуации.
Термин «заработная плата» охватывает все виды заработков, включая премии, доплаты, надбавки, компенсационные выплаты, прямо или косвенно связанные с результатами труда наемных работников и выплачиваемые им, как правило, через регулярные промежутки времени. К заработной плате не относятся страховые взносы работодателей на социальное обеспечение своих работников, в пенсионные фонды, а также суммы, полученные работниками по договорам страхования или в виде социальных пособий из государственных и негосударственных внебюджетных фондов, в частности пособия по временной нетрудоспособности, уходу за ребенком, беременности и родам и т.п.
Различают две формы оплаты труда: сдельную и повременную. При повременной форме заработная плата начисляется за фактически отработанное время в соответствии с принятой тарифной ставкой или должностным окладом. При сдельной форме заработная плата начисляется за фактически выполненный объем работы по установленным сдельным расценкам за единицу работы.
При проведении федерального государственного статистического наблюдения по труду различают фонд заработной платы и выплаты социального характера.
В состав фонда заработной платы включаются начисленные предприятием, учреждением, организацией суммы оплаты труда в денежной и натуральной формах, премии, поощрительные выплаты, стимулирующие доплаты и надбавки, компенсационные выплаты, связанные с режимом работы и условиями труда, а также выплаты на питание, жилье, топливо, носящие регулярный характер. При этом в отчетности по труду показываются все начисленные суммы в качестве оплаты труда независимо от источника их финансирования.
Для аналитических целей может быть исчислен средний уровень оплаты труда в единицу времени: среднечасовая, среднедневная и среднемесячная заработная плата.
Основой для расчета среднечасового заработка является часть начисленного за месяц фонда заработной платы, представляющая собой прямую заработную плату за фактически отработанные часы или проделанную работу.
Для изучения динамики среднего уровня оплаты труда используются индексы переменного, постоянного состава и влияния структурных сдвигов.
Статистика изучает дифференциацию заработной платы работников. Размер заработной платы зависит от уровня квалификации работника, интенсивности труда, условий труда, а также от отрасли, в которой занят работник, территориального размещения предприятий и организаций и других факторов.
Затраты на рабочую силу могут изучаться в двух направлениях: издержки предприятия в связи с использованием наемного труда и расходы на рабочую силу на уровне экономики в целом. В первом случае основное внимание уделяется изучению тех издержек на рабочую силу, которые несет непосредственно работодатель. Во втором случае при определении расходов на рабочую силу в расчет принимаются и затраты государства в части финансирования социального обеспечения, пенсионных и других программ. В статистической практике предпочтение отдается концепции издержек работодателя на рабочую силу. Вместе с тем для международных сопоставлений данные о расходах работодателей на рабочую силу должны дополняться информацией об участии государства в финансировании этих затрат.
1. Адамов В.Е., Ильенкова С.Д., Сиротина Т.П. и др. Экономика и статистика фирм: Учебник / Под ред. С. Д. Ильенковой. М.: Финансы и статистика, 2002
2. Годин А.М. Статистика: Учебник. – 3-е изд., перераб. – М.: Издательско-торговая корпорация Дашков и Ко, 2005
3. Елисеева И.И., Юзбашев М.М. Общая теория статистики: Учебник / Под ред. И.И. Елисеевой. М.: Финансы и статистика, 2003
4. Кулагина Г.Д., Дианов Д.В. Основы финансовой статистики: Учеб. пособие. М.: МНЭПУ, 2002
5. Курс социально-экономической статистики: Учебник для вузов / Под ред. М.Г. Назарова. М.: Финстатинформ, 2000.
6. Липпе П. Экономическая статистика: Стат. очерки. Т. 1 / ФСУ Германии, 2004
7. Общая теория статистики / Под ред. А.А. Спирина, О.Э. Башиной. М.: Финансы и статистика, 2005
8. Практикум по статистике: Учеб. пособие для вузов / Под ред. В.М. Симчеры. М.: Финстатинформ, 2003
9. Сиденко А.В., Башкатов Б.И., Матвеева В.М. Международная статистика: Учебник. М.: Дело и сервис, 2004 сервис, 2000.
10. Теория статистики: Учебник / Под ред. Р.А. Шмойловой. М.: Финансы и статистика, 2004
11. Четыркин Е.М. Финансовая математика: Учебник. М.: Дело, 2000.
12. Четыркин Е.М., Васильева Н.Е. Финансово-экономические расчеты. М.: Финансы и статистика, 2001
13. Экономическая статистика: Учебник для вузов / Под ред. Ю.Н. Иванова. М.: ИНФРА-М, 2000
14. Официальный сайт Государственного Комитета Статистики РФ
(данные 2006 год)

[1] Липпе П. Экономическая статистика: Стат. очерки. Т. 1 / ФСУ Германии, 2004
[2] Официальный сайт Государственного Комитета Статистики РФ
[3] Практикум по статистике: Учеб. пособие для вузов / Под ред. В.М. Симчеры. М.: Финстатинформ, 2003
[4] Кулагина Г.Д., Дианов Д.В. Основы финансовой статистики: Учеб. пособие. М.: МНЭПУ, 2002
[5] Теория статистики: Учебник / Под ред. Р.А. Шмойловой. М.: Финансы и статистика, 2004
[6] Теория статистики: Учебник / Под ред. Р.А. Шмойловой. М.: Финансы и статистика, 2004
[7] Елисеева И.И., Юзбашев М.М. Общая теория статистики: Учебник / Под ред. И.И. Елисеевой. М.: Финансы и статистика, 2003
[8] Годин А.М. Статистика: Учебник. – 3-е изд., перераб. – М.: Издательско-торговая корпорация Дашков и Ко , 2005
Похожие рефераты:
Анализ труда и заработной платы в ЗАО "РММ"
Анализ фонда оплаты труда на предприятии
Анализ производительности и оплаты труда
Учёт и анализ фонда заработной платы
Анализ показателей по труду и заработной плате
Учет труда и заработной платы на предприятии
Исследование организации и методики учета и анализа труда и заработной платы
Анализ расходов на оплату труда ОАО "Нефтекамскшина"
Анализ эффективности управления оплатой труда
Стимулирование труда в торговле
Бухгалтерский учет и анализ расчетов с рабочими и служащими
Организация учета труда и заработной платы на МУП ТВС "Первомайское"

