Похожие рефераты Скачать .docx  

Курсовая работа: Полупроводниковые материалы

Министерство образования и науки Украины

ХАРЬКОВСКИЙ НАЦИНАЛЬНЫЙ УНИВЕРСИТЕТ РАДИОЭЛЕКТРОНИКИ

Кафедра МЭПУ

ПОЯСНИТЕЛЬНАЯ ЗАПИСКА

к курсовой работе по дисциплине

“Материалы электронной техники”

на тему: “Полупроводниковые материалы”

Работу выполнила Руководитель:

ст.гр.ЭЛ-05-1 проф. Слипченко Н.И.

Марокко А.Р.

Харьков 2005

РЕФЕРАТ

Пояснительная записка: 39 с., 9 рис., 1 табл., 11 источников.

Объект исследования – полупроводниковые материалы.

Цель работы – повторение и закрепление знаний об основных свойствах полупроводниковых материалов, практическое применение полученных знаний путем решения задачи.

Полупроводниковые материалы получили широкое применение в электротехнике, в связи с этим предполагается углубленное изучение свойств.

Ключевые слова: полупроводник, полупроводниковые соединения, гальваномагнитные явления, эффект Холла, подвижность носителей, заряд.


СОДЕРЖАНИЕ

ВВЕДЕНИЕ

1 СУТЬ ГАЛЬВАНОМАГНИТНЫХ ЯВЛЕНИЙ В ПОЛУПРОВОДНИКОВЫХ МАТЕРИАЛАХ

1.1 Описание гальваномагнитных явлений

1.2 Эффекты Холла, Эттингсгаузена и Нернста

2 ПОЛУПРОВОДНИКОВЫЕ СОЕДИНЕНИЯ ТИПА АIIIВV

2.1 Закономерности образования. Структура и химическая связь

2.2 Получение соединений

2.3 Физико-химические и электрические свойства

2.4 Примеси и дефекты структуры

2.5 Излучательная рекомбинация

2.6 3акоиомерности изменения свойств в зависимости от состава

2.7 Изопериодные гетероструктуры

2.8 Применение соединений АIIIВV

2.9 Арсенид галлия GaAs

2.10 Фосфид галлия

3 ПОДВИЖНОСТЬ НОСИТЕЛЕЙ ЗАРЯДА В ПОЛУПРОВОДНИКАХ

3.1 Что такое подвижность

3.2 Некоторые свойства подвижности носителей заряда

3.3 Измерение подвижности носителей заряда

3.3.1 Метод тока Холла

3.3.2 Метод геометрического магнитосопротивления

ЗАКЛЮЧЕНИЕ

ПЕРЕЧЕНЬ ССЫЛОК

ВВЕДЕНИЕ

К полупроводникам относятся материалы, свойства которых частично схожи со свойствами проводников, частично со свойствами диэлектриков. К ним относится большое количество веществ с электронной электропроводностью.

Основной особенностью полупроводников является их способность изменять свои свойства под влиянием различных внешних воздействий (изменение температуры, приложение электрического или магнитного полей и т.д.). Свойства полупроводников сильно зависят от содержания примесей. С введением примеси изменяется не только значение проводимости, но и характер её температурной зависимости.

Электрический ток в полупроводниках связан с дрейфом носителей заряда. Появление носителей заряда в полупроводниках определяется химической частотой и температурой.

Среди полупроводниковых материалов электронные полупроводники, полупроводниковые химические соединения и твердые растворы. Электрические свойства полупроводников определяются зонной структурой и содержанием примесей.

При любой температуре, отличной от абсолютного нуля, в полупроводнике за счет теплового возбуждения происходит генерация свободных электронов и дырок. Однако с процессом генерации обязательно протекает обратный процесс – рекомбинации носителей заряда. Основной характеристикой рекомбинации является время жизни.

Основным материалов полупроводниковой электроники является кремний. Для изготовления полупроводниковых приборов и устройств микроэлектроники используют как монокристаллические, так и поликристаллические материалы


1 СУТЬ ГАЛЬВАНОМАГНИТНЫХ ЯВЛЕНИЙ В ПОЛУПРОВОДНИКОВЫХ МАТЕРИАЛАХ

1.1 Описание гальваномагнитных явлений

К гальваномагнитным явлениям относят совокупность эффектов, связанных с воздействием магнитного поля на электрические свойства веществ, в которых возникает электрический ток.

Проводимость анизотропного кристалла является в общем случае тензором, и гальваномагнитные явления можно трактовать как изменение этого тензора под действием магнитного поля, приводящего к искривлению траекторий электронов между столкновениями

Рисунок 1.1 – Эффект Холла

с радиусом кривизны R= m*nvдр/eB0. Особенно сильно сказывается влияние магнитного поля при критических значениях индукции Во, при которых радиус Rстановится величиной одного порядка с длиной свободного пробега Λе. В этом случае искажение траектории настолько велико, что изменяется механизм рассеяния электронов. Критическая напряженность поля для большинства веществ очень высока (Нкp да 107 — 1011 А/м), и в реальных полях (Н = 106 А/м) искривление траекторий электронов незначительно. Однако у ряда веществ (например, у Bi) значение Нкр значительно ниже, и магнитное поле резко изменяет тензор проводимости.

Гальваномагнитные явления подразделяют на продольные и поперечные в зависимости от того, в каком направлении они проявляются относительно вектора электрического поля. К поперечным гальваномагнитным явлениям относят эффекты Холла и Эттингсгаузена, к продольным — изменение продольного сопротивления в магнитном поле и эффект Нернста.

1.2 Эффекты Холла, Эттингсгаузена и Нернста

Эффект Холлазаключается в возникновении поперечного электрического поля εн в кристалле, по которому протекает ток I, при помещении его во внешнее магнитное поле Во, перпендикулярное I (рис. 1.1). Поле Sixперпендикулярно I и Во, а его напряженность пропорциональна току и индукции магнитного поля.

Рассмотрим движение электронов на примере рис. 1.1. Под действием электрического поля они движутся справа налево, однако сила Лоренца
Fл = -e[vдрB0] смещает их к передней стенке образца, создавая тем самым поперечный градиент заряда и связанное с ним электрическое поле εн . Поперечное поле εн в свою очередь ограничивает приток электронов к передней стенке, и в состоянии равновесия сила, с которой оно воздействует на электрон, равна отклоняющей силе Лоренца:

-е εн = evдрB0 (1.1)

Отсюда

εн = - vдр B0 (1.2)

Теперь уже вектор тока I, направление которого не изменилось, не параллелен вектору суммарного электрического поля ε + εн. Угол между ними, называемый углом Холла Он, определяется равенством

(1.3)

Ток в поперечном сечении образца S

I = js — jbd (1.4)

Учитывая, что j = envдр , можно получить выражение для поперечной разности потенциалов (э.д.с. Холла):

VH=bεн = - b (i/en) B0 = - b (I/bd)(B0/en) = - (1/en)(IB0/d) (1.4)

При выводе формулы (1.4) предполагалось, что все электроны имеют одинаковые дрейфовые скорости, и не учитывался механизм их рассеяния в кристалле. Более строгое выражение для э.д.с. Холла с учетом распределения электронов по скоростям и связанного с этим: изменения времени релаксации записывается в виде

VH = - (A/en)(IB0/d) (1.5)

или, если ввести постоянную Холла RH = - A/(en),

(1.6)

Константа А определяется механизмом рассеяния электронов:

(1.7)

где r — имеет то же значение, что и в (9.58); Г — гамма-функция.

В атомных кристаллах A= 1.18, в решетках с ионизированными примесями A = 1.93, в металлах и сильно вырожденных полупроводниках, у которых в электропроводности участвуют лишь, электроны с энергией, близкой к EF, т. е. имеющие практически одинаковые скорости, А = 1.

Величина |Rn| не зависит от индукции магнитного поля и лишь в очень сильных полях уменьшается от А/(пе) до 1/(пе) при любом механизме рассеяния. У металлов RHимеет порядок 10-10 м3/Кл, у полупроводниковых соединений она возрастает вплоть до 102 м3/Кл (Si). Аномально большие значения постоянной Холла у металлов V группы (Bi, Sb, Аs)—до 106 м3/Кл.

Электроны и дырки отклоняются при тех же направлениях векторов I и В0, к одной и той же грани образца, поэтому в дырочном; и; электронном полупроводниках направления εн противоположны. Постоянную Холла Rnпринято считать отрицательной при электронном типе электропроводности и положительной — при дырочном. В частности, постоянная Холла положительна у ряда: металлов, например Cd, Zn. Это объясняется тем, что зона проводимости подобных веществ заполнена почти полностью и оставшиеся незаполненные уровни ведут себя как положительные заряды — дырки. При наличии носителей зарядов обоих знаков

(1.8)

В зависимости от концентрации и подвижности носителей заряда Rn, как следует из (1.8), может быть больше или меньше нуля. В собственном полупроводнике п = р и

(1.9)

так что при mp = mn , RH = 0. Для веществ с одним типом носителей заряда o = enm, и |Rn| = A/en, следовательно, измерив постоянную Холла и проводимость, можно найти подвижность носителей заряда:

m = (o|RH|)/A (1.10)

Таким образом, исследования эффекта Холла позволяют составить представление о знаке и концентрации носителей заряда в веществе. Из анализа температурной зависимости RHможно получить сведения о ширине запрещенной зоны и структуре примесных уровней, а измерения oдают возможность найти также подвижность носителей заряда.

В выражении для силы Лоренца мы пренебрегли тепловой составляющей скорости и считали, что все электроны обладают одинаковой средней скоростью. В этом предположении выведено условие равенства сил электрического и магнитного полей (1.1). Однако реальный электронный газ в кристалле имеет некоторое распределение по скоростям и условие (1.1) выполняется лишь для небольшой части электронов. На более быстрые электроны действует большая отклоняющая сила магнитного поля, и они могут преодолеть силы поперечного электрического поля Холла. Медленные же электроны, на которые действует меньшая отклоняющая сила Лоренца, не могут преодолеть силу еεн и смещаются к противоположной стенке образца. В результате происходит разделение электронов в поперечном направлении в зависимости от значения их скорости, и вследствие обмена энергией электронов с решеткой (быстрые электроны отдают энергию, а медленные увеличивают ее за счет решетки) в поперечном направлении появляется градиент температуры (аффект Эттингсгаузена) VT = P[IВ0], где
Р — коэффициент Эттингсгаузена. Поперечный перепад температур невелик— обычно он не превышает долей градуса.

Помещение вещества в магнитное поле изменяет продольную компоненту проводимости. Это явление называют магнетосопротивлением (магниторезистивным эффектом, эффектом Гаусса). Магнитное поле вызывает искривление траекторий электронов проводимости, и если вдоль искривленной траектории длина свободного пробега останется прежней, то в направлении электрического поля она уменьшится, а следовательно, уменьшится и проводимость. Можно показать, что изменение проводимости связано с величиной магнитного поля и подвижностью носителей заряда соотношением

Δo /o= - C(mnB0)2 (1.11)

Как видно из формулы (1.11), магнетосопротивление в отличие от эффекта Холла является четной функцией относительно магнитного поля — изменение направления вектора Во на противоположное не влияет на Да. Коэффициент С определяется механизмом рассеяния носителей заряда и равен (9/16)π я для атомных и (27/64)π я для ионных кристаллов. Для примесных полупроводников С = π /10 в атомных решетках и С = 0,96 — в ионных. Измеряя зависимость Δo /o от величины магнитного поля, можно определить подвижность носителей заряда.

Значения Δo /o для металлов невелики, однако у висмута это отношение может достигать 200% и по его изменению можно измерять магнитные поля. Для полупроводников отношение Δo /o изменяется в широких пределах в зависимости от их типа (от средних значений 10-2 – 10-1 до нескольких единиц). В полях напряженностью выше 106 А/м зависимость Δo /o от В0 отклоняется от квадратичной и Δo /o ~ Вm0, где 1 < m < 2.

Распределение электронов по скоростям сказывается на степени их смещения магнитным полем. Медленные электроны сильнее «закручиваются» и не могут пройти вдоль всего образца в отличие от более быстрых электронов, тем самым создается продольный градиент температуры ∂Т/∂х ~ В20yIx(эффект Нернста ).

Гальваномагнитные эффекты широко используют в установках для лабораторных исследований и в ряде технических устройств. Сюда следует отнести, прежде всего, измерения параметров электронного газа, о которых упоминалось ранее. Широкое применение нашел эффект Холла в устройствах для измерения напряженности постоянного и переменного (до 1012 Гц) магнитных полей (магнитометры), силы тока (по создаваемому им магнитному полю), электрической мощности (ваттметры) и т. д., а также в некоторых преобразовательных устройствах. В качестве датчиков Холла используют различные полупроводниковые соединения с большими (10-5 - 102 м3/Кл) значениями RH — Ge, Si, InAs, InSb, HgSe, HgTe, Cd3As2, InAsP и др. Ведутся исследования по созданию охлаждающих устройств на основе эффекта Эттингсгаузена и уже получены перепады температуры до 100°.


2 ПОЛУПРОВОДНИКОВЫЕ СОЕДИНЕНИЯ ТИПА А III В V

2.1 Закономерности образования. Структура и химическая связь

Соединения АIIIВVобразуются в результате взаимодействия атомов III подгруппы периодической системы (В, Al, Ga, In) с элементами V подгруппы (N, P, As, Sb). Соединения АIIIВV принято классифицировать по металлоидному элементу. Соответственно различают нитриды, фосфиды, арсениды и антимониды.

За исключением нитридов соединения АIIIВV Кристаллизуются в решетке цинковой обманки кубического типа (сфалерит). Для нитридов характерна решетка гексагонального типа (вюрцит). В решетке того и другого типа каждый атом элемента III группы находится в тетраэдрическом окружении четырех атомов элемента V группы и наоборот.

Для соединений АIIIВV характерен особый тип химической связи, называемой донорно-акцепторной. Из четырех ковалентных связей, которыми каждый атом встраивается в решетку, три образуются обобществлением валентных электронов атомов АIIIи ВV, а четвертая связь осуществляется неподеленной парой валентных электронов атомов ВV .

2.2 Получение соединений

Получение соединений осуществляется либо из расплава, который содержит элементы в равных количественных концентрациях (сплавление исходных компонентов), либо из раствора соединения, имеющего в избытке элемент III группы. Дальнейшие технологические процессы (кристаллизационная очистка, выращивание монокристаллов, легирование) не отличаются принципиально от применяемых в технологии получения германия.

Основными методами выращивания сверхчистых монокристаллов является зонная плавка и направленная кристаллизация. При получении кристаллов разлагающихся соединений технологическое оборудование усложняется. Для предотвращения испарения летучего компонента синтез и кристаллизацию следует проводить в замкнутом нагреваемом объеме.

При вытягивании из расплава осуществляют вытягивание на затравку из под слоя инертного флюса, который подавляет испарение летучего элемента из расплава. В качестве герметизирующей жидкости используют расплав В2О3; толщина флюса составляет около 1 см. Монокристаллы, полученные вытягиванием из расплава, обладают недостаточно высокой химической чистотой, содержат значительное количество точечных дефектов структуры, которые являются эффективными рекомбинационными центрами. Поэтому большинство полупроводниковых приборов изготавливают на основе эпитаксиальных слоев, осаждаемых из жидкой или газообразной фаз. В качестве подложек используют пластины, вырезанные из монокристаллических слитков в заданном кристаллографическом направлении. Наиболее часто используют метод жидкофазной эпитаксии: осаждение происходит при медленном охлаждении растворов в определенном интервале температур.

2.3 Физико-химические и электрические свойства

За исключением антимонидов все соединения АIIIВV разлагаются при нагревании по схеме

АIIIВV → АIII(ж) + ½ ВV2(г) (2.1)

Равновесное давление насыщенного пара, состоящего практически из молекул компонента ВV, растет с повышением температуры и в точке плавления достигает значений 104...107 Па - для фосфидов.

Полупроводниковые соединения АIIIВV образуют гомологический ряд, в котором наблюдается закономерное изменение многих свойств (табл. 2.1).

Внутри каждой группы соединений наблюдается уменьшение ΔЕ0 с ростом суммарного атомного номера и атомных масс, входящих в соединение элементов. Это объясняется более сильным размытием «электронных облаков» ковалентных связей по мере движения вниз по периодической таблице, благодаря чему усиливается характер металлической связи. Одновременно с ослаблением ковалентных химических связей снижаются температура плавления и твердость материала, полупроводник становится более пластичным, приближается по своим механическим свойствам к металлу.

Таблица 2.1 – Некоторые свойства соединений А III В V

Материал

Период

решетки, Å

Плотность,

г/см3

Тпл,

ΔЕ0 ,эВ

un

м2/Вс

up

м2/Вс

ε

BN 3.615 3.49 3000 6.00 7.1
AlN 3.110 3.28 2400 5.88 0.0014 9.1
GaN 3.186 6.11 1700 3.40 0.030 12.2
InN 3.540 6.91 1100 1.95 0.0250
АlР 5.661 2.37 2000 2.45 0.008 0.003 9.8
GaP 5.451 4.07 1467 2.26 0.019 0.012 11.1
InP 5.869 4.78 1070 1.35 0.460 0.015 12.4
AlAs 5.661 3.60 1770 2.16 0.028 10.1
GaAs 5.653 5.32 1238 1.43 0.950 0.045 13.1
InAs 6.058 5.67 942 0.36 3.300 0.046 14.6
AlSb 6.136 4.28 1060 1.58 0.020 0.055 14.4
GaSb 6.096 5.65 710 0.72 0.400 0.140. 15.7
InSb 6.479 5.78 525 0.18 7.800 0.075 17.7

Подвижность носителей заряда в полупроводниках типа АIIIВV ограничивается рассеянием на оптических фононах. Чем больше электроотрицательность элементов, образующих соединение, тем сильнее выражена ионная составляющая химической связи. Соответственно возрастает рассеяние на оптических колебаниях и уменьшается подвижность носителей заряда. Приближенно можно считать, что подвижность увеличивается с ростом атомной массы. Увеличение атомной массы ведет к уменьшению амплитуды тепловых колебаний атомов, что, в свою очередь, приводит к уменьшению рассеяния носителей заряда на этих колебания. А так как в том же направлении происходит ослабление ионной составляющей связи, то подвижность носителей резко возрастает.

Среди всех соединений АIIIВVInSb обладает рекордной подвижностью электронов: un = 7,8 м2(Вс).

2.4 Примеси и дефекты структуры

Примеси замещения в кристаллической решетке соединений АIIIВV распределяются таким образом, чтобы не возникало центров с большим избыточным зарядом.

Примеси элементов II группы - Be, Mg, Zn и Cd, образующие твердые растворы замещения, всегда занимают в кристаллической решетке АIIIВV узлы металлического компонента и при этом являются акцепторами, благодаря меньшей валентности по сравнению с валентностью замещаемых атомов.

Примеси элементов VI группы - S, Se, Те - располагаются в узлах Bv и играют роль доноров.

Более сложным характером отличается поведение примесей элементов IV группы. Поскольку в этом случае при замещении атомов одной из двух подрешеток имеется избыток или недостаток лишь одного валентного электрона, то атомы примесей IV группы могут замещать как узлы АIII, так и Bv, проявляя при этом донорные или акцепторные свойства соответственно. Замещение должно сопровождаться наименьшей деформацией кристаллической решетки. Поэтому критерием донорного или акцепторного действия примесей может служить соответствие размеров замещающего и замещаемого атомов.

В большинстве случаев атомы примесей элементов IV группы локализуются в одной из подрешеток. Например, в InSb кремний и германий замещают только атомы Sb и являются акцепторами, а в InAs замещают In и являются донорами. Однако в некоторых соединениях наблюдается амфотерное поведение этих примесей. Так, в GaAs и GaP наблюдается парное вхождение атомов Si и Ge в кристаллическую решетку. В зависимости от степени легирования, температуры и состава кристаллизационной среды имеет место преимущественное вхождение этих примесей в ту или иную подрешетку.

Примеси элементов III-й и V-й подгрупп обычно замещают соответственно атомы АIIIи ВV в решетке соединения, образуя нейтральные центры. Растворимость этих элементов велика и удается получать кристаллы твердых растворов во всем диапазоне концентрации.

Примеси элементов переходной группы - Fe, Co, Ni - создают в полупроводниках АIIIВV глубокие энергетические уровни и являются рекомбинационными ловушками. Легирование GaAs железом или хромом используется для получения кристаллов с высоким удельным сопротивление (до 107 Ом*м). Такой материал называется полуизолирующим (ПАГ).

Особенностью процесса диффузии в полупроводниках АIIIВV является его зависимость от давления паров летучего компонента Bv, которое определяет дефекты структуры. Диффузию проводят в запаянной ампуле. Доноры в соединениях АIIIВV характеризуются крайне низкими значениями коэффициентов диффузии. Поэтому необходимы высокие температуры и большое время диффузии. Это приводит к эрозии поверхности.

На практике при формировании р-n-структур используется лишь диффузия Zn, который является акцепторной примесью и обладает высокой растворимостью. Чтобы уменьшить концентрацию акцепторов на поверхности, диффузию Zn в GaAs часто проводят через тонкий слой SiO2, наносимый на поверхность пластин.

В технологии ИС на GaAs введение примесей осуществляется методом ионной имплантации.

2.5 Излучательная рекомбинация

Ценным свойством многих соединений А В является высокая эффективность излучательной рекомбинации неравновесных носителей заряда. Для генерации излучения в видимой области спектра необходимо ΔЕ0 > 1,7 эВ. Из соединений АIIIВV, освоенных с технологическом отношении, этому условию удовлетворяют GaP и GaN. Для генерации излучения в ИК - области спектра необходимы меньшее значение ΔЕ0. К числу подходящих материалов относится GaAs (Δ Е0 = 1,43 эВ).

Излучение фотонов в GaAs происходит в результате прямой межзонной рекомбинации электронов и дырок. Эффективная люминесценция в GaN и GaP возникает лишь при введении специальных примесей. Так, при легировании GaN цинком в зависимости от концентрации последнего можно получить излучение в желтой, зеленой или голубой областях спектра.

В GaP интенсивная люминесценция обусловлена рекомбинацией с участием изоэлектронных ловушек. Роль таких ловушек играют атомы N или нейтральные комплексы Zn - О. Изоэлектронные ловушки азота вызывают люминесценцию GaP в зеленой области спектра, а комплексы Zn - О ответственны за красное излучение.

2.6 3акоиомерности изменения свойств в зависимости от состава

Твердые растворы позволяют существенно расширить по сравнению с элементарными полупроводниками и полупроводниковыми соединениями набор электрофизических свойств.

Среди полупроводников типа АIIIВV распространены твердые растворы замещения. Необходимыми условиями образования твердых растворов является кристаллохимическое подобие кристаллических решеток соединений компонентов и близость их периодов идентичности.

Наиболее хорошо изучены тройные твердые растворы, в которых замещение происходит лишь по узлам одной из подрешеток бинарного соединения (металлической или металлоидной). Состав таких твердых растворов характеризуют символами AxB1.xC и АСyД1-y , где А и В - элементы III группы, а С и Д — элементы V группы. В формуле AxB1-xC индекс х обозначает мольную долю соединения АВ в твердом растворе. Если твердые растворы существуют во всем диапазоне концентраций, то х можно изменять от 0 до 1.

Как и в бинарных соединения АIIIВV, в твердых растворах не наблюдается существенных отклонений от стехиометрии, поэтому они просты по механизму легирования. Теми же методами, что и в бинарных соединениях, в них могут быть получены p-n-переходы

Особый интерес к твердым растворам обусловлен возможностью плавного управления ΔЕ0 полупроводников путем изменения их компонентного состава. Как видно из рис 2.1, зависимость ΔЕ0 от состава в некоторых системах твердых растворов (GaxIn1-xAs; InPyAs1-y) очень близка к линейной, но может отличаться от нее, обнаруживая экстремум или излом при определенном соотношении компонентов. Конкретный характер зависимости определяется типом зонной структуры соединений - партнеров, т.е. положением энергетических долин в пространстве импульсов: изломы, как правило, наблюдаются в системах твердых растворов, в которых бинарные соединения имеют зонные структуры различных типов.

Подвижность носителей заряда у твердых растворов ограничивается теми же факторами, что и в бинарных соединения.

Изменение ΔЕ0 у твердых растворов сопровождается смещением спектров оптического поглощения и пропускания, люминесценции и фоточувствителькости. В ряде систем при определенном соотношении между компонентами можно получить качественно новые сочетания свойств. Так, в твердых растворах GaAs1-yPy и А1xGa1-xAs (с х и у порядка 0,3...0,4) сочетается достаточно широкая запрещенная зона (ΔЕ0>1,7 эВ) с высоким квантовым выходом межзонной излучательной рекомбинации. Такие материалы используются для создания электролюминесцентных источников красного свечения (светодиодов и лазеров). Твердые растворы GaxIn1-xP с х=0,5...0,7 обладают эффективной электролюминесценцией в желто-зеленой области спектра.

Рис. 2.1

Получение однородных твердых растворов заданного состава представляет трудную технологическую задачу. Методами кристаллизации из расплава удается получить лишь однородные поликристаллические слитки. Монокристаллические слои твердых растворов, используемых в приборных структурах, получают исключительно методами эпитаксии. Эпитаксию твердых растворов GaAS1-yPy осуществляют на подложках GaAs или GaP из ПГФ. Наиболее совершенные эпитаксиальные слои AlxGa1-xAs, AlxGa1-xSb, GaxIn1-xAs, GaxIn1-xP получают методом ЖФЭ с использованием Ga или In в качестве растворителя.

2.7 Изопериодные гетероструктуры

Твердые растворы открывают широкие возможности создания гетеропереходов и приборов на их основе. Гетеропереход - контакт двух полупроводников с различной ΔЕо. Для получения гетеропереходов со свойствами идеального контакта необходимо выполнить ряд условий совместимости материалов по механическим, кристаллохимическим и термическим свойствам. Решающим критерием при выборе материалов контактной пары является соответствие периодов их кристаллических решеток и ТКЛР. Особенность электрических свойств гетеропереходов заключается в преимущественной инжекции носителей заряда из широкозонного полупроводника в узкозонный.

Если компоненты гетеропары обладают взаимной растворимостью во всем интервале концентраций, то появляется уникальная возможность создавать гетеропереходы между химическим соединением АС и твердым раствором на его основе - AxB1-xС. Это обстоятельство позволяет плавно изменять свойства материалов на контактной границе, что важно при изготовлении ряда приборов оптоэлектроники - гетеролазеров, светодиодов и быстродействующих фотоприемников (источников и приемников излучения).

Среди полупроводников типа АIIIВV наилучшими парами для создания идеальных гетеропереходов являются системы GaAs - AlxGa1-xAs и GaSb - AlxGa1.xSb. Преимущества указанных гетеропар заключаются в том, что период решетки в твердых растворах слабо зависит от состава и близок к периоду решетки бинарного соединения (соответственно, GaAs и GaSb).

В качестве примера можно рассмотреть схему лазера с двойной гетероструктурой (рис. 2.2). Область рекомбинации носителей заряда и светового излучения сосредоточены в среднем узкозонном активном слое
(p-GaAs), заключенном между двумя широкозонными эмиттерами
(AlxGa1-xAs). При подаче прямого напряжения в такой структуре имеет место двухсторонняя инжекция носителей заряда в активный слой. Благодаря эффективному возбуждению удается достигнуть высокого квантового выхода люминесценции и снизить пороговую плотность тока, требуемую для генерации когерентного излучения. Снижение порогового тока увеличивает срок службы приборов и позволяет осуществить непрерывный режим генерации при Т=300 К, который не удается реализовать в инжекционных лазерах на гомогенных структурах с р-n-переходом.

При использовании четырехкомпонентных твердых растворов типа AxB1-xCyD1-y возникают дополнительные степени свободы для варьирования параметрами сопрягаемых материалов. Наиболее интересными и изученными являются твердые растворы GaxIn1-xAs1-yPy , в которых имеет место замещение по обеим подрешеткам при сохранении общей стехиометрии, т.е. равенство суммарных количеств атомов металла и металлоида. В качестве исходных компонентов такого твердого раствора можно рассматривать четыре бинарных соединения: GaP, InP, GaAs, InAs.

Особый интерес представляют твердые растворы GaxIn1-xAs1-yPy с изопериодическим замещением к InP. В зависимости от состава их ΔЕ0 может изменяться в пределах от 0,75 до 1,35 эВ. Инжекционные лазеры на основе гетёропары InP – GaxIn1-xAs1-yPy перспективны для применения в ВОЛС, поскольку спектральный диапазон их излучения соответствует минимальным оптическим потерям кварцевого волокна.

2.8 Применение соединений А III В V

Особый интерес к этой группе материалов вызван потребностями оптоэлектроники в быстродействующих источниках и приемниках излучения. Инжекционные лазеры и светодиоды на основе соединений АIIIВV характеризуются высокой эффективностью преобразования электрической энергии в электромагнитное излучение.

Большой набор значений ΔЕ0 у полупроводников типа АIIIВV позволяет создавать на их основе различные виды фотоприемников, перекрывающих широкий диапазон спектра. Среди них наибольшее распространение получили фотодиоды и фотоэлементы. GaAs является одним из лучших материалов для применения в солнечных батареях. InSb используется для изготовления приемников ИК – излучения, обладающих фоточувствительностью вплоть до x =7 мкм.

Соединения АIIIВVпозволяя создавать эффективные фотоумножители, работающие на основе внешнего фотоэффекта, фотокатоды и эмиттеры вторичных электронов. Например, фотокатоды из GaAs р-типа, активированного пленкой СsО2 для снижения работы выхода электронов, обладает квантовым выходом в ближней ИК-области спектра на несколько порядков выше, чем у фотокатодов из традиционных материалов.

Токовая неустойчивость в сильных электрических полях используется для создания генераторов СВЧ - колебаний, генераторов Ганна. Кроме GaAs, перспективными материалами являются InP, InAs и твердые растворы на их основе.

GaAs и InSb применяются для изготовления туннельных диодов.

InSb и InAs благодаря высоким значениям подвижности носителей заряда используют для изготовления магниторезисторов и преобразователей Холла.

InSb и InP используют для изготовления тензометров.

GaAs широко применяется для изготовления полевых транзисторов в быстродействующих ИС.

2.9 Арсенид галлия GaAs

Наиболее эффективной акцепторной примесью в GaAs является Zn с ΔЕ0=0,08 эВ, предел растворимости Zn в GaAs равен 1026м'3. Наиболее эффективным донором является Se, ΔЕ0=0,008 эВ, предел растворимости - 1027м3. Высокоомный GaAs получают легированием никелем или хромом. Сопротивление возрастает в присутствии О2, что объясняется компенсацией доноров и акцепторов.

Арсенид галлия выпускается в виде монокристаллических слитков четырех марок: АГЭ, АГЭТ, АГДЦ и АГП (А и Г - арсенид галлия, Э и Д - электронного и дырочного типов, Т и Ц - легирующий элемент - теллур и цинк, П - полуизолирующий). Две цифры, обычно стоящие после буквенного обозначения, указывают: первая - номинальную концентрацию носителей заряда, а вторая является показателем степени десятичного порядка этой величины (например, в обозначении АГЭ - 4 – 15 цифры указывают концентрацию, равную 4*1015см-3).

Арсенид галлия n-типа, легированный селеном, применяется для изготовления туннельных импульсных диодов.

2.10 Фосфид галлия

GaP имеет рабочий температурный предел, равный 1000 °С. На GaP изготовляют фотодиоды с красным и оранжевым свечением. Фосфид галлия представляет собой монокристаллические слитки или дендритные пластины и выпускается шести марок: ФГЭТ - К/10, ФГЭТ - 0/20, ФГЭТ - 3/50, ФГЭТК - К/30, ФГДЦ - 3 и ФГДЦК - К. Буквы в числителе дроби обозначают: ФГ - фосфид галлия, Т, Ц и К - легирующие примеси (Те, Zn, O2), буква после дефиса - цвет свечения материала (К - красный, О - оранжевый, 3 - зеленый), а цифра в знаменателе - минимальную яркость свечения (кд/м2).


3 ПОДВИЖНОСТЬ НОСИТЕЛЕЙ ЗАРЯДА В ПОЛУПРОВОДНИКАХ

3.1 Что такое подвижность

Подвижность носителей заряда - это отношение скорости направленного движения носителей заряда в веществе под действием электрического поля к напряженности этого поля.

1) В газе подвижность ионов и электронов обратно пропорциональна давлению газа, массе частиц и их средней скорости; подвижность электронов в несколько тысяч раз превосходит подвижность ионов.

2) В твердом теле подвижности электронов проводимости и дырок зависят от процессов их рассеяния на дефектах и колебаниях решетки.

3) В растворах подвижность ионов определяется формулой

U = Fu,

где F - постоянная Фарадея,

u - скорость движения иона (в см/с)

при напряженности электрического поля 1 В/см; она зависит от природы иона, а также от температуры, диэлектрической проницаемости, вязкости и концентрации раствора.

3.2 Некоторые свойства подвижности носителей заряда

На подвижность носителей заряда в основном влияют два физических фактора:

· хаотические тепловые колебания атомов кристаллической решетки (рассеяние носителей заряда на тепловых колебаниях атомов кристаллической решетки),

· электрические поля ионизированных примесей (рассеяние на ионах примесей).

При больших температурах преобладает рассеяние носителей заряда на тепловых колебаниях атомов кристаллической решетки.

Поэтому с увеличением температуры в этом диапазоне температурная подвижность носителей уменьшается (рис.63, 64)

В диапазоне малых температур с повышением температуры уменьшаются тепловые скорости хаотического движения носителей заряда, что приводит к увеличению времени пребывания носителя вблизи иона примеси, т.е. увеличивается длительность воздействия электрического поля иона примеси на носитель заряда. Поэтому в диапазоне малых температур с уменьшением температуры подвижность носителей также уменьшается (рис.64).

При увеличении концентрации примесей увеличивается и рассеяние на ионах примесей, т.е. уменьшается подвижность носителей заряда. Однако в диапазоне высоких температур преобладающим механизмом рассеяния носителей даже при большой концентрации примесей остается рассеяние на тепловых колебаниях атомов кристаллической решетки, и соответственно кривые температурной зависимости подвижности носителей заряда в диапазоне высоких температур практически не смещаются с увеличением концентрации примесей.

3.3 Измерение подвижности носителей заряда

3.3.1 Метод тока Холла

Эффект Холла можно исследовать не только с помощью традиционного измерения ЭДС Холла, но также с помощью определения тока Холла. Метод тока Холла был предложен и впервые реализован советскими учеными В. Н. Добровольским и Ю. И. Гриценко. Этот метод основан на измерении электрического тока, возникающего в образце при отклонении носителей заряда силой Лоренца, который по аналогии с электрическим полем Холла называют током Холла.

Как было отмечено в § 2.2, токовые металлические контакты закорачивают ЭДС Холла. По этой причине в приконтактной области образца магнитная составляющая силы, действующая на носители заряда, не компенсируется силой холловского электрического поля, и носители заряда перемещаются под некоторым углом относительно продольного электрического поля. Электрическое поле Холла полностью закорачивается контактами у концов образца, имеет максимальное значение в его средней части. Электрический ток, наоборот, максимален у концов образца и минимален в его середине, так как поле Холла действует на носители заряда в направлении, противоположном силе Лоренца, уменьшая поперечную составляющую тока. Очевидно, что чем короче образец, тем сильнее шунтирующее действие токовых электродов. Для очень короткого образца холловское поле полностью закорочено и носители заряда перемещаются под действием силы Лоренца под углом Холла относительно внешнего электрического поля. Закорачивание поля Холла металлическими электродами лежит в основе зависимости ЭДС и тока Холла от соотношения геометрических размеров образца и определяет эффект геометрического магнитосопротивления.

Рис. 3.1 – Модель полупроводникового образца

Проведем расчет тока Холла. Пусть прямоугольный полупроводниковый образец р-типа с омическими контактами на торцевых гранях помещен в магнитное поле с индукцией В (рис. 3.1). Размеры образца вдоль осей х, у и zобозначим соответственно а, Ь и w; координаты граней образца: х = ± а/2;
у = ± b/2; z = ± w/2. Магнитное поле направлено вдоль оси z; по образцу течет ток IХ,

Составляющая плотности тока jyявляется функцией координат x, y и в однородном образце не зависит от z. Пусть

Тогда плотность тока в образце

Ограничимся приближением для слабого магнитного поля rμрВ « 1. Условия (3.1) означают, что электрическое поле в образце безвихревое, поток носителей заряда постоянен и объемный заряд отсутствует. Вычислив rotrot =j, получим Δj = 0. Таким образом, задача нахождения j сводится к решению уравнения Лапласа Aj = O; применительно к составляющей плотности тока вдоль оси y

Граничные условия на боковых гранях образца можно записать в виде

что соответствует отсутствию нормальной составляющей тока на указанных поверхностях:

так как холловское поле полностью закорачивается контактами. Условие (3.5) с учетом уравнения (3.2) дает выражение для jy

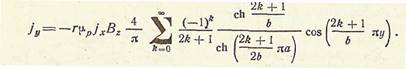
Применение метода разделения переменных к уравнению (3.3) с граничными условиями (3.4) и (3.5) позволяет получить решение для плотности тока вдоль оси у:

(3.6)

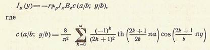
Проинтегрировав (3.6) по х от —а/2 до а/2, найдем полный ток, текущий через любое сечение образца, перпендикулярное оси у:

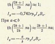
— безразмерный коэффициент, зависящий от отношения длины образца к его ширине а/b, а также от у/b.

Из выражения для тока 1У видно, что он зависит от координаты у и максимален при y = 0, когда Проанализируем предельные случаи: а>> bи а <<b для у=0. При а>>b

График функции c(a/b; у=0) представлен на рис. 3.2. Как видно из рис. 3.2, условие a>>b практически реализуется уже при а>2b, а условие а<<b при а/Ь<0,3. В случае a<<b, т. е. для короткого и широкого образца, электрическое поле полностью закорачивается торцевыми контактами и ток Холла возникает в результате отклонения носителей заряда лишь за счет магнитной составляющей силы Лоренца. Ток Холла при а<<b можно найти, не решая уравнения (3.3), а приняв в уравнении (3.2) y=0:

Соотношения (3.7) и (3.8) используют для определения подвижности основных носителей заряда по результатам измерения тока Холла. Для получения сведений о концентрации носителей заряда необходимо проводить измерения тока Холла совместно с измерениями удельной проводимости.

Рассмотрим схему, предназначенную для измерения тока Холла
(рис. 3.3).

Рис. 3 . 2 . График функции Рис. 3 . 3 . Схема для

с(а/ b ; у=0) измерения тока Холла

Ток Холла равен сумме токов, протекающих вдоль токовых контактов; он может быть измерен, если расщепить токовые электроды и между их половинами включить токоизмерительные приборы. Поэтому основная особенность образца для измерения тока Холла заключается в том, что один из токовых контактов выполняют в виде двух равных половинок 2 и 3, разделенных узким зазором. В отсутствие магнитного поля через образец протекает ток от источника напряжения ИН. Если контакты 2 и 3 одинаковы и R1=Rtто они эквипотенциальны и ток через гальванометр G не протекает. При наличии тока через гальванометр, изменяя сопротивления резисторов R1 и R2 можно довести его до нулевого значения. Чтобы весь ток Холла протекал через гальванометр и измерялся им, сопротивление гальванометра должно быть много меньше сопротивления области образца между контактами 2 и 3 и сопротивлений R1 и R2. При соблюдении этих требований и наличии магнитного поля гальванометр покажет ток, равный 0,5Iу. Такой же ток потечет по контакту 1.

По существу, рис. 3.3 представляет собой мостовую схему, в которой два плеча моста образованы двумя половинами образца, а два другие — резисторами R1 и R2 . Мост балансируется в отсутствие магнитного поля, а при его наличии производится измерение тока Холла. Вместо гальванометра в измерительной схеме может быть использован дифференциальный усилитель постоянного тока. При прохождении через образец переменного тока условие короткого замыкания можно легко реализовать, используя усилитель с трансформаторным входом. Это особенно важно при проведении измерений на образцах с низким удельным сопротивлением, для которых сопротивление между половинками контактов может оказаться очень малым. При этом емкостное сопротивление приконтактного слоя можно сделать небольшим, тем самым уменьшив влияние контактов, обусловленное как повышенным их сопротивлением, так и инжекцией носителей заряда. Повышение чувствительности измерительной схемы при переменном токе позволяет уменьшить напряжение на образце и проводить измерения в пределах линейного участка ВАХ контактов.

Метод тока Холла позволяет проводить измерения на более высокоомных материалах, чем метод ЭДС Холла. Этому способствует такое соотношение геометрических размеров образца, при котором его сопротивление между токовыми контактами ниже, чем при измерении ЭДС Холла. Небольшое различие в характеристиках половинок контактов практически не влияет на результаты измерений в высокоомных образцах, тогда как небольшая асимметрия в расположении холловских контактов при измерении ЭДС приводит к образованию их значительной неэквипотенциальности, которая затрудняет измерения. Так как ток, протекающий через поперечное сечение образца, складывается из объемной и поверхностной составляющих, то оказывается возможным разделить эти составляющие и исследовать их раздельно. С помощью рассматриваемого метода можно исследовать распределение подвижности носителей заряда вдоль неоднородного по длине канала МДП - структур. Одно из преимуществ метода тока Холла состоит в том, что - он менее подвержен влиянию захвата носителей заряда.

Использование метода тока Холла ограничено в связи с жесткими требованиями, предъявляемыми к качеству омических контактов. Кроме того, данный метод подвержен влиянию контактных шумов, что обусловлено проведением измерений на тех же контактах, через которые течет продольный ток образца. Это обстоятельство также предопределяет повышенные требования к однородности и сопротивлению контактов.

3.3.2 Метод геометрического магнитосопротивления

Измерение подвижности носителей заряда данным методом основано на использовании соотношения (3.10), когда реализованы условия (3.11).

Если образец короткий, холловское поле замыкается металлическими электродами, а электрическое поле направлено вдоль образца, то электрический ток протекает под углом Холла к направлению электрического поля. При этом эффект геометрического магнитосопротивления наблюдается даже в том случае, если эффект магнитосопротивления (3.9) при jy = 0 в материале полностью отсутствует. Если, однако, этот эффект имеет место, то возникающее магнитосопротивление является комбинацией обоих эффектов. Во многих случаях эффект (3.9) много слабее эффекта геометрического магнитосопротивления. Например, в арсениде галлия при комнатной температуре и магнитной индукции 1 Тл Δр/р составляет лишь 2%, тогда как Δрг/р — около 50%.

Рассмотрим взаимосвязь между холловской подвижностью \хп носителей заряда и подвижностью μг, определяемой методом геометрического магнитосопротивления для

полупроводника n-типа:

Пусть R(0) характеризует сопротивление образца в виде пластины, отнесенное к единице площади поверхности, при В = 0, а
ΔR(B) — изменение этого сопротивления, обусловленное магнитным полем с индукцией В. В соответствии с (3.11) в слабых магнитных полях

(3.12)

Где

(3.13)

Соотношение (3.13) указывает на экспериментальную возможность определения коэффициента ξ. Значения коэффициента вычислены для различных механизмов рассеяния по известным значениям r и αг : ξ =1 в приближении постоянного времени релаксации по импульсу; ξ =l,13 при рассеянии на акустических фононах; ξ =1,26 при рассеянии на ионах примеси.

Выражения (3.2) и (3.12) справедливы для образца бесконечных размеров, когда электрическое поле Холла отсутствует. Если пластина имеет конечные размеры, то электрическое поле Холла шунтируется металлическими контактами в меньшей степени и эффект геометрического магнитосопротивления уменьшается по сравнению с бесконечной пластиной. Таким образом, эффект геометрического магнитосопротивления зависит от геометрических размеров образца.

Для образца, имеющего форму прямоугольной пластины, вводят функцию /, учитывающую степень закорачивания ЭДС Холла контактами, которую определяют из уравнения

(3.14)

Левая часть уравнения характеризует относительное геометрическое магнитосопротивление образца конечных размеров, измеряемое экспериментально. В наиболее простом случае функция fзависит от отношения длины образца, к его ширине: а/Ь. Для а/Ь<0,39 с точностью не менее 10% функция f = 1 - 0,543 а/b. При произвольном отношении а/bфункция f изменяется и становится зависящей от усредненных значений различных степеней времени релаксации. Следовательно, подвижность μr можно определить лишь для примесных полупроводников со сферическими изоэнергетическими поверхностями.

Значения функции f вычислены для образцов других конфигураций, кроме пластин с двумя плоскопараллельными контактами, которые применяют для измерения подвижности носителей заряда на высокоомных слоях, составляющих часть многослойных полупроводниковых структур
п-п+ и п+-п-п+ - типа. Для этих структур измерение подвижности носителей заряда с помощью эффекта Холла не может быть осуществлено вследствие шунтирующего действия сильнолегированной подложки. Для обеспечения большей точности измерения подвижности методом геометрического магнитосопротивления необходимо, чтобы образец имел низкоомные контакты.

Рис. 3.4. – Экспериментальная зависимость Δ R ( B )/ R (0)

от В2 для образца арсенида галлия μ n = 5840 см2/(В*с)

Хотя сопротивление контактов не влияет на магнитосопротивление образца R(0), что занижает измеренную подвижность носителей заряда, т.е. вносит систематическую погрешность.

Теоретически доказано, что градиент концентрации примеси в образце в направлении электрического поля не приводит к каким-либо изменениям магнитосопротивления. Сопротивление образца как при наличии, так и в отсутствие магнитного поля пропорционально среднему значению сопротивления образца. Это важно, например, для слоев, изготовленных по эпитаксиальной технологии.

Требования к ориентации магнитного поля относительно направления электрического поля или плоскости контакта не слишком жесткие. Например, при отклонении магнитного поля на 26° ошибка в измерении подвижности не превышает 30%.

Для измерения сопротивления образца в магнитном поле используют мостовые схемы постоянного и переменного тока. Измерения проводят при различных значениях индукции магнитного поля с учетом условия

При этом ΔR(B)/R(0) линейно зависит от В2 (рис. 2.17). В соответствии с (3.12) и (3.14)

Благодаря применению электронной схемы извлечения квадратного корня выходной сигнал мостовой схемы можно сделать прямо пропорциональным подвижности носителей заряда, что делает возможной разработку прямопоказывающих приборов для измерения подвижности методом геометрического магнитосопротивления.

ЗАКЛЮЧЕНИЕ

Подводя итоги по курсовой работе, следует отметить, что были выполнены все поставленные передо мной цели:

· углубить знания раздела дисциплины, касающегося основных свойств полупроводниковых материалов;

· рассмотреть и изучить свойства полупроводниковых соединений типа AIIIBV;

· изучить методы подвижности носителей заряда, а также суть гальваномагнитных явлений в полупроводниках

Эффект Холла интересен как метод характеристик полупроводниковых приборов (тип проводимости, концентрация и подвижность носителей) и как принцип действия ряда приборов, которые нашли техническое применение. Также мы увидели зависимость подвижностей носителей заряда в полупроводниках.

Полупроводниковые материалы применяются для изготовления полупроводниковых приборов и устройств микроэлектроники. Особенности электрофизических свойств полупроводников определяются природой сил связи. Пригодность полупроводникового материала зависит от его кристаллической структуры, ширины запрещенной зоны, положения примесных уровней и однородности распределения примеси по объему. Оптическими, термическими, термоэлектрическими, и электрическими свойствами полупроводниковых материалов определяются эксплуатационные характеристики готовых изделий. Особые требования предъявляют к таким свойствам, как тип электропроводности, концентрация введенной примеси, подвижность и время жизни носителей заряда.

ПЕРЕЧЕНЬ ССЫЛОК

1.Пасынков В.В., Сорокин В.С. Материалы электронной техники. – Учеб. Для студентов по спец. ”Полупроводники и диэлектрики” – 2-е изд., перераб. и доп. – М.: Высшая школа, 1986.

2. Коновалов О.М. Полупроводниковые материалы. Х.: Издательство Харьковского ордена трудового красного знамени государственного университета имени А.М.Горького, 1963.

3.Н.И.Слипченко, В.А.Антонова, О.В.Бородин, Ю.О.Гордиенко. Материалы электронной техники. Учебн. пособие – Х.: ХТУРЭ, 2001.

4.А.И.Курносов. Материалы для полупроводниковых приборов и интегральных схем. М.: Высшая школа, 1980.

5. Богородицкий Н.П., Пасынков В.В., Тареев Б.М. Электрические материалы – 6-е изд., перераб. – Л.:Энергия, 1977.

6. Пасынков В.В., Чиркин Л.К. Полупроводниковые приборы. М.: Высшая школа, 1987.

7.Шалимов К.В. Физика полупроводников: Учебник для вузов. – 3-е изд., перераб. и доп. – М.: Энергоатомиздат, 1985.

8.Ф.Блат. Физика электронной проводимости в твердых телах. М.: Мир, 1971.

9.К.В.Шалимов. Практикум по полупроводникам и полупроводниковым приборам.- М.: Высшая школа, 1968.

10.Пасынков В.В., Богородицкий Н.П. Электротехнические материалы. – М.: Высшая школа, 1977

11.http://elib.ispu.ru/library/lessons/Egorov/HTML/Index.html

Похожие рефераты:

Кристаллы в природе

Органические полупроводники

История иследования полупроводников

Сверхпроводники

Алмазоподобные полупроводники

Концепции развития современных технологий и энергетики

Полупроводниковые материалы

Общая и неорганическая химия

Лекции по твердотельной электронике

Исследование работ Фарадея по электричеству

Теория

Анализ и моделирование биполярных транзисторов

Исследование зависимости прочности клеевых соединений от технологических параметров склеивания при изготовлении верхней одежды

Изучение возможности применения магнитных жидкостей для синтеза магнитных сорбентов

Физические основы электроники

Билеты по физике за весь школьный курс

Расчет намагничивающего устройства для магнитопорошкового метода неразрушающего контроля

Развитие, становление и основные аспекты фармации