| Похожие рефераты | Скачать .docx |
Дипломная работа: Исследование работ Фарадея по электричеству
Содержание
Введение
Глава 1. Исследование электродинамики Фарадея
1.1 Исследование развития электродинамики до Фарадея
1.2 Труды М.Фарадея по постоянному току
1.3 Исследование положений М.Фарадея о существовании электрического и магнитного полей
1.4 Исследование положений Фарадея о превращении магнетизма в электричество и электричества в магнетизм
Глава 2. Исследование электродинамики Фарадея-Максвелла
2.1 Роль Фарадея в развитие электродинамики и электромагнетизма
2.2 Модельное представление об электромагнитных процессах
2.3 Достоинства и недостатки идей Фарадея
2.4 Использование идей Фарадея Максвеллом
2.5 Современный взгляд на электродинамику Фарадея-Максвелла
Заключение
Литература
Введение
Если действительно, для того, чтобы гений реализовал свой творческий потенциал, он должен родиться в нужное время и в нужном месте, то судьба Майкла Фарадея полностью это подтверждает. В год его рождения был опубликован трактат Гальвани, когда Фарадею исполнилось 8 лет, был создан Лондонский Королевский институт по распространению научных знаний. Годом позже в Лондонское Королевское общество - высший научный центр Великобритании - пришло сообщение об изобретении Вольта, когда Фарадею было 11 лет, его учитель Гемфри Деви доказал факт разложения воды с помощью вольтова столба и стал, таким образом, одним из основателей новой науки - электрохимии.
Будущий великий английский физик (Faraday, Michael) (1791–1867), родился 22 сентября 1791 в предместье Лондона в семье кузнеца. С 12 лет работал разносчиком газет, затем учеником в переплетной мастерской. Занимался самообразованием, читал книги по химии и электричеству. В 1813 один из заказчиков подарил Фарадею пригласительные билеты на лекции Г.Дэви в Королевском институте, сыгравшие решающую роль в судьбе Фарадея. Благодаря Дэви он получил место ассистента в Королевской ассоциации.
В начале Фарадей посвятил себя химии, но затем увлёкся опытами с магнитными и электрическими явлениями. Он приступил к этим опытам не сразу, хотя постоянно носил с собой маятник, чтобы не забывать о том, что пора давно заняться магнетизмом.
В 1813–1815, путешествуя вместе с Дэви по Европе, Фарадей посетил лаборатории ряда стран. Помогал Дэви в химических экспериментах, начал самостоятельные исследования по химии. Осуществил ожижение газов, получил бензол. В 1821 впервые наблюдал вращение магнита вокруг проводника с током и проводника с током вокруг магнита, создал первую модель электродвигателя. В течение последующих 10 лет занимался исследованием связи между электрическими и магнитными явлениями, в 1831 открыл электромагнитную индукцию, лежащую в основе работы всех электрогенераторов постоянного и переменного тока.
В 1824 Фарадей был избран членом Королевского общества, в 1825 стал директором лаборатории в Королевской ассоциации. С 1833 состоял Фуллеровским профессором химии Королевского института, оставил этот пост в 1862. Широкую известность получили публичные лекции Фарадея. Используя огромный экспериментальный материал, Фарадей доказал тождественность известных тогда "видов" электричества: "животного", "магнитного", термоэлектричества, гальванического электричества и т.д. Стремление выявить природу электрического тока привело его к экспериментам по прохождению тока через растворы кислот, солей и щелочей. Результатом исследований стало открытие в 1833 законов электролиза (законы Фарадея). В 1845 Фарадей обнаружил явление вращения плоскости поляризации света в магнитном поле (эффект Фарадея). В том же году открыл диамагнетизм, в 1847 – парамагнетизм. Ввел ряд понятий – подвижности (1827), катода, анода, ионов, электролиза, электродов (1834); изобрел вольтметр (1833). В 1830-х годах предложил понятие поля, в 1845 впервые употребил термин "магнитное поле", а в 1852 сформулировал концепцию поля.
Основные работы по электричеству и магнетизму Фарадей представлял Королевскому обществу в виде серий докладов под названием Экспериментальные исследования пЮ электричеству (Experimental Researches in Electricity). Кроме Исследований, Фарадей опубликовал работу Химические манипуляции (Chemical Manipulation, 1827). Широко известна его книга История свечи (ACourseofSixLecturesontheChemicalHistoryofaCandle, 1861).
Тема дипломной работы "Работы М.Фарадея по электричеству" актуальна, так как его открытия внесли огромный вклад в развитие не только фундаментальной, но и прикладной физики.
Талантливый экспериментатор, наделённый научной интуицией, Фарадей поставил ряд опытов, в которых были открыты фундаментальные физические законы и явления.
Фарадей высказал новые, оправдавшиеся в дальнейшем идеи о природе тока и магнетизма, о механизме проводимости в различных средах и др. Он доказал тождество различных видов электричества: полученного от трения, "животного", "магнитного" и др. Стремясь установить количественные соотношения между различными видами электричества, Фарадей начал исследования по электролизу, открыл его законы (1833–34) и ввёл сохранившуюся доныне терминологию в этой области. Законы электролиза явились веским доводом в пользу дискретности вещества и электричества. В 1840, ещё до открытия закона сохранения энергии, Фарадей высказал мысль о единстве "сил" природы (различных видов энергии) и их взаимном превращении. Он ввёл представления о силовых линиях, которые считал физически существующими.
Идеи Фарадея об электрическом и магнитном полях оказали большое влияние на развитие всей физики. В 1832 Фарадей высказал мысль о том, что распространение электромагнитных взаимодействий есть волновой процесс, происходящий с конечной скоростью.
В 1845 году, исследуя магнитные свойства различных материалов, Фарадей открыл явления парамагнетизма и диамагнетизма. В 1845 он установил вращение плоскости поляризации света в магнитном поле (Фарадея эффект), это было первое наблюдение связи между магнитными и оптическими явлениями, которая позднее явилась подтверждением электромагнитной теории света Дж. Максвелла. Фарадей изучал также электрические разряды в газах, пытаясь выяснить природу электричества.
Открытия Фарадея завоевали признание во всём научном мире. Впервые идеи Фарадея "перевёл" на общепринятый математический язык Максвелл. В предисловии к своему "Трактату по электричеству и магнетизму" (1873) он писал: "По мере того, как я подвигался вперед в изучении Фарадея, я убедился, что его способ понимания явлений также имеет математический характер, хотя он и не предстает нам облеченным в одежду общепринятых математических формул". Именем Фарадея впоследствии были названы законы, явления, единицы физических величин и т.д. (фарада, фарадей, Фарадея число, цилиндр Фарадея и др.).
Ф. Энгельс оценивал Фарадея как величайшего исследователя в области электричества. Значение Фарадея в развитии науки отмечал А. Г. Столетов: "Никогда со времен Галилея свет не видал стольких поразительных и разнообразных открытий, вышедших из одной головы"
Объект исследования: научная деятельность М.Фарадея в области электродинамики и магнетизма.
Цель исследования: применение научных открытий и законов М.Фарадея на уроках в средней школе
Задачи исследования:
1) проанализировать основные идеи и работы по электродинамике и магнетизму, способствующие открытиям М.Фарадея;
2) изучить работы М.Фарадея по постоянному току;
3) раскрыть идеи М.Фарадея о существовании электрического и магнитного полей;
4) рассмотреть эксперименты Фарадея по превращению электричества в магнетизм и магнетизма в электричество;
5) дать характеристику модельному представлению об электромагнитных процессах;
6) проанализировать основные идеи М.Фарадея, получившие продолжение в работах Д.Максвелла.
7) изучить развитие электродинамики Максвелла-Фарадея в современный период.
Глава 1. Исследование электродинамики Фарадея
1.1 Исследование развития электродинамики до Фарадея
Начало электродинамики как науки чаще всего соотносится с фундаментальными исследованиями У. Гильберта (1544-1603), который в 1600 г. издал трактат "О магните, магнитных телах и о большом магните Земли", содержавшем описание более 600 опытов, осуществленных при его непосредственном участии. Объем работ был столь велик, а эксперименты были выполнены столь безукоризненно, что потребовалось еще почти сто лет после Гильберта, чтобы получить существенно новые результаты.
Прорыв в области развития физики в других областях в 1820 г. сменяется не менее впечатляющим каскадом открытий в области электричества и магнетизма:
· Х. Эрстед открывает магнитное действие тока;
· А. Ампер - взаимодействие электрических токов;
· Ж. Био и Ф. Савар - закон, определяющий напряженность магнитного поля;
· Т. Зеебек - термоэлектричество.
Как уже говорилось, научное исследование электрических и магнитных явлений началось с книги Гильберта, которому принадлежит и термин "электричество", произведенный от греческого названия янтаря. Гильберт кропотливо исследовал множество самых различных тел и построил для этой цели специальный электрический указатель, который он описывает таким образом: "Сделай себе из любого металла стрелку длиной в три или четыре дюйма, достаточно подвижную на своей игле, наподобие магнитного указателя". С помощью этого указателя, прототипа современных электроскопов, Гильберт установил, что способностью притягивать обладают многие тела, "не только созданные природой, но и искусственно приготовленные". Однако он нашел также, что многие тела "не притягивают и не возбуждаются никакими натираниями". К числу их относится ряд, драгоценных камней и металлы: "серебро, золото, медь, железо, также любой магнит". Тела, обнаруживающие способность притяжения, Гильберт назвал электрическими, тела, не обладающие такой способностью,- неэлектрическими. Электрические явления, по Гильберту, коренным образом отличаются от магнитных.
Гильберт указывает, как производится электризация тел трением: "Их натирают телами, которые не портят их поверхности и наводят блеск, например жестким шелком, грубым немарким сукном и сухой ладонью. Трут также янтарь о янтарь, об алмаз, о стекло и многое другое. Так обрабатываются электрические тела".
В сочинении Гильберта много интересных наблюдений и догадок, смешанных с фантастическими объяснениями в духе средневековых алхимиков. Но главное значение его труда в том, что он положил твердое основание изучению электрических и магнитных явлений и на этом основании началось интенсивное развитие этого важного раздела науки и техники.
Электрическими опытами занимался и Ньютон, который наблюдал электрическую пляску кусочков бумаги, помещенных под стеклом, положенным на металлическое кольцо. При натирании стекла бумажки притягивались к нему, затем отскакивали, вновь притягивались, и т. д. Эти опыты Ньютон производил еще в 1675 г.
Эксперименты по электричеству проводили и другие члены Лондонского Королевского общества. Бойль, повторив опыты Герике с шаром, установил, что наэлектризованное тело не только притягивает ненаэлектризованное, но и, в свою очередь, притягивается последним. Он показал, что электрические взаимодействия наблюдаются и в вакууме.
В 1700 г. доктор Уолл извлек из натертого большого куска янтаря электрическую искру, проскочившую с треском в палец руки экспериментатора. Электрическую искру получил в 1705 г Хауксби, заменивший серный шар Герике стеклянным. Ньютон в 1716 г. наблюдал искровой разряд между острием иголки и наэлектризованным телом. "Искра напомнила мне о молнии в малых, очень малых размерах", — писал Ньютон. Наконец, Стефэн Грей (1670-1736), также член Лондонского Королевского общества, в 1729 г. открыл явление электропроводимости тел и показал, что для сохранения электричества тело должно быть изолировано. Он наэлектризовал ребенка, сначала по две сив его на шнурах, сплетенных из волос, а затем поставив его на смоляной диск.
Опыты Грея, опубликованные в 1731 и 1732 гг., обратили на себя внимание французского естествоиспытателя Шарля Дюфэ (1698—1739), создавшего первую теорию электрических явлений. Повторяя опыты Грея по электризации изолированного человеческого тела, он сам ложился на шелковые шнурки, и его электризовали настолько сильно, что из тела при приближении руки другого человека выскакивали искры.
Дюфэ установил два рода электрических взаимодействий: притяжение и отталкивание. Сначала он установил, что "наэлектризованные тела притягивают ненаэлектризованные и сейчас же их отталкивают, как только они наэлектризуются вследствие соседства или соприкосновения с наэлектризованными телами". В дальнейшем он открыл "другой принцип, более общий и более замечательный, чем предыдущие". "Этот принцип, - продолжает Дюфэ, - со стоит в том, что существует электричество двух родов, в высокой степени отличных один от другого: один род я называю "стеклянным" электричеством, другой - "смоляным"... ОсобХнность этих двух родов электричества: отталкивать однородное с ним и притягивать противоположное. Так, например, тело, наэлектризованное стеклянным электричеством, отталкивает все тела со стеклянным электричеством, и, обратно, оно притягивает тела со смоляным электричеством. Точно так же смоляное отталкивает смоляное и притягивает стеклянное".

Рис. 1. Первый опыт с лейденской банкой
Этот закон был опубликован Дюфэ в Мемуарах Парижской Академии наук за 1733 г.
Новые открытия в области электричества и усовершенствование электрических машин, получивших кондуктор, подушки для натирания и, наконец, сенсационное изобретение лейденской банки в 1745-1746 гг., возбудили в обществе большой интерес к электричеству. Электрические опыты проводились в светских салонах и королевских дворцах, на заседаниях ученых обществ и в частных домах. За Европой последовали Америка и Россия. Франклин, Рихман, Ломоносов, Эпинус внесли существенный вклад в эту науку.
Георг Вильгельм Рихман родился 11 июля 1711 г. в г. Пярну (тогда Пернове) в Эстонии. Рихман учился в германских университетах в Галле и Иене, а с 1735 г. в университете Петербургской Академии наук. В 1740 г. он становится адъюнктом, а в следующем, 1741 г. — профессором академии.
В январе 1745 г. Рихман начал собственные опыты по электричеству. В процессе этой работы, как пишет он сам, "я встретился со многими новыми явлениями...", далее "...открыл новый удобный способ исследовать тела, обладающие первичным, и тела, обладающие производным электричеством". Здесь под первичным электричеством Рихман понимает электричество, возбуждаемое в изоляторах трением, под производным — электричество в проводниках, получаемое от контакта с заряженными телами.
Существенно новым моментом в исследованиях Рихмана было то, что он "пытался подвергнуть измерению порождаемое электричество". Вот как он описывает первую свою попытку "измерить электричество": "Маленькие весы я подвесил на железной подставке так, что одна чашка их нависла над этой подставкой, а другая висела около нее на расстоянии 3 дюймов. На эту чашку я положил 30 гранов; поскольку равновесие было нарушено, коромысло с указанной стороны наклонилось и дно другой чашки весов удалилось на 1 дюйм от железной подставки. Когда проволока СDВ и весь аппарат были наэлектризованы, железная чашка тянула книзу и ударялась о подставку, слышался треск и одновременно был виден свет между подставкой В и чашкой весов. Итак, на указанном расстоянии сила был а такая, что 30 гранов могли быть подняты на высоту 1 лондонского дюйма. Тем же способом я надеялся измерить и электрическую силу".
Итак, Рихман попытался "взвесить" электрическую силу. Это была правильная идея, которая в своем развитии привела к изобретению абсолютного электрометра. Рихман описывал ряд опытов с различными весами и массами. Но потом он переходит к другому методу — методу электрического указателя — родоначальнику, современных электрометров.
"Я придумал и другой способ сравнивать электрические силы. К железной проволоке СВ, отводящей электричество, я подвесил льняную нитку DE, затем на расстоянии 492 лондонских линий я укрепил шелковую голубую нитку, параллельную горизонту, а в g поместил тяжелое тело. Шелковую нитку Eg я разделил на десятые доли лондонского фута, обозначив точки деления льняными нитками. Когда проволоке сообщалось электричество, нитка DE приближалась к тяжелому телу g и принимала наклонное положение, например D4, D5, D6 и т. д. Когда электричество прекращалось, нитка вновь принимала вертикальное положение DB. Да позволено будет назвать указателем электричества нить DE, свисающую с наделенной электричеством проволоки и приближающуюся к тяжел ому телу".
Описание экспериментов Рихмана было опубликовано в "Новых Комментариях" Петербургской Академии наук за 1751 г. спустя шесть лет после начала опытов. Это была первая публикация по электричеству в России. Статья Рихмана "Новые опыты с электричеством, порождаемым в телах" содержит описание его экспериментальной установки и опытов, произведенных на этой установке. Установка состояла из электрической машины Гравезанда. От электризуемого шара машины электричество отводилось железной проволокой к железной подставке, помещенной на смоле, заполнявшей конический сосуд. Подставка сообщалась с электрическим указателем, состоящим из вертикальной железной линейки, к верхнему концу которой прикреплялась льняная нить определенной длины и веса. К столу, на котором находился сосуд со смолой, прикреплялся деревянный квадрант с делениями, образующий шкалу указателя. Нить немного не доходила до шкалы. К другому концу железной подставки присоединялась также железная линейка, от которой электричество могло передаваться различным телам.
Электрический указатель занимал мысли Рихмана до самой смерти. Он хорошо понимал, что "совершенный электрометр должен оказать большую пользу в деле открытия и определения законов электричества", и, как он писал в неопубликованной рукописи "Об усовершенствовании электрического указателя", "делал много тщетных попыток в этой области". Описанный в "Комментариях" указатель был жестко связан с экспериментальным столом, и в этом заключалось большое неудобство. Рихман сделал переносной прибор, который представлял собой лейденскую банку (стеклянную бутылку, заполненную наполовину металлическими опилками, вставленную в металлический цилиндрический сосуд), в которую была помещена железная линейка, выступающая наружу. К наружному концу линейки прикреплялась льняная нить.
В работе "Рассуждения об указателе электричества и о пользовании им при исследовании явлений искусственного и естественного электричества" Рихман подводит итог многолетней экспериментальной работы по исследованию электрических явлений, кончая исследованиями электрической природы молнии. "...Восемь лет назад, - пишет Рихман в 1753 г.,- я приступил... к исследованию электрических явлений. Совершенный электрометр, т. е. инструмент для определения электрической силы, вне всякого сомнения, может сильно способствовать развитию электрической теории. Вот почему с самого начала я сразу же стал размышлять об удобном способе определять интенсивность электрической силы. Впрочем, мне до сих пор не посчастливилось сделать совершенный электрометр, - не знаю как другим". Так самокритично и честно оценивает Рихман свои поиски надежной конструкции электрометра.
Для создания такого инструмента потребовалось более ста лет. Электрометры были созданы во второй половине XIX столетия.
В этой же работе Рихман описывает оба типа своих приборов и основные опыты, произведенные с ними, в том числе и опыты с электричеством грозы, приведшие к трагической гибели ученого 26 июля 1753 г. Его классическая работа была опубликована в 1758 г., спустя пять лет после смерти ученого. Несмотря на несовершенство указателя своего прибора, Рихман с полным правом утверждал, что он "является надежным инструментом для распознавания больше или меньше градус электричества в той или иной наэлектризованной массе". Он нашел, что "электрическая материя, некиим движением возбуждаемая вокруг тела, по необходимости должна опоясывать его на некотором расстоянии; на меньшем расстоянии от поверхности тела действие ее бывает сильнее; следовательно, при увеличении расстояния сила ее убывает по некоторому, пока еще неизвестному закону". Другими словами, с помощью своего указателя Рихман открыл существование электрического поля вокруг заряженного тела, напряженность которого убывает с увеличением расстояния от тела "по некоторому, пока еще неизвестному закону". Таким образом, русскому ученому принадлежит честь открытия электрического поля и вполне определенное утверждение о зависимости действия этого поля от расстояния до источника поля. Этот "неизвестный пока закон" был найден спустя сорок лет Кулоном. В своей работе Рихман упоминает Франклина и его теорию положительного и отрицательного электричества.

Рис. 2. Первый проект электрического указателя. Рисунки Рихмана

Рис. 3. Расположение приборов в электрических опытах Рихмана

Рис. 4. Электрические указатель, применявшийся при исследовании грозы. Рисунок Рихмана
В этом ряду необходимо отметить и Франклина, который был одним из основателей Соединенных Штатов Америки, одним из создателей нового государства. Он был также основателем науки этого государства, учредителем одного из первых университетов, первого научного общества — филадельфийского философского общества. Он внес своими трудами большой вклад в американскую и мировую науку. Среди этих трудов первое место занимают его исследования по электричеству.
Эти исследования составили содержание труда Франклина "Опыты и наблюдения над электричеством", состоящего из писем к члену Лондонского Королевского общества Питеру Коллинсону. Коллинсон прислал в филадельфийскую библиотеку стеклянную трубку с указанием, как пользоваться ею для производства электрических опытов. В письме к Коллинсону от 28 марта 1747 г. Франклин писал, что этот подарок побудил его и других членов библиотеки "заняться электрическими опытами, при проведении которых нами наблюдались некоторые новые, по нашему мнению, явления". Франклин занимался электричеством с большим увлечением. "...Мне до этого никогда не приходилось проводить исследование, которое столь полно завладело бы моим вниманием и временем..." - признавался он в том же письме. Результатом этого увлечения было создание унитарной теории электрических явлений, доказательство электрической природы молнии и другие важные открытия.
Один из первых опытов Франклина заключался в электризации чугунного шара, помещенного на горлышке "чистой сухой стеклянной бутылки". Электризация исследовалась с помощью легкого пробкового шарика, подвешенного на шелковой нити, прикрепленной к потолку. Франклин установил в этом опыте действие проводящего острия, разряжающего шар, и светящегося в темноте при разряде. Франклин уже в письме от 11 июля описал свои опыты с наэлектризованным шаром, острием, заряженной вертушкой. Здесь он ввел представление о положительном и отрицательном электричестве. "Чтобы электризовать плюс или минус, требуется знать лишь только то, что части трубки или шара, которые натираются, притягивают в момент трения электрический огонь и, значит, забирают его из предмета, которым производится натирание; эти же самые части, как только прекратится их натирание, стремятся отдать полученный ими огонь любому предмету с меньшим его количеством".
Таким образом, Франклин пользуется представлением об особой электрической субстанции, которую он называет "электрическим огнем". Он предполагает, что электрический огонь "является распространенным элементом" и тела до процесса электризации имеют равные количества этого элемента.
В письме от 1 сентября 1747 г. Франклин описывает действие лейденской банки. "Удивительно, как эти два состояния электричества - плюсовое и минусовое - сочетаются и уравновешиваются в этой чудодейственной банке!" - восклицает он. Франклин тщательно исследовал эту взаимосвязь. Опытом с разборной банкой он установил, что вся сила банки и способность к удару заключается в самом стекле, а не в обкладках. Этот опыт им описан в письме IV от 1748 г. Здесь же он излагает результаты* своих опытов и сконструированное им "колесо Франклина" - модель электростатического двигателя, распространенную принадлежность школьных физических кабинетов.
К 1749 г. теория электричества Франклина была завершена. В письме Коллинсону от 29 июля 1750 г. он так формулирует ее основные положения.
"1. Электрическая субстанция состоит из чрезвычайно малых частиц, так как она способна проникать в обыкновенную материю, даже в самые плотные металлы, с большой легкостью и свободой, как бы не встречая при этом сколь-либо заметного сопротивления.
3. Электрическая субстанция отличается от обыкновенной материи в том отношении, что частицы последней взаимно притягиваются, а частицы первой отталкиваются друг от друга...
4. И хотя частицы электрической субстанции взаимно отталкивают друг друга, они сильно притягиваются всей прочей материей.
6. Таким образом, обыкновенная материя по отношению к электрической жидкости является как бы своеобразной губкой...
7. Но в обыкновенной материи содержится (как правило) столько электрической субстанции, сколько она может заключать в себе. Если прибавить ей этой субстанции еще, то она разместится снаружи, на поверхности, и образует то, что мы называем электрической атмосферой; в этом случае говорят, что предмет наэлектризован.
15. Электрическая атмосфера принимает форму того предмета, который она обволакивает..."
Франклин показывает, что электрическая атмосфера обволакивает шар равномерно, с остриев ее легче отобрать, чем с граней. Он демонстрирует стекание электричества с острия на различных опытах. Заметим, что это свойство острия и углов было еще раньше открыто и исследовано Рихманом. Существенно, что в теории Франклина электричество является субстанцией, которую нельзя создать или уничтожить, а можно только перераспределить. Закон сохранения электрического заряда - основное положение теории Франклина, предшественницы электронной теории.
Франклин высказал также гипотезу, что молния представляет собой разряд наэлектризованных туч. Он произвел знаменитый опыт с воздушным змеем, запуская его при приближении грозовых туч. К верхнему концу вертикальной планки крестовины змея он прикреплял заостренную проволоку. К концу бечевки привязывал ключ и шелковую ленту, которую держал рукой. "Как только грозовая туча окажется над змеем, заостренная проволока станет извлекать из нее электрический огонь, и змей вместе с бечевой наэлектризуется... А когда дождь смочит змей вместе с бечевой, сделав их тем самым способными свободно проводить электрический огонь, Вы увидите, как он обильно стекает с ключа при приближении Вашего пальца". (Письмо Коллинсону от 19 октября 1752 г.).
Опыты Франклина и его идея громоотвода вызвали широкий резонанс. Их повторяли в Европе. Жан Далибар (1703-1799) во Франции, установив на подставке из электрика (т. е. изолятора) в саду железный заостренный шест высотой 40 футов, извлекал из него искры во время грозы. Аналогичные наблюдения проводили Ломоносов и Рихман в Петербурге.
Необходимо отметить, что Франклин, употребляя термины "электрик" и "неэлектрик", критиковал их как неверные. По его теории электричество содержится во всех телах; электрическая субстанция "довольно равномерно рассредоточена по всей массе нашего шара, состоящего из суши и воды". Поэтому термины "электрик" и "неэлектрик" должны быть отброшены как неверные и заменены понятиями "проводник" и "непроводник" (единственное отличие одних тел от других состоит только в том, что некоторые проводят электрическую субстанцию, другие нет)".
Совершенно независимо от Франклина начал "электрические воздушные наблюдения" и Ломоносов. Ему удалось с помощью электрического указателя установить электрическое состояние атмосферы в отсутствие грома и молнии. Об этом он сообщал в своей посмертно опубликованной статье.
Рихман и Ломоносов не приняли теории Франклина. Ломоносов разрабатывал свою теорию электрических явлений, в которой сделал попытку объяснить электричество движением частиц эфира. Сопоставляя это с идеей Рихмана об электрическом поле, можно констатировать, что если Франклин предвосхитил будущую электронную теорию, то петербургские академики предвосхитили будущую теорию поля Фарадея — Максвелла.
В 1759 г. в Петербурге вышла на латинском языке книга "Опыт теории электричества и магнетизма" академика Франца Ульриха Теодора Эпинуса (1724—1802). За два года до выхода этой книги член Берлинской Академии наук Эпинус принял приглашение Петербургской Академии наук и заключил контракт на пять лет.
"Опыт теории электричества и магнетизма" Эпинуса, в отличие от книги Франклина и работ Рихмана, рассматривал не только электрические явления, но и магнетизм. При этом в отличие от Гильберта, Эпинус ищет не отличия, а сходства между электричеством и магнетизмом. Открытие им полярной электризации турмалина при нагревании (пироэлектричество), опубликованное им в 1756 г., поразило его в особенности тем, что он обнаружил "чрезвычайное сходство между этим камнем (турмалином) и магнитом". Под впечатлением этого открытия Эпинус "начал снова исследовать сходство между магнитом и электрической силой". В результате этих исследований он стал считать "причины магнитных и электрических явлений совершенно сходными, а действия магнита аналогичными действиям лейденской банки".
В основу своей теории Эпинус кладет представление об электрической и магнитной жидкостях, частицы которых взаимодействуют с материей и между собой притягательными и отталкивательными силами. Следуя примеру Ньютона, Эпинус не рассматривает природу этих сил, а описывает с помощью их экспериментальные факты. Вместе с тем Эпинус замечает, что хотя он "вполне убежден в существовании сил притяжения и отталкивания ", однако не считает их, "как поступают некоторые неосторожные последователи великого Ньютона, силами, внутренне присущими телам", и не одобряет учения, "которое постулирует действие на расстояние". "...Мой взгляд, — пишет Эпинус, — сводится к тому, что притяжения и отталкивания... я считаю явлениями, причины которых еще скрыты, однако от них зависят и от них берут начало другие явления". Эпинус принимает франклиновскую гипотезу единой электрической жидкости: "Существует некая жидкость, производящая все электрические явления и вследствие этого названная электрическою, тончайшая, весьма эластичная, части которой, даже на значительных расстояниях, заметно отталкивают друг друга". "Частицы этой жидкости притягиваются материей, из которой состоят все известные до сих пор тела".
По отношению к электрической жидкости материальные тела разделяются на два класса: одни легко проводят электрическую материю, другие "препятствуют ее свободному перемещению". Первую группу тел Эпинус называет "не электрическими по своей природе", другую - "электрическими по своей природе".
Выше говорилось, что Франклин считал эти термины неправильными и предпочитал говорить о проводниках и непроводниках. Однако термины "неэлектрик", "электрик" держались долго и лишь в первой половине XIX в. были заменены привычными для нас терминами "проводники" и "изоляторы".
По аналогии с электрическими явлениями Эпинус вводит для описания магнитных явлений магнитную жидкость. "...Ее частицы, как и частицы электрической жидкости, взаимно отталкивают друг друга". Однако большинство тел в природе не реагирует с магнитной жидкостью, лишь некоторые тела, и прежде всего железо, притягиваются магнитной материей.
"Существует величайшее сходство между железом и железными телами, с одной стороны, и телами, электрическими по своей природе, с другой..." "До сих пор неизвестно ни одного тела, которое действовало бы на магнитную материю и соответствовало бы телам, не электрическим по природе". Таким образом, Эпинус констатирует сходство магнетиков (ферромагнетиков) и "электриков" (диэлектриков), а также отсутствие для магнетизма проводимости, аналогичной электрической проводимости. Но в остальном электрическая и магнитная жидкости, по Эпинусу, действуют по сходным законам. Так, тела не взаимодействуют, если содержат "естественное" количество электрической или магнитной жидкости. Электричество и магнетизм возникает "..либо увеличением количества электрической или магнитной жидкости так, чтобы оно стало выше естественного, либо уменьшением так, чтобы оно стало ниже его". "Франклин назвал, - говорит Эпинус, - электричество, которое получается путем увеличения количества электрической материи, положительным, а то, которое получается путем ее уменьшения, отрицательным. В том же смысле я сохраняю эти термины, перенося их на магнетизм".
В том же, 1759 г., в котором вышло сочинение Эпинуса, англичанин Саймер выдвинул дуалистическую теорию электричества, предположив существование двух противоположных родов электричества: одного - аналогичного электричеству, получающемуся на стекле при его натирании, другого - аналогичного электричеству, получающемуся при электризации янтаря ("смоляное" электричество). По унитарной теории Франклина - Эпинуса "любое тело, предоставленное самому себе, самопроизвольно всегда возвращается в такое состояние, когда оно содержит точно такое количество электрической жидкости, какое достаточно для достижения равновесия между силой притяжения или силой отталкивания".
Эпинус разбирает возможные случаи взаимодействия тел. При этом он высказывает предположение, что силы отталкивания электрических или магнитных масс уменьшаются с увеличением расстояния между ними. Хотя вид этой функциональной зависимости ему неизвестен, однако он признает, что "охотно утверждал бы, что эти величины изменяются обратно пропорционально квадратам расстояний". Эту зависимость ему подсказывает аналогия с законом тяготения. Эпинус указывает, что наблюдающиеся на опыте притяжения ненаэлектризованных тел к наэлектризованным объясняются тем, что "это тело благодаря одному лишь приближению к другому наэлектризованному телу само может стать наэлектризованным". Это явление электрической индукции было известно уже Рихману, его описали в 1754 г. англичанин Джон Кантон (1718—1772) и в 1757 г. немец Иоганн Карл Вильке (1732-1796).
Эпинус исследовал экспериментально электрическую индукцию в проводниках и изоляторах, при этом он установил, что в изоляторах она выражена слабее, чем в проводниках. Таким образом, Эпинус по сути дела открыл поляризацию диэлектриков.
В своем трактате Эпинус выдвинул положение об электростатическом равновесии тела, утверждая, что тело стремится самопроизвольно перейти в такое состояние, в котором количество электричества в нем будет "естественным". Он подробно анализирует силы, действующие на тело, постулируя, что равновесие электричества в нем достигается, когда сумма притягательных и отталкивательных сил равна нулю. Но он не сумел понять закона распределения электричества в проводниках и наблюдения Франклина. Естествоиспытатель и философ Пристли, правильно оценил важность эксперимента Франклина. Этот эксперимент получает объяснение, если предположить, что силы взаимодействия электрических частиц обратно пропорциональны квадрату расстояния. Пристли высказал это предположение в своей "Истории электричества" в 1767 г., а в 1771 г английский лорд Кавендиш впервые экспериментально показал, что силы взаимодействия электрических зарядов подчиняются закону:

где n=2±1/50
Опыт Кавендиша заключался в следующем. Шар диаметром 12, 1 дюйма, покрытый оловянной бумагой (станиолем), помещался внутри другого шара 13,3 дюйма в диаметре так, чтобы он был изолирован от наружного шара. Наружный шар состоял из двух полушарий, также покрытых станиолем, которые можно было раздвигать. Через небольшое отверстие в наружном шаре можно было устанавливать проводящий контакт между ним и внутренним шаром с помощью проволочки, привязанной к шелковине. В начале опыта, когда полушария сближены и установлен проводящий контакт, наружную сферу заряжают от лейденской банки. Затем с помощью шелковинки контактную проволоку удаляют, раздвигают наружные полушария и исследуют электризацию внутреннего шара.
Электроскоп не обнаружил заряда этого шара. Кавендиш исследовал чувствительность электроскопа и показал, что он мог бы обнаружить заряд внутреннего шара, равный 1/60 заряда внешней сферы. Отсюда Кавендиш вывел, что сила взаимодействия электрических частиц убывает с расстоянием по закону:
,
где n отличается от двух не более чем на1/50.
Генри Кавендиш (1731-1810) в 1766 г открыл водород и получил углекислый газ, он показал, что вода получается при горении водорода. Кавендиш с помощью крутильных весов определил постоянную закона тяготения и тем самым "взвесил" Землю. Одинокий, чудаковатый джентльмен, он неохотно публиковал свои работы, и в частности свои электрические исследования. Они оставались неизвестными до 1879 г., когда их опубликовал Максвелл, первый профессор лаборатории Кавендиша, открытой на средства потомка Генри Кавендиша в Кембридже в 1874 г.
Максвелл повторил опыты Кавендиша с электрометром Томсона и показал, что п может отличаться от 2 не более чем на 1/21600.
"Что касается скрытности Кавендиша, — писал в 1891 г. известный электрофизик Хевисайд, — то она совершенно непростительна; это грех" Этот "грех" стоил Кавендишу славы открывателя точного закона электрических взаимодействий, который навсегда вошел в науку под названием закона Кулона.
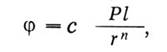
Французский военный инженер, а с 1781 г. член Парижской Академии наук Шарль Огюстен Кулон (1736-1806) в 1777 г. исследовал кручение волос, шелковых и металлических нитей. Результатом этих исследований явилось открытие закона кручения :

где φ —угол кручения, Р — закручивающая сила, l - длина нити, r - ее радиус.
В 1784 г. Кулон сконструировал чувствительный прибор — крутильные весы. С помощью этих весовой открыл законы электрических и магнитных взаимодействий.

Рис. 5. Крутильные весы Кулона
Его опыты и выводы из них опубликованы им в 1782-1785 гг. в семи мемуарах. Аппарат Кулона представлял собой стеклянный цилиндр с измерительной шкалой по окружности, в крышке цилиндра имелись центральное и боковое отверстия. В центральное отверстие пропускалась серебряная нить, закрепленная на измерительной головке и проходящая по оси высокого стеклянного цилиндра, заканчивающегося упомянутой головкой. Нить несла легкое стеклянное коромысло, на котором находились шарик и противовес. В боковое отверстие пропускался стерженек, несущий наэлектризованный шарик.
В первом мемуаре 1785 г. Кулон исследовал отталкивающую силу и нашел, что при угловых расстояниях между шариками (которые первоначально при контакте получают одинаковые заряды) 36°, 18°, 9° нить закручивалась соответственно на 36°, 144°, 576°, т. е. силы росли обратно пропорционально квадратам расстояний. Во втором мемуаре Кулон нашел закон взаимодействия магнитных полюсов.
Существенным моментом в работе Кулона было установление метода измерения количества электричества и количества магнетизма (магнитных масс). В научной системе единиц законы Кулона дают основную базу системы электрических и магнитных единиц. После Кулона стало возможным построение математической теории электрических и магнитных явлений.
Закон Кулона, один из основных законов электростатики, определяющий силу взаимодействия между двумя покоящимися точечными электрическими зарядами, т. е. между двумя электрически заряженными телами, размеры которых малы по сравнению с расстоянием между ними. Установлен Кулоном в 1785 опытным путём с помощью изобретённых им крутильных весов. Согласно закону Кулона, два точечных заряда взаимодействуют друг с другом в вакууме с силой F, величина которой пропорциональна произведению зарядов e1 и e2 и обратно пропорциональна квадрату расстояния r между ними:

Здесь k — коэффициент пропорциональности, зависящий от выбранной системы единиц; в абсолютной (гауссовой) системе единиц (СГС системе единиц) k = 1.
Сила F направлена по прямой, соединяющей заряды, и соответствует притяжению для разноимённых зарядов (F << 0) и отталкиванию для одноимённых (F > 0).
Если взаимодействующие заряды находятся в однородном диэлектрике с диэлектрической проницаемостью ε, то сила взаимодействия уменьшается в ε раз:
![]()
Закон Кулона служит одним из экспериментальных оснований классической электродинамики; его обобщение приводит, в частности, к Гаусса теореме.
Законом Кулона называется также закон, определяющий силу взаимодействия двух магнитных полюсов:
![]()
Здесь f — коэффициент пропорциональности (в общем случае не совпадающий с k; в абсолютной системе единиц f = 1), m1 , m 2 — магнитные заряды, μ — магнитная проницаемость среды, окружающей взаимодействующие полюса. В вакууме:
![]()
Открытие гальванизма независимо от какой-либо философии должно было рано или поздно привести к открытию электромагнетизма, и не случайно приоритет Эрстеда оспаривался. Еще в 1876 г. Эндрюс (1813—1885) в своей президентской речи на собрании Британской Ассоциации содействия прогрессу наук в Глазго должен был вернуться к вопросу о приоритете Эрстеда. Этот вопрос решен в пользу Эрстеда, и современный историк науки полностью согласен со словами Велланского: "Электромагнетизм открыт в Копенгагене профессором Эрстедом, который открытие свое возвестил 1820 года".
Ханс Кристиан Эрстед родился 14 августа 1777 г. в семье датского аптекаря. Учился Эрстед в Копенгагенском университете, где в 20 лет получил диплом фармацевта, а в 22 года степень доктора философии. В 1806 г. он становится профессором Копенгагенского университета. Увлекшись философией Шеллинга, он много думал о связи между теплотой, светом, электричеством и магнетизмом. Плодом этих размышлений явился изданный в 1813 г. в Париже трактат "Исследования о тождестве электрических и химических сил". В 1820 г. он сделал свое знаменитое открытие, описанное им в брошюре "Опыты, относящиеся к действию электрического конфликта на магнитную стрелку". Брошюра была издана на латинском языке в Копенгагене и датирована 21 июля 1820 г. Это открытие обессмертило имя ее автора в истории физики. Увлечение философией Шеллинга сказалось уже в самом названии брошюры Эрстеда. Он называет процесс, происходящий в проволоке, соединяющей полюсы гальванической батареи, не током, а "конфликтом". Результатом этого "конфликта" является разогревание проводника, причем Эрстед считал, что нагревание проволоки необходимо для получения эффекта. Опыты над действием тока на магнитную стрелку привели Эрстеда к важному выводу, что "электрический конфликт, по-видимому, не ограничен проводящей проволокой, но имеет довольно обширную сферу активности вокруг этой проволоки". Отбрасывая философскую терминологию, можно констатировать, что Эрстед обнаружил вокруг проволоки с током магнитное поле, действующее на ток.
Далее он пишет: "Кроме того, из сделанных наблюдений можно заключить, что этот конфликт образует вихрь вокруг проволоки". Другими словами, магнитные силовые линии окружают проводник с током, или электрический ток является вихрем магнитного поля. Таково содержание первого основного закона электродинамики, и в этом суть открытия Эрстеда.
Сегодня любой школьник без труда воспроизведет опыт Эрстеда, продемонстрирует "вихрь электрического конфликта", насыпав на картон, через центр которого проходит проволока с током, железные опилки.
Но обнаружить магнитные действия тока было нелегко. Их пытался обнаружить Петров, соединяя полюсы своей батареи железными и стальными пластинками. Он не обнаружил никакого намагничивания пластинок после нескольких часов пропускания через них тока. Имеются сведения и о других наблюдениях, однако с полной достоверностью известно, что магнитные действия тока наблюдал и описал Эрстед. Это открытие привлекло внимание физиков Европы. "Ученый датский физик, профессор, - писал Ампер,- своим великим открытием проложил физикам новый путь исследований. Эти исследования не остались бесплодными; они привлекли к открытию множества фактов, достойных внимания всех, кто интересуется прогрессом".
Открытие Эрстеда вызвало широкий резонанс. Вскоре, после того как де ла Рив в Женеве повторил опыты Эрстеда, хлынул поток опытов и сообщений. В сентябре 1820 г. Араго показал, что проволока с током притягивает железные опилки. В том же сентябре Швейгер применил эффект Эрстеда в качестве указателя тока (мультипликатор). В 1821 г. Поггендорф (1796-1877) придал ему удобную форму, и в этом виде его и поныне можно видеть в школьных физических кабинетах.
Закон действия тока на магнитный полюс был установлен экспериментально Био и Саваром. Доклад об этом законе Био и Савар сделали 30 октября 1820 г. Лаплас облек закон Био— Савара в математическую форму элементарного взаимодействия между элементом тока и намагниченной точкой. В этой форме закон Био - Савара фигурирует в учебниках физики.
Наибольший вклад в изучение электромагнетизма внес французский физик Ампер, назвавший новую область физики "электродинамикой", и это название прочно вошло в язык физики. Он изучал естественные науки, математику, греческий, латинский и итальянский языки. Ампер изучил все тома знаменитой "Энциклопедии" Дидро и Даламбера, труды Эйлера, Бернулли, Лагранжа.
Ампер избирает педагогическое поприще. Сначала он работает домашним учителем, а в 1802 г. становится преподавателем физики и химии в центральной школе г. Бурге. В 1803 г. Ампера назначают преподавателем математики в Лионский лицей. В следующем, 1804 г. он становится репетитором в Политехнической школе в Париже, а с 1808 г.— ее профессором.
В 1814 г. его избирают членом Академии наук. С 1820 г. Ампер усиленно занимается электродинамикой, и в 1826 г. выходит его основной труд по электродинамике "Теория электродинамических явлений, выведенная исключительно из опыта". Позже Ампер занимается многими научными проблемами, в том числе и проблемой классификации наук. В результате этих исследований появилось его сочинение "Опыт философии наук, или Аналитическое изложение естественной классификации всех человеческих знаний", первый том которого вышел в 1834 г., второй, незаконченный том вышел посмертно в 1843 г.
Вершиной научного творчества Ампера является создание электродинамики. Начиная с первого сообщения в Парижской Академии наук 18 сентября 1820 г., последовавшего через неделю после сообщения Араго об открытии Эрстеда, идут один за другим сообщения Ампера: 25 сентября; 2, 9, 16, 30 октября; 6, 13 ноября; 4, 11 и 26 декабря 1820 г. В 15-м томе "Анналов химии и физики" был опубликован "Труд, представленный Королевской Академии наук 2 октября 1820 г. и содержащий резюме докладов, прочитанных в академии 18 и 25 сентября 1820 г. относительно действий электрических токов". Этот труд подытоживал напряженную работу Ампера по исследованию нового явления, выполненную в течение короткого двухнедельного промежутка времени.
Ампер различает два основных электрических понятия: электрическое напряжение и электрический ток. Под электрическим током Ампер понимает "состояние электричества в цепи проводящих и электродвижущих тел"; под его направлением — направление положительного электричества. Внутри вольтова столба это будет "направление от конца, на котором при разложении воды выделяется водород, к концу, на котором выделяется кислород". "...Направление электрического тока в проводнике, соединяющем концы столба, будет обозначать направление от конца, где выделяется кислород, к концу, где выделяется водород". Следовательно, Ампер вводит впервые такие фундаментальные понятия, как "электрический ток", "электрическая цепь", устанавливает направление тока в замкнутой цепи. Наименование единицы тока ампер, принятое в физике, вполне оправдано заслугами Ампера. Он же вводит термин "гальванометр" для прибора, действие которого основано на отклонении магнитной стрелки, и указывает, что "им следует пользоваться при всех опытах с электрическими токами, как принято пользоваться электрометром при электрических машинах, чтобы видеть в каждый момент, существует ли ток и какова его энергия".
Ампер впервые установил наличие механических взаимодействий токов, которые могут быть в зависимости от направления как притягательными, так и отталкивательными. Он подчеркивает, что "эти притяжения и отталкивания... существенно отличаются от тех, которые вызываются электричеством в состоянии покоя". Ампером выведен закон, закон механического (пондеромоторного) взаимодействия двух токов, текущих в малых отрезках проводников, находящихся на некотором расстоянии друг от друга.
Сила F12 , действующая со стороны первого отрезка проводника ll1 на второй ll2 (рис. 6), равна:
![]()

Рис. 6. Закон Ампера

Рис. 7. Взаимодействие двух элементарных токов: а — параллельных, б — антипараллельных. Все отрезки (векторы) на рисунке лежат в одной плоскости.
Исследуя экспериментально электродинамические взаимодействия, Ампер приходит к выводу, что путем комбинации проводников и магнитных стрелок можно "устроить своего рода телеграф с помощью одного вольтова столба, расположенного вдали от стрелок". Так, идея электромагнитного телеграфа возникла в первый же год открытия электромагнетизма. Она разрабатывалась рядом изобретателей и ученых. В 1829 г. русский дипломат П. Л. Шиллинг (1786-1837) сконструировал телеграфный аппарат, дающий возможность передавать русские буквы и цифры с помощью шести мультипликаторов. Аппарат Шиллинга был установлен в Зимнем дворце. В 1833 г. Гаусс и Вебер построили телеграфную линию в Геттингене, соединяющую астрономическую и физическую лаборатории. Существовали и другие системы, в частности система русского физика Б. С. Якоби (1801-1874). Однако широкое распространение электромагнитный телеграф получил после того, как американский изобретатель Самуил Морзе (1791-1872) создал удобную конструкцию аппарата, разработал схему соединения отравительной и приемной станции и изобрел специальную азбуку с двумя знаками (точка - тире). Первый аппарат Морзе был построен в 1835 г., а в 1844 г. заработала телеграфная линия Вашингтон - Балтимор.
Ампер очень скоро пришел к мысли об эквивалентности магнитного листка круговому току и разработал представление о магните "как о совокупности электрических токов, расположенных в плоскостях, перпендикулярных к линии, соединяющей полюсы магнита". Отсюда он пришел к выводу, что спираль, обтекаемая током (соленоид), будет эквивалентна магниту. Это привело Ампера к мысли об отсутствии магнитных агентов ("магнитных жидкостей") в природе и о возможности свести все явления магнетизма к электродинамическим взаимодействиям. Амперова молекулярная теория магнетизма получила физическую опору в электронной физике уже в XX в. Обобщающим трудом Ампера была "Теория электродинамических явлений, выведенная исключительно из опыта", изданная в 1826 г. с подзаголовком "Произведение, в котором собраны труды г. Ампера, доложенные им Королевской Академии наук в заседаниях от 4 и 26 декабря 1820 г., 10 июня 1822 г., 22 декабря 1823 г., 12 сентября и 28 ноября 1825г.".
Он поставил перед собой задачу, основываясь на опыте, вывести формулу взаимодействия элементов тока. Задача была нелегкой. Опыт давал только интегральное взаимодействие. Ампер варьировал опыты с взаимодействием токов, пытаясь нащупать правильную формулу и, интегрируя ее для различных случаев конечных контуров тока, сравнить результат с опытом, формула Ампера открывает длинный ряд элементарных законов электродинамики.
Важно, что элементарные взаимодействия двух элементов тока не удовлетворяют третьему закону Ньютона, это новый тип взаимодействия, отличный от обычных центральных сил. Впрочем, то обстоятельство, что физика открыла новый тип сил, отличный от гравитационных, электростатических и магнитных сил, было ясно уже из опыта Эрстеда. Электродинамические силы, как правильно заметил Ампер, новые силы, отличные от сил, известных в электростатике.
Однако сам Ампер искал свой закон, опираясь на третий закон механики. Он полемизировал с Био, установившим, что силы, действующие со стороны элемента тока на магнитный полюс, образуют пару с силой, действующей со стороны полюса на элемент тока. Так началась проблема закона сохранения количества движения в электродинамике. Ампер еще не подозревал о существовании поля, о запаздывании электромагнитных действий. Он стоял на позициях дальнодействия, что для постоянных токов было допустимо. Но ему и его современникам уже пришлось столкнуться с новыми фактами, трудно объяснимыми при помощи ньютоновских представлений.

Рис. 8. Станок Ампера
Эрстед, а затем и Фарадей ясно увидели вихревой характер магнитного поля. В 1821 г. Фарадей доказал экспериментально, что отдельный магнитный полюс, помещенный вблизи проводника с током, приходит в непрерывное вращение. Ему пришлось проявить немало изобретательности, чтобы придумать такое расположение проводников и магнита, чтобы действию тока подвергался только один полюс. Магнит в опыте Фарадея вращался безостановочно, пока цепь была замкнута. Это была первая модель электродвигателя.
Как всегда бывает в науке, когда открывается новое поле исследования, появляется большое количество экспериментаторов и изобретателей, возникают бесчисленные споры о приоритете того или иного открытия. Имена этих экспериментаторов и изобретателей ныне забыты или полузабыты, Фарадею пришлось выдержать длительный спор о приоритете в открытии электромагнитных вращений.
Из многочисленных открытий и изобретений в области электричества, сделанных в 20-е годы XIX в., следует упомянуть об открытии в 1821 г. термоэлектричества. Оно принадлежит прибалтийскому физику Томасу Зеебеку (1770—1831). Это открытие стало возможным благодаря открытию Эрстеда и некоторое время даже именовалось термомагнетизмом. В свою очередь, открытие Зеебека и изобретение мультипликатора дали возможность немецкому учителю Георгу Ому (1787—1854) открыть количественный закон цепи электрического тока, носящий ныне его имя.
Ома закон, устанавливает, что сила постоянного электрического тока I в проводнике прямо пропорциональна разности потенциалов (напряжению) U между двумя фиксированными точками (сечениями) этого проводника:
RI = U
Опыты и теоретические рассуждения Ома, который находился под сильным влиянием вышедшего в 1822 г. сочинения Фурье (1768-1830) "Аналитическая теория тепла", были описаны им в основном труде "Гальваническая цепь, разработанная математически" (1827). Следует отметить, что этот закон, без которого мы сейчас не представляем себе учебника электричества, не сразу был принят физиками и стал входить в науку только в конце 30-х - начале 40-х годов XIX в. Его признание шло параллельно с успехами электрометрии. Одним из первых принял и применил закон Ома русский академик Э.Х.Ленц, который рассматривал и вопросы распределения тока в разветвленных проводниках, явившись предшественником Кирхгофа.
Ленц занимался также изучением электромагнитов, впервые на основе опытов Араго и теории Ампера созданных Вильямом Стердженом (1783-1850) в 1825 г. Электромагниты с большой подъемной силой были построены американским физиком Джозефом Генри (1799-1878), независимо от Фарадея открывшим электромагнитную индукцию. Однако его публикация об этом открытии запоздала, и слава великого открытия принадлежит Майклу Фарадею.
1.2 Труды М.Фарадея по постоянному току
Истоки современной электротехники восходят к замечательным трудам английского ученого Майкла Фарадея, которые, в свою очередь, были подготовлены предшествовавшими работами по изучению электрических и магнитных явлений.
Фарадея для науки открыл Хэмфри Дэви. Он очень много дал Фарадею, который признавал роль учителя в своем становлении как ученого. Многие работы Фарадея как бы логически вытекали из работ или идей Дэви.
Остановимся на законах электролиза, которые он открыл уже после смерти учителя, базируясь на теории Дэви, развитой Берцелиусом и другими известными учеными. Но количественных закономерностей изменений, происходящих в растворе, никто установить не смог. А звучат законы настолько просто, что диву даешься, как их не смогли сформулировать маститые ученые.
Количество разложенного при электролизе вещества увеличивается пропорционально силе тока и времени его прохождения.
Количество выделенных на электродах веществ пропорциональны их химическим эквивалентам.
Но законы не только позволили вести количественные расчеты. Благодаря законам Фарадея стало возможным сделать вывод "об электрической природе материи и об атомном строении электричества, на которых зиждется все современное материалистическое естествознание".
Д. Максвелл писал: "Там, где математики видели центры напряжения сил дальнодействия, Фарадей видел промежуточный агент. Где они не видели ничего, кроме расстояния, удовлетворяясь тем, что находили закон распределения сил, действующих на электрические флюиды (т.е. заряды – с современной точки зрения), Фарадей искал сущность реальных явлений, протекающих в среде".
Нет нужды повторяться о той огромной роли, которую сыграл Дэви в судьбе Фарадея. Но рассказ будет неполным и искаженным, если мы упустим некоторые факты взаимоотношений учителя и ученика. Когда в 1823 г. Фарадей опубликовал несколько работ, связанных с проблемами химии, Дэви, напечатавшего всего одну статью за год, это задело за живое. Кроме того, ученые все больше ссылались в своих работах на Фарадея, а не на его учителя. Кончилось тем, что когда Фарадей подал заявление о приеме его в члены Королевского общества, президент сэр Хэмфри Дэви выступил против. Правда, Дэви одумался, и Фарадея в следующем году почти единогласно избрали членом Королевского общества (один голос против).
В 1834 г. Фарадей в работе "Об электрохимическом разложении" предложил ввести новую терминологию. И на этот раз, как и все, что выходило из-под пера Фарадея, терминология была проста, научно обоснованна и понятна: Электролиты, ионы (путешественники), катионы (к отрицательному полюсу), катод (путь вниз), анод (путь вверх) и соответственно, анионы. Это был вклад в основу единого языка и международного сотрудничества. Справедливо говорил Бульвер-Литтон, английский писатель: "Гений творит то, что он должен, талант – то, что может".
Знаменитый опыт Фарадея с тороидальным сердечником из мягкого железа и двумя обмотками, соединенными одна через ключ с батареей, другая с гальванометром, известен всем со школьной скамьи.
Явление электромагнитной индукции воспринимали, как открытие нового вида электричества - "магнитоэлектричества". Фарадей решил окончательно доказать, что в природе не существует разных "электричеств". Для этого он получил восемь различных действий от пяти видов "электричества" (обыкновенного, гальванического, животного, термоэлектричества и магнитоэлектричества). Следующая серия исследований Фарадея была посвящена электрохимическим явлениям. Он предложил и ныне принятую терминологию: электролиз, электрод, катод, анод, анион, катион.
Электролиз (от электро... и греч. lysis - разложение, растворение, распад), совокупность процессов электрохимического окисления-восстановления на погруженных в электролит электродах при прохождении через него электрического тока. Электролиз лежит в основе электрохимического метода лабораторного и промышленного получения различных веществ - как простых (электролиз в узком смысле слова), так и сложных (электросинтез).
Изучение и применение электролиза началось в конце 18 - начале 19 вв., в период становления электрохимии. Для разработки теоретических основ электролиза большое значение имело установление М. Фарадеем в 1833-34 точных соотношений между количеством электричества, прошедшего при электролизе, и количеством вещества, выделившегося на электродах.
Промышленное применение электролиза стало возможным после появления в 70-х гг. 19 в. мощных генераторов постоянного тока.
Особенность электролиза - пространственное разделение процессов окисления и восстановления: электрохимическое окисление происходит на аноде, восстановление - на катоде. электролиз осуществляется в специальных аппаратах - электролизёрах.
Электролиз происходит за счёт подводимой энергии постоянного тока и энергии, выделяющейся при химических превращениях на электродах. Энергия при электролизе расходуется на повышение гиббсовой энергии системы в процессе образования целевых продуктов и частично рассеивается в виде теплоты при преодолении сопротивлений в электролизёре и в других участках электрической цепи.
На катоде в результате электролиза происходит восстановление ионов или молекул электролита с образованием новых продуктов. Катионы принимают электроны и превращаются в ионы более низкой степени окисления или в атомы, например при восстановлении ионов железа (F3+ +e = Fe2+ ), электроосаждении меди (Cu2+ + 2e = Cu). Нейтральные молекулы могут участвовать в превращениях на катоде непосредственно или реагировать с промежуточными продуктами катодного процесса. На аноде в результате электролиза происходит окисление ионов или молекул, находящихся в электролите или принадлежащих материалу анода (анод растворяется или окисляется), например: выделение кислорода (4OH- = 4e + 2H2 O + O2 ) и хлора (2C1- =2e + Cl2 ), образование хромата (Cr3+ + 3OH- + H2 O = CrO4 2- + 5H+ + 3e), растворение меди (Cu = Cu2+ + 2e), оксидирование алюминия (2Al + 3H2 O = Al2 O3 +6Н+ + 6e).
Электрохимическая реакция получения того или иного вещества (в атомарном, молекулярном или ионном состоянии) связана с переносом от электрода в электролит (или обратно) одного или нескольких зарядов в соответствии с уравнением химической реакции. В последнем случае такой процесс осуществляется, как правило, в виде последовательности элементарных одноэлектронных реакций, то есть постадийно, с образованием промежуточных ионов или радикальных частиц на электроде, часто остающихся на нём в адсорбированном состоянии.
Скорости электродных реакций зависят от состава и концентрации электролита, от материала электрода, электродного потенциала, температуры и ряда других факторов. Скорость каждой электродной реакции определяется скоростью переноса электрических зарядов через единицу поверхности электрода в единицу времени; мерой скорости, следовательно, служит плотность тока.
Были установлены соотношения между весами различных веществ, выделяемых на электродах при пропускании одного и того же количества электричества, связь между химическими и электрохимическими эквивалентами. При этом Фарадей пришел к выводу о необходимости ввести понятие "абсолютного количества электричества" - заряда грамм-атома одновалентного вещества, названного потом "числом Фарадея".
Количественные законы электролиза, открытые М. Фарадеем (1833 – 34) выражают связь между количеством прошедшего через электролит электричества, массой и химической природой (через эквиваленты химические) веществ, претерпевших превращение на электродах,
1-й закон .: массы т превращенных веществ пропорциональны количеству электричества q, прошедшего через электролит,
2-й закон .: массы различных веществ, превращенных в результате прохождения через электролит одного и того же количества электричества, пропорциональны химическим эквивалентам А этих веществ.
Из второго закона Фарадея следует, что для выделения электрическим током 1 г-экв. различных веществ необходимо одно и то же количество электричества, называемое Фарадея числом F. Математически законы Фарадея можно записать в виде одного уравнения т = (A/F) q = kq (коэффициент k = A/F называется электрохимическим эквивалентом).
Оба закона Фарадея абсолютно точны, если ионами электролита переносится всё прошедшее через него количество электричества. Наблюдаемые в некоторых случаях отклонения от этих законов могут быть связаны с неучтенными побочными электрохимическими реакциями (например, выделение газообразного водорода при электроосаждении некоторых металлов) или с частичной электронной проводимостью (например, при электролизе некоторых расплавов).
Не будучи сторонником теории о существовании неделимых атомов, он открыл путь к введению понятия атома электричества (заряда электрона) и, таким образом, к мысли о сложности строения самого атома. Величина заряда электрона определяется, как известно, делением числа Фарадея на число Авогадро.
1.3 Исследование положений М.Фарадея о существовании электрического и магнитного полей
В 1838 году Фарадей провел серию разнообразных опытов с газовыми разрядами различных типов и, в частности, обнаружил необъяснимое в то время "темное пространство" (названное его именем), свидетельствующее об отсутствии симметрии в поведении положительных и отрицательных носителей разрядного тока.
С 1839 года силы Фарадея пришли в упадок. Как показал проведенный в последствии анализ симптомов болезни ученого, это было ртутное отравление (Фарадей постоянно пользовался ртутными контактами). Но могло сказаться и переутомление от чрезвычайно напряженной умственной работы. В 1845 году, когда самочувствие его улучшилось, он осуществил давно задуманный опыт по выявлению связи света и магнетизма и обнаружил вращение плоскости поляризованного света в магнитном поле.
К началу 1850 г.г. Фарадей сконцентрировал внимание на магнитных явлениях, достиг важных результатов, как в экспериментах, так и в развитии своих теоретических воззрений.
В эпохальных опытах Гальвани, Эрстеда, Фарадея и др. открытые ими явления были неожиданными, непредсказуемыми, трудно поддававшимися объяснению. В конце концов, их открытия привели к осмыслению новой картины мира, а практически - к совершенно новым видам связи, новой энергетике, новому образу жизни.
При этом главную роль в теоретическом осмыслении нового круга явлений сыграл именно Фарадей. Он не был в плену общепринятых механистических концепций и опирался на наблюдения, опыты, интуицию и упомянутую уже идею о взаимосвязи и взаимопревращаемости сил природы.
Фарадей категорически отвергал мнение о мгновенном дальнодействии. Ключевое слово для него - индукция. И не только в трактовке опытов, но и в стиле их проведения. Его интересовал механизм действия сил в разных средах, электрические и магнитные процессы, происходящие как в веществе, так и в пространстве. Им было введено понятие диэлектрика, диэлектрической проницаемости, которую он называл удельной индуктивной способностью, открыт диамагнетизм, как универсальное свойство материи, в парамагнетике подавляемое. В то время существовала гипотеза об эфире, помогающая понять поперечность световых волн, как механических колебаний. Фарадей ею не пользуется. Он совершает смелый шаг, утверждая самостоятельное существование электрических и магнитных силовых линий, предвосхищая этим идею существования поля, как физической реальности.
Подвиг Фарадея состоит в том, что он завершил накопление экспериментальных открытий в области электромагнетизма и положил начало их теоретическому осмыслению, завершенному Максвеллом. Наглядность перестала быть обязательной для объяснения физических явлений.
Мысль об объяснении световых явлений с помощью колебаний электрических и магнитных сил, распространяющихся с конечной скоростью, возникла у него еще в 1832 году, когда он оставил в Лондонском Королевском обществе описание своей гипотезы в запечатанном пакете, но хотел закрепить свой приоритет. Пакет был вскрыт только через сто с лишним лет, в 1938 году, через пол века после того, как Генрих Герц окончательно доказал существование электромагнитных (в том числе световых) волн.
В 1845 году М. Фарадеем открыт эффект Фарадея, который явился первым доказательством наличия прямой связи между магнетизмом и светом.
Эффект Фарадея, один из эффектов магнитооптики, заключается во вращении плоскости поляризации электромагнитного излучения (например, света), распространяющегося в веществе вдоль силовых линий постоянного магнитного поля, проходящих через это вещество.
Феноменологическое объяснение эффекта Фарадея заключается в следующем. Намагниченное вещество в общем случае уже нельзя охарактеризовать единым преломления показателем n.
Показатели преломления n + и n- для излучения правой и левой круговых поляризаций становятся различными. Проходящее через изотропную среду линейно поляризованное излучение всегда может быть формально представлено как суперпозиция (наложение) двух поляризованных по правому и левому кругу волн с противоположным направлением вращения.
Различие n + и n- приводит к тому, что поляризованные по правому и левому кругу составляющие излучения распространяются в среде с различными фазовыми скоростями, приобретая разность хода, линейно зависящую от оптической длины пути. В результате плоскость поляризации монохроматического света с длиной волны (после прохождения в среде пути l поворачивается на угол φ: (= φl (n + – n-)/φ. Разность (n + – n-) линейно зависит от напряжённости магнитного поля Н в области не очень сильных полей, в которой в общем случае справедливо соотношение φ = VHl , где константа пропорциональности V зависит от свойств вещества, длины волны излучения и температуры и носит название постояннойВерде.
Эффект Фарадея оказался тесно связанным с Зеемана эффектом, открытым в 1896 и обусловленным расщеплением уровней энергии атомов и молекул магнитным полем. Частоты, соответствующие отщепленным уровням, сдвигаются симметрично по отношению к основной частоте. Эта симметричность проявляется, в частности, в том, что квантовые переходы между этими уровнями при продольном относительно поля распространении света (в этом случае можно считать исходный уровень расщепленным лишь на 2 подуровня) происходят с испусканием и поглощением фотонов, поляризованных по кругу направо и налево. В результате показатели преломления (и коэффициент поглощения), слабо зависящие от длины волны (частоты) света, становятся различными для право- и левополяризованных по кругу компонент монохроматического излучения. Грубо можно сказать, что различие скоростей обусловлено различием длин волн (частот) света, поглощаемого и переизлучаемого частицами вещества. Строгое описание Ф. э. возможно лишь в рамках квантовой теории.
В эффекте Фарадея ярко проявляется специфический характер вектора напряжённости магнитного поля Н (Н – осевой вектор, "псевдовектор"). Обусловленное Н направление поворота плоскости поляризации при эффекте Фарадея, в отличие от явления естественной оптической активности, не зависит от направления распространения излучения. Поэтому многократное прохождение света через среду, помещенную в магнитное поле, приводит к возрастанию угла поворота плоскости поляризации в соответствующее число раз. Эта особенность эффекта Фарадея нашла применение при конструировании так называемых невзаимных оптических и микроволновых устройств, циркуляторов, гираторов, фазовращателей СВЧ и т.д. Эффект Фарадея широко используется в научных исследованиях.
В этой области столько открытий и идей, предложенных Фарадеем, что только перечисление эффектов, явлений и физических величин, названных именем Фарадея, очень впечатляет.
Фарада
, единица электрической ёмкости в Международной системе единиц и в МКСА системе единиц. Названа в честь М. Фарадея. Обозначения: рус. ф, международное F. 1 Ф. – ёмкость конденсатора, при которой заряд в 1 кулон создаёт на обкладках конденсатора разность потенциалов 1 вольт. Единица ёмкости системы СГСЭ 1 см =
(с – числовое значение скорости света в вакууме, выраженное в см/сек). В практике чаще применяются дольные от Ф. единицы: микрофарада (мкф, F), 1 мкф = 10-6 ф, и пикофарада (пф, pF), 1 пф = 10-12ф.
Фарадей , внесистемная единица количества электричества, применяется в электрохимии; названа в честь М. Фарадея. 1 Ф. = (9,648456 ± 0,000027) (104 к (на 1973), т. е. равен стольким же кулонам, сколько к/моль содержится в Фарадея числе.
В 1840 году, ещё до открытия закона сохранения энергии, Фарадей высказал мысль о единстве "сил" природы (различных видов энергии) и их взаимном превращении. Он ввёл представления о силовых линиях, которые считал физически существующими.
Силовые линии, линии, проведённые в каком-либо силовом поле (электрическом, магнитном, гравитационном), касательные к которым в каждой точке пространства совпадают по направлению с вектором, характеризующим данное поле (напряжённостью электрического или гравитационного полей, магнитной индукцией). Изображение силовых полей с помощью Силовых линии - частный случай изображения любых векторных полей с помощью линий тока. Так как напряжённости полей и магнитная индукция - однозначные функции точки, то через каждую точку пространства может проходить только одна Силовая линия. Густота силовых линий обычно выбирается так, чтобы через единичную площадку, перпендикулярную к силовой линии, проходило число силовых линий, пропорциональное напряжённости поля (или магнитной индукции) на этой площадке.
Таким образом, силовые линии дают наглядную картину распределения поля в пространстве: густота силовых линий и их направление характеризуют величину и направление напряжённости поля. Силовые линии электростатического поля всегда незамкнуты: они начинаются на положительных зарядах и оканчиваются на отрицательных (или уходят на бесконечность). Силовые линии вектора магнитной индукции всегда замкнуты, т. е. магнитное поле является вихревым. Железные опилки, помещенные в магнитное поле, выстраиваются вдоль силовых линий; благодаря этому можно экспериментально определять вид силовых линий магнитной индукции. Вихревое электрическое поле, порождаемое изменяющимся магнитным полем, также имеет замкнутые силовые линии.
Идеи Фарадея об электрическом и магнитном полях оказали большое влияние на развитие всей физики. В 1832 году Фарадей высказал мысль о том, что распространение электромагнитных взаимодействий есть волновой процесс, происходящий с конечной скоростью.
1.4 Исследование положений Фарадея о превращении магнетизма в электричество и электричества в магнетизм
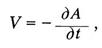
Талантливый экспериментатор, наделённый научной интуицией, Фарадей поставил ряд опытов, в которых были открыты фундаментальные физические законы и явления. Ознакомившись с работой Х. Эрстеда об отклонении магнитной стрелки вблизи проводника с током (1820), Ф. занялся исследованием связи между электрическим и магнитными явлениями и в 1821году впервые обнаружил вращение магнита вокруг проводника с током и вращение проводника с током вокруг магнита. В течение последующих 10 лет Фарадей пытался "превратить магнетизм в электричество"; его исследования завершились в 1831году открытием индукции электромагнитной. Он детально изучил явление электромагнитной индукции, вывел её основной закон, выяснил зависимость индукционного тока от магнитных свойств среды, исследовал явление самоиндукции и экстратоки замыкания и размыкания. Открытие явления электромагнитной индукции сразу же приобрело огромное научное и практическое значение; оно легло в основу электротехники.
Работам Фарадея в области электричества положило начало исследование так называемых электромагнитных вращений. Из серии опытов Эрстеда, Араго, Био, Савара, проведенных в 1820 г., стало известно не только об электромагнетизме, но и о своеобразии взаимодействий тока и магнита: здесь действовали не привычные для классической механики центральные силы, а силы иные, стремившиеся установить магнитную стрелку перпендикулярно проводнику. Фарадей поставил перед собой вопрос: не стремится ли магнит к непрерывному движению вокруг проводника с током? Опыт подтвердил гипотезу.
В 1821 году Фарадей дал описание физического прибора. В левом сосуде с ртутью находился стержневой постоянный магнит, закрепленный шарнирно в нижней части. При включении тока его верхняя часть вращалась вокруг неподвижного проводника. В правом сосуде стержень магнита был неподвижен, а проводник с током, свободно подвешенный на кронштейне, скользил по ртути, совершая вращение вокруг полюса магнита. Это было первое электромагнитное устройство с непрерывным движением. Именно с этого момента, судя по всему, у Фарадея начинают складываться представления о всеобщей ''взаимопревращаемости сил''. Получив при помощи электромагнетизма непрерывное механическое движение, он ставит перед собой задачу обратить явление или, по терминологии Фарадея, превратить магнетизм в электричество.
Схема прибора изображена на рис. 9. В левом сосуде с ртутью находился постоянный магнит, закрепленный шарнирно в нижней части. В сосуд опускался неподвижный проводник, и при включении тока верхняя часть магнита начинала вращаться вокруг проводника. В правом сосуде стержень был неподвижен, а проводник с током,свободно подвешенный на кронштейне, скользил по ртути, совершая вращение вокруг полюса магнита.

Рис.9. Схема "электромагнитных вращений" (по рисунку Фарадея): 1,2 — чаши с ртутью; 3 — подвижный магнит; 4 — неподвижный магнит; 5, 6 — провода, идущие к батарее; 7 — медный стержень; 8 — неподвижный проводник; 9 — подвижный проводник.
Это явление было названо "эффектом электромагнитных вращений"; таким образом, Фарадей впервые показал возможность построения электрического двигателя и опубликовал в журнале Королевского общества статью "О новых электромагнитных движениях".
В качестве примера, характеризующего ход мыслей ученого и формирование его представлений об электромагнитном поле, рассмотрим явление, получившее тогда название ''магнетизма вращения''. За много лет до работ Фарадея мореплаватели заметили тормозящее влияние медного корпуса компаса на колебания магнитной стрелки. В 1824 году Араго описал это явление, но ни он, ни другие физики объяснить явление ''магнетизма вращения'' не могли. Сущность явления состояла в следующем. Подковообразный магнит мог вращаться вокруг вертикальной оси, а над его полюсами находился алюминевый диск, который также мог вращаться на оси, совпадающей по направлению с осью вращения магнита. В состоянии покоя никаких взаимодействий между диском и магнитом не наблюдалось. Но стоило начать вращать магнит, как диск устремлялся вслед за ним и наоборот. Чтобы исключить возможность увлечения диска потоками воздуха, магнит и диск были разделены стеклом. Открытие электромагнитной индукции помогло Фарадею объяснить явление Араго и уже в самом начале исследования записать: ''Я надеялся сделать из опыта господина Араго новый источник электричества'' Только абсолютная убежденность в справедливости гипотезы ''взаимопревращаемости'' может объяснить целеустремленность и настойчивость Фарадея. Прошло целых семь лет, пока Фарадей, и никто другой, сумел объяснить "загадку" Араго. Но прежде он должен добиться "превращения магнетизма в электричество". 29 августа 1831 г. — памятный день не только в жизни Фарадея, но и в истории науки. Из рисунков в лабораторном журнале видна последовательность его заключительных экспериментов, приведших к величайшему открытию.
На деревянную катушку 4 (рис. 10, а) была намотана медная проволока 1, а между ее витками наматывалась вторая проволока 2, изолированная от первой хлопчатобумажной нитью. Одна из спиралей соединялась с гальванической батареей 3, другая с гальванометром 5. При замыкании и размыкании цепи стрелка гальванометра слабо отклонялась. Но (и это очень важное наблюдение) если ток проходил по первой спирали непрерывно, стрелка гальванометра оставалась неподвижной. Было очевидно, что в первом случае во вторичной цепи возникал ток. Но почему он появлялся только при замыкании или размыкании цепи, то есть при возникновении "магнитных сил" вокруг проводника или при их исчезновении? Чтобы выяснить свойства тока, индуктированного во вторичной цепи, Фарадей поместил внутрь вторичной обмотки стальную иглу 8 (рис. 10, 6) и убедился, что она намагничивается.
Следовательно, возникший ток обладал теми же свойствами, что и ток, полученный от батареи. Эти явления Фарадей назвал "вольтаэлектрической индукцией".

Рис.10. Схема основных опытов при открытии электромагнитной индукции (по рисункам Фарадея).
Но почему гальванометр отклоняется только при замыкании и размыкании цепи? На этот вопрос в наши дни может легко ответить любой старшеклассник, а великий экспериментатор оставался наедине со своими сомнениями. Подозревая, что взаимодействие двух обмоток осуществляется через окружающую среду, он заменил деревянную катушку железным кольцом 1 (рис. 10, г). И оказалось, что стрелка гальванометра отклонялась на больший угол, то есть окружающая проводник с током среда действовала сильнее, когда воздух заменяло железное кольцо, легко намагничивающееся током. Так Фарадей пришел к одному из самых фундаментальных своих открытий — установлению активной роли среды, окружающей спирали,; то есть магнитного поля. Заметим, кстати, что в опыте с железным кольцом и двумя спиралями можно увидеть прообраз простейшего трансформатора (Рис. 12).
Но Фарадей знал, что магнитное состояние среды можно изменить и без электрического тока с помощью обычных стержневых постоянных магнитов. Он расположил два постоянных магнита (рис. 10, д) так, что при поднятии и опускании их полюсов исчезает и возникает магнитное поле вокруг катушки. При этом стрелка гальванометра заметно отклоняется. Это явление Фарадей назвал "магнитоэлектрической индукцией". Ввиду того, что между "вольтаэлектрической" и "магнитоэлектрической" индукцией принципиальной разницы не было, позднее оба эти явления были объединены Фарадеем термином "электромагнитная индукция". Два заключительных эксперимента (рис. 2, е-ж) демонстрировали появление тока при движении внутри соленоида постоянного магнита или катушки с током. При этом особенно наглядно демонстрировалась возможность "превращения магнетизма в электричество" — гениальная гипотеза ученого была убедительно подтверждена!А через несколько дней Фарадей осуществил еще один эксперимент, с помощью которого наглядно объяснил явление Араго: при вращении магнита в медном диске наводились индуктированные токи и они, взаимодействия с полюсами магнита, вызывали вращение диска.
Но Фарадей не был бы Фарадеем, если бы не предложил использовать это явление на практике. Он писал: "Получив электричество из магнетизма вышеописанным образом, я полагаю, что опыт г-на Араго может стать новым источником получения электричества, и я надеялся, что... мне удастся сконструировать электрическую машину". Ученый принес в лабораторию большой подковообразный электромагнит (хранящийся до сих пор в музее Лондонского Королевского общества), прикрепил к полюсам магнита "два стальных бруска", а в промежуток между ними ввел край медного диска. Край диска и его ось были соединены посредством щеток с гальванометром (рис. 11). При вращении диска в нем возникал ток. Так была создана электрическая машина, позднее получившая название "униполярный генератор".

Рис.11. Схема униполярного генератора (по рисунку Фарадея).
При объяснении возникновения тока в диске машины Фарадей вводит понятие "магнитных силовых линий", при пересечении которых возбуждается ток. "Эти линии магнитных сил, — писал Фарадей, — становятся доступными нашему зрению, когда мы рассматриваем расположение железных опилок вокруг полюса магнита". Так удивительно образно сумел он описать сложное физическое явление.
В августе 1831 г. был сделан решающий опыт, а 24 ноября на заседании в Королевском обществе была изложена сущность явления электромагнитной индукции. Семнадцатого октября 1831 г. Майкл Фарадей открыл явление электромагнитной индукции. Это был хорошо подготовленный и заранее продуманный опыт. Вот как об этом писал Фарадей: ''Я взял цилиндрический магнитный брусок и ввел один его конец в просвет спирали из медной проволоки, соединенной с гальванометром. Потом я быстрым движением втолкнул магнит внутрь спирали на всю его длину, и стрелка гальванометра испытала толчок. Затем я так же быстро вытащил магнит из спирали, и стрелка опять качнулась, но в противоположную сторону. Эти качания стрелки повторялись всякий раз, как магнит вталкивался или выталкивался. Это значит, что электрическая волна возникает только при движении магнита, а не в силу свойств, присущих ему в покое''.
Вслед за открытием электромагнитной индукции Фарадей проверяет новую идею. Если движение магнита относительно проводника создает электричество, то, видимо, движение проводника относительно магнита должно приводить к такому же результату. Значит, есть возможность создать генератор электрического тока, обеспечив непрерывное относительное движение проводника и магнита. Фарадей быстро строит и испытывает новое устройство: между полюсами подковообразного магнита вращается медный диск, с которого при помощи скользящих контактов (один на оси, другой на периферии) снимается напряжение. Это был первый генератор электрического тока!
![]() |
![]() |
| Этот аппарат показывал напряжение вызванное в катушке. | Первый трансформатор |
Рис. 12. Первый генератор электрического тока Фарадея
С ноября 1831 г. Фарадей начал систематически печатать свои ''Экспериментальные исследования по электричеству'', составившие 30 серий более чем из 3000 параграфов. Первая серия посвящена электромагнитной индукции; последняя - законам намагничивания (1855 г.). В этих сериях отражена двадцатичетырехлетняя работа Фарадея, в них жизнь, мысли и воззрения ученого.
Фарадей высказал новые, оправдавшиеся в дальнейшем идеи о природе тока и магнетизма, о механизме проводимости в различных средах и др. Он доказал тождество различных видов электричества: полученного от трения, "животного", "магнитного" и др.
Роль Фарадея в человеческой цивилизации совершенно уникальна. До него ученые - естествоиспытатели исследовали круг явлений, известных из повседневного опыта и воспринимаемых каким-либо из пяти органов чувств человека. Фарадей же открыл новый вид материи, органами чувств не воспринимаемый - электоромагнитное поле, положив новые пути развития науки и техники. Не зря говорят: "Гений творит то, что должен".
Джозеф Генри – человек, которого не признали современники, - решал проблему получения электричества с помощью магнитного поля. Он пришел к выводу, что вызвать электрический ток в замкнутом витке проводника можно, если магнит перемещать возле провода. Далее, создав магнитное поле, он, меняя ток, заставил колебаться и магнитное поле. В другом проводе, находящемся в переменном магнитном поле, индуцировался ток. Генри оттягивал публикацию, пытаясь накопить побольше фактов, и... в мае 1832 года он прочел в журнале:
"17 февраля. Господин Фарадей сделал отчет (в Королевском обществе) о первых двух разделах его исследований в области электричества, а именно, о вольто-электрической и магнитно-электрической индукции...
Если перемещать магнит вблизи проводника, не подключенного к источнику электрической энергии, то в последнем индуцируется электрический ток, который легко обнаружить".
Опыты, на основании которых Фарадей подготовил статью, были проведены несколькими месяцами раньше, а Генри... трудился над этой проблемой многие годы и был обойден заслуженной им славой по своей вине. Слава, таким образом, пришла к Майклу Фарадею, чье имя увековечено в двух физических единицах, что крайне редко: единица электролитической емкости – "фарада" - и число, определяющее величину электрического заряда в электролите, переносящего одну грамм-молекулу вещества, - "число Фарадея".
Было еще одно обстоятельство, которое способствовало тому, что легко и просто донесло до читателей (естественно, ученых) суть изложенного Фарадеем материала. Он много внимания уделил тому, чтобы статья читалась легко, была привлекательной по стилю.
К сожалению, не только наши ученые иногда присылают "вымученные" статьи, которые вряд ли заинтересуют кого-либо. Вот исторический пример.
Когда Гельмгольц свою статью о скорости распространения нервного возбуждения направил для рассмотрения товарищу, Дюбуа Реймон ответил:
"Твоя работа – я это говорю с гордостью и горечью – здесь в Берлине понята и оценена только мною. Ты изложил сущность дела (не обижайся на меня) так непоследовательно и туманно, что твоя работа может служить лишь пособием к разгадке метода исследования".
Гельмгольц учел критику друга и впоследствии не раз переписывал статьи, чтобы довести их до совершенства.
Долгое время ученым не удавалось обнаружить связь между магнитным полем и электрическим током. Именно движущийся магнит, или меняющееся во времени магнитное поле, может возбудить электрический ток в катушке.
Эту же задачу решал в то же самое время швейцарский физик Колладон. Чтобы магнит не воздействовал на стрелку гальванометра, концы катушки, в которую Колладон вдвигал магнит, он вывел в другую комнату, куда ему приходилось выходить для проведения эксперимента. Но, вставив магнит в катушку, перейдя в другую комнату, он убеждался, что стрелка "мертва". Так было утеряно великое открытие. И в этом случае Фарадею "повезло". В течение одного месяца он, ставя опыты, сделал целый ряд открытий особенностей электромагнитной индукции.
Благодаря блестящему таланту и великому трудолюбию М.Фарадей сделал так много открытий, изменивших человеческую жизнь. В этом его великая заслуга и роль.
Трудно удержаться от перечисления всех великих открытий Фарадея. Здесь и диа- и парамагнетизм, и вращение плоскости поляризации света в магнитном поле, и магнитная анизотропия, и постановка вопроса о влиянии магнитного поля па излучение, и исследование электрического разряда в газе и многое другое. Но совершенно невозможно не упомянуть еще об одной стороне деятельности Фарадея - стремлении доводить результаты научных исследований до применения их на практике.
Глава 2. Исследование электродинамики Фарадея-Максвелла
2.1 Роль Фарадея в развитие электродинамики и электромагнетизма
Открытие датским естествоиспытателем Эрстедом действия замкнутого на батарею проводника на магнитную стрелку послужило отправной точкой для исследований Фарадея, ставших главным делом его жизни. Современников поразило, что сила, действующая на стрелку компаса, поворачивалась не по направлению к проводнику, а перпендикулярно ему. Фарадей пошел дальше: он сконструировал прибор с ртутными контактами и заставил вращаться проводник вокруг магнита, а незакрепленный конец магнита ("полюс") - вокруг тока. Уже в этой работе, написанной в сентябре 1821 года, содержались в зародыше многие развитые им в последствии идеи.
Тогда же у Фарадея возникло желание получить обратный эффект - "превратить магнетизм в электричество". Подобные попытки предпринимали также Френель, Ампер, Де ля Рив и др... Но даже в тех случаях, когда индукционные эффекты наблюдались, они либо не были правильно поняты, либо сочтены случайными.
Первые научные работы Фарадея относятся к химии. Они обратили на себя внимание европейских химиков и сделали его имя широко известным Д.И.Менделеев в своих знаменитых "Основах химии" неоднократно упоминает имя Фарадея. Он цитирует его характеристику пламени, воспроизводит описание его опыта по анализу пламени свечи, неоднократно упоминает его результаты в области сжижения газов и его закон электролиза. Менделеев сочувственно упоминает о фарадеевском понимании электрического тока как переносчика химического движения. В истории химии Фарадей занимает видное место.
Всемирную славу Фарадею принесли его электрические исследования. Открытие Эрстеда взволновало ученых Королевского института. Дэви и Волластон не только повторили его опыты, но и придумали новые демонстрации взаимодействия токов и магнитов, Фарадей, заинтересовавшись новым открытием, тщательно изучил литературу по этому вопросу и выступил в 1821—1822 гг. со статьей "Опыт истории электромагнетизма". Статья Эрстеда подсказывала мысль о наличии вращения вокруг тока. Идею электромагнитного вращения высказал Волластон.
Фарадей, придя к ней самостоятельно, стал думать о том, как экспериментально обнаружить его. Ему удалось обеспечить действие тока лишь на один из полюсов магнита и с помощью ртутного контакта осуществить непрерывное вращение магнита вокруг проводника с током.
Этот первый электродвигатель заработал у Фарадея в декабре 1821 г. Тогда же Фарадей записал в своем дневнике задачу: превратить магнетизм в электричество. Решение этой задачи потребовало около десяти лет. С ноября 1831 г. Фарадей начал систематическую публикацию своих исследований по электричеству, составивших трехтомный труд под заглавием "Экспериментальные исследования по электричеству".
В первой серии, датированной 24 ноября 1831 г. и содержащей разделы:
· об индукции электрических токов,
· об образовании электричества и магнетизма,
· о новом электрическом состоянии материи,
· объяснение магнитных явлений Араго,- описаны основные опыты Фарадея по электромагнитной индукции.
В первом опыте, с помощью которого и было открыто новое явление, Фарадей использовал деревянный цилиндр, на который были намотаны две изолированные друг от друга обмотки. Одна из них была соединена с гальванической батареей, другая - с гальванометром. При замыкании и размыкании тока в первой обмотке стрелка гальванометра во второй обмотке отклонялась при замыкании тока в одну сторону, при размыкании в противоположную. Действие одной цепи электрического тока на другую фарадей назвал вольта-электрической индукцией. Вольта-электрическая индукция усиливалась, если внутрь обмотки помещали железо, фарадей устроил индукционный прибор в виде железного кольца (тора), на которое были намотаны две изолированные обмотки — первичная с источником тока и вторичная с гальванометром. Кольцо фарадея было первой моделью трансформатора.
Затем Фарадей получил индукционные действия с помощью обыкновенных магнитов. Явления эти Фарадей назвал магнитоэлектрической индукцией. Фарадей считал, что проводник, подвергающийся индукционному воздействию со стороны другого тока или магнита, находится в особом состоянии, которое он назвал электротоническим. Это название не удержалось в науке, но именно отсюда началось исследование фарадеем роли среды в электромагнитных взаимодействиях.
Существенно, что Фарадей, отмечая переменный характер процесса индукции, говорит об "индуцированной волне электричества". Несколькими месяцами позже, 12 марта 1832 г., он фиксировал результат своих наблюдений над временным характером индукционных явлений в специальном письме, озаглавленном "Новые воззрения, подлежащие в настоящее время хранению в запечатанном конверте в архивах Королевского общества".
В этом замечательном письме, обнаруженном в архивах лишь спустя 106 лет, т. е. в 1938 г., содержится совершенно определенный вывод, "что на распространение магнитного взаимодействия требуется время", что действие одного магнита на другой "распространяется от магнитных тел постепенно и для своего распространения требует определенного времени". фарадей указывает, "что электрическая индукция распространяется точно таким же образом", и считает "возможным применить теорию колебаний к распространению электрической индукции". Процесс распространения индукции похож "на колебания взволнованной водной поверхности или же на звуковые колебания частиц воздуха". Фарадей пишет, что он хотел бы проверить свои идеи экспериментально, но ввиду занятости решил передать свое письмо на хранение, чтобы закрепить за собой открытие фиксированной датой. Он указывает, что "в настоящее время, насколько мне известно, никто из ученых, кроме меня, не имеет подобных взглядов".
Поразительна интуиция Фарадея, позволившая ему вскоре после открытия электромагнитной индукции прийти к идее электромагнитных волн. Он совершенно прав, считая эту идею чрезвычайно важной и утверждая свой приоритет в специальном письме, датированном точной датой.
Вполне понятны заботы Фарадея о приоритете. В конце раздела "Об электротоническом состоянии" он упоминает о претензиях на приоритет в открытии индукции со стороны Френеля и Ампера. К открытию независимо от фарадея пришел и Генри. После публикации фарадея многие физики осознали, что они наблюдали в своих экспериментах по магнитному действию токов аналогичные явления. Открытие "носилось в воздухе". В истории науки действует закон созревания открытий: наступает время, когда открытие должно быть сделано, оно созрело. Так было с законом тяготения, с открытием математического анализа, так было и с законом индукции.
В последнем разделе первой серии Фарадей объясняет явление, открытое Араго. Магнитная стрелка, помещенная под плоскостью медного диска, приходит во вращение, когда диск вращается. Точно так же при вращении магнита приходит во вращение подвешенный над ним медный диск, фарадей объяснил это открытое Араго загадочное явление действием электромагнитной индукции и указал, что эффект Араго дает возможность получить "новый источник электричества". Между полюсами магнита вращался медный диск. Скользящие контакты у периферии и центра диска отводили генерируемый при вращении диска ток к цепи, содержащей гальванометр. "Этим было показано, - пишет Фарадей, - что можно создать постоянный ток электричества при помощи обыкновенных магнитов", Фарадей в этом опыте сконструировал униполярную динамо-машину. Варьируя опыты с получением индукционного тока вращением проводников или магнитов, Фарадей приходит к важному выводу: "Все эти результаты,- пишет он, - доказывают, что способность индуцировать токи проявляется по окружности вокруг магнитной равнодействующей или силовой оси точно так, как расположенный по окружности магнетизм возникает вокруг электрического тока и им обнаруживается". Установленную фарадеем связь Максвелл позднее выразил математически.

Рис. 13. Электромагнитное вращение. Рисунок Фарадея
Установленный Фарадеем факт, что электродвижущая сила индукции возникает при изменении магнитного потока (замыкании, размыкании, изменении тока в индуцирующих проводниках, приближении и удалении магнита и т. д.), Максвелл выразил равенством:

Здесь ε — электродвижущая сила индукции, Ф — магнитный поток, охватываемый проводником, в котором индуцируется ток. Фарадей говорит о том, что способность индуцировать токи "проявляется по окружности вокруг магнитной равнодействующей". Это, как показал Максвелл, означает, что переменное магнитное поле окружено вихревым электрическим полем. В векторной форме закон, открытый Фарадеем, выражается уравнением:
![]()
Знак минус, поставленный в равенствах (1) и (1'), соответствует правилу, установленному петербургским академиком Э. X. Ленцем.
В 1846 г. франц Нейман (1798-1895) нашел выражение закона индукции в следующем виде:
V=-δA/dt
где знак минус показывает, что на создание индукционного тока надо затратить энергию.
Фарадей продолжал изучение электромагнитной индукции во второй серии своих "Экспериментальных исследований" (январь 1832 г.).
В третьей серии (январь 1833 г.) Фарадей кладет конец спору о различных видах электричества: обыкновенном, гальваническом, животном, индукционном.
Рядом опытов он показывает, что все виды электричества тождественны между собой, различаясь только знаком. Исследуя действия, производимые обыкновенным, гальваническим, магнитным, термическим и животным электричеством, Фарадей приходит к фундаментальному заключению: "Отдельные виды электричества тождественны по своей природе, каков бы ни был их источник".
В июне 1833 г. появилась пятая серия "Экспериментальных исследований", посвященная явлениям электролиза.
В этой серии, а также в последующих - шестой, седьмой и восьмой - сериях Фарадей занимается изучением химических действий тока.

Рис. 14. Опыт по электромагнитной индукции. Рисунок Фарадея
Химические действия тока были открыты сразу после изобретения вольтова столба. Дэви открыл электролитическим разложением щелочные металлы. Иоганн Риттер обнаружил поляризацию гальванического элемента. Пропуская ток через подкисленную воду, он установил, что электроды, опущенные в электролит и отключенные от источника, снова дают после их соединения проводником электрохимическое разложение, но в обратном направлении. Так был открыт аккумулятор.

Рис. 15. Униполярная машина. Рисунок Фарадея
Прибалтийский ученый Кристиан Гротгус (1785—1822) впервые пытался представить механизм электролиза посредством цепочек полярно заряженных молекул.
В пятой серии Фарадей формулирует точный закон электролиза: "Что бы собой ни представляло разлагаемое вещество: воду, растворы солей, кислоты, расплавленные тела и т. д., - для одного и того же количества электричества сумма электрохимических действий есть также величина постоянная, т. е. она всегда эквивалентна стандартному химическому действию, основанному на обычном химическом сродстве"
В седьмой серии Фарадей формулирует этот закон более сжато:
"Химическое действие электрического тока прямо пропорционально абсолютному количеству проходящего электричества".
Фарадей вводит новую терминологию, ныне общеупотребительную. Электроды, подводящие ток к разлагаемому раствору, он называет анодом и катодом. Разложимые вещества он называет электролитами, вещества, на которые разлагаются электролиты, - ионами, а именно анионами и катионами, смотря по тому, где отлагается вещество - у анода или катода.
"Числа, соответствующие весовым количествам, в которых они выделяются, я называю электрохимическими эквивалентами".
Фарадей устанавливает важный факт, что для выделения любого вещества в количестве, равном его электрохимическому эквиваленту, требуется одно и то же количество электричества. Эта величина играет важную роль в современной физике, являясь одной из основных физических констант, и называется "число фарадея". Фарадей связывает этот факт с основными представлениями химии. Он пишет:
"Согласно этой теории эквивалентные веса тел представляют собой такие количества их, которые содержат равные количества электричества... Иначе если принять атомную теорию и соответствующие ей выражения, то атомы тел, эквивалентные друг другу в отношении их обычного химического действия, содержат равные количества электричества, естественно связанного с ними".
Таким образом, Фарадей приходит к представлению о некотором элементарном заряде, связанном с атомами вещества. Он указывает, что "атомы материи каким-то образом одарены электрическими силами или связаны с ними и им они обязаны своими наиболее замечательными качествами, и в том числе своим химическим сродством друг к другу".
Все это позволяет высказать утверждение, что Фарадей является основателем электронной теории вещества, впервые высказавшим мысль о дискретности электричества, об элементарном электрическом заряде. Тринадцатый раздел седьмой серии, в котором содержатся эти глубокие мысли, называется "Об абсолютном количестве электричества, связанном с частицами или атомами материи". Это название говорит само за себя.
В девятой серии, озаглавленной "Об индуктивном влиянии электрического тока на самого себя и об индуктивном действии электрических токов вообще", Фарадей описывает явление самоиндукции. Это явление было открыто независимо друг от друга американцем Генри и англичанином Дженкиным. Фарадей упоминает только о последнем, очевидно, не зная об открытии Генри. Современная физика увековечила приоритет Генри, присвоив единице индуктивности название генри.
Фарадей описывает экспериментальную установку, посредством которой и доныне демонстрируют на лекциях явление самоиндукции. Он констатирует, что самоиндукция аналогична инерции в механике, указывает, что индуктивность проводника зависит от его формы и особенно возрастает, если проводник свернуть в спираль. Все это заставляет его еще раз вернуться к идее электротонического состояния и к исследованию связи между электрическими и магнитными силами. Мысль Фарадея неустанно обращается к пространству, окружающему проводники, и в его уме постепенно вызревает глубокая идея поля.
В одиннадцатой серии Фарадей подробно исследует диэлектрические свойства веществ, вводя для их характеристик особое число, которое он называет удельной индукцией или удельной индуктивной способностью. Эту величину позже назвали диэлектрической постоянной, а ныне называют диэлектрической проницаемостью. Исследование диэлектриков вновь подводит Фарадея к мысли о существовании роли среды в электрических взаимодействиях, которые как бы разливаются в окружающем пространстве по кривым линиям. Это последнее обстоятельство особенно подчеркивает фарадей, считая, что оно противоречит картине действия на расстоянии, принятой сторонниками мгновенного дальнодействия.
От опытов с диэлектриками Фарадей переходит к исследованию электрического разряда в газах. Он описывает различные формы разряда в газах при атмосферном давлении и в разреженном состоянии. В последнем случае Фарадею удалось обнаружить темное пространство, разделяющее, области свечения у катода и у анода. Это темное пространство ныне называется Фарадеевым. Так Фарадей положил начало детальному изучению разрядов в газах, той области физики, которую он сам считал важной и из которой в дальнейшем историческом развитии возникли электроника, рентгенофизика, радиоактивность.

Рис. 16. Рисунок Фарадея по электролизу
В шестнадцатой и семнадцатой сериях "Экспериментальных исследований по электричеству" Фарадей рассматривает спор между сторонниками контактной теории источника электрического тока и сторонниками химической теории. Контактная теория, ведущая свое происхождение от Вольты, "находит источник мощности в контакте" разнородных проводников, а химическая - "в химической силе", как выражается Фарадей, или в химической энергии, как бы сказали мы. Свое мнение Фарадей - он является сторонником химической теории - обосновывает многочисленными соображениями и экспериментальными фактами. В качестве окончательного вывода он прямо указывает, что "контактная теория допускает, что сила... может будто бы возникнуть из ничего, что без всякого изменения действующей материи и без расхода какой-либо производящей силы может производиться ток, который будет вечно идти против постоянного сопротивления...". "Это было бы поистине сотворением силы, — продолжает Фарадей, — и это не похоже ни на какую другую силу в природе".
Эти слова были написаны в январе 1840 г., когда закон сохранения энергии еще не был открыт, но фарадей пишет так, как будто ему этот закон известен. Более того, он ясно представляет картину превращения энергии из одного вида в другой. "Мы имеем много процессов, — пишет он, — при которых форма силы может претерпеть такие изменения, что происходит явное превращение ее в другую. Так мы можем превратить химическую силу в электрический ток или ток в химическую силу. Прекрасные опыты Зеебека и Пельтье показывают взаимную превращаемость теплоты и электричества, а опыты Эрстеда и мои собственные показывают взаимную превращаемость электричества в магнетизм. Но ни в одном случае, даже с электрическим угрем и скатом, нет чистого сотворения силы; нет производства силы без соответствующего израсходования чего-либо, что питает ее".
Этот 2071-й параграф семнадцатой серии, датированный 29 декабря 1839 г., представляет по сути дела законченную качественную формулировку закона сохранения и превращения энергии. Мысли, высказанные здесь Фарадеем, очень близки воззрениям Энгельса на закон сохранения энергии. Энгельс подчеркивает в законе именно превращаемость форм энергии, фарадей на собственном опыте осознал эту сторону закона. Он "превратил магнетизм в электричество", исследовал химические превращения в электрической цепи, он, наконец, искал превращения света в магнетизм, тяготения — в электричество и магнетизм. Читая летом 1834 года популярные лекции о взаимоотношении электрических и магнитных явлений, он последнюю, шестую лекцию посвятил вопросу о взаимоотношении "химического сродства, электричества, теплоты, магнетизма и других сил материи".
Эта философская установка Фарадея в значительной степени способствовала его научным достижениям. Он открыл электромагнитную индукцию не случайно, он напряженно искал ее десять лет. Осенью 1845 г. он открывает магнитное вращение плоскости поляризации, получившее в науке название эффекта фарадея. Этот тонкий эффект опять-таки не был случайным открытием.
Девятнадцатую серию, посвященную эффекту Фарадея, он открывает следующим признанием: "Я давно уже придерживался мнения — и оно почти достигло степени убеждения — ... что различные формы, в которых проявляются силы материи, имеют общее происхождение, или, другими словами, настолько близко родственны друг другу и взаимно зависимы, что они могут, как бы превращаться друг в друга, и обладают в своем действии эквивалентами силы", фарадей сообщает, что он давно и безуспешно пытался "открыть прямую связь между светом и электричеством" и что "в конце концов мне удалось намагнитить и наэлектризовать луч света и осветить магнитную силовую линию". Далее он описывает свои опыты по вращению плоскости поляризации света магнитным полем.
Фундаментальная идея о взаимосвязи, взаимопревращаемости различных сил природы дополнялась у Фарадея другой фундаментальной идеей об активной роли среды, в том числе и пустого пространства, в физических процессах. В двадцатой серии он описывает влияние магнитного поля на различные среды и находит диамагнетизм и парамагнетизм (термины введены Фарадеем).
Тщательное изучение электрических и магнитных свойств вещества в конце концов привело Фарадея к установлению фундаментальной новой идеи, идеи поля. Фарадей разработал экспериментальную методику исследования магнитного поля с помощью пробной катушки и баллистического гальванометра. Он ввел метод изображения магнитного поля с помощью силовых линий. Он писал в 1851 г.: "Я..., изучая отношение вакуума к магнитной силе и общий характер магнитных явлений, протекающих вне магнита, больше склоняюсь к мысли, что передача силы представляет собой именно такое явление, протекающее вне магнита; я считаю невероятным, что эти явления представляют собой простое притяжение и отталкивание на расстоянии". Следует отметить, что современники Фарадея предпочитали идею "простого притяжения и отталкивания на расстоянии".
Слишком осязательны были успехи Ньютона, формула закона тяготения, которого так блестяще оправдалась в небесной механике. Напоминающие эту формулу законы Кулона дали возможность развить математическую теорию электростатики и магнитостатики. Амперу удалось включить в эту схему и электромагнетизм. Теперь оставалось так обобщить закон Ампера, чтобы он включил в себя и индукционные процессы, открытые и изученные Фарадеем. Эту задачу поставил перед собой Вильгельм Вебер (1802-1891), которому в конце концов удалось найти формулу взаимодействия заряженных электрических частиц (1846). Однако в эту формулу входили не только заряды взаимодействующих частиц и их положения, но также их относительная скорость и ускорение, что делало ее совсем непохожей на законы Ньютона и Кулона и сложной для расчетов.
Фарадей же вообще отказался от концепции действия на расстоянии и ввел в физику совершенно новый объект — физическое поле. "При этой точке зрения на магнит, — писал Фарадей в 1852 г.,- среда или пространство, его окружающие, играют столь же существенную роль, как и самый магнит, будучи частью настоящей и полной магнитной системы". Для Фарадея поле — это то, что излучается, распространяется с конечной скоростью в пространстве, взаимодействует с веществом. Примером такого поля является излучение Солнца. "В этом случае лучи (которые представляют собой силовые линии) проходят через промежуточное пространство; но здесь мы можем оказывать на эти линии действие при помощи различных сред, расположенных на их пути. Мы можем изменить их направление посредством отражения или преломления; мы можем заставить их идти по криволинейным или ломаным путям. Мы можем отрезать их от их источника и затем искать их и найти, прежде чем они достигнут своей конечной цели. Они связаны с временем и требуют 8 минут, чтобы пройти от Солнца до Земли; таким образом, они могут существовать независимо и от своего источника и от места, в которое в конце концов приходят. Таким образом, они имеют ясно различимое физическое существование".
Такова концепция поля, к которой Фарадей пришел в результате длительного научного пути и первоначальный набросок которой он дал в своем запечатанном письме 1832 г. С Фарадеем в физику наряду с частицами вещества вошла и новая форма материи — поле, излучаемое и поглощаемое частицами и распространяющееся в пространстве с конечной скоростью. Математически эта идея была разработана гениальным преемником Фарадея Джемсом Клерком Максвеллом.
2.2 Модельное представление об электромагнитных процессах
В развитой науке теоретические схемы вначале строятся как гипотетические модели. Такое построение осуществляется за счет использования абстрактных объектов, ранее сформированных в сфере теоретического знания и применяемых в качестве строительного материала при создании новой модели.
Только на ранних стадиях научного исследования, когда осуществляется переход от преимущественно эмпирического изучения объектов к их теоретическому освоению, конструкты теоретических моделей создаются путем непосредственной схематизации опыта. Но затем они используются в функции средств для построения новых теоретических моделей, и этот способ начинает доминировать в науке. Прежний же метод сохраняется только в рудиментарной форме, а его сфера действия оказывается резко суженной. Он используется главным образом в тех ситуациях, когда наука сталкивается с объектами, для теоретического освоения которых еще не выработано достаточных средств. Тогда объекты начинают изучаться экспериментальным путем, и на этой основе постепенно формируются необходимые идеализации как средства для построения первых теоретических моделей в новой области исследования. Примером таких ситуаций могут служить ранние стадии становления теории электричества, когда физика формировала исходные понятия - "проводник", "изолятор", "электрический заряд" и т. д. - и тем самым создавала условия для построения первых теоретических схем, объясняющих электрические явления.
Большинство теоретических схем науки конструируются не за счет прямой схематизации опыта, а методом трансляции уже созданных абстрактных объектов. Чтобы выявить эту специфику построения теоретических моделей, обратимся к конкретному материалу истории физики.
Одним из важных этапов становления классической электродинамики было открытие Фарадеем явления электромагнитной индукции.
Многочисленные эксперименты по изучению этого явления (опыты с магнитом, который при движении относительно замкнутого провода порождал в нем индукционный ток; аналогичные опыты с соленоидами и проводами различной конфигурации, опыт Араго и т. д.) были объяснены Фарадеем в рамках закона индукции. Согласно этому закону, когда проводящее вещество, движущееся относительно потока магнитных силовых линий, пересекает его, то в проводящем веществе возникает электродвижущая сила (э. д. с.).
Данный закон выражал корреляции между абстрактными объектами теоретической схемы, которая характеризовала электромагнитную индукцию через отношение абстрактных объектов "магнитные силовые линии" и "проводящее вещество". Эти объекты не содержались внутри эмпирических схем индукции, а были перенесены из других областей теоретического знания.
Фарадей заимствовал конструкт "магнитные силовые линии" из смежной области теоретического знания, которая была введена для объяснения опытов магнитостатики (исследование возможных ориентаций миниатюрных магнитных стрелок в поле действия постоянных магнитов и токов). Другой же абстрактный объект — "проводящее вещество" — был перенесен им из области знаний о токе проводимости. Эти объекты были "погружены" в новую систему отношений, благодаря чему приобрели новые признаки.
Конструкт "магнитные силовые линии" приобрел признак "вызывать электродвижущую силу (э. д. с.) в проводящем веществе" (тогда как раньше, в знаниях магнитостатики, он определялся только по признаку воздействия на пробный магнит). Конструкт "проводящее вещество", который ранее репрезентировал только свойства проводников, связанные с действием тока проводимости, оказался наделенным новым признаком - "возникновением в проводнике э. д. с. индукции". Наделение данных конструктов новыми признаками означало перестройку прежних абстрактных объектов, поскольку каждый из них определялся только как носитель некоторых жестко фиксированных признаков. Таким путем наука сформировала первоначальный вариант теоретической схемы электромагнитной индукции.
При построении фарадеевской модели индукции, которая создавалась для объяснения уже осуществленных экспериментов, обнаруживших явление электромагнитной индукции, важнейшую роль как в выборе абстрактных объектов, так в нахождении их связей сыграла развиваемая Фарадеем картина физической реальности. В ней все электрические и магнитные процессы рассматривались как проявление некоторой единой сущности, а центр тяжести анализа этих процессов переносился с зарядов и магнитов на пространство между ними, которое рассматривалось как "заполненное кривыми электрических и магнитных сил". Эти первоначальные представления картины мира, выработанные Эрстедом, Воллостоном и Фарадеем, основывались на предшествующих достижениях электродинамики, рассмотренных под углом зрения философских идей единства мира и единства материи и силы.
Опираясь на эту картину физической реальности, Фарадей при построении теоретической схемы электромагнитной индукции перенес на новую область выработанное в магнитостатике представление о перемещениях магнитных силовых линий в пространстве. Таким путем было введено одно из главных отношений между проводящим веществом и силовыми линиями в модели индукции, а именно, что э. д. с. появляется тогда, когда число силовых линий, пересекающих проводник, меняется во времени в каждой единице его объема.
Сквозь призму этого представления можно было легко понять все эффекты, возникающие при относительном движении проводников и магнитов. Но из знания самих этих эффектов представление о силовых линиях вывести было чрезвычайно трудно, а практически и невозможно. Достаточно вспомнить, насколько неожиданным для современников Фарадея было его объяснение явлений электромагнитной индукции, хорошо известных из экспериментов, чтобы убедиться, что само по себе знание таких экспериментов отнюдь не подсказывало идею связи между э.д.с. индукции и изменением числа силовых линий в проводнике. В этом отношении особенно характерно неожиданное объяснение Фарадеем опыта Араго.
Фарадей сумел объяснить его: при вращении магнита в пространстве перемещаются окружающие его силовые линии и, пересекая проводящее вещество (медный диск), порождают в нем индукционные токи, что делает на время диск источником магнетизма (ток рождает магнетизм) и приводит его во взаимодействие с прямолинейным магнитом, вызывая вращение диска. Таким образом, чтобы ввести такое объяснение, нужно было заранее иметь картину движения магнитных силовых линий в пространстве. Но эта картина не следовала из самих опытов по индукции. Фарадей выработал ее в магнитостатике, а затем экстраполировал на область новых явлений. Процесс такой экстраполяции стал возможен только благодаря выработанной Фарадеем картине мира, согласно которой все процессы электромагнетизма следовало объяснять исходя из "конфликта" электрических и магнитных сил в пространстве.
Образ изменения направлений силы в пространстве, как причины всех электромагнитных явлений, постоянно был перед внутренним взором Фарадея. Поэтому для него было совершенно естественно использовать модели магнитостатики, основанные на представлении о магнитных силовых линиях, в качестве аналогов при объяснении электромагнитной индукции.
Сам перенос моделей из одной области знаний об электричестве и магнетизме в другую был возможен только потому, что фарадеевская картина физического мира постулировала связь предметов исследования каждой из таких областей. Если учесть, что в этот же период Фарадею приходилось доказывать, что различные виды электричества (электричество трения, гальваническое, магнитоэлектричество и т. д.) - суть проявления одного и того же электричества, то подобные переносы моделей выглядят отнюдь не тривиальными.
2.3 Достоинства и недостатки идей Фарадея
Как физик-теоретик Майкл Фарадей завоевал славу первопроходца. Фарадей в высшей степени обладал способностью делать впечатляюще наглядными результаты своих исследований при помощи геометрическо-механических моделей.
Путем объединения явлений электричества и упругости он пришел к понятию "силовые линии". Фарадей с пластической ясностью представлял себе действие электрических сил от точки к точке в пространстве между ними, в их "силовом поле". "Сами электрические и магнитные силы, - писал Генрих Герц в 1889 году, – были для него чем-то существующим реально, действительным, ощутимым; электричество, магнетизм были для него вещами".
Причина возникновения электрических сил лежала, по мнению Фарадея, в процессах, происходящих в пространстве между телами. При поисках признаков различий между намагниченными предметами ему удалось доказать, что все вещества, считавшиеся до тех пор немагнитными, под действием большой магнитной силы обнаруживают явные следы намагниченности. Точно так же он смог доказать, что все считавшиеся надежными изоляторы изменяются под действием электрических сил. Выяснилось, что между проводниками и непроводниками различие не принципиальное, а лишь количественное.
Эти экспериментальные открытия привели к тому, что Фарадей, как физик, мыслящий строго эмпирически, признающий только факты, которые можно наблюдать, отверг представление об электрических силах дальнодействия.
На основе своего представления о силовых линиях Фарадей предполагал уже примерно в 1845 году глубокое родство электричества и света. Эта мысль была необычайно смела для того времени, но она была достойна исследователя, который считал, что только тот находит великое, кто исследует маловероятное. Фарадей, таким образом, пришел к мнению, что учение об электричестве и оптика, стоявшие тогда рядом, но еще не связанные между собой, взаимосвязаны и образуют единую область.
Фарадей, однако, не обладал математическим образованием. Говорили, что он не мог даже возвести в квадрат бином. Таким образом, он был не в состоянии изложить результаты своих исследований при помощи обычных математических средств, он мог охватить их лишь качественно. Формально это являлось очевидным недостатком, но содержанию все-таки в данном случае не наносило ущерба. Отсутствие академически-математической подготовки, по мнению Планка, спасло Фарадея от предубеждений, порождаемых математическими и астрономическими источниками, которые в то время неблагоприятно влияли на многих значительных исследователей.
Это был " ум, который никогда не погрязал в формулах", - скажет о нём А. Эйнштейн.
2.4 Использование идей Фарадея Максвеллом
Дело Фарадея по обоснованию понятия поля продолжил другой величайший английский физик - Джеймс Клерк Максвелл (1831-1879).
Учение о физических силовых линиях является центральным пунктом воззрений Фарадея, оно подвело его к основанию физики электромагнитного поля. И хотя в его трудах нет математических формул, Максвелл подчеркивал, что "его метод понимания явлений был также математическим" и его легко можно выразить в обычной математической формуле.
Открытия, сделанные Фарадеем в области электромагнетизма, находили всё большее и большее использование. Однако его концепция силовых линий, занимающих всё пространство, долгое время не принималась всерьёз: она не могла конкурировать со стройными теориями Кулона, Ампера, Лапласа. Не владея хорошо математическим методом, Фарадей не стремился привязать его к своим исследованиям. Он считал, что самые сложные вопросы можно изложить просто, не прибегая к " языку иероглифов". Вот почему молодой Максвелл, взявшись за " атаку электричеств", имёл все основания заявить: " Современное состояние учения об электричестве представляется особенно неблагоприятным для теоретической разработки". В это время Максвеллу было 24 года. Прежде чем говорить о его дальнейшей работе, обратимся к его биографии.
В 1847 году по совету профессоров, не закончив гимназии, Максвелл поступил в Эдинбургский университет. Здесь он увлекается опытами по оптике, химии, магнетизму, тщательно штудирует книги по механике и физике, много занимается математикой. " Я прочёл " Лекции" Юнга Диксона и " Оптику" Муаньо", — пишет он в 1850 году одному из друзей. Видя увлечение сына исследованиями, отец помог ему образовать в Глендлэре физико-химическую лабораторию. В 1850 году Максвелл основательно занялся вопросами упругости и в этом же году уже сам выступил перед членами Королевского общества с докладом " О равенстве упругих тел". Девятнадцатилетний Максвелл доказал очень важную теорему о теории упругости и строительной механике. Теперь она называется его именем в этом же году он разработал метод изучения напряжений в поляризованном свете.
Исчерпав возможности Эдинбургского университета за 3 года, Максвелл в 1850 году переводится в Кембридж, в Тринити-колледж, где в своё время учился Ньютон.
Максвелл, который обладал уже огромным запасом знаний, правда, находящихся пока в беспорядке, твёрдо решил посвятить себя физике. Он начинает изучать " Экспериментальные исследования по электричеству" Фарадея. " Я решил, — писал Джеймс, — не читать ни одного математического труда из этой области, пока не изучу основательно это сочинение".
В 1854 году Максвелл успешно выдержал выпускной экзамен, заняв второе место, и был оставлен в Тринити-колледже для подготовки к профессорскому званию. Здесь он читает лекции по гидравлике и оптике, занимается исследованиями по теории.
В 1855 - 1856 гг. Максвелл закончил свою первую работу по электромагнетизму " О фарадеевых силовых линиях" и вместе с письмом отправил своему кумиру - Фарадею. Фарадей поразился силе таланта молодого учёного, его владению математикой и, глубоко тронутый вниманием, писал Максвеллу: "Ваша работа приятна мне и даёт мне большую поддержку. Сначала я даже испугался, когда увидел такую математическую силу, применённую к вопросу, но потом изумился, видя, что вопрос выдерживает это столь хорошо".
Максвелл берёт под защиту метод Фарадея, его идею близкодействия поля. Он опровергает версию о якобы "антиматематичности фарадеевского мышления". "Я убеждён, что его идеи могут быть выражены в виде обычных математических формул и эти формулы вполне сравнимы с формулами профессиональных математиков. Он сообщил своей концепцией силовых линий такую ясность и точность, каковые математикам удалось сообщить своими формулами", — писал Максвелл.
Сразу после открытия Фарадеем закона электромагнитной индукции учёные стремились придать ему строгую количественную формулу. Сейчас трудно представить себе те мучительные усилия, которые потребовались для формулировки этого закона на языке концепции действия на расстоянии. И в конце концов были получены (Нейманом и Вебером) весьма и весьма сложные формулы, неясные по своему физическому содержанию, но всё же способные количественно описывать опытные факты. В настоящее время их можно найти только в книгах по истории физики.
Истинный смысл закона электромагнитной индукции был найден Максвеллом. Он же предал закону ту простоту и ясную математическую форму, базирующуюся на представлении о поле, которую знает сейчас весь мир.
Попробуем представить себе, с помощью какого рода рассуждений Максвелл смог усмотреть в явлении электромагнитной индукции новое фундаментальное свойство электромагнитного поля.
Допустим, перед нами обыкновенный трансформатор. Включив первичную обмотку в сеть, мы немедленно получим ток в соседней вторичной обмотке, если только она замкнута. Электроны, находящиеся в проволоке обмотки, придут в движение.
Но ведь электронам закон электромагнитной индукции не известен. Короче говоря, какие силы приводят электроны в движение?
Само поле, пронизывающее катушку, этого сделать не может. Ведь магнитное поле действует исключительно на движущиеся заряды (этим-то оно и отличается от электрического), а проводник с находящимися в нём электронами неподвижен. Что же тогда действует?
Кроме магнитного, на заряды, мы знаем, действует ещё электрическое поле. Причём оно-то как раз может действовать и на неподвижные заряды. Это его главное свойство. Но ведь то поле, о котором шла речь (электрическое поле), создаётся непосредственно электрическими зарядами, а индукционный ток появляется под действием переменного магнитного поля. Уж не замешаны ли здесь какие-то новые физические поля, коль скоро идея близкодействия считается незыблемой?
Не будем спешить с выводами и при первом же затруднении искать спасения в придумывании новых полей, как в своё время вывод из всех трудностей видели во введении новых сил. Ведь у нас нет никакой гарантии, что все главные свойства магнитного и электрического полей известны. В законах Кулона и Ампера, заключающих в себе основную информацию о свойствах поля, фигурируют постоянные поля.
А что, если у переменных полей появляются новые свойства? Будем надеяться, что идея единства электрических и магнитных явлений, плодотворная до сих пор, не откажет и дальше.
Тогда остаётся единственная возможность: предположить, что электроны ускоряются во вторичной обмотке электрическим полем, и это поле порождается переменным магнитным полем непосредственно в пустом пространстве. Тем самым утверждается новое фундаментальное свойство магнитного поля: изменяясь во времени, оно продолжает вокруг себя электрическое поле.
Теперь явление электромагнитной индукции предстаёт перед нами в совершенно новом свете. Главное - это процесс в пустом пространстве: рождение магнитным полем электрического. Есть ли проводящий контур (катушка) или нет, это не меняет существа дела. Проводник с его запасом свободных электронов - просто индикатор (регистратор) возникающего электрического поля: оно приводит в движение электроны в проводнике и тем самым обнаруживает себя.
Сущность явления электромагнитной индукции совсем не в появлении индукционного тока, а в возникновении электрического поля.
В 1860 году Максвелл покинул Абердин, получив кафедру в Кингс- колледже в ЛондоЭском университете. Здесь впервые Максвелл встретился с Фарадеем. Именно в лондонский период учёный развивает свою теорию поля. Ей посвящается ряд работ: "О физических линиях силы" (1861-1862), "Динамическая теория поля" (1864-1865). Вот в этой последней работе и дана система знаменитых уравнений.
Теория Максвелла, по словам Герца, - это уравнения Максвелла. Суть этой теории сводилась к тому, что изменяющееся магнитное поле создаёт не только в окружающих телах, но и в вакууме вихревое электрическое поле, а оно, в свою очередь, вызывает появление магнитного поля. "Теория, которую я предлагаю, - пишет Максвелл, - может быть названа теорией электромагнитного поля, потому что она имеет дело с пространством, окружающим электрические или динамические тела, и она может быть названа также динамической теорией, поскольку она допускает, что в этом пространстве имеется материя, находящаяся в движении, посредством которой и производится наблюдаемые электромагнитные явления".
Теория электромагнитного поля Максвелла знаменовала собой начала нового этапа в физике. Именно на этом этапе развития физики поле стало реальностью, материальным носителем взаимодействия. Мир постепенно стал представляться электродинамической системой, построенной из электрически заряженных частиц, взаимодействующих посредством электромагнитного поля. Большинство физиков исключительно высоко оценили теорию Максвелла. Пуанкаре считал её "Вершиной математической мысли". "Самым увлекательным предметом во время моего обучения была теория Максвелла. Переход от сил дальнодействия к полям, как основным величинам, делал эту теорию революционной", - писал А. Эйнштейн.
Анализируя свои уравнения, Максвелл пришёл к выводу, что должны существовать электромагнитные волны, причём скорость их распространения должна равняться скорости света. Отсюда был сделан совершенно новый вывод: свет есть разновидность электромагнитных волн.
Так, по словам Луи де Бройля, Максвелл "сделал всю оптику частной главой электромагнетизма". На основе своей теории Максвелл предсказал существование давления, оказываемого электромагнитной волной (а значит, и светом), и вычислил его. Оно оказалось равным плотности энергии электромагнитного поля. Предсказание Максвелла позднее было блестяще доказано Петром Николаевичем Лебедевым в 1899 году.
В 1867 году умирает Фарадей. Глубоко переживает Максвелл смерть своего кумира. Он убеждён, что лучшим памятником Фарадею будет наибыстрейшее окончание " Трактата об электричестве и магнетизме". Восемь лет отдал Максвелл "Трактату". Это вершина его научного творчества, это настоящая энциклопедия электромагнетизма.
"Трактат" вышел в свет в 1873 году, когда Максвелл уже работал в Кембридже, куда он переехал в 1871 году, чтобы возглавить кафедру экспериментальной физики.
Максвелл, отстаивая выдвинутую Фарадеем идею близкодействия, доказал, что электрические и магнитные поля взаимосвязаны и могут существовать независимо от создавшего их источника, распространяясь в пространстве в виде электромагнитных волн. В этом и заключается сущность теории Максвелла, ядром которой являются уравнения Максвелла.
Четыре строчки уравнений, поразивших современников соей математической совершенностью и красотой, впервые появились в 1873 году в книге Максвелла "Трактат об электричестве и магнетизме", в которой объединены в единое целое оптика, электричество и магнетизм.
Фарадей был приверженцем идеи силовых линий, которые соединяют положительный и отрицательный электрические заряды или северный и южный полюсы магнита. Силовые линии заполняют все окружающее пространство (поле, по терминологии Фарадея) и обусловливают электрические и магнитные взаимодействия.
Следуя Фарадею, Максвелл разработал гидродинамическую модель силовых линий и выразил известные тогда соотношения электродинамики на математическом языке, соответствующем механическим моделям Фарадея. Основные результаты этого исследования отражены в работе Фарадеевы силовые линии (Faraday's Lines of Force, 1857). В 1860–1865 Максвелл создал теорию электромагнитного поля, которую сформулировал в виде системы уравнений (уравнения Максвелла), описывающих основные закономерности электромагнитных явлений:
1-е уравнение выражало электромагнитную индукцию Фарадея;
2-е – магнитоэлектрическую индукцию, открытую Максвеллом и основанную на представлениях о токах смещения;
3-е – закон сохранения количества электричества;
4-е – вихревой характер магнитного поля.
Эти уравнения имеют вид:
1) 
2) ![]()
3) ![]()
4) ![]()
В современной интерпретации:
Уравнение 1 выражает закон Гаусса. Для статистических полей этот закон эквивалентен закону Кулона. Утверждается, что поток электрического поля через замкнутую поверхность пропорционален полному заряду, сосредоточенному в объёме, ограниченной данной поверхностью.
Уравнение 2 представляет собой закон Гаусса для магнитного поля. Он утверждает, что поток магнитного поля через замкнутую поверхность равен нулю. Это означает, что не существует магнитных аналогов электрического заряда.
Уравнение 3 выражает закон электромагнитной индукции Фарадея. Он утверждает, что интеграл от электрического поля вдоль замкнутого контура пропорционален скорости изменения потока магнитного поля через поверхность, натянутую на этот контур. Таким образом, изменяющееся магнитное поле сопровождается переменным электрическим полем.
Наконец, уравнение 4 представляет собой модифицированный закон Ампера. Максвелл изменил это уравнение, добавив в него второе слагаемое в правой части, названное током смещения, которое описывает изменение потока электрического поля. Модифицированный закон Ампера утверждает, что интеграл от магнитного поля по замкнутому контуру пропорционален сумме двух слагаемых. Первое из них содержит полный ток, протекающий сквозь поверхность, натянутую на этот замкнутый контур. Второе слагаемое (введенное Максвеллом) содержит скорость изменения потока электрического поля через эту поверхность. Благодаря внесённому Максвеллом дополнению к закону Ампера четвертое уравнение Максвелла есть утверждение, что переменное электрическое поле сопровождается переменным магнитным полем.
Продолжая развивать эти идеи, Максвелл пришел к выводу, что любые изменения электрического и магнитного полей должны вызывать изменения в силовых линиях, пронизывающих окружающее пространство, т.е. должны существовать импульсы (или волны), распространяющиеся в среде. Скорость распространения этих волн (электромагнитного возмущения) зависит от диэлектрической и магнитной проницаемости среды и равна отношению электромагнитной единицы к электростатической. По данным Максвелла и других исследователей, это отношение составляет 3*1010 см/с, что близко к скорости света, измеренной семью годами ранее французским физиком А.Физо.
В октябре 1861 Максвелл сообщил Фарадею о своем открытии: свет - это электромагнитное возмущение, распространяющееся в непроводящей среде, т.е. разновидность электромагнитных волн. Этот завершающий этап исследований изложен в работе Максвелла "Динамическая теория электромагнитного поля" (Treatise on Electricity and Magnetism, 1864), а итог его работ по электродинамике подвел знаменитый "Трактат об электричестве и магнетизме" (1873).
Максвелл развивал свои уравнения и следствия из них на основе созданной Фарадеем модели электрических и магнитных полей. Мысленные модели описываемые его уравнениями, были сложнее, чем те, которые используют теперь. Максвелл и другие ученые того времени считали поля и волновые движения физическими свойствами реальной всепроникающей среды, которую они называли эфиром. И, тем не менее, в 1862 году Максвелл предложил, что "свет состоит из поперечных волнообразных движений той же самой среды, которая служит причиной электрических и магнитных явлений".
К тому времени на основе своих уравнений он рассчитал скорость электромагнитных волн и нашел, что эта скорость была приблизительно такой же, как и незадолго до этого скорость света.
Более точную наглядную иллюстрацию уравнений Максвелла предложил английский физик Брэгг в виде воображаемой модели, известной под названием "цепочка Брэгга". "Представьте себе цепочку, сделанную из чередующихся железных и медных колец . Замыкая на мгновение ключ К, мы посылаем ток от батареи в первое медное кольцо. Следующее, сделанное из железа кольцо намагничивается. Возникновение магнитного поля в нем вызывает индукционный ток в третьем кольце. Этот ток вызывает магнитное поле и т. д."
Генрих Герц писал о теории Максвелла: "Нельзя изучать эту удивительную теорию, не испытывая по времени такого чувства, будто математические формулы живут собственной жизнью, обладают собственным разумом — кажется, что эти формулы умнее нас, умнее даже самого автора, как будто они дают нам больше, чем в свое время в них заложено".
"Трактат по электричеству и магнетизму"', в котором Джеймс Кларк Максвелл подвёл итоги двухвековому развитию учения об электрических и магнитных явлениях, был издан в 1873 году. Современники называли его "библией электричества"'. Книга содержала более 1000 страниц, из которых лишь десяток относился непосредственно к знаменитым уравнениям. Сами уравнения были разбросаны по разным частям, и было их довольно много - 12.
По характеру изложения ''Трактат'' был слишком сложным. Знаменитый голландский физик Г. А. Лоренц, которому было суждено впоследствии развить и продолжить электромагнитную теорию, познакомившись в молодости с уравнениями Максвелла, не смог понять их физического смысла.
2.5 Современный взгляд на электродинамику Фарадея-Максвелла
Среди физиков электромагнитная теория Фарадея – Максвелла не сразу завоевала признание. Отдельные выдающиеся исследователи, подобно Гельмгольцу и Больцману, признавали ее значение и выступали в ее защиту, но даже такой проницательный мыслитель-физик, как Густав Кирхгоф, до конца своей жизни – он умер в 1887 году – твердо придерживался старых представлений об электрической жидкости и в своих лекциях затрагивал теорию Максвелла лишь мимоходом.
Анри Пуанкаре (1854-1912г.) одним из первых разобрался в многосложном изложении Максвелла. Его правильная и стройная интерпретация идей английского ученого помогла рассеять невразумительную путаницу у комментаторов этой теории. В своих лекциях Пуанкаре проводит глубокий анализ различных попыток теоретического обобщения экспериментально установленных законов электричества и магнетизма. Он подробно разбирает электродинамику Ампера и постепенно подводит слушателей к выводу о преимуществах уравнений Максвелла, наиболее полно охватывающих электромагнитные процессы и предсказывающие неизвестные ещё физике явления.
Выводы теории получают экспериментальное подтверждение в 1887 г., когда Генрих Герц (1857-1894) экспериментально получил электромагнитные волны. С 1887 г. Герц начинает ставить свои опыты. Прежде всего, он находит способ генерирования самых высокочастотных в то время колебаний, используя открытый колебательный контур (вибратор Герца). Обладая малой емкостью и индуктивностью, вибратор действительно позволял получать колебания высокой частоты, возникающие при проскакивании искр в разрядном промежутке диполя. Рядом с этим генератором находился незамкнутый виток. Герц обнаружил, что в момент разряда в генераторе происходит проскакивание искры между незамкнутыми концами витка, расположенного генератора. Это были первые в мире передатчик и приемник.

Рис.17. Первый радиатор Герца. Герц использовал два метровых провода, связанных с индукционной катушкой
Далее Герц заметил, что влияние генератора на приемник особенно сильно в случае резонанса (частота колебаний генератора совпадает с собственной частотой) Продолжая исследования, Герц при удалении резонатора от вибратора обнаружил, что в большом помещении с увеличением расстояния размер искр не убывает монотонно, а периодически меняется. Он объяснил это тем, что происходит интерференция прямой волны. Этот опыт наиболее убедительно доказывал, что электромагнитные волны, предсказанные Максвеллом, действительно существуют. Герц ставит опыты с целью проверки тождества световых и электромагнитных волн.
Почти сразу он обнаруживает ''тень''- непрозрачность металлических листов для ''электрических лучей'', но не наблюдает огибания. Значит, диэлектрики ''прозрачны'' для волн. Но они должны вызывать преломление. И Герц обнаруживает явление преломления волн в асфальтовой призме весом более чем в тонну, причем отклонение соответствует тому, которое должно быть по Максвеллу. Последующие опыты показали существование отражения волн, а затем и и поляризацию. Герц ставит между генераторм и приемником решетку из параллельных проволок, от ориентации которой меняется интенсивность искры в приемнике. Зная период колебаний вибратора и измерив длину волны, Герц вычислил скорость распространения электромагнитных волн; она оказывается равной скорости света.
Все это было изложено в работе "О лучах электрической силы", вышедшей в декабре 1888 года. Этот год считается годом открытия электромагнитных волн и экспериментального подтверждения теории Максвелла. В 1889 г., выступая на съезде немецких естествоиспытателей, Герц говорил: ''Все эти опыты очень просты в принципе, тем не менее, они влекут за собой важнейшие следствия. Они рушат всякую теорию, которая считает, что электрические силы перепрыгивают пространство мгновенно. Они означают блестящую победу теории Максвелла. Насколько маловероятным казалось ранее её воззрение на сущность света, настолько трудно теперь не разделить это воззрение''. Если Максвелл преобразовал представления Фарадея в математические образы, то Герц превратил эти образы в видимые и слышимые электромагнитные волны. Но даже после опытов Герца учение английского физика не получило широкого распространения.
Главная причина его невосприятия - необычность предложенных идей. В общепринятом понимании тогда понимании теория Максвелла только описывала электромагнитные явления на строгом математическом языке, но не давала их объяснения. Объяснить - значило, по мнению физиков того времени, построить механическую модель явления. Механика представлялась незыблемым фундаментом всех разделов физики. Поэтому большинство учёных считало, что для завершения электромагнитной теории необходимо ещё открыть механическую интерпретацию уравнений Максвелла. В плену этого предвзятого представления находились все физики. Не избежал этого и Максвелл. В первых своих работах по электромагнетизму он основное внШмание отводил именно механическим моделям. Подчёркивая непривлекательность одного из предложенных объяснений, Пуанкаре писал: ''Можно подумать, что читаешь описание завода с целой системой зубчатых колёс, рычагами, передающими движение и сгибающимися от усилия, центробежными регуляторами и передаточными ремням''. Однако позднее Максвелл меняет свою точку зрения, он выражает желание ''просто направить внимание читателя на механические явления, которые помогут ему в понимании электрических явлений. Все подобные фразы в настоящей статье должны пониматься как иллюстративные, а не объяснительные''.
Нарушение соответствия между механикой и электродинамикой стало причиной глубокого кризиса физики. Кризис физической теории, вызванный проблемой объяснения установленных на опыте свойств света, усугубился неожиданно последовавшими как из рога изобилия величайшими открытиями совершенно новых и удивительных явлений.
Начиная с 1895 года, когда Рентген открыл проникающие лучи, буквально каждый следующий год приносил ошеломляющиее открытие:
· 1896 год - открытие явления радиоактивности,
· 1897 год - открытие электрона,
· 1898 год - открытие радия и полония,
· 1899 год - открытие сложного свойства радиоактивного излучения.
Пуанкаре пристально следил за крутой ломкой, происходящей в физике конца XIX века. В это время голландский физик Г. А. Лоренц считает, что теория Максвелла нуждается в дополнении, так как в ней не учитывается структура вещества. В ней свойства тел характеризуются различными коэффициентами: диэлектрической и магнитной проницаемостью, проводимостью. ''Мы не можем удовлетвориться простым введением для каждого вещества этих коэффициентов, значения которых должны определяться из опыта; мы будем принуждены обратиться к какой-нибудь гипотезе относительно механизма, лежащего в основе этих явлений. Эта необходимость привела к представлению об электронах, т. е. крайне малых электрически заряженных частицах, которые в громадном количестве присутствуют во всех весомых телах'', - писал Лоренц.
Все эти вставшие перед физикой проблемы настоятельно требовали выработки новых физических понятий и представлений и создания на их основе теоретического обобщения всей совокупности недавно полученных экспериментальных данных.
В 1895 г. в работе ''Опыт теории электрических и оптических явлений в движущихся телах'' Лоренц даёт систематическое изложение электронной теории, опирающейся, с одной стороны, на теорию Максвелла, а с другой - на представление об атомарности электричества.
В начале 90-х годов XIX в. Г. Лоренц на основе своей электронной теории и гипотезы о неподвижном эфире выводит уравнения электромагнитного поля для движущихся сред. И делает очень важный вывод: никакие оптические и электромагнитные опыты, проведенные в равномерно и прямолинейно движущейся системе отсчёта, не в состоянии обнаружить этого движения.
Таким образом, Лоренц сформулировал принцип относительности для электромагнитных процессов. В 1904 г., называя принцип относительности в числе основных принципов физики.
Развивая электродинамику и стремясь объяснить опыты, Лоренц и Пуанкаре опирались на концепцию эфира. Подойдя к принципу относительности, они не смогли поставить вопрос о постоянстве и, особенно о предельном значении скорости света. Это и было сделано А. Эйнштейном (1879-1955).
Основополагающая работа Эйнштейна по теории относительности называлась ''К электродинамике движущихся сред''. Она поступила в редакцию журнала ''Анналы физики'' 30 июня 1905 г. Работа состояла из двух частей. В первой из них были изложены основы новой теории пространства и времени, во второй - применение этой теории к электродинамике движущихся сред. В основу своей теории Эйнштейн кладёт два постулата:
1. Принцип относительности - в любых инерциальных системах все физические процессы - механические, оптические, электрические и другие - протекают одинаково.
2. Принцип постоянства скорости света - скорость света в вакууме не зависит от движения источника и приемника, она одинакова во всех направлениях, во всех инерциальных системах и равна 3 108 м/с.
На статью Эйнштейна обратил внимание редактор журнала ''Анналы физики'', профессор Макс Планк. Работа Эйнштейна вызвала у него интерес возможностью провести ''такое грандиозное упрощение всех проблем электродинамики движущихся тел, что вопрос о допустимости принципа относительности должен ставиться в первую очередь в любой теоретической работе, посвященной этой области''. Вместе с тем, не найдя в работе Эйнштейна того обобщения уравнений механики, которое требовалось новым принципам относительности, он сам приступил к решению этой задачи. Свои результаты Планк доложил 23 марта 1906 г. на заседании Немецкого общества. Отметив, что ''принцип относительности, предложенный недавно Лоренцом и в более общей формулировке Эйнштейном'', требует пересмотров законов механики, он привёл вывод новых уравнений движения. Эта работа завершала создание релятивистской механики.
В 1907 г. Эйнштейн закладывает первые основы общей теории относительности. Из общей теории относительности был получен ряд важных выводов:
1. Свойства пространства - времени зависят от движущейся материи.
2. Луч света, обладающий инертной, а, следовательно, и гравитационной массой, должен искривляться в поле тяготения.
3. Частота света в результате действия поля тяготения должна изменяться.
Общая теория относительности - ОТО - дала качественный скачок в развитии электродинамики, предложив уравнения Максвелла в гравитационных полях.
Некоторые соотношения релятивистской электродинамики мало исследованы, в результате чего проблемные вопросы физики пытаются объяснить, строя новую электродинамику, вводя новые физические поля - торсионные, монополь - магнитную частицу, имеющую один магнитный полюс, и т.д.
Максвелл вывел свои уравнения математически, исследуя модель магнитного поля в виде магнитных силовых линий, представляющих собой вихри, подобные смерчу, в эфире. Однако магнитное поле может представлять собой и другие, более или менее сложные движения, воздействующие на магнитную стрелку. Среда такого рода, наполненная молекулярными вихрями с параллельными осями, отличается от обычной жидкости тем, что она имеет различные давления в различных направлениях. Если бы она не сдерживалась надлежащим противодавлением, то она стремилась бы растянуться в экваторном направлении. "Среда, имеющая такого рода структуру, может быть способна к другим видам движения и смещения, чем те, которые обслуживают явления света и тепла; некоторые из них могут быть таковы, что они воспринимаются нашими чувствами при посредстве тех явлений, которые они производят". Современная физика обходится без эфира, заменив его физическим вакуумом, в котором постоянно возникают и исчезают электрон-позитронные и фотонные пары, появляются различного вида напряженности и моменты, обладающие энергией, передаются поперечные колебания - электромагнитные волны и т. д. Эйнштейн пишет: "Мы не можем в теоретической физике обойтись без эфира, т.е. континиума, наделенного физическими свойствами, ибо общая теория относительности исключает непосредственное дальнодействие; каждая же теория близкодействия предполагает наличие непрерывных полей, а, следовательно, существование эфира".
Математический формализм уравнений электродинамики не позволяет увидеть и предсказать ранее не известные явления без наличия модели. Моделью магнитного поля должна быть модель, подобная модели Максвелла, математическое исследование которой привело к созданию электродинамики.
Заключение
Если действительно, для того, чтобы гений реализовал свой творческий потенциал, он должен родиться в нужное время и в нужном месте, то судьба Майкла Фарадея полностью это подтверждает. В год его рождения (1791 г.) был опубликован трактат Гальвани, когда Фарадею исполнилось 8 лет, был создан Лондонский Королевский институт по распространению научных знаний. Годом позже в Лондонское Королевское общество - высший научный центр Великобритании - пришло сообщение об изобретении Вольта, когда Фарадею было 11 лет, его учитель Гемфри Деви доказал факт разложения воды с помощью вольтова столба и стал, таким образом, одним из основателей новой науки - электрохимии.
До Фарадея физика развивалась, но ее развитие шло по пути механистическому. Однако все открытия в области электричества и магнетизма предопределили научные идеи Фарадея, а затем математически их облекли в стройную теорию уравнениями Максвелла.
Влияние электрического тока на магнитную стрелку обнаружил датский физик Ханс Кристиан Эрстед. Во время лекции об электричестве и магнетизме он заметил, что магнитная стрелка компаса уклоняется от своего направления. После лекции он установил, что вблизи от полюса гальванического элемента.
Как только элемент замыкался – стрелка меняла направление. Эрстед долго размышлял над этим странным явлением: экспериментировал со стрелками и железными опилками, которые в момент замыкания располагались кругами около провода. Наконец в 1820 году он установил связь между магнетизмом и электричеством.
Затем было установлено, что магнетизм сопутствует ток и в проводниках, и в электролитах, и в газах, а это значит, что действие на магнитную стрелку – общий признак электрического тока.
Французские физики Био и Савар осенью того же года установили, что каждая часть проволоки с током действует на магнитный полюс. Это исследование привело к закону взаимодействия тока и магнитного полюса.
Одним из основоположников новой науки – электродинамики – является Андре Мари Ампер. Работы Ампера в области физики сразу привлекли к себе внимание. Узнав об опытах Эрстеда, он продолжил их и установил, что два параллельных проводника притягиваются друг к другу, если токи в них направлены в одну сторону и отталкиваются, если токи направлены в противоположные стороны. Опыты Ампера позволили обнаружить закон, определяющий величину и направление сил, которые действуют на проводник с током, если он помещён между полюсами магнита, то есть в магнитном поле. Направление силы определяют с помощью так называемого "правила правой руки". Амперу также принадлежит гипотеза о сущности намагничивания. Он предположил, что причину намагничивания следует искать в существовании круговых молекулярных токов. Токи эти, подобно магнитным стрелкам, имеют два полюса и поэтому устанавливаются в направлении намагничивания.
Учёные встретили гипотезу Ампера доброжелательно, но она была недостаточна, потому что многое оставалось в тени. Например, наблюдения Фарадея, как ведут себя между полюсами магнита стержни из различных веществ. Их поведение позволило разделить все вещества на парамагнитные и диамагнитные. Стержни первых устанавливаются между полюсами вдоль силовых линий, стержни вторых – перпендикулярно к ним. Это явление объяснили позже, когда стало ясно строение атома.
Магнитные исследования Кулона помогли вывести законы взаимодействия магнитных полюсов, исследования Ампера – закон взаимодействия проводников с тЮками, а также проводника с током и магнита.
Некоторые из учёных объяснили взаимодействие магнитных полюсов, магнитного полюса и тока, проводников с током действием на расстоянии, без участия окружающей среды (теория дальнодействия). Другие придерживались мнения Майкла Фарадея: полюса взаимодействуют благодаря особому состоянию среды, которое вызывается присутствием магнитного полюса или проводника с током (теория близкодействия).
После открытия и исследования электромагнитной индукции стала очевидной возможность создать генератор, который сможет преобразовать механическую энергию в энергию электрическую. Первый генератор электрического тока, построенный в 1832, был весьма несовершенен.
К этому же времени относится начало целой серии работ М. Фарадея (1791-1867), одно лишь только формальное перечисление, которых способно составить объемный каталог, поэтому следует выделить наиболее значительное в этих исследованиях. Прежде всего, открытие явления электромагнитной индукции, во-вторых, явление вращения плоскости поляризации света в магнитном поле - первое экспериментальное доказательство связи между светом и магнетизмом, в-третьих, введение понятия "силового поля".
А. Эйнштейн по этому поводу отмечал: "Идея поля была самой оригинальной идеей Фарадея, самым важным открытием со времен Ньютона. Надо иметь могучий дар научного предвидения, чтобы распознать, что в описании электрических явлений не заряды и не частицы описывают суть явлений, а скорее пространство между зарядами и частицами".
Примерно с середины Х1Х в. резко усиливаются теоретические изыскания, направленные на создание более или менее всеобъемлющей физико-математической концепции в области электромагнитных явлений.
Существенными достижениями в этом отношении отличается творческая деятельность представителей немецкой школы физиков-теоретиков - Ф.Э. Неймана (1798-1895) и В.Э. Вебера (1804 -1891). Помимо успехов в создании первых теорий классической электродинамики следовало бы заметить, что, по-видимому, именно Вебером впервые была высказана гипотеза о прерывности электрического заряда и о существовании сверхлегкой заряженной частицы (за пятьдесят лет до открытия электрона Дж.Дж. Томсоном в 1897 г.).
Наряду с успехами физических наук Х1Х в. может быть отмечен не меньшими (если не большими) достижениями в области математических наук. В частности, к середине прошлого века в достаточно совершенном виде (по крайней мере, для целей новой теоретической физики) сформировались такие разделы математики, как векторное исчисление (хотя сама терминология - "векторный анализ"- была введена Дж. Гиббсом позже, в 1881 г.), вариационное исчисление, математическая физика. В этой связи нельзя не отметить влияние на формирование научного мировоззрения П.С. Лапласа (1749-1827), Ж.Б.Ж. Фурье (1768-1830), К.Ф. Гаусса (1777-1855), С.М. Пуассона (1781-1840), М.В. Остроградского (1801-1861), У.Р. Гамильтона (1805-1865), Ж. Лиувилля (1809-1882).
Таким образом, складывалась благоприятная ситуация для создания теоретической электродинамики, как принято говорить в таких случаях - "идеи витали в воздухе".
Роль Фарадея в человеческой цивилизации совершенно уникальна. До него ученые - естествоиспытатели исследовали круг явлений, известных из повседневного опыта и воспринимаемых каким-либо из пяти органов чувств человека. Фарадей же открыл новый вид материи, органами чувств не воспринимаемый - электоромагнитное поле, положив новые пути развития науки и техники.
Черту подвел Д.К. Максвелл, который в период с 1860 г. по 1865 г. обобщил всю сумму экспериментальных данных и предложил в виде системы уравнений теорию электромагнитного поля, выражающую все основные закономерности электромагнитных явлений. Элементами новизны в этой теории были введенное им понятие тока смещения, а также предсказание ряда эффектов - существование в свободном пространстве электромагнитного излучения (волн), распространение электромагнитных волн в пространстве со скоростью света. Справедливости ради стоит отметить, что Л.В. Лоренц, не имея информации о работах Максвелла, чуть позже, в 1867 г., во многом повторил результаты последнего. Существенным достижением обоих исследователей является неопровержимое установление электромагнитной природы света, т.е. логическое завершение связи между оптическими и электромагнитными явлениями.
Вклад Максвелла сводится к следующему:
1. Теория Максвелла вводит в физику фундаментальное понятие единого электромагнитного поля. Введение понятия поля как основного объекта, обеспечивающего все электромагнитные взаимодействия, акцент не на заряды и токи, а на ''порожденное'' ими поле означают окончательное утверждение в физике идеи близкодействия.
2. Теория Максвелла исходит из признания конечности скорости распространения электромагнитных взаимодействий. Из этого вытекает, что сигнал, испущенный источником, но не принятый приёмником, живет самостоятельной жизнью как реальное образование, обладающее энергией, которая, по Максвеллу, сосредоточена в поле. Энергия электромагнитного взаимодействия зависит от параметров поля (Е и В), это есть энергия поля, а не энергия зарядов и токов. Но энергия не может быть без материального носителя. Следовательно, поле является объективной реальностью.
3. Теория Максвелла по-новому поставила вопрос о взаимосвязи электричества и магнетизма. Их единство проявляется том, что изменяющееся электрическое поле порождает магнитное, а изменяющееся магнитное порождает электрическое, т. е. электрические и магнитные поля есть частные проявления единого электромагнитного поля.
4. Теория Максвелла на основе понятия поля свела в единую систему все знания по электричеству и магнетизму. Она дала возможность, зная компоненты поля (Е и В) в данной точке в данный момент времени, найти их значения в любой другой точке в любой другой момент времени, а зная характеристики поля, найти и силы, действующие на заряды и токи. Все законы электрических и магнитных взаимодействий, все законы тока, выведенные раньше, получаются из уравнений Максвелла как следствия.
5. Из решения уравнений вытекает, что электромагнитное поле распространяется в пространстве в виде волн и скорость электромагнитных волн равна скорости света. Тем самым устанавливается не только существование нового объекта, но и выдвигается идея об электромагнитной природе света, а значит, устанавливается единство оптики и электромагнетизма.
Теория электромагнитного поля Максвелла знаменовала собой начало нового этапа в физике. Именно на этом этапе развития физики электромагнитное поле стало реальностью, материальным носителем взаимодействия. Мир постепенно стал представляться электродинамической системой, построенной из электрически заряженных ччастиц, взаимодействующих посредством электромагнитного поля.
Большинство физиков высоко оценили теорию Максвелла. Пуанкаре считал её ''вершиной математической мысли''. ''Самым увлекательным предметом во время моего учения была теория Максвелла. Переход от сил дальнодействия к полям, как к основным величинам, делал эту теорию революционной'', - писал А.Эйнштейн. Но теории Максвелла ещё предстояло утвердить себя.
Модель силового поля рождается в электродинамике Максвелла, точнее Фарадея-Максвелла, поскольку основы модельного слоя были заложены Фарадеем на основе модели силовых линий, а математический слой был разработан Максвеллом. Исходя из концепции близкодействия, Фарадей перенес центр тяжести своих исследований с электрических и магнитных тел на пространство между этими телами.
"Магнитным полем, - пишет Фарадей, - можно считать любую часть пространства, через которую проходят линии магнитной силы... Свойства поля могут изменяться от места к месту по интенсивности силы, как вдоль линий, так и поперек последних". Эту линию последовательно развил Дж. Максвелл. Он изначально исходит из новой модели поля, суть которой составляют "электрические силовые линии, существующие вне порождающих их зарядов.". И над этой моделью надстроил математический слой с помощью аналоговых гидродинамических моделей, жестко связанных со своим математическим слоем. "Формирование этого языка открывало путь к построению основ для исследования принципиально новых законов действия электрических и магнитных сил, включая физические процессы их взаимопревращения и распространения в пространстве (электромагнитных волн). … Такие физические процессы, вообще говоря, были просто бессмысленны с точки зрения понимания силы как причины ускорения материальной точки;...".
Основные новые моменты модели, унаследованные от Фарадея, - система-поле (представляющее собой заполняющую пространство среду из силовых линий), состояния которого определяются значениями напряженностей электрической и магнитной составляющих - новых измеримых величин. Важнейшим шагом на этом пути было определение процедуры измерения характеристик поля посредством пробного заряда и пробного витка с током.
Одно лишь только формальное перечисление работ М. Фарадея способно составить объемный каталог, поэтому следует выделить наиболее значительное в этих исследованиях.
Прежде всего, открытие явления электромагнитной индукции, во-вторых, явление вращения плоскости поляризации света в магнитном поле - первое экспериментальное доказательство связи между светом и магнетизмом, в-третьих, введение понятия "силового поля". А. Эйнштейн по этому поводу отмечал: "Идея поля была самой оригинальной идеей Фарадея, самым важным открытием со времен Ньютона. Надо иметь могучий дар научного предвидения, чтобы распознать, что в описании электрических явлений не заряды и не частицы описывают суть явлений, а скорее пространство между зарядами и частицами".
К настоящему времени не установлено ни единого экспериментального факта, который позволил бы усомниться в справедливости электромагнитной теории Фарадея-Максвелла. Однако не существует до сих пор и строгого вывода основных соотношений этой теории. Поскольку электрон был открыт значительно позже (Дж.Дж. Томсоном в 1897 г.), а дискретность же электрического заряда и его величина были установлены позднее (Р.Э. Милликеном в 1910-1914 гг.), то в основе теории Максвелла лежали представления о "заряде-жидкости", т.е. теория Максвелла – это, прежде всего, макроскопическая электродинамика.
Литература
1. Генезис теоретических знаний в классической науке - http://ru.philosophy.kiev.ua/library/stepin/04.html.
2. Дягилев Ф. М., Из истории физики и истории её творцов. - М.: Просвещение, 1986.
3. Веселовский О. Н., Шнейберг Я. А., Очерки по истории электротехники. - М.: Издательство МЭИ, 1993.
4. Волькенштейн М. В., Молекулярная оптика, М. – Л., 1951.
5. Вонсовский С. В., Магнетизм, М., 1971.
6. Вонсовский С. В., Магнетизм микрочастиц, М., 1973.
7. Калашников С. Г., Электричество, М., 1964 (Общий курс физики, т. 2).
8. Каменецкий М. О., Ганс Христиан Эрстед, "Наука и техника", 1957, № 18.
9. Кудрявцев П.С.Курс истории физики. Электромагнетизм - М, 1959.
10. Карцев В.Л. Максвелл. М., 1974.
11. Курс физики, под ред. Н. Д. Папалекси, т. 2, М. — Л., 1948;
12. Ландсберг Г. С., Оптика, 4 изд.,. М., 1957 (Общий курс физики, т. 3).
13. Лебединский А. В., Роль Гальвани и Вольта в истории физиологии, в кн.: Гальвани А. и Вольта А., Избр. работы о животном электричестве, М.—Л., 1937.
14. Максвелл Д. К.. Избранные сочинения по теории электромагнитного поля. - М.Техиздат, 1954.
15. Мощанский В. Н., Савелова Е. В., История физики в средней школе. - М.: Просвещение, 1981.
16. Радовский М. И., Михаил Фарадей. Биографический очерк, М. – Л., 1946.
17. Славин Фарбер. "Гений творит то, что должен". –fizmag.narod.ru
18. Степин В.С. Становление научной теории. Минск: БГУ, 1976.
19. Менцин Ю.Л. Теория электромагнитного поля: от Фарадея к Максвеллу. В кн.: Физика IX-XX вв. в общенаучном и социокультурном контекстах. Физика XIX в. М.: Наука, 1995.
20. Столетов А.Г. Собр. соч., т. 2, 1941.
21. Тамм И. Е., Основы теории электричества, 7 изд., М., 1957.
22. Тяпкин А. А., Шибанов А. С., Пуанкаре. - М.: Молодая гвардия, 1982.
23. Фарадей М., Экспериментальные исследования по электричеству, пер. с англ., т. 1, -М., 1947.
24. Фарадей М. Экспериментальные исследования по электричеству. Тт. 1-3, М.: АН СССР, 1947-1959, т.3
25. Физические основы электротехники, под общ. ред. К. М. Поливанова, М. — Л., 1950.
26. Фриш С. Э., Оптические спектры атомов, М. – Л., 1963.
27. Храмов Ю. А., Физики: Биографический справочник.- М.: Наука, Главная редакция физико-математической литературы,1983.
28. Шнейберг Я.А. Переплетчик, ставший академиком.//"ЭЭергия" 2002, № 2.
29. Экспериментальные исследования по электричеству, т. 1–3, - М., 1947.
30. Энциклопедический словарь юного физика/Сост. В. А. Чуянов.- М.: Педагогика-пресс, 1997.
31. Энциклопедический словарь юного математика / сост. А. П. Савин.- М.: Педагогика-Пресс, 1997.
32. Эйнштеин. А. Собрание научных трудов. Том 2,М.Наука, 1966, с.160.
33. http://www.krugosvet.ru/articles/04/1000472/1000472a1.htm
34. http://fizmag.narod.ru/pages/rus5.html
35. http://historic.ru/books/item/f00/s00/z0000027/st030.shtml
Похожие рефераты:
Лекции по физике В.И.Бабецкого
Электрическая стихия в мировозрении человека
История и развитие сварочного производства
Экзаменационные билеты и ответы за 11 класс по Физике
Получение и использование электрической энергии
Английский физик Майкл Фарадей
Знаменитые люди Великобритании
Применение Законов Электродинамики
Развитие оптики, электричества и магнетизма в XVIII веке
Классическая наука: летопись открытий
Концепции современного естествознания
История исследования магнита и явления магнитизма
Научный подвиг «Ньютона электричества»
История, панорама современного естествознания и тенденции его развития

