| Похожие рефераты | Скачать .docx |
Реферат: Отчет по прохождению производственной практики на вертикально-фрезерном станке
Московский Государственный Технологический Университет
“СТАНКИН”
Отчет
по
прохождению
производственной практики
на
вертикально-фрезерном станке
Выполнено студентами группы М-2-4
Шелковским С.П. и Серовым А.М.
Проверил: Артюхин Л.Л.
Москва 1998
В настоящее время в машиностроении широко используются детали, содержащие сложно-профильные поверхности: формообразующие поверхности штампов, прессформ, копиры и многие другие.
К основным способам получения деталей с такими поверхностями можно отнести литье, штамповка, резание. Однако только обработка резанием, в частности фрезерование, позволяет получить параметры поверхности близкими к заданным и сократить время последующей доводки. Очень часто этот метод является единственным возможным методом, это особенно важно на данный момент, так как большинство предприятий машиностроения перешли на серийное или мелкосерийное производство. Получение деталей фрезерованием, при таком типе производства, наиболее экономически оправдано.
Типовой технологический процесс обработки сложнопрофильных поверхностей включает в себя следующие операции: заготовительная, фрезерная, доводочная. Последняя выполняется вручную, при этом трудоемкость операции определяется выходными параметрами поверхности после фрезерования. Поэтому обеспечив высокий класс шероховатости на стадии фрезерования, можно сократить время на доводку, которая является наиболее трудоемкой частью технологического процесса.

Вертикально-фрезерный станок.
Предназначен для выполнения разнообразных фрезерных работ цилиндрическими, угловыми, торцевыми, фасонными и другими фрезами. На станках обрабатывают горизонтальные и вертикальные плоскости, пазы, рамки, углы, зубчатые колеса, модели штампов, пресс-форм и другие детали из стали, чугуна, цветных металлов, их сплавов и пластмасс.
Мощность приводов и высокая жесткость станков позволяют применять твердосплавный инструмент.

В станине 1 размещена коробка скоростей 2. Шпиндельная головка 3 смонтирована в верхней части станины и может поворачиваться в вертикальной плоскости. При этом ось шпинделя 4 можно поворачивать под углом к плоскости рабочего стола 5. Главным движением является вращение шпинделя. Стол, на котором закрепляют заготовку, имеет продольное перемещение по направляющим салазок 6. Салазки имеют поперечное перемещение по направляющим консоли 7, которая перемещается по вертикальным направляющим станины. Таким образом, заготовка, установленная на столе 5, может получать подачу в трех направлениях. В консоли смонтирована коробка подач 8.
На вертикально-фрезерных станках применяют следующие типы фрез: торцовые (рис 1.1), концевые (рис 1.2), шпоночные (рис 1.3). Фрезы изготовляют цельными (рис 1.1, 1.2, 1.3) или сборными (рис 1.4) с напайными или вставными ножами.
Цельные фрезы изготовляют из инструментальных сталей, корпуса напайных фрез — из конструкционных сталей; на рабочие части зубьев фрез припаивают пластинки из быстрорежущих сталей и твердых сплавов. У сборных фрез зубья (ножи) выполняют из быстрорежущих сталей или оснащают пластинками из твердых сплавов и закрепляют в корпусе фрезы различными механическими способами.
Режущее лезвие торцовой фрезы состоит из главного режущего лезвия 8, переходного лезвия 9 и вспомогательного лезвия 10. Зуб торцовой фрезы имеет главный угол в плане j, измеряемый между проекцией главного режущего лезвия на осевую плоскость и направлением подачи. Вспомогательный угол в плане j1 составляет 5-10о . Чем меньше этот угол, тем ниже шероховатость обработанной поверхности. Угол а плане на переходном режущем лезвии j0 =j/2.
Для закрепления заготовок на фрезерных станках применяют универсальные и специальные приспособления. К универсальным приспособлениям относятся прихваты, угольники, призмы, машинные тиски.
При обработке большого числа одинаковых заготовок изготовляют специальные приспособления, пригодные только для установки и закрепления этих заготовок на данном станке. Важной принадлежностью фрезерных станков являются делительные головки. Они служат для периодического поворота заготовок на требуемый угол и для непрерывного их вращения при фрезеровании винтовых канавок.
Делительная головка состоит из корпуса 1, поворотного барабана 2 и шпинделя 4 с центром. В корпусе на шпинделе жестко закреплено червячное зубчатое колесо (обычно с числом зубьев 40), находящееся в зацеплении с однозаходным червяком. Вращение шпинделю сообщают рукояткой 6. Следовательно, при одном обороте рукоятки шпиндель сделает 1/40 оборота. На переднем конце шпинделя нарезана резьба для навинчивания кулачкового патрона или поводка. Делительный лимб 5 с отверстиями закреплен на полом валу, внутри которого расположен вал рукоятки 6. Для удобства пользования лимбом 5 имеется раздвижной сектор 7, состоящий из двух ножек, которые устанавливают так, чтобы между ними было необходимое число отверстий на лимбе. На шпинделе 4 закреплен лимб 3 для непосредственного деления заготовки на части.
Винтовые канавки фрезеруют при непрерывном вращении шпинделя делительной головки, которое он получает от винта продольной подачи стола фрезерного станка через сменные колеса. Заготовку устанавливают в центрах делительной головки и задней бабки. В процессе обработки заготовка получает два движения — вращательное и поступательное вдоль оси. Оба движения согласованы так, что при перемещении на шаг нарезаемой винтовой канавки заготовка делает один оборот.
В качестве вспомогательного инструмента применяют фрезерные оправки для закрепления фрез и передачи крутящего момента от шпинделя на фрезу. Базой для крепления фрезы на оправке может быть её центровое отверстие или хвостовик (конический или цилиндрический). По способу крепления в первом случае фрезы называют насадными, во втором — хвостовыми.
На рисунке 1.5 показана оправка для крепления торцовых фрез. Коническим хвостовиком 10 оправку закрепляют в шпинделе 1, а на другом конце оправки крепят насадную фрезу 11 с помощью шпонки 12 и винта 13. Фрезы с коническим хвостовиком 15 закрепляют в коническом отверстии шпинделя 1 непосредственно или через переходные втулки 14 (рис 1.6). Фрезы с цилиндрическим хвостовиком закрепляют в цанговом патроне. Конический хвостовик патрона вставляют в шпиндель станка и закрепляют болтом.
На рисунках показаны схемы фрезерования поверхностей на вертикально-фрезерном станке. Движения, участвующие в формообразовании поверхностей в процессе резания, на схемах указаны стрелками.
Горизонтальные плоскости фрезеруют на вертикально-фрезерных станках торцовыми фрезами (рис 2.1). Это удобнее вследствие большой жесткости их крепления в шпинделе и более плавной работы, так как одновременно работает большое количество зубьев.
Вертикальные плоскости фрезеруют на вертикально-фрезерных станках концевыми фрезами(рис 2.2).
Наклонные плоскости и скосы фрезеруют торцовыми (рис 2.3) и концевыми (рис 2.4) фрезами на вертикально-фрезерных станках, у которых фрезерная головка со шпинделем поворачивается в вертикальной плоскости.
Уступы фрезеруют на вертикально-фрезерных станках концевыми фрезами (рис 2.5).
Пазы на вертикально-фрезерных станках фрезеруют за два прохода: прямоугольный паз концевой фрезой, затем скосы паза концевой одноугловой фрезой для паза типа «ласточкин хвост» (рис 2.6); и для Т-образного паза (рис 2.7) фрезеруют паз прямоугольного профиля концевой фрезой, затем нижнюю часть паза — фрезой для Т-образных пазов.
Закрытые шпоночные пазы фрезеруют концевыми фрезами (рис 2.8), а открытые — концевыми или шпоночными (рис 2.9). точность получения шпоночного паза является важным условием при фрезеровании, так как от неё завесит характер посадки на шпонку сопрягаемых с валом деталей. Фрезерование шпоночной фрезой обеспечивает получение более точного паза; при переточке по торцовым зубьям диаметр фрезы практически не изменяется.
Фрезерование цилиндрических зубчатых колес на вертикально-фрезерных станках осуществляется пальцевой фрезой (рис 2.10).
Сложно-профильные поверхности могут включать в себя выпуклые, вогнутые и прямолинейные участки. Причем в качестве инструмента может использоваться однозубая или многозубая фреза. Кроме того, требуемый профиль можно получить поворотом или только поступательным движением фрезы, т.е. можно выделить следующие способы получения сложнопрофильных поверхностей:
- вогнутая цилиндрическая поверхность, получаемая
а) за счет поворота оси фрезы на угол;
б) за счет поступательного движения фрезы;
- выпуклая цилиндрическая поверхность, получаемая
а) за счет поворота оси фрезы на угол;
б) за счет поступательного движения фрезы.
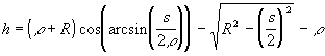
В работе [ 1 ] приведены формулы расчета шероховатости для всех указанных выше способов получения поверхностей. Однако расчет по данным формулам показал, что они требуют уточнения.
Уточненные зависимости имеют следующий вид:
Шероховатость вогнутой цилиндрической поверхность,
получаемой за счет поворота оси фрезы на угол (рис. 1.а.)

или

где h - высота гребешка, получаемого при фрезеровании,
r - радиус кривизны обрабатываемой поверхности,
R - радиус фрезы,
s - подача,
a - угол поворота оси фрезы
Шероховатость выпуклой цилиндрической поверхность,
получаемой за счет поворота оси фрезы на угол (рис. 1.в.)

Шероховатость выпуклой цилиндрической поверхность,
получаемой за счет поступательного движения фрезы (рис. 1.г.)

Из показанных выше зависимостей видно, что шероховатость зависит от радиуса кривизны поверхности, радиуса фрезы и подачи. Наибольшее влияние оказывают две последние величины.
В приведенных зависимостях не учитывались случайные величины, такие как упругие деформации, вибрация узлов технологической системы, температурный фактор и некоторые другие, которые в меньшей степени влияют на модель шероховатости при обработке фрезой.
Похожие рефераты:
Проектирование цеха ремонта поршневых компрессоров
Разработка технологического процесса изготовления матрицы
Разработать технологический процесс обработки детали "Вал" в условиях среднесерийного производства
Теоретические методы технологии машиностроения
Технологические методы лезвийной обработки резанием
Разработка технологического процесса изготовления детали "Пробка"