| Похожие рефераты | Скачать .docx |
Реферат: Современный этап развития рынка ценных бумаг в России и задачи регулирования
Базовый курс
по рынку
ценных бумаг
Учебное пособие рекомендовано Федеральной комиссией по рынку ценных бумаг для подготовки к базовому экзамену
Москва • 1997г.
Базовый курс по рынку ценных бумаг. —М.: Финансовый издательский дом «Деловой экспресс», 1997 — 485 с.
ISBN 5-89644-003-0
Основной целью настоящего пособия является ознакомление читателя с основами и наиболее существенными вопросами функционирования рынка ценных бумаг как с точки зрения сложившейся общемировой практики, так и применительно к конкретным условиям Ро ссии.
Учебное пособие предназначено для подготовки к базовому экзамену для соискателей квалификационных аттестатов Федеральной комиссии по рынку ценных бумаг, но может быть рекомендовано для широкого круга лиц, интересующихся теоретическими и практическими вопросами развития рынка ценных бумаг.
Научные редакторы: д. э. н. Радыгин А. Д. (часть 1, II); д. э. н., проф. Хабарова Л. П. (главы 16,17); д. ф.-м. н. Шапиро Л. Б. (глава 18).
Современный этап развития рынка ценных бумаг в России и задачи регулирования
ЧАСТЬ 1: ОСНОВЫ РЫНКА ЦЕННЫХ БУМАГ
Введение
Глава 1. Основные понятия рынка ценных бумаг
1.0 Сбережения, инвестиции и рынок ценных бумаг
1.1 Основные заемщики и поставщики капитала на рынке ценных бумаг
1.2 Инструменты денежного рынка
1.3 Инструменты рынка ценных бумаг
1.4 Первичные и вторичные рынки
1.5 Роль посредников
1.6 Инвестиционные цели и решения
Глава 2. Инфраструктура рынков ценных бумаг
2.0 Понятие инфраструктуры
2.1 Различие рынков ценных бумаг по видам торговли
2.2 Задачи и механизмы инфраструктуры рынка ценных бумаг
2.3 Как работают элементы инфраструктуры
Глава 3. Рынки долговых ценных бумаг
3.1 Государственные долговые инструменты
3.2 Основные участники
3.3 Доходность облигаций
3.4 Международные рынки государственных облигаций
3.5 Рынок государственных ценных бумаг России
3.6 Корпоративные облигации
3.7 Взаимоотношения с государственными облигациями
3.8 Конвертируемые облигации
3.9 Еврооблигации
Глава 4. Рынки акций
4.1 Виды акций
4.2 Основные участники рынка
4.3 Доходность и прирост капитала
4.4 Международные рынки акций
4.5 Российский рынок акций
4.6АДР и ГДР
4.7 Индексы цен на акции
Глава 5. Производные Инструменты
5.0 Виды производных инструментов
5.1 Базовые принципы ценообразования
5.2 Основные направления использования производных инструментов
Глава 6. Инвестиционные фонды
6.0 Что такое коллективные инвестиционные фонды
6.1 Коллективные инвестиционные фонды в мире
6.2 Юридическая и операционная структура фонда
6.3 Определение цены акций или паев фондов
6.4 Сравнение типов фондов в разных странах
6.5 Регулирование деятельности коллективных инвестиционных фондов
6.6Роль органа регулирования
Глава 7. Риск, хеджирование и диверсификация
7.0 Понятия риска, хеджирования и диверсификации
7.1 Основы управления портфелем ценных бумаг
Введение
Развитие рынка ценных бумаг в России и задачи регулирования
Глава 8. Правовые основы ведения предпринимательской деятельности на рынке ценных бумаг
8.0 Понятия и иерархия законодательной и нормативной базы
8.1 Субъекты и объекты гражданского права
8.2 Собственность в гражданском праве
8.3 Сделки, представительство и доверенности в гражданском праве
8.4 Обязательственное право
8.5 Ценные бумаги в гражданском праве и законодательстве о ценных бумагах
Глава 9. Основы корпоративного права
9.0 Значение и факторы корпоративного управления
9.1 Создание АО
9.2 Преобразование и ликвидация АО
9.3 Права акционеров
9.4 Компетенция органов управления
Глава 10. Система регулирования рынка ценных бумаг и роль ФКЦБ
10.0. Общие принципы, задачи и объекты регулирования
10.1. Функции и права ФКЦБ
10.2. Региональные отделения ФКЦБ
10.3. Саморегулируемые организации (СРО)
10.4. Обеспечение исполнения законодательства
Глава 11. Эмиссия ценных бумаг
11.1 Регулирование эмиссии ценных бумаг
11.2 Стандарты выпуска акций и облигаций
Глава 12. Обращение ценных бумаг
12.0 Обращение ценных бумаг и учет прав собственности
12.1 Передача прав собственности на ценные бумаги
12.2 Валютное регулирование сделок с ценными бумагами
12.3 Антимонопольное регулирование сделок с ценными бумагами
Глава 13. Раскрытие информации на рынке ценных бумаг
Глава 14. Виды профессиональной деятельности на рынке ценных бумаг и ее регулирование
Глава 15. Формы коллективного инвестирования в России
15.0 Понятие и особенности коллективного инвестирования
15.1 Акционерные инвестиционные фонды, включая чековые инвестиционные фонды
15.2 Паевые инвестиционные фонды: правовая база и перспективы
15.3 Негосударственные пенсионные фонды
15.4 Кредитные союзы
Глава 16. Налогообложение на рынке ценных бумаг
16.1. Налоговая система: объекты, плательщики, виды и ставки налогов
16.2 Налог на прибыль предприятий и организаций
16.3 Подоходный налог с физических лиц
16.4 Налог на добавленную стоимость, налог на имущество и налог на операции с ценными бумагами
Глава 17. Основы бухгалтерского учета
17.0 Основные регистры бухгалтерского учета
17.1 Виды счетов бухгалтерского учета
17.2 Правила записи по счетам бухгалтерского учета
17.3 Аналитические и синтетические счета бухгалтерского учета
17.4 Основные принципы ведения бухгалтерского учета и типы бухгалтерских проводок и
17.5 Основные принципы составления бухгалтерского баланса из счетов бухгалтерского учета, структура типового баланса предприятия
17.6 Статьи баланса, используемые для отражения операций с ценными бумагами
Глава 18. Основы финансовых вычислений
18.1 Два способа расчета процентных выплат (простой процент, сложный процент)
18.2 Изменение стоимости денег во времени
18.3 Расчет годовых ставок процента
18.4 Понятие о дисконтировании денежных потоков
18.5 Внутренняя ставка доходности
18.6 Аннуитеты
18.7 Расчет текущей стоимости для потоков платежей, начинающихся в момент времени, на который рассчитывается текущая стоимость инвестиции
СОВРЕМЕННЫЙ ЭТАП РАЗВИТИЯ РЫНКА ЦЕННЫХ БУМАГ В РОССИИ И ЗАДАЧИ РЕГУЛИРОВАНИЯ
В последние годы рыночное реформирование российской экономики позволило достичь ряда серьезных успехов. Кардинально снижен уровень инфляции, существенно меньшими стали инфляционные ожидания населения, стабилизировался курс национальной валюты, достигнуты первые успехи в деле перепрофилирования неэффективных производств, заработала процедура банкротства.
В 1994—1996 гг. на российском рынке ценных бумаг произошел ряд позитивных изменений:
· сложились благоприятные политические условия для развития рынка;
· рынок государственных ценных бумаг позитивно повлиял на формирование инвестиционных портфелей крупных инвестиционных фондов;
· вырос потенциал рынка корпоративных ценных бумаг и увеличилась его капитализация;
· рынок стал более ликвидным и информационно-прозрачным;
· развивалась инфраструктура рынка и был преодолен ряд специфических рисков (“риск регистратора” и др.);
· укрепилась законодательная база рынка за счет принятия федеральных законов и ряда нормативных документов в этой сфере;
· были наработаны новые механизмы защиты прав акционеров.
Важнейшим качественным отличием современного этапа развития РЦБ является также растущее международное признание российского РЦБ, доступ российских эмитентов различного типа к мировым финансовым рынкам. Среди наиболее важных событий в этой области следует отметить вступление России в Международную организацию комиссий по ценным бумагам (IOSCO), получение одновременно кредитного рейтинга Moody 's,Standard& Poor' s и 1ВСА, успешные выпуски “еврооблигаций”, публикация индекса IFC GlobalRussia, выпуски ADR/GDR рядом компаний, включение одной из российских компаний в листинг Нью-Йоркской фондовой биржи, признание американской SEC некоторых российских банков “надежным иностранным депозитарием” и др.
При этом у российского рынка ценных бумаг существует значительный потенциал дальнейшего развития. В основе этого потенциала лежат такие факторы, как большое число созданных в процессе приватизации открытых акционерных обществ, значительное число перспективных предприятий, акции которых пока явно недооценены, интерес многих предприятий к дополнительным эмиссиям, желание многих региональных и муниципальных органов власти осуществить выпуски своих займов (облигаций) и ряд других. Значительные перспективы роста российского рынка связаны с разумной политикой финансирования дефицита федерального бюджета посредством выпуска различных типов государственных ценных бумаг.
Ключевой задачей, которую должен выполнять рынок ценных бумаг в России, является прежде всего обеспечение гибкого межотраслевого перераспределения инвестиционных ресурсов, максимально возможного притока национальных и зарубежных инвестиций на российские предприятия, формирование необходимых условий для стимулирования накопления и трансформации сбережений в инвестиции.
С учетом специфики формирования российского рынка ценных бумаг в рамках переходной экономики складывающаяся модель должна содействовать также достижению следующих целей:
• макроэкономическая;
• содействие в формировании условий для экономического роста;
• эффективное финансирование дефицита федерального бюджета посредством выпуска различных типов государственных ценных бумаг;
• надежная защита прав инвесторов;
• развитие процессов интеграции регионов России на основе формирования единого цивилизованного фондового рынка;
• стимулирование вложения капиталов российских инвесторов преимущественно в российскую экономику;
• превращение России в один из самостоятельных мировых центров фондовой торговли.
В то же время текущее развитие российской экономики протекает на фоне инвестиционного кризиса. Он выражается как в острой нехватке инвестиционных ресурсов на рынке, так и в нежелании инвесторов (как внутренних, так и внешних) вкладывать средства в промышленность (реальный сектор). Надежда на то, что после президентских выборов в Россию хлынет мощный поток зарубежных инвестиций, пока не оправдалась. Причин здесь несколько, но главная — высокий уровень инвестиционных рисков: политических, валютных, рыночных, законодательных и др. В этой ситуации особое значение приобретает мобилизация внутренних источников инвестиций и в особенности денежных средств населения.
Институциональные реформы, которые в значительной мере уже осуществлены, не могут считаться завершенными без создания конкурентоспособного финансового сектора, способного мобилизовать и предоставить реформируемой экономике инвестиционные ресурсы для ее развития. Стимулирование производства и инвестиций, структурная перестройка и повышение эффективности экономики являются определяющими факторами становления рыночной экономики.
Принимая во внимание масштаб задач, которые предстоит решить в ближайшее десятилетие, очевидно, что Россия не может полагаться только на бюджетную систему и банковский сектор для обеспечения финансирования реконструкции экономики. Очевидно, что роль рынка ценных бумаг в этой связи приобретает исключительно важный характер. Соответственно трудно переоценить необходимость эффективного регулирования рынка ценных бумаг:
• регулирование дает “правила игры” для цивилизованной конкуренции между участниками рынка, которая в конечном результате приводит к расширению и улучшению качества предлагаемых инвесторам услуг;
• регулирование создает условия, позволяющие населению с уверенностью вкладывать средства, а участникам рынка — безбоязненно расширять свой бизнес;
• регулирование обеспечивает высокие стандарты поведения участников, минимизируя риск мошенничества и злоупотреблений.
В силу вышеуказанных экономических и социальных причин и в силу важности этой отрасли для развития и стабилизации экономики рынок ценных бумаг на сегодняшний день рассматривается как область интенсивного регулирования, то есть расширяется сфера присутствия и степень прямого вмешательства государственных органов в этот сектор экономики.
Этот принцип справедлив и по отношению к политике в области квалификационных требований, целью которой является контроль профессиональной компетенции лиц, работающих на рынке ценных бумаг, их приверженности законодательству, нормам деловой и профессиональной этики. Аттестация руководителей и специалистов профессиональных участников рынка ценных бумаг является практической реализацией указанной политики.
Данное учебное пособие предназначено для подготовки к базовому экзамену для соискателей квалификационных аттестатов ФКЦБ России и служит целям ознакомления с основами функционирования рынка ценных бумаг, законодательной, нормативной базой и системой регулирования рынка ценных бумаг в России.
ЧАСТЬ 1: ОСНОВЫ РЫНКА ЦЕННЫХ БУМАГ
ВВЕДЕНИЕ
Рынок ценных бумаг позволяет правительствам и предприятиям расширять круг источников финансирования, не ограничиваясь самофинансированием и банковскими кредитами. Потенциальные инвесторы в свою очередь с помощью рынка ценных бумаг получают возможность вкладывать свои сбережения в более широкий круг финансовых инструментов, тем самым получая большие возможности для выбора.
При существовании рынка ценных вкладчик может получить прямой доступ к предприятию, и точно также предприятие может обратиться к вкладчику непосредственно как к источнику финансирования. Эти взаимоотношения называются первичным рынком. Вкладчик — теперь инвестор — желает иметь возможность быстро реализовать свои инвестиции. В этой связи рынок ценных бумаг, используя посредников и формируя финансовые учреждения, создает вторичный рынок, который способствует решению таких задач.
Единой модели, обеспечивающей успешное функционирование рынка ценных бумаг, не существует. На практике невозможно и нежелательно копировать рынок ценных бумаг только потому, что он нормально функционирует в других странах. Важно также понимать, что рынки ценных бумаг непрерывно развиваются, что вызвано изменениями ситуации в стране, экономической политики, технологий, регулятивных мер и появлением новых продуктов и структур затрат. Таким образом, можно утверждать, что рынки представляют собой не окончательно сформированные и застывшие структуры, а постоянно развивающиеся организмы.
Таким образом, основная цель функционирования рынка ценных бумаг состоит в том, чтобы сформировать механизм для привлечения в экономику инвестиций путем построения взаимоотношений между теми, кто испытывает потребность в средствах, и теми, кто хочет инвестировать избыточный доход.
Материал, представленный в Части 1 учебного пособия, имеет целью создать общее представление об основах функционирования рынка ценных бумаг с позиций общемировой практики и основных тенденций его развития. Так, в Главе 1 предпринята попытка ввести читателя в круг основных понятий рынка ценных бумаг, носящих международный характер и, может быть, не совсем присущих практике функционирования российского рынка ценных бумаг, поэтому Глава 1 носит скорее ознакомительный характер. Специфика российского рынка ценных бумаг представлена в главах, посвященных характеристике рынков долговых ценных бумаг и рынков акций (параграфы 3.5, 4.6 Главы 3 и Главы 4 соответственно).
ГЛАВА 1. ОСНОВНЫЕ ПОНЯТИЯ РЫНКА ЦЕННЫХ БУМАГ
1.0 СБЕРЕЖЕНИЯ, ИНВЕСТИЦИИ И РЫНОК ЦЕННЫХ БУМАГ
В самом общем виде сбережения представляют собой доход за вычетом расходов на потребительские товары. Инвестиции равняются общему объему производства за вычетом объема произведенных потребительских товаров. По сути, инвестиции и сбережения с разных сторон характеризуют один и тот же процесс — увеличение физических активов общества.
Соответственно, сбережения могут рассматриваться как добавочный свободный доход, остающийся после оплаты всех обычных расходов. На самом деле, для этих сбережений и существует финансовая система с тем, чтобы повлиять на перераспределение имеющихся финансовых ресурсов.
Конечно, решения о сбережениях и решения об инвестициях принимаются по разным причинам. Люди делают сбережения, чтобы обеспечить будущее себе и своим детям и чтобы повысить уровень жизни с течением времени. Предприниматели инвестируют деньги, приобретая капитальные активы (здания, заводы, оборудование) в целях производства и в расчете на получение прибыли в будущем. В значительной степени они финансируют приобретение капитальных активов за счет кредитов от населения или банков, а не за счет своих собственных сбережений. Перспективы получения прибыли и соответственно размер частных инвестиций периодически колеблются. Сумма, которую отдельные лица и компании могут отложить на будущее, зависит от размера их дохода. У человека с маленьким доходом есть очень маленькие возможности для того, чтобы делать сбережения, или таких возможностей нет вообще. Чем больше доход, тем больше та его часть дохода, которую можно откладывать на будущее. Сумма, которую предприниматели решают инвестировать, ^^ зависит в основном от ожидаемых расходов. Равенство между сбережениями и инвестициями поддерживается необязательно за счет изменений в процентных ставках, как могло бы казаться, а за счет изменений в размере национального дохода.
Современное понимание природы финансовой системы не ограничивается сведением ее к поверхностным формам аккумуляции, распределения и перераспределения финансовых потоков. Финансовая система — это определенное институциональное устройство, обеспечивающее трансформацию сбережений в инвестиции и выбор направлений их последующего использования в производительном секторе экономики.
Распределение ресурсов осуществляют финансовые рынки и финансовые институты, выполняющие различные посреднические услуги.
Для современной рыночной экономики финансовый рынок является “нервным центром” экономики. Это чрезвычайно сложная структура с множеством участников — финансовых посредников, оперирующих с разнообразными финансовыми инструментами и выполняющих широкий набор функций по обслуживанию и управлению экономическими процессами.
Существует несколько способов классификации финансовых рынков:
• по принципу возвратности (долговые обязательства и рынок собственности);
• по характеру движения ценных бумаг (первичный и вторичный);
• по форме организации (организованные и распределенные);
• по сроку предоставления денег (рынок денег и рынок капиталов).
Уже из приведенных классификаций становится понятно, что рынок ценных бумаг является важнейшей составной частью финансовых рынков.
Очевидно, что понятие “финансовые рынки” шире, чем понятие «рынки ценных бумаг». Так, например, к финансовым рынкам относятся и прямые банковские кредиты, и внутрифирменные кредиты, и перераспределение финансовых ресурсов через государственные и частные пенсионные системы, и аккумуляция ресурсов в страховом бизнесе.
Рынок ценных бумаг в свою очередь является важной составной частью как денежного рынка, так и рынка капиталов, которые в совокупности составляют финансовый рынок.
Цель функционирования рынка ценных бумаг — как и всех финансовых рынков — состоит в том, чтобы обеспечивать наличие механизма для привлечения инвестиций в экономику путем установления необходимых контактов между теми, кто нуждается в средствах, и теми, кто хотел бы инвестировать избыточный доход. При этом очень важно, чтобы рынок ценных бумаг обеспечивал наличие механизма, способствующего эффективной передаче инвестиций (оформленных в виде тех или иных ценных бумаг) из рук в руки, причем такая передача должна иметь юридическую силу.
Рынок ценных бумаг будет выполнять стоящие перед ним задачи постоянного поддержания экономического роста только в том случае, если существует полная свобода передвижения таких инвестиций. Такая свобода называется ликвидностью. Ликвидность может существовать только при условии наличия такого числа покупателей и продавцов, которое будет достаточным для того, чтобы удовлетворять требованиям спроса и предложения, также необходимы торговые системы, которые позволяли бы покупателям и продавцам находить друг друга относительно легко.
Все это должно основываться на информационных потоках приемлемого качества, из которых можно будет узнать о наличии инвестиционных продуктов и о заинтересованных заемщиках и кредиторах. Таким образом, одна из основных ролей рынка ценных бумаг состоит в том, чтобы обеспечивать точность, правильность и содержательность предоставляемой информации. В принципе все это нацелено на то, чтобы поддерживать уверенность и доверие между заемщиками, кредиторами, инвесторами и общественностью.
Следовательно, эта роль будет выполняться только тогда, когда обеспечивается раскрытие необходимой информации:
• эмитенты будут раскрывать всю важную информацию о себе и своих предприятиях, включая предоставление необходимой финансовой отчетности;
• инвесторы будут предоставлять информацию о своих сделках, элементах контроля и своей способности выполнять финансовые обязательства;
• посредники будут предоставлять данные о своей квалификации и финансовых обязательствах, потенциальных конфликтах интересов и сделках от имени своих клиентов;
• а организаторы торговой системы и регулирующие органы будут обеспечивать соблюдение стандартов дисциплины и надежности, справедливое отношение к участникам и контроль за качеством обеспечения расчетов.
Последняя ключевая функция рынка ценных бумаг состоит в поставке ценных бумаг для обеспечения процесса продажи и оплаты и, конечно, гарантии юридической правильности операций. Хотя эта область является, вероятно, наименее привлекательной для участников рынка ценных бумаг, все-таки совершенно обоснованно она может считаться и одной из самых важных. И совершенно определенно, это та область, которой уделяется больше всего внимания со стороны регулирующих органов. Следовательно, рынку ценных бумаг требуются системы и процедуры, которые могли бы гарантировать надежность этой последней стадии.
Важнейшую роль в перемещении средств в рамках финансовой системы играют финансовые посредники (институты), которые на финансовом рынке взаимодействуют с хозяйственными субъектами, населением и между собой. По сути, их роль сводится к аккумулированию небольших, часто краткосрочных сбережений многих мелких владельцев (инвесторов) и последующему долгосрочному инвестированию аккумулированных средств.
В мире известны три наиболее общих типа финансовых посредников:
• депозитного типа (коммерческие банки, сберегательно-кредитные ассоциации, взаимные сберегательные банки, кредитные союзы);
• контрактно-сберегательного типа (компании по страхованию жизни и имущества, пенсионные фонды);
• инвестиционного типа (взаимные фонды (или паевые, или открытые инвестиционные), траст-фонды, инвестиционные компании закрытого типа (или закрытые инвестиционные фонды).
ВОПРОСЫ ДЛЯ САМОПРОВЕРКИ
1. Какова взаимосвязь между инвестициями и сбережениями?
2. Что представляет собой финансовая система?
3. Какие существуют классификации финансовых рынков?
4. Как соотносятся между собой понятия “финансовый рынок” и “рынок ценных бумаг”?
5. Опишите основные цели функционирования рынка ценных бумаг.
6. Укажите ключевые характеристики рынка ценных бумаг.
1.1 Основные заемщики и поставщики капитала на рынке ценных бумаг
Рынок ценных бумаг создает возможности для объединения заемщиков и инвесторов. В результате формируется система, через которую заемщики могут заимствовать средства из большого разнообразия источников, а инвесторы получают большой круг продуктов, в которые они могут вкладывать средства. Одна из основных выгод этой системы состоит в том, что заемщики могут заимствовать значительно большие суммы, чем раньше, и кредитование может осуществляться за счет объединения инвестиционных ресурсов различных инвесторов.
Для того, чтобы получить представление о том, что это означает, участники финансовых рынков могут рассматриваться следующим образом:
КЛИЕНТЫ ФИНАНСОВЫХ РЫНКОВ

Государство---------------Финансовый рынок -------- Финансовые институт (включая посредников)
Предприятия Физические лица
На приведенной выше схеме предприятия и государство можно рассматривать как первоочередных заемщиков, а финансовые учреждения (институты) и физических лиц — как основных поставщиков капитала. Однако также необходимо учитывать, что как компания финансовое учреждение также может выступать заемщиком в целях финансирования своих операций.
Государство использует три основных способа привлечения средств.
Первый способ — это сбор налогов на прибыль или доходы, полученные нацией. Совершенно очевидно, что ему не требуется рынок для того, чтобы добиться этого. Однако государству требуются различные регистрационные формы и наличие информации о доходах населения и предприятий для того, чтобы правильно оценить и собрать налоги.
Второй способ состоит в заимствовании сбережений населения страны или на международном рынке.
Третий способ заключается в продаже активов, которыми государство обладает на настоящий момент. Этот третий способ в тех случаях, когда он используется правительством, называется приватизацией.
Второй способ также распространяется на компании. Определяя требуемый размер финансирования и период времени, достаточный для погашения кредита, правительство и компании могут обратиться на рынок ценных бумаг и, используя его механизм, найти кредиторов, которые были бы готовы удовлетворить потребности заемщиков.
Рынок ценных бумаг предоставляет условия для двух видов заимствования.
Во-первых, в форме займов, при которой ожидается, что к какому-то моменту в будущем заемщик погасит займ; в таких обстоятельствах заемщик будет платить комиссию за получение разрешения на использование денег в течение определенного периода времени; как правило, эта комиссия представлена в форме регулярных процентных платежей, которые рассчитываются как процент от заимствования средств.
Во-вторых, заемщик может предложить права собственности на часть компании. Здесь не ожидается, что заемщик вернет заемные средства, так как он позволяет новым владельцам компании делить с ним ответственность и (что более важно) участвовать в прибыли компании. Совершенно ясно, что последний метод не доступен для правительства. Но также понятно, что предприятие не может собирать налоги для удовлетворения своих потребностей в финансировании.
Поскольку центральное правительство и местные органы власти должны обеспечивать финансирование своей деятельности до того, как поступят доходы от налогообложения и из других источников, и деятельность этих категорий заемщиков осуществляется в большом масштабе, то совсем неудивительно, что правительства являются самыми крупными заемщиками этой системы. Конечно, тот факт, что они являются крупнейшими заемщиками, также означает, что они становятся и основными поставщиками капитала в момент окончания срока погашения займов в тех случаях, когда займы не пролонгируются и не увеличиваются. Такое заимствование принимает разные формы в зависимости от сроков погашения и соответственно по разным причинам привлекает различные категории поставщиков капитала.
Срок правительственных заимствований во многом зависит от причины возникновения потребности в средствах и от того периода времени, которого, по расчетам правительства, будет достаточно для погашения займа. В то же время государство может использовать эту систему с тем, чтобы показать рынку в целом, какими должны быть основные тенденции для реализации финансовой политики государства и, в частности, политики в области процентных ставок.
Таким образом, государства могут выпускать краткосрочные долговые инструменты для того, чтобы сгладить денежные потоки своих собственных ресурсов на настоящий момент, т. е. независимо от причин появления у государства срочной потребности в средствах, либо для того, чтобы заплатить своевременно за товары и услуги в то время, как денег в казне недостаточно, либо для того, чтобы увеличить краткосрочные денежные ресурсы по каким-либо другим причинам.
Государство может использовать краткосрочные формы заимствования в целях контроля за краткосрочными банковскими процентными ставками. Например, если правительство считает, что оно должно стать более конкурентоспособным на международном рынке, то оно может повысить процентные ставки. В связи с этим оно может выпустить новый краткосрочный займ и предложить более высокие процентные ставки, тем самым показывая рынку, что в целом процентные ставки начинают расти. Государство также может использовать выпуски таких долговых инструментов в целях контроля денежной массы, находящейся в финансовой системе. Выпуск краткосрочных займов при условии их приобретения покупателями в принципе изымает денежную массу из обращения, что оставляет меньше средств, которые могут быть использованы для покупки товаров и услуг, и это также позволяет контролировать способность страны тратить деньги на потребительские товары.
Правительство также может заимствовать деньги для финансирования краткосрочных проектов или для финансирования покупки различных активов. Из политических соображений правительство, даже если у него есть какие-то долгосрочные проекты, может продолжать заимствовать краткосрочные средства для того, чтобы уравновесить рыночные силы спроса, в частности, для того, чтобы позволить корпоративному сектору получать долгосрочные кредиты. Иными словами, в тех случаях, когда компании получили долгосрочные проекты, или правительство стремится создать стимулы к строительству (что требует долгосрочного финансирования), то оно может ограничить себя в стремлении конкурировать за долгосрочные ресурсы, используя рынок краткосрочных заимствований. Важным для инвесторов в этой ситуации является тот факт, что кредитоспособность компаний вряд ли будет такой же высокой, как и кредитоспособность правительства.
Для того, чтобы правительство могло оплачивать другие крупные контракты, а также в целях погашения долгосрочных займов, ему могут понадобиться более долгосрочные средства. Таким образом, государство использует эту часть рынка для финансирования крупных национальных и международных проектов и программ.
Второй областью заимствования после государства является корпоративная сфера. Промышленное предприятие или коммерческая фирма также время от времени испытывают потребности в привлечении дополнительных денежных ресурсов. Как будет показано ниже, с точки зрения финансового менеджмента, компаниям в любой ситуации не рекомендуется привлекать новые ресурсы только за счет размещения новых акций среди владельцев компаний. Для компании в вопросе привлечения финансирования самым важным является стоимость дополнительного капитала.
Так же, как и правительства, компании могут испытывать потребности в заимствовании средств для финансирования краткосрочных или долгосрочных проектов. Совершенно очевидно, что пройдет много времени прежде, чем проект развития начнет приносить какую-либо пользу. Компании также могут потребоваться средства для финансирования приобретения какой-либо другой компании или предприятия. Однако, в отличие от правительства, компания имеет право выпускать акции помимо привлечения займов. Компания также должна учитывать, сколько денежных средств она имеет на настоящий момент. Конечно, очень хорошо, если компания обладает большим количеством ценных активов и имеет много заказов, но, не имея денег, она не сможет заплатить за сырье для производства продукции, требуемой для выполнения заказов, и не сможет выплатить заработную плату персоналу и соответственно не сможет получать прибыль.
Следовательно, как и правительство, компания должна определить срок, на который ей потребуются средства, и в течение какого периода времени она сможет погасить этот долг. Соответственно для компании важно управлять своими финансами, планируя не только на случай текущих потребностей в капитале, но и прогнозируя потребность в денежных потоках, включая возможности погашения займа.
Как уже говорилось, компания должна учитывать стоимость привлечения капитала. Хотя технически компания, являясь юридическим лицом, может существовать бесконечно, на практике это будет возможным только в том случае, если она имеет положительные денежные потоки. С тем, чтобы получить кредит, компания, возможно, должна будет предоставить обеспечение или гарантию того, что она сможет погасить займ. Это означает, что компания будет рисковать потерей некоторых своих активов в том случае, если она не сможет погасить свой долг вообще или погасить его своевременно; некоторые активы могут быть конфискованы для того, чтобы реализовать их и погасить долг. Если такие активы, которые могут быть жизненно важными для производства товаров или предоставления услуг, будут потеряны, то это может вылиться в закрытие предприятия. В принципе такая практика распространяется на все формы заимствований независимо от того, были ли они получены в банке или через рынок ценных бумаг.
Компания может также привлекать средства на неопределенный период времени, выпуская акции. В данном случае стоимость капитала, с точки зрения выплаты дивидендов по акциям, контролируется самой компанией, т. е. если компания не получила никакой прибыли, нет необходимости выплач ивать дивиденды. При таких условиях может оказаться, что для компании всегда менее рискованно привлекать капитал через дальнейший выпуск акций. Однако последствием таких действий может стать размывание прав собственности акционеров компании (если, конечно, они не могут позволить себе каждый раз подписываться на новый выпуск), и это может быть неприемлемо для старых акционеров, особенно если они владеют контрольными пакетами.
Таким образом, факторы, влияющие на стоимость капитала для компании, определяются не только ставкой и периодом погашения, но и тем воздействием, которое окажет привлечение капитала на будущее благосостояние предприятия. Следовательно, при определении потребностей в финансировании необходимо оценивать соотношение между заемными и собственными средствами в структуре капитала компании. Если заемные средства намного превышают собственный капитал, то компания может стать чувствительной к любым неблагоприятным изменениям на рынке или в каком-то отдельном секторе, что может привести к неспособности компании обслуживать свой долг. В то же время маленькая доля заемных средств по отношению к собственному капиталу может выразиться в замедлении темпов роста прибыли на одну акцию компании и вылиться в перенасыщение рынка ценных бумаг акциями, что в свою очередь может привести к падени ю цены акции и сделать компанию открытой для поглощения другими компаниями.
Источником средств для инвестирования, как было показано раньше, являются сбережения, т. е. те средства, которые не были израсходованы на потребительские нужды. Инвестиции могут исходить от государства, частных лиц, финансовых учреждений и иностранных источников. Поскольку правительство не откладывает средства специально для того, чтобы потом их инвестировать в инструменты рынка ценных бумаг, то основное внимание необходимо уделить частным лицам и финансовым учреждениям (как национальным, так и иностранным) как основным поставщиками капитала.
Частные лица могут делать сбережения, используя самые разнообразные инвестиционные продукты, но обычно только объединение мелких сумм, имеющихся у отдельных вкладчиков, в крупную сумму может удовлетворить потребности правительственных и корпоративных заемщиков. Хотя некоторая часть индивидуальных инвесторов вкладывает средства непосредственно в ценные бумаги, все-таки большая часть предпочитает косвенное инвестирование.
Сбережения частных лиц, помимо тех средств, которые лежат на банковских счетах, могут быть использованы для покупки частных лиц пенсионных программ у пенсионных фондов. Или же, что более вероятно, сбережения могут быть направлены на страхование жизни, страхование автомобилей и домов или могут быть вложены в другие страховые продукты. Дальнейший дополнительный доход может использоваться для вложения средств в паевые фонды или для приобретения паев в других коллективных инвестиционных фондах. Наконец, частные лица с большим неинвестированным доходом могут доверить свои средства финансовому менеджеру для того, чтобы он мог их инвестировать по своему усмотрению от их имени.
В число финансовых учреждений, вкладывающих средства в ценные бумаги, входят: банки, пенсионные фонды, страховые компании, паевые фонды и другие профессиональные финансовые менеджеры.
Банки привлекают депозиты в расчете на прибыль от предоставления этих средств в кредит под более высокий процент, чем они платят вкладчикам. Они также могут заимствовать средства и предоставлять их в кредит под более высокие проценты, чем та ставка, которую они выплачивают по полученному кредиту. Если рынок ценных бумаг предлагает такую же норму прибыли, а в некоторых случаях и более высокий уровень доходности, чем по простому кредиту, то банки будут стараться работать на этом рынке для того, чтобы повысить свою прибыльность. Для того, чтобы сократить риск, который несут в себе заемщики, с точки зрения невозврата кредита, банки становятся членами банковских синдикатов по кредитованию. Покупка ценных бумаг обеспечивает то же самое объединение в синдикат и ограничивает потенциальный убыток суммой инвестиции.
Пенсионные фонды принимают взносы от будущих пенсионеров, зная, что существует большая вероятность того, ч^о им не придется выплачивать пенсии большинству своих клиентов в течение первых лет. Следовательно, они могут вкладывать средства на длительные периоды и получать доходы, которые они будут накапливать и реинвестировать, не испытывая необходимости в поддержании денежных резервов для покрытия краткосрочных обязательств. Однако для того, чтобы они могли отвечать по своим обязательствам и выплачивать деньги пенсионерам, для них важно, чтобы уровень доходности фонда, по крайней мере, равнялся уровню инфляции, или был бы выше, что гораздо предпочтительнее. В течение каждого десятилетия XX века доходность ценных бумаг всегда была выше доходности по банковским денежным депозитам.
Страховые компании обычно принимают платежи по страховым полисам от предприятий и частных лиц на регулярной основе. Затем они должны постоянно обеспечивать наличие достаточного количества средств для того, чтобы отвечать при необходимости по обязательствам по страховым полисам. Компания, занимающаяся страхованием жизни, будет иметь все больше и больше обязательств перед держателями полисов по мере увеличения их возраста, так как увеличивается вероятность смерти клиента. Для компаний, занимающихся общим страхованием и страхованием автомобилей, -обязательства увеличиваются по мере роста уровня инфляции, что приводит к повышению стоимости запасных частей, затрат на перестройку и росту счетов за ремонт.
То же самое относится и к таким продуктам, как частное медицинское страхование. Следовательно, страховым компаниям необходимо инвестировать избыточные активы и денежные средства с тем, чтобы обеспечить наличие капитальной базы, достаточной для того, чтобы отвечать по обязательствам по полисам, а также зарабатывать приемлемую норму прибыли для своих акционеров. Соответственно страховая компания, инвестирующая свои средства на длительный период, должна обеспечить наличие средств, достаточных для своевременного удовлетворения обязательств. Паевые фонды, представляющие собой коллективные инвестиционные схемы, создают инвестиционный механизм для мелких инвесторов, которые считают, что они не обладают необходимыми навыками и временем для того, чтобы самостоятельно управлять своими инвестициями. Объединяя средства многих инвесторов, паевые фонды могут воспользоваться выгодами экономии за счет масштаба (то есть более низкие комиссионные затраты и более широкая диверсификация риска путем его распределения по большему числу индивидуальных инвестиций, что будет более эффективным с экономической точки, чем для индивидуального инвестора). Конечно, такие фонды не могут инвестировать средства на столь же длительные сроки, что и пенсионные фонды и страховые компании, так как инвесторы могут потребовать возврата своих средств гораздо раньше для того, чтобы использовать их в других целях. Однако по мере повышения уровня доходов и жизни увеличивается вероятность того, что поток инвестиций в такие организации увеличится. Это выливается в то, что фондам приходится изыскивать новые инвестиционные возможности для вложения привлеченных средств. И наоборот, если инвесторы хотят получить свои деньги обратно, то это означает, что в результате паевой фонд станет продавцом инвестиций. В число других организаций по профессиональному управлению средствами могут входить банковские организации, брокеры по акциям и другие организации, предоставляющие коллективные инвестиционные схемы, и даже частные инвестиционные клубы. Осуществляя свою деятельность, каждая из этих организаций будет пытаться извлечь выгоду из экономии на масштабе, о которой говорилось раньше. Соответственно они тоже могут стать крупными поставщиками капитала на рынок.
ВОПРОСЫ ДЛЯ САМОПРОВЕРКИ
1. Кто является наиболее активными заемщиками капитала на финансовых рынках?
2. Почему денежные средства, в противоположность активам, настолько важны для компании?
3. В чем состоят основные различия между государством (правительством) и корпорацией как основными заемщиками капитала?
4. Кто является основными поставщиками капитала на финансовых рынках?
5. В чем состоят особенности инвестирования частных лиц?
6. Почему инвесторы решают вкладывать средства в паевые фонды?
1.2 ИНСТРУМЕНТЫ ДЕНЕЖНОГО РЫНКА
Термин “денежные рынки” используется для описания рынка долговых инструментов со сроком погашения менее одного года (и обычно значительно меньше одного года). Обычно операции с такими продуктами осуществляются между банками и профессиональными управляющими краткосрочными денежными средствами в основном на внебиржевом рынке, а не через официальную биржу. Частные инвесторы обычно не проявляют заинтересованности в этой области).
Это сложный рынок, на котором банки могут покрывать свои потребности в ликвидности (то есть краткосрочные потребности в денежных средствах), а Центральный банк может использовать данный рынок для поставки или использования средств национальной денежной системы.
На данном рынке действуют четыре основных инструмента:
• казначейские векселя;
• переводные векселя (коммерческие векселя);
• коммерческие бумаги;
• депозитные сертификаты.
(1) КАЗНАЧЕЙСКИЕ ВЕКСЕЛЯ
Казначейские векселя выпускаются государством в качестве обязательства выплатить определенную денежную сумму, как и по всем векселям. Они выпускаются с дисконтом по отношению к лицевой (номинальной) стоимости. Вексель представляет собой долговой инструмент, но по нему не выплачиваются ни проценты, ни купонная ставка. Он просто обладает лицевой стоимостью, которая будет выплачена на дату погашения, которая часто наступает через три месяца с даты эмиссии векселя.
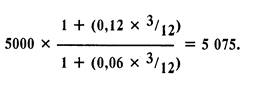
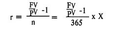
Фактический уровень доходности на момент эмиссии определяется на основе процентной ставки, которая лежит в основе дисконта. Например, если в настоящий момент основная процентная ставка по государственным ценным бумагам составляет 10% , то тогда трехмесячный вексель с номинальной стоимостью $100 будет выпущен по цене $97,56. Это составит доход в размере $2,44, что равняется 2,5% (за 3 месяца) на сумму $97,56, что в свою очередь в годовом исчислении составляет 10% общего дохода.
Как правило, правительство осуществляет эмиссию казначейских векселей регулярно и, как говорилось раньше, это дает ему возможность изымать деньги из обращения (потому что после покупки таких векселей у банков остается меньше средств для предоставления кредитов) или вкладывать их в обращение (когда правительства выкупают векселя у банков).
В итоге формируется активный вторичный рынок, так как банки используют эти инструменты для того, чтобы их ресурсы постоянно приносили хоть какой-нибудь доход. Векселя также приобретаются крупными институциональными инвесторами для использования в качестве залога для выполнения маржинальных требований по производным инструментам (требования доказать способность противостоять убыткам по этим продуктам — фьючерсам и опционам).
(2) ПЕРЕВОДНЫЕ ВЕКСЕЛЯ (КОММЕРЧЕСКИЕ ВЕКСЕЛЯ)
Эти векселя выпускаются компаниями опять-таки в качестве долговых инструментов в уплату за товары и услуги. Такие векселя получают дополнительное доказательство кредитоспособности в форме банковской гарантии или акцепта. Компания, получающая вексель, может извлечь из самого векселя очень мало пользы, но она может продать этот вексель другому банку для того, чтобы получить необходимые средства. Покупающий банк приобретает вексель с подходящим дисконтом по отношению к лицевой стоимости в связи с финансовым риском непогашения долгового обязательства в срок. Процесс расчета дисконта аналогичен процедуре с казначейскими векселями, однако, ставка дисконта отражает величину риска, связанного с операцией.
(3) КОММЕРЧЕСКИЕ БУМАГИ
Коммерческая бумага аналогична простому векселю, хотя вексель является самостоятельным инструментом, а коммерческая бумага выпускается как часть программы финансирования (то есть как только истекает срок действия одного выпуска, тут же выпускается другой). Фактически коммерческая бумага является альтернативой краткосрочного банковского кредита. Соответственно эмитент является исходным заемщиком и не перекладывает свои долговые обязательства на третью сторону.
(4) ДЕПОЗИТНЫЕ СЕРТИФИКАТЫ
Депозитный сертификат — это сертификат, подтверждающий размещение депозита у эмитента и являющийся объектом для торговли, аналогично сберегательной книжке, выдаваемой банком при внесении депозита на индивидуальный банковский счет. Выпуск депозитного сертификата в такой форме делает его переводным. Он выпускается с фиксированной процентной ставкой, что означает, что эмитент берет на себя обязательства погасить инструмент по его лицевой стоимости плюс сумма процентов в конкретный момент в будущем. Например, депозитный сертификат может быть выпущен с лицевой стоимостью $1 млн., процентной ставкой 10% и сроком погашения один год. Следовательно, на дату погашения будет выплачена сумма, равная $1 млн. плюс $100.000, то есть $1,1 млн. Такие платежи также называются “основная сумма долга плюс проценты”.
Такие документы, удостоверяющие право собственности, часто выпускаются в форме на предъявителя (то есть они не регистрируются на имя конкретного владельца) и, таким образом, они могут обращаться на вторичном рынке со скидкой по отношению к окончательной стоимости, то есть $1,1 млн. Как и у векселей, размер дисконта отражает как время, оставшееся до конца срока действия, так и текущие процентные ставки, преобладающие на банковском рынке.
ВОПРОСЫ ДЛЯ САМОПРОВЕРКИ
1. Кто является основными участниками денежного рынка?
2. Какова процедура определения дисконта в процессе ценообразования векселей?
3. Как правительство использует денежный рынок?
4. Опишите направления использования векселей.
5. Каково основное различие между депозитным сертификатом и векселем?
1.3 ИНСТРУМЕНТЫ РЫНКА ЦЕННЫХ БУМАГ
Инструменты рынка ценных бумаг можно разбить на три основных категории инвестиционных продуктов:
• облигации;
• акции;
• инструменты, дающие право на другой инструмент.
Более 90% от стоимости всех национальных и международных инвестиционных продуктов составляют облигации, которые представляют собой наиболее важную область для изучения.
(1) ОБЛИГАЦИИ
Облигации представляют собой кредитные соглашения, основанные на ценных бумагах, по которым не существует единственного кредитора, а, наоборот, целый ряд кредиторов, предоставляющих свои средства в кредит одному заемщику. Секьюритизация позволяет инструментам, несущим право собственности, обращаться на рынке. Следовательно, облигации представляют собой заимствование, которое представлено в такой форме, которая позволяет этим обязательствам свободно обращаться на рынке.
Особой чертой большинства облигаций является то, что они предлагают купон с фиксированной процентной ставкой, что дает заранее известную годовую норму прибыли. Соответственно и заемщик знает свои ежегодные расходы по заимствованию, и кредитор знает ту сумму процентных платежей, которую он будет получать каждый год. Хотя купон и является постоянной величиной, все-таки сама цена облигации будет меняться в зависимости от процентных ставок, которые существуют на рынке в настоящий момент, а также от общего восприятия экономических факторов (в частности, уровня инфляции в стране). Фиксированная процентная ставка, устанавливаемая по облигациям, будет во многом зависеть от “качества” эмитента, а также от любых других долговых инструментов, которые были выпущены данным эмитентом и находятся в обращении в настоящий момент.
Некоторые из облигаций могут иметь купон с плавающей процентной ставкой. Для того, чтобы выпустить облигации с плавающим купоном, необходимо соответствовать тем же самым критериям “качества”, а сама плавающая ставка будет объявляться как величина или процент над базовой ставкой (например, LIBOR — Лондонская межбанковская ставка предложения по межбанковским депозитам). Таким образом, рыночная цена облигации будет менее изменчивой, так как процентная ставка будет корректироваться, например, каждые шесть месяцев для того, чтобы отразить рыночные условия на настоящий момент.
Поскольку кредитные соглашения имеют определенный срок действия, большинство облигаций будут погашаемыми или срочными, т. е. это означает, что будет устанавливаться дата погашения (для погашения основной суммы долга). По некоторым облигациям будет несколько таких дат. Более подробно этот вопрос будет рассматриваться в главе 3. Меньшая часть облигаций выпускается в непогашаемой или бессрочной форме. Это означает, что дата погашения не устанавливается, но у эмитента всегда есть право выкупить эти облигации и аннулировать выпуск (но обычно эмитенты аннулируют выпуски только в тех случаях, когда они считают, что смогут привлечь средства на более выгодной основе).
Эти принципы могут распространяться на любые виды облигаций, независимо от того, были ли они выпущены государством или компанией.
Корпоративные заемщики могут выпускать облигации следующих видов:
• обеспеченные или ипотечные облигации;
• необеспеченные облигации;
• конвертируемые обеспеченные или необеспеченные облигации (подробно см. главу 3).
(2) АКЦИИ
Этот вид ценных бумаг может рассматриваться как бессрочный кредит, который был предоставлен компании в обмен на участие в прибыли в качестве одного из владельцев компании.
Основным видом акций, обращающихся на рынке капиталов, являются обыкновенные акции. Первоначальный капитал распределяется среди акционеров пропорционально сумме, внесенной при учреждении компании. Дополнительные акции могут выпускаться по разным причинам для того, чтобы компания могла получить дополнительные средства. Число выпущенных акций и уплачиваемая за них цена будут разными в разных выпусках. Необходимо также понимать, что акционеры принимают на себя риск, связанный с функционированием компании, за определенную долю прибыли, но они также обычно имеют право голоса при оценке качества управления компанией, а также в процессе принятия решений по вопросам политики компании.
По некоторым эмиссиям возникают определенные различия в степени принятия риска. Эти различия можно увидеть в названиях акций, например, отсроченные или, напротив, привилегированные обыкновенные акции.
Отсроченные акции — это обыкновенные акции, которые участвуют в распределении прибыли после привилегированных, обыкновенных и других типов акций и дающие право на дивиденд только после конкретной даты или достижения компанией определенного уровня прибыли.
Привилегированные обыкновенные акции — это термин, который используется для обыкновенных акций, которые обладают определенным льготами, привилегиями с точки зрения выплаты дивидендов или основной суммы по отношению к первому виду. Следовательно, второй вид будет стоить больше, чем первый, так как такие приоритетные права, совершенно очевидно, сокращают риск их владельцев (но только по сравнению с первым видом). В настоящий момент использование такого метода привлечения средств не поощряется, так как регулирующие меры рынка капиталов полагают, что все акции должны иметь равные права.
Еще один вид долевых инструментов, который не входит в состав собственного капитала компании, но тем не менее является частью выпущенного капитала, называется привилегированными акциями (с фиксированным дивидендом). Они представляют собой самостоятельный (и отличный от других видов акций) вид долевой ценной бумаги компании. По существу, это ценная бумага — гибрид, которая является частью долевых инструментов компании, и во всех выпусках она стоит на более высоком уровне, чем обыкновенные акции. В главе 4 это вид ценных бумаг будет рассматриваться более подробно.
(3) ИНСТРУМЕНТЫ, ДАЮЩИЕ ПРАВО НА ДРУГОЙ ИНСТРУМЕНТ
Эта группа продуктов рынка ценных бумаг, включает один инструмент, который создается компаниями-эмитентами, и другие инструменты, искусственно создаваемые рынком и компаниями, работающими с ценными бумагами.
Тот продукт, который может эмитироваться компаниями, называется варрантом. Варранты выпускаются для того, чтобы сделать базовый актив более привлекательным (т. е. они выпускаются бесплатно для того, чтобы установить хорошую цену по другому инструменту). Это дает право владельцам варрантов подписаться на акции компании по определенной цене в какой-то конкретный момент (моменты) в будущем. Единственное право, которое предоставляет этот инструмент, — это право приобрести акции по этим условиям.
Остальные виды долговых инструментов являются либо технически искусственными (т. е. они не были созданы компанией-эмитентом), либо представляют пакет ценных бумаг из двух предыдущих разделов. В этот вид продуктов входит большое количество разнообразных инструментов, которые имеют общее название производные инструменты (в главе 5 эта тема рассматривается более подробно), а также паи в инвестиционных фондах (называемые коллективными инвестициями).
Совершенно очевидно, что такие инструменты должны приниматься рынком с уверенностью, а это произойдет только тогда, когда торговля такими продуктами будет проводиться организованно (и будет признана рыночными регулирующими органами).
Производные инструменты включают: американские и глобальные депозитарные расписки ( ADR,GDR), фьючерсы, опционы (каждый из которых также рассматривается в главе 5), а также СВОПы (SWAPS), соглашения о будущих процентных ставках (ForwardRateAgreements —FRAs ) и свопционы (SWAPTIONS). Последние три вида инструментов продолжают тему фьючерсов и опционов.
Последним видом продуктов на этом рынке являются коллективные инвестиции. Менеджер собирает средства индивидуальных инвесторов и инвестирует общую сумму как единый инвестор, и все инвесторы владеют определенной долей этой общей инвестиции. В число таких инвестиций входят паевые фонды, а также некоторые страховые полисы, основывающиеся на инвестиционных продуктах того же плана, что паевые фонды. Даже пенсионные фонды могут быть организованы так, что взносы в них будут представлять собой доли в паевом фонде.
ВОПРОСЫ ДЛЯ САМОПРОВЕРКИ
1. Перечислите три типа инвестиционных продуктов рынка ценных бумаг.
2. Объясните различия между обеспеченными и необеспеченными займами.
3. Почему регулирующие органы в целом не одобряют различные ограничения, накладываемые на обыкновенные акции?
4. Приведите три примера производных инструментов.
5. Что представляет собой коллективная инвестиция?
1.4 ПЕРВИЧНЫЕ И ВТОРИЧНЫЕ РЫНКИ
Если попытаться дать самые общие определения, то “первичный” рынок — это термин, который используется для описания тех случаев, когда ценные бумаги впервые появляются на публичной арене обычно в обмен на денежные средства. “Вторичный рынок” — это термин, который используется для описания случаев, когда вторые и последующие транши находящихся в обращении ценных бумаг появляются на публичной арене; это также тот рынок, на котором обращаются ценные бумаги, которые раньше появились на рынке.
Очень важно отметить, что первичный рынок представляет собой рынок новых эмиссий и метод, который большинство заемщиков использует для привлечения новых ресурсов. Для того, чтобы этот рынок работал успешно, жизненно важно, чтобы вкладчики и инвесторы обладали уверенностью в том, что они не зря вкладывают свои деньги в этот рынок. Слабый первичный рынок подорвет ликвидность вторичного рынка. Следовательно, существует потребность в предоставлении точной информации с тем, чтобы инвесторы имели возможность проводить сравнение с другими формами инвестиций и принимать решения, следует ли вкладывать деньги в каждый новый выпуск. Другими словами, хороший первичный рынок должен быть селективным для того, чтобы можно было судить о стоимости.
С другой стороны, эмитент нуждается в хорошем первичном рынке для того, чтобы предложение на покупку ценных бумаг охватило как можно большую аудиторию потенциальных инвесторов, что должно позволить ему получить наиболее выгодную цену за предлагаемые ценные бумаги.
Существует несколько методов листинга ценных бумаг на организованном первичном рынке. В их число входят:
(1) ПРЯМОЕ ПРИГЛАШЕНИЕ КОМПАНИЕЙ:
компания приглашает общественность подписаться на ее ценные бумаги по фиксированной цене через опубликование проспекта эмиссии; все необходимые формальности и андеррайтинг (гарантия выпуска) выполняются эмиссионной компанией (обычно инвестиционным банком/компанией по работе с ценными бумагами);
(2) ПРЕДЛОЖЕНИЕ К ПРОДАЖЕ:
этот метод может использоваться в ситуации, когда кто-то из первоначальных или существующих акционеров хочет предложить свои акции населению. Компания может организовать синдикат банков и брокерских фирм, которые приобретают весь выпуск для распространения среди своих клиентов. Старые акционеры могут получить право первыми приобрести предлагаемые акции.
(3) ТЕНДЕРНОЕ ПРЕДЛОЖЕНИЕ:
инвестору предлагается участвовать в конкурсе на приобретение акций по минимальной цене. После последнего срока подачи заявок финансовые советники компании рассчитывают “цену исполнения”, которая позволит компании-эмитенту привлечь максимально требуемое финансирование; цена исполнения может быть занижена, если компания нацеливает эмиссию на особенно широкий круг акционеров (большое число акционеров, владеющих небольшим количеством акций каждый). В результате подачи конкурсных заявок компания может приобрести гораздо больше средств, чем если бы она позволила спекулятивным инвесторам заработать на премии за торги первого дня, а такое может произойти, если цена выпуска была занижена. Если по выпуску кто-то выступает в качестве андеррайтера, то тогда он будет распродан по минимальной цене тендера.
(4) ЧАСТНОЕ РАЗМЕЩЕНИЕ:
метод, при котором инвестиционный банк подписывается на предлагаемые акции, предварительно определив небольшую группу клиентов, которым он затем перепродаст акции. Или же инвестиционный банк может использоваться в качестве агента и отвечать за поиск конечных инвесторов для компании-эмитента. Это метод часто бывает дешевле для компании, чем публичное предложение, так как даже несмотря на то, что цена может быть несколько занижена для клиентов (для того, чтобы сделать инвестиции более привлекательными и компенсировать их потенциальную неликвидность), и все-таки это будет меньше, чем стоимость андеррайтинга, который в данном случае не является необходимостью.
Однако следует заметить, что регулирующие органы рынка ценных бумаг обычно настаивают на защите интересов инвесторов, что определяется требованием к минимальному числу акционеров и определенной долей акций, которая должна быть продана населению (обычно 25% ). Последнее требование, как правило, выполняется через использование второго инвестиционного банка или брокерской фирмы, которые и занимаются распространением акций. Использование такого метода, как размещение, может быть не только более дешевым методом для маленьких выпусков, но и наиболее быстрым. Здесь также выше вероятность успешного проведения эмиссии, особенно когда уже есть компании, которые стоят в очереди на подписку или на продажу, что может поглотить все имеющиеся средства.
(5) ОБРАТНОЕ ПОГЛОЩЕНИЕ ПУТЕМ ОБУСЛОВЛЕННОГО ВЫПУСКА ЦЕННЫХ БУМАГ:
метод, при котором частная компания может добиться листинга в ситуации, когда открытое акционерное общество предлагает свои акции в обмен на возможность покупки активов частной компании;
если контрольный пакет переходит к частной компании, то фактически может считаться, что она имеет привилегии с точки зрения привлечения средств, так как она получила листинг.
(6) ДОПУСК АКЦИЙ К КОТИРОВКЕ НА БИРЖЕ:
при использовании этого метода нет необходимости в выпуске новых ценных бумаг, но акционерный капитал компании должен быть достаточно оплачен для того, чтобы получить доступ к листингу или котировке на бирже. Следует понимать, что при такой форме предложения компания не привлекает никаких новых средств. Компания должна предоставить документ о допуске, но, как правило, от нее не требуется предоставление проспекта эмиссии, за исключением тех случаев, когда вслед за допуском компания планирует дополнительный выпуск акций или действия по привлечению средств.
Хотя одна из основных задач, стоящих перед рынком ценных бумаг, состоит в обеспечении эффективного механизма для привлечения капитала в целях экономического роста, не менее важным является наличие возможностей для получения прибыли за риск, который берут на себя те, кто предоставляет капитал. Это подчеркивается инвестиционным афоризмом рынка ценных бумаг: “Любой дурак умеет покупать, самое важное — это знать, когда продать”; другими словами, прибыль не будет прибылью, пока она не будет реализована.
Вторичный рынок состоит из двух частей. Одна из этих частей может быть описана как рынок для “подержанных” ценных бумаг. Вторая часть состоит из дополнительных выпусков ценных бумаг, уже находящихся в обращении, независимо о того, является ли результатом выпуска привлечение новых средств или нет.
Вышеупомянутые методы представляют собой общие способы получения листинга для ценных бумаг/компаний. Ниже приводятся методы, которые используются для получения листинга по новым выпускам уже существующих ценных бумаг, которые уже имеют этот листинг:
(1) ЛИСТИНГ ЧЕРЕЗ ИСПОЛНЕНИЕ ИЛИ КОНВЕРСИЮ:
новые ценные бумаги или новые выпуски уже обращающихся ценных бумаг могут получить листинг через исполнение опциона на новые акции (схемы премирования сотрудников или руководителей компании) или через конверсию котируемой ценной бумаги в другую форму ценной бумаги, или же через подписку на варранты для конверсии в другой вид ценных бумаг.
(2) ВЫПУСК ПРАВ:
компания хочет привлечь дополнительные средства через выпуск и листинг нового выпуска обыкновенных акций при соблюдении привилегированных условий по фиксированной цене (обычно несколько ниже текущей рыночной цены). Если кто-то из акционеров не захочет приобрести эти права, то они могут быть проданы за пределами компании, а премия, т. е. сумма превышения цены выпуска, будет кредитована на счет отказавшегося акционера.
(3) ОТКРЫТОЕ ПРЕДЛОЖЕНИЕ:
предложение выносится на рассмотрение акционеров, приглашая их подписаться на покупку дополнительных акций по фиксированной цене, но (в отличие от выпуска прав) число приобретаемых акций необязательно будет зависеть от количества акций, которыми акционер уже владеет. Это процесс приводит к более высокой цене, так как акционеры, готовые заплатить больше, получат и больше акций. С точки зрения регулирования существует компромисс между принципом преимущественного право и фактом привлечения компанией дополнительных средств.
(4) БОНУСНЫЕ ИЛИ КАПИТАЛИЗАЦИОННЫЕ ВЫПУСКИ:
акции создаются в результате капитализации резервов и бесплатно раздаются существующим акционерам пропорционально числу акций, которыми они уже владеют.
Этот и другие вопросы функционирования вторичных рынков будут более подробно рассматриваться в главе 4.
ВОПРОСЫ ДЛЯ САМОПРОВЕРКИ
1. Каковы основные различия между первичными и вторичными рынками?
2. Почему на первичных рынках так необходимо раскрывать важную информацию?
3. Опишите три метода листинга на первичном рынке.
4. Опишите две составные части вторичного рынка.
5. Каковы различия между выпуском прав и открытым предложением?
1.5 РОЛЬ ПОСРЕДНИКОВ
Большинство людей считают, что компания по работе с ценными бумагами — это фирма, выступающая в качестве агента, который берет комиссию за консультацию и предоставление услуг для клиентов, предполагая, что этот агент всегда будет зарабатывать деньги, так как он берет комиссию за то, что покупает ценные бумаги, когда цены начинают расти, и продает их, когда цены начинают падать (хотя на самом деле все может быть совсем по-другому).
В общих чертах деятельность компаний, работающих с ценными бумагами, называется посредничеством, так как они выступают в качестве промежуточного звена в процессе сведения покупателей и продавцов.
Основная часть их работы заключается в том, что они выступают в качестве агента клиента, что закреплено в контракте. Теоретически это означает, что брокер знакомит покупателя и продавца для того, чтобы обеспечить проведение операции. На практике это происходит очень редко. На западных организованных рынках биржи и рынки требуют, чтобы в соответствии с их правилами брокерские конторы несли ответственность за действия своих клиентов. Таким образом, если клиент не может совершить поставку ценных бумаг при сделке на продажу, то тогда брокер должен осуществить эту поставку сам, купив ценные бумаги на рынке. И наоборот, если клиент не может заплатить за ценные бумаги при сделке на покупку, то тогда брокер должен сам профинансировать покупку и затем продать эти ценные бумаги для того, чтобы осуществить платеж (или оставить позицию у себя).
Для понимания роли брокера нужно учитывать те взаимоотношения, которые существуют на бирже/рынке. Обычно регулируемые биржи устанавливают жесткие условия членства и получения листинга. Таким образом, каждая брокерская фирма должна удовлетворять требованиям к достаточности капитала и компетентности, чтобы поддерживать надежность рынка и уверенность в нем пользователей. Обычно требуется, чтобы брокер располагал техникой, которая позволяет предоставлять отчеты в соответствии с требованиями биржи и соблюдать стандарты проведения платежей. В дальнейшем взаимоотношения, которые складываются на рынке, зависят от структуры биржи, например, от того, использует ли биржа маркет-мейкеров, или же операции проводятся напрямую между брокерами.
Таким образом, взаимоотношения будут зависеть от того, должны ли брокеры как агенты проводить операции через оптового маркет-мейкера, или же операции осуществляются только тогда, когда брокер найдет агента со встречной заявкой (или принципала). Обычно на рынках, не использующих маркет-мейкеров, брокеры совершают большинство сделок с принципалами (это будет обсуждаться позже). С точки зрения проводимых на бирже операций, как правило, брокерам не разрешается отказываться от сделки только потому, что они не хотят работать с этим контрагентом.
На посредническом рынке от брокеров, как правило, требуется предоставлять своим клиентам платежно-расчетные услуги по всем операциям, которые прошли через их агентство, или операциям с принципалами. Поскольку от брокера обычно требуется, чтобы он брал на себя обязательства по осуществлению расчетов в соответствии с правилами биржи или рынка, то ему необходимо иметь системы и процедуры, которые позволят осуществлять этот процесс правильно и эффективно. Это влечет за собой то, что при заключении сделок системы брокера должны обеспечивать получение и передачу всей необходимой документации. Эта документация будет зависеть от стиля поставки, характерного для данного рынка.
Если условия требуют физически поставить сертификаты или права, то тогда будут требования, например, поставить действительный сертификат на имя владельца, форму, подтверждающую передачу, квитанция, подтверждающая продажи (или его эквивалент). Если ценная бумага не представлена никакими бумажными носителям, то документация может потребовать только электронных шифрованных сообщений. В любом случае следующая стадия состоит в том, чтобы обеспечить перерегистрацию для формального перехода прав от продавца к покупателю. Затем происходят расчеты с продавцом, когда полученные от покупателя деньги переводятся продавцу.
В случае с клиентом-покупателем у брокера, совершенно очевидно, существует потребность быть уверенным в том, что покупатель предоставит ему достаточно средств для того, чтобы оплатить покупку своевременно. Любая задержка в получении чистой суммы приведет к тому, что брокер должен будет профинансировать покупку ценных бумаг из своих собственных источников. Конечно, при выполнении всех этих действий очень важно учитывать время. В настоящий момент на многих рынках существуют требования к тому, что весь процесс должен быть завершен в течение короткого периода времени. На многих рынках существуют определенные условия расчетов, которые обязательно должны выполняться, которые называются Т + 3 (или 5), т. е. расчеты и поставка происходят на третий (или пятый) рабочий день с момента заключения сделки.
Следующий фактор, который является жизненно важным на организованных рынках, состоит в том, что от брокера, выполняющего посреднические функции, ожидается или даже требуется обеспечение защиты средств клиента. Это нормативное требование означает, что брокер всегда должен суметь продемонстрировать раздельность (официально — обособленность) средств, активов и инвестиций клиента от денежных средств и активов брокерской фирмы, выступающей в качестве принципала. Это обеспечивается в результате создания отдельных банковских счетов, на которых будут находиться средства клиентов, которые пока не требуются для расчетов. Уполномоченный банк должен четко определить номенклатуру этих счетов и в официальном порядке осуществлять контроль за этими средствами с тем, чтобы они не использовались ни брокером в личных целях (только для погашения долга клиента перед брокером), ни в процессе официальной ликвидации брокерской фирмы.
Меры регулирования, как правило, также требуют проведения тщательного аудита этих счетов. Результатами этого процесса является следующее: брокеру необходим доступ к средствам для того, чтобы проводить в случае необходимости расчеты по операциям клиентов; вероятность использования средств клиента в мошеннических целях сокращается; таким образом, клиент будет чувствовать себя более уверенно, оставляя деньги у брокера. Поощрение клиентов оставлять средства на таких счетах позволяет системе расчетов быть более эффективной.
И последнее. Выполняя роль посредника, брокер выполняет еще одну очень важную роль: предоставление инвестиционных консультаций клиентам. В этой связи необходимо понимать, что клиенты должны рассматривать брокера как профессионала в области инвестиций и будут обращаться к нему за советом по выбору инвестиций (в соответствии с определенными требованиями к соблюдению критериев), по налогообложению и планированию. С психологической точки зрения следует понимать, что большинство инвесторов полагают, что те инвестици и, которые приносят им хорошую прибыль, являются их заслугой (независимо от того, следовали ли они рекомендациям брокера или нет), а те инвестиционные решения, которые приводят к убыткам, являются виной брокера.
Хороши й брокер должен сделать частью своей работы постоянные исследования рынков и инвестиций, направленные на то, чтобы расширить свои знания, на основе которых он дает рекомендации клиентам. Очень важно, чтобы инвестиционные решения основывались на известной информации. Исследования, таким образом, представляют собой толкование информации с точки зрения понимания последствий событий, которые периодически повторяются в истории. Другими словами, в процессе исследований осуществляется попытка сформировать свою точку зрения на ценность каждой конкретной инвестиции. Брокеры могут использовать результаты своих решений в пользу клиентов в качестве основы для принятия инвестиционных решений.
Помимо посреднических и исследовательских функций брокерские компании предоставляют и ряд других услуг, которые являются частью обычного набора услуг, ожидаемых рынком. Поскольку одна из основных функций брокера, выступающего в качестве агента, состоит в предоставлении консультаций по инвестиционным вопросам, то вполне логично, что брокеры хотят предлагать и услуги по управлению средствами от имени клиента. Большинство индивидуальных инвесторов хотят зарабатывать на своих деньгах больше, чем они могут получить от банковских депозитов. Однако, не имея специальных знаний, возможностей и времени для отслеживания цен, управлять индивидуальным портфелем очень сложно.
В большей степени это распространяется на сбережения среднего уровня. Следовательно, для большинства частных лиц выгодно вкладывать свои средства (или, по крайней мере, часть своих средств) на счет к брокеру для того, чтобы он профессионально управлял ими.
В такой ситуации регулирующие органы почти наверняка потребуют проводить операции при соблюдении определенных согласованных условий. Такие условия, например, могут зависеть от готовности инвестора принимать на себя риск (и различные категории риска); от того, какой убыток может себе позволить инвестор; насколько серьезен получаемый доход для клиента; хочет ли клиент добиться прироста капитала (самого по себе или в сочетании . с получением текущего дохода); какие виды инвестиционных продуктов могут быть приобретены, а какие нет; а также любые другие разумные ограничения. Также необходимо, чтобы брокер получил доверенность или какой-либо аналогичный документ, который позволял бы ему управлять средствами клиентов, поскольку эти активы остаются собственностью клиента, и брокер будет осуществлять покупку и продажу от имени клиента.
Другие клиенты могут попросить брокера не только предоставлять рекомендации относительно инвестиций, но и консультировать их по вопросам управления портфелем. Здесь основная задача состоит в том, чтобы посоветовать клиенту, как правильно сформировать портфель. Хотя клиенты могут (и, как правило, так и происходит) настаивать на том, чтобы самим принимать инвестиционные решения, брокер все-таки может им посоветовать, как правильно сочетать в портфеле инвестиции с фиксированным доходом и долевые инструменты (для того, чтобы иметь равные возможности как для получения дохода, так и для прироста капитала).
Наряду с рекомендациями относительно оптимальной диверсификации портфеля, необходимо также обратить внимание клиента на валютный, страновой и отраслевой риски. Это также распространяется на те случаи, когда счета клиентов управляются брокером, но для того, чтобы принять какое-либо инвестиционное решение, брокер должен получить разрешение клиента.
Еще один вид услуг, который следует упомянуть, — это проведение оценки. На многих строго регулируемых международных рынках предоставление таких услуг часто является регулятивным требованием по отношению к тем клиентам, счетами которых брокеры управляют по своему усмотрению. Хотя многие инвесторы следят за своими инвестициями, все-таки для них это мало полезно, если они не знают их стоимости. Как уже говорилось раньше, большинство брокеров имеют быстрый доступ к текущим и историческим ценам (иногда через электронные системы), и, следовательно, для инвесторов было бы выгодно воспользоваться этой информацией для оценки стоимости своих инвестиций. При такой оценке необходимо знать о том, что входит в состав конкретной инвестиции (включая число акций), а также необходимо делать корректировки на различные капитальные действия, такие, как выпуск прав и бонусные эмиссии.
При проведении полной оценки необходимо определить стоимость каждого компонента инвестиции, умножить на число акций и соответственно определить общую стоимость инвестиции. Затем будет необходимо проиллюстрировать добавление и изъятие ценных бумаг из портфеля со времени предыдущей оценки. Более того, эффективная оценка включает в себя разбивку инвестиций на различные категории (например, по странам и отраслям). И последнее, в процессе оценки отслеживаются все денежные позиции, которые отражаются в отчетности по валютам, а в случае необходимости конвертируются в базовую валюту.
Стоимость таких услуг будет разной у разных брокеров. Некоторые фирмы могут предоставлять часть (но вряд ли все) своих услуг бесплатно, включая их стоимость в общую комиссию за обслуживание.
Важное значение имеет та деятельность, которой фирма занимается от своего собственного имени и которая может облегчить операции клиентов наряду с тем, что является потенциальным источником прибыли для самой фирмы. Этой деятельностью не могут заниматься фирмы, которые выступают только в качестве агентов. Однако с приходом компаний, работающих в двух направлениях (т. е. как агент, и как принципал), и с вторжением коммерческих и инвестиционных банков в сферу финансовых услуг (хотя в США и в большинстве европейских стран это существовало всегда), профессиональные клиенты ожидают такого обслуживания.
Одна из таких областей, которая облегчает обслуживание клиентов, называется арбитражем. Под арбитражем подразумеваются операции, при которых брокеры ищут аномалии, несоответствия в инвестиционных ценах, например, между: обыкновенной акцией и инструментом, в который она может быть конвертирована; акцией национальной компании и ее АДР или ГДР; производным инструментом и его базовым активом; двумя аналогичными производными инструментами; государственными облигациями с различными сроками погашения и т. д.
В определенной степени клиенты (особенно институциональные) часто считают, что арбитражная торговля осуществляется за счет конечного пользователя. Это происходит потому, что предполагается, что самое “дешевое” предложение будет использовано арбитражером, так как он постоянно ищет такие аномалии и не предоставляет таких возможностей другим конечным пользователям. Однако необходимо понимать, что процесс арбитража особенно важен для любого рынка капитала, так как его основная функция заключается в создании ликвидности. Таким образом, результат арбитража заключается в том, что, создавая ликвидность, он позволяет клиентам заключать выгодные для них сделки тогда, когда это для них удобно.
Еще одна область, которая облегчает проведение операций клиентами (здесь брокерская фирма выступает в качестве принципала), — это предоставление услуг маркет-мейкеров, что означает, что фирма (или отдельное лицо) выступает оптовым продавцом ценных бумаг. Не на всех рынках работают маркет-мейкеры; это является особой чертой рынков, расположенных, например, в Великобритании. В принципе роль маркет-мейкера состоит в готовности назвать двустороннюю котировку рыночным посредникам с тем, чтобы обеспечить ликвидность продуктов, обращающихся на рынке. Маркет-мейкеры, обеспечивающие ликвидность рынка, получают определенные привилегии в качестве вознаграждения за тот риск, который они берут на себя, заключая сделки независимо от того, хотят они этого или нет. Процесс выставления котировок состоит в том, что маркет-мейкер определяет спрэд между ценой, по которой он готов купить инструмент, и ценой, по которой он готов его продать. По крайней мере, теоретически, потенциальная прибыль для маркет-мейкера как для оптовика заключается в разнице между двумя ценами.
На самом деле торговля не так уж проста, как может показаться, так как в одно и то же время может существовать очень много покупателей и лишь несколько продавцов, и наоборот. В связи с этим необходимо, чтобы маркет-мейкер мог открыть короткую позицию (т. е. продать те ценные бумаги, которых у него нет) и иметь возможность взять ценные бумаги в кредит для того, чтобы осуществить поставку этих ценных бумаг. Более того, маркет-мейкерам обычно предоставляется приоритетное право заключать сделки по своим котировкам до того, как это сделают другие пользователи рынка. Если фирма выступает и как агент, и как принципал, то тогда маркет-мейкеры могут предоставлять агентам из их же группы некоторые привилегии с точки зрения готовности осуществить сделку по запрашиваемой цене.
Этот принцип и стремление брокеров заработать комиссию на той и на другой стороне приказа приводят к концепции встречных приказов клиентов. Поскольку потребности и инвестиционные портфели разных клиентов могут значительно различаться, то очень часто бывают случаи, что одна и та же ценная бумага может рассматриваться как убыточная для одного инвестора и в то же время оставаться привлекательной для другого инвестора. Соответственно брокер с приказом на продажу может знать о том, что существуют клиенты, которые хотели бы купить эту же ценную бумагу (хотя запрашиваемые клиентами цены могут быть разными). Однако верным является и то, что рынки не стоят на месте, и взгляды могут резко измениться. Соответственно для брокерской конторы может быть выгодно постараться как можно быстрее найти встречные заявки для заявок своих клиентов, не говоря уже о том, что клиент будет благодарен за ту помощь, которую ему предоставили (т. е. он будет лоялен по отношению к тому, кто ему помогает).
Как говорилось раньше, этот процесс помощи клиентам в проведении операций может являться неотъемлемой частью роли маркет-мейкеров, входящих в группу компании, но это также может являться продолжением процесса помощи клиентам, т. е. здесь компания будет выступать в качестве принципала. При условии, что компания, работающая с ценными бумагами, имеет достаточно свободных средств (или возможность получить кредит), фирма может использовать эти средства для себя как независимого инвестора, т. е. в дополнение к агентской функции. Тогда та часть компании, которая работает как принципал, может продолжать помогать агентскому отделу обслуживать клиентов (по тем причинам, которые упоминались раньше), поскольку складывающиеся позиции могут быть захеджированы (защищены) или управляться с использованием различным методов.
В принципе и маркет-мейкеры, и внутренние арбитражеры тоже могут выступать в качестве принципалов помимо фактических внутренних инвесторов- принципалов. Естественно, основная задача каждого из этих сегментов — это получение прибыли для фирмы и повышение доходности используемого капитала. Принцип, лежащий в основе двойного функционирования, состоит в том, чтобы попытаться добиться лояльности клиентов, предоставляя им столько услуг, сколько им надо. Однако в действительности клиенты, особенно институциональные клиенты, постоянно находятся под давлением с точки зрения повышения собственной результативности, поэтому соблюдение лояльности не всегда бывает экономически оправданно.
1.6 ИНВЕСТИЦИОННЫЕ ЦЕЛИ И РЕШЕНИЯ
Научный теоретический подход предполагает, что инвесторы рациональны и инвестируют средства с конкретной целью. Хотя это верно для профессиональных менеджеров, все-таки следует понимать, что не существует четкой границы между инвестициями и спекуляцией, и то, что имеет целью получение быстрой прибыли, должно скорее считаться спекуляцией, а не инвестиций.
На самом деле частные инвесторы не всегда используют рациональный подход. Например, частные лица покупают акции универсального магазина только потому, что они чувствуют себя более важными людьми, когда приходят в этот магазин за покупками; или же они покупают акции компании, предоставляющей коммунальные услуги, только потому, что считают себя вправе жаловаться на размеры счетов за коммунальные услуги. На некоторых развивающихся рынках такой нерациональный подход можно наблюдать у квази-профессиональных менеджеров, которые покупают большие пакеты акций только для того, чтобы получить место в совете директоров компании (это не следует путать с венчурным капиталом, когда приобретается большое количество акций для того, чтобы превратить слабое предприятие в более эффективное). От этого нерационального инвестиционного подхода пострадал рынок в Чешской республике, который превратился в рынок для контрольных пакетов, а не в настоящий рынок инвестиций в экономику.
Возвращаясь к теории, следует сказать, что инвестиции имеют три основных цели:
- создание потока доходов;
- достижение прироста капитала;
- или же сочетание первых двух задач с какой-то конкретной конечной целью.
• Доход можно определить как регулярный приток денежных средств для покрытия расходов. Этот денежный поток обычно имеет форму процентов (от облигаций) или дивидендов (от акций), но также доход может быть получен от капитала в случае ликвидации.
• Прирост капитала может быть определен как увеличение цены через повышение стоимости акционерного капитала или через непрерывное реинвестирование сложных процентов.
Принятие инвестиционного решения будет зависеть от целей, которые стоят перед инвестором, и различных характеристик финансовых активов, которые должны быть выбраны для инвестиций. Следовательно, предпосылкой инвестиционной консультации являются несколько факторов, наиболее важным из которых является денежная сумма, которая может быть использована для инвестирования. Этот фактор предполагает, что был проведен анализ ситуации и выяснено, что эти средства не потребуются ни для каких других целей.
Следующий фактор — каковы причины потребности инвестора в этой инвестиции, т. е. целью может быть получение дохода сейчас для того, чтобы покрыть какие-то будущие расходы; обеспечить получение доходов для оплаты каких-то непредвиденных расходов и покупок, другими словами, доход для будущего; защитить капитал от инфляции (хранение сбережений под матрацем приводят к падению покупательной силы денег по мере роста цен на товары и услуги) или увеличить капитал для использования в будущем (т. е. используя краткосрочное наличие текущих доходов); период времени, на который инвестор готов инвестировать средства; отношение инвестора к риску (или потере части или всей суммы в результате инвестиции); а также налоговые условия клиента.
Поскольку никто не может предоставить гарантии прибыльности инвестиции, и всегда существует вероятность того, что стоимость инвестиции упадет, то наиболее важным из вышеперечисленных факторов является подход инвестора к риску. Эта тема более подробно будет обсуждаться в главе 7. Однако уже на данном этапе изложения следует понимать, что существуют два основных принципа, управляющих рентабельностью инвестиций. Они состоят в следующем:
• чем выше риск, связанный с данным продуктом, тем более высокое вознаграждение захочет получить инвестор;
• чем больше период инвестирования средств, тем большее вознаграждение будет ожидать инвестор.
При выборе конкретной инвестиции также необходимо учит ывать ликвидность продукта, а ликвидность в данном случае означает способность легко получить денежный эквивалент, т. е. не только способность продать инструмент, но и быстрота, с которой можно получить за него деньги.
Более того, необходимо учитывать налоговые условия. Здесь имеются в виду ставки налогообложения доходов индивидуального инвестора, а также налоговые условия, связанные с данным продуктом. В случае с иностранной инвестицией также следует учитывать правила налогообложения или соответствующие меры валютного контроля.
И последняя характеристика инвестиционного продукта, которую необходимо принимать во внимание, — приносит ли данный продукт текущий доход, или он больше подходит с точки зрения роста капитала.
В общих чертах, инвестиции, которые больше подходят для получения дохода, — это банковские депозиты и инструменты денежного рынка, облигации с высоким купоном, долевые инструменты с высоким доходом. В число инвестиций, которые больше подходят для роста капитала, входят: долевые инструменты, взаимные фонды и облигации с нулевым купоном.
Опять-таки в общих чертах, в число инвестиций, которые считаются инвестициями с низким риском, входят: государственные ценные бумаги; банковские депозиты; инструменты денежного рынка; корпоративные облигации (компании с высоким кредитным рейтингом); взаимные фонды, инвестирующие средства в государственные ценные бумаги или инструменты денежного рынка. Высокорисковые инвестиции включают в себя: долевые инструменты в тех случаях, если акции не котируются на бирже; производные инструменты, такие, как фьючерсы и опционы (но необязательно АДР или конвертируемые инструменты).
В конечном итоге, принимая инвестиционные решение и выбирая объект инвестиций, инвестор долж ен задать себя два вопроса. Первый: могу ли я позволить себе потерять все эти деньги, если инвестиция будет неудачной? Второй: какова вероятность того, что эта инвестиция будет неудачной? Как правило, инвесторы не ставят перед собой такие вопросы, так как они считают, что инвестиции и делаются для того, чтобы получить прибыль или требуемые потоки доходов.
ВОПРОСЫ ДЛЯ САМОПРОВЕРКИ
1. Объясните, почему частные инвесторы не всегда принимают рациональные инвестиционные решения?
2. Каковы основные цели инвестирования?
3. Назовите два принципа, лежащих в основе рентабельности инвестиций?
4. Какие характеристики инвестиции могут отпугнуть иностранного инвестора?
5. Какие инвестиции считаются приносящими доход и имеющими низкий риск?
ГЛАВА 2. ИНФРАСТРУКТУРА РЫНКА ЦЕННЫХ БУМАГ
2.0 ПОНЯТИЕ ИНФРАСТРУКТУРЫ
Под инфраструктурой рынка ценных бумаг обычно понимается совокупность технологий, используемых на рынке для заключения и исполнения сделок, материализованная в разных технических средствах, институтах (организациях), нормах и правилах.
Развитие инфраструктуры идет параллельно с развитием самого рынка, с ростом оборотов на нем. Пока число сделок невелико и обороты рынка малы, содержание инфраструктуры обходится дорого, поэтому она остается на примитивном уровне. В частности, процедуры перехода ценных бумаг осложнены, поиск партнера по сделке случаен, гарантии совершения сделки практически отсутствуют. По мере роста оборота выполнение отдельных этапов купли-продажи становится самостоятельным видом бизнеса. Критическим моментом является возможность за счет стандартизации данного этапа сделки и перехода к “массовому производству” снизить относительные транзакционные издержки настолько, чтобы данный вид бизнеса оказался способным финансировать себя за счет отчислений сторон сделки.
Сразу же отметим, что в издержки сторон необходимо включать не только прямые затраты (на поиск партнера, оформление документов и др.), но и косвенные, реализующиеся в рисках. Иными словами, в затраты нужно (с некоторым весом) включать потери, которые могут произойти в результате неправильного исполнения сделки (например, отказа от поставки после платежа, поставки фальшивых бумаг и других).
Как показывает история развития рынка ценных бумаг в развитых странах, основная тенденция заключалась в том, чтобы позволить каждому участнику рынка принимать на себя те риски и в тех размерах, которые он сочтет нужным, пресекая при этом попытки свалить свой риск на другого, не заплатив ему за это или не заручившись его согласием.
Для организации такого рынка создаются структуры, торгуя в рамках которых участники освобождаются от определенных видов риска. Эти риски принимает на себя инфраструктура рынка, за что ее и приходится содержать (уменьшение риска вместе с доходностью).
2.1 РАЗЛИЧИЕ РЫНКОВ ЦЕННЫХ БУМАГ ПО ВИДАМ ТОРГОВЛИ
Рынок ценных бумаг, несмотря на его единство, можно условно разделить на несколько сегментов, которые тоже называются рынками. Они характеризуются специфическими условиями, участниками торговли, ценными бумагами, обращающимися на них.
Классификация рынка ценных бумаг по организации торговли включает биржевой рынок, внебиржевой (розничный) рынок и электронный рынок.
По видам бумаг, обращающихся, в частности, на российском рынке сегодня выделяются:
• рынок государственных бумаг;
• рынок акций, в котором в свою очередь выделяются три основных сегмента (иногда их называют эшелонами): “голубые фишки” (наиболее ликвидные акции крупнейших российских компаний), акции “второго эшелона”, приближающиеся к ним, но еще не достигшие соответствующей ликвидности, и акции предприятий, практически не появляющиеся на рынке;
• рынок ценных бумаг местного значения (в большинстве — муниципальных облигаций или облигаций субъекта федерации);
• рынки векселей разных эмитентов;
• рынки производных ценных бумаг (в основном фьючерсов).
Наиболее развитым является биржевой рынок. Он характеризуется большими оборотами, которые позволяют создать высокоэффективную инфраструктуру, способную принять на себя большую часть рисков и существенно ускорить сделки и уменьшить удельные накладные расходы. Платой за это является строгая стандартизация сделки, жесткие ограничения на деятельность участников рынка, повышенные обязательства в отношении поддержания ликвидности и надежности.
В случае, когда сделки небольшие, до сих пор оказывается невыгодно исполнять их через крупные специализированные торговые системы. Это связано с чисто экономическими параметрами. В таком случае покупатель идет непосредственно к дилеру и покупает бумаги прямо у него. В качестве примера можно указать на многие наши банки, торгующие облигациями сберегательного займа для населения. Это особый сегмент рынка ценных бумаг, отличающийся от биржевого рынка по многим параметрам. Он называется розничным (внебиржевым) рынком (ОТС — market от английского OvertheCounter— торговля из-за прилавка).
Отметим, что иногда на внебиржевом рынке совершаются, наоборот, весьма крупные сделки, например, купля-продажа контрольного пакета. В общем это рынок индивидуальных, нестандартизованных сделок.
Электронные рынки ценных бумаг возникли позже бирж — с появлением современных средств связи и информатики. В настоящее время обороты на них сравнимы с биржевыми. В России существовало несколько такого рода систем, но сегодня реально работает только Российская торговая система.
Торговлю в ней осуществляют профессиональные брокеры и дилеры, объединившиеся в ассоциации ПАУФОР (Профессиональная ассоциация участников фондового рынка России) и НАУФОР (Национальная ассоциация участников фондового рынка России). В этих торговых системах происходят торги акциями “голубых фишек” (РТС) и акциями второго эшелона (РТС- 2). Отличие от биржевой торговли заключается в основном в механизме исполнения сделок: установив в электронной системе котировки на интересующую его бумагу, трейдер-маркет-тейкер связывается непосредственно с маркет-мейкером, выставившим котировку, и заключает стандартизованную сделку.
Отдельно стоит остановиться на роли организатора торгов на рынках производных ценных бумаг. Поскольку фьючерс представляет собой взаимное обязательство купить (соответственно продать) базовую ценную бумагу в определенный момент и по оговоренной заранее цене, роль организатора торгов заключается, в первую очередь, в том, чтобы обеспечить исполнение этого обязательства. Это достигается путем внесения обеими сторонами сделки специального залога — маржи. В случае, если одна из сторон не выполняет своих обязательств, маржа используется для компенсации убытка другой стороне.
ВОПРОСЫ ДЛЯ САМОПРОВЕРКИ
1. Что обычно понимается под инфраструктурой рынка в целом?
2. На какой стадии развития рынка отдельные этапы купли-продажи ценных бумаг становятся самостоятельным видом бизнеса?
3. Как связаны между собой развитие инфраструктуры рынка и освобождение участника рынка от неоправданного риска?
2.2 ЗАДАЧИ И МЕХАНИЗМЫ ИНФРАСТРУКТУРЫ РЫНКА ЦЕННЫХ БУМАГ
Организация инфраструктуры того или иного сегмента зависит от развитости рынка, его оборотов, характера его участников и инструментов, на нем обращающихся. Однако имеются некоторые общие черты инфраструктуры сегментов, повторяющиеся в инфраструктуре рынка как целого. Они определяются задачами инфраструктуры, которые сводятся к двум основным группам:
• управление рисками на рынке ценных бумаг;
• снижение удельной стоимости проведения операций.
Роль инфраструктуры в управлении риском заключается в том, чтобы
• отделить разные виды риска друг от друга и позволить переложить определенные виды рисков на нее;
• определять ответственного за реализацию риска;
• реализовать ответственность участников за причиненные ими убытки.
Используемые механизмы управления рисками можно подразделить на:
• административные — влияющие на организационную структуру,
• технологические ~ контролирующие применяемую технологию,
• финансовые — включающие в себя особые способы управления финансами,
• информационные — управление потоками информации на рынке и вне его,
• юридические — обеспечивающие юридическую защиту в случае реализации риска.
Для построения эффективной системы управления рисками необходимо принятие адекватных административных, технологических и финансовых решений, подкрепленных соответствующими юридически значимыми документами.
Снижение удельной стоимости операций достигается за счет:
• стандартизации операций и документов,
• концентрации операций в специализированных структурах,
• применение новых технологий, в частности информационных.
Чтобы понять функции отдельных систем инфраструктуры рынка ценных бумаг, проще всего отталкиваться от процесса заключения и совершения сделки и следить за тем, как отдельные его этапы стандартизируются и вычленяются в самостоятельные сферы бизнеса.
Допустим, что инвестор А имеет какие-то ценные бумаги и хочет их продать, а (потенциальный) инвестор В имеет свободные деньги, которые хочет вложить в ценные бумаги. В процессе продажи бумаг должно произойти следующее:
I . В должен принять решение о том, какие бумаги он хочет приобрести
II. А и В должны встретиться (не обязательно физически)
III. А и В должны оговорить существенные условия сделки, в том числе:
а) цену сделки,
Ь) условия поставки и платежа,
d) гарантии исполнения сделки и ответственность сторон.
IV. Должен быть заключен договор купли-продажи,
V. Сделка должна быть исполнена, т. е. должны произойти:
а) платеж за бумаги со стороны В,
Ь) поставка ценных бумаг А,
с) В должен проверить подлинность поставленных бумаг, а А — уплаченных денег,
d) оформление соответствующих документов, удостоверяющих факт перехода прав собственности на ценные бумаги.
VI. В ряде случаев должна быть уведомлена третья сторона — эмитент ценных бумаг.
1 Для обеспечения этих действий должны быть созданы следующие системы:
(1) СИСТЕМА РАСКРЫТИЯ ИНФОРМАЦИИ
В должен иметь информацию о существующих ценных бумагах, их достоинствах и недостатках. Эта информация в первую очередь содержит сведения об их эмитентах, но, кроме того, и о состоянии рынка (например, ликвидности ценных бумаг). Для того, чтобы сделать эту информацию доступной, нужно организовать систему раскрытия информации об эмитентах и о состоянии рынка.
(2) ТОРГОВАЯ СИСТЕМА
Чтобы А и В встретились, им необходимо найти друг друга. При этом они, конечно, пожелают узнать, насколько надежен потенциальный партнер по сделке. Эту функцию берут на себя посредники — брокеры. В свою очередь брокеры находят друг друга в одной из торговых систем. Первыми такими системами исторически оказались фондовые биржи. Первоначальная роль бирж — просто сводить друг с другом тех, кто профессионально посредничает на рынке ценных бумаг. В дальнейшем они приняли на себя еще ряд функций (см. ниже).
Правила торговли на бирже предусматривают определенный механизм установления цены на ценные бумаги. Это может быть аукцион (их существует несколько видов, см. ниже), работу через специалиста — дилера или маркет-мейкера, выставляющего котировки данной ценной бумаги. Котировка -~ цена, по которой данный дилер готов купить (продать) лот ценных бумаг. Выставляя котировку, дилер не имеет права отказать кому бы то ни было в сделке по названной им цене (за исключением очень больших количеств ценных бумаг, для которых часто предусматриваются особые условия).
В случае биржевой торговли для ускорения и удешевления сделок широко применяется их стандартизация. Договора купли-продажи на бирже также строго стандартизованы, в них заранее включены все условия сделки, кроме имен участников и цены. Как правило, биржевые сделки заключаются на стандартные количества акций (чаще всего 100 штук), именуемые лотами. Сроки поставки и платежа тоже строго оговорены. В настоящее время в ряде торговых систем эти сроки сведены к одному дню. а три дня являются стандартом на развитом рынке. Ответственность сторон описана просто в правилах участия в торгах. Поэтому на них и допускаются не все желающие, но лишь те, кто связал себя достаточно жесткими обязательствами и доказал свою способность выполнять их.
Практически оформление всех документов принимает на себя биржа или специализированные отделы (бэк-офисы) брокерских фирм. Последнее чаще встречается на розничном рынке.
(3) СИСТЕМА РЕГИСТРАЦИИ ПРАВ СОБСТВЕННОСТИ
Для уменьшения рисков участников торгов предпринимаются специальные меры, позволяющие бирже принять на себя существенную их часть. Так, в ряде случаев для выставления ценных бумаг на торги биржа требует заранее передать продаваемые бумаги на хранение — депонировать их в депозитарии. Депозитарий — это особое хранилище, в которое владельцы ценных бумаг могут отдать их на сохранение.
Депозитарий выступает в роли передаточного звена от продавца покупателю. Он гарантирует наличие и подлинность продаваемых ценных бумаг.
Со своей стороны покупателя могут обязать положить определенную сумму денег в специальный банк, выполняющий ту же роль, что и депозитарий, но по отношению к деньгам. Эти организации, тесно связанные с биржей при получении от нее уведомления о заключении сделки, одновременно передают деньги продавцу, а бумаги — покупателю, обеспечивая тем самым безрисковое исполнение сделок — поставку против платежа.
Конечно, депонирование денег и ценных бумаг, как и сами услуги депозитария и банка, стоят денег. Это — цена, которую приходится заплатить за надежность исполнения сделки.
(4) СИСТЕМЫ КЛИРИНГА
Исполнение сделки — поставку бумаг и денежный платеж мы описали выше. Отметим особенности, связанные с большими оборотами на бирже.
При больших оборотах на бирже контроль за каждой отдельной сделкой, даже стандартизованной, оказывается очень хлопотным и дорогим делом. Для его реализации вводят так называемые системы клиринга, в задачи которых как раз и входит контроль за тем, чтобы все сделки, заключенные на бирже, правильно адресовались и выверялись. Задачей клиринговой системы является установление и подтверждение параметров всех заключенных в данной системе сделок и иногда подведение итогов.
(5) СИСТЕМА ПЛАТЕЖА
Система платежа — часть банковской системы, используемая для обеспечения денежных операций, связанных с торговыми сделками. Как правило, используется один банк, связанный с системой клиринга и биржей, в котором открывают счета все участники торгов, платежи при этом проходят просто проводками по этим счетам. Такой банк называется клиринговым. Однако иногда участники торгов не открывают счетов в одном банке, используя межбанковские корреспондентские счета. Эта система менее эффективна и используется только для слаборазвитых торговых систем.
(6) СИСТЕМА ВЕДЕНИЯ РЕЕСТРА
В настоящее время в России широкое распространение получили выпуски так называемых бездокументарных ценных бумаг. Они позволяют значительно снизить издержки на трансферт (передачу) бумаг, но при этом порождают новые проблемы. Главная из них — подтверждение прав того или иного лица на ценные бумаги.
В случае, когда эмитент выпустил небольшое их число, подтверждение прав акционера относительно несложно — в администрации эмитента ведется реестр — специальная база данных, в которой отражается, кто и каким количеством акций владеет.
Однако с ростом числа владельцев (крупное открытое акционерное общество) проблема становится острой, поскольку акционеры уже не знают друг друга, и контролировать правильность ведения реестра становится весьма важно. Для того, чтобы избежать злоупотреблений, эту функцию передают третьему лицу — держателю реестра (регистратору). Его функция заключается в том, чтобы быть лицом, независимым как от эмитента, так и от инвестора, и подтверждать права того или иного инвестора на ценные бумаги.
Поскольку регистраторы обычно располагаются (географически) недалеко от эмитента, а торговля акциями эмитента может вестись на бирже далеко, снова возникает надобность в депозитарии. В него участники торговли передают на хранение свои бумаги. Для того, чтобы реализовать это технически, применяется метод так называемого номинального держателя. Суть его заключается в том, что регистратор открывает депозитарию как номинальному держателю особый счет, на который и перечисляют бумаги клиента-инвестора.
Депозитарий же, собрав у себя бумаги многих клиентов, учитывает их на открытых для них счетах депо. При передаче бумаг от одного клиента другому происходит перезапись их по счетам депо у депозитария, а регистратор знает только общую сумму бумаг, хранящихся у данном депозитарии (она при такой операции не меняется). Конечно, периодически для выплаты дивидендов или голосования, например, данные о настоящих владельцах бумаг передаются регистратору, но оперативные данные о результатах торгов учитываются в депозитарии, который тесно связан с торговой системой.
Таким образом, инфраструктура рынка ценных бумаг содержит ряд подсистем, в их числе подсистемы:
• учета прав на ценные бумаги (регистраторы и депозитарии), * торговые системы (биржи и внебиржевые),
• системы клиринга,
• системы платежа (банковская система),
• системы раскрытия информации (информационные агентства, рейтинговые агентства и др.).
Кроме того, на рынке существуют системы контроля и страховые системы.
На рынке ценных бумаг встречаются весьма противоречивые интересы множества участников. Сама его природа достаточно сложна, рынок ценных бумаг нуждается в особом регулировании.
В то же время специфика рынка такова, что многие решения могут квалифицированно принять только непосредственные участники рынка. Они лучше других знают, конкретные проблемы и пути их решения, обнаруживают махинации, которые просто невозможно заранее предусмотреть в нормативных документах, в состоянии оценить поведение участников. Для того, чтобы профессиональные участники рынка ценных бумаг могли принять непосредственное участие в регулировании, организуются так называемые саморегулируемые организации (СРО) профессиональных участников рынка ценных бумаг. Их цель — выработка конкретных требований к своим членам, и надзор за их соблюдением, а также помощь в организации работы, представление их интересов в государственных органах и другое. Основой деятельности СРО является взаимная заинтересованность профессиональных участников рынка в том, чтобы все они выполняли некие общие правила поведения и стандарты. При этом выработка деталей этих правил и стандартов настолько тесно связана с повседневной практикой, что не может быть достаточно оперативно сделана государственными органами регулирования. Они в состоянии лишь установить общие правила работы, обеспечивающие устойчивость системы в целом, осуществлять контроль за формальными требованиями к участникам рынка, координировать и направлять его развитие.
ВОПРОСЫ ДЛЯ САМОПРОВЕРКИ
1. Какие виды рынков выделяют по организации торговли?
2. Какие виды рынков выделяют в зависимости от типа ценных бумаг?
3. В чем различие между биржевым и внебиржевым рынками?
4. Какие функции на рынке выполняет маркет-мейкер?
5. В чем состоит роль андеррайтера на рынке ценных бумаг?
2.3 КАК РАБОТАЮТ ЭЛЕМЕНТЫ ИНФРАСТРУКТУРЫ
РЕГИСТРАТОРЫ И ДЕПОЗИТАРИИ
Основа учета прав на именные ценные бумаги — реестр, который ведет реестродержатель. На самом деле, реестр — список лиц с указанием числа принадлежащих им ценных бумаг данного вида — является лишь отчетом, выдаваемым особой базой данных, входящей в систему ведения реестра. Кроме базы, система ведения реестра предполагает наличие соответствующих технологий ее поддержания, хранение документов и другие организационные мероприятия. Она содержит все сведения, необходимые для удостоверения прав инвестора на ценные бумаги и обязанностей эмитента по отношению к инвестору. У регистратора хранится информация о ценных бумагах (проспект эмиссии, решение о выпуске ценных бумаг) и эмитенте (его реквизиты). С другой стороны, в состав хранимой информации включаются реквизиты инвестора (имя, адрес, счет в банке), количество ценных бумаг данного вида, принадлежащих этому инвестору, дата их приобретени я и т. п.
Эти записи хранятся на лицевых счетах инвесторов. При покупке или продаже бумаг одним инвестором другому регистратор соответствующим образом меняет записи на лицевых счетах. Основанием для этого служат соответствующим образом оформленное передаточное распоряжение инвестора-продавца, в котором тот поручает регистратору произвести соответствующие перечисления. Иногда требуются дополнительные документы (договор купли-продажи, доверенности и т. п.).
Исторически сложилось так, что в процессе массовой чековой приватизации в России регистратор не имел возможности общаться с инвесторами, приобретавшими акции приватизированных предприятий на чековых аукционах. Поэтому их взаимоотношения не могли быть урегулированы договорами. Эти отношения регулирует государство в лице Федеральной комиссии по рынку ценных бумаг, издающей соответствующие нормативные акты. С другой стороны, с эмитентом регистратор заключает договор, в котором описываются их права и обязанности, а также плата за ведение реестра.
Одной из проблем, порожденных такой ситуацией (регистратор получает доход от эмитента), стала проблема “карманных регистраторов” — формально независимых от эмитента, но фактически исполняющих его пожелания в ущерб инвесторам, иногда даже вопреки закону. В настоящее время с этим ведется борьба. Основным методом ее стало требование к укрупнению регистраторов, которые должны вести реестры многих разных акционерных обществ, так что ни одно из них не сможет оказывать решающего влияния на регистратора.
БИРЖИ
Основной задачей биржи, как уже говорилось, является установление рыночной цены на тот или иной вид ценных бумаг и обеспечение совершения сделок по этой или близкой цене, заключенных на бирже. Для установления рыночной цены используется несколько механизмов.
Мы упом янем из них четыре:
• аукционы,
• систему с котировками и маркет-мейкерами,
• систему, основанную на заявках,
• систему со специалистами.
Аукционная система наиболее известна и применяется чаще всего для первичного размещения или продажи не очень ликвидных бумаг. Она предполагает сбор заявок с последующим их сравнением и выбором наиболее привлекательных для контрагента. Есть несколько ее вариантов, различающихся условиями подачи заявок и заключения сделок.
• Голландский аукцион предполагает, что продавец, назначив заведомо завышенную стартовую цену, начинает ее снижать, пока не найдется покупатель.
• Английский аукцион предполагает прямую борьбу между покупателями, последовательно повышающими цену на предложенный лот. Покупателем оказывается тот, чье предложение останется последним.
• Закрытый аукцион предполагает предварительный сбор заявок с последующим выбором из них наиболее привлекательной.
Система с маркет-мейкерами (quote-drivensystem) обычно применяется для бумаг с ограниченной ликвидностью. Все участники торгов делятся на две группы — маркет-мейкеры и маркет-тейкеры. Маркет-мейкеры принимают на себя обязательства поддерживать котировки, т. е. публичные обязательства покупать и продавать данные бумаги по объявленными ими ценам. В обмен на такое обязательство остальные участники торгов (маркет-тейкеры) имеют право заключать сделки только с маркет-мейкерами. Очень условно можно сопоставить маркет-мейкеров с продавцами, постоянно стоящими на рынке, а маркет-тейкеров — с покупателями, которые приходят туда и, сравнив предложения продавцов, выбирают наиболее выгодное, но покупают только у продавцов.
Система, основанная на заявках (order-drivensystem), предполагает подачу на торги одновременно заявок на покупку и на продажу. Если цены двух заявок совпадают, сделка исполняется. Эта система используется для наиболее ликвидных бумаг, когда нет недостатка в заявках.
Наконец, система со специалистами предполагает выделенных участников — специалистов, которые служат посредниками между брокерами, подающими им свои заявки. Специалисты заключают сделки от своего имени со всеми участниками торгов. Их прибыль появляется в результате игры на мелких колебаниях курса, которые они в обмен обязаны сглаживать.
Технологически любая из систем может быть реализована как «на полу», так и через посредство электронных сетей связи.
КЛИРИНГ
Существует несколько основных разновидностей клиринга, которые делятся по разным признакам:
• непрерывный клиринг осуществляется в режиме реального времени, т. е. каждая заключенная на бирже сделка немедленно поступает в обработку. Эта система применяется при не очень больших потоках сделок или при наличии очень мощного аппаратно-программного обеспечения.
• периодический клиринг производится регулярно с известным периодом (каждый час, в конце торговой сессии, в конце недели). К этому моменту накапливается информация обо всех сделках, заключенных на бирже за период, а затем все сделки разом обрабатываются. Такая технология более производительна при тех же затратах на технологию, однако, она, конечно, отстает в сроках. Реально периодический клиринг, как правило, проводится в конце каждой торговой сессии, что является компромиссом между стоимостью обработки и временем.
Клиринг может быть двусторонним и многосторонним.
• двусторонний клиринг проводится таким образом, что в его результате выясняется, кто из участником и какие сделки заключил. Иногда эти сделки рассматриваются самостоятельно, а иногда суммируются, так что в итоге выясняется нетто — позиция каждого из участников торгов в отношении каждого другого: в итоге торговой сессии А купил у В 300 акций, за что должен перечислить В 2 700 000 рублей. И так для каждой пары А и В. Такой клиринг иногда называют двусторонним неттингом (выяснением взаимных нетто-позиций каждой пары торговцев).
• многосторонний клиринг (неттинг) является логическим продолжением двустороннего неттинга. Он идет дальше и суммирует все сделки каждого участника торгов с разными контрагентами. В результате каждый участник получает одну ' (по каждому виду ценных бумаг) позицию.
Применение неттинга связано, с одной стороны, с ускорением и удешевлением расчетов, но с другой — с увеличением системного риска. Риск возникает в случае, когда одна или несколько сделок оказываются сорванными (из-за ошибки или вследствие просчета брокера, например, продавшего больше бумаг, чем у него имелось). Ошибка в сделке может повлиять на дальнейший ход торгов (например, при продаже “лишних” бумаг, покупатель может, не зная об этом, перепродать их в течение той же торговой сессии третьему брокеру и т. д.), и суммарная ошибка нарастает, захватывая все больше участников торгов.
Риски, связанные с особенностями системы (в данном случае клиринга), называются системными рисками, ибо порождены самой системой. Для того, чтобы управлять ими, нужно предпринимать специальные меры, как организационные, так и технологические. Поэтому системы неттинга вводятся только при больших оборотах, там, где применение указанных мер оказывается все же дешевле, чем разбирательство с ошибками. С низколиквидными бумагами они вообще не применяются.
В числе мер предотвращения подобных рисков можно указать наличие специальных страховых фондов у каждого участника торгов, к которым обращаются в случае необходимости возместить потери с тем, чтобы баланс в конце сессии сошелся. За счет этих фондов (разумеется, на основании предварительно оговоренных правил и процедур) в принудительном порядке докупаются недостающие ценные бумаги.
Сегодняшние требования к биржам предполагают, что на исполнение сделки, заключенной на бирже, с учетом клиринга, поставки и платежа отводится не более трех дней. В наиболее совершенных системах это происходит в день заключения сделки.
ВОПРОСЫ ДЛЯ САМОПРОВЕРКИ
1. Перечислите основные инфраструктурные механизмы управления рисками.
2. За счет чего достигается снижение удельной стоимости операций на рынке?
3. Перечислите основные этапы процесса заключения и совершения сделки с ценными бумагами.
4. Как работает торговая система?
5. Почему необходима система регистрации прав собственности, что в нее входит?
6. Опишите основные требования к системам платежа и клиринга.
ГЛАВА 3. РЫНКИ ДОЛГОВЫХ ЦЕННЫХ БУМАГ
В данной главе рассматриваются государственные ценные бумаги, ценные бумаги, выпущенные местными и муниципальными органами власти, рынки и их участники, методы расчета доходности и концепции торговли, рынок и система торговли в России, международные государственные облигации, корпоративные долговые инструменты и их взаимосвязь с государственными облигациями, конвертируемые облигации и еврооблигации.
ГОСУДАРСТВЕННЫЕ ДОЛГОВЫЕ ИНСТРУМЕНТЫ
Рынок правительственных заимствований имеет разные названия, в их числе: рынок государственных облигаций, рынок государственного или национального долга, рынок правительственных займов или рынок государственных инструментов с фиксированной ставкой. В Великобритании, например, такой рынок также называется рынком «золотообрезных» облигаций благодаря сертификатам с золотой каймой.
Каждый раз, когда правительство собирается привлечь займы, ему необходимо решить, на какое время ему понадобятся средства. Существуют различные названия периодов заимствования, которые все вместе называются “сроками (погашения)”. Эти сроки могут быть также разбиты на различные временные периоды, каждый из которых имеет свое собственное название.
Для большинства государств самый короткий период времени, на который они привлекают средства, равен 3 месяцам. Обычно такие инструменты называются “краткосрочными бумагами”. В некоторых странах национальные заемщики могут использовать этот термин для заимствований и на более долгосрочные периоды вплоть до 1 года. Такие инструменты обычно предлагаются правительствами только первоклассным банкам, которые будут торговать ими только на межбанковском рынке и очень редко на биржах ценных бумаг.
Следующий термин — это рынок краткосрочных займов или облигаций, который обычно представляет заимствования на срок от одного года до пяти лет. Обычно эти инструменты обращаются на организованных биржах, но структура ценообразования по этим инструментам делает их привлекательными только для небольшого круга профессиональных инвестиционных институтов и не представляющими интереса для частных лиц.
Еще один важный термин — это рынок среднесрочных займов или облигаций. Среднесрочные ценные бумаги — это термин, который до недавнего времени использовался только в Великобритании и США и представлял облигации со сроком погашения от 5 до пятнадцати лет (в Великобритании) или от двух до десяти лет (в США). Большинство других государств не привлекали средства на периоды более 10 лет. Только недавно Германия и Япония стали выпускать облигации со сроком погашения 20 лет и больше.
Последний вид заимствований с точки зрения сроков называется долгосрочным, и этот термин используется для займов на период вплоть до тридцати лет.
Следует заметить, что такие названия дал соответствующим инструментам рынок, и они могут быть разными в разных странах. Например, в Великобритании эти термины используются для описания периода с настоящего времени до момента погашения облигаций правительством независимо от того, сколько времени прошло с момента выпуска инструментов. В США, наоборот, эти термины используются для описания периода действия облигации на момент выпуска независимо от того, сколько времени осталось до ее погашения правительством, поскольку в США, если облигация была выпущена на период 25 лет, то она остается долгосрочной, даже если она будет погашена через 2 года. Также следует помнить, что выпуски облигаций не становятся краткосрочными бумагами в последний год или три месяца жизни облигации. Бумаги и облигации являются абсолютно различными инструментами.
В заключение необходимо рассмотреть еще один термин — бессрочные облигации. Эти облигации, выпускаемые правительством, не имеют конкретной даты погашения. Выпуск таких инструментов может осуществляться по нескольким причинам, которые будут обсуждаться позже в этой главе. Достаточно сказать, что инвесторы будут относиться к таким инструментам по-разному, и цены на них будут меняться гораздо быстрее, чем по любым датированным инструментам.
ВИДЫ ПРОЦЕНТОВ
Поскольку такие правительственные заимствования представляют собой кредиты государству, то кредиторы будут ожидать не только возврата своих средств, но также и плату за использование их денег. Поскольку по кредитам такие платежи называются процентными, методы, которые правительство может использовать для выплаты этих процентов, называются “видами процентов”.
Один из таких методов называется дисконтированием. По этому виду правительство включает все начисляемые на заимствование проценты и выплачивает вместе с основной суммой долга. Соответственно первоначальная сумма, предоставляемая в кредит государству, будет меньше той суммы, которую государство выплачивает в конце срока. Традиционно этот метод применяется практически для всех краткосрочных бумаг, но в последние годы он также стал популярен для более долгосрочных инструментов.
Купонные платежи
Следующий метод называется “купонными платежами”. При этом методе государство устанавливает фиксированную годовую процентную ставку (купон), который выплачивается кредиторам либо раз в год, либо раз в полгода. В этом случае та сумма, которую государство заимствует в начале периода, будет равняться той сумме, которую оно выплатит в конце периода. Этот метод используется правительствами для большинства государственных облигаций.
Индексация
Третий метод называется “индексацией”. Поскольку покупательная сила денег в будущем может быть меньше, чем в настоящий момент (поскольку цены, как правило, растут с течением времени — ценовая инфляция), то государства все больше и больше понимают, что для того, чтобы поощрять инвесторов предоставлять свои средства в кредит, они должны сделать свои продукты более привлекательными. Основой для индексации является публикуемая государством статистика инфляции. Инфляционный ценовой индекс будет расти по мере роста цен на основные товары и услуги, и соответственно правительство будет привязывать купонные платежи (проценты) и основную сумму долга (сумма к погашению) к этому индексу, что даст инвесторам стабильный доход от их средств в реальном выражении.
В процессе заимствования средств заемщик должен продумать, как он будет погашать займ, а кредитор должен учитывать вероятность того, что его средства могут к нему не вернуться. Оба должны, таким образом, решить, какая процентная ставка должна выплачиваться по займу. Совершенно очевидно, что заемщик хочет получить средства по наименьшей возможной ставке, а кредитор хочет предоставить средства в кредит по наивысшей возможной ставке. Для того чтобы обе стороны могли найти ставку, которая лежит где-то посередине, необходимо учесть ряд факторов. Эти факторы могут рассматриваться как другие факторы эмиссии, самым важным из которых является кредитоспособность.
Кредитоспособность — это термин, который используется для определения способности заемщика ответить по своим финансовым обязательствам. В принципе это рейтинг способности погасить заем, и погасить в той же форме, что и первоначальное заимствование. Считается, что правительства будут существовать всегда, хотя люди, которые входят в состав правительства, будут меняться. Если инвестор считает, что будущее правительство какой-либо страны сможет вернуть долг, то тогда кредитный рейтинг будет высоким (хорошим). Чем выше кредитный рейтинг, тем ниже процентная ставка, которая будет выплачиваться кредитору.
Поскольку правительства являются крупными заемщиками по разным причинам, то наиболее важный фактор кредитоспособности для кредитора это стабильность государства. Кредитор также будет чувствовать себя более уверенно, если он увидит, что политика государства в области заимствований и планы использования средств характеризуются постоянством и что государство остается верным своим принципам заимствования. Как уже говорилось, чем больше стабильности демонстрирует государство, тем меньший уровень процентных ставок потребуют кредиторы.
Если вернуться к покупательной силе валюты (по сравнению с тем, какой она будет в будущем), необходимо также обратить внимание на прогноз инфляции в стране. Если цены на товары, дома и т. д. растут быстро, то считается, что инфляция высока. Если же цены растут медленно с течением- времени, то тогда считается, что инфляция низкая. Поскольку кредитор знает, что пройдет какое-то время прежде, чем он получит свои деньги назад, то, естественно, он обеспокоен уровнем инфляции. Этот фактор распространяется на все виды заимствований независимо от того, является ли заемщиком государство или предприятие. В принципе чем меньше уровень инфляции в настоящий момент и по прогнозам, тем меньше будет процентная ставка, требуемая кредитором. Совершенно очевидно, что по этим трем факторам — стабильность государства, способность к погашению, уровень инфляции — чем хуже ситуация, тем скорее это приведет к тому, что кредитор затребует более высокую процентную ставку, под которую он предоставит кредит, если он вообще на это пойдет.
Правительствам не требуется сразу вся сумма для финансирования какого-либо проекта. Пройдет несколько месяцев или лет прежде, чем будут завершены некоторые проекты. В таких случаях правительство может искать источники получения полной суммы, но в настоящий момент запросит только ее часть.
Существует два способа решения этого вопроса: первый — заимствования в форме траншей, когда правительство привлекает средства от кредиторов с последующим выпуском на рынок облигаций с таким же сроком погашения, которые могут быть приобретены другими кредиторами. Если был продемонстрирован хороший спрос (со стороны кредиторов) на определенные облигации и правительство удовлетворено той процентной ставкой, которую оно выплачивает, то государство может организовать дополнительный выпуск таких облигаций. Поскольку рыночные силы спроса и предложения преследуют противоположные цели, то на свободном рынке цены устанавливаются на том уровне, который является приемлемым для обеих сторон. Поэтому если первый кредитор знает, что будет предложено больше облигаций, то в том случае, если он захочет их продать, он будет конкурировать с государством. В результате по своему первоначальному кредиту он будет ожидать получения более высокой процентной ставки для того, чтобы компенсировать эту потерю привилегий.
Обратная ситуация складывается, если правительство использует второй метод и выпускает облигации с частичной оплатой. При этом методе правительство получает от кредиторов обязательство приобрести его облигации, но просит внести только часть суммы, а остальное разрешает заплатить позже. В этой ситуации кредитор не ожидает, что правительство организует дополнительные выпуски облигаций, но он может не платить всю сумму сейчас. Кредитор также может продать облигацию другому покупателю, и тогда он не должен будет вносить оставшуюся сумму, так как теперь это будет обязанностью нового кредитора. Необходимо помнить о том, что, чем дольше срок погашения займа и чем больше его сумма, тем выше риск невозврата. В связи с этим оба фактора приведут к тому, что кредитор будет требовать более высокую процентную ставку. Таким образом, в данном случае поскольку кредитор предоставляет меньше денег, то он будет ожидать, что правительство предложит ему более низкую процентную ставку.
Хотя это не играет большой роли, все-таки следует учитывать частоту выплат по купону, т. е. выплачивает ли правительство годовую сумму процентов раз в год или чаще. Если купон в размере 10°о выплачивается один раз в год в конце года, то кредитор знает, что на конец года он заработает только 10°î от предоставленной в кредит суммы. Если же купон выплачивается два раза в год, т. е. правительство выплачивает 5% по прошествии первых шести месяцев и 5°/о в конце года, то тогда ситуация у кредитора несколько лучше. Хотя правительство выплатило все те же 10% годовых, все-таки кредитор может предоставить в кредит те 5°о , которые он получил в конце первого полугодия, и также заработать на них проценты (реинвестировать). Поскольку это означает, что кредитор имеет возможность получить больший доход от полугодовых купонов, то тогда для того, чтобы получить такой же уровень доходности, что получатель одного платежа по купону, он может позволить себе потребовать несколько меньшую ставку.
ВОПРОСЫ ДЛЯ САМОПРОВЕРКИ
1. Опишите различие между краткосрочной бумагой и краткосрочной облигацией.
2. Что подразумевается под бессрочной облигацией?
3. Что подразумевается под кредитоспособностью государственных облигаций?
4. Какие факторы заставляют правительство предлагать более высокие купоны для того, чтобы успешно реализовать облигации?
5. Какое влияние оказывает частота выплаты купонов на цену выпуска облигаций?
3.2 ОСНОВНЫЕ УЧАСТНИКИ
Основные заемщики и поставщики капитала уже обсуждались в главе 1. В данном разделе будут рассмотрены те участники, которые связаны с долговыми ценными бумагами, а также будут обсуждены потребности и направления использования этих ценных бумаг.
Основная информация о действиях и потребностях правительства тоже была рассмотрена выше, а в разделе 3.6 будет более подробно рассматриваться ситуация с корпоративными заемщиками. Следует заметить, что, хотя правительства и являются постоянными заемщиками на рынке облигаций, корпоративные заемщики выпускают облигации не так часто. Компании могут использовать денежный рынок для регулярных краткосрочных заимствований, и лишь некоторые крупные международные компании регулярно заимствуют средства на долгосрочном рынке. Следовательно, компании склонны осуществлять один-два крупных выпуска облигаций в десятилетие.
В данном разделе рассматриваются основные участники рынка и их роль, а также требования основных инвесторов к долговым инструментам.
ПЕРВИЧНЫЕ ДИЛЕРЫ — это основные фирмы, которые могут проводить операции за свой счет, выступать в качестве посреднических маркет-мейкеров для других профессиональных участников рынка и имеют, как правило, прямой доступ в центральный банк или правительственный орган, отвечающий за выпуск государственных ценных бумаг.
Этим фирмам обычно требуется получить лицензию от органа регулирования по ценным бумагам или, по крайней мере, получить разрешение на деятельность от соответствующего органа центрального банка или правительства. Хотя они имеют право работать с ценными бумагами от своего имени, это не следует рассматривать как показатель того, что они не являются очень краткосрочными инвесторами.
На практике единственная ситуация, при которой они будут стремиться стать держателями долговых ценных бумаг, — это когда они ожидают падения процентных ставок в целом на рынке (когда ожидается, что цены облигаций вырастут). Их основная функция состоит в том, чтобы получать прибыль от “оборота” (разница между их ценой покупки и ценой предложения) как можно чаще. Естественно, чтобы добиться этого, им необходимо, чтобы рынок был как можно ликвиднее и поддерживался высокий уровень спроса и предложения.
ДРУГИЕ ДИЛЕРЫ И АГЕНТЫ
Большинство компаний, занимающихся ценными бумагами, и инвестиционных банков активно работает на рынке облигаций. И это неудивительно, так как более 90% от стоимости ценных бумаг во всем мире составляют облигации. Эти организации будут выступать в качестве принципалов и агентов для своих клиентов, и они также могут действовать как маркет-мейкеры по корпоративным облигациям, особенно по еврооблигациям (которые будут рассматриваться в разделе 3.9). Как и первичные дилеры, они вряд ли будут выступать кем-то еще, кроме как краткосрочными инвесторами в облигации. Это происходит из-за того, что им приходится использовать капитал, который мог бы принести более высокие доходы на других сегментах рынка. Будучи агентами, они уделяют особое внимание экономическим факторам и их изменениям и проводят серьезный анализ эмитентов и государственной статистики для того, чтобы предоставить лучшие консультации своим клиентам.
Сделки с облигациями обычно осуществляются с использованием одного из двух методов:
• открытие очень коротких позиций в качестве принципала в ожидании встречных приказов на покупку и продажу, которые приведут к “обороту”, и соответственно обычно они не берут с клиентов комиссию за операции;
• они могут выступать от имени клиентов просто как агенты и проводить операции с профессиональными рыночными посредниками, беря комиссии за каждую сделку.
Поскольку сделки с облигациями, как правило, очень крупные, а конкуренция на рынке очень острая, то комиссии, которые готовы платить крупные организации, будут, как правило, очень низкими. Соответственно агент-брокер должен иметь большой пакет приказов для того, чтобы заработать хорошую прибыль от своей деятельности.
Для того чтобы осуществлять свою деятельность, агент по облигациям на рынке ценных бумаг должен всегда знать о новых выпусках, интересных для его клиентуры, и помнить о том, что по мере погашения облигаций возникает потребность в поиске новых объектов вложения высвобождающихся средств в целях получения эквивалентного потока доходов. Более того, поскольку все облигации (за исключением облигаций с нулевым купоном) приносят регулярные процентные платежи, агентам также необходимо следить за тем, не стремятся ли профессиональные менеджеры также реинвестировать эти доходы.
Биржи играют значительную роль в развитии и функционировании рынка облигаций. Их действия могут оказать воздействие на наличие облигационных продуктов и на тех, кто с ними работает.
Биржи устанавливают условия выпуска, контрольные требования и правила торгов, которые направлены на создание высококачественной основы для торговли облигациями. Они также, как правило, устанавливают стандарты расчетов и поставки, что опять-таки нацелено на выявление действительной цены и гарантии проведения операции.
Регулирующие органы устанавливают условия лицензирования для всех профессиональных участников рынка. В рамках национальной правовой системы инвестиционные институты должны будут выполнять ряд условий, связанных с такими факторами, как ликвидность, инвестиционные ограничения и требования к заимствованию.
Их роль воспринимается как установление режима защиты конечных инвесторов, сокращение системного риска, а также процедур компенсации, которые нацелены на поддержание уверенности в рынке и его роли в содействии развитию национальной экономики.
ИНВЕСТОРЫ, ВКЛАДЫВАЮЩИЕ ДЕНЬГИ В ОБЛИГАЦИИ
Обычно считается, что самыми безопасными инвестициями (т. е. с наименьшей вероятностью невозврата средств эмитентом) являются вложения в государственные облигации. Хотя корпоративные облигации могут иметь практически такой же рейтинг, как государственные облигации, все-таки считается, что государственные облигации содержат гораздо меньше риска, чем другие виды ценных бумаг. В результате эти инструменты являются особенно привлекательными для инвесторов, которые стремятся к получению регулярного надежного дохода и относительно небольшого прироста капитала в течение достаточно длительных периодов времени. Другими словами, облигации обычно не используются в спекулятивных целях.
Таким образом, поскольку облигации являются консервативными инвестициями, то они, как правило, привлекают консервативных инвесторов.
БАНКИ
Поскольку основным направлением деятельности банков является привлечение депозитов от физических и юридических лиц и вложение полученных средств под более высокие проценты, то облигации как объект для инвестирования являются очень привлекательными для банков. По сравнению с кредитами, которые банки предоставляют физическим и юридическим лицам, облигации несут для банков меньший риск невозврата и более высокий потенциал для получения требуемых доходов.
В процессе управления банковским портфелем облигаций необходимо обеспечить включение в этот портфель как краткосрочных облигаций (цены которых менее изменчивы), которые можно будет ликвидировать в случае необходимости, так и долгосрочных облигаций, которые обычно приносят более высокий доход и прирост капитала. Использование этих инвестиций с низким риском опять-таки в сочетании с другими формами заимствования обеспечит покрытие убытков, которые могут возникнуть по более рисковым займам, проектному финансированию и т. д.
ПЕНСИОННЫЕ ФОНДЫ
Будучи организациями для долгосрочных сбережений, эти фонды имеют самую разную инвестиционную политику, которая зависит от сроков, на которые привлекаются средства (т. е. соотношение между вкладчиками и пенсионерами).
Инвестиционная политика может также ограничиваться законодательством, поскольку самым важным условием функционирования фонда является способность фонда осуществлять выплаты пенсий; регулирующие меры, как правило, не предоставляют этим фондам ни малейшей возможности делать инвестиции, которые по своей природе не являются консервативными и смогут привести к эффекту финансового рычага. Самым важным для пенсионного фонда является защита капитальной базы.
Пройдет много лет, прежде чем только что сформированному пенсионному фонду потребуется выплачивать пенсии, и поэтому для такого фонда потребность в защите капитальной базы на начальном этапе не так жизненно важна, как в дальнейшие годы. Однако такие фонды по своей природе будут получать большие притоки денежных средств, в течение многих лет оставаясь лишь инвесторами. Соответственно такие фонды склонны к вложению большей части средств в облигации опять-таки потому, что доля облигаций на рынке гораздо выше, чем других форм инвестиций. У зрелого пенсионного фонда, т. е. у фонда, в котором число пенсионеров превышает число вкладчиков, практически все средства будут вложены в облигации, что делает такие фонды очень важными для рынка.
В многих странах пенсионные фонды освобождаются от налогообложения. Это происходит потому, что считается, что пенсионеры будут платить налоги на получаемые пенсии. Следовательно, для пенсионного фонда не имеет значения тот факт, как он развивается — за счет получения дохода или за счет прироста капитала. Это выливается в то, что пенсионные фонды готовы расти за счет увеличения капитала, пренебрегая доходами (т. е. облигации с низким купоном дадут больший прирост капитала, чем облигации с высоким купоном с тем же сроком погашения), а также готовы нести капитальные потери за счет увеличения доходов (например, в результате того, что цены по облигациям с высоким купоном выше, чем сумма к погашению).
СТРАХОВЫЕ КОМПАНИИ
Эти учреждения также обладают долгосрочными актуарными обязательствами в дополнение к краткосрочным обязательствам, но они регулярно получают премиальные взносы. При условии, что актуарные расчеты обязательств и получаемых премий правильно оценивают риск этого соотношения, эти компании так же, как и пенсионные фонды, в первые годы своего существования должны в основном получать доходы. Так же при условии, что компания не столкнется с непредвиденными неблагоприятными обстоятельствами например, сильные ураганы, наводнения, авиакатастрофы и т. д.), которые приведут к чрезвычайным и непредвиденным бедствиям, в результате чего компании придется выплачивать огромные средства, то опять-таки компания будет просто получать средства, не выплачивая их. Для компаний, занимающихся страхованием жизни, получаемые страховые премии также направлены на увеличение капитала с тем, чтобы можно было проводить выплаты к моменту наступления страхового возраста (когда смерть становится более вероятной).
Соответственно страховые компании, как и пенсионные фонды, обеспокоены тем, как поддерживать и увеличивать свой капитал, не подвергая его особому риску. В результате они становятся крупными инвесторами в облигации благодаря относительной надежности таких вложений.
Поскольку страховые компании являются обычными коммерческими предприятиями, то они не освобождаются от уплаты налогов. Это отражается на соотношении между доходом и приростом капитала от облигаций, в которые компания вкладывает средства.
ПАЕВЫЕ ФОНДЫ
Паевые фонды в отличие от облигационных фондов, как правило, используют краткосрочные облигации в качестве альтернативы денежных средств для того, чтобы иметь достаточно средств для выплаты сумм при погашении паев. Следовательно, большое значение для рынка облигаций будут иметь только те фонды, чья политика состоит во вложении средств в государственные и другие высококачественные облигации.
Хотя такие фонды тоже являются коммерческими структурами, все-таки законодательство некоторых стран освобождает их от уплаты налогов на капитал на основе того, что владельцы паев будут платить эти налоги в момент ликвидации пая. Соответственно такие фонды получат больше выгод от прироста капитала, чем от получения процентных доходов, и будут принимать соответствующие решения.
ПРОЧИЕ КОНСУЛЬТАНТЫ
Диверсификация инвестиций (глава 7) очень важна для сокращения риска. В результате инвестиционные консультанты уделяют большое внимание тому факту, чтобы хоть какая-то часть инвестиций была вложена в ценные бумаги с фиксированным доходом. Особенно в тех случаях, когда требуется, чтобы портфель приносил хотя бы какой-то доход, инвестиционный консультант будет, скорее всего, склонен выбрать инвестиции в облигации для выполнения этой задачи. Очевидно, что размер суммы, вкладываемой в облигации, будет зависеть от размера портфеля, периодов времени между регулярными пересмотрами, отношения клиента к риску.
В тех странах, где частные лица платят высокие прогрессивные налоги на незаработанный доход (т. е. на доход от сбережений и инвестиций), налоговые условия использования облигаций будут другими. В таких условиях процентный доход может практически не иметь никакой ценности (после налогообложения) для получателя, и следовательно, прирост капитала будет более привлекателен.
ЧАСТНЫЕ ЛИЦА
В целом, хотя частные лица обычно используют консервативный подход к инвестициям, они не являются активными покупателями или держателями облигаций.
ВОПРОСЫ ДЛЯ САМОПРОВЕРКИ
1. В чем состоит роль первичного дилера на рынке государственных облигаций?
2. Какова роль других дилеров на рынке облигаций?
3. Насколько важны пенсионные фонды для рынка облигаций?
4. Для каких видов инвесторов будет безразлично, представлен ли доход от облигаций процентами или приростом капитала?
5. Какая группа инвесторов меньше всего заинтересована в облигациях?
3.3 ДОХОДНОСТЬ ОБЛИГАЦИЙ
Как и многие другие ценные бумаги, облигация может приносить доход двумя способами.
Во-первых, в форме процентной ставки (купона) по займу, который в большинстве случаев представляет собой фиксированную годовую сумму, которая выплачивается либо раз в полгода, либо один раз в конце года.
Во-вторых, можно добиться прироста капитала, который выражается разницей между ценой покупки облигации и ценой, по которой инвестор продает облигацию (которая может представлять собой сумму погашения датированной облигации).
Специфической чертой, которую необходимо учитывать, определяя потенциальный доход от облигации, является то, что процентные ставки (основной компонент оценки облигации) и цены облигаций меняются в противоположных направлениях. Следовательно, общее правило таково: цены облигаций растут по мере падения процентных ставок и падают по мере роста процентных ставок.
Следующей важной чертой, как уже говорилось, является влияние уровня инфляции. Если уровень инфляции высок, то это снизит покупательную силу валюты в будущем, т. е. на момент погашения займа на полученные деньги нельзя будет купить такое же количество товаров и услуг, как сейчас. Однако необходимо учитывать, что если рынок считает, что увеличение правительством процентных ставок остановит инфляцию, то тогда цены облигаций могут остаться неизменными или даже начать расти, несмотря на то, что по вышеприведенному высказыванию цены облигаций при таком предположении должны упасть. Другими словами, хотя это правило и верно в большинстве случаев, все-таки никакой гарантии это дать не может.
Облигации могут быть выпущены с одной или несколькими датами погашения. Для того чтобы оценить полный доход, необходимо понимать последствия (в целях расчетов) использования облигаций с различными характеристиками. Если по облигации существует только одна дата погашения (такой вид займа называется займом с единовременным погашением), то именно эта дата будет использоваться для расчета дохода. Однако если по облигации существуют, например, две даты погашения (раздельные даты погашения) с разницей в пять лет, то необходимо определить, какая из этих дат подходит лучше всего.
Один из способов определения наиболее вероятной даты погашения заключается в том, чтобы при приближении к возможной дате погашения посмотреть, является ли текущая цена облигации выше или ниже номинала. Если цена выше номинала (т. е. текущие процентные ставки выше, чем при выпуске облигации), то это может означать, что эмитент в настоящий момент может заимствовать деньги по более низкой ставке, чем он платит сейчас. Следовательно, эмитент постарается погасить облигацию в самую раннюю дату, и первая дата погашения будет использоваться в расчетах дохода. С другой стороны, если цена меньше номинала (т. е. процентные ставки выросли), то в интересах заемщика будет продержать эти облигации как можно дольше. Соответственно в расчетах будет использоваться наиболее поздняя дата.
ДОХОДНОСТЬ
Инвестор, вкладывающий деньги в облигации, должен определить текущую доходность, которую ему приносит купон в денежном выражении. Это можно определить, рассматривая купон как часть текущей цены. Используется именно текущая цена, а не та цена, которая была заплачена за облигацию инвестором. Теперь необходимо решить, оставить эту облигацию или продать и использовать вырученные средства для вложения в другие инвестиции. Реальное сравнение можно провести только с доходами, получаемыми в настоящий момент по другим инвестициям. Для того чтобы определить доход, нужно провести следующие расчеты.
Пусть текущая цена облигации равна 100, ставка купона — 10%, то тогда облигация будет иметь:
Текущая доходность (без учета стоимости погашения ценной бумаги) в размере 10% .
Математически это получается в результате деления купона на цену облигации, т. е.
Купон Цена х 100 = 10/100 х 100 = 10%
Например, если цена облигации упадет до 75, какой тогда будет текущая доходность? Поскольку купон установлен на уровне 10% , то расчеты будут следующими:
10/75 = 13,33%
Если же цена облигации выросла до 150, то какой будет текущая доходность? Купон опять-таки не меняется, и расчеты будут выглядеть следующим образом:
10/150 = 6,66%
Номинальная стоимость на практике выполняет несколько функций. Во-первых, обычно это сумма, которая выплачивается при погашении, а во-вторых, эта та сумма, на основе которой рассчитывается купон. Для бессрочных облигаций эти расчеты будут иметь смысл только для того, чтобы определить прирост капитала, так как погашения здесь не существует, и никаких условий на конец срока не устанавливается.
Если облигация является датированной и фиксированная сумма должна быть выплачена при погашении, то существует еще один показатель доходности — доходность к погашению.
Доходность к погашению
Доход к погашению означает общую сумму доходов, получаемых за период держания облигации как в форме купонных платежей, так и в форме прироста или уменьшения капитала по основной сумме за период с сегодняшнего дня (или с даты покупки) до конца срока действия облигации при предположении, что все полученные купонные платежи были реинвестированы с той же нормой прибыли.
Существует несколько методов расчета дохода к погашению. В рамках данной работы рассматривается только самый простой способ. В принципе при этом методе к текущему доходу добавляется прирост капитала (или потеря) к погашению, и это рассчитывается как процент от текущей цены:
[{Купон + (номинал - цена)/число лет до конца срока}/ Рыночная цена] х 100
Пример. Цена облигации — 75, купон — 10% , номинальная стоимость 100, период погашения — 10 лет. Как видно из предыдущего примера, эти данные дают текущий доход в размере 13,33°о .
Из этого следует:
[{10 + (100 - 75)/10}/75] х 100 = [{(10+2,5)}/75] х 100 = 16,66%
Одно из основных различий между инструментами с фиксированной ставкой и акциями состоит в том, что долевые инструменты в основном покупаются с целью достижения прироста капитала, а облигация обращается как альтернатива депозитов. Следовательно, профессиональный подход к работе с облигациями должен состоять в ожидании того, что инвестиция будет приносить доход каждый день.
Хотя купоны объявляются как ежегодные суммы, дилеры рассматривают это как ежедневную ренту за вложенные деньги в годовом исчислении. Соответственно 10-процентный купон может рассматриваться как 10/365 (или деленные на 360 дней в американском варианте и в случае с еврооблигациями) за каждый день в году.
Обычным условием на рынке облигаций является работа с ценами, которые не включают эти ожидаемые ежедневные суммы процентных платежей, но происходит передача ежедневных эквивалентных сумм (т. е. с момента выплаты последнего купона) в качестве дополнительных платежей при расчетах по фактическим операциям. Таким образом, как в предыдущем примере, где текущая цена облигации была 75, при предположении, что купон в размере 10°о выплачивается один раз в год (от номинальной суммы в размере 100 единиц), через шесть месяцев с момента последней выплаты купонов начисленный доход оставит 5 единиц (т. е. половину годового купона).
В связи с этим “чистая” цена будет равна 75 (т. е. без начисленного дохода), но для тех рынков, которые торгуют по “грязным” ценам, цена составит 80 (т. е. 75 + 5). В каждом случае расчетная сумма будет равна 80. Следует заметить, что сумма начисленного дохода обычно описывается как фиксированная сумма на число дней от последней расчетной суммы. Следовательно, проценты за 6 месяцев будут называться 182 или 183 в зависимости от календаря (180 дней для американской системы и для еврооблигаций). Цель использования в расчетах метода 360 дней состоит в том, что это просто облегчает расчеты.
Очень важно принимать во внимание, насколько изменится цена по отношению к изменениям в процентных ставках. Не все цены облигаций будут одинаково реагировать на изменения процентных ставок. Размер изменений будет зависеть от размера купона и периода времени, оставшегося до погашения. Некоторые облигации бывают более чувствительными к изменениям процентных ставок, чем другие. Общий принцип таких взаимоотношений может быть выражен следующими словами:
• Долгосрочные облигации более чувствительны, чем краткосрочные.
• Облигации с низким купоном более чувствительны, чем облигации с высоким купоном.
Причина состоит в том, что в основном большая часть дохода состоит из выплаты номинальной стоимости. Логика такова, что, когда процентные ставки падают, владелец краткосрочной облигации будет получать меньший доход только в течение короткого периода времени до момента погашения основной суммы долга (а эти средства могут быть затем реинвестированы).
С другой стороны, владелец долгосрочной облигации не должен предпринимать каких-либо немедленных действий и, следовательно, может больше выиграть на росте цены облигаций для того, чтобы компенсировать падение ставок. С точки зрения ставки купона необходимо понимать, что по мере падения процентных ставок облигации с высоким купоном будут получать доход быстрее, чем облигации с низким купоном, и следовательно, для того чтобы сбалансировать общую сумму доходов, цена облигации с низким купоном будет расти быстрее.
Значимость данных взаимоотношений исходит из комментария, который был сделан раньше, о том, что владелец облигации хочет получать доход от своих денег каждый день. Соответственно единственная альтернатива облигациям, которым он владеет, — это либо вкладывать деньги на банковские депозитные счета, либо приобрести другие облигации. Это приводит к тому, что инвестор, вкладывающий деньги в облигации, уделяет много внимания изменениям в процентных ставках, и в зависимости от этих изменений он принимает решения о том, покупать ли ему долгосрочные или краткосрочные облигации, инструменты с высоким купоном или низким.
В заключение можно сказать, что наиболее изменчивыми (или чувствительными) облигациями являются долгосрочные облигации с низким купоном, а наименее изменчивыми — краткосрочные облигации с высоким купоном.
Данная характеристика (названная именем человека, который ее разработал) является критерием измерения (в годах) чувствительности цен облигаций к сроку действия облигации и размеру купона. В принципе это показывает влияние купона на срок действия облигации. Облигация без купона будет иметь дюрацию, равную сроку действия облигации, но, чем выше купон, тем меньше будет дюрация по отношению к сроку погашения. Облигации с меньшей дюрацией будут менее чувствительны к изменению процентных ставок, чем облигации с большей дюрацией.
В данном пособии в качестве примера будет рассмотрен критерий “одна восьмая”. Это менее сложный способ, который показывает (после того, как все другие расчеты были проведены) величину, на которую должны измениться процентные ставки для того, чтобы привести к изменению цены на 1/8 денежной единицы. Чем больше величина, тем менее чувствительна облигация, поскольку значительные изменения процентных ставок приведут к изменению цены лишь на 1/8.
Например, облигация имеет цену 97 и доходность 12°о (эквивалент рыночной ставки), и критерий 1/8 равен 0,1%. Если процентные ставки вырастут до 12,5% , цена облигации может измениться следующим образом:
на каждую 0,1% изменения процентных ставок цена облигации будет меняться на 1/8. Поскольку процентные ставки изменились на 0,5°о , то цена облигации должна измениться на 5/8. Необходимо помнить, что если процентные ставки выросли, то цена облигации должна упасть. Соответственно новая ожидаемая цена составит 97 — 5/8 = 96 3/8.
Кривая доходности
В общих чертах вышеописанная концепция предполагала наличие единой рыночной процентной ставки и то, что цены облигаций меняются по единой схеме (в соответствии с расчетом дюрации) в ответ на изменения процентных ставок. Тем не менее такой упрощенный подход не дает полного представления о процессе. Хотя большинство правительств контролирует краткосрочные процентные ставки (для заимствований на период до трех месяцев) через управление денежной массой и банковскую систему, долгосрочные ставки все-таки контролируются рыночными силами. Следует помнить, что если процентные ставки привлекают кредиторов, то они отталкивают заемщиков, и наоборот.
Эти рыночные силы поддерживаются общим предположением о том, что, чем больше период, на который кредитор вкладывает средства, тем больший риск он берет на себя (риск получения ожидаемого дохода) и, следовательно, тем больший процент он потребует. Таким образом, необходимо иметь возможность анализировать взаимоотношения между облигациями с различными купонами и датами погашения для того, чтобы оценить, насколько они подходят и для кредиторов, и для заемщиков.
Такое представление можно получить через использование так называемой кривой доходности. Это кривая определения соотношения между доходами по облигациям с различными сроками погашения, которые в настоящий момент находятся в обращении и выпущены одним эмитентом. Можно дать следующее определение кривой доходности — сравнение доходностей к погашению по облигациям одного эмитента, изображенное графически.
Не будет никакого смысла в сравнении кривых доходности, например, по золотообрезным облигациям Великобритании, американским казначейским облигациям и российским ГКО, поскольку существует огромное количество разных факторов, которые могут повлиять на относительные структуры цен.
Наиболее важным элементом является наклон кривой. Нормальный наклон будет увеличивается с течением времени, так как более долгосрочные ставки, как уже говорилось раньше, должны быть выше, чем краткосрочные.

Кривая является результатом графического отражения доходов по облигациям по отношению ко времени, которое осталось до конца срока действия каждой облигации (примечание: каждый крестик на графике означает доходность облигации по цене, по которой облигация котируется в этот момент времени), а затем проводится усредняющая линия. Следует заметить, что кривая становится более пологой на более длительных сроках. Это отражает тот факт, что у инвесторов возникают практически одинаковые ожидания относительно облигаций со сроком погашения более пятнадцати лет, и в этой области возникает большой спрос на эти инструменты со стороны институтов, предпочитающих долгосрочные вложения.

Второй график отражает изменения в ожиданиях относительно того, что процентные ставки вырастут. Кривая поднимается очень резко и становится более пологой на высоком уровне. Это отражает тот факт, что инвесторы считают, что процентные ставки не останутся неизменными, а экономические факторы приведут к росту процентных ставок. Следовательно, инвесторы либо будут стремиться к предоставлению краткосрочных займов (на основе того, что после погашения они смогут предоставить кредиты по более высоким ставкам, которые сложатся на тот момент), именно поэтому на коротких сроках кривая не очень меняется, либо они будут ожидать более высоких процентных ставок и продолжать предоставлять долгосрочные займы.
К сожалению, на самом деле не все так просто и понятно. Необходимо помнить о тех факторах, которые могут повлиять на цены государственных облигаций, потому что может получиться так, что наклон кривой создаст падающую и/или отрицательную кривую доходности.

Такая кривая предполагает, что экономическое производство в течение более длительных периодов будет снижаться (т. е. что цены на товары и услуги будут расти более медленно (или даже падать), чем сейчас (т. е. снижение инфляции), или что состояние экономики в будущем улучшится), и следовательно, ожидания относительно дохода снизятся.
Еще одна рыночная сила, которая может привести к понижающейся кривой доходности, — это недостаток средств, которые могут быть предоставлены в кредит в настоящий момент, что также приведет к росту процентных ставок только на короткий период времени. Такая ситуация может возникнуть, если излишки краткосрочных денежных средств расходуются на приобретение товаров и услуг, а не на сбережения.
И последнее, что следует сказать в этом разделе, — это то, что существует особая черта кривых доходности, появление которой вызвано организациями, занимающимися долгосрочными сбережениями. Эта черта состоит в следующем: на самом дальнем конце кривой (т. е. более двадцати лет) актуарные обязательства пенсионных фондов и компаний по страхованию жизни требуют от этих организаций держать в избытке долгосрочный долг. Следовательно, независимо от превалирующих ставок спрос в этой области всегда большой, и это занижает требования к доходности (и подталкивает цены вверх) в большей степени, чем этого можно было бы ожидать.
ВОПРОСЫ ДЛЯ САМОПРОВЕРКИ
1. Какое воздействие оказывает на цену облигации тот факт, что облигация имеет несколько дат погашения?
2. Что имеется в виду под сложным процентом?
3. Опишите принцип дисконтированных денежных потоков?
4. Какой принцип описывает чувствительность облигаций?
5. Каковы черты понижающейся кривой доходности?
3.4 МЕЖДУНАРОДНЫЕ РЫНКИ ГОСУДАРСТВЕННЫХ ОБЛИГАЦИЙ
В данном разделе будут рассмотрены международные рынки облигаций на примере США, Великобритании, Японии и Германии.
СОЕДИНЕННЫЕ ШТАТЫ АМЕРИКИ
В США находится самый крупный в мире рынок государственных облигаций. Он состоит из трех частей. Краткосрочная секция рынка представлена казначейскими векселями; это те инструменты, которые выпускаются с дисконтом к номинальной стоимости и, следовательно, не имеют никакого купона. Инструменты среднесрочной секции рынка называются казначейскими нотами, которые выпускаются на период от двух до десяти лет, и по ним выплачиваются купонные проценты. К долгосрочной секции рынка относятся инструменты, которые называются казначейскими облигациями, по которым, как и по нотам, выплачивается купон, но выпускаются они на сроки более десяти лет.
Как уже говорилось раньше, если инструмент был выпущен как казначейская облигация, то он и останется казначейской облигацией до конца срока.
Структура торговли на этом рынке основывается на дилерах-брокерах, выполняющих двойную функцию (т. е. при проведении операций они могут выступать в качестве агентов и принципалов), которые должны называть двусторонние цены (т. е. цены спроса и предложения), а также на так называемых междилерских брокерах (которые представляют собой агентов, не имеющих права работать с клиентами, но которые выступают в качестве связующего звена для уравнивания ликвидности между основными трейл ерами). Сделки заключаются по телефону и через электронные торговые системы.
Ценные бумаги выпускаются через аукцион, и трейл еры первичного рынка предоставляют заявки на номинальную сумму ценных бумаг, которую они хотели бы купить либо для себя, либо для своих клиентов.
Расчеты проводятся либо в тот же день, либо на следующий день через Федеральный резервный банк. Денежные суммы вносятся на счет в одном из федеральных банков, а передача прав собственности осуществляется через систему бухгалтерских проводок. Эта система называется системой «телеграфных переводов».
ВЕЛИКОБРИТАНИЯ
Британский рынок государственных облигаций также достаточно большой и тоже состоит из трех секций. Система аналогична американскому рынку за исключением того, что краткосрочную секцию . составляют облигации со сроком погашения вплоть до пяти лет, среднесрочную — со сроками до пятнадцати лет, а долгосрочную — ценные бумаги со сроком погашения больше пятнадцати лет (вплоть до тридцати лет, а также существуют бессрочные облигации). Хотя названия, используемые для выпуска, ранее определялись департаментом или целью выпуска, сейчас все эти наименования можно считать синонимами, так как все государственные облигации Великобритании имеют одинаковый ранг. Могут использоваться следующие названия: консолидированные (консоли), конверсионные, казначейские, финансовые и военные займы.
Как уже говорилось раньше, в Великобритании, когда речь идет о периоде погашения, то имеется в виду тот период времени, который остался до момента погашения, а не время с момента выпуска облигации, т. е. если до конца срока погашения облигации осталось пять лет и один день, то эта облигация будет считаться среднесрочной, но по прошествии одного дня она станет краткосрочной. Раньше это было важно с точки зрения налогообложения и использования грязных или чистых цен, а сейчас это не играет практически никакой роли.
Структура торговли на этом рынке имеет много общего с американским рынком, так как многие черты американского рынка были заимствованы Великобританией во времена введения в действие Акта о финансовых услугах 1986 года, и также были внесены изменения в работу рынка с точки зрения разрешения выполнения брокерами двойственных функций. Большая часть сделок заключается по телефону и через электронные торговые системы с использованием маркет-мейкеров, которые называются GEMM(маркет-мейкеры по золотообрезным облигациям).
GEMM должен получить разрешение от Банка Англии на проведение операций, и они представляют собой подразделения с собственным капиталом и должны действовать самостоятельно по отношению к подразделениям той же самой компании, которые работают с другими ценными бумагами. Банк Англии ежедневно контролирует соблюдение маркет-мейкерами требований к достаточности капитала через прямую компьютерную сеть. Банк Англии предоставляет им преимущества, которые заключаются в том, что они могут напрямую покупать и продавать ценные бумаги Банку Англии, выступая покупателями последней инстанции. Как и в США, междилерские брокеры предоставляют анонимные посреднические услуги, что позволяет GEMM не беспокоиться о ликвидности, не имея обязанности публично сообщать о крупных рисковых позициях; хотя о всех операциях необходимо сообщать на лондонскую фондовую биржу, которая все еще осуществляет контроль за операциями на рынке государственных облигаций.
Облигации выпускаются так же, как и в США, через аукцион (с 1987 года), в ходе которого GEMM подают заявки в Банк Англии.
Расчеты проводятся на основе Т + 1. При этом Банк Англии использует систему электронных поставок и платежную систему, которая называется Центральным управлением золотообрезных облигаций, и на практике требуется, чтобы денежные средства поступали до того, как будет совершена поставка ценных бумаг. Тем не менее все еще возможно осуществлять физическую поставку сертификатов в обмен на денежные средства через банковскую систему.
ЯПОНИЯ
Японский рынок государственных облигаций так же, как и британский, использует разные названия для выпусков облигаций. Среди наименований выпусков можно встретить строительные облигации, займы для финансирования дефицита бюджета или для рефинансирования, но опять-таки в настоящий момент названия не играют никакой роли, так как все японские государственные облигации (JGB) имеют одинаковый ранг. Исторически Япония выпускала только облигации со сроком погашения десять лет и называла эти облигации долгосрочными. Недавно они начали выпускать облигации со сроком погашения двадцать лет и больше и называют их «супердолгосрочными». Обычно в Японии государственные облигации выпускаются как на предъявителя, так и именные, но каждая из этих облигаций может быть конвертирована в любом направлении в течение двух дней.
Проценты по этим облигациям выплачиваются каждые полгода, и с 1987 года были установлены конкретные даты для выплаты процентов: июнь/декабрь, март/сентябрь. Раньше использовались только займы с единовременным погашением.
Государственные облигации Японии котируются на Токийской фондовой бирже и могут продаваться и покупаться в ходе торговых сессий в торговом зале пакетами по 1 000 иен. Однако большие объемы торгов проходят на внебиржевом рынке между крупными компаниями, которые работают с ценными бумагами.
Облигации выпускаются с использованием комбинированной системы. На 6 0°/о каждого выпуска подписывается консорциум банков, институциональные инвесторы и компании, занимающиеся ценными бумагами. Оставшаяся часть выносится на аукцион для широких масс. Средняя цена, сложившаяся по результатам аукциона, используется в качестве основы для цены, которая предлагается консорциуму за вычетом небольшой комиссии за андеррайтинг.
Расчеты по японским государственным облигациям проводятся на четвертый день на каждодневной основе.
ГЕРМАНИЯ
Рынок государственных долговых инструментов Германии значительно изменился за последние годы в результате объединения Восточной и Западной Германии, что привело к резкому росту потребностей в финансировании. Также следует заметить, что немецкие инвесторы больше склонны вкладывать средства в облигации, и существует лишь незначительный спрос на долевые инструменты по сравнению с другими западными странами.
В дополнение к государственным выпускам существуют также два квазиправительственных выпуска, которые осуществляются почтовым (“Посте ”) и железнодорожным ведомствами (“Банз”) Германии. Большая часть государственного долга приходится на облигации ФРГ, Бундсы, (которые имеют срок погашения 10 лет и больше), и недавно стали выпускаться “объединенные” облигации, целью которых является финансирование процесса объединения. Правительство также выпускает среднесрочные облигации BOBL (которые выпускаются со сроком пять лет), которые первоначально были доступны только для внутренних инвесторов, а с 1989 года стали продаваться и иностранным покупателям; облигации SCHATZ всегда были доступны для всех видов инвесторов.
Всеми этими инструментами официально торгуют на бирже, но, как и в Японии, большие объемы проходят через внебиржевой рынок в форме сделок между крупными банками. Следует заметить, что Бундесбанк (Центральный банк Германии) выступает в качестве маркет-мейкера для облигаций ФРГ и облигаций федеральной почтовой службы, а для облигаций федеральной железнодорожной службы маркет-мейкером выступает Железнодорожный банк (Railwaybank).
Опять-таки, как и в Японии, часть выпуска распродается через аукцион, а часть — через консорциум банков и компаний, занимающихся ценными бумагами, а третья часть поступает непосредственно в Бундесбанк, который использует эти ценные бумаги для интервенций на рынок с целью повлиять на процентные ставки.
Расчеты проводятся через централизованную систему бухгалтерских проводок, управляемую “Кассовыми союзами” (частично частный механизм электронных поставок и расчетов, который также используется в Голландии и в странах Северной Европы). Расчеты также можно проводить через CEDEL и Euroclear — две основных расчетно-клиринговых палаты для еврооблигаций, где расчеты осуществляются через три дня в соответствии с конвенцией еврорынков.
ВОПРОСЫ ДЛЯ САМОПРОВЕРКИ
1. Как называются долгосрочные государственные ценные бумаги США?
2. Каковы различия в наименовании сроков погашения по государственным облигациям Великобритании и США?
3. Что представляют собой государственные облигации Японии?
4. Каков период расчетов по облигациям ФРГ?
3.5 РЫНОК ГОСУДАРСТВЕННЫХ ЦЕННЫХ БУМАГ РОССИИ
Рынок государственных ценных бумаг России составляют:
• облигации государственного республиканского внутреннего 30-летнего займа РСФСР (ГДО);
• облигации внутреннего валютного займа Внешэкономбанка (ОГВВЗ);
• государственные краткосрочные облигации (ГКО);
• облигации федерального займа с переменным купоном (ОФЗ-ПК);
• облигации государственного сберегательного займа (ОГСЗ);
• облигации федерального займа с постоянным доходом (ОФЗ-ПД).
ОБЛИГАЦИИ РЕСПУБЛИКАНСКОГО ВНУТРЕННЕГО ЗАЙМА РФ 1991 ГОДА
Государственный республиканский внутренний заем РФ 1991 года — первый в России свободно обращающийся заем, котируемый Центральным банком. Он выпущен общим объемом 80 млрд. рублей в виде облигаций достоинством 100 тысяч рублей каждая сроком на 30 лет (с 1 июля 1991 года по 30 июня 2021 года).
Заем выпускался 16 отдельными разрядами по 5 млрд. рублей каждый. Эти разряды объединялись в 4 группы (1—4 “Апрель”, 5—8 “Июль”, 9—12 “Октябрь”, 13—16 “Январь”). На сегодняшний день осталось две группы: «Апрель» и «Октябрь».
Держателям облигаций в безналичном порядке один раз в году по купону выплачивается годовой доход в размере 15% от номинальной стоимости облигации. Обслуживание займа и торговля облигациями возложены на Главные территориальные управления ЦБ. Облигации обращаются исключительно среди юридических лиц.
По первому требованию инвесторов учреждения ЦБ продают облигации желающим купить их и выкупают их обратно у желающих продать по объявленным ЦБ котировкам. Котировки выставляются один раз в неделю по вторникам и фиксируются на всю неделю. Техника купли-продажи для облигаций всех групп разрядов одинакова.
Кроме цены покупатель уплачивает продавцу накопленный купонный доход, исчисляющийся по формуле:
где:
Q — сумма причитающегося процентного дохода, К — процентная ставка купона, N — номинал облигации, Д — количество календарных дней в году,
Д1 — количество календарных дней в прошедшем периоде начиная с первого дня после выплаты последнего купона до дня расчета по данной сделке включительно.
Данный порядок действует как при реализации облигаций ЦБ, так и при выкупе их у инвесторов. Для каждой группы разрядов устанавливаются свои собственные цены выкупа и реализации.
Главные территориальные управления ЦБ реализуют и выкупают облигации в течение всего года, кроме одной рабочей недели, “особой”. Для серии “Апрель” — вторая неделя апреля каждого года; для серии “Октябрь” вторая неделя октября каждого года. В эту неделю обычный порядок определения цены не действует.
Сделки на этой неделе происходят по котировкам предшествующего месяца предшествующего года, т.е. за 13 месяцев до ее наступления. Это дает возможность инвесторам четко ориентироваться в ценовой динамике облигационного займа, а также планировать общую доходность по ним из расчета более чем на год.
ОБЛИГАЦИИ ГОСУДАРСТВЕННОГО ВАЛЮТНОГО ОБЛИГАЦИОННОГО ЗАЙМА
В 1992 г. принято решение о выпуске внутреннего валютного займа, облигации которого предусматривалось передать юридическим лицам — клиентам Внешэкономбанка (ВЭБ) в соответствии с величиной средств, замороженных на счетах в результате банкротства ВЭБ [1] .
В постановлении правительства установлены форма и основные параметры погашения валютного долга:
• валюта займа — доллары США;
• ежегодные купонные выплаты — 3% ;
• общая сумма займа — 7,885 млрд.;
• структура эмиссии:
— 100 тыс. облигаций номиналом 1000$; — 41,5 тыс. облигаций номиналом 10000$; — 73,7 тыс. облигаций номиналом 100000$;
• дата выпуска — 14 мая 1993 года;
• погашение по пяти траншам со сроком обращения 1, 3, 6, 10, 15 лет;
• выпуск в наличной бумажной форме в виде ценных бумаг на предъявителя.
В 1996 г. была проведена дополнительная эмиссия ОВВЗ [2] 2. Дополнительные и новые выпуски были нацелены:
• на погашение внутреннего валютного долга, который не был учтен при определении первоначального объема эмиссии ОВВЗ;
• на урегулирование внутреннего валютного долга бывшего СССР перед российскими предприятиями и организациями — владельцами балансовых счетов, на которых числились средства в клиринговых, замкнутых и специальных валютах по межправительственным договорам и платежным соглашениям;
• на погашение валютной коммерческой задолженности РФ.
Размещение новых VI и VII траншей ОВВЗ было произведено в мае 1996 г. в условиях падения цен на российские долги вследствие высоких предвыборных рисков. В 1996 г. состоялся дополнительный выпуск ОВВЗ на общую сумму 5,05 млрд. долл. США, в том числе II—V серий на 1,55 млрд. долл. и двух новых серий (VI и VII ) на 3,5 млрд. долл. В настоящее время с учетом погашенных серий в обращении находятся облигации III—VII серий на сумму 11,1 млрд. долл.
Крупнейшими участниками этого рынка из числа зарубежных банков и компаний являются BankofAmerica, ChaseManhattan, SalomonBrothers, INGBarings ,Indosuez Capital, Eurobank, Deutsche MorganGrenfell ,J .P. Morgan. В число наиболее заметных российских операторов рынка входят Внешторгбанк, МФК, МФК-“ Московские партнеры”, “Альфа Альянс”, Российский кредит и другие.
Следует отметить, что размещение ОВВЗ производилось по номиналу, однако на вторичном рынке облигации продаются с дисконтом от 90% до 10°о в зависимости от серии. Рыночная стоимость облигаций подвержена колебаниям, определяемым влиянием как экономических, так и политических факторов.
Среди этих факторов — общая конъюнктура мирового рынка внешних долгов, состояние российской экономики, финансов и политической ситуации в стране, результаты переговоров Правительства России с Парижским и Лондонскими клубами, с МВФ и МБРР и др.
Объем и структура эмиссии ОВВЗ
| Номер серии | Объем эмиссии Выпуск 1993 г. | млн. долл. Выпуск 1996 г. | Дата погашения |
| 1 | 266 | 14.05.1994 г. (погашена) | |
| 11 | 1518 | 30 | 14.05.1996 г. (погашена) |
| III | 1307 | 15 | 14.05.1999 г. |
| IV | 2627 | 835 | 14.05.2003 г. |
| V | 2167 | 670 | 14.05.2008 г. |
| VI | 1 750 | 14.05.2006 г. | |
| VII | 1750 | 14.05.2011 г. |
Главной тенденцией конца 1996 г. стало повышение котировок и соответственно снижение доходности облигаций всех траншей: если на начало года доходность облигаций третьего, четвертого и пятого траншей колебалась вокруг отметки в 20% годовых в долл. США, то к концу года доходность упала до 10—13% в зависимости от транша. Падение доходности явилось следствием получения Россией кредитного рейтинга и, как следствие этого, повышения доверия иностранных участников к инструментам российского рынка. Другой чертой рынка в 1996 году стало повышение объемов торгов и, как следствие, ликвидности рынка ОВВЗ.
В заключение следует заметить, что ОВВЗ с самого начала были “необычными” ценными бумагами с изн ачально заложенными в конструкцию противоречиями. Некоторые из таких противоречий в сочетании с недостаточным уровнем развития депозитарных услуг и недостаточной согласованностью между гражданским и уголовным правом создали основу для возникновения проблем, связанных с реализацией добросовестными приобретателями прав по принадлежащим им бумагам.
ГОСУДАРСТВЕННЫЕ КРАТКОСРОЧНЫЕ ОБЛИГАЦИИ, ОБЛИГАЦИИ ФЕДЕРАЛЬНОГО ЗАЙМА С ПЕРЕМЕННЫМ КУПОНОМ
По таким характеристикам, как объем в обращении, емкость рынка, ликвидность и динамичность развития, а также доля в финансировании дефицита федерального бюджета ведущее место среди государственных ценных бумаг занимают ГКО и ОФЗ. Наличие свойств, общих для ГКО и ОФЗ, несмотря на некоторые различия в эмиссионных характеристках, позволяет говорить о существовании единого рынка ГКО-ОФЗ. Среди таких общих свойств можно отметить следующие:
• технология размещения, вторичного обращения и погашения через систему организованного рынка ценных бумаг (ОРЦБ);
• круг участников рынка, в первую очередь — общий институт дилеров;
• схожие инвестиционные качества.
Эмитентом ГКО и ОФЗ выступает Министерство финансов России, которое принимает решение об осуществлении отдельных выпусков ГКО и ОФЗ и определяет их параметры.
Параметры выпуска государственных краткосрочных облигаций (ГКО) [3] 3:
· номинальная стоимость облигации — 1 000 000 рублей;
· срок обращения 3 месяца, 6 месяцев и 1 год (в настоящее время годовые облигации не эмитируются);
· ' облигации бескупонные, т. е. доходом по ним является разница между ценой покупки и погашения;
· эмиссия облигаций осуществляется в форме отдельных выпусков (траншей);
· владельцами облигаций могут быть как юридические, так и физические лица, в том числе и нерезиденты;
· облигации именные;
· форма выпуска — безбумажная.
Генеральный агент эмитента — Центральный банк России — выполняет функции платежного агента Минфина, проводит размещение, обслуживание и гарантирует своевременное погашение облигаций. Облигации выпускаются с обязательным централизованным хранением, выпуски этих ценных бумаг оформляются глобальными сертификатами, которые хранятся в Минфине и Банке России. Вследствие того, что ключевые характеристики для этих рынков общие, на протяжении 1996 года происходило параллельное развитие нормативной базы и инфраструктуры рынков ОФЗ и ГКО.
Первичное размещение ведется по принципу американского аукциона. Претенденты подают два типа заявок: конкурентные и неконкурентные. Стоимость бумаг, приобретаемых по неконкурентным заявкам, равна средневзвешенной цене удовлетворенных конкурентных заявок. Конкурентные заявки подаются участниками торгов с указанием цены, по которой они готовы приобрести облигации.
После регистрации по уровню предложения цены, начиная с максимальной, заявки участвуют в безличном конкурсе, где определяется цена отсечения (если объем облигаций меньше спроса). Заявки, преодолевшие линию отсечения, удовлетворяются по цене, указанной в заявке. Расчеты производятся в день аукциона.
Ликвидность ГКО обеспечивается наличием постоянно функционирующей торговой системы в рамках Московской межбанковской валютной биржи (ММВБ) и технологичным регламентом.
К важнейшим событиям 1996 года следует отнести следующие:
• создание и внедрение механизма участия нерезидентов на первичном и вторичном рынках ГКО-ОФЗ;
• создание института первичных дилеров; введение института маркет-мейкеров, обеспечивающего рынку большую степень стабильности и контролируемости;
• введение новых типов операций: ломбардного кредитования и операций с обратным выкупом;
• создание механизма учета прав на облигации, находящиеся в доверительном управлении (открытие в системе счетов ОРЦБ счетов доверительного управления для управляющих компаний паевых инвестиционных фондов);
• дальнейшее развитие системы межрегиональных торгов в режиме реального времени и подключение новых торговых площадок. К концу 1996 года торги ГКО и ОФЗ велись на восьми валютных биржах.
14 июня 1995 года на ММВБ состоялся первый аукцион по размещению облигаций федерального займа с переменным купоном (ОФЗ-ПК).
Параметры выпуска облигаций федерального займа с переменным купоном:
форма выпус ка — безбумажная;
объем выпуска — 1 триллион рублей;
номинальная стоимость одной облигации - 1 млн. рублей;
срок обращения — 378 дней.
Порядок определения купонной ставки.
Процентная ставка купонного дохода определяется на текущий день как средневзвешенная доходность к погашению по средневзвешенной цене ГКО на вторичных торгах на ММВБ и рассчитывается по тем выпускам ГКО, погашение которых будет произведено в период от 30 дней до даты выплаты очередного купонного дохода до 30 дней после выплаты очередного купонного дохода. Доходность определяется как средневзвешенная за последние 4 торговые сессии до даты объявления доходности. Длительность купонного периода 105 дней. Величина купонного дохода объявляется не позднее чем за 7 дней до даты выплаты дохода по предшествующему купону.
Выпуски ГКО и ОФЗ-ПК считаются состоявшимися, если в период размещения было продано не менее 20% от количества предполагавшихся к выпуску облигаций.
В феврале 1997 года ЦБ изменил методику расчета купонов по ОФЗ, по которой купоны ОФЗ рассчитывались на основе только выпусков ГКО, размещенных до 21 января 1997 года[4] 4 .
Роль рынка ГКО-ОФЗ в структуре макроэкономических пропорций в экономике в целом и в финансировании дефицита государственного бюджета в настоящее время имеет исключительное значение.
Поступления от рынка ГКО-ОФЗ сыграли доминирующую роль в финансировании дефицита федерального бюджета. Доля ГКО-ОФЗ в общем финансировании дефицита федерального бюджета стабильно превышала 50 процентов, достигая в некоторые месяцы 85— 95 процентов.
По состоянию на 28 февраля 1997 года объем рынка ГКО-ОФЗ (рассчитывается как текущая суммарная номинальная стоимость находящихся в обращении ценных бумаг) вырос более чем в 3 раза и достиг 262,2 трлн. руб. в феврале 1997 г. против 73,7 трлн. руб. в начале 1996 г.
Доходность ГКО на протяжении года являлась одним из ключевых макроэкономических ориентиров наряду с таким показателем, как ставка рефинансирования. К концу года усилия ЦБ и Минфина по созданию эффективного механизма привлечения нерезидентов на рынок ГКО-ОФЗ отразились в снижении доходности облигаций и тем самым — стоимости обслуживания внутреннего государственного долга в части этих государственных ценных бумаг. Если в начале 1996 года показатель доходности ГКО, взвешенной по всем выпускам в обращении, составлял более 100% годовых, в июне достигал 170% , то к концу года доходность снизилась до 30 —35%.
Важно также отметить, что было достигнуто увеличение сроков заимствования. Показатель средней дюрации, исчисляемый по всем находящимся в обращении выпускам ГКО-ОФЗ на определенную дату, возрос с 88 дней по состоянию на январь до 149 дней по состоянию на декабрь. Удлинение сроков заимствования было достигнуто за счет целенаправленной политики Министерства финансов РФ по выпуску в обращение более длинных серий ГКО, уже в III квартале 1996 г. прекратился выпуск ГКО сроком обращения три месяца, появились выпуски ОФЗ со сроком обращения два года.
На протяжении всего 1996 года Центральный банк проводил последовательную политику, направленную на реформирование института дилера на рынке ГКО-ОФЗ.
По состоянию на середину марта число дилеров на рынке ГКО-ОФЗ достигло 171 (включая региональных). Увеличение числа дилеров поставило вопрос об усовершенствовании системы контроля за их операциями. Во втором квартале Банк России инициировал процесс разделения дилеров на две группы на добровольной основе. Дилеры первой группы, или “первичные дилеры“ , помимо выкупа определенного процента от объема выпусков, размещаемых на аукционах облигаций, должны были, по сути дела, выполнять обязанности маркет-мейкеров на рынке ГКО-ОФЗ, поддерживая котировки выпусков облигаций в торговой системе. Помимо дополнительных обязанностей первичные дилеры получали и дополнительные права: лишь их заявки на покупку и продажу могли оставаться в торговой системе (остальным участникам разрешалось выставлять заявки лишь типа “fillorkill”[5] 5 ), с этой группой дилеров Центральный банк планировал начать операции РЕПО по ГКО и ОФЗ.
По состоянию на конец 1996 года в систему межрегиональных торгов на ОРЦБ входило восемь бирж: Московская межбанковская валютная биржа (ММВБ), Санкт-Петербургская валютная биржа (СПВБ), Сибирская межбанковская валютная биржа (СМВБ), Ростовская межбанковская валютная биржа (РМВБ), Уральская валютная биржа (УРВБ), Азиатско-Тихоокеанская международная валютная биржа (АТМВБ), Нижегородская валютно-фондовая биржа (НВФБ), Самарская валютная межбанковская биржа (СМВБ). Доля региональных бирж в общем объеме сделок остается невысокой — в среднем около 5% в объеме дневных вторичных торгов. Однако данный факт является объективным следствием высокой концентрации финансовых ресурсов в Москве, которая еще будет сохраняться и в дальнейшем, и не занижает значения формирования торговой и расчетной системы, функционирующей в режиме реального времени в регионах с разными часовыми поясами.
Введение Центральным банком операций ломбардного кредитования в апреле 1996 года было призвано задействовать еще один из механизмов регулирования ликвидности коммерческих банков и денежно-кредитной политики в целом. В “ломбардный список” ценных бумаг, утверждаемый Центральным банком, на настоящий момент включены ГКО и ОФЗ. В соответствии с нормативными документами, принятыми Центральным банком, кредиты банкам под залог ГКО и ОФЗ могут быть выданы на срок не более 30 дней по ставке, определяемой на ломбардном аукционе. Для осуществления операции ломбардного кредитования в систему счетов депозитарного учета на ОРЦБ были введены специальные разделы счета депо “блокировано в залоге” и “блокировано принятое в залог”, оператором которых является Центральный банк.
В октябре 1996 года были введены операции с обратным выкупом — операции РЕПО. Центральный банк заключил генеральные соглашения о сделках купли-продажи облигаций с обратным выкупом с рядом первичных дилеров. Однако многообразие операций рынка РЕПО в настоящий момент в значительной степени ограничено Центральным банком: только первичные дилеры имеют право осуществлять операции РЕПО, при этом только операции прямого РЕПО и только с целью закрытия короткой позиции у первичного дилера. Также ограничен максимальный срок операции РЕПО.
ОБЛИГАЦИИ ГОСУДАРСТВЕННОГО СБЕРЕГАТЕЛЬНОГО ЗАЙМА РФ
В сентябре 1995 г. на российском финансовом рынке появились облигации государственного сберегательного займа (ОГСЗ), выпуск которых был осуществлен в соответствии с указом Президента РФ[6] . На сегодняшний день первый выпуск десяти серий облигаций сберегательного займа в размере 11 трлн. рублей закончен.
Первый выпуск облигаций ОГСЗ, или облигаций для населения, был вполне благополучным и успешным как для Минфина РФ, так и для населения и финансовых структур. На протяжении всего периода спрос превышал предложение. Особенно это было заметно в последние месяцы 1996 года, что вполне объяснимо, учитывая падение доходности практически всех инструментов финансового рынка. Доходность же по ОГСЗ оставалась вполне привлекательной даже на этом фоне. Пока вышли из обращения первая, вторая и третья серии первого выпуска, а остаются в обращении облигации семи серий на общую сумму по номиналу более 8 трлн. рублей.
Выпуск этих бумаг был рассчитан на мелких частных инвесторов, так как, с одной стороны, такие инвесторы уже имели возможность разочароваться от попыток участия в операциях лжефинансовых компаний и ряда банков, с другой стороны, набор финансовых инструментов был ограничен, а доходность по привычным для населения направлениям вложений средств, например в валюту, стала резко снижаться. В этой ситуации спрос на новые финансовые инструменты, имеющие государственное обеспечение, был в значительной степени гарантирован.
Принципиальных отличий ОГСЗ от ценных бумаг типа ГКО-ОФЗ было три:
• документарный (бумажный) выпуск;
• относительно низкий номинал (100 тыс. и 500 тыс. рублей);
• предъявительский характер этих ценных бумаг.
В соответствии с условиями выпусков отдельных серий ОГСЗ процентный доход по купону приравнивается к последней официально объявленной купонной ставке по облигациям федеральных займов с переменным купонным доходом (ОФЗ-ПК) за аналогичный по продолжительности купонный период.
Колебательное состояние рынка и повышенный спрос на облигации со стороны населения потребовали от операторов, особенно в первое время, дополнительных усилий по работе с частными лицами, что увеличило расходы на обслуживание. В результате со временем проявилась структура рынка, произошло его деление на крупных операторов и на финансовые учреждения, для которых ОГСЗ являются частью инвестиционного портфеля.
Эмиссия облигаций повлекла за собой формирование многих специфических услуг, в частности, активно стало развиваться депозитарное обслуживание — во многих банках были открыты депозитарии, в которых предусмотрена возможность хранения облигаций, организованы услуги по выплате купонных доходов. Вместе с тем работа с ОГСЗ достаточно трудоемка для финансово-кредитных учреждений, учитывая большое количество ручных операций и сравнительно небольшие номиналы.
Отметим еще три особенности организации обращения ОГСЗ:
первая - наличие нескольких форм обращения (биржевая, внебиржевая через финансовые структуры и “уличная”);
вторая — облигации эффективно используются и на кредитном рынке, где они постепенно становятся одним из главных средств обеспечения залогов;
третья — облигации начинают выполнять функции денег и в этом качестве, в ряде случаев заменяют не только рубли, но и валюту, поскольку имеют более высокую доходность. В настоящее время ряд обменных валютных пунктов начал работать с облигациями сберегательного займа.
Особенности обслуживания клиентов на рынке ОГСЗ следующие:
Организация первичного рынка отлична от аукционов по ГКО-ОФЗ и проводится в форме тендера (открытой подписки) среди дилеров ГКО-ОФЗ и инвестиционных компаний по предварительным условиям, которые отражены в условиях выпуска ОГСЗ.
Для подписчиков важны три условия:
а) сумма лота (как правило 10 млрд. рублей); б) начальная (минимальная) цена; в) размер купона.
Финансовые структуры предварительно уточняют размер возможного оптового и розничного спроса на облигации.
Согласно условиям размещения, финансовые структуры, которые приобрели на тендере свои лоты, должны в течение двух месяцев обеспечить реализацию за наличный расчет не менее 60°о от общего размера лота. Для банковских структур, осуществляющих значительные по объему расчетно-кассовые операции, не составляет большого труда обеспечить выполнение этого условия.
По состоянию на февраль 1997 года всего в обращение выпущены одиннадцать серий облигаций государственного сберегательного займа номинальным объемом 13 трлн. руб. (см. таблицу ниже).
Структура эмиссии ОГСЗ
| ¹ серии | Объем выпуска, трлн. руб. | Период погашения |
| 1 | 1 | 27.09.96-26.03.97 |
| 11 | 1 | 27.10.96-26.04.97 |
| III | 1 | 6.12.95-5.06.97 |
| IV | 1 | 28.02.97-27.08.97 |
| V | 1 | 10.04.97-9.10.97 |
| VI | 1 | 17.04.97-16.09.97 |
| VII | 1 | 22.05.97-16.11.97 |
| VI II | 1 | 11.09.97-11.03.98 |
| IX | 1 | 2.10.97-2.04.98 |
| X | 2 | 27.11.97-27.05.98 |
| XI | 2 | 25.02.98-25.08.98 |
| Итого: | 13 |
В настоящее время в процессе погашения находятся первые четыре серии ОГСЗ, в апреле 1997 года начнется погашение 5-й и 6-й серий.
В 1997 году в условиях увеличения стабильности финансового рынка и снижения привлекательности валютных сбережений планируется серьезно увеличить долю ОГСЗ в общем объеме заимствований государства, привлекая прежде всего накопления граждан, делая упор на региональных инвесторов.
Облигации федерального займа с постоянным доходом (ОФЗ-ПД)
Важным событием на рынке ГКО-ОФЗ стало начало продажи с 24 февраля 1997 г. на вторичном рынке облигаций федерального займа с постоянным доходом (ОФЗ-ПД).
Параметры выпуска и обращения [7] :
• эмитент — Министерство финансов;
· облигации именные, купонные, среднесрочные;
• номинал 1 000 000 руб.;
• эмиссия осуществляется в форме отдельных выпусков в сроки, устанавливаемые эмитентом;
• для каждого выпуска устанавливается свой размер купонного дохода, дата погашения, дата выплаты купонного дохода, доля нерезидентов;
• указанные условия фиксируются в Глобальном сертификате;
· величина купонного дохода постоянна.
Облигации эмитированы 6 июня 1996 г. для покрытия расходов на компенсацию вкладов в Сбербанке РФ граждан России, родившихся до 1916 года. Всего в обращение будет выпущено 12 траншей на общую сумму 3,8 трлн. руб. Срок обращения ОФЗ-ПД самый длительный — 3 года. Купонный доход будет выплачиваться ежегодно, доходность по первому купону установлена в размере 20% годовых.
ВОПРОСЫ ДЛЯ САМОПРОВЕРКИ
1. Какой процентный доход предусмотрен условиями выпуска и обращения ОВВЗ?
2. Как рассчитывается стоимость ГКО приобретаемых участниками аукциона по неконкурентным заявкам?
3. Назовите основные события, произошедшие на рынке ГКО-ОФЗ.
4. Как определяется процентный доход по купону ОГСЗ?
3.6 КОРПОРАТИВНЫЕ ОБЛИГАЦИИ
Большинство компаний не может получать достаточно прибыльные денежные потоки от своей деятельности для того, чтобы позволить себе роскошь жить без заимствований. В главе 1 говорилось о том, что существует три способа, используя которые компании могут привлекать финансирование: заимствование, выпуск долевых инструментов и продажа активов.
В данном разделе будут рассмотрены те инструменты, которые компания может выпускать для того, чтобы удовлетворить свои потребности в заимствовании, а также будут рассмотрены причины, по которым может быть использован тот или иной метод. В этом разделе не будут обсуждаться инструменты денежного рынка, которые уже рассматривались выше в главе 1. Прежде чем компания начнет выпускать долговые инструменты, она должна принять во внимание ряд факторов. В принципе это те же факторы, которые учитывает банк, принимая решение: предоставлять компании кредит или нет. Анализ этих факторов позволяет банку (как кредитору) определить риски, с которыми он может столкнуться с точки зрения способности компании выплачивать проценты и погасить основную сумму долга в течение установленного временного периода.
ФАКТОРЫ, УЧИТЫВАЕМЫЕ ПРИ КРЕДИТОВАНИИ
Какова цель кредита?
• Будут ли эти средства приносить прибыль, достаточную для выплаты процентов и погашения основной суммы долга в установленное время в рамках графика погашения?
• Какие активы будут предоставлены в качестве обеспечения кредита?
• Имеет ли заемщик право использовать данные активы в качестве залога, (т. е. не являются ли они обеспечением какого-либо другого кредита)?
• Как функционировала компания в течение последних трех финансовых лет?
• Каково соотношение между текущими заемными средствами и акционерным капиталом до получения рассматриваемого кредита и после?
• Насколько может сократиться годовая прибыль компании, чтобы она оставалась в состоянии продолжать обслуживать долг?
• Какой убыток могла бы выдержать компания и при этом продолжать обслуживать основную сумму долга по предлагаемому кредиту?
• Какое воздействие окажет на компанию изменение общерыночных процентных ставок?
• Достаточно ли эффективна система защиты лиц, не являющихся акционерами, т. е кредиторов?
• Имеет ли компания кредитный рейтинг, принятый в национальном и международном масштабе?
Решение кредитора будет зависеть от ответов на вышеперечисленные вопросы. В конечном итоге кредитор примет решение, состоящее из двух частей: готовность предоставить кредит компании и цена (или уровень доходности), по которой кредитор готов предоставить кредит. Чем более положительны ответы на вышеперечисленные вопросы, тем в большей степени кредитор будет готов предоставить кредит и тем меньше будет требуемый им уровень доходности.
ТОЧКА ЗРЕНИЯ ЗАЕМЩИКА
Из законов спроса и предложения следует, что кредитор будет стремиться к тому, чтобы предоставить кредит по возможности по самой высокой ставке, а заемщик будет стараться получить кредит по возможности по самой низкой ставке.
Развитие рынка капитала предоставляет заемщикам ряд методов, используя которые они могут привлекать средства. Соответственно заемщик постарается выбрать такой метод, который лучше всего подходит для будущего потенциала компании и несет меньше всего затрат.
Можно сделать предположение, что компания не хочет или не имеет финансовых возможностей использовать банковский овердрафт (может быть, потому, что он очень дорог), инструменты денежного рынка (потому что компания не в состоянии получать краткосрочные доходы от займа) или торговое, или проектное финансирование (возможно, потому, что это сразу же требует полную сумму кредита). Однако все-таки компания приняла решение заимствовать средства, а не выпускать акции или продавать активы.
Принимая решения о заимствовании через рынок ценных бумаг, компания решает, что она не хочет зависеть от одного кредитора, и это решение позволит факторам, определяющим рыночную цену, установить ценовые требования займа.
Учитывая требования кредитора, компания будет иметь больше информации для принятия решения о выборе способа заимствования. Следовательно, факторы, которые должен учитывать заемщик, состоят в следующем:
· На какую сумму должны быть выпущены долговые инструменты (чем больше размер выпуска, тем больше ликвидности будет получено на вторичном рынке)?
· Какова сумма активов, выступающих обеспечением облигации (чем выше качество, тем меньшую процентную ставку будет платить компания)?
· Может ли актив, обеспечивающий облигацию, служить также обеспечением займа (если это возможно, то это также занизит процентную ставку)?
· Достаточно ли текущей прибыльности для обслуживания долга (если да, то также можно рассчитывать на более низкие процентные ставки)?
· Сможет ли предприятие, используя заем, сразу же получить доход, достаточный для выплаты процентов (если да, то тогда бремя уплаты процентов будет легче)?
· Будут ли условия текущих заимствований (включая банковские кредиты) мешать рассматриваемому заимствованию (если да, то условия предыдущих заимствований должны быть пересмотрены прежде, чем будет выпущен новый заем)?
ВИДЫ КОРПОРАТИВНЫХ ОБЛИГАЦИЙ
Виды корпоративных облигаций перечисляются в порядке уменьшения ранга, т. е приоритетности выплаты процентов и основной суммы долга (см. также главу 1).
Обеспеченные или ипотечные облигации могут быть выпущены компанией только в том случае, если у нее есть какие-то конкретные высококачественные активы. Обычно это только земля или здания, но, например, винокуренные заводы могут предоставлять в качестве залога запасы продукции, которая должна поступить в продажу, например, только через десять лет или больше. Другими словами, это имущество, которое может использоваться в качестве фиксированного залога по облигации и которое компания планирует использовать в течение длительного периода времени (например, десять — двадцать пять лет).
Компания не имеет права продавать активы, выступающие в качестве фиксированного залога, не получив разрешения владельцев облигаций. Владельцам облигаций, как правило, разрешается конфисковать конкретные активы в том случае, если компания не может выполнить требований кредита (в число которых может входить требование к тому, чтобы сумма активов превышала сумму займа на определенную величину), и продать эти активы для того, чтобы компенсировать основную сумму долга.
Следующая черта такого вида облигаций заключается в том, что компания может создать “выкупной фонд”, который будет использоваться в процессе погашения. Это означает, что каждый год компания откладывает определенную сумму денежных средств, которые она использует для выкупа некоторых облигаций на открытом рынке. Одним из следствий использования такого подхода (в соответствии с законом спроса и предложения) является то, что кредитор будет готов получать более низкую процентную ставку.
Поскольку данный инструмент является долговым инструментом “высшего качества”, то требуется, чтобы компания использовала прибыль за каждый год (или свой капитал) для оплаты данного вида облигаций до того, как будут удовлетворены требования других кредиторов.
В развитых странах практически не было случаев падения цен на недвижимость за исключением периода с 1987 по 1995 годы. Таким образом, данный метод рассматривается как наиболее безопасный способ кредитования (после государственных заимствований) и представляет собой самый “качественный” облигационный продукт.
Облигации, которые не имеют фиксированного залога, относятся к следующей категории и могут обеспечиваться плавающим залогом. Обеспечением могут быть материальные или нематериальные активы, включая торговые марки и долгосрочные контракты, или гарантии третьих лиц. Эти инструменты опять-таки будут использоваться компанией, которая хочет привлечь долгосрочное финансирование, и будут рассматриваться компанией в качестве способа заимствования в том случае, если у нее нет недвижимости для залога или компания просто не хочет передавать в руки владельцев облигаций фиксированный залог.
Поскольку качество здесь ниже, то кредиторы будут рассчитывать на более высокую ставку, чем по обеспеченным облигациям. Обычно по таким облигациям не создается гарантийный фонд, и следовательно, компания должна будет выплачивать только проценты до наступления срока погашения, когда должна быть погашена основная сумма долга. Необходимо понимать, что в условиях инфляции с точки зрения покупательной силы валюты через десять — двадцать лет основная сумма долга будет в денежном выражении представлять меньше затрат, чем сейчас.
В отличие от облигаций с фиксированным залогом владельцам облигаций с плавающим залогом обычно не разрешается конфисковывать активы в случае невыполнения компанией условий займа. Однако владельцы таких облигаций могут потребовать ликвидации компании для того, чтобы в результате продажи активов вернуть свои деньги. При условии, что залог активов был юридически правильно оформлен, такие виды займов будут погашаться после обеспеченных облигаций, но до удовлетворения требований всех других кредиторов.
Необеспеченные облигации будут выпускаться только в тех случаях, когда компания имеет активы (или будет их иметь в результате получения займа), которых будет достаточно для погашения основной суммы займа. Конечно, кредиторы потребуют от компании наличия сильного баланса и счета резервов по текущим доходам, которые могли бы содейств овать погашению займа. Этот вид находится на еще более низком уровне качества и соответственно представляет более серьезный риск для инвесторов. Следовательно, заемщик должен ожидать, что ему придется заплатить более высокую процентную ставку, чем по предыдущим видам облигаций.
Компания, скорее всего, будет использовать этот вид облигаций только в том случае, когда она не может позволить себе выпустить инструменты более высокого качества.
Поскольку данный вид займа является необеспеченным, то владельцы таких облигаций в случае неспособности компании ответить по своим финансовым обязательствам будут стоять на одном уровне с другими необеспеченными обязательствами (в число которых будут входить банковские овердрафты и торговая кредиторская задолженность). Следовательно, если компания не выполнит обязательства, то может случиться так, что после ее ликвидации останется недостаточно средств для погашения основной суммы долга.
Конвертируемые необеспеченные облигации аналогичны вышеописанному, и единственное различие состоит в том, что эти облигации могут быть конвертированы в какой-то момент в будущем в долевые инструменты. Другими словами, при конверсии происходит аннулирование облигаций, и вместо них осуществляется дополнительный выпуск обыкновенных акций, причем дополнительного платежа от инвестора не требуется.
Из-за того что в этом процессе принимают участие долевые инструменты, компания может выпускать облигации с более низким купоном, поскольку она предоставляет владельцам облигаций бесплатную возможность, которая может стоить значительно больше, чем сама облигация, поскольку стоимость обыкновенных акций растет с ростом прибыльности компании.
Пока облигация остается облигацией, она будет оставаться на том же уровне, что и другие необеспеченные займы, но при переводе в долевой инструмент она попадает на уровень ниже всех кредиторов, но наравне с другими акционерами.
Права и обязанности владельцев долговых инструментов
Следует помнить, что владельцы долговых инструментов, как правило, не имеют права голоса на собраниях компании по вопросам, которые влияют на деятельность компании, но они имеют право голоса в тех случаях, когда речь заходит об их правах. Владельцы долговых инструментов (кредиторы) предоставляют средства компании за вознаграждение.
В число их прав входит:
• получение уведомления (или подтверждения) о размере основной суммы долга и условиях этого займа;
• получение фиксированных (или плавающих) процентов от основной суммы долга;
• получение оговоренной суммы погашения (обычно это та же сумма, что и основная сумма долга) на дату погашения (если погашение не было осуществлено раньше срока по условиям соглашения);
• право потребовать от компании погашения займа раньше срока в том случае, если стоимость активов компании упала ниже оговоренного уровня (т. е. активов, обеспечивающих заем).
Владельцы долговых инструментов имеют только одно обязательство перед компанией, которое состоит в том, что они должны предоставить компании сумму, равную сумме кредитного соглашения.
Внешние выпуски
Некоторые компании считают, что валюты международных рынков более привлекательны для инвесторов, чем та валюта, с которой работают на внутреннем рынке облигаций. Соответственно они могут выпустить облигации на иностранном рынке в валюте этой страны. Каждая страна, в которой осуществляются такие выпуски, склонна присваивать таким эмиссиям национальные названия. К трем основным странам относятся:
• США, где неамериканские эмитенты выпускают долларовые облигации, называемые “Янки”;
• Япония, где н еновые облигации неяпонского эмитента называются “Самураи”;
• Великобритания, где стерлинговые облигации небританских эмитентов называются “Бульдоги”.
КОРПОРАТИВНЫЕ ОБЛИГАЦИИ РОССИЙСКИХ ЭМИТЕНТОВ.
По данным ФКЦБ, из 13545 эмиссий корпоративных ценных бумаг в 1994 г. на корпоративные облигации приходится лишь 0,26%, а в 1995 г. — 0,68%. Удельный вес облигационных выпусков в общем объеме выпусков корпоративных ценных бумаг по номинальной стоимости в 1994 г. составил 2% , а в 1995 г. — 0,7%. Такое положение объясняется прежде всего тем, что корпоративные облигации российских АО обычно непопулярны среди конечных инвесторов из-за низкой доходности.
Хотя явным преимуществом эмиссии корпоративных облигаций (неконвертируемых) является сохранение действующими акционерами корпоративного контроля, эмитенту приходится нести определенные обязательства по выплатам и погашению облигаций, установленные по условиям их выпуска, а пойти на это могут лишь компании, имеющие устойчиво высокую рентабельность. Кроме того, для поддержания инвестиционной привлекательности ценных бумаг сами условия выпуска должны быть не хуже, чем условия, предлагаемые другими структурами (включая государство), осуществляющими выпуск долговых обязательств.
В целом в 1992—1995 гг. в Министерстве финансов РФ зарегистрировано 177 эмиссий выпусков небанковских корпоративных облигаций совокупной номинальной стоимостью 1,15 трлн. руб. Для этого периода можно констатировать стабильный рост числа выпусков и стоимостного объема эмиссии корпоративных облигаций (диаграмма). Вместе с тем для 1996 г. стало характерно явное снижение обоих указанных показателей (18 эмиссий), что связывается экспертами со спецификой политической ситуации в России 1996 г. В региональном разрезе основной объем продаж корпоративных облигаций в 1996 г. (более 90%) приходился на Москву.
Несмотря на в целом позитивную количественную динамику, в настоящее время нельзя говорить о выпускаемых корпоративных облигациях как о “классических”, т. е. по крайней мере формально отвечающих мировым стандартам. Так, в 1996 г. на биржевом рынке (который является доминирующим для этих бумаг — свыше 95°о объемов всей торговли) безусловным и абсолютным лидером торгов были облигации РАО Высокоскоростные магистрали. Вместе с тем эти бумаги вряд ли можно определить как корпоративные облигации в чистом виде.
Наибольшее число выпусков корпоративных облигаций в 1994—1995 гг. было осуществлено в отраслях связи, нефтегазодобычи и жилищного строительства. Облигации были в основном товарными (установка телефона и т. д.) или жилищными.
Пока единичными являются примеры выпуска небанковских корпоративных еврооблигаций и конвертируемых облигаций.
Наиболее известным (если не единственным) примером выпуска корпоративных конвертируемых облигаций являются конвертируемые облигации АО “Нефтяная компания “ЛУКойл”.
Целями выпуска стало привлечение инвестиций для технической реконструкции дочерних компаний АО и погашение их задолженности перед федеральным бюджетом. Конвертируемые облигации выпускались как свободно обращающиеся беспроцентные (целевые ) облигации на предъявителя, подлежащие конвертации в обыкновенные акции АО, временно закрепленные в федеральной собственности, по окончании срока закрепления. Выпуск осуществлялся под залог федерального пакета, составляющего 11% уставного капитала АО. В качестве владельцев облигаций определены любые юридические и физические лица. Выпускаемые в обращение облигации обмениваются на акции АО, депонированные в финансовом институте, по окончании срока закрепления. Размещение облигаций осуществляется на конкурсной основе среди андеррайтеров, которые будут размещать эти бумаги на вторичном рынке.
Первый (зарубежный) транш облигаций был размещен в ходе коммерческого конкурса среди инвестиционных банков и финансовых компаний ( CSFirstBoston, Paribus CapitalMarkets, “Империал” и Международный промышленный банк) в сентябре 1995 г. По его итогам из 350 000 бумаг номиналом 4,5 млн. рублей было выкуплено 320 000. Крупнейшим покупателем стала американская нефтяная компания ARCO, сделавшая заявку на сумму 250 млн. долларов. Второй (российский) транш составил 110 000 бумаг, а 1 облигация должна обмениваться на 170 акций.
В целом, по данным ФКЦБ, небанковские корпоративные облигационные займы в подавляющем большинстве проводились АО с числе нностью работников 3 000 человек и более, т. е. сравнительно крупными обществами. Кроме того, как правило, эмиссии облигаций проводились акционерными обществами, доля государственной или муниципальной собственности в которых составляла более 25% (обычно 38—51%), что связано с законодательными ограничениями ст. 28 п. 4 Закона “Об акционерных обществах”[8] . В этой ситуации у АО остается возможность привлечения средств только путем выпуска облигационных займов.
ВОПРОСЫ ДЛЯ САМОПРОВЕРКИ
1. Объясните некоторые из основных факторов, которые принимает во внимание кредитор перед тем, как он предоставит кредит.
2. Объясните причины, по которым компания решает привлечь финансирование через выпуск обеспеченных облигаций (ипотечных облигаций).
3. Каково различие между фиксированным и плавающим залогом?
4. Что подразумевается под порядком ранжирования корпоративных облигаций?
5. Почему купон по конвертируемой необеспеченной облигации обычно ниже, чем по облигации с фиксированным залогом?
3.7 Взаимоотношения с государственными облигациями
В любой стране инвесторы считают, что наиболее безопасная форма инвестирования — это вложения в государственные ценные бумаги. Предполагается, что новое правительство выполнит обязательства их предшественников. Как уже говорилось, рынки капиталов основаны на уверенности в том, что цены и стоимость ценных бумаг в целом принимаются и эмитентами, и инвесторами. В основе этой уверенности — необходимость сравнения аналогичных черт инструментов с точки зрения размера выпуска, его характера, отрасли, результативности, обеспеченности капиталом и вероятности получения разумных доходов от вложенных средств. В результате инвесторы обнаруживают простой ориентир для сопоставления корпоративных облигаций — это сравнение их с государственными облигациями с теми же сроками погашения.
Государственные облигации проходят оценку на международном уровне на основе национальных критериев, риска государственной стабильности, уровня инфляции, изменений процентных ставок, и все это сравнивается с другими государствами. Для того чтобы провести эффективное сравнение доходности корпоративных облигаций с критериями доходности государственных облигаций, необходимо, чтобы соответствующий временной период был охвачен соответствующими государственными облигациями (т. е. краткосрочными, среднесрочными и долгосрочными).
Однако если в стране не существует эффективного рынка государственных облигаций, то на ранних стадиях развития рынка потенциальные инвесторы будут особенно осторожно подходить к выпускам корпоративных облигаций, что может привести к более высоким требованиям к доходности.
Ранжирование корпоративных облигаций по качеству (то, что обсуждалось в предыдущем разделе) становится еще более важным при оценке соотношения между риском невозврата по этим облигациям и ожидаемым уровнем доходности (коэффициент “риск/доход” будет более подробно обсуждаться в главе 7). В принципе, чем выше риск, тем выше будет ожидаемое вознаграждение, которое представлено получаемыми процентами и приростом капитала.
В результате возникает необходимость в анализе качественных факторов рассматриваемой облигации и определении их воздействия на доходность облигации. Также необходимо понимать, что соотношение между доходом по выпускаемой облигации и критерием государственной ценной бумаги не будет оставаться неизменным. Это соотношение будет меняться по мере изменения качества заемщика и облигации с течением времени, а также в результате изменения рыночного спроса на конкретный вид облигаций.
ФАКТОРЫ ВЗАИМОДЕЙСТВИЯ
Факторы, перечисленные ниже, и их последствия приводятся без какого-то особого порядка, так как разные инвесторы по-разному оценивают их значимость. Последствия приводятся с точки зрения сравнения доходов. Поэтому следует помнить, что более низкий доход по облигациям означает более высокую цену и наоборот. Также следует отметить, что большинство выпусков корпоративных облигаций на стадии размещения и андеррайтинга будут предлагаться не по какой-то конкретной цене, а по количеству базисных пунктов (один базисный пункт равен одной сотой процента), на которое доход превышает ставку по ориентировочным государственным облигациям.
Кредитный рейтинг
Существует система градации государств и компаний, которая используется рейтинговыми агентствами. Ведущими рейтинговыми агентствами, каждое из которых расположено в США, являются Standard&Poors и Moody 'sInvestorsServices.
Самый высокий рейтинг, присваиваемый S& P, — ААА, aMoody 's — Ааа (этот рейтинг называется три А). Рейтинги от ААА до ВВВ (S&P) и от Ааа до ВааЗ ( Moody's) называются рейтингом “инвестиционного уровня”. Это очень важно, поскольку многим международным инвесторам не разрешается уставами (и регулирующими мерами) вкладывать средства в ценные бумаги, которые не относятся к инвестиционному уровню. Рейтинги ВВ+ (S&P) и ВаЗ ( Moody's) и ниже (вплоть до D) называются спекулятивными уровнями. Высокий рейтинг, означающий низкий риск, как правило, позволяет заемщику нести низкие затраты.
Если компания обладает рейтингом, который принят на международном рынке, то остальные факторы в принципе можно проигнорировать, поскольку их проверяет система кредитного рейтинга. Единственное, что важно в таких условиях, — это удостовериться в том, что сравнение проводилось с использованием соответствующих государственных облигаций с нужным сроком погашения и купоном.
Размер выпуска
Поскольку международный рынок облигаций велик настолько, насколько велик аппетит профессиональных инвесторов, то будет интересно узнать, что, чем больше размер выпуска, тем охотнее он будет раскуплен рынком. В принципе это говорит о ликвидности. Следовательно, маленькие выпуски (т. е. меньше 150 000 долларов США) не будут интересны крупным инвесторам. Соответственно, хотя и есть некоторые ограничения, чем больше выпуск, тем меньше будет ожидаемый доход.
Валюта выпуска
Если облигация выпускается в национальной валюте, то внутренним инвесторам не нужно проводить дополнительное сравнение с внутренними государственными облигациями, за исключением тех случаев, когда компания зарабатывает недостаточно дохода в национальной валюте для обслуживания облигаций и должна полагаться на экспорт, например, а за это надо платить в иностранной валюте. Очевидно, что это будет важным фактором для иностранных инвесторов в любом случае. Если национальная валюта слаба по сравнению с основными международными валютами, то иностранный инвестор будет требовать значительного большего дохода, за исключением случаев, как и в вышеприведенном примере, когда компания может зарабатывать прибыль в иностранной валюте, то тогда инвесторы будут ожидать более низкий доход.
Компания и ее отрасль
Здесь внимание уделяется сектору, в котором находится компания, и тому, имеет ли он длинный (обычно четыре года) или короткий (один год) экономический цикл, и на какой стадии этого цикла отрасль находится в настоящий момент. Также необходимо учитывать цикл роста компании и то, находится ли она сейчас на первоначальной стадии, стадии расширения или стадии зрелости. Если компания находится на ранних стадиях, то тогда ожидания относительно дохода будут ниже, так как инвестор рассчитывает на то, что основной рост компании еще впереди, и за счет этого она сможет обеспечивать выполнение обязательств по облигации. На этой же стадии необходимо обратить внимание на то, создает ли компания денежные потоки немедленно, или же проходит много времени между отправкой счетов и получением платежей. В первом случае риск меньше, чем во втором, и соответственно требования к доходности будут меньше.
Обеспечение активами
В разделе 3.6 достаточно подробно обсуждалось ранжирование активов по качественным признакам (включая те случаи, когда они являются обеспечением займов). Хотя обеспечение активами не имеет практически никакого отношения к государственным облигациям (поскольку технически страну ликвидировать нельзя), для определения рейтинга доходности по корпоративным облигациям это очень важно. За исключением конвертируемых облигаций, чем выше качество активов, обеспечивающих кредит и чем выше их ранг, тем меньший доход будет требоваться рынком от этой облигации.
Другие заимствования
Порядок ранжирования в случае невыполнения предприятием своих обязательств важен для любого кредитора. Если компания собирается выпускать новые облигации (независимо от ранга текущего выпуска) или привлекает другие заимствования (например, банковский кредит или овердрафт), то это заставит кредиторов нервничать из-за роста вероятности невозврата средств. Это происходит потому, что “финансовый рычаг” (соотношение между заемными и собственными средствами) структуры капитала будет оказывать более сильное давление на способность компании оплачивать накладные расходы в случае проблем на предприятии. Следовательно, чем выше коэффициент финансового рычага (т. е. отношение долга к собственному капиталу), тем выше ожидаемый доход от облигации.
Условия торговли на вторичном рынке
Более 70% облигаций приобретаются с тем, чтобы удерживать их до конца срока. Однако существует много профессиональных инвесторов, которые хотят торговать свободно с тем, чтобы получить доход за счет перехода от одной облигации к другой. Соответственно им нужно быть уверенными в том, что они смогут найти ликвидный вторичный рынок. Хотя это не имеет большого значения, последствия для дохода будут такими же, как и при размере выпуска, т. е. существование вторичного рынка сократит ожидания инвестора относительно дохода.
Рыночный спрос
Время осуществления выпуска также очень важно, особенно если эмитент собирается устанавливать цену облигации в соответствии с определенной ориентировочной ценной бумагой. Часто получается так, что обильные выпуски являются результатом экономического прогресса. С точки зрения инвестора, конкуренция за такие выпуски завысит доход по закону спроса и предложения.
Следующая причина, по которой время выпуска играет большую роль, заключается в том, что в большинстве случаев купоны выплачиваются один или два раза в год, и излюбленные даты для выплаты купонов, как правило, попадают на конец квартала (т. е. 31 марта, 30 июня, 30 сентября, 31 декабря). Для облигаций, купон по которым выплачивается только раз в год, излюбленные даты — это 31 марта и 31 декабря. Следовательно, в это время выше вероятность получения дохода для реинвестирования. В противном случае, когда спрос высок (а предложение маленькое), это приведет к выпускам с меньшим доходом.
Очевидно, что существует много факторов, каждый из которых может в любой момент повлиять на соотношение между доходами по корпоративным и государственным облигациям, и разные инвесторы будут по-разному оценивать эти факторы, что зависит от их собственных инвестиционных планов. Из всех этих факторов самым важным для рынка является соотношение между спросом и предложением.
ВОПРОСЫ ДЛЯ САМОПРОВЕРКИ
1. Почему рынок государственных облигаций важен для рынка корпоративных облигаций?
2. Какую роль играет кредитный рейтинг компании для выпуска облигаций?
3. Какова разница между кредитным рейтингом инвестиционного и спекулятивного уровня?
4. Почему коэффициент финансового рычага компании влияет на цену, по которой она может выпустить облигации?
5. Почему требования к доходности уменьшаются, когда спрос на облигации превышает предложение?
3.8 КОНВЕРТИРУЕМЫЕ ОБЛИГАЦИИ
Конвертируемую облигацию можно рассматривать как обычную облигацию с бесплатной возможностью ее замены на заранее определенное количество акций (в случае с корпоративными облигациями) или на эквивалентное количество других облигаций (в случае с государственными облигациями). Следует заметить, что это право или возможность не может быть использовано компанией-эмитентом, и конвертация может быть произведена компанией-эмитентом только по просьбе владельца облигации.
В связи с тем, что эти облигации предоставляют такое бесплатное право, ставка купона по ним обычно бывает ниже, чем по обычным облигациям. Следовательно, компания-эмитент имеет возможность приобрести более дешевую форму заимствования и может надеяться на то, что ей никогда не придется погашать заем, который может быть конвертирован в акции, если цена акции достаточно выросла.
Тем не менее инвестор первоначально будет получать по конвертируемым облигациям более высокий доход, чем по обыкновенным акциям, но поскольку условия конверсии обычно устанавливается на уровне, превышающем цены по долевым инструментам на 20—25% , то владелец облигации сможет воспользоваться только лишь частью общей суммы увеличения цены акции. Следовательно, рыночная стоимость таких облигаций будет расти с ростом цен акций, но они будут защищены от падения стоимости фиксированной процентной ставкой по облигациям.
Обычно облигации разрешается конвертировать примерно через пять лет, и они имеют фиксированные конверсионные ставки на период, оставшийся до момента погашения.
НАПРИМЕР
Конвертируемая облигация, выпущенная по стоимости 100$ с купоном 7% (т. е . фиксированный доход в размере 7% ). Ставка конверсии: 80 обыкновенных акций за 100$ стоимости (эквивалент 1,25$ за одну обыкновенную акцию), цена акций на настоящий момент 100 центов и текущий дивиденд — 4 цента.
Существует два основных фактора, которые необходимо принимать во внимание. Во-первых, дифференциал (разница) доходов, а во-вторых — конверсионная премия.
Доход на акцию равен 4% (т.е. 4 цента разделить на цену акции 100 центов). Доход конвертируемой облигации 7% (т.е. купон в размере 7% разделить на цену 100$). Это можно рассматривать как увеличение дохода на 3 пункта в текущем году (и это оправдывает тот факт, что инвестор платит по конвертируемой облигации на 3% больше).
Конверсионная премия равна 25% (эквивалент соотношения между ценой обыкновенной акции 1,25$ и рыночной ценой обыкновенной акции 1,00$).
Пусть через пять лет ситуация будут выглядеть следующим образом:
· Цена обыкновенных акций выросла до 1,50$, а дивиденд вырос до 8 центов на акцию. Стоимость конвертируемой облигации могла вырасти до 125$ (т. е. обыкновенная акция выросла в цене на 50% , а конвертируемая облигация —на 25% ).
· Доходность долевых инструментов теперь 5,33% (т. е. 8 центов разделить на 150 центов). Доходность конвертируемой облигации 5,6% (т. е. 7% разделить на цену 125$). Увеличение дохода теперь составляет только 0,27%, но необходимо помнить, что владелец конвертируемой облигации в течение четырех лет получал дополнительный доход, который теперь он может использовать для того, чтобы покрыть низкую результативность акций, и также здесь сокращается риск (благодаря защите со стороны базового дохода по облигации) в том случае, если цена акции начнет падать.
· Конверсионная премия в этой ситуации только 4%. Это представлено соотношением между эквивалентной ценой обыкновенной акции в размере 156,25 центов (т. е. конверсионная цена 1 25$, разделенная на число акций, 80) и рыночной стоимостью обыкновенных акций в размере 150 центов.
Конверсия обычно осуществляется в тот момент, когда дивиденды по акциям выросли по отношению к облигациям и когда премия по отношению к акциям упала до нуля. В вышеприведенном примере такая ситуация может возникнуть в том случае, если дивиденды по обыкновенным акциям вырастут в следующем году или если цена обыкновенных акций вырастет до следующей даты конверсии. Следует также заметить, что если по большинству выпусков конвертируемых облигаций устанавливается только одна дата конверсии, то по американским выпускам конвертируемых облигаций, особенно в случае облигаций, обращающихся на еврорынках, конверсия может проводиться в любой момент.
С точки зрения компании-эмитента конверсия может рассматриваться как преимущество, так как она может больше не беспокоиться о погашении займа. Однако поскольку конверсия происходит только тогда, когда доход по долевым инструментам равен или выше дохода по облигациям, то это будет означать, что компания должна будет выплачивать дивиденды по этим новым акциям, которые будут выше, чем текущая процентная ставка по облигациям.
Инвестору необходимо учитывать еще два фактора.
• Когда начнется конверсия некоторых облигаций, то это приведет к более низкой ликвидности для оставшихся владельцев конвертируемых облигаций, что усложнит торговлю этими инструментами.
• Более важно, что большинству профессиональных инвесторов, которые по законодательству должны вкладывать большую часть средств только в инвестиции в низким риском (т. е. облигации), конвертируемые облигации предоставляют возможность вкладывать средства в рынок долевых инструментов, не нарушая своих обязательств и мер регулирования.
ВОПРОСЫ ДЛЯ САМОПРОВЕРКИ
1. Кто может потребовать провести конверсию конвертируемых облигаций: инвестор, эмитент или и тот и другой?
2. Если цены долевых инструментов растут, будут ли они расти быстрее или медленнее (в процентах), чем по конвертируемым облигациям?
3. Что означает увеличение дохода на три пункта?
4. Что такое конверсионная премия?
5. Какие преимущества предоставляют конвертируемые облигации инвесторам, которые могут инвестировать средства только в облигации?
3.9 ЕВРООБЛИГАЦИИ
Следует различать еврооблигации и облигации, выпускаемые на национальных рынках капитала. Как было сказано раньше, внутренний выпуск облигаций осуществляется инвестором, являющимся резидентом страны выпуска, проводится в валюте этой страны и, как правило, размещается в стране выпуска.
Внутренний выпуск может быть размещен в иностранном государстве, но все равно в валюте страны эмитента, и большая часть будет размещена опять-таки в стране эмитента. Напротив, еврооблигации выпускаются в валюте, отличной от валюты страны, резидентом которой является эмитент, и облигации будут размещаться среди международных инвесторов из разных стран.
Более того, группа по размещению будет состоять из представителей международных инвестиционных банков. Следует помнить, что название «евро » возникло только благодаря месту расположения двух ведущих клирингово-расчетных палат, занимающихся этими выпусками, и это не значит, что они ограничены только европейскими инвесторами и эмитен тами.
Две основные палаты — это EUROCLEAR (расположена в Бельгии и была основана в 1970 году MorganGarantee oftheUS) и CEDEL (расположена в Люксембурге и была основана в 1972 году в основном французскими и немецкими банками в качестве конкурента EUROCLEAR). Расчеты и клиринг по большинству еврооблигаций осуществляются этими организациями. Существует так называемый “электронный мост”, который позволяет проводить расчеты напрямую со счетов этих двух организаций. На практике большинство таких облигаций «обездвиживается » (иммобилизуется).
Это означает, что облигации, представленные либо глобальными, либо индивидуальными сертификатами, не покидают депозитарные клиринговые палаты, а просто передвигаются по счетам клиентов и агентов. Следовательно, это позволяет более эффективно проводить расчеты. Следует отметить, что по большинству выпусков еврооблигаций проценты выплачиваются только один раз в год, а торговые цены отражают чистые цены (т. е. без накопленных процентов), а начисление процентов происходит (по американской системе) на основе 360 дней в году (в отличие от Великобритании, где для таких расчетов берут 365 дней).
Как уже говорилось раньше, еврооблигации обычно выпускаются в валюте, отличной от валюты страны эмитента. Поэтому следует поговорить о валютных вопросах, которые сопровождают такие выпуски. Но сначала необходимо разъяснить другие различия, существующие между еврооблигациями и внутренними выпусками.
Управление выпуском еврооблигаций осуществляется через назначение менеджера (или со-директоров), которые выступают в принципе в качестве андеррайтеров. В действительности получается так, что эмитент может быть сразу же уверен в получении требуемых средств, хотя никакой гарантии он не получает до тех пор, пока не будет подписано соглашение о подписке на выпуск.
Ведущий менеджер (менеджеры) затем формирует консорциум, состоящий из других менеджеров (обычно представителей международных инвестиционных банков) для проведения вспомогательного андеррайтинга и расширения возможностей для размещения облигаций. Условия такой работы обычно соответствуют стандартам, установленным Международной ассоциацией первичных рынков, и ее 16 рекомендациям (хотя организация не может применять санкции за нарушение этих стандартов и рекомендаций). Такие выпуски обычно подлежат “стабилизации”. Это означает, что ведущий менеджер может выпустить или выкупить облигации для устранения изменчивости торговых цен облигаций.
Большинство облигаций во избежание таких проблем, как налогообложение, получают листинг либо на Люксембургской фондовой бирже, либо на Лондонской фондовой бирже. В соответствии с регулирующими мерами Европейского Союза это означает, что должен быть выпущен проспект эмиссии, но это дает дополнительные возможности для расширения круга потенциальных инвесторов (многие международные инвесторы ограничены в тех суммах, которые они могут вкладывать в ценные бумаги, не прошедшие листинг).
Возможно, самый важный фактор состоит в том, что большинство облигаций выпускается в долларах США. Причина состоит в том, что в США находятся крупнейшие международные инвесторы, вторая крупная группа инвесторов, находящаяся в Японии, всегда готова работать с основными мировыми валютами. В процессе выпуска необходимо учитывать ограничения по продаже, которые особенно серьезны в США и Великобритании, а также некоторые местные правила. Для решения этих проблем большинство выпусков ограничиваются предложением облигаций только широким “профессиональным” рынкам (т. е. в первые шесть месяцев выпуска они не предлагаются непрофессиональным инвесторам).
Последнее различие здесь связано с рейтингом доходности. Выпуск еврооблигаций может быть успешным только тогда, когда эмитент имеет рейтинг одного из ведущих рейтинговых агентств, таких, как S& P и Moodies , и это одно из условий, которое должен учитывать ведущий менеджер. Хотя эти выпуски и выполняют все требования листинга, обычно они не обращаются как биржевые инструменты (т. е. банки будут торговать ими как принципалы между собой).
Тем не менее в последние двадцать лет такая торговля стала регулироваться Международной ассоциацией рынка ценных бумаг (ISMA), которая. состоит, по ее собственному определению, из “крупнейших европейских банков и инвестиционных домов”.
Эта ассоциация признается многими странами как саморегулируемая организация. Основной заботой Ассоциации является соблюдение правил торговли. Как и при внутренних выпусках, рейтинг дохода будет зависеть от качества облигации и других факторов. Однако есть один очень важный фактор, который уникален для еврооблигаций.
Этот фактор состоит в том, что для международных инвесторов доходы приближаются к показателям, присущим внутренним международным рынкам с самой низкой доходностью, т. е. Япония или США. Следовательно, несмотря на то, что эмитент будет сталкиваться с валютным риском по своим заимствованиям, все-таки это позволяет ему привлекать средства по более низким ставкам, чем в целом на внутреннем рынке.
ВОПРОСЫ ДЛЯ САМОПРОВЕРКИ
1. С чем связан элемент “евро” в названии еврооблигаций?
2. Для чего используется электронный мост?
3. Что имеется в виду под “недвижимыми” формами?
4. Почему облигации обычно выпускаются в долларах США?
5. Какая саморегулируемая организация отвечает за правила и стандарты эмиссии еврооблигаций?
ГЛАВА 4. РЫНКИ АКЦИЙ
В этой главе речь пойдет о ценных бумагах, представляющих право собственности на компании. Здесь будут рассмотрены виды акций, корпоративные действия, затрагивающие эти акции, фондовые биржи, другие рынки ценных бумаг, индексы, основные участники рынка, понятия риска и доходности капитала, международные рынки акций, российские рынки акций, АДР и ГДР.
4.1 ВИДЫ АКЦИЙ
Акционеры являются владельцами компании, которая в свою очередь является юридическим лицом.
Одно из главных преимуществ создания юридического лица состоит в том, что, как правило, оно обладает ограниченной юридической ответственностью. Другими словами, в случае невыполнения компанией своих обязательств ее акционеры несут ответственность только в размере своего внесенного вклада в финансирование компании.
Таким образом, владение акциями компании несет в себе риск потери инвестиции в полном объеме в случае финансового краха компании. Однако, поскольку ожидается, что высокий риск должен компенсироваться высоким доходом, именно акционеры получают прибыль от финансового успеха компании. После уплаты процентов по долговым обязательствам (и в конечном итоге основной суммы капитала по ним) акционеры компании могут либо согласиться на получение своей доли прибыли в виде дивидендов, либо оставить эту прибыль на ее балансе в виде резервов. Нераспределенная прибыль, остающаяся в компании, дает ей возможность для роста прибыли в будущем.
Как уже упоминалось, акции, дающие право собственности, можно отнести к двум категориям — привилегированные акции и обыкновенные акции.
ПРИВИЛЕГИРОВАННЫЕ АКЦИИ
Хотя эти акции представляют право собственности и, следовательно, по всей вероятности должны давать какое-то право го лоса, они имеют ряд характеристик долговых инструментов, и эти характеристики ведут к ограничению риска и, соответственно, к ограничению прибыли. Как правило, по привилегированным акциям выплачиваются дивиденды по фиксированной годовой ставке (подобно купону облигации). Однако некоторые привилегированные акции считаются акциями участия. Это означает, что помимо права на фиксированную сумму дивидендов . они дают право на долю оставшейся прибыли.
Поскольку такие акции в свое время широко использовались, возникла необходимость внести в название акций, не участвующих в распределении дополнительной прибыли, слово “неучаствующие”.
Следующий вариант привилегированных акций связан с накоплением дивидендов по ним из года в год за те финансовые годы, когда компания не получила достаточной прибыли для выплаты этих дивидендов. По законам большинства стран компании должны выплачивать проценты по своим долговым инструментам, и даже если в какой-либо год компания не получит достаточной прибыли, ей придется произвести выплату за счет своего капитала, иначе она не выполнит обязательства перед кредиторами, а это может привести к ликвидации компании. Поскольку привилегированные акции дают право собственности, законодательство, как правило, не допускает выплаты дивидендов по ним из капитала. Соответственно в том случае, когда привилегированные акции дают право на получение накопленных дивидендов за прошлый год (годы) (т. е. прежде, чем держатели обыкновенных акций могут получить какие-либо дивиденды), они называются кумулятивными, и наоборот, когда такое накопление не допускается, акции называются некумулятивными.
Третий вариант, который может быть применен в отношении привилегированных акций, — это акции, подлежащие выкупу (т. е. имеющие фиксированную дату выкупа) или не подлежащие выкупу. В последние двадцать лет привилегированные акции встречаются все реже, что неудивительно. В качестве акций в случае возврата капитала они стоят после всех дебиторских обязательств компании; дивиденды по ним начисляются, только когда компания получает прибыль, да и тогда только после выплаты процентов по всем долговым инструментам. Более того, если это не акции участия, цена на такие акции вряд ли будет увеличиваться с ростом прибыли компании. Следовательно, поскольку этот инструмент несет в себе высокий риск и дает низкий доход, требования к его рыночной доходности значительно выше, чем к доходности практически любого другого финансового инструмента.
ОБЫКНОВЕННЫЕ АКЦИИ
Держатели этих акций являются реальными владельцами компании. Они принимают на себя самый большой риск, связанный с ней. Обыкновенные акции могут считаться бессрочным кредитом, предоставленным компании в обмен на долю прибыли компании. Права, связанные с акциями, перечисляются в уставе компании. Самое важное право акционера — это право голоса на собраниях компании по вопросам политики компании, одобрения дивидендов, предложенных директорами, избрания директоров, а также право на пропорциональную долю активов компании в случае прекращения ее деятельности.
Обыкновенные акции не дают права на получение фиксированного дивиденда, и, как говорилось выше, дивиденды по ним выплачиваются, как правило, только если компания получила прибыль.
Существует несколько вариантов обыкновенных акций, возникших в целом по двум причинам.
Первая из них — это случай, когда компания являлась собственностью и контролировалась, например, одной семьей, однако ее владельцы, не желая брать займов, в то же время не хотели терять контроль над компанией в связи с тем, что их право голоса “растворилось” бы при размещении дополнительных акций среди новых акционеров. Эта ситуация привела к созданию учредительских акций (которые также называются отсроченными акциями). По таким акциям дивиденды часто не выплачиваются в целях сохранения большего права голоса. Следовательно, акции различаются по цене. Если объявляется выплата хороших дивидендов по обыкновенным акциям, они могут подняться в цене по сравнению с отсроченными акциями. Однако, поскольку контроль при голосовании по-прежнему приходится на долю отсроченных акций, в остальное время они обычно имеют более высокую цену, чем обыкновенные, также и потому, что контрольные акции вообще редко переходят от одного владельца к другому.
Другим вариантом являются привилегированные обыкновенные акции. Такие акции, схожие с привилегированными, часто дают преимущественное право на получение дивидендов (по сравнению с обыкновенными акциями) и на получение капитала в случае прекращения деятельности компании. Также по ним высока вероятность получения дополнительного права голоса (подобно отсроченным акциям), и следовательно, их рыночная цена гораздо выше, чем цена обыкновенных акций. Такие привилегированные обыкновенные акции активно использовались владельцами швейцарских семейных фирм, которые хотели сохранить контроль над своими компаниями, а также по-прежнему получать значительную выгоду от их постоянной прибыльности. В Швейцарии, а затем и в других странах, такие акции стали называться акциями “А” и “Б” (при этом на класс “А” приходилось больше привилегий).
В последние десять лет стало заметным явно негативное отношение регулирующих органов рынка ценных бумаг к тому, что за обыкновенными акциями закрепляются разные права. В настоящее время считается, что все обыкновенные акции одного эмитента должны заключать в себе совершенно равные права. Это один из элементов политики регулирующих органов по защите инвесторов. В соответствии с этим активно поощрялись действия компаний (в том числе и швейцарских), направленные на соблюдение такого равенства. В противном случае требуется, чтобы такие акции изымались из обращения на бирже и не могли бы предлагаться инвесторам.
КОРПОРАТИВНЫЕ ДЕЙСТВИЯ
Необходимо далее кратко рассмотреть те действия, посредством которых компания меняет структуру или организацию своего акционерного капитала. Необходимо учесть, что такие действия обычно относятся только к акциям, а некоторые из них касаются только акций, имеющих номинальную стоимость. В этой части будут описаны пять видов организационных действий, включая бонусные эмиссии, выпуски прав, дробление (применяется только в случае наличия номинальной стоимости), консолидацию (противоположна дроблению) и возврат капитала акционерам.
Нельзя забывать о том, что директора компании обязаны действовать в лучших интересах акционеров. Следовательно, в некоторых случаях компании придется с осторожностью относиться к компромиссам между тем, что хорошо для бизнеса в краткосрочном и долгосрочном плане, и тем, что хорошо для акционеров в краткосрочном и долгосрочном плане, учитывая, что эти интересы не всегда совместимы.
Бонусные эмиссии (или эмиссии для капитализации дохода)
Бонусная эмиссия — это “бесплатное” размещение акций среди всех существующих акционеров пропорционально количеству уже имеющихся у них акций. Таким образом, такая эмиссия требует предоставления преимущественного права всем существующим акционерам на равной основе. Необходимо отметить, что в результате бонусной эмиссии компания не привлекает новых средств.
Выпуск прав
Если компания хочет привлечь дополнительные средства, она может воспользоваться выпуском прав. Она предлагает дополнительные акции существующим акционерам (на преимущественной основе) за определенную сумму в количестве, пропорциональном имеющимся у них пакетам акций.
Следует отметить, что на американском рынке преимущественные права не предоставляются. В Великобритании это почти наверняка означает, что компания предлагает дополнительные акции с дисконтом по отношению к преобладающей рыночной цене акций прежде, чем дать объявление о выпуске прав. Естественно ожидать от компании сохранения такой же выплаты дивидендов по новым акциям, появившимся в результате выпуска прав, как и по первоначальным (“старым”) акциям. Таким образом, предполагается, что при привлечении этих новых средств компания сможет заработать за счет дополнительных средств хотя бы свою норму дивидендных выплат. Конечный результат выпуска преимущественных прав заключается в том, что существующие акционеры при условии, что они воспользуются своим правом и оплатят новые акции, сохранят ту же долю в компании.
Дробление (или деление) акций
Это действие производится только в отношении акций тех компаний, которые осуществляют учет по номинальной стоимости. При этом компания ставит своей целью сократить номинальную стоимость каждой акции и размещает бесплатно среди существующих акционеров компенсирующее количество акций для поддержания стоимости их пакетов акций.
Консолидация
Это действие, обратное дроблению, когда компания увеличивает номинальную стоимость акции, но фактически аннулирует соответствующее количество акций, чтобы сохранялась стоимость пакета акций каждого акционера. Как и дробление, — чисто косметическое действие, оказывающее влияние только на рыночную цену акции.
Возврат капитала
Как видно из названия, в этом случае компания желает вернуть капитал или капитальную прибыль (в отличие от прибыли, полученной за счет текущего дохода) своим акционерам. Эта мера применяется только тогда, когда компания полагает, что не может получить достаточную прибыль, позволяющую обеспечить акционерам доходность не ниже той, которую они бы получили, разместив свои собственные средства в банке и т. д. Хотя это может показаться привлекательным для акционеров, очень часто является плохим знаком для будущего компании.
ВОПРОСЫ ДЛЯ САМОПРОВЕРКИ
1. Что подразумевает ограниченная ответственность компании?
2. Какова разница между кумулятивной и некумулятивной привилегированной акцией?
3. Какова очередность прав держателей обыкновенных акций в случае ликвидации компании?
4. Как в настоящее время регулирующие органы относятся к разным классам обыкновенных акций?
4.2 ОСНОВНЫЕ УЧАСТНИКИ РЫНКА
Данный раздел будет посвящен участникам рынка акций и их роли, а также в нем будут рассмотрены требования крупных инвесторов к инвестициям в акции.
ГОСУДАРСТВО
На первых этапах создания рынка капитала в экономике переходного периода государство играет главную роль в рамках своей приватизационной программы. Оно также играет основную роль в случае полной переориентации такой политики, становясь покупателем в ходе программы национализации. Однако в остальное время оно осуществляет вложения в инфраструктуру и, помимо оказания поддержки социально значимым отраслям, как правило, не вкладывает средства напрямую в рынок акций и в любом случае не может выступать эмитентом прав собственности.
Тем не менее государство несет политическую ответственность за обеспечение эффективного и законного регулирования рынка акций. Кроме того, своей политикой государство часто поощряет использование сбережений путем благоразумного применения налоговых мер (финансово-бюджетная политика) и осуществления других финансовых мер (экономическая политика), а также поощряет учреждения рынка капитала к предоставлению продуктов и услуг, таких, как страхование и пенсионные программы, направленных на повышение уровня жизни (социальная политика).
КОМПАНИИ-ЭМИТЕНТЫ
В предшествующих разделах уже говорилось подробно о причинах, лежащих в основе выпуска компаниями ценных бумаг. В этом разделе особое внимание будет уделено роли компаний в поддержании функционирования рынка акций. С точки зрения защиты инвестора, один из наиболее важных моментов — это обеспечение прозрачности информации, поступающей от компаний, т. е. публикация материалов, и достаточно полное и оперативное предоставление финансовых сведений с тем, чтобы инвесторы принимали инвестиционные решения, будучи достаточно информированными. Очевидно, что также особенно важно, чтобы директора компаний добросовестно выполняли свои обязанности и постоянно помнили о приоритете своей ответственности перед акционерами компании над своими личными интересами.
При наличии этих мер публика будет относиться к компании как эмитенту с доверием, а взамен компания может с уверенностью обращаться на рынок за дополнительными средствами, когда это необходимо, и в дальнейшем получит преимущество для своих продуктов, приобретя большую известность среди более широкого круга лиц. Стремясь привлечь дополнительные средства путем повторных выпусков обыкновенных акций, компания должна постоянно оценивать спрос со стороны инвесторов (т. е. наличие излишков сбережений, которые могут быть направлены на эти цели в нужное время).
ФИРМЫ ПО ТОРГОВЛЕ ЦЕННЫМИ БУМАГАМИ
Эти фирмы могут проводить операции с акциями за собственный счет, выступать посредниками — маркет-мейкерами для других профессиональных участников рынка и действовать в качестве агентов профессиональных инвесторов и частных лиц. Обычно законодательство требует, чтобы такие фирмы проводили свои операции в качестве принципалов (включая функции маркет-мейкера) отдельно от своих брокерских операций, чтобы не создавать моральных дилемм для фирмы в целом из-за потенциального конфликта интересов.
Хотя они вполне могут приобретать и быть держателями пакетов ценных бумаг (а также совершать короткие продажи в рамках выполнения своих функций на рынке), это не должно создавать впечатления, что эти фирмы заинтересованы в каких-либо иных инвестициях, кроме краткосрочных (т. е. точно так же, как и первичные дилеры рынка облигаций). На практике они стремятся стать владельцами пакета акций только тогда, когда позиция по этим акциям является частью арбитражной операции (либо против сходной ценной бумаги, либо в ходе операции по слиянию или поглощению). Их основной задачей в рамках деятельности в качестве маркет-мейкеров (т. е. при постоянной двойной котировке цен покупки и продажи) является получение дохода от спрэда как можно чаще (опять же подобно первичным дилерам рынка облигаций).
Фирмы по работе с ценными бумагами и инвестиционные банки активно работают на рынках акций, не только оказывая финансовые услуги своим клиентам-инвесторам, но также проводя большие объемы операций по корпоративному финансированию. Эти фирмы могут получать крупные суммы в виде платы за юридические услуги, работу в рамках получения листинга на бирже и сети распределения, необходимые для обеспечения слияний, приобретений и поглощений в дополнение к новым эмиссиям.
Как агенты инвесторов такие фирмы проводят исследования в отношении компаний, ценными бумагами которых они занимаются, с тем, чтобы их инвестиционные рекомендации имели под собой солидную основу. При торговле акциями (как и облигациями) используется один из двух способов: либо открываются очень короткие позиции в качестве принципала в надежде быстро найти парные приказы на покупку или продажу от других клиентов и заработать на разнице и, следовательно, не требуя уплаты комиссии, либо выступать только в качестве брокеров для покупателей и продавцов, заключая сделки со своими собственными или другими маркет-мейкерами — посредниками и взимая комиссию. Для рынков типа “брокер брокер” (т. е. без участия маркет-мейкеров) характерна организация клиентских сделок за комиссию.
Несмотря на то, что плата за оформление всех сделок на внутреннем рынке обычно практически одинакова, т. е. затраты брокера на оформление и расчет по сделке в размере 10 долл. США такие же, как и по сделке в размере 100 000 долл. США, комиссионные за заключение сделки часто рассчитываются как процент от стоимости каждой операции, хотя обычно — по гибкой шкале. В связи с этим агент может получить вознаграждение за значительный объем исследований и фиксированные издержки по такому роду деятельности, при этом не делая проведение таких операций слишком дорогостоящим для частных лиц.
Следует также учесть, что брокеры рекомендуют приобретение ценных бумаг гораздо чаще, чем их продажу. Это происходит по двум основным причинам.
Во-первых, потому, что у самых крупных инвесторов, таких, как учреждения, работающие с долгосрочными сбережениями, денежные поступления обычно превышают отток средств и, следовательно, в целом они являются чистыми инвесторами.
Во-вторых, психологически рекомендация продажи почти наверняка расстроит управляющих и директоров компании и может создать конфликт интересов при проведении любых потенциальных корпоративных действий. Также считается, что люди испытывают большее огорчение при повышении цены акции после того, как они ее продали, чем при ее падении после приобретения акции. Хотя этот аргумент может показаться не вполне логичным, покупатель акции при условии, что стоимость этой акции падает, если он все еще считает, что она является выгодным вложением, может увеличить свою позицию по более низкой цене.
ОРГАНЫ РЕГУЛИРОВАНИЯ
Органы регулирования, как и по облигациям, определяют условия лицензирования для всех профессиональных участников рынка и часто устанавливают инвестиционные ограничения для долгосрочных сберегательных учреждений на уровне национального законодательства.
ИНВЕСТОРЫ, ПРИОБРЕТАЮЩИЕ АКЦИИ
Поскольку при неплатежеспособности компании обыкновенные акции занимают последнее место после всех кредиторских обязательств, неудивительно, что они считаются более рискованными инвестициями, чем облигации любого типа. Однако, поскольку чем больше риск, тем больше ожидаемый доход, эти инструменты привлекают инвесторов, заинтересованных скорее в приросте капитала, чем в надежном доходе.
Доход (дивиденды) по обыкновенным акциям может существенно различаться для акций разных компаний, а также может колебаться из года в год для акций одной компании, в значительной мере завися от прибыли за данный финансовый год. Поэтому вполне справедливо утверждение, что акции могут считаться спекулятивной инвестицией, хотя так же верно и то, что чем выше финансовая стабильность компании, тем менее спекулятивным считается инвестиция в нее.
БАНКИ
Банки, принимающие депозиты (в отличие от вышеупомянутых инвестиционных банков), в целом не являются крупными пользователями рынка акций, пожалуй, кроме как в качестве эмитентов. Однако иногда банк принимает акции после финансовой реструктуризации компании (т. е. взамен долгового обязательства), но рассматривает эту инвестицию как краткосрочную. Кроме того, банк может стать держателем пакета акций как торговой инвестиции (т. е. поскольку у него есть деловые обязательства перед данной компанией). Однако в целом банки, привлекающие депозиты, редко принимают активное участие в торговле акциями в качестве принципалов.
ПЕНСИОННЫЕ ФОНДЫ
Степень интереса пенсионного фонда к рынку акций в большой мере зависит от этапа его развития. Если в фонде много пенсионеров и, возможно, небольшое количество текущих вкладчиков (например, из компании, где в последнее время значительно возросло использование технологии), у фонда очень мало простора для маневра с точки зрения принятия на себя риска по портфелю.
Только начиная с 60-х годов пенсионные фонды получили реальную свободу вложений в акции на рынках капитала. По данным эмпирических исследований, с 1900 года в каждом десятилетии ценность обыкновенных акций росла быстрее, чем облигаций (с точки зрения общих поступлений, т. е. дохода и прироста капитала), но в более короткие отрезки времени дело обстояло иначе. Соответственно пенсионные фонды постепенно увеличили процентную долю акций в своих портфелях за последние сорок лет. Хотя, как уже упоминалось, в зрелых фондах в акции может быть вложено и менее десяти процентов средств, некоторые новые фонды стремятся вложить таким способом до шестидесяти процентов своих активов.
Тем не менее по своей сути пенсионные фонды — консервативные инвесторы, которые, соответственно, стремятся вкладывать средства в высококачественные компании, которые, возможно, находятся в нижней точке своего экономического цикла, но со временем ожидается повышение цены на их акции. Поскольку в таких фондах, особенно в первые годы их работы, больше вкладчиков, чем пенсионеров, они получают больше денег, чем должны выплачивать. Как следствие, они могут являться чистыми инвесторами (т. е. они не будут стремиться к частой продаже акций) и очень значительными клиентами фирм по работе с ценными бумагами и инвестиционных банков.
СТРАХОВЫЕ КОМПАНИИ
В отличие от пенсионных фондов страховые компании, как правило, не имеют никаких налоговых льгот. В связи с этим накапливаемый ими доход на деле оказывается более ценным, чем прирост капитала по акциям. Однако по налоговому законодательству многих стран налог на прирост капитала подлежит уплате только в случае продажи (т. е. реализации прибыли). Однако в тех случаях, когда возможен взаимозачет убытков и прибыли, страховые компании могут быть готовы подумать об инвестициях в более высокодоходные акции (и соответственно, скорее всего, более рискованные), поскольку такой поток дохода для них выгоднее и в краткосрочном, и в долгосрочном плане.
Особенность многих страховых компаний состоит в том, что они также имеют программы коллективных инвестиций в качестве основы для долгосрочных страховок-вкладов (страхование жизни с выплатой прибыли от капитала в конце периода). Имея такие инвестиционные продукты, эти компании являются также крупными инвесторами в акции и, следовательно, важнейшими клиентами фирм по работе с ценными бумагами и инвестиционных банков.
ПАЕВЫЕ ФОНДЫ
Поскольку паевые фонды — коммерческие предприятия, цель которых либо получение дохода, либо прирост капитала, либо сочетание того и другого, на их управляющих оказывается давление в том смысле, что доходность фонда постоянно сравнивается с показателями таких же организаций.
Следовательно, их инвестиционные цели значительно краткосрочнее, чем у пенсионного фонда или типичных страховых компаний. В паевых фондах открытого типа вопрос о том, будет ли чистая позиция фонда позицией продавца или покупателя, решается для его управляющего количеством новых паев, которые желает приобрести население, или количеством паев, которые фонд должен выкупить. Когда экономика способствует получению населением повышенного дохода, естественно, что это в целом делает паевые фонды чистыми инвесторами. Однако, если цикл меняется и, возможно, даже возникает спад, для паевых фондов наступают трудные времена.
Для управляющего фондом это означает, что, хотя ему и нужно выбрать те инвестиции, которые, по его мнению, будут доходными, он должен постоянно учитывать, что ему может потребоваться наличность для выкупа паев. В этой связи в процессе отбора он обращает особое внимание на рыночную ликвидность приобретаемых акций.
Поскольку паевые фонды и группы управления фондами — высоко конкурентоспособные предприятия, деятельность которых, как правило, строго регулируется, их число обычно быстро увеличивается по мере расширения рынка капитала. Следовательно, такие инвесторы также образуют очень крупную группу на сцене рынка акций.
ПРОЧИЕ КОНСУЛЬТАНТЫ
Хотя ранее упоминалось, что банки, принимающие депозиты, в этой роли не являются активными участниками рынка акций, следует заметить, что многие банки в рамках своих обязательств по оказанию финансовых услуг своим клиентам на деле предоставляют услуги по управлению средствами клиентов. Кроме случаев, когда клиент дает конкретное указание по управлению его портфелем без риска или с очень небольшим риском, более чем вероятно, что акции будут играть очень заметную роль в портфеле. При условии, что такие портфели включают инвестиции, дающие некоторую диверсификацию и приносящие доход, лица с достаточными сбережениями для того, чтобы обратиться в банк с просьбой управлять ими, вероятно, будут стремиться к приросту капитала, а не к получению дохода, а этого можно достичь с помощью акций.
В эту группу можно также включить компании с венчурным капиталом. Хотя основные объекты их содействия — не котируемые на рынке ценные бумаги и реорганизуемые предприятия, их конечная цель — прибыльный оборот инвестиций. Один из очевидных способов достижения этой цели — это, при условии финансовой стабильности компании, попытка добиться листинга или котировки акций компаний в торговой системе. По сути, это делает фирмы с венчурным капиталом важными продавцами новых выпусков акций на рынке.
ЧАСТНЫЕ ЛИЦА
Частные лица покупают акции по ряду причин, не всегда логичных с точки зрения инвестирования. Хотя этот сегмент сам по себе в целом не является источником крупных сделок, благодаря самой численности населения от частных лиц обычно поступает больше приказов на инвестиции в акции, чем от всех других групп инвесторов, вместе взятых.
Частные инвесторы часто приобретают акции напрямую либо в дополнение к приобретению других инвестиционных продуктов, либо во многих случаях относясь к этому как к способу времяпрепровождения. У некоторых людей преобладает чувство собственности, в то время как другие относятся к инвестиции как к способу контроля над собственными сбережениями для их использования в будущем.
Там, где профессиональные инвесторы тяготеют к научному подходу при выборе инвестиций, многие частные инвесторы добиваются таких же успехов, используя гораздо более бесхитростные приемы. Какой бы метод ни применялся, следует отметить, что в целом частные инвесторы обращают меньше внимания на риск. Как следствие, этот сегмент инвестиционного рынка более склонен приобретать акции мелких компаний и меньше заботиться о рыночной ликвидности (поскольку пакеты акций в данном случае имеют такой размер, что их проще продать в обычных условиях), чем о реальной цене, по которой они могут заключить сделку и которую они смогут регулярно отслеживать.
ВОПРОСЫ ДЛЯ САМОПРОВЕРКИ
1. Играет ли государство какую-либо роль на рынке акций?
2. Какова роль компании по работе с ценными бумагами на рынке акций?
3. Чем рынки акций привлекают учреждения, работающие с долгосрочными сбережениями?
4. Почему паевым фондам приходится обращаться к гораздо более краткосрочным инвестициям в акции, чем пенсионным фондам?
5. Какая группа инвесторов обычно дает наибольший объем приказов на рынке акций?
4.3 ДОХОДНОСТЬ И ПРИРОСТ КАПИТАЛА
Принцип оценки потенциальной финансовой прибыли от акций точно такой же, как и для облигаций, т. е. доход от дивидендов (аналогично процентам по облигациям) и прирост капитала зависят от изменения цены. Однако на этом сходство заканчивается.
При рассмотрении облигаций было указано, что управляющие ценными бумагами с фиксированным доходом стремятся получить доход от своих средств каждый день так же, как его можно получить от депозита. Управляющие инвестициями в акции имеют совершенно иную точку зрения, их игра называется “повышенный доход от капитала, или общий доход”. Независимо от того, какова цель — получение краткосрочного или долгосрочного дохода от капитала, дивидендный доход, хотя он и важен, всегда занимает второе место.
Прежде чем сравнить факторы, которые могут помочь установить среднюю ожидаемую доходность корпорации, важно дополнительно оценить потенциал и фактически циклический характер деятельности, с которым приходится сталкиваться в бизнесе. В то время как компания должна постоянно зарабатывать достаточную прибыль для выплаты процентов по своим долговым обязательствам (или находить эти средства за счет резервов), именно дополнительная прибыль (т. е. сверх той, которая идет на обслуживание долга) составляет ядро доходов от акций. Проблема акционеров состоит в том, что дополнительная прибыль — нестабильная величина. Ни одна компания не может гарантировать, что ее прибыль вырастет в текущем финансовом году по сравнению с прошлым годом.
В этом отношении необходимо обратить внимание на два основных экономических цикла.
Во-первых, существует цикл сектора, отрасли или продукта. Отдельный продукт или услуга проходит через ряд этапов. Вначале рождается идея. Затем эта идея требует исследования и разработки для нахождения потенциального рынка. Следующий этап — производство, а конечный этап наступает тогда, когда данный продукт вытесняется новым, более совершенным продуктом. Таков процесс на рынках, где действует конкуренция. Такой поэтапный процесс также наблюдается во всей отрасли, хотя разные конкурирующие между собой продукты и могут находиться на разных этапах своего жизненного цикла развития.
Во-вторых, существует операционный цикл предприятия. Он начинается, как и цикл продукта, с разработки, маркетинга и первоначального развития. Затем наступает этап консолидации, когда, возможно, ведется поиск новых и дополнительных рынков и совершенствуется ассортимент продукции. Затем предприятие может перейти на стадию расширения, возможно, с диверсификацией в разные (но, возможно, взаимосвязанные) области. Последний этап, как и в случае продукта, — это то, что американцы называют стадией или этапом “сокращения в масштабе”. Он наступает тогда, когда предприятие вынуждено уменьшить размеры своей деятельности (или, возможно, закрыться полностью) либо потому, что оно отстало от происходящих вокруг нововведений, либо потому, что оно недостаточно успешно управляло своими денежными средствами (т. е. вышло за рамки своих финансовых возможностей), или, возможно, просто в результате общего экономического спада.
При оценке любой инвестиции в акции (а в меньшей степени это также относится к инвестициям в корпоративные облигации) необходимо учитывать, на каком этапе этих циклов находится компания. Очевидно, что при вложении средств в акции зрелого предприятия в зрелой отрасли вряд ли стоит ожидать необычайного подъема цен на акции такой компании.
И последнее замечание, прежде чем перейти к расчету доходности. Нужно помнить о том, что акции представляют собой фактически бессрочную ссуду компании. Следовательно, в отличие от облигаций акции не имеют какой бы то ни было гарантированной стоимости погашения.
ПРОЦЕНТНАЯ И ДИВИДЕНДНАЯ ДОХОДНОСТЬ
Дивидендный доход от акций можно считать сходным с текущей доходностью бессрочной ссуды, причем с плавающей процентной ставкой. Однако даже в этом подходе существует несколько значительных различий. Например, по законам большинства стран компании разрешено выплачивать проценты по своим займам из прибыли до налогообложения, поскольку эти платежи считаются обычными издержками компании. Акционеры являются владельцами предприятия, и, следовательно, как правило, компания может заплатить дивиденды только после уплаты налога на прибыль. Иногда это может приводить к тому, что такой доход акционеров фактически облагается налогом дважды (т. е. компания платит налог, а затем акционер в индивидуальном порядке платит налог на свой дивидендный доход).
Более того, в то время, как процентные выплаты по облигации с плавающей ставкой меняются в соответствии с процентными рыночными ставками, по дивидендам на акции такого соотношения нет.
ДИВИДЕНДНАЯ ДОХОДНОСТЬ
Несмотря на эти замечания, историческая дивидендная доходность рассчитывается точно так же, как и текущая доходность облигации: дивиденд на акцию делится на текущую рыночную цену акции и умножается на 100 для получения процентов.
Итак:
Дивидендная доходность = Общие дивиденды за последний финансовый год/Текущая рыночная цена акции х 100
Например, если компания выплатила дивиденды на акцию в размере 15, а текущая рыночная цена акции 275, получается дивидендная доходность 5,45%.
Дивидендная доходность = Див. На акцию/цена акции
Дивидендная доходность = 15/275 х 100 = 5,45%
Однако, поскольку этим способом можно измерить только то, что уже имело место, и необязательно, что это будет показателем будущих дивидендов, аналитики по инвестициям придают большее значение предполагаемым или указанным компанией дивидендам для получения более реалистичного расчета, который называется “перспективная дивидендная доходность”.
Перспективная дивидендная доходность =
= прогнозируемые (или ожидаемые) дивиденды на акцию/Текущая рыночная цена акции х 100
Например, если компания прогнозирует дивиденды в размере 18 на акцию на текущий финансовый год, перспективная дивидендная доходность увеличивается до 6,55%
Дивидендная доходность = Див. на акцию/ цена акции
DY = 18/275 х 100 = 6,55%
По традиции инвестиционные аналитики, как правило, предполагают, что если увеличивается промежуточный дивиденд, то и общегодовой дивиденд будет увеличен на тот же процент, если компания не заявит иначе при объявлении промежуточного дивиденда.
Хотя ранее упоминалось о том, что размер дивидендов занимает второе место по значению после изменения цены капитала, следует заметить, что управляющие фондами ожидают от компаний четкой и последовательной дивидендной политики. В результате, особенно в крупных компаниях, часто практикуется естественное постепенное ежегодное увеличение дивидендных выплат.
Нужно отметить в качестве технического момента в управлении портфелем, что рыночная дивидендная доходность может быть рассчитана путем оценки совокупного дивиденда по акциям на рынке, его деления на совокупную рыночную цену акций и сравнения результата с преобладающей доходностью рынка облигаций. Поскольку доходность облигаций практически всегда выше, чем акций, эта разница называется “обратной разницей в доходности”. Этот показатель особенно полезен для управляющих фондами, когда они принимают решение о распределении своих средств между акциями и облигациями.
ДОХОД НА АКЦИЮ
Компании (за исключением некоторых паевых фондов из-за нормативных требований к ним) обычно не выплачивают всю свою годовую прибыль в виде дивидендов своим акционерам. Любая дополнительная прибыль сверх выплаты дивидендов переводится на счет резерва дохода (или прибыли) и может быть использована на развитие, маркетинг или замену активов компании или просто оставлена для использования в будущем на неуказанные цели. Следовательно, для инвестора еще важнее суметь оценить, насколько прибыльна компания сверх того, что она выплачивает в виде дивидендов своим акционерам.
Хотя акционеров и интересует то, насколько прибыльна их компания в целом и их право голоса позволяет им участвовать с принятии решения о расходах предприятия, они имеют право на эту прибыль только после учета всех долговых обязательств, сборов и налогов. Соответственно важнее всего для акционеров оценить размер прибыли компании после оплаты всех этих расходов по отношению к их акциям. Этот показатель иллюстрируется величиной дохода на акцию.
Итак: Доход на акцию (EPS) =

Примечание. Это реальная цифра, а не процент, и следовательно, ее можно напрямую сравнить с дивидендом на акцию. Разницу составляет величина нераспределенной прибыли на акцию.
Например, если прибыль компании после оплаты налогов (и расходов) составляет 1 000 000$ и она выпустила 50 000 акций, EPS составляет 20$ на акцию.

Примечание. Из этого и предыдущего примеров видно, что компания (за последний финансовый год) имеет нераспределенную прибыль в размере 5 на акцию, что составляет 250 000 (т. е. 50 000 х 5), или одну четверть ее прибыли.
ОТНОШЕНИЕ ЦЕНЫ К ДОХОДУ НА АКЦИЮ
Это отношение характеризуется коэффициентом Р/Е. В техническом анализе (изучение потенциальной стоимости компании в будущем) это самый важный аналитический показатель. Главная его цель — дать возможность для сравнения стоимости сопоставимых ценных бумаг и установить ориентиры или рамки для конкретных отраслей. Это оценочный расчет, при котором предполагается постоянный уровень прибыли числа лет, которое потребуется компании, чтобы окупить цену своих акций.

Например, используя цифры из вышеупомянутых примеров, Р/Е для этой компании равно 13,75.

т. е. при текущем отношении цены к доходу на акцию компания окупит цену на свои акции за 13,75 года.
По той же причине, разъясненной ранее, что разные отрасли находятся на разных стадиях своего экономического цикла, у разных отраслей также разные темпы оборота своей продукции, а также разные задачи в отношении денежных потоков. Обычно, строго говоря, показатели Р/Е сравнимы только для компаний, работающих в одной отрасли. И хотя существуют сравнительные соотношения между Р/Е для разных отраслей, они не дают эффективного механизма даже для сравнения одинаковых отраслей в разных странах.
Несмотря на то, что компании могут прогнозировать будущие дивиденды, обычно они не прогнозируют будущую прибыль (кроме как для целей внутреннего бюджетирования. Однако инвестиционные аналитики часто оценивают будущие потоки прибыли для тех компаний, на которых они специализируются. Следовательно, можно получить потенциальные коэффициенты Р/Е с помощью их анализа.
Например, когда аналитик прогнозирует, что доход на акцию в предстоящем финансовом году составит 25, это будет свидетельствовать о потенциальном Р/Е II.

При использовании коэффициентов Р/Е заслуживает внимания тот факт, что в этих показателях не учитываются риски, связанные с получением измеряемой прибыли. И действительно, высокий коэффициент Р/Е можно рассматривать как свидетельство высокого риска, поскольку цена акции спекулятивна по отношению к доходам, которые лежат в ее основе. С другой стороны, можно также предположить, что высокий коэффициент Р/Е указывает на то, что инвесторы испытывают большую уверенность в способности компании повысить свой доход в будущем. Он также может указывать на то, что цена завышена по сравнению с их реальной стоимостью.
Все коэффициенты такого рода следует воспринимать только как ориентиры для проведения дальнейших исследований.
ЧИСТАЯ СТОИМОСТЬ АКТИВОВ
По сути цель этого стоимостного коэффициента — определение базовой чистой стоимости компании на одну акцию, если бы активы компании были проданы за наличные и могли быть распределены между акционерами. Его также можно определить как акционерный капитал компании плюс нераспределенные резервы, подлежащие распределению среди держателей обыкновенных акций. Итак:
![]()
Например, если активы после погашения всех долговых обязательств (по их номинальной стоимости) и оплаты всех издержек составляют в сумме 6 000 000, а выпущены все те же 50 000 акций, NAV(СЧА) составит 120 за акцию.
Соотношение между NAV и рыночной ценой акции значительно различается для разных типов предприятий. Например, для паевого фонда NAV равняется цене пая, для других инвестиционных фондов NAV близка к цене акции фонда, для промышленной компании NAV может составлять около половины или одной трети или меньшую долю от цены акции, но для компании из сферы услуг NAV, скорее всего, составит крошечную долю от цены акции, поскольку активом этого последнего типа предприятия являются его сотрудники.
Как и при расчете прибыли, рассмотренном ранее, необходимо принять во внимание учетную политику, принятую при вычислении чистой стоимости активов. Особенно это относится к тому, оцениваются ли активы по первоначальной стоимости или же по наименьшей из двух величин — первоначальной стоимости или рыночной стоимости, насколько часто активы переоцениваются в связи с инфляцией и изменениями на рынке (в принципе активы могут находиться на счетах компании по завышенной цене, т. е. по цене выше той, по которой они могут быть реализованы), как активы амортизировались с течением времени и вычитаются ли долговые обязательства по текущей стоимости или по стоимости погашения. Дополнительно необходимо учесть также то, как аналитики рассматривают конвертируемые облигации, которые могут быть составной частью структуры капитала компании, т. е. при расчете NAV принято исходить из того, что все конвертируемые облигации уже конвертированы в обыкновенные акции.
С точки зрения инвестиционного дохода текущая стоимость активов, таким образом, является важным фактором для коллективных инвестиционных схем. Однако, как правило, чистая стоимость активов важна для большинства других выпусков акций только в том смысле, что она указывает на границу, ниже которой не должна падать цена акции, и основу, которую промышленная компания может использовать как обеспечение под кредит. Действительно, если цена акции компании опускается почти до чистой стоимости ее активов, это может привести к тому, что другое предприятие захочет попытаться приобрести эту компанию только с целью ее ликвидации. Необходимо учесть, что многие частные инвесторы переоценивают значение текущей стоимости активов, считая, что именно она является истинной стоимостью компании. На большинстве рынков капитала это явно далеко от действительности.
ДОХОДНОСТЬ КАПИТАЛА
До сих пор в этом разделе речь шла о наиболее важных коэффициентах, используемых в оценке акций, и дивидендного дохода от них. Однако в начале раздела упоминалось о том, что дивидендный доход стоит на втором месте после доходности капитала. Действительно, можно было заметить, что в отличие от облигаций сложные проценты, дисконтированные денежные потоки или доходность к погашению не имеют отношения к оценке доходности обыкновенных акций. Следует также отметить, что обыкновенные акции, поскольку по ним обычно не выплачивается фиксированных дивидендов, всегда обращаются по ценам, которые на рынке облигаций назывались бы “грязными” (т. е. цена акц ии включает любые будущие дивиденды). Как следствие, это практически всегда приводит к падению цены акции на размер дивиденда с момента, когда акции котируются (или могут обращаться) как “экс-дивидендные”.
Доходность капитала по акциям предсказать непросто, особенно в связи с тем, что в отличие от облигаций они обычно не имеют даты погашения. В задачи данного учебного пособия не входит изучение математической основы модели ценообразования по капитальным активам, цель которой заключается в оценке риска и потенциальной прибыли по акциям, но достаточно упомянуть об отсутствии гарантий в отношении изменения цен на акции, особенно за короткие отрезки времени.
ИЗМЕНЧИВОСТЬ
Последний фактор оценки акций, который будет рассмотрен в данном разделе, — это изменчивость цены на акцию. В целях инвестиционного анализа изменчивость акции сравнивается с ее отношением к рынку (или индексу, представляющему рынок или его часть). Этот фактор называется “коэффициентом бета”. Он служит мерой эластичности процентного изменения цены акции по отношению к одновременному процентному изменению рынка (или индекса). Величину “коэффициента бета” можно рассчитать только путем оценки зарегистрированных изменений стоимости во времени по сравнению с изменениями рынка за тот же период. Очевидно, что, чем больше имеется для этого данных, тем надежнее результат.
Коэффициент бета рынка (или индекса) принимается за 1 (или 100), поскольку она используется как базовый показатель. Поэтому логично, что совокупная сумма всех значений беты также должна быть равна 1 (или 100). Соответственно если бета акции выше 1, это означает, что при 10-процентном повышении (или снижении) цен на рынке цена на эту акцию поднимется (или упадет) больше, чем на 1 0%, и наоборот, цена на акцию с бетой от 0 до 1 поднимется (или упадет) меньше, чем на 10%. Отрицательные значения беты встречаются очень редко, т. е. это беты акций, цена которых меняется в направлении, обратном общему изменению рынка.
В действительности ценные бумаги с отрицательной бетой — первые кандидаты для формирования хорошо диверсифицированного портфеля, снижая риск без снижения доходности, но, как уже говорилось, они встречаются очень редко. Большинство значений бета находится в диапазоне от 0,5 до 1,5, причем среднее значение (по определению) составляет 1,0.
ВОПРОСЫ ДЛЯ САМОПРОВЕРКИ
1. Каково основное различие в подходах к доходу инвестора в облигации и инвестора в акции?
2. Что беспокоит инвестора при использовании показателя дохода на акцию?
3. Какой коэффициент чаще всего используется для инвестиционного анализа и каковы его недостатки?
4. Разъясните значение чистой стоимости активов для промышленных концернов.
5. Цена какой акции поднимется больше при повышении цен на рынке с бетой, равной 1,2 или 0,8?
4.4 МЕЖДУНАРОДНЫЕ РЫНКИ АКЦИЙ
Здесь будут подробно описаны четыре международных рынка акций, а именно: рынки США, Великобритании, Японии и Германии.
СОЕДИНЕННЫЕ ШТАТЫ АМЕРИКИ
США имеют самый крупный рынок акций в мире, и хотя на несколько лет, в конце 80-х — начале 90-х годов, он уступил первенство японскому рынку, тем не менее он восстановил свои позиции после краха японского рынка вслед за землетрясением в Осаке. Как упоминалось ранее, обыкновенные акции в США не имеют номинальной стоимости. Другая особенность акций США состоит в том, что их держатели обычно не получают преимущественных прав в случае проведения компаниями дополнительных выпусков акций.
Если компания хочет выпустить акции для открытого обращения, она должна обратиться в Комиссию по ценным бумагам и биржам и выполнить строгие обязательства по раскрытию информации, которые продолжают действовать и в дельнейшем. В этих правилах даже оговаривается метод подготовки и представления финансовой отчетности. До последнего времени Комиссия негативно относилась к двойному листингу ценных бумаг на несметном числе бирж, организованных по всей стране. Эти биржи, все из которых уполномочены Комиссией, не имеют эксклюзивного права на торговлю, и широко распространены операции на внебиржевом рынке.
Многие биржи сохранили свою приверженность торговому залу, в котором брокеры заключают сделки лицом к лицу. В дополнение к торговле в зале биржи оснащены компьютерными системами (на Нью-йоркской бирже такая система называется “Супердот”), и на них также практикуются так называемые “сделки по телефону на верхнем этаже” на крупные пакеты акций. Биржи также часто пользуются услугами “специалиста”, который отчасти занимается регулированием, а отчасти выступает в роли главного трейл ера, причем каждой ценной бумагой занимается по одному специалисту. Однако растущая Североамериканская ассоциация дилеров по ценным бумагам (NASD ) при помощи своей системы автоматических котировок создала особую рыночную нишу специально для акций высокотехнологичных компаний и технически считается организованным внебиржевым рынком. Существует требование органов регулирования в отношении всех посредников в США — они должны стремиться к заключению сделки по “наилучшей” цене, имеющейся в сети бирж США, независимо от того, местный ли это рынок или нет.
По общему мнению, рынок США — самый регулируемый в соответствии с законодательством, первоначально введенным в действие в начале 1930-х годов. На этом рынке в отношении всех его участников применяются чрезвычайно строгие меры контроля при их допуске . на рынок и проведении операций на нем. Доступ коммерческих банков к торговле ценными бумагами все еще ограничен Актом Гласса Стигала, который не разрешает банкам заключать сделки на товары и ценные бумаги одной и той же компании.
Расчеты обычно производятся на третий рабочий день после дня заключения сделки (Т+З) на основе каждодневного исполнения через обычную банковскую систему.
ВЕЛИКОБРИТАНИЯ
Британский рынок акций — третий по в еличине в мире после рынков США и Японии. Со времен промышленной революции в Европе в начале XIX века Великобритания имеет долгую историю развития акционерных компаний. Несмотря на это, только около 5°о взрослого населения являются прямыми владельцами ценных бумаг даже после проведения серии государственных программ приватизации в 1980-х и 90-х годах. Однако размер сбережений, находящихся в руках страховых компаний, частных пенсионных фондов и групп управления фондами значительно возрос по мере того, как это консервативное население стало использовать излишки личных доходов на обеспечение своего будущего на долгий срок.
Компании, желающие выпустить акции для обращения на рынке, должны соблюдать Закон о компаниях и его требования по финансовой отчетности, которые входят в сферу ответственности Департамента торговли и промышленности (D TI), а не основного органа регулирования по ценным бумагам — Комиссии по ценным бумагам и инвестициям (SIB). На британском рынке существует только один “Уполномоченный орган по листингу” (по терминологии Директивы ЕС), а именно — Лондонская фондовая биржа, которая в свою очередь устанавливает строгие исходные и постоянно действующие правила по раскрытию информации для таких компаний. Как и в США, биржи не имеют монополии на заключение сделок, но объем торговли на внебиржевом рынке не особенно велик. Как и во многих других странах, в Великобритании существует рынок второго уровня для акций, которые не отвечают строгим требованиям по листингу на Фондовой бирже; такой рынок носит название Альтернативного инвестиционного рынка (AIM). Большинство сделок заключается по телефону между членами биржи, но следует отметить, что британская сис тема в большой степени опирается на участие маркет-мейкеров и, следовательно, по сути является системой, основанной на котировках. Новая биржа Трейдпойнт с электронной системой торговли, поддерживаемая институциональными инвесторами, была создана в начале 1990-х годов, но на ее долю приходится менее 1 °/ц объема торговли. В отличие от американского рынка, от брокеров не требуется заключения сделок по “наилучшей” цене всех бирж, но только тех бирж, членом которых является брокер. Регулирование рынков основано на так называемом саморегулировании; введению новых правил предшествует значительный объем консультаций, хотя условия на нем все еще почти такие же строгие, как и на рынках США. Самыми важными аспектами являются обращение со средствами клиентов и стандарты и качество консультирования по инвестициям. Дания, Голландия и Ирландия были единственными странами, которые вместе с Великобританией полностью выполнили требования Директив ЕС по инвестиционным услугам и достаточности капитала к первоначально назначенному конечному сроку 1 января 1996 г. Расчеты по британским акциям производятся на пятый день после дня заключения сделки (Т+ 5) на основе каждодневного исполнения, но планируется сократить этот график до Т+ 3 после полного введения электронной бухгалтерской системы переводов, CREST, ожидаемого в 1998 г.
ЯПОНИЯ
Японский рынок акций является вторым по размеру в мире. Маркетинг и техника продаж в этой части Азии показали, что в силу своей относительной склонности к спекуляциям местное население было особенно расположено к варианту вложения средств в акции. Этому также способствовали огромные успехи японской промышленности и своеобразная японская философия бизнеса, явившиеся важным фактором успеха как на внутренних, так и на внешних рынках.
За все операции на рынке ценных бумаг отвечает министерство финансов, требующее применения международных стандартов бухгалтерского учета и аудита. Основные биржи используют систему торговли в зале, где трейдеры также могут пользоваться электронными терминалами (такая система на Токийской бирже называется CORES). В торговом зале бирже брокеры, действующие от лица инвесторов, называемые “обычными членами”, заключают сделки у стоек другой категории членов, называемых “сайтори”.
Самые крупные биржи находятся в Токио и Осаке, и между ними существует серьезное соперничество. Брокерские и инвестиционные банки в основном оказывают полный спектр услуг, и Япония может похвастаться самой крупной в мире фирмой по ценным бумагам Номура. Фирмы по ценным бумагам совмещают роли брокеров и принципалов, хотя торговля в роли принципала для этих фирм важнее. Как и в Великобритании, Токийская фондовая биржа также имеет рынок второго уровня, который называется “Второй секцией”.
Ряд финансовых скандалов в последние годы свидетельствует о том, что, хотя регулирование в Японии и совершенствуется, похоже, что все еще существуют значительные проблемы с его осуществлением на практике.
Расчеты производятся на основе каждодневного исполнения Т + 3, но нельзя осуществлять поставку японских акций за рубеж, поэтому иностранные инвесторы должны договариваться об их хранении в сейфе в Японии.
ГЕРМАНИЯ
Рынок акций в Германии, несмотря на свое развитие в последние годы, все еще остается небольшим по сравнению с промышленным и коммерческим оборотом в этой довольно крупной стране. Причина этого в основном кроется в том, что по культурным традициям немецким инвесторам гораздо больше по душе относительная надежность облигаций, чем рисковый характер акций. Стиль торговли здесь среднеевропейский в том смысле, что банки играют всеобъемлющую роль в предоставлении финансовых услуг своему полному кругу клиентов. Хотя и существует небольшое количество региональных бирж, большинство операций проводится через Франкфуртскую биржу с использованием электронной системы торговли, хотя разрешено и заключение сделок на внебиржевом рынке. Работа рынка ценных бумаг регулируется в соответствии с Законом о биржах Федеральным ведомством надзора за торговлей ценными бумагами (ВАЕ). Эта организация отвечает за соблюдение на рынке Германии соответствующих директив ЕС и особенно за контроль за предоставлением внутриевропейских международных финансовых услуг. Расчеты основаны на системе централизованных бухгалтерских проводок, управляемой “кассовыми союзами”, обеспечивающими электронные платежи и поставку на основе каждодневного исполнения Т+2.
ВОПРОСЫ ДЛЯ САМОПРОВЕРКИ
1. Какой номинал имеют акции в США?
2. Что означает фраза “сделка по наилучшей цене” на рынках США?
3. Как называется рынок второго уровня в Великобритании?
4. Как называется самая большая в мире фирма по торговле ценными бумагами?
5. Каков период расчета по акциям в Германии?
4.5 РОССИЙСКИЙ РЫНОК АКЦИЙ
ОБЩИЕ ОСОБЕННОСТИ РОССИЙСКОГО РЫНКА АКЦИЙ
Основным видом корпоративных ценных бумаг, обращающихся на российском рынке, являются обыкновенные акции таких эмитентов, как АО, созданные в процессе приватизации государственных и муниципальных предприятий. В настоящем разделе рассматриваются общие тенденции развития российского рынка акций приватизированных предприятий.
Рынок акций приватизированных предприятий начал формироваться в процессе массовой приватизации. Основная особенность первого этапа (1993—1995 гг.) развития вторичного рынка акций — укрупнение собственников, процесс интенсивной скупки пакетов акций институциональными инвесторами у индивидуальных. В 1996 — начале 1997 годов происходило становление спекулятивного вторичного рынка, образовался круг наиболее привлекательных для инвесторов отраслей и эмитентов.
В мировой практике (на развитых рынках) соотношение между первичным и вторичным рынками колеблется в пределах 5—15% объема вторичного рынка. Характерной чертой российского рынка акций до 1995 г. являлось безусловное преобладание первичного рынка. Такое соотношение определялось прежде всего продолжающимися приватизационными продажами, в том числе остающихся у государства пакетов акций (первичные продажи в ходе приватизации). Тем не менее доля вторичного рынка акций в общем объеме торговли постоянно возрастает.
Формирование вторичного рынка акций приватизированных предприятий началось практически одновременно с появлением первых приватизируемых АО. Внебиржевые сделки в разных объемах совершаются постоянно с акциями практически каждого эмитента. Мотив контроля по-прежнему остается доминирующим для подавляющего большинства сделок. Важнейшим мотивом для иностранных инвесторов остается относительная дешевизна большинства активов российских предприятий. Наконец, существенной составляющей роста объемов торговли остается чисто спекулятивный фактор, значение которого также велико.
Важным показателем является соотношение между биржевым и внебиржевым рынками ценных бумаг. Как известно, в мировой практике биржевой рынок — это прежде всего рынок акций и производных ценных бумаг. Что касается внебиржевого оборота, то он охватывает обычно первичные размещения, вторичные облигационные рынки, обращение прочих долговых инструментов и акции компаний, которые не соответствуют требованиям биржевого листинга.
Внебиржевой рынок корпоративных бумаг в России является абсолютно доминирующим. Соотношение долей биржевого и внебиржевого рынков в общем объеме сделок с корпоративными ценными бумагами составляет свыше 90% в пользу внебиржевого рынка. Последний имеет несколько уровней организации и включает:
· организованный с телекоммуникационными торговыми системами;
· неорганизованный телефонный, основанный на доверии участников;
· неорганизованный уличный, или розничный, рассчитанный на мелкого инвестора, не оперирующего со стандартными пакетами ценных бумаг.
Выбор внебиржевого пути развития рынка был вызван упадком биржевой активности к середине 90-х гг. В основе этого выбора лежали следующие причины:
· невысокая ликвидность рынка и неразвитость депозитарно-регистраторских услуг ограничивают возможности спекулятивных операций на бирже;
· скупка пакетов акций по заказам крупных инвесторов — как в силу предыдущей причины, так и по соображениям конфиденциальности (цен и размеров пакета) — осуществляется вне бирж;
· распыленность многих акций в результате массовой чековой приватизации, затрудненность доступа акционеров к биржевым операциям.
Рынок акций приватизированных предприятий занимает сегодня второе место по объемам торгов после рынка государственных ценных бумаг. По экспертным оценкам, соотношение реальных объемов рынков государственных долговых обязательств и частных ценных бумаг (акций и долговых) еще в 1994 г. составляло в России 10:1, тогда как в США этот показатель в начале 90-х гг. составлял примерно 1:2. Вместе с тем тенденция к снижению доходности ГКО-ОФЗ в конце 1996 — начале 1997 гг. позволяет говорить о наметившихся позитивных сдвигах.
В качестве одной из основных черт российского РЦБ можно отметить формирование региональных центров фондовой активности. В первую очередь это Москва, Санкт-Петербург, Екатеринбург, Новосибирск и Приморский край. На эти региональные центры приходится сегодня свыше 35 процентов всех имеющихся в стране инвестиционных институтов.
На сегодняшний день российский фондовый рынок еще не составляет единого целого. Он недостаточно структурирован и гармонизирован, в связи с чем к числу его отличительных особенностей можно отнести региональную замкнутость, являющуюся существенной преградой динамичному и безопасному передвижению ценных бумаг и денежных? активов. В силу этого эмитированные в том или ином регионе ценные бумаги вынуждены обращаться в ограниченных пределах, приобретая тем самым искусственное определение “региональных”, или совершают непростую “миграцию” в направлении центров фондовой активности.
По объему заключаемых сделок с корпоративными ценными бумагами в общероссийском масштабе лидирующее место приходится на московский регион. По некоторым оценкам, в Москве заключается более 80% всех сделок на внебиржевом рынке корпоративных ценных бумаг.
В целом можно выделить наиболее характерные черты, которые российский рынок приобрел к настоящему времени:
1) Это рынок крупных институциональных инвесторов, оперирующих значительными средствами и крупными пакетами акций. Этим, в частности, объясняется тот факт, что российский рынок сегодня — это исключительно рынок профессионалов.
2) Для российского рынка характерно абсолютное преобладание внебиржевой формы заключения сделок между его участниками. Это и рыночные сделки (в рамках РТС и на “телефонном” рынке), и прямые сделки со значительными пакетами по взаимной договоренности сторон, которые не отражаются в торговых и информационных системах.
3) Основная доля рыночного оборота приходится на скупку стратегическими инвесторами контрольных пакетов акций приватизированных предприятий. Вместе с тем для 1996 — 1997 гг. становится характерным рост интереса портфельных инвесторов к российским акциям.
4) Стабилизация рынка. Если ранее на рынок выбрасывались дестабилизирующие рынок пакеты акций, скупленные мелкими брокерами у работников предприятий, то в настоящее время брокеры накопили относительно солидный капитал и имеют возможность выжидать выгодные условия продажи (покупки), регулировать потоки акций и ценовые колебания. Одновременно значительная часть акций принадлежит институциональным инвесторам, которые — в отличие от мелких — покупают акции на длительное время, не опасаются локальных спадов на рынке и проводят более взвешенную и спокойную политику.
5) Возросла разборчивость инвесторов. Если раньше инвесторы скупали “все подряд”, то в настоящее время инвестиционный процесс сконцентрировался на наиболее ликвидных акциях. В то же время существует явная тенденция к распространению интересов профессиональных участников рынка на акции компаний “второго эшелона”.
6) Произошли позитивные сдвиги в инфраструктуре рынка. Снизились риски инвесторов, особенно в части ведения реестров и защиты прав акционеров при дополнительных эмиссиях акций. В настоящее время уже можно говорить о становлении в России цивилизованной системы регистраторов, депозитариев и организаторов торговли на рынке ценных бумаг [9] .
7) Улучшение информационной среды, чему способствовало установление требований к раскрытию информации как эмитентами, так и организаторами торговли.
8) Сохранение тесной взаимосвязи между состоянием рынка и политической ситуацией в стране.
9) Относительная стабилизация курса рубля и замедление темпов инфляции, снижение доходности государственных ценных бумаг в 1995—1996 гг. Это позволяет сделать два важных вывода.
Во-первых, начавшийся перелив финансовых ресурсов между двумя крупнейшими сегментами российского РЦБ позволяет говорить о растущей целостности рынка, которая проявляется в том числе в возросшей взаимосвязи между доходностью государственных ценных бумаг и котировками наиболее ликвидных акций. Одновременно это означает, что усилилась ориентация рынка корпоративных ценных бумаг не только на западных инвесторов, но и на внутренние реалии.
Во-вторых, с учетом относительно ограниченного на сегодня предложения ликвидных бумаг на данном рынке растущий спрос со стороны иностранных и российских инвесторов создает относительно прочную базу для роста курсовой стоимости акций и капитализации рынка в целом.
10) Котировки акций стали чувствительны к крупным изменениям мировой конъюнктуры (например, имевший место временный рост котировок акций российских целлюлозно-бумажных комбинатов в силу роста мирового спроса и цен на бумагу).
11 ) Сохраняется значительная зависимость конъюнктуры рынка акций от заказов иностранных инвесторов, предъявляющих основной спрос на бумаги тех или иных предприятий. Портфельные инвестиции глобальных фондов в свою очередь носят цикличный характер в зависимости от сроков и объемов выделенных “на Россию” средств и политической конъюнктуры [10] .
12) Растущий интерес со стороны крупнейших российских эмитентов к программе выпуска ADR и GDR[11] .
13) Начавшийся процесс привлечения капитала российскими эмитентами на международном фондовом рынке[12] .
С момента последних президентских выборов (1996 г.) фактически существенно снизилась доля политических рисков инвестирования в российские ценные бумаги среди всех возможных рисков инвестирования.
В целом для 1996—1997 гг. характерна — при заметных колебаниях — явная общая повышательная тенденция в динамике конъюнктуры рынка. Это проявляется как в динамике индексов курсов акций и объемов торговли, так и в росте капитализации российского рынка.
КАПИТАЛИЗАЦИЯ И ПЕРСПЕКТИВЫ ЕЕ РОСТА
Одним из основных показателей, характеризующих масштабы рынка ценных бумаг и экономики в целом, является капитализация. Капитализация традиционно определяется как произведение курса ценной бумаги на количество ценных бумаг в обращении.
За период с января 1996 г. по февраль 1997 г. произошел существенный (в 4,5 раза) рост капитализации российского фондового рынка с 15 млрд. долларов США до 68 млрд. долларов США. Среднемесячный темп прироста капитализации за этот период составил в среднем 28% . Тенденция роста сохраняется и летом 1997 года.
Рассматривая капитализацию российского рынка акций, необходимо принимать во внимание, что из более чем 50 000 тысяч (по данным Госкомстата) открытых акционерных обществ России, включая 30 000 АО, созданных в процессе приватизации, какую-либо рыночную котировку имеют акции лишь не более 150 предприятий. Реальная капитализация российского рынка выше этих оценок, но из-за низкой ликвидности акций оценить ее не представляется возможным.
Наиболее привлекательными для инвесторов в период с января 1996 г. по февраль 1997 г. были акции bluechips [13] .
При этом безусловными лидерами по капитализации (см. диаграмму) являются три отрасли народного хозяйства:
• нефтегазовая (включая переработку);
• энергетика;
• связь (телекоммуникации).
Доминирование предприятий этих отраслей на российском фондовом рынке можно проиллюстрировать также следующей диаграммой, на которой представлена доля крупнейших предприятий в общей капитализации рынка. Восемь предприятий этих трех отраслей покрывают более 80% общей капитализации рынка.
В настоящее время полная рыночная капитализация российского рынка составляет порядка 12% от ВНП, что значительно ниже, чем в развитых капиталистических странах. Тем не менее необходимо отметить следующее.
В дальнейшем следует ожидать рост капитализации российского фондового рынка, в основе которого лежат следующие факторы:
• значительная недооценка акций “второго эшелона” [14] ;
• дальнейшее снижение политического риска;
• приток части средств с рынка государственных ценных бумаг [15] ;
• рост вложений глобальных фондов;
• снижение инфраструктурных рисков;
• развитие системы коллективных инвесторов.
ЛИКВИДНОСТЬ РЫНКА
Одним из главных качественных сдвигов 1994—1996 гг. является начавшийся процесс постепенного обретения рынком ликвидности. Если в 1993 г. только ГКО и приватизационные чеки могли быть отнесены к сверхликвидным активам, а 6—7 ценных бумаг могли быть охарактеризованы как ограниченно ликвидные, то в 1995—1996 гг. рынок в целом может быть охарактеризован как ликвидный во многом благодаря появлению твердых котировок. Используя имеющуюся классификацию уровней ликвидности, можно сделать вывод, что к 1997 г.:
1) свыше 1000 акций имели или имеют ограниченно ликвидный рынок участники рынка публично объявляют заявки на продажу или покупку; однако появление этих заявок носит нерегулярный характер, а число участников рынка данной ценной бумаги ограничено 1—3;
2) свыше 70 имеют полностью ликвидный рынок — ведется постоянная торговля, имеется общерыночный курс, постоянно выставляется более 3 котировок в РТС и имеется возможность их реализации по рыночным ценам в течение 5 рабочих дней;
3) свыше 20 имеют абсолютно ликвидный рынок — ведется активная торговля с участием нескольких десятков инвестиционных институтов; реализация ценных бумаг возможна в течение 1 часа. По акциям постоянно выставляется более 10 котировок крупнейшими участниками РТС.
Абсолютная разница (спрэд) между котировками на покупку и продажу по ряду ценных бумаг является достаточно большой — до 50% от средней цены. Данный показатель является одним из основных при характеристике уровня ликвидности ценных бумаг, и чем меньше его значение, тем более ликвидна данная бумага.
Другим существенным фактором, оказывающим влияние на уровень ликвидности ценных бумаг, является инвестиционная привлекательность бумаг конкретного эмитента, которая складывается как из показателей эффективности деятельности предприятия в целом, так и из анализа соотношений между результатами производственно-финансовой деятельности предприятия и рыночной оценки его ценных бумаг. Так, например, рост интереса инвесторов к отдельной компании отражается в росте котировок на его ценные бумаги, что в свою очередь ведет к росту оборотов и повышению ликвидности.
Вместе с тем пока корректно говорить о росте ликвидности с точки зрения количества отдельных ценных бумаг, обретающих ликвидность на рынке, но не о ликвидности российского рынка в целом. Если понимать под ликвидностью рынка его способность поглощать значительные количества ценных бумаг при незначительных колебаниях курсов и низких издержках на реализацию, то пока можно уверенно говорить лишь о возрастающей способности рынка. к поглощению новых объемов ценных бумаг и постепенном снижении курсового спрэда.
К числу основных факторов, способствующих повышению ликвидности акций российских компаний, относятся:
· общее улучшение финансово-экономического состояния компании, достигаемое в том числе путем проведения финансового оздоровления предприятия и ведущее к улучшению показателей эффективности его деятельности, таких, например, как прибыльность продаж (ROS), доходность капитала (ROE), доходность активов (ROA), прибыль на обыкновенную акцию (EPS) и др.;
· повышение информационной открытости компании, предполагающее активную политику эмитента по обеспечению участников рынка регулярной информацией о своей производственной и финансовой деятельности, в том числе регулярное проведение финансового и производственного аудита, подготовка ежеквартальных отчетов о деятельности предприятия, ведение бухгалтерского учета по международным стандартам;
· проведение эмитентом благоприятной для инвесторов и профессиональных участников рынка политики, в том числе:
— наличие независимого реестродержателя, упрощенная процедура перерегистрации прав собственности на ценные бумаги, наличие разветвленной сети трансфер-агентов у реестродержателя либо системы удаленных терминалов, разумные тарифы за учет изменений прав собственности на ценные бумаги в реестре акционеров и т. д.;
— отсутствие в уставе акционерного общества разного рода ограничений на потенциальных инвесторов либо на доли их вложений в уставный капитал;
— активная политика эмитента по отношению к потенциальным инвесторам — как отечественным, так и зарубежным, включая мероприятия по повышению инвестиционной привлекательности ценных бумаг (приближение финансовой отчетности предприятия к западным стандартам, обеспечение определенного уровня информационной открытости компании) и расширению возможностей доступа различных групп инвесторов, в том числе иностранных, к рынку бумаг данного предприятия.
В последнее время существенным фактором повышения ликвидности ценных бумаг эмитентов является их продвижение на зарубежные финансовые рынки, в первую очередь в форме выпуска производных инструментов на базовые российские ценные бумаги ( ADR,GDR ,RDC ).
ПРИВИЛЕГИРОВАННЫЕ АКЦИИ
Привилегированные акции российских эмитентов в 1996 — начале 1997 годов представляли один из наиболее быстро растущих сегментов фондового рынка [16] .
До лета 1996 года рынок привилегированных акций оставался неликвидным, так как львиная доля этих акций была сосредоточена в руках работников предприятий. Планомерная скупка акций на предприятиях привела к значительному повышению котировок и ликвидности привилегированных акций.
Следствием растущего интереса инвесторов стал допуск в 1996 году привилегированных акций ряда эмитентов к торговле в РТС. В настоящее время в листинг РТС включены привилегированные акции 16 эмитентов, в РТС-2 — 33 эмитентов.
В феврале 1997 года состоялся первый выпуск AD R первого уровня под привилегированные акции российского эмитента (АО “НК “ЛУКойл”).
Определяющим фактором рыночной стоимости привилегированной акции является ожидаемый денежный поток (дивиденд) на акцию, который, в свою очередь, зависит от текущей и прогнозируемой рентабельности эмитента. Отсутствие достоверной финансовой информации об эмитенте (тем более текущей) повышает риск вложения в эти ценные бумаги, а следовательно, снижает их курсовую стоимость и увеличивает спрэд между ценой покупки и продажи акций, что отрицательно сказывается на ликвидности акций.
Существенное влияние на курсовую стоимость привилегированной акции может оказывать потенциальное право голоса по привилегированным акциям. Ведь достаточно совету директоров общества принять решение о невыплате или неполной выплате дивидендов (собрание акционеров не имеет права увеличить предложенный советом директоров дивиденд), чтобы изменилось сложившееся соотношение сил владельцев голосующих акций[17]
Котировки привилегированных акций больше зависят от финансовых результатов их эмитентов и менее чувствительны к политическим и макроэкономическим изменениям в России, чем котировки обыкновенных акций (особенно “голубых фишек”), что делает привилегированные акции более привлекательными для портфельных инвесторов.
Как и в целом для акций приватизированных предприятий, более 90% рынка занимают привилегированные акции предприятий трех доминирующих отраслей: нефтегазодобывающей промышленности, связи и энергетики.
Цена привилегированных акций большинства ликвидных компаний находится в диапазоне 50—85% от цены обыкновенных, а цена привилегированных акций некоторых региональных энергосистем равна цене обыкновенных.
Рост курсовой стоимости является не единственным показателем доходности привилегированных акций. Большинство российских предприятий стабильно платит дивиденды по привилегированным акциям. Проведенный ФКЦБ России опрос показал, что 84% рассмотренных предприятий начислили дивиденд по привилегированным акциям по итогам 1995 года и только 52% этих предприятий начислили дивиденд по обыкновенным акциям.
Тем не менее не всегда начисленные дивиденды бывают выплачены. Некоторые предприятия нефтепереработки не смогли выплатить или выплатили частично начисленные высокие дивиденды по привилегированным акциям (как, впрочем, и налоги в федеральный бюджет), что немедленно сказалось на ликвидности и котировках их акций. Основными причинами невыплаты или неполной выплаты дивидендов являются перерасход чистой прибыли, направление средств на погашение убытков, наличие признаков неплатежеспособности или отсутствие денежных средств на расчетном счете при наличии “бумажной” прибыли.
Дополнительным импульсом к развитию рынка привилегированных акций послужит претворение в жизнь стандартов по раскрытию информации, установленных Законом “О рынке ценных бумаг”. Это сделает более предсказуемыми дивидендные выплаты, что является главным курсообразующим фактором привилегированных акций, и, следовательно, снизит риск вложения в эти ценные бумаги.
4.6АДР И ГДР
Депозитарные расписки — это рыночные ценные бумаги, представляющие определенное количество лежащих в их основе акций (т. е. отдельные акции они представляют очень редко). Они зарегистрированы на уполномоченной фондовой бирже (кроме бумаг уровня 1 — см. ниже) за пределами страны эмитента, и торговля и расчеты по ним производятся по обычным правилам данной фондовой биржи. Базовые акции и депозитарные ра списки должны соответствовать законам стран регистрации эмитента и депозитария. Базовые акции находятся на хранении на имя банка-депозитария в фирме, выполняющей функции хранителя в стране выпуска акций. Биржа, регистрирующая депозитарные расписки, требует включения в депозитное соглашение ряда гарантийных мер для защиты акций, находящихся на хранении. Например, в случае российских АДР (американских депозитарных расписок) должны проводиться регулярные (т. е. не реже одного раза в месяц) аудиторские проверки реестра акций. По правилам Комиссии по ценным бумагам и биржам США эмитент несет финансовую ответственность за действия регистратора. Следовательно, держатель АДР может возбудить дело против эмитента в американском суде.
Пожалуй, самый важный фактор для эмитента — это то, что создание АДР позволяет ряду зарубежных инвесторов, в отношении которых действуют строгие меры регулирования, заключать сделки на акции эмитента, хотя обычно они могут вкладывать средства только в акции, обращающиеся на их внутреннем рынке. Поскольку депозитарные расписки деноминированы только в крупных свободно конвертируемых международных валютах, это значительно сокращает валютный риск при торговле этими инструментами.
АДР были изобретены компанией Морган Гаранта в конце 1920-х годов для упрощения американских инвестиций при размещении публичного выпуска акций знаменитого британского универсального магазина «Селфриджиз». До сих пор Морган Гаранти является крупнейшей агентом по кастодиальным услугам для АДР.
Хотя депозитарные расписки первоначально были американским продуктом, теперь они выпускаются в разных формах: Глобальные депозитарные расписки (ГДР), европейские и международные депозитарные расписки. На практике единственным различием между этими наименованиями является рынок, для которого они предназначены. Следовательно, это маркетинговый фактор, хотя необходимо заметить, что на разных международных биржах к ним предъявляются разные правила и требования по листингу. По сути в базовой структуре различий нет, поскольку расчеты по всем депозитарным распискам проходят либо через Депозитарную трастовую компанию (DTC) в США, либо через Euroclear в Европе.
Существуют разные уровни депозитарных расписок, особенно на американском рынке. АДР могут выпускаться в разных формах: Уровень 1, Уровень 2, Уровень 3. О каждой них будет рассказано по порядку в соответствии с Правилом 144А.
Уровень 1 обозначен как “торговая” форма. Эти инструменты самые простые и могут обращаться только на внебиржевом рынке, поскольку компания — эмитент акций не обязана предоставлять финансовую отчетность, проверенную аудиторами в соответствии с международными стандартами или выполнять все требования по раскрытию информации Комиссии по ценным бумагам и биржам США. Однако программа АДР Уровень 1 не может использоваться для привлечения нового капитала, т. е. в его основе может быть только вторичный выпуск.
Уровень 2 обозначен как “листинговая” форма и используется компаниями для получения регистрации на американской или другой зарубежной бирже. Компания в этом случае должна отвечать требованиям биржи по листингу, которые обычно включают: минимальное число акционеров (определенный процент из которых должен относиться к публике, т. е. не должен быть связан с компанией), минимальную рыночную капитализацию, а также она должна представить отчетность за несколько лет, составленную и проверенную аудиторами по международным стандартам. Следует заметить, что этот уровень встречается редко, поскольку большинство эмитентов переходят с программ Уровня 1 на Уровень 3.
Уровень 3 обозначен как форма “предложения” и используется эмитентами, желающими привлечь капитал за пределами своего внутреннего рынка. Соответственно эмитенты должны выполнять требования Комиссии по ценным бумагам и биржам США в отношении регистрации и отчетности для новых эмитентов, а также соблюдать правила и нормы биржи, на которой будут зарегистрированы эти ценные бумаги.
Четвертый уровень по Правилу 144А/Положению S обозначен для эмитентов как форма “частного размещения”. Это позволяет получить доступ к международным рынкам путем частного размещения АДР, которое проводится только среди очень крупных профессиональных инвесторов, называемых “квалифицированными институциональными покупателями” (QIB) по Правилу 144À, и любых неамериканских инвесторов в соответствии с Положением S. Нужно заметить, что Правилом 144À предусмотрен так называемый ограничительный период («локап»), обычно продолжительностью в три года, по истечении которого акции, не вошедшие в частное размещение, могут быть конвертированы в АДР. По Положению S период локап сокращен до 40 дней.
В программах также существует различие в зависимости от того, «спонсируемые» АДР или «неспонсируемы». Суть “спонсируемой” программы в том, что она поддерживается или инициируется компанией-эмитентом. «Неспонсируемая» программа инициируется, например, инвестиционным банком, который приобретает акции на внутреннем рынке, вносит их на хранение и выпускает собственные ценные бумаги на базе находящихся на кастодиальном хранении. Хотя последний метод был очень распространен в прошлом, теперь органы регулирования относятся к нему неодобрительно, поскольку считается, что он препятствует свободному обращению реальных ценных бумаг и вполне может привести к несоответствиям в распределении требований по раскрытию информации эмитентом.
Также необходимо, чтобы депозитарий, назначенный для выполнения функций хранения, был уполномочен тем органом регулирования, по правилам которого размещаются расписки. Роль депозитария включает в себя получение по базовым акциям и передачу держателям расписок всех дивидендов, уведомлений и прав, действующих по базовым акциям, включая право голоса (хотя это должно быть организовано через номинального инвестора в лице хранителя оригиналов акций), но не включает действия по выпускам прав и бонусным эмиссиям, когда хранитель продает такие права и распределяет выручку среди держателей АДР на пропорциональной основе.
4.7 ИНДЕКСЫ ЦЕН НА АКЦИИ
Одним из наиболее значительных событий для рынков капитала в последние годы стало введение и использование индексов. Индекс — это комбинация чисел (цен), которая дает общее число, представляющее его составные части. Затем сумма исходных чисел приравнивается к более удобной величине (например, 100 или 1000). Таким образом, индекс является математической суммой входящих в него цен, представленных в виде коэффициента. Индексы цен на акции также можно рассматривать как синтетические портфели рыночных цен без накопленных платежей (т. е. дивидендов). Эти числа нельзя физически купить и продать (т. е. практически нецелесообразно поставлять входящие в индекс компоненты), но многие рынки создают на их основе производные инструменты с наличным расчетом.
Есть три математических способа составления индекса.
С помощью метода среднеарифметической индекс рассчитывается путем сложения цен всех наименований входящих в него акций. Таким образом, при этом методе предполагается, что приобретается по одной акции всех наименований, составляющих индекс. На деле это не приносит особой пользы при создании портфеля-ориентира, особенно в целях профессионального управления фондами, поскольку такой индекс не учитывает веса акций в зависимости от размера выпуска.
При каждом методе расчета индекса в каждый последующий день используются текущие цены, и результат сравнивается со средней ценой предыдущего дня.
Наиболее эффективный и широко используемый сейчас метод — это метод средневзвешенной. Он заключается в умножении цены акции на количество выпущенных акций и сложении результатов. Следовательно, это способствует лучшему воспроизведению портфеля, поскольку фактически здесь устанавливается равная в процентном отношении инвестиция в каждую компанию, акции которой входят в индекс. Таким образом, любое изменение цены акции компании с большей капитализацией оказывает более значительное влияние на изменение значения индекса. Необходимо учесть, что при корпоративных действиях в отношении акций — компонентов индекса (например, бонусных эмиссиях и выпусках прав) в индексы нужно вносить поправки.
Третий метод — это метод средней стоимости (или среднегеометрической величины), который основан на предположении, что инвесторы вкладывают одинаковую сумму в каждую ценную бумагу. При расчете по этому методу, как и по среднеарифметическому, берутся только цены акций, но затем они перемножаются между собой и из результата извлекается корень п-ной степени (где п — количество ценных бумаг в индексе). Хотя этот метод хорош в начале, он предполагает, что постоянно сохраняются те же позиции (с точки зрения числа акций, а не стоимости инвестиций) и, соответственно, со временем становится нереалистичным для целей создания портфеля-ориентира (конечно, если цены всех акций не меняются одинаковыми темпами).
Индексы фондового рынка можно использовать как показатель изменения рынка (или по меньшей мере какой-то его части), что позволяет инвесторам определить тенденцию. Они также служат индикаторами текущего настроения рынка. Но важнее всего то, что они дают ориентир, с которым инвесторы могут сравнивать эффективность своих собственных портфелей как с известной инвестиционной базой.
Таким образом, индекс также выступает в качестве замены портфеля. Последнее привело к тому, что известно как пассивное инвестирование. Оно заключается в том, что инвесторы или управляющие фондами просто ведут позиции, повторяющие индекс и, соответственно, знают, что эти позиции всегда будут вести себя так же, как и индекс. В особенности это относится к странам, где отсутствует полный доступ к рынку, а этот путь открывает искусственный доступ.
Самые известные из индексов — это
* FT- SE, группа индексов и подиндексов газеты “Файнэншл Тайме ” и Лондонской фондовой биржи, используемых в Великобритании;
* Индекс Доу-Джонса, американский индекс по 30 ведущим акциям США;
* индексы агентства “Стэндард энд Пурс”, охватывающие более широкий спектр американских акций (индексы 100 и 500 акций);
* НИККЕИ, невзвешенный индекс ведущих японских акций.
Важно отметить, что у индексов есть недостатки. Они показывают скорее количественные, чем качественные изменения (т. е. они не показывают причину изменения цен). Они могут измениться при минимальном объеме торгов (т. е. когда имеет место скорее изменение настроения, чем действие), отразив общий результат спроса и предложения, но не величину рынка. Более того, в них не учитываются расходы на заключение сделок и вычеты (например, дивиденды и т. п.), они требуют периодических корректировок в своем составе, и нужно заметить, что с точки зрения регулирования они потенциально могут стать предметом манипуляций.
ВОПРОСЫ ДЛЯ САМОПРОВЕРКИ
1. Какой вид финансового индекса используется чаще всего?
ГЛАВА 5. ПРОИЗВОДНЫЕ ИНСТРУМЕНТЫ
В этой главе рассматриваются основы того, что в целом принято называть производными инструментами. По сути, к ним относятся любые ценные бумаги, цена которых внутренне зависит от цены другой ценной бумаги. Здесь будут рассмотрены виды производных инструментов, базовые принципы их ценообразования и основные пути их использования, а также пользователи этих финансовых инструментов.
5.0 ВИДЫ ПРОИЗВОДНЫХ ИНСТРУМЕНТОВ
Как упоминалось ранее, сам термин предполагает, что эти продукты — инвестиционные инструменты, цена которых является производной от цены других инструментов. Это также означает, что эти инструменты не могли бы существовать при отсутствии базового инструмента (или индекса), из чего следует, что если по какой-либо причине прекратится торговля базовым инструментом, прекратится и обращение производного.
В предыдущей главе достаточно подробно рассматривались депозитарные расписки, которые являются производными инструментами только в том смысле, что исходные ценные бумаги приобретаются и являются собственностью депозитария, который затем выпускает свои собственные расписки для покупателей о том, что они имеют право пользоваться выгодами от этих ценных бумаг. За исключением разницы из-за изменения курса валюты, цена на эти расписки меняется пункт в пункт с изменением цены на базовые ценные бумаги, кроме тех случаев, когда на местном рынке ограничено участие зарубежных инвесторов.
Самый известный из производных продуктов — это фьючерсные контракты. По сути, это обязательные для выполнения соглашения либо на принятие (покупку), либо на осуществление (продажу) поставки базового инструмента по цене, оговоренной в данный момент для поставки в какое-то время в будущем. По окончании срока действия контракта должна произойти поставка, если за истекший срок не была заключена такая же противоположная сделка.
Цена такого срочного соглашения зависит от размера процентов, которые могли быть начислены на использованные деньги до даты расчетов по истечении срока действия. Эта цена также зависит от других затрат, платежей или поступлений, срок которых может наступить между датой заключения контракта и сроком его истечения (например, страхование, транспортировка, налоги и хранение для товаров и дивиденды и права по акциям и индексам или выплаты по купону для облигаций). Технически фьючерсы могут обращаться только на биржах. Эквивалентные внебиржевые продукты называются форвардами, хотя в случае, если приобретенный на бирже контракт физически невозможно закрыть продажей на бирже (через механизмы клиринговой палаты), строго говоря, это будет биржевой форвардный, а не фьючерсный контракт.
Следующая группа производных продуктов — это опционы. Они намного сложнее фьючерсных контрактов. Опционный контракт дает своему покупателю (или держателю) право, но не обязанность, принять (колл) или осуществить (пут) поставку базового актива по заранее согласованной цене страйк (или цене исполнения) к заранее определенной дате (американский стиль) или только в такую дату (европейский стиль) при оплате премии (цена опциона) продавцу (надписателю) опциона.
Следовательно, продавец опциона несет обязательство по выполнению условий контракта, если этого потребует держатель опциона, т. е. только держатель имеет право решать, будет ли исполняться контракт. Обычно для биржевых продуктов предлагается не только ряд сроков окончания действия (экспирации), но и спектр цен исполнения.
При заключении опционных сделок вне биржи эти элементы обычно согласовываются соответствующими сторонами для удовлетворения их потребностей. Цена опциона зависит не только от процентов, которые можно получить по не вложенным в них средствам (т. е. компенсация полной цены покупки базового инструмента), но также от вероятности того, что исполнение опциона окажется выгодным в дату экспирации, количества времени, оставшегося до экспирации, и изменчивости цены базового актива.
На товарных рынках многие опционы основаны не на базовом активе, а на фьючерсном контракте на этот базовый актив — именно этот фьючерс и подлежит поставке. Следует особо подчеркнуть, что на фьючерсных и опционных рынках существует дополнительная терминология, значительно отличающаяся от терминологии основных инструментов рынка капитала, и в этом случае недостаток знаний может, действительно, оказаться опасным.
Последние два рассматриваемых инструмента являются гибридными ценными бумагами.
Первый инструмент из этих двух — варрант, очень похожий на опцион колл. Варрант дает покупателю право, но опять же не обязанность, приобрести определенный базовый инструмент по установленной цене (в этом случае она называется “ценой подписки” в отличие от терминов “цена исполнения” или “страйк” для опционов) в определенные сроки до даты экспирации или в эту дату.
Основная разница между опционами и варрантами состоит в следующем: варранты технически выпускаются компанией (у которой должен быть достаточный разрешенный к выпуску капитал для обеспечения будущего создания акций), в то время как опционы создаются решением сторон сделки. Варранты обычно действуют примерно до пяти лет, а опционы — часто только 9 месяцев или до двух лет.
Второй вид гибридных ценных бумаг — конвертируемые облигации, которые уже рассматривались в предыдущих разделах. Эти продукты выпускаются эмитентом как облигации, но они имеют опцион (не требующий дополнительной оплаты) на обмен этих облигаций на другой вид ценных бумаг (как правило, обыкновенные акции).
Поскольку цены на акции со временем обычно повышаются (в результате инфляции и успешного получения прибыли компанией), право на конверсию повышает облигационный рейтинг этой ценной бумаги, в то время как падение цены базового инструмента частично (или полностью) компенсируется уровнем доходности самой облигации. Опять же, как правило, решение о конверсии принимает держатель этой ценной бумаги, возможно, по прошествии какого-то времени, и если он решит не конвертировать, у него на руках останется исходная облигация до срока ее погашения.
Конверсия обычно производится, когда доход по акции превышает доходность конвертируемой облигации. Поскольку на цене облигации всегда выгодно сказывается повышение цены базовой акции, эмитент при выпуске облигации может назначить более низкий процент по купону, чем в случае выпуска равноценной облигации без возможности конверсии.
ВОПРОСЫ ДЛЯ САМОПРОВЕРКИ
1. Почему АДР считаются производными инструментами?
2. Опишите разницу между фьючерсным и форвардным контрактом.
3. В каких случаях опцион не является обязательством?
4. Какова разница между варрантами и опционами колл?
5. Опишите разницу в конверсии конвертируемых облигаций и варрантов.
5.1 БАЗОВЫЕ ПРИНЦИПЫ ЦЕНООБРАЗОВАНИЯ
Суть определения цены производных инструментов заключается в том, что они рассматриваются как альтернатива операции по базовому инструменту, затем сравниваются любая экономия затрат и/или упущенные поступления для получения эквивалентной цены для двух инструментов.
В этом разделе рассматривается по очереди каждый из пяти видов производных инструментов, описанных в разделе 5.1, и иллюстрируются принципы, лежащие в основе ценообразования по этим инструментам.
АДР И ГДР
Для ценообразования этих инструментов важны два момента. Во-первых, число базовых акций, представленных депозитарной распиской и, во-вторых, влияние разницы в валютах базового инструмента и расписки.
Число акций
Этот расчет так же прост, как и кажется. Если АДР представляет пакет из 4 базовых акций, то нужно всего лишь разделить цену АДР на 4, чтобы получить ее эквивалент для внутреннего рынка.
Разница в валютах
Если акция на внутреннем рынке стоит 1 000 рублей, а курс рубля к доллару США составляет 5 000 к 1, то эквивалентная цена за одну акцию на внутреннем рынке равна 0,20 доллара США. Следовательно, если цена АДР составляет 22 цента за акцию, существует потенциал для арбитража путем продажи АДР и покупки базовых акций.
Другие соображения, связанные с обращением на рынке
При наличии ограничений в отношении покупки акций нерезидентами на внутреннем рынке это может привести к появлению приемлемых расхождений по двум типам акций. Кроме того, в краткосрочном плане может существовать разница во времени выплаты дивидендов. Следовательно, нужно всегда проверять, в одинаковой ли форме обращаются обе ценные бумаги (т. е. обе, включая дивиденды или исключая дивиденды). Очевидно, что совершение арбитражных сделок в данном случае зависит от физической и технической возможности совершения короткой продажи по меньшей мере на одном из рынков. Помимо этого, следует помнить, что средства, требуемые для покупки, влекут за собой процентные затраты, а выручка от продажи, возможно, потребует маржинального покрытия.
ФЬЮЧЕРСЫ
Поскольку фьючерсный контракт — это обязательство на совершение или принятие поставки базового инструмента в дату окончания срока действия или до нее, всегда существует финансовое соотношение между ценой фьючерса и ценой наличного инструмента. Это неизбежно означает, что независимо от реального соотношения в течение срока действия фьючерсного контракта его цена должна слиться с ценой базового актива в дату окончания действия фьючерса.
По сути, фьючерсная цена определяется исходя из текущей рыночной цены базового инструмента, процентных ставок (поскольку этот инструмент связан с заемными средствами) [затраты хранение, страховку и транспортировку — для товарных фьючерсов] и любого дохода, не полученного из-за отсутствия позиции по наличному инструменту. Теоретически правильной будет та фьючерсная цена, в которой нет финансовой разницы (т. е. нет возможности арбитража) между покупкой (или короткой продажей) базового инструмента и короткой продажей (или покупкой) фьючерса.
Реальность не допускает такой идеальной рыночной цены (даже если бы все мнения об изменении цен совпадали), поскольку экономия за счет масштаба производства, различия в налогообложении и местоположении приводят к различию финансовых и других затрат у разных пользователей.
Простой расчет фьючерсной цены — это цена базового инструмента плюс проценты, сэкономленные за срок действия фьючерса.
Например, если цена базового инструмента — 100, а процентная ставка — 10°о годовых, цена трехмесячного фьючерсного контракта равна:

Таким образом, фьючерсная цена 102,5 полностью равноценна уплате цены 100 за наличный инструмент, т. е. вместо того, чтобы заплатить за наличный продукт сейчас, инвестор может приобрести продукт с расчетом через три месяца и, следовательно, сможет получить 10% по этим средствам за 3 месяца.
Примечание: В этом простом примере предполагается, что не существует никаких затрат на заключение сделок или других расходов, связанных с наличным инструментом, или неполученных поступлений или требований по марже.
Структура цены товарного фьючерса должна определяться с учетом издержек, связанных с физическим товаром и может быть рассчитана следующим образом.
Например, если цена наличного инструмента равна 100, преобладающая процентная ставка 10% годовых, а расходы на хранение, страховку и транспортировку составляют 6°о годовых, то цена трехмесячного фьючерса равна:
Стоимость базового актива 100,00
Затраты на финансирование 10% х 3 месяца 2,50
Хранение, страховка и т.д. 6% х 3 месяца 1,50
104,00
Итак, справедливая цена фьючерса на этот товар (т. е. без возможности арбитража) на три месяца составит 104,00 при наличной цене 100.
Примечание: Опять же в этом примере не учитываются расходы на заключение сделок или на маржу.
Для финансового фьючерсного контракта не будет не только затрат на хранение, страховку или транспортировку, но во многих случаях, сама инвестиция будет приносить доход (т. е. проценты или дивиденды). Следовательно, это должно быть отражено в расчете справедливой фьючерсной цены.
В случае валютного фьючерса по обоим инструментам существует возможность получения процентов по наличному активу.
Например, если курс рубля по отношению к доллару США составляет 5000:1, процентная ставка по рублевым вкладам — 12% годовых, а проценты по валютным вкладам в долларах — 6% годовых, то цена трехмесячного фьючерса равна:
Итак, поскольку по рублевым средствам в течение 3 месяцев фактически начисляется 3%, а по долларовым — только 1,5% за тот же период, фьючерсная цена сохранит равновесие при увеличении курса доллара на 75 рублей (т. е. на разницу в 1,5% не в пользу доллара).
Фьючерс на индекс фондового рынка также получает преимущество от сэкономленных процентов, но при этом не дает возможности получить дивиденды, выплачиваемые по самым ценным бумагам. Справедливая цена фьючерса на индекс фондового рынка может быть рассчитана следующим образом.

Например, если индекс равен 1000, преобладающая процентная ставка 10°о годовых, а дивиденды по акциям — 4°о годовых, то цена трехмесячного фьючерса равна:
Таким образом, фьючерсная цена 1015 теряет дополнительные 15, заработанные как дополнительный доход за трехмесячный период к тому моменту, как она сближается с ценой наличного индекса в срок окончания действия контракта. Следовательно, не существует возможности арбитража между вложением 1000 в реальные ценные бумаги и уплатой 1015 за фьючерсный контракт.
ОПЦИОНЫ
Опционы — гораздо более сложные инструменты для оценки, чем фьючерсы. В задачи данного пособия не входит подробное разъяснение вычислений, используемых в расчетных моделях. Важно усвоить, что существует четыре фактора (а для опционов на акции и облигации пять факторов), лежащих в основе цены опционов, а именно:
• процентные ставки (где можно получить доход от неиспользованных средств, вместо покупки базового инструмента);
• дивиденды (где нет возможности получить дивиденды или проценты по базовому активу — это пятый фактор);
• внутренняя стоимость (разъясняется ниже);
• время до окончания действия (чем больше времени остается до окончания срока действия опциона, тем больше возможности того, что он наберет внутреннюю стоимость);
• изменчивость базового актива (где она является мерой того, как быстро повышается и снижается цена базового актива и частоты таких изменений).
Внутренняя стоимость
Ценой опциона называется премия по нему, состоящая из двух частей, а именно: внутренней стоимости и временной стоимости. Внутренняя стоимость представляет собой любую реальную стоимость (т. е. если бы опцион был исполнен сегодня, это был бы размер прибыли от разницы между ценой страйк, или исполнения опциона и рыночной ценой базовой ценной бумаги), включенную в премию по опциону. Эта величина может быть определена путем вычета цены исполнения из цены базового актива для опциона колл и вычета цены базового актива из цены исполнения для опциона пут.
Значение индекса (на начало периода) 1000
Заработанные проценты 10% х 3 месяца 25
Минус неполученные дивиденды 4% х 3 месяца 10
1015
Например, пусть цена базового актива = 100.
Опцион колл с ценой исполнения 90 будет иметь внутреннюю стоимость 10 (т. е. 100 — 90), в то время как опцион колл с ценой исполнения 100 не будет иметь внутренней стоимости (т. е. 100 — 110).
Примечание: На этом этапе отрицательная внутренняя стоимость не принимается во внимание.
Опцион пут с ценой исполнения 110 имеет внутреннюю стоимость 10 (т.е. 110— 100), в то время как опцион пут с ценой исполнения 90 не будет иметь внутренней стоимости (т. е. 90 — 100).
Если опцион имеет внутреннюю стоимость, говорят, что он “при деньгах”, но если он не имеет внутренней стоимости (т. е. фактически это отрицательная величина), то говорят, что он “без денег”.
Временная стоимость
Временная стоимость — это часть премии, остающаяся после вычитания из нее внутренней стоимости. Следовательно, премия по опциону может состоять: полностью из временной стоимости или из внутренней и временной стоимости. Таким образом, временную стоимость нельзя рассчитать прежде, чем будет определена внутренняя стоимость.
Поскольку опцион — это право, но не обязанность для его держателя (и, таким образом, он может остаться неиспользованным, т. е. неисполненным), временная стоимость отражает готовность инвестора заплатить премию за остаток риска того, что опцион приобретет внутреннюю стоимость с текущего момента до момента экспирации.
Итак, можно сказать, что цена опциона равна тому, что один инвестор готов платить за это право по сравнению с тем, что другой инвестор готов получить за обязательство поставки базового актива по цене исполнения. Модели, используемые для определения теоретической цены опциона, в большой степени опираются на уровень изменчивости, выбранный для модели. Поскольку этот фактор, в лучшем случае, может быть оценен только приблизительно, ценообразование по опционам можно считать неточной наукой.
ВАРРАНТЫ
Варранты, по сути, то же самое, что и опционы и, следовательно, для расчета их цены применяются те же модели. Главное различие между варрантами и опционами заключается в том, что обычный срок действия варранта (т. е. с момента его выпуска) составляет от пяти до десяти лет, в то время как срок действия опциона может быть от одного дня до примерно двух лет Максимум. Обычный срок действия опционов на отдельные акции максимум до девяти месяцев.
Реальное ценообразование по варрантам особенно ясно показывает, что снижение временной стоимости происходит не по прямой линии. Это означает, что если варрант (до окончания срока действия которого остается шесть месяцев) имеет цену 60, и эта цена состояла только из временной стоимости (т. е. внутренней стоимости не было и, следовательно, варрант был “без денег”), нельзя сделать вывод, что через три месяца цена варранта составит 30. Временная стоимость снижается очень медленно в начале существования продукта, но резко падает в последние две—три недели срока его действия. И действительно, варрант “глубоко при деньгах” (с очень высокой внутренней стоимостью) может иметь очень маленькую или нулевую временную стоимость, и, следовательно, его цена будут меняться пункт в пункт с изменением цены базового инструмента, в то время как в начале его существования между ценами этих двух инструментов была незначительная корреляция. Такое явление называется эффектом финансового рычага.
Эффект финансового рычага
Этот эффект можно продемонстрировать на основе следующего примера.
Цена акции = 10, цена исполнения варранта = II, цена варранта = 2 [фактическая цена покупки права 13 (II + 2)]. Предположим, что инвестор может потратить 100.
На 100 можно купить: 10 акций (10 х 10) или 50 варрантов (50 х 2).
Если цена акции поднимется до 13, цена варранта может увеличиться до 4.
Инвестиция в акции в размере 100 теперь стоит 130 (10 х 13), но инвестиция в варранты стоит 200 (50 х 4).
Можно увидеть, что цена акции поднялась на 30% , а варранта — на 100°о , и коэффициент финансового рычага составил 3,3 к 1, т. е. от той же инвестиции прибыль гораздо выше. Однако следует отметить, что если бы цена акции упала, то процентное снижение цены варранта также могло бы превысить более чем в три раза процентное снижение цены акции.
Что касается варранта “при деньгах”, эффект финансового рычага здесь совершенно иной.
Например, цена акции = 20, цена исполнения варранта = II, цена варранта == 10 фактическая цена покупки права 21 (II + 10)
Предположим, что инвестор опять же может потратить = 100. На 100 можно купить: 5 акций (5 х 20) или 10 варрантов (10 х 10).
Если цена акции поднимется на 30°о (для сравнения с первым случаем), цена акции будет 26, а цена варранта может вполне увел ичиться не более чем до 15 (также эквивалент цены 26).
Инвестиция в акции теперь стоит 130 (5 х 26), но инвестиция в варранты стоит 150 (10 х 15). В этом случае варрант поднялся в цене только на 50°о по сравнению с 30% -ны м повышением цены акций, а коэффициент финансового рычага снизился до 1,67 к 1.
Эти примеры показывают, что эффект финансового рычага уменьшается по мере увеличения внутренней стоимости и, наоборот.
Как и опционы, варранты можно оценивать с помощью моделей ценообразования. Однако здесь существуют все те же проблемы в том смысле, что многие факторы моделирования — изначально неизвестные (или переменные) величины.
КОНВЕРТИРУЕМЫЕ ОБЛИГАЦИИ
Как АДР и ГДР, эти инструменты всего лишь гибридные производные продукты. Причина этого в том, что стоимость этих инвестиций полностью оплачивается с самого начала (т. е. полная стоимость не зависит от дальнейших или дополнительных платежей). Однако, с точки зрения ценообразования, они очень различаются.
Цена конвертируемой облигации первоначально зависит от прилагаемого к ней купона, как если бы это была обыкновенная облигация. Следовательно, она всегда будет иметь базовую стоимость, равную ее облигационным характеристикам. Если цена конверсии намного выше текущей рыночной цены акции, наличие элемента конверсии приведет к тому, что долгосрочные инвесторы будут согласны на меньшую доходность, чем по обычной облигации.
По мере повышения цены базовой акции соотношение конвертируемой облигации меняется. Теперь она ведет себя как облигация с бесплатным опционом на конверсию в базовый инструмент. На этом этапе цена конвертируемой облигации зависит от двух факторов.
Во-первых, от дополнительного дохода, получаемого по этой облигации по сравнению с базовой акцией. При увеличении прибыльности компании величина дивидендов по ее обыкновенным акциям также, скорее всего, увеличивается (и, естественно, то же должно произойти с ценой акции). В этой части расчета цены оценивается время, требуемое для того, чтобы дивиденды сравнялись (с точки зрения обыкновенных акций после конверсии) с купонной доходностью конвертируемой облигации. Соответственно затем дополнительный доход, начисляемый каждый год, дисконтируется (по преобладающим процентным ставкам) для определения стоимости на акцию (расчет дополнительного дохода).
Во-вторых, как говорилось в разделе 3.8 (поэтому здесь подробности не повторяются), необходимо определить конверсионную премию (фактическую цену обыкновенной акции при конверсии по сравнению с текущей рыночной ценой обыкновенных акций).
В отношении конвертируемых облигаций следует запомнить, что операции многих международных инвестиционных фондов и учреждений ограничены только инвестициями с низкой степенью риска. С точки зрения устава, это обычно означает инвестиции в облигации. Поскольку конвертируемые облигации все же являются облигациями, они позволяют таким инвесторам получить доступ к рынку акций, не нарушая своих правил. Как следствие, такого рода профессиональные . инвесторы готовы платить премии, которые в технике моделирования считаются очень щедрыми (т. е. высокими).
ВОПРОСЫ ДЛЯ САМОПРОВЕРКИ
1. Разъясните два технических фактора и один политический, связанные с определением цены АДР и ГДР?
2. Что имеется в виду под справедливой фьючерсной ценой?
3. Каковы главные различия между товарными фьючерсами и финансовыми фьючерсами?
4. Что означает внутренняя стоимость?
5. Что означает эффект финансового рычага для опционов и варрантов?
5.2 Основные направления использования производных инструментов
В основном в результате неблагоприятных сообщений в средствах массовой информации, в центре которых находятся производные инструменты, многие считают эти инструменты чрезвычайно спекулятивными и, следовательно, очень опасными продуктами. И хотя производные инструменты, действительно, более сложны, чем простые инвестиционные продукты, такие, как облигации и обыкновенные акции, главное предназначение этих продуктов — их использование в качестве инструментов для избежания риска. Однако инструмент, используемый для хеджирования одним лицом, может с такой же легкостью использоваться для спекуляции другим лицом. Опасны не сами инструменты, а то, как они применяются, — это, действительно, может стать причиной для беспокойства.
В данном разделе будут рассмотрены все пять видов производных, изученных выше, с точки зрения некоторых основных направлений их использования.
АДР И ГДР
Содействие зарубежным инвесторам
Наиболее значительное направление использования депозитарных расписок — это содействие зарубежным инвесторам, особенно американским, в покупке и торговле ценными бумагами, к которым в ином случае они не имели бы доступа из-за нормативных, инвестиционных или кредитных ограничений. Применение этих инструментов также позволяет зарубежным инвесторам избежать сложностей налогообложения, которые характерны для некоторых стран, а также избежать ограничений в отношении зарубежных инвесторов, например, жестких требований по хранению ценных бумаг, существующих в Словении.
Избежание валютного риска
Эти продукты также могут использоваться для избежания риска для капитала в связи с валютой исходного эмитента. Следует учесть, что реальным мотивом здесь необязательно является желание избежать потенциальной изменчивости валютных курсов (что может оказаться и прибыльным для сделки), а простая мера предосторожности, в результате которой инвестор не несет никакого валютного риска.
Арбитраж
Тот самый факт, что по депозитарным распискам существует валютная позиция, лежит в основе третьего способа использования этих продуктов.
Без этой разницы в валютах не было бы возможности для арбитража, а именно такая возможность привлекает к этим инструментам многих трейдеров, что приводит к созданию ликвидности как по базовому инструменту, так и по депозитарной расписке.
ФЬЮЧЕРСЫ
Изначально фьючерсные контракты были предназначены для создания механизма хеджирования для производителей товаров и их клиентов. Главной целью было предоставить средство, при помощи которого как производители, так и потребители могли установить гарантированные цены, по которым они могли бы обеспечить получение или осуществить поставку своих товаров.
В соответствии с этим два первых главных способа использования производных инструментов, описываемых ниже, получили название “хедж производителя” и “хедж потребителя”. Хотя эти термины появились на товарных рынках, они в равной мере относятся и к финансовым продуктам. Оба эти способа рассматриваются с точки зрения того, является ли трейдер владельцем базового товара (т. е. имеет ли он длинную позицию по нему) или он желает приобрести базовый товар (т. е. у него короткая позиция) в какую-то дату в будущем.
Хедж производителя (или длинный хедж)
Если производитель уже владеет каким-либо активом, но желает продать его в какое-то время в будущем или защитить его стоимость от падения цены, он может продать фьючерсный контракт (отражающий то количество актива, которое он хочет продать).
Например, предположим, что речь идет об активе, текущая цена которого составляет 100, и владелец хочет продать его через три месяца (или просто защитить его стоимость от падения цены в следующие три месяца, возможно, потому, что до этого срока актив не будет готов к поставке, или потому, что к этому сроку актив принесет ему достаточный доход. Как вы помните, ожидается, что фьючерсная цена отражает стоимость ведения позиции (т. е. затраты на финансирование) и все затраты на хранение, страховку или транспортировку за три месяца и в этой связи, возможно, составляет 104 (16°о годовых, например, 10% за финансирование и 6°о за хранение).
Таким образом, хедж заключается в продаже фьючерсного контракта (охватывающего желаемое количество физических активов) по 104 против имеющихся активов. Через три месяца производитель должен будет поставить актив для расчета по фьючерсному контракту (при условии, что он не заключил равный и противоположный контракт для устранения необходимости поставки) и, следовательно, он зафиксировал расчетную цену на уровне 104.
Если цена на дату истечения срока действия контракта упадет (возможно, как и ожидалось), например, до 90, то этот хеджер поставит свой товар по конечной расчетной цене 90. Однако, поскольку фьючерсы “переоцениваются по рынку” ежедневно (т. е. каждый контракт рассматривается так, как если бы он закрывался каждый вечер g ^ и открывался вновь каждое утро), он получил бы 14 в виде поступлений -^ по вариационной марже ^( большинство фьючерсных бирж требует, чтобы расчеты по дневным прибылям и убыткам проводились в денежной форме ежедневно) в течение этого периода и соответственно все равно получил бы свою зафиксированную цену продажи 104. Если бы цена, наоборот, поднялась до, скажем, 112, то хеджер осуществил бы поставку по 112, но ему пришлось бы заплатить 8 в виде убытков по вариационной марже, что в результате дало бы ту же цену продажи 104 (т.е. 112-8= 104).
В последнем случае производитель должен помнить об исходной цели своей фьючерсной продажи, а именно, зафиксировать цену продажи, поскольку превышение расчетной ценой его фьючерсной цены продажи привело к упущенной возможности. Следовательно, совершая продажу через фьючерс, производитель соглашается на то, что он не получит выгоды от подъема цены выше этого уровня.
Этот же путь используют управляющие фондами и другие инвесторы для сокращения своих обязательств по налогам на прирост капитала (если таковые действуют). Если инвестор имеет большую прибыль по пакету ценных бумаг, при их продаже ему, скорее всего, придется платить налог. Однако, если этот инвестор чувствует, что эти ценные бумаги могут упасть в цене в ближайшее время, он может продать фьючерс и выкупить его для закрытия позиции до срока истечения действия контракта — в этом случае он может оставить акции нетронутыми и должен будет заплатить налог только на прибыль от фьючерсных сделок.
Хедж потребителя (или короткий хедж)
Если кому-либо необходимо приобрести базовый актив, но требуемых для покупки средств сейчас не имеется или потребителю не нужна поставка этого актива ранее, чем через три месяца, основным поводом для беспокойства покупателя будет возможность повышения цены базового актива к тому времени, когда он будет действительно готов к принятию поставки.
Например, потребитель хочет приобрести актив, текущая цена продажи которого составляет 100. Используя тот же расчет фьючерсной цены на три месяца — 104, он мог бы зафиксировать цену покупки 104. Поставка и расчеты производятся в том же порядке, что и для хеджа производителя. Соответственно потребитель заплатит фактическую расчетную цену на дату окончания действия контракта, но при этом получит или уплатит разницу (т. е. для фиксации цены 104) в виде вариационной маржи. Как следствие, в этом случае потребитель отказывается от получения прибыли в случае, если цена упадет, а не поднимется в течение этого периода.
Для ясности важно понять, что длинный хедж предполагает длинную позицию по базовому активу, а не длинную позицию по фьючерсу (которая возникает в случае короткого хеджа), а короткий хедж предполагает длинную позицию по фьючерсу и (соответственно технически) короткую позицию по базовому активу.
Хедж по продолжительности действия
Поскольку справедливая фьючерсная цена рассчитывается на срок до окончания его действия, затраты (проценты и т. д.) распределяются пропорционально для меньших отрезков времени. Следовательно, если производитель или потребитель имеет целью поставку ранее даты окончания действия биржевого контракта, эти биржевые продукты все равно можно использовать.
Такого же результата можно достичь, например, за два месяца, когда фьючерсная позиция может быть закрыта (т. е. продан длинный фьючерс или куплен короткий) и производитель или потребитель сам организует физическую поставку актива (т. е. вне биржевой системы поставки). На практике только примерно 4% всех фьючерсных контрактов завершаются реальной поставкой. Особенно это относится к товарам, поскольку производители или потребители почти наверняка хотят осуществить или принять поставку в месте, расположенном недалеко от них вместо того, чтобы организовывать перевозку с одобренных биржей складов или терминалов.
Распределение средств по классам активов
Один из главных путей использования фьючерсов, особенно в управлении фондами, — это возможность переключать свои позиции с одной страны на другую, с одного рынка, сектора или ценной бумаги на другие в очень короткий срок. Если управляющий фондом хочет изменить свою позицию таким образом, он знает, что при выборе ценных бумаг требуется время на проведение исследований и поиски акций по разумной цене, которые бы отвечали его потребностям. Также ему может понадобиться время, чтобы организовать продажу тех ценных бумаг, из позиции по которым он хочет выйти. Следовательно, он может продать фьючерс, представляющий акции, которые он решил продать, и купить фьючерс, отражающий рынок, на котором он желает сделать покупку.
Отдельный класс активов
С конца 80-х годов среди профессиональных управляющих фондами наметилась тенденция относиться к фьючерсам как к отдельному классу активов. Некоторые считают это чисто спекулятивной деятельностью. Однако суть такого применения фьючерсов заключается в том, что денежные средства, используемые в качестве маржи и для получения процентов, выступают в качестве обеспечения при заключении сделок на фьючерсы как заменители базовых инструментов.
Реальные преимущества заключаются в том, что в этом случае расходы на заключение сделок ниже, рынки, как правило, более ликвидны, чем по соответствующим базовым активам, это чисто профессиональный рынок, а эффект финансового рычага, связанный с этими инструментами, позволяет получать более изменчивую прибыль. И хотя последний момент указывает и на возможность более быстрых убытков, дело в том, что такого рода операции проводятся строго в рамках программ жестких лимитов на ограничение убытков.
Арбитраж
Существует много форм арбитражных операций, проводимых на рынках производных. Одна из них называется торговлей на основе базиса или изменчивости. Наличие у каждого продукта на фьючерсном рынке нескольких дат окончания срока действия также позволяет совершать такие операции на основе продолжительности действия контракта. При этом трейдеры оценивают аномалии в ценах по разным датам окончания действия, особенно на основании ожидаемого процентного дохода по соответствующим датам,
Арбитражные операции могут проводиться и путем простого заключения сделок на базовый актив и фьючерс, когда считается, что цена одного из этих инструментов завышена по отношению к другому. Например, если цена на наличном рынке составляет, например, 100, а текущая цена фьючерса — 106 (т.е. вместо справедливой рыночной цены 104 из предыдущих примеров), появляется возможность получения прибыли от дилинга. Не имея никакого интереса к базовому активу как к таковому, арбитраже? может купить наличный инструмент за 100 (зная, что стоимость ведения позиции составляет 4, т. е. фактическая цена — 104) и продать фьючерсный контракт по 106. В дату окончания действия контракта фьючерсная цена должна слиться с наличной. Следовательно, он купил по 104, а продал по 106 без риска в случае реального изменения цен.
ОПЦИОНЫ
Поскольку при покупке опциона колл и одновременной продаже опциона пут с той же ценой исполнения и датой экспирации искусственно создается фьючерсный контракт, разумно предположить, что все действия, для которых используются фьючерсные контракты, в равной степени относятся и к опционам.
Однако опционы могут применяться и в других целях, особенно благодаря тому, что покупка опциона не создает обязательства, как в случае фьючерсного контракта, а только право.
Страховое хеджирование
Особый способ использования опционов пут — это обеспечение защиты от падения цены базового инструмента, где стоимость такой защиты ограничена размером премии, уплаченной за опцион. Преимущество этого метода в том, что за исключением затрат н а премию, инвестору не придется отказываться от потенциальной прибыли в случае повышения цены.
Таким же путем опционы колл могут использоваться для страховой защиты. Если инвестор решил купить конкретную ценную бумагу, но не уверен, что сейчас для этого подходящий момент (т. е. цена акции, возможно, продолжает снижаться), он может приобрести опцион колл. Если цена поднимется, он сможет получить большую часть выгоды от такого повышения, но если цена упадет, его убытки будут ограничены величиной уплаченной премии.
Увеличение дохода
В ситуации, когда процентные ставки высоки (и ожидается их падение), а цены на акции в последнее время были относительно неустойчивыми, опционы колл могут оказаться чрезвычайно дорогими (следствие спекулятивного рынка). В такой обстановке инвесторы могут продать опционы колл против имеющихся у них акций в надежде на то, что цена акций не поднимется до уровня суммы премии и цены исполнения.
Если цена на акции упадет, останется на том же уровне или поднимется меньше, чем до уровня суммы премии и цены исполнения, инвестор сможет выкупить опцион колл за меньшую сумму, чем он заплатил за его покупку или опцион даже может остаться неиспользованным до окончания срока действия. Следовательно, он получит премию от торговли опционами, и единственное, чего ему следует опасаться, — это то, что если цена поднимется выше уровня суммы премии и цены исполнения до даты экспирации или в эту дату, от него, возможно, потребуется продажа акций. Существуют профессиональные дилеры по опционам, которые предлагают такие услуги по продаже опционов, называемые “перекрытием”, другим инвесторам.
Альтернативный андеррайтинг
Многие финансовые учреждения готовы взять на себя обязательства по гарантии (андеррайтингу) новых выпусков (т. е. за определенную плату дать обязательство купить новые акции по фиксированной цене) акций и облигаций. Продажа опционов пут дает такой же результат, за исключением того, что продавец опциона пут может передумать покупать эти акции и решит выкупить свой опцион для аннулирования своего обязательства (в то время как это невозможно при обычных обязательствах по андеррайтингу).
Если цена акции составляет 100, инвестор может решить продать опцион пут с ценой исполнения 100 за 4. Это означает, что ему, возможно, придется (по просьбе покупателя опциона пут) купить акции по 100 в период, начиная с сегодняшнего дня и до даты экспирации опциона. Однако, поскольку он получил 4, цена, по которой он должен совершить покупку, если его об этом попросят, составит только 96 (т. е. 100 — 4). Если цена акций упадет ниже 96, естественно, что инвестор понесет убытки. Тем не менее, если цена не упадет ниже 100 или вообще поднимется, инвестор просто оставит у себя 4, что приведет к увеличению дохода, описанному выше.
Спекуляция
Хотя не самим инструментом определяется, является ли инвестиция спекулятивной или нет, следует заметить, что опционы особенно удобны для использования в спекулятивных целях. Эффект финансового рычага, заложенный в опционах, означает, что за очень небольшие денежные суммы инвесторы могут получить доступ к большим объемам базовых ценных бумаг.
По этой причине частные инвесторы часто используют опционы для спекуляций на рынках, ожидая, что смогут получить крупную прибыль при малых затратах и рискуя относительно небольшими суммами. Однако нужно учесть, что отношение риска к доходу у опционов чрезвычайно велико и математически шансы в значительной степени против покупателей опционов. Соответственно опционы — неподходящие инструменты для так называемых фондов вдов и сирот (т. е. фондов, которые очень зависят от поступления необходимого дохода и, следовательно, не могут себе позволить рисковать капитальными убытками).
ВАРРАНТЫ
Поскольку, как уже говорилось, варранты очень похожи на опционы колл, кроме того, что короткие продажи по ним совершают обычно только маркет-мейкеры и арбитражеры, пути их использования очень сходны с покупкой опционов колл.
Основное различие между варрантами и опционами колл состоит в ценных бумагах, на которых они основываются. Компании решают, выпускать ли им варранты против своих акций, а опционы создаются для рынка и самим рынком (или частным образом двумя сторонами на внебиржевом рынке). На бирже обычно обращаются опционы на акции только крупнейших выпусков на рынке, однако свои варранты может выпустить компания любого размера.
КОНВЕРТИРУЕМЫЕ ОБЛИГАЦИИ
Как и для всех других производных, один из частых способов использования этих инструментов — арбитражные сделки против базового инструмента. Однако эти продукты применяются в качестве альтернативы приобретению акций, поскольку они защищают инвесторов в акции от резких падений цен на акции, поскольку в этом случае проявляется стоимость облигационного элемента.
Они также используются для получения дополнительного дохода, по сравнению с акциями, но, как уже упоминалось, пожалуй, больше всего они используются инвесторами, ограниченными вложением средств только в инструменты облигационного типа, которые хотят только воспользоваться обычной повышенной доходностью капитала, вложенного в акции, по сравнению с облигациями.
ВОПРОСЫ ДЛЯ САМОПРОВЕРКИ
1. Каковы три основных пути использования депозитарных расписок?
2. Опишите разницу между хеджем производителя и хеджем потребителя с использованием фьючерсных контрактов.
3. Что означает использование опционов в страховом хеджировании?
4. Опишите соотношение между андеррайтингом и продажей опционов пут.
5. Для чего в основном используются конвертируемые облигации?
ГЛАВА 6. ИНВЕСТИЦИОННЫЕ ФОНДЫ
6.0 ЧТО ТАКОЕ ИНВЕСТИЦИОННЫЕ ФОНДЫ
Инвестиционные фонды — это механизм, при помощи которого частные лица передают денежные средства или активы в руки профессиональных менеджеров для управления. Вложения тысяч инвесторов затем управляются как единый портфель, в котором у каждого инвестора есть доля, пропорциональная его инвестиции. Это дает следующие преимущества
ПРОФЕССИОНАЛЬНОЕ УПРАВЛЕНИЕ:
у мелких частных инвесторов нет ни времени, ни знаний в области процедур отбора акций и работы на фондовом рынке, но они хотят иметь те же преимущества от вложения средств в акции и облигации, что и крупные профессиональные инвесторы.
ДИВЕРСИФИКАЦИЯ:
в управлении портфелем признан тот факт, что диверсификация снижает риск, но мелкие инвесторы не могут достичь этого экономичным путем из-за высоких затрат на проведение операций при небольшом количестве акций.
СНИЖЕНИЕ ЗАТРАТ:
при управлении большим числом мелких инвестиций как одним крупным портфелем можно добиться экономии за счет масштаба операций, от чего инвестор может получить выгоду в виде низкой платы за управление.
НАДЕЖНОСТЬ:
поскольку инвестиционные фонды практически во всех странах являются объектом законодательства и регулирования, направленного на защиту интересов мелких инвесторов, инвесторы могут быть в значительной степени уверены, что фонд будет должным образом управлять их средствами и защищать их.
ВОПРОСЫ ДЛЯ САМОПРОВЕРКИ
1. Дайте определение коллективного инвестиционного фонда
2. Какие преимущества инвестору предоставляет такой фонд?
6.1 Коллективные инвестиционные фонды в мире
Инвестиционные фонды (также известные под названием взаимные фонды в США, паевые трасты в Великобритании, SICAV во Франции и т.д.) в последние более чем десять лет развивались в обстановке подъема в экономике западных стран.
РЫНОК США
В США стоимость инвестиционных фондов возросла с $60 миллиардов в 1980 г., когда шло управление средствами 7 миллионов счетов инвесторов, до более чем $3 000 миллиардов в 1994 г., когда в фондах было 80 миллионов счетов инвесторов. По оценкам эти счета принадлежат 75 миллионам человек, или 40 °о американских семей.
РЫНОК ВЕЛИКОБРИТАНИИ
На меньшем по размеру британском рынке за тот же период стоимость инвестиционных фондов возросла с 5 миллиардов фунтов стерлингов до более чем 100 миллиардов фунтов стерлингов, а количество счетов — с 1,5 миллионов до более чем 6 миллионов счетов, которые принадлежат примерно 1 миллиону инвесторов, или 5% семей.
РЫНОК ФРАНЦИИ
Активы, управляемые французскими управляющими фондами, увеличились с очень небольших сумм в 1980 г. до более чем $500 миллиардов в 1994 г.; почти 25°о французских семей теперь являются владельцами акций инвестиционных фондов. На некоторых более молодых европейских рынках, таких, как рынки Португалии и Испании, были отмечены 40-процентные и более высокие темпы годового роста инвестиционных фондов.
ПРИЧИНЫ РОСТА
Таким образом, похоже, что бурный рост инвестиционных фондов является долгосрочной тенденцией в ответ на изменения в экономической, финансовой и социальной ситуации, а именно:
• Повышение осведомленности: инвесторы все больше хотят иметь полную информацию о размещении своих средств и контролировать достижение инвестиционных целей.
• Стремление к “прозрачности”: предпочтение отдается гибким и ликвидным методам сбережений, когда каждый элемент инвестиции виден прозрачен — для инвестора. Пенсионные схемы и страховые полисы старого стиля не обладают таким качеством.
• Использование инвестиционных фондов профессиональными инвесторами, инвестиционные фонды широко используются управляющими пенсионными фондами в качестве вложения пенсионных взносов. Этому во многом способствуют изменения в пенсионных схемах: размер пенсии связывается с суммой капитала, накопленного к пенсионному возрасту, а не с последней заработной платой данного лица. Компании страхования жизни также вкладывают все больший процент своих активов в инвестиционные фонды. Эти компании предлагают контракты на страхование жизни с большим элементом сбережений с выплатой средств в определенную дату в будущем (а не только в случае смерти) и, как правило, связывают эти выплаты с доходностью акций в инвестиционных фондах, которыми управляют либо сами эти компании, либо другие организации.
• Развитие персональных пенсионных схем, наблюдается рост числа персональных пенсий, предназначенных для людей, работающих самостоятельно, и “переносных” схем на случай изменени места работы. Росту количества таких программ способствовало снижение уверенности в том, что государство сможет обеспечить необходимые пенсии; причина этого отчасти кроется в увеличении доли пожилых людей в населении, а отчасти — в неопределенности экономического климата, когда человек уже не поступает на работу в организацию на всю жизнь. Большая доля взносов в персональные пенсионные схемы вкладывается через инвестиционные фонды.
• Более высокие доходы на фондовом рынке, наоборот, хорошие доходы на фондовом рынке на протяжении десятилетия подчеркивают ценность инвестирования более прямым путем.
• Стоимость акций: также считается, что долгосрочная доходность акций выше, чем облигаций и депозитов: последние два инструмента теряют свою стоимость из-за постоянной инфляции (даже если она небольшая), в то время как акции могут сохранять и сохраняют свою реальную стоимость.
• Фонды денежного рынка: впечатляющий рост фондов денежного рынка в некоторых странах отражает снижение интереса к старомодному банковскому обслуживанию через филиалы и наличие более высоких доходов в инвестиционных фондах по сравнению с мелкими депозитами в банках и других сберегательных учреждениях.
• Благоприятный налоговый режим, правительства многих стран оказывают особое внимание взаимным фондам, устанавливая налоговый режим, благоприятствующий инвестициям в эти фонды.
ИНВЕСТИЦИОННЫЕ ФОНДЫ НА РЫНКАХ С НЕДАВНО ПРОШЕДШЕЙ ПРИВАТИЗАЦИЕЙ
Инвестиционные фонды — если они должным образом организованы и управляются — чрезвычайно жизнеспособная форма инвестирования. Они могут выжить в таких проблемных условиях, как неликвидные рынки, экономический спад и инфляция. Более того, они имеют мощный стимул для хорошего управления и сохранения доверия со стороны инвесторов, поскольку если они не сумеют этого сделать, они не смогут больше привлекать денежные средства.
В большинстве стран, в которых произошла массовая приватизация, коллективные инвестиционные фонды сыграли важную роль. В России на стадии массовой приватизации чековые инвестиционные фонды были именно такими фондами, но сейчас им на смену приходят фонды нового типа, которые называются паевыми инвестиционными фондами.
В долгосрочном плане имеются очень хорошие перспективы для развития инвестиционных фондов на развивающихся рынках стран Восточной Европы и бывшего Советского Союза. Однако чрезвычайно важно, чтобы они были должным образом организованы и имели системы и стандарты, на основе которых они смогут развиваться в ближайшие годы.
ВОПРОСЫ ДЛЯ САМОПРОВЕРКИ
1. В чем состоят основные причины роста этой отрасли?
6.2 ЮРИДИЧЕСКАЯ И ОПЕРАЦИОННАЯ СТРУКТУРА ФОНДА
Традиционно в управлении и обслуживании фонда участвуют следующие организации:
• Управляющая компания управляет имуществом фонда: принимает инвестиционные решения, осуществляет административное обслуживание инвесторов; для организации процесса продаж (и выкупов) управляющий может привлекать агентов по размещению
• Хранитель активов фонда (в зависимости от типа фонда и страны — депозитарий, попечитель, кастодиан) хранит и ведет учет имущества фонда, осуществляя при этом контрольные функции за законностью действий управляющей компании по отношению к имуществу фонда; является номинальным держателем активов фонда, осуществляет сделки с имуществом фонда по инструкции управляющего.
• Регистратор ведет реестр владельцев ценных бумаг фонда; иногда функции регистрации осуществляет управляющая компания;
• Аудитор проверяет правильность ведения учета и отчетности управляющей компанией фонда
Существует много форм организации инвестиционных фондов закрытого типа в зависимости от юридических систем и традиций финансового сектора соответствующей страны, но их цель везде одинакова. Два основных параметра, по которым отличаются фонды, это: 1) их юридическая структура и 2) их операционная структура.
С точки зрения юридической структуры фонды подразделяются на корпоративные фонды, трастовые фонды и контрактные фонды.
(1) КОРПОРАТИВНЫЕ ФОНДЫ
Наиболее распространенный тип фондов — корпоративный фонд, который организуется по подобию акционерного общества. Он осуществляет инвестиции от лица своих акционеров в акции и облигации других компаний; доход, полученный от таких инвестиций, распределяется среди акционеров фонда в виде дивидендов, а стоимость их пакетов акций растет (или падает) в соответствии с изменениями в стоимости инвестиций фонда. Владельцами корпоративного фонда являются акционеры, а управляют им от их имени директора компании. Управление инвестиционным портфелем фонда осуществляет независимая управляющая компания.
(2) ТРАСТОВЫЕ ФОНДЫ
В основе деятельности трастового фонда лежит четкое разделение между управляющей компанией фонда и попечителем (trustee). Попечитель отвечает за сохранность активов фонда и за соответствие деятельности фонда заявленным целям. Управляющая компания, по договору с попечителем, управляет инвестиционным портфелем фонда и, как правило, осуществляет административные процедуры. Такое разделение функций является дополнительным средством защиты для фонда и его инвесторов.
Фонды трастового типа наиболее распространены в Великобритании и странах, в которых также существуют традиции британского общего права, таких, как Австралия и бывшие колонии Великобритании; эта форма используется, хотя и редко, в Соединенных Штатах Америки.
(3) КОНТРАКТНЫЕ ФОНДЫ
По законам некоторых стран не разрешается создавать трасты для управления коллективными активами; в этих странах (в основном с системой романо-германского права или гражданского кодекса) была разработана контрактная форма фонда.
При такой форме юридическим собственником активов фонда является либо управляющий, либо инвесторы коллективно. За сохранность активов чаще всего отвечает банк или иной кредитный институт, дочерней структурой (или подразделением) которого является управляющий. Отделение функции управления фондом от функции хранения активов реализуется созданием китайских стен и подкрепляется высокой репутацией кредитных институтов и жестким контролем над ними со стороны регулятора.
Сами инвесторы — не акционеры, а участники, имеющие право пользоваться преимуществами прироста капитала и дивидендами, но не имеющие права голоса. Единственное право, которым они могут воспользоваться, — это право на продажу своих активов, т. е. если им не нравится, как ведется управление фондом, они могут выйти из него.
Этот тип фондов используется в Германии и Франции.
Следует также различать фонды с точки зрения операционных различий. Существуют фонды закрытого и открытого типа.
(1) ФОНДЫ ЗАКРЫТОГО ТИПА
В таком фонде имеется фиксированное количество акций, как в акционерном обществе, в юридической форме которой он обычно и создается. Поэтому когда акции фонда приобретаются каким-либо лицом, соответствующее их количество должно быть продано другим лицом — и эта операция проводится на фондовой бирже так же, как обычная передача акций. Создание и выпуск дополнительных акций или выкуп акций для аннулирования обычно требует согласия акционеров.
(2) ФОНДЫ ОТКРЫТОГО ТИПА
Фонд открытого типа имеет переменный капитал в отличие от фонда закрытого типа с фиксированным капиталом. Акции могут постоянно создаваться и ликвидироваться в зависимости от того, кого больше — покупателей или продавцов. Таким способом фонд может расширяться или уменьшаться со временем без необходимости организации серии собраний акционеров для получения разрешения на увеличение или уменьшение капитала. В фонде открытого типа акции можно купить в фонде или предъявить к выкупу регулярно, чаще всего ежедневно.
ВОПРОСЫ ДЛЯ САМОПРОВЕРКИ
1. В чем различие между контрактными, трастовыми и корпоративными фондами?
2. В чем различие фондов открытого и закрытого типа?
6.3 ОПРЕДЕЛЕНИЕ СТОИМОСТИ АКЦИЙ (ПАЕВ) ИНВЕСТИЦИОННЫХ ФОНДОВ
Одним из наиболее важных показателей, имеющим отношение к деятельности инвестиционных фондов, является стоимость чистых активов фонда. Стоимость чистых активов фонда — это разность всех активов фонда, оцененных по рыночной цене, или (в случае невозможности ее определения) по иной установленной процедуре и всех обязательств фонда. Стоимость чистых активов в расчете на одну акцию (пай) фонда принято называть стоимостью акции (пая).
Стоимость чистых активов фонда (СЧА) = Все активы фонда — Все обязательства фонда
Стоимость акций (пая) = СЧА фонда / Число акций (паев) в обращении
ЦЕНООБРАЗОВАНИЕ АКЦИЙ (ПАЕВ) ИНВЕСТИЦИОННЫХ ФОНДОВ
Формирование цены акций (паев) для целей покупки и продажи определяется операционной структурой фонда.
ФОНДЫ ОТКРЫТОГО ТИПА
В фонде открытого типа стоимость каждой акции (пая) рассчитывается регулярно с определенными интервалами. Акции продаются и выкупаются по цене, рассчитанной на основе стоимости акции, однако цена может не совпадать со стоимостью. Цена продажи (размещения) превышает стоимость на величину надбавки. Цена покупки (выкупа) акции у инвестора ниже стоимости акции на размер скидки. Надбавка и скидка используются для покрытия издержек на организацию процесса продаж и выкупов. В тех фондах, которые не используют надбавку и скидку (чаще всего это фонды, осуществляющие вложения в государственные ценные бумаги), акции продаются и выкупаются по цене, равной их стоимости.
ФОНДЫ ЗАКРЫТОГО ТИПА
Цена акций фонда закрытого типа определяется спросом и предложением на рынке, где обращаются эти акции. Разумеется, цена акции, стихийно устанавливаемая рынком, соотносится в большой степени с расчетной величиной стоимости акции. Однако обычно имеется какая-то разница между рыночной ценой и стоимостью акции. Если рыночная цена акции больше ее стоимости, то говорят, что существует премия. Если рыночная цена ниже стоимости акций, то говорят, что акция продается с дисконтом. Как правило, когда акция продается с премией, это отражает положительное мнение инвесторов по поводу инвестиционной политики фонда и соответствующими доходами для инвесторов.
| Таблица 2: Цена акции закрытого инвестиционного фонда и расчет премии (дисконта) |
| (а) Цена акции == цена акции на фондовой бирже 12 рублей |
| (б) Чистые активы фонда 1000 рублей |
| (в) Число акций, выпущенных фондом 100 штук |
| (г) Чистые активы на одну акцию (б/в) 10 рублей |
| (д) Премия = а—г 2 рубля |
| (е) Премия (%) = (Д/г) х 100 20°/о |
| Таблица 1: Определение цены ценной бумаги инвестиционного фонда с открытой операционной структурой |
| (а) Чистые активы фонда 1000 рублей |
| (б) Число акций (паев) 100 штук в обращении |
| (в) Стоимость акции (пая) == а/б 10 рублей |
| (г) Надбавка, взимаемая при 2% от стоимости акции продаже акции (пая) инвестору (пая) = 0,2 рубля |
| (д) Цена продажи акции (пая) 10,2 рубля инвестору (цена размещения) = в+г |
| (е) Скидка при покупке 2°о от стоимости акции акции (пая) у инвестора (пая) = 0,2 руб. (при выкупе) |
| (ж) Цена покупки акции 9,8 рубля (пая) у инвестора (Цена выкупа) = в—г |
ВОПРОСЫ ДЛЯ САМОПРОВЕРКИ
1. Как рассчитывается стоимость чистых активов на акцию в фонде?
6.4 СРАВНЕНИЕ ТИПОВ ФОНДОВ В РАЗНЫХ СТРАНАХ
Названия коллективных инвестиционных фондов в разных странах часто служат причиной путаницы. Но стоит запомнить, что как бы ни назывался фонд, его основная цель и методы работы везде одинаковы. Следующая таблица иллюстрирует международную практику:
Таблица типов фондов: названия и пути использования в разных странах
| Юридическая структура | Операционная структура | |
| Корпоративные | Открытого типа | Закрытого типа |
| Такие фонды создаются как необычная форма акционерной компании, которая может постоянно выпускать и выкупать акции. Законы многих стран создают сложности для такого типа фондов, но, несмотря на это, это наиболее распространенный вид фондов открытого типа в мире; именно к этому типу относятся взаимные фонды в США. | Это основная форма фондов закрытого типа, которые почти всегда создаются в виде акционерных обществ с фиксированным капиталом. Они могут выпускать новые акции, как любая другая акционерная компания, но для этого требуется разрешение акционеров и отдельный проспект; обычно они не выкупают свои акции. Это старейший тип инвестиционных фондов: инвестиционные трасты возникли в середине X IX века в Великобритании. | |
| США: взаимные фонды, Франция-. SICAV (инвестиционные общества с переменным капиталом). Также в Люксембурге, Дублине и некоторых других оффшорных центрах Великобритания: ОЕ1С (Инвестиционная компания открытого типа или акционерная компания). | Великобритания: инвестиционные трасты. США-. Инвестиционные компании закрытого типа. | |
| Трастовые | Фонд, созданный на основе контракта между управляющим и доверительным собственником (попечителем). Великобритания: паевые трасты. Эта форма также используется в странах бывшей Британской Империи: Австралии, Новой Зеландии, Гонконге, Малайзии. А также в Южной Африке, где эта форма опирается на традиции общего права, унаследованные от Великобритании |
Эта форма применяется инвесторами, которые желают вкладывать средства на очень ликвидных рынках и не хотят быть связанными с собраниями акционерови корпоративными процедурами. Технически это открытые фонды; "а практике они не создают новые акции (паи) по требованию, но могут выпустить новый транш акций "Р" достаточном спросе. Создаются в оффшорных зонах, таких, как Гернси и Дублин |
| Контрактные | Фонд, активы которого принадлежат управляющей компании, и участники которого не являются акционерами, но вместо этого имеют право участвовать в доходах. Германия: инвестиционные фонды. Италия: взаимные фонды. Шве йцария: взаимные фонды инвестиций. Япония: инвестиционные трасты. Недавно появились и в России в форме паевых инвестиционных фондов. |
Эта форма практически неизвестна. Существуют своего рода полузакрытые контрактные фонды, часто называемые интервальными фондами, которые выкупают свои акции с большими интервалами времени. |
ВОПРОСЫ ДЛЯ САМОПРОВЕРКИ
1. Укажите особенности функционирования фондов в США, Германии и Франции.
6.5 РЕГУЛИРОВАНИЕ ДЕЯТЕЛЬНОСТИ КОЛЛЕКТИВНЫХ ИНВЕСТИЦИОННЫХ ФОНДОВ
Поскольку владельцы фондов — тысячи или миллионы рядовых граждан, не являющихся специалистами в области финансов, государство заботится о принятии законов, защищающих интересы инвесторов. Типичный закон, как правило, должен включать следующие разделы:
Таблица: Типичное содержание базового законодательства
1. Определения
Дается определение инвестиционных фондов; определенные типы фондов намеренно исключаются из этого определения.
2. Классификация
Инвестиционные фонды группируются в разные категории. Две основные категории — это (1) фонды открытого типа и (2) фонды закрытого типа.
3. Структура управления
Здесь определяются взаимоотношения между руководством фонда (для корпоративных фондов), управляющим и доверенным лицом или иным попечителем активов фонда.
4. Комиссии и сборы
Здесь указывается способ взимания платы за управление и также могут устанавливаться верхние границы такой платы.
5. Регистрация и выдача лицензий
Описывается процедура получения лицензии для формирования фонда и управления им.
6. Полномочия органов регулирования
Здесь определяются полномочия органа регулирования и способ делегирования полномочий по регулированию другим органам, ответственным за конкретный сектор отрасли.
7. Заинтересованные лица
Этот раздел направлен на предупреждение конфликтов интересов, возникающих у управляющих фондами. Например, управляющие не могут одновременно быть попечителями.
8. Инвестиции и займы
Существуют некоторые ограничения на инвестиционную политику фонда. Например, фонд не может вкладывать больше определенного процента средств (например, 5%) в одну компанию.
9. Структура капитала
Многие фонды, особенно закрытого типа, состоят из ряда различных видов инвестиций, таких, как обыкновенные и привилегированные акции. Определяются типы акций, предлагаемых фондом, и связанные с ними права.
10. Отчеты
Фонды должны регулярно отчитываться перед органом регулирования и акционерами. Определяется содержание и периодичность отчетов.
11 . Ведение записей, учет и аудит
Законодательство определяет содержание и периодичность составления записей, процедуры учета и аудита.
12. Депозитарий
Определяются обязанности депозитария или попечителя.
13. Права акционеров или владельцев паев
Собственность на акции или паи инвестиционного фонда дает важные права, подробно описанные в базовом законодательстве.
14. Обязанности директоров
Юридические обязанности директоров инвестиционного фонда указаны в базовом законе в общей форме, а более полно описаны в подробных инструкциях.
15. Проспекты эмиссии, связи с общественностью и маркетинг
Цель базового закона — не допустить, чтобы компания делала дезинформирующие заявления.
16. Слияния и ликвидация
Указана процедура слияния и ликвидации инвестиционных фондов.
ВОПРОСЫ ДЛЯ САМОПРОВЕРКИ
1. Какие вопросы функционирования фондов должны регулироваться базовым законодательством?
6.6 РОЛЬ ОРГАНА РЕГУЛИРОВАНИЯ
За непосредственное регулирование и надзор обычно отвечает специализированный орган регулирования. Этим органом, обязанности которого определяются базовым законом, может быть одна или несколько из следующих организаций:
• Отдел в рамках правительственного министерства.
• Орган правительства, созданный с этой целью, под названием Комиссия по ценным бумагам или Комиссия по инвестициям.
• Саморегулируемый орган или организация, состоящая из практиков в данной области, с добровольной функцией регулирования под надзором правительственного органа.
ВОПРОСЫ ДЛЯ САМОПРОВЕРКИ
1. Какой орган обычно регулирует деятельность фондов?
ГЛАВА 7. РИСК, ХЕДЖИРОВАНИЕ И ДИВЕРСИФИКАЦИЯ
В этой главе рассматриваются понятие риска и методы защиты инвестиционных позиций, в том числе связанные с ликвидностью, хеджированием и диверсификацией. Также будут рассмотрены основы управления портфелем ценных бумаг.
7.0 ПОНЯТИЯ РИСКА, ХЕДЖИРОВАНИЯ И ДИВЕРСИФИКАЦИИ
Принятое определение риска гласит: “Перспектива того, что цена или ставка в будущую дату будет иной, чем ожидалось”.
И хотя в связи с риском основной причиной беспокойства является убыток, было бы справедливо сказать, что к риску получения прибыли можно относиться так же. Озабоченность возникает из-за неопределенности. Поскольку невозможно предсказать будущее с абсолютной точностью, важно учесть, особенно в области инвестиций, что очень мало шансов получить желаемый доход от инвестиции, если принять во внимание и цену, и время.
По сути, есть два вида риска: предполагаемый риск и реальный риск.
ПРЕДПОЛАГАЕМЫЙ РИСК
Это ожидание события, которое может произойти, или определенного результата известного события. Например, когда инвестор приобретает ценную бумагу, он только предполагает, что ценная бумага поднимется в цене и, возможно, также принесет ему доход (а иначе, зачем ему делать такую инвестицию?).
Он выбирает свои инвестиции на основании исследования или рекомендаций, ожидая (т. е. предполагая), что получит прибыль, хотя, возможно, он и понятия не имеет, сколько времени потребуется для появления такой прибыли. Следовательно, инвестиционное решение принимается, когда меняется предполагаемый риск. Таким образом, его предположения о риске связаны с тем, какую прибыль он получит, и на этом этапе, возможно, он игнорирует реальный риск.
РЕАЛЬНЫЙ РИСК
Реальность зачастую далека от предположений, и инвестиции могут упасть в цене с тем же успехом, что и подняться. Таким образом, реальный риск заключается в том, что стоимость инвестиции упадет, не говоря уже о неполучении прибыли. Реальный риск для фирмы по работе с ценными бумагами в том, что в случае убытков по инвестиции клиент не сможет покрыть этот убыток.
Научный подход к инвестированию предполагает, что реальный риск можно измерить. В задачи данного учебного пособия не входит более подробное рассмотрение моделей ценообразования по капитальным активам и анализа риска. Однако важно уяснить, что каждая фирма по работе с ценными бумагами обязательно должна убедиться в том, что ее клиенты осознают реальные риски при принятии инвестиционных решений.
Риск и доход
Здесь достаточно будет рассмотреть в общих чертах концепцию риска и дохода применительно к инвестициям. По существу, соотношение между риском и доходом оценивается так: чем выше риск, тем больше должен быть ожидаемый доход. Следовательно, при низком риске можно рассчитывать и на низкий доход.
ИЗМЕНЧИВОСТЬ
По мере развития рынков был принят способ измерения риска — изменчивость цен инвестиционных продуктов. По сути, изменчивость — это мера того, насколько бурным было изменение цены в смысле ее быстрого движения в короткие отрезки времени. Чем изменчивее цена, тем больше вероятность получения прибыли или убытков в короткие сроки.
Реально вопрос о риске при таких обстоятельствах заключается в том, какую разницу в цене может позволить себе инвестор прежде, чем принять решение о получении прибыли или убытка. Необходимо помнить, что в целом большинство инвесторов действуют быстро в случае прибыли, но медленно в случае убытков. В последнем случае, в связи с предполагаемым риском получения прибыли, инвесторы часто “надеются”, что их решение в конечном итоге окажется правильным. Опыт говорит о том, что хотя они могут быть и правы, удача поворачивается к ним лицом только после того, как они ограничивают свои убытки и выходят из данной позиции.
ЛИКВИДНОСТЬ
Как уже упоминалось, ликвидность — это степень легкости, с которой можно покупать и продавать активы или обменивать их на денежные средства. Чем выше общий интерес инвесторов к ценной бумаге, тем больше вероятный объем операций по этой ценной бумаге, и это должно создавать у инвесторов большую уверенность в том, что они смогут найти соответствующего контрагента, желающего заключить сделку в противоположном направлении по разумной цене.
Действительно, недостаток ликвидности по продукту часто приводит к отсутствию “прозрачности” рыночной цены, поскольку даже мелкие сделки могут оказать радикальное воздействие на цену данного инструмента. Например, если цена поднялась, например, со 100 до 180 за достаточно короткий отрезок времени, инвестор может решить, что хочет совершить продажу по этой цене. Однако, если подъем цены произошел при низком объеме операций (т. е. низкой ликвидности), он может обнаружить, что количество потенциальных покупателей по более высокой цене недостаточно. Показав рынку, что хочет продать, он может обнаружить, что цена начнет падать так же быстро, как и поднялась и, следовательно, он не сможет исполнить приказ на продажу. И наоборот, признак хорошей ликвидности рынка — когда при совершении операций в достаточно больших объемах цена не меняется.
На ликвидность может повлиять ряд факторов. Когда акции прочно связаны в контрольных пакетах, для публичных торгов может остаться только небольшое количество акций в свободном обращении. В таком случае ликвидность будет низкой и, следовательно, будет сложно покупать или продавать ценные бумаги в более или менее достаточных объемах. Соответственно именно по этой причине биржи допускают к торгам только те акции, количество которых в свободном обращении составляет не менее двадцати пяти процентов выпуска, и они настаивают, чтобы объем выпуска был не меньше минимально установленного.
На внебиржевых рынка, где операции в любом случае бывают менее прозрачными, а участники рынка могут находиться далеко друг от друга, это может привести к так называемому раздробленному рынку (т. е. не все участники имеют равный доступ к одной информации одновременно). Раздробленный рынок по какой-либо ценной бумаге может сложиться и тогда, когда дилеры имеют право заключать сделки по этой бумаге в разных местах (например, на региональных фондовых биржах и там, где наряду с фондовой биржей существует внебиржевой рынок), и это может привести к недостаточному раскрытию цен для тех, кто не заключает сделок в наиболее популярных рыночных центрах.
На тех рынках, где работают маркет-мейкеры, в их обязанности входит, наряду с результатами арбитражной деятельности, поощрять и обеспечивать ликвидность рынка. Соответственно при покупке ценной бумаги знать о том, насколько легко ее можно продать, так же важно, как и иметь возможность приобрести ее по низкой цене. Профессиональные инвесторы больше склонны торговаться при покупке, чем пытаться договориться о лучшей цене при продаже.
ДИВЕРСИФИКАЦИЯ
Портфель ценных бумаг может состоять из одной ценной бумаги или их сочетания. Такой портфель может содержать обыкновенные акции, привилегированные акции, краткосрочные бумаги с фиксированным доходом, облигации, необеспеченные обязательства, варранты и даже производные инструменты. Смесь или специализация зависит от представлений инвестора о рынке, его терпимости к риску и ожидаемого дохода.
Портфель может состоять из инвестиции в одну компанию или множество компаний. Инвестиции также могут быть в компании одного сектора или широкого круга отраслей. В идеале портфель должен состоять из ценных бумаг широкого спектра отраслей.
Причина диверсификации — в попытке распределить риск по портфелю, поскольку с каждой ценной бумагой и с каждой отраслью связаны свои риски. Предполагается, что инвестор отрицательно относится к риску. Это означает, что инвестор не будет брать на себя неоправданный риск. Диверсификация портфеля снижает риск, поскольку общая сумма рисков по каждой ценной бумаге в портфеле не равна риску по портфелю в целом.
Современная теория портфеля была сформулирована Гарри Марковитцем в работе, опубликованной в 1952 году. Вкратце эта теория утверждает, что максимальный доход от портфеля не должен быть основой для принятия решения из-за элементов риска. Для сведения риска к минимуму портфель нужно диверсифицировать. Уменьшение риска, однако, означает и снижение доходности. Таким образом, при снижении риска доходы от портфеля должны быть оптимизированы. Фактически нужен такой портфель, в котором соотношение риска и дохода было бы приемлемым для инвестора.
Само собой разумеется, что у каждого инвестора свое отношение к риску — его неприятие или стремление к нему в зависимости от угла зрения. Некоторые инвесторы предпочитают высокий риск, в то время как другие стремятся свести его к минимуму. Естественно, что чем выше риск, тем выше должен быть ожидаемый доход.
В то время, когда была выдвинута эта теория, основные усилия управляющих фондами были направлены на отбор ценных бумаг. Это означало, что доходность портфеля базировалась на лучшей ценной бумаге, которую управляющий мог выбрать для повышения дохода от портфеля. Риск как фактор определения надежности портфеля не играл особо большой роли в процессе принятия решений.
Диверсификация по Марковитцу представляет собой сочетание ценных бумаг, имеющих менее чем позитивную корреляцию с тем, чтобы сократить риск, не сокращая ожидаемого дохода. В целом, чем меньше корреляция между ценными бумагами, тем меньше степень риска по портфелю. Это действительно так, независимо от риска по ценным бумагам, взятым по отдельности.
Для того, чтобы сделать колебание доходов по портфелю маленьким, недостаточно вложить средства в большое количество ценных бумаг. Однако необходимо избегать инвестиций в ценные бумаги с большой степенью ковариации между собой.
Наивный вариант диверсификации — это совет “не класть все яйца в одну корзину”. С точки зрения портфельных инвестиций, это означает, что одно-единственное событие может отрицательно сказаться на всем портфеле. Следовательно, вложение средств в разные ценные бумаги или инвестиции снизит общий риск по портфелю так, что ни одна отдельно взятая инвестиция не окажет на него общего радикального воздействия.
СОВРЕМЕННАЯ ТЕОРИЯ ПОРТФЕЛЯ
Так называемая современная теория портфеля (хотя она и была сформулирована в 1952 г.) дает дополнительный инструмент минимизации риска: ковариацию (или корреляцию) между ценными бумагами.
Инвесторы узнают по опыту, что существует риск неполучения ожидаемого дохода от конкретной инвестиции. Этот риск можно разделить на две части.
Рыночный риск
Рыночный риск (системный или недиверсифицируемый риск) — это минимальный уровень риска, которого можно достичь путем диверсификации по широкой группе ценных бумаг. Колебания дохода зависят от экономической, психологической и политической обстановки, воздействующей одновременно на все ценные бумаги.
Специфический риск
Специфический риск (несистемный или диверсифицируемый риск) вызывается событиями, относящимися только к компании или эмитенту, такими, как управленческие ошибки, новые контракты, новые продукты, слияния и приобретения и т. п.
30-летнее исследование ценных бумаг, обращавшихся на Нью-йоркской фондовой бирже (1927—1960), показало, что примерно половина вариации типичной ценной бумаги объясняется рыночным риском, а другая половина специфическим риском.
В результате исследования возник вопрос: какое количество ценных бумаг достаточно для значительного сокращения специфического риска? Естественно, что многие инвесторы предполагают, что портфель с 20 ценными бумагами диверсифицирован в два раза лучше, чем портфель с 10 ценными бумагами.
Данные исследований, проведенных в США, показывают, что 7—10 ценных бумаг в принципе достаточно для достижения приемлемого уровн я диверсификации, при котором устраняется 70—80% специфического риска. На деле требуемое количество ценных бумаг может быть еще меньше, поскольку выбор ценных бумаг для этих исследований был случайным.
Теория Марковитца об использовании корреляции (ковариации) между ценными бумагами также способствует сокращению рыночного риска в дополнение к специфическому риску, и поэтому количество ценных бумаг в портфеле можно сократить еще больше.
В основе диверсификации по Марковитцу лежит идея о сочетании ценных бумаг, имеющих менее чем позитивную корреляцию с тем, чтобы сократить риск не сокращая ожидаемого дохода. Проще говоря, это означает включение в портфель ценных бумаг, из которых при обычных условиях одна поднимается в цене в то время, как другая падает. В течение некоторого времени изучалась доходность портфелей, диверсифицированных в соответствии с моделью ковариации Марковитца. Результаты показали, что использование ковариации не снизило общий риск ниже уровня, который мог бы быть достигнут путем “наивной” диверсификации. Однако такой уровень снижения риска был достигнут при гораздо меньшем количестве ценных бумаг в портфеле. Действительно, портфели по Марковитцу часто состояли из половины ценных бумаг по сравнению с диверсифицированными по “наивной” схеме. Это можно также выразить как создание доходов, в два раза превышающих уровни наивной диверсификации при той же величине риска. Если же принять во внимание еще и экономию за счет более низких затрат на заключение сделок, доходность таких портфелей была значительно выше.
На практике большинство портфелей обычно слишком диверсифицированы в том смысле, что они состоят из слишком большого количества ценных бумаг. Хотя цель включения такого большого количества бумаг — диверсификация портфеля, на практике результаты от этого становятся хуже. На деле многие профессиональные портфели (для инвестиционных фондов, пенсионных фондов и страховых компаний) часто содержат 50, 100 или более ценных бумаг. Однако действительная причина такого явления в том, что во многих случаях размеры этих фондов так велики, что для них не достаточно акций нескольких наименований — иначе им пришлось бы иметь только контрольные пакеты. На практике приходится тратить управленческие ресурсы и время на то, чтобы обновлять информацию по чрезмерному количеству ценных бумаг, содержащихся в таком портфеле. Следует заметить, что попытка отслеживать и быть в курсе событий по большому количеству ценных бумаг требует больших затрат времени.
Хеджирование
Если диверсификация — это процесс распределения средств по инвестициям в целях сокращения риска, то хеджирование — это процесс, направленный на снижение риска по основной инвестиции.
Большинство арбитражных сделок — это форма хеджирования, когда трейдер пытается получить небольшую прибыль за счет неправильного соотношения цен между двумя сходными инструментами, но при этом не обязательно подвергается рыночному или специфическому риску. С точки зрения Марклвитца, полный хедж создается тогда, когда позиции по двум инструментам приводят к противоположной корреляции и соответственно, с точки зрения цены, движутся в противоположных направлениях.
Все производные инструменты являются естественными продуктами для использования при хеджировании. В разделе 5.3 рассматривались концепции хеджа производителя и потребителя. Они показывали использование фьючерсных контрактов для компенсации позиций, подверженных риску (т. е. стоимости базового инструмента) с тем, чтобы гарантировать возможность либо продажи, либо покупки товара или ценной бумаги, лежащих в основе фьючерсного контракта.
Другие производные также могут использоваться в качестве инструментов хеджирования при условии, что трейдер определит соотношение в изменении цен на два инструмента. Например, покупка акций и продажа эквивалентной депозитарной расписки; покупка акции и продажа соответствующего количества конвертируемых облигаций; и покупка портфеля акций и продажа фьючерсов на соответствующий индекс фондового рынка. В первых двух случаях необходимо, чтобы регулирование и практика позволяли короткую продажу таких инструментов (и чтобы их можно было взять в кредит для осуществления поставки).
Опционы или сочетание опционов колл и пут также могут быть использованы в целях хеджирования. Например, если у инвестора имеется акция по цене 100, он может приобрести трехмесячный опцион пут с ценой исполнения 100 за 4 (что дает ему право, но не обязанность на продажу акций по 100). Фактически инвестор захеджировал только свой риск на случай падения цены: если цена акции упадет, он может быть уверен, что продаст акции за 96 (т. е. 100 минус премия 4). Однако, если цена акции поднимется, он потеряет только 4, но получит оставшуюся часть повышения цены.
Некоторые трейдеры, особенно маркет-мейкеры, могут предпринять хеджирование иного рода, при котором разные ценные бумаги используются в качестве альтернативных инструментов хеджирования. Опять же этот процесс требует, чтобы трейдеры имели возможность совершения коротких продаж. В этом случае или в случае отсутствия доступа к подходящим производным инструментам трейдер может продать акции одного банка или нефтяной компании и купить акции банка или нефтяной компании сходного качества.
Часто в течение года цены на акции таких сходных компаний меняются в тандеме друг с другом, хотя необязательно с одинаковой скоростью. Следовательно, это также можно считать частичным хеджированием. Приобретение акций в целях покрытия должно хотя бы отчасти защитить трейдера от обычных рыночных изменений цен на акции, которые, возможно, ему пришлось продать. Хотя такая мера в целом дает защиту от рыночного риска, она, естественно, не защищает от специфического риска.
ВОПРОСЫ ДЛЯ САМОПРОВЕРКИ
1. Дайте определение риска.
2. Что имеется в виду под ликвидностью?
3. Какова цель диверсификации портфеля?
4. Объясните разницу между хеджированием и диверсификацией.
5. Приведите несколько примеров хеджирования на практике.
7.1 ОСНОВЫ УПРАВЛЕНИЯ ПОРТФЕЛЕМ ЦЕННЫХ БУМАГ
В целом считается, что в глобальном или международном плане инвестиции можно осуществлять, используя два подхода: “сверху вниз” и “снизу вверх”. Первый из них начинается с рассмотрения потенциала эффективности валюты и в конечном итоге заканчивается отбором конкретных инвестиций, а второй заключается в отборе отдельных ценных бумаг для заключения сделок до рассмотрения всех прочих соображений.
Если следовать подходу “сверху вниз”, все начинается с изучения макроэкономических вопросов (т. е. изучения рыночных сил, спроса и предложения, политических влияний и государственных потребностей в бюджете и финансировании). При проведении экономических исследований изучается огромное количество правительственной информации и статистики и путем моделирования результатов и выдвижения предположений по поводу моделей роста делается попытка оценить уровень инфляции в стране, изменения в денежном обращении, вероятные потребности государства в финансировании, потенциальные ограничения и направление изменения процентных ставок, а также вероятное воздействие на международные валютные курсы. В результате этого исследования выдвигаются предположения по поводу вероятного изменения цен на облигации и определяется потенциал изменения цен на акции в сравнении с возможной доходностью.
Поскольку на деле каждый рынок капитала конкурирует со всеми остальными рынками капитала, следующая стадия — анализ стран. При этом экономисты делают сравнительный анализ данных по другим странам, поскольку международные инвесторы стремятся к наивысшей доходности своих инвестиций в пересчете на свою национальную валюту. Таким образом, следует учесть, что даже если, например, облигации одной страны имеют доходность 10%, а другой страны — 25%, необязательно, что вторые дают большую прибыль. Вполне вероятно, что высокая доходность во втором случае направлена на поддержание слабой валюты. В этом случае может оказаться, что даже более низкая доходность в валюте инвестора даст большую прибыль. На этом этапе даются рекомендации по поводу приобретения (или продажи) государственных облигаций.
После того, как при помощи исследования выявлены различные элементы риска на уровне стран, необходимо уделить внимание анализу отраслей в рамках каждой страны. Многие отрасли имеют циклический характер. Это значит, что они проходят через этап реорганизации (или начальную стадию); за ним следует этап консолидации, этап роста потребления (или поставок); и, наконец, стадия зрелости, на котором либо наступает насыщение рынка, либо вводятся новые и конкурентоспособные продукты. Само собой разумеется, что за стадией зрелости обычно следует еще один этап реорганизации.
В связи с этим предметом инвестиционных исследований здесь будет этап, на котором та или иная отрасль находится в данный момент и потенциал роста для отраслей. Кроме того, у разных отраслей циклы имеют разную продолжительность и приносят разный доход и прибыль на задействованный капитал. Также рассматриваются действия правительства, например, налоги, субсидии и т. д., альтернативные продукты, затраты на финансирование, денежные потоки и наличие нового капитала.
После проработки всех этих моментов следующий уровень исследований — это анализ компаний, при котором изучаются не только все вышеупомянутые факторы, но также и финансовые аспекты и финансовая и будущая коммерческая жизнеспособность самой компании. Счет прибылей и убытков, баланс, анализ денежных потоков и отчет директоров содержат важный материал для этого этапа программы анализа. Пожалуй, самый важный элемент в этом анализе — это результаты деятельности компании в прошлом и качество руководства, а также прогнозы на будущее по поводу деятельности компании и качества руководства. Как видно из предыдущих замечаний, этот уровень является отправной точкой для подхода “снизу вверх”.
Что касается анализа продуктов для инвестирования, считается, что в целом имеется два четких подхода к конкретному отбору: технический и фундаментальный анализ. Последний проводится на основе уже упомянутых факторов. Доступные подробные финансовые показатели используются для расчета широкого спектра коэффициентов. Исходя из этих коэффициентов аналитик определяет ряд норм прибыли и роста и может оценить в цифрах будущую доходность компании. Самый важный из отслеживаемых коэффициентов — это отношение цены к доходу на акцию (Р/Е). Он представляет собой число лет, за которое компания сможет окупить (с точки зрения прибыли) цену своей акции. Чем выше значение этого коэффициента, тем больше должна быть уверенность инвесторов в перспективах компании на будущее.
В техническом анализе используется графический и математический подход к анализу изменения цен в прошлом. Этот подход основывается на базовом предположении, что модели изменения цены повторяются и различимы. Здесь требуется сбор и изучение огромного объема данных. Затем цены изображаются графически с использованием графика с осями х и у для характеристик цены и времени. По сути, технические аналитики занимаются поиском тенденций (“трендов”) и поворотных моментов в этих трендах. Также важно изучить степень изменчивости (крайние значения изменения цены за определенные промежутки времени) и то, что известно под названием “среднее скользящее значение” (т. е. придание более поздним ценам большего веса по сравнению с более ранними).
Существенные различия в этих двух подходах заключаются в следующем: технический анализ исходит из того, что история цен имеет важнейшее значение для определения вероятных будущих цен, в то время как фундаментальный анализ основывается на расчете будущей стоимости (и ее дисконтировании до текущей стоимости), исходя из убеждения, что то, что происходило раньше, не оказывает влияния на вероятные будущие цены. И хотя эти подходы диаметрально противоположны, в практике торговли фундаментальный анализ, как правило, используется для принятия долгосрочных инвестиционных решений, а технический — для определения времени осуществления инвестиции (покупки или продажи).
СТРУКТУРА ПОРТФЕЛЯ
Структура портфеля полностью зависит от требований к инвестициям выгодоприобретателя (бенефициара) портфеля. Подход к созданию портфеля и консультированию по вопросам инвестиций формируется с учетом потребностей, целей и требований бенефициара.
Наиболее важные факты, которые необходимо определить с самого начала, это: хочет ли или нуждается ли клиент в регулярном доходе от портфеля; хочет ли он, возможно, по соображениям личного налогообложения, иметь только прирост капитала и не иметь других доходов; хочет ли он прироста капитала в краткосрочном или долгосрочном плане; есть ли у него или собирается ли он иметь какие-либо краткосрочные капитальные обязательства (этим может определяться объем близких к наличности активов в портфеле); хочет ли он иметь сочетание дохода и прироста капитала или, возможно, небольшой постоянный доход от портфеля; и будут ли установлены какие-либо инвестиционные лимиты или ограничения по странам, валютам, секторам, типам компаний, типам продуктов и т. д., которые необходимо учесть. Наконец, управляющий должен выяснить отношение клиента к риску, например, хочет ли он портфель с низкой, средней или высокой степенью риска.
При любом портфеле почти наверняка будет необходимость в некоторой сумме денег на депозите. Этим преследуются две цели.
• Если клиенту срочно потребуются средства, управляющему его инвестициями не понадобится продавать ценные бумаги, особенно если на рынке в данный момент не очень благоприятная ситуация, и
• Если управляющий найдет ценную бумагу, которую он особенно хотел бы приобрести (возможно, новый выпуск), опять же ему не придется продавать другие бумаги.
Далее, в качестве своего рода защитного механизма, в портфель, скорее всего, войдут облигации. Это будет часть портфеля с низкой степенью риска, которая также будет приносить доход и, возможно, небольшой прирост капитала в долгосрочном плане.
В более крупных портфелях может также находиться недвижимость (т. е. здания), поскольку за исключением конца 80-х и начала 90-х годов цены на недвижимость на рынках капитала постоянно росли. Этот актив может приносить определенный доход (т. е. арендную плату), а также средне- и долгосрочный прирост капитала.
Если двигаться вверх по шкале риска, следующая часть портфеля, возможно, будет состоять из долевых ценных бумаг (обыкновенных акций). Здесь может иметься ряд различных компаний из разных отраслей, что должно обеспечить разнообразную смесь из качественных бумаг, приносящих долгосрочный доход, и более рисковых акций, выпущенных для оздоровления компании, и акций новых выпусков.
Производные инструменты также нередко используются в портфеле. В некоторых случаях — для снижения риска, т. е. покупка опционов пут; продажа опционов колл (для получения дополнительного дохода); или использование фьючерсов для защиты позиций (вместо того, чтобы продавать акции и платить налоги) или для переключения с одного класса активов на другой (также называется распределением средств по классам активов).
Производные инструменты могут также включаться для повышения степени риска за счет эффекта финансового рычага для части инвестиционного портфеля.
В каждую из вышеперечисленных групп могут войти не только национальные, но также и зарубежные ценные бумаги.
В целом, хотя результат во многом зависит от целей клиента, типичный портфель может состоять из следующих инвестиций:
4 Денежные средства на депозите 4%
2 Облигации с фиксированным доходом (включая конвертируемые) 20%
1 Недвижимость (здания) 10%
4 Акции национальных компаний 40%
2 Акции зарубежных компаний 26%
1 Итого 100%
Примечание: производные инструменты включены в соответствующие разделы.
ВОПРОСЫ ДЛЯ САМОПРОВЕРКИ
1. Что означает подход к инвестированию “сверху вниз”?
2. Почему международные инвесторы не всегда покупают зарубежные государственные облигации с самой высокой доходностью?
3. Опишите основные различия между техническим и фундаментальным анализом.
4. Какие основные факторы нужно определить прежде, чем формировать инвестиционный портфель клиента?
5. Опишите простую структуру инвестиционного портфеля.
ВВЕДЕНИЕ
РАЗВИТИЕ РЫНКА ЦЕННЫХ БУМАГ В РОССИИ И ЗАДАЧИ РЕГУЛИРОВАНИЯ
Рынок ценных бумаг в России начал свое формирование в первой половине 1991 г. после принятия известного Постановления Совета министров РСФСР ¹ 601 от 25 декабря 1990 г. “Об утверждении Положения об акционерных обществах”. Для этого — первого — этапа были характерны такие процессы, как появление первых открытых АО, появление государственных облигаций на биржевых торгах, создание сотен бирж, начало функционирования первых инвестиционных компаний и др. К концу этого этапа в основном было закончено формирование первичной нормативной базы развития рынка ценных бумаг. Постановление Совета министров РСФСР ¹ 78 от 28 декабря 1991 г. “Об утверждении Положения о выпуске и обращении ценных бумаг и фондовых биржах в РСФСР” на 5 последующих лет стало основным документом в этой области (за исключением приватизируемых предприятий).
Основными формальными вехами его второго этапа развития РЦБ стали система приватизационного законодательства 1992—1994 гг. и создание и развитие организованного рынка государственных ценных бумаг в 1993-1995 гг.
Наибольшее влияние на развитие рынка в 1992—1994 гг оказал Указ Президента РФ ¹ 721 от 1 июля 1992 г. “Об организационных мерах по преобразованию государственных предприятий, добровольных объединений государственных предприятий в акционерные общества”. Технология чековой (ваучерной) приватизации стала в свою очередь решающей для развития инфраструктуры рынка ценных бумаг.
По имеющимся оценкам, именно в 1994 г. рынок ценных бумаг в России впервые стал оказывать сильнейшее влияние на общеэкономическое и даже политическое развитие страны. Так, расширение рынка государственных краткосрочных бескупонных облигаций (ГКО) в 1994 году позволило в определенной мере уменьшить размер свободных денежных ресурсов, оказывавших негативное воздействие на курс рубля к доллару и на темпы инфляции.
Увеличившийся размер сбережений населения вызвал к жизни значительное количество эмитентов, хотя и крайне низкой степени надежности, ориентированных на работу с населением. Также в 1994 г. впервые началось использование ценных бумаг для разрешения кризиса неплатежей. 1994 год ознаменовался также осуществлением первых крупных вложений иностранных инвесторов в акции российских приватизированных предприятий.
Таким образом, в 1994 г. совпали во времени два качественных сдвига: во-первых, резко увеличилось предложение ценных бумаг вследствие интенсификации эмиссионной деятельности (эмиссия акций приватизированных предприятий, государственных ценных бумаг, а также активизация компаний, аккумулирующих средства населения), и, во-вторых, резко увеличился спрос на инвестиционные ценности (за счет иностранных инвесторов, формирования устойчивого слоя населения, обладающего сбережениями долгосрочного характера, которые могут быть инвестированы в том числе в ценные бумаги, а также притока на рынок средств банков и других финансовых структур в результате снижения прибыльности операций на валютном и кредитном рынках ).
С окончанием реализации модели массовой приватизации (1992— 1994 гг.) в России завершается в значительной мере количественный этап институциональных преобразований. Его важнейшим итогом стало формирование новых экономико-правовых механизмов и институциональных структур:
* корпоративного сектора экономик и (свыше 50 000 зарегистрированных АО) ;
* биржевого и внебиржевого рынков корпоративных ценных бумаг, включая инфраструктуру торговли и вторичный рынок акций приватизированных предприятий;
* системы (пока переходной, но уже довольно мощной) институциональных инвесторов;
* социального слоя, который даже с учетом его крайней неоднородности и недостаточной правовой защищенности можно назвать слоем собственников (около 40 млн. акционеров по итогам массовой приватизации).
Эти факторы в значительной степени определили и последующую динамику рынка. В результате столь быстрого роста рынка потребности эмитентов и инвесторов переросли те возможности, которые предоставляет инфраструктура рынка. Если в 1992—1993 гг. можно было говорить о том, что развитие инфраструктуры опережало развитие рынка в целом, то в 1995—1996 гг. ситуация поменялась на обратную. Быстрое развитие рынка также поставило в качестве одного из ключевых вопрос о создании новой нормативной базы.
Для современного этапа развития рынка ценных бумаг характерны следующие основные признаки:
• появление в 1994—1997 гг. законодательной и нормативной базы, определяющей институционально-регулятивные аспекты функционирования рынка ценных бумаг в России;
• позитивные качественные изменения 1994—1997 гг., связанные с развитием инфраструктуры — около 200 лицензированных регистраторов, 6 лицензированных депозитариев и подготовка к созданию центрального депозитария, создание и развитие Российской торговой системы, формирование системы саморегулируемых организаций участников рынка);
• общие благоприятные тенденции и значительные резервы в развитии ликвидности и капитализации рынка, возрастание стабильности рынка;
• вступление в силу в 1996 г. законов РФ “Об акционерных обществах” и “О рынке ценных бумаг”.
Следует также принять во внимание пока еще формирующийся и промежуточный характер национальной модели как рынка ценных бумаг, так и корпоративного управления (контроля), поэтому любые окончательные выводы относительно типа национальной российской модели пока невозможны. Тем не менее уже сегодня очевидно, что в России идет процесс интенсивного формирования собственной модели рынка, которая должна вобрать в себя все лучшее, что уже создано в мире.
Такой подход к развитию российского рынка ценных бумаг, в частности, предусматривается в Концепции развития рынка ценных бумаг в Российской Федерации, утвержденной указом Президента Российской Федерации ¹ 1008 от 1 июля 1996 г. “Об утверждении Концепции развития рынка ценных бумаг в Российской Федерации”.
Исключительно важная роль рынка ценных бумаг для мобилизации и предоставления российской экономики инвестиционных ресурсов обусловливает необходимость активной и целенаправленной политики государства в отношении развития рынка ценных бумаг, формирование модели регулирования рынка, которая будет адекватна конкретным условиям российской экономики, национальным интересам и традициям.
ГЛАВА 8. ПРАВОВЫЕ ОСНОВЫ ВЕДЕНИЯ ПРЕДПРИНИМАТЕЛЬСКОЙ ДЕЯТЕЛЬНОСТИ НА РЫНКЕ ЦЕННЫХ БУМАГ
8.0 ПОНЯТИЯ И ИЕРАРХИЯ ЗАКОНОДАТЕЛЬНОЙ И НОРМАТИВНОЙ БАЗЫ
Российский рынок ценных бумаг регулируется гражданским правом посредством совокупности общеобязательных правовых актов, издаваемых органами государственной власти в установленной форме с соблюдением определенной процедуры — законодательства РФ.
Акты гражданского законодательства образуют иерархическую систему. На верхнем уровне находится Конституция РФ. Остальные акты законодательства не должны ей противоречить. В Конституции определены пределы полномочий субъектов РФ, в рамках которых они могут принимать собственные законодательные акты, а также полномочия Российской Федерации. Гражданское законодательство отнесено к ведению федеральных органов государственной власти, т. е. в своей основе едино на всей территории РФ.
Собственно гражданское законодательство имеет в качестве фундамента Гражданский кодекс (ГК), в котором описаны основные понятия и их взаимоотношения Остальные законы и другие правовые акты, регулирующие гражданские правовые отношения, не должны ему противоречить (ст. 1—4 ГК).
Следующий уровень составляют законы РФ, например, Закон “О рынке ценных бумаг”, Закон “Об акционерных обществах” и другие. Конституция, кодексы и законы относятся к законодательным актам. Однако законодательство ими не ограничивается: существует множество иных актов законодательства или подзаконных актов. Рассмотрим вкратце их систему.
Указы Президента РФ занимают следующий за законами уровень, они не могут противоречить принятым законам РФ.
Органы исполнительной власти (Правительство, министерства и ведомства) вправе принимать свои нормативные акты на основании и во исполнение актов законодательства и указов Президента. Они должны ограничиваться областью компетенции издавшего их органа власти и, естественно, не противоречить законодательным актам.
К таким актам законодательства относятся постановления Правительства, различные письма и инструкции, правила, положения и т. п.
В случае, когда акт законодательства затрагивает права граждан или носит межведомственный характер, он подлежит регистрации в Министерстве юстиции РФ, после которой и приобретает юридическую силу.
Компетенция территориальных органов власти и управления, а значит и статус выпущенных ими правовых актов, определяется законами, регулирующими их деятельность.
Отметим, что, как правило, законы не имеют обратной силы, т. е. их действие не распространяется на правовые отношения, возникшие до вступления в силу соответствующего закона, однако, возможны исключения, прямо оговоренные в законе.
В случаях, когда в актах гражданского законодательства явно не указаны какие-либо нормы, регулирующие те или иные правоотношения, используются так называемые обычаи делового оборота, или законодательство применяется по аналогии.
Обычаем делового оборота (ст. 5 ГК) признается сложившееся и широко применяемое в какой-либо области предпринимательской деятельности правило поведения, не предусмотренное законодательством, независимо от того, зафиксировано ли оно в каком-либо документе. Обычаи делового оборота, противоречащие обязательным для участников соответствующего отношения положениям законодательства или договору, не применяются.
Когда предусмотренные соответствующими статьями ГК отношения прямо не урегулированы законодательством или соглашением сторон и отсутствует применимый к ним обычай делового оборота (ст. 6 ГК), к таким отношениям, если это не противоречит их существу, применяется гражданское законодательство, регулирующее сходные отношения (аналогия закона). При невозможности использования аналогии закона права и обязанности сторон определяются исходя из общих начал и смысла гражданского законодательства (аналогия права) и требований добросовестности, разумности и справедливости.
Международные договоры, которые заключила Российская Федерация, так же, как и общепризнанные нормы международного права, считаются частью российского законодательства, а следовательно, обязательны к исполнению. Более того, в случае разночтений международного и внутреннего гражданского законов приоритет отдается международному.
Иногда международный договор действует не непосредственно, но обязывает Российскую Федерацию принять соответствующий внутренний закон. Типичным примером является Женевская конвенция 1930 г., которая предписывает принять соответствующий закон о простом и переводном векселе. Россия присоединилась к ней в 1936 г., в 1937 г. был издан соответствующий акт, по сути, являющийся , переводом образца, установленного этой конвенцией. В 1997 г. был принят новый Закон “О простом и переводном векселе”.
Гражданское законодательство можно разделить на два крупных раздела: вещное право и обязательственное право.
Вещное право отражает отношения субъектов права (физических и юридических лиц, органов государственной или местной власти), возникающие по поводу того или иного объекта, как правило, вещи. Право собственности устанавливает отношения собственника со всеми прочими субъектами права. В этом смысле оно фиксирует как бы моментальное отражение правоотношений. Правила возникновения и перехода права собственности от одного лица к другому также относятся к вещному праву.
Далее необходимо прежде всего установить субъекты гражданского права и объекты, по поводу которых они вступают в правоотношения.
ВОПРОСЫ ДЛЯ САМОПРОВЕРКИ
1. Что входит в понятие “законодательство”?
2. Опишите иерархическую систему актов гражданского законодательства.
3. В каком случае акт законодательства должен быть зарегистрирован в Министерстве юстиции?
4. В каком случае и почему применяются обычаи делового оборота?
5. Укажите два крупных раздела гражданского законодательства.
8.1 СУБЪЕКТЫ И ОБЪЕКТЫ ГРАЖДАНСКОГО ПРАВА
К субъектам гражданского права, которые вступают в гражданско-правовые отношения, относятся физические лица, юридические лица и государство или муниципальные образования.
По российскому законодательству физические лица становятся правоспособными (т. е. могут иметь права, например, владеть недвижимостью) с момента рождения, но становятся полностью дееспособными, т. е. могут сами осуществлять действия во исполнение этих прав (например, продавать принадлежащую ему недвижимость) с 18 лет.
Юридическое лицо — некая абстракция, описывающая организацию (возможно, даже из одного человека), способную самостоятельно выступать в качестве субъекта гражданского права. Не всякая организация является юридическим лицом. Например, отдел или факультет института таковыми не являются. Юридическое лицо характеризуется следующими свойствами.
* Организационная целостность. Это свойство означает, что юридическое лицо обладает всеми подразделениями, необходимыми для его деятельности. Организационная целостность закрепляется в Уставе юридического лица, в котором подробно описываются цели его деятельности, органы управления, отношения с учредителями и др.
* Имущественная обособленность. Это свойство означает, что юридическое лицо может иметь в своей собственности имущество, которое не принадлежит никому из физических лиц (в частности, его учредителям), и самостоятельно им распоряжаться.
* Юридическое лицо от своего имени вступает в правовые отношения с другими лицами, т. е. является субъектом права. Для этого оно должно иметь наименование и место нахождения (юридический адрес), определяемое местом его регистрации.
* Юридическое лицо отвечает по своим обязательствам всем принадлежащим ему имуществом (за исключением учреждений, целиком финансируемых собственником).
Согласно ст. 48 ГК, юриди ческим лицом признается организация, которая имеет в собственности, хозяйственном ведении или оперативном управлении обособленное имущество и отвечает по своим обязательствам этим имуществом, может от своего имени приобретать и осуществлять имущественные и личные неимущественные права, нести обязанности, быть истцом и ответчиком в суде. Юридические лица должны иметь самостоятельный баланс или смету. В связи с участием в образовании имущества юридического лица его учредители (участники) могут иметь обязательственные права в отношении этого юридического лица либо вещные права на его имущество.
Юридические лица, в отношении которых их участники имеют обязательственные права:
* хозяйственные общества,
* производственные кооперативы,
* потребительские кооперативы.
Юридические лица, на имущество которых их учредители имеют право собственности или иное вещное право:
• государственные и муниципальные унитарные предприятия, в том числе дочерние предприятия,
• финансируемые собственником учреждения.
Юридические лица, в отношении которых их учредители (участники) не имеют имущественных прав:
* общественные и религиозные организации (объединения),
* благотворительные и иные фонды,
* объединения юридических лиц (ассоциации и союзы).
Одна из основных причин создания юридически лиц — возможность разделения имущественной ответственности между юридическим лицом и его учредителями или собственниками. Это может быть сделано разными способами, в зависимости от так называемой организационно-правовой формы юридического лица. В некоторых случаях ответственность собственников может быть ограничена фиксированной суммой, внесенной ими при учреждении лица (хозяйственные общества), в других — распространяться на все их имущество (хозяйственные товарищества).
Если юридическое лицо оказалось не в состоянии выполнить свои обязательства вследствие действий учредителя или собственника, которые могут давать этому лицу указания, обязательные для исполнения, они могут быть привлечены к ответственности вместе с обязанным юридическим лицом.
Для того, чтобы организация приобрела права юридического лица, необходимо, чтобы она была соответствующим образом зарегистрирована государственными органами юстиции (регистрационной палатой). Этот момент и является моментом создания юридического лица, возникновения правоспособности.
Поскольку само по себе юридическое лицо не в состоянии предпринимать никаких действий (оно делает это через физических лиц — его представителей), говорить о его дееспособности не имеет смысла.
Согласно ст. 49 ГК, юридическое лицо может иметь гражданские права, соответствующие целям деятельности, предусмотренным в его учредительных документах, и нести связанные с этой деятельностью обязанности. Коммерческие организации, за исключением унитарных предприятий и иных видов организаций, предусмотренных законом, могут иметь гражданские права и нести гражданские обязанности, необходимые для осуществления любых видов деятельности, не запрещенных законом.
Отдельными видами деятельности, перечень которых определяется законом, юридическое лицо может заниматься только на основании специального разрешения (лицензии). Право юридического лица осуществлять деятельность, на занятие которой необходимо получение лицензии, возникает с момента получения такой лицензии или в указанный в ней срок и прекращается по истечении срока ее действия, если иное не установлено законом или иными правовыми актами.
В частности, к видам деятельности, которыми разрешено заниматься только по специальному разрешению государственного органа — лицензии, относится профессиональная деятельность на рынке ценных бумаг.
Если юридическое лицо ведет дела в разных местах, оно может открывать там представительства или филиалы. Филиал отличается от представительства тем, что может осуществлять там, где он расположен, все функции юридического лица, например производственную деятельность, в то время как представительство только представляет интересы юридического лица.
Правоспособность юридического лица реализуют его органы. Они могут быть выборными (совет директоров) или назначаемыми (директор муниципального предприятия), единоличными (директор) или коллегиальными (правление, совет директоров). Орган юридического лица представляет его без специального документа — доверенности, в то время как другие представители могут осуществлять это только по доверенности.
Юридическое лицо может обладать теми же правами, что и физическое правом собственности, правом требования и другими, но в то же время не обладает, например, правом избирать и быть избранным в органы власти. Таким образом, права юридического лица по сравнению с правами физического несколько сужены.
Юридические лица возникают по инициативе учредителей, которые (если их несколько) заключают между собой учредительный договор. Подробно правила функционирования общества, его внутренний распорядок, сфера деятельности и другие регулирующие положения записываются в Уставе юридического лица или положении о нем (в случае учреждений).
Важным понятием является уставный капитал юридического лица. Он составляется из взносов его учредителей и собственников (например, при покупке акций) и составляет тот минимум средств, которым данное лицо располагает и которым оно может отвечать по своим обязательствам. Отметим, что стоимость принадлежащего юридическому лицу имущества может превосходить уставный капитал, и лицо отвечает по обязательствам всем принадлежащим ему имуществом.
Юридическое лицо может прекратить свое существование в результате ликвидации или реорганизации. Ликвидация — полное прекращение деятельности. Для этого создается особая ликвидационная комиссия, которая производит расчеты с кредиторами ликвидируемого юридического лица и раздел оставшегося имущества между учредителями или собственниками. Существует зафиксированный в ГК порядок удовлетворения требований различных кредиторов.
При реорганизации на месте юридического лица образуется одно или несколько новых. Это происходит путем преобразования (изменения организационно-правовой формы), слияния, поглощения, разделения и т. п. При присоединении присоединяемое юридическое лицо прекращает свою деятельность, но в отличие от ликвидации, в данном случае действует механизм правопреемства. Лица, получающие имущество реорганизуемого лица и принимающие на себя его обязательства, именуются правопреемниками.
Разные организационно-правовые формы устанавливают различные права и обязательства учредителей или собственников по отношению к юридическому лицу и юридического лица по отношению к учредителям и собственникам. Так, в обществе с ограниченной ответственностью (000), в отличие от акционерного общества, участник имеет право выйти из общества, изъяв принадлежащую ему долю имущества (ГК, ст. 94). Таким образом, имущество 000 уменьшится. В отличие от 000 в акционерном обществе действует другой порядок: если акционер хочет выйти из АО, ему придется самостоятельно найти покупателя принадлежащих ему акций, при этом произойдет перерегистрация прав собственности на акции АО, но имущество АО не изменится.
В ст. 128 ГК указываются виды объектов гражданских прав:
• вещи, включая деньги и ценные бумаги, иное имущество, в том числе имущественные права;
• работы и услуги; ' информация;
• результаты интеллектуальной деятельности, в том числе
• нематериальные блага.
Вещи делятся на движимые и недвижимые (ст. 130 ГК).
К недвижимым вещам (недвижимое имущество, недвижимость) относятся земельные участки, участки недр, обособленные водные объекты и все, что прочно связано с землей, т. е. объекты, перемещение которых без несоразмерного ущерба их назначению невозможно, в том числе леса, многолетние насаждения, здания, сооружения. К недвижимым вещам относятся также подлежащие государственной регистрации воздушные и морские суда, суда внутреннего плавания, космические объекты, а также иное имущество, отнесенное законом к недвижимым вещам.
Вещи, не относящиеся к недвижимости, включая деньги и ценные бумаги, признаются движимым имуществом. Регистрация прав на движимые вещи не требуется, кроме случаев, указанных в законе.
Для нас важно, что, хотя Ценные бумаги относятся к движимым вещам, в некоторых случаях (для именных ценных бумаг) требуется регистрация прав на них. Это установлено в Законе “О рынке ценных бумаг”. Правила перехода прав собственности на ценные бумаги будут рассмотрены ниже.
ВОПРОСЫ ДЛЯ САМОПРОВЕРКИ
1. Перечислите основных субъектов гражданского права.
2. Укажите основные свойства юридического лица.
3. В чем заключаются основные причины образования юридических лиц.
4. С какого момента юридическое лицо обретает правоспособность?
5. Что такое вещное право, укажите основные объекты гражданских прав.
8.2 СОБСТВЕННОСТЬ В ГРАЖДАНСКОМ ПРАВЕ
Право собственности занимает центральное место в гражданском праве.
Право собственности подразделяется на права владения, распоряжения и пользования имуществом. В ст. 209 Гражданского кодекса даны следующие определения.
* Собственнику принадлежат права владения, пользования и распоряжения своим имуществом.
* Собственник вправе по своему усмотрению совершать в отношении принадлежащего ему имущества любые действия, не противоречащие закону и иным правовым актам и не нарушающие права и охраняемые законом интересы других лиц, в том числе отчуждать свое имущество в собственность другим лицам, передавать им, оставаясь собственником, Щ права владения, пользования и распоряжения имуществом, отдавать имущество в залог и обременять его другими способами, распоряжаться им иным образом.
* Владение, пользование и распоряжение землей и другими природными ресурсами в той мере, в какой их оборот допускается законом (статья 129), осуществляются их собственником свободно, если это не наносит ущерба окружающей среде и не нарушает прав и законных интересов других лиц.
* Собственник может передать свое имущество в доверительное управление другому лицу (доверительному управляющему). Передача имущества в доверительное управление не влечет перехода права собственности к доверительному управля ющему, который обязан осуществлять управление имуществом в интересах собственника или указанного им третьего лица.
В зависимости от того, кто является собственником (субъектом права собственности) различают разные формы права собственности — государственную, муниципальную, частную (физических или юридических лиц) и иные. Права всех собственников защищаются равным образом.
В соответствии со ст. 212—215 ГК, в Российской Федерации признаются частная, государственная, муниципальная и иные формы собственности. Имущество может находиться в собственности граждан и юридических лиц, а также Российской Федерации, субъектов Российской Федерации, муниципальных образований. Особенности приобретения и прекращения права собственности на имущество, владения, пользования и распоряжения им в зависимости от того, находится имущество в собственности гражданина или юридического лица, в собственности Российской Федерации, субъекта Российской Федерации или муниципального образования, могут устанавливаться лишь законом. Законом определяются виды имущества, которые могут находиться только в государственной или муниципальной собственности.
В собственности граждан и юридических лиц может находиться любое имущество, за исключением отдельных видов имущества, которое в соответствии с законом не может принадлежать гражданам или юридическим лицам.
Коммерческие и некоммерческие организации, кроме государственных и муниципальных предприятий, а также учреждений, финансируемых собственником, являются собственниками имущества, переданного им в качестве вкладов (взносов) их учредителями (участниками, членами), а также имущества, приобретенного этими юридическими лицами по иным основаниям.
Общественные и религиозные организации (объединения), благотворительные и иные фонды являются собственниками приобретенного ими имущества и могут использовать его лишь для достижения целей, предусмотренных их учредительными документами. Учредители (участники, члены) этих организаций утрачивают право на имущество, переданное ими в собственность соответствующей организации. В случае ликвидации такой организации ее имущество, оставшееся после удовлетворения требований кредиторов, используется в целях, указанных в ее учредительных документах.
Государственной собственностью в Российской Федерации является имущество, принадлежащее на праве собственности Российской Федерации (федеральная собственность), и имущество, принадлежащее на праве собственности субъектам Российской Федерации, — республикам, краям, областям, городам федерального значения, автономной области, автономным округам (собственность субъекта Российской Федерации). Земля и другие природные ресурсы, не находящиеся в собственности граждан, юридических лиц либо муниципальных образований, являются государственной собственностью. Имущество, находящееся в государственной собственности, закрепляется за государственными предприятиями и учреждениями во владение, пользование и распоряжение в соответствии со ст. 294, 296 ГК.
Имущество, принадлежащее на праве собственности городским и сельским поселениям, а также другим муниципальным образованиям, является муниципальной собственностью. От имени муниципального образования права собственника осуществляют органы местного самоуправления и лица, указанные в ст. 125 ГК. Имущество, находящееся в муниципальной собственности, закрепляется за муниципальными предприятиями и учреждениями во владение, пользование и распоряжение в соответствии со ст. 294, 296 ГК.
Для целей настоящего пособия отнесение того или иного имущества к государственной или муниципальной собственности имеет принципиальное значение. Дело в том, что, выпуская облигации, тот или иной орган власти отвечает перед их владельцами своим имуществом. При этом статус бумаг (государственные или муниципальные) естественно определять, отталкиваясь от формы собственности имущества, которым отвечает эмитент государственного (Российской Федерации и ее субъектов) или муниципального.
Важное значение имеют основания приобретения права собственности. Право собственности на имущество, которое имеет собственник, может быть приобретено другим лицом на основании договора купли-продажи, мены, дарения или иной сделки об отчуждении этого имущества (см. подробно ниже).
В случае смерти гражданина право собственности на принадлежавшее ему имущество переходит по наследству к другим лицам в соответствии с завещанием или законом. В случае реорганизации юридического лица право собственности на принадлежавшее ему имущество переходит к юридическим лицам — правопреемникам реорганизованного юридического лица.
Для рынка ценных бумаг важно точное установление момента перехода права собственности. Его роль связана с тем, что на бирже в течение торговой сессии ценные бумаги могут многократно переходить из рук в руки, и установление факта перехода прав собственности на них важно для доказательства состоятельности сделок.
В ГК (ст. 223) момент перехода прав собственности описан таким образом:
• право собственности у приобретателя вещи по договору возникает с момента ее передачи, если иное не предусмотрено законом или договором;
• в случаях, когда отчуждение имущества подлежит государственной регистрации, право собственности у приобретателя возникает с момента такой регистрации, если иное не установлено законом.
Передачей вещи (ст. 224 ГК) признается вручение вещи приобретателю, а равно сдача перевозчику для отправки приобретателю или сдача в организацию связи для пересылки приобретателю вещей, отчужденных без обязательства доставки. Вещь считается врученной приобретателю с момента ее фактического поступления во владение приобретателя или указанного им лица. Если к моменту заключения договора об отчуждении вещи она уже находится во владении приобретателя, вещь признается переданной ему с этого момента. К передаче вещи приравнивается передача коносамента или иного товарораспорядительного документа на нее.
Легко видеть, что определения ГК привязаны к материальной вещи (вручить можно только ее). В соответствии со сложившейся в России практикой практически все эмиссионные ценные бумаги выпущены в бездокументарной форме. Поэтому вопрос . о моменте перехода прав собственности на них пришлось особо оговорить в Законе “О рынке ценных бумаг” (см. главу 12).
Прекращение права собственности может быть вызвано как действиями собственника (продажа, дарение и Т. п.), так и помимо его воли. Основания для этого в ГК описаны так (ст. 235): право собственности прекращается при отчуждении собственником своего имущества другим лицам, отказе собственника от права собственности, гибели или уничтожении имущества и при утрате права собственности на имущество в иных случаях, предусмотренных законом. Принудительное изъятие у собственника имущества не допускается, кроме случаев, когда по основаниям, предусмотренным законом, производятся: обращение взыскания на имущество по обязательствам (статья 237); отчуждение имущества, которое в силу закона не может принадлежать данному лицу (статья 238); отчуждение недвижимого имущества в связи с изъятием участка (статья 239); реквизиция (статья 242); конфискация (статья 243); отчуждение имущества в других случаях, предусмотренных ГК.
По решению собственника в порядке, предусмотренном законами о приватизации, имущество, находящееся в государственной или муниципальной собственности, отчуждается в собственность граждан и юридических лиц.
Обращение в государственную собственность имущества, находящегося в собственности граждан и юридических лиц (национализация), производится на основании закона с возмещением стоимости этого имущества и других убытков в порядке, установленном ст. 306 ГК. Обращение взыскания на имущество по обязательствам собственника производится на основании решения суда, если иной порядок обращения взыскания не предусмотрен законом или договором (ст. 237 ГК). Право собственности на имущество, на которое обращается взыскание, прекращается у собственника с момента возникновения права собственности на изъятое имущество у лица, к которому переходит это имущество.
ВОПРОСЫ ДЛЯ САМОПРОВЕРКИ
1. Что такое право собственности?
2. Назовите основные формы права собственности.
3. Перечислите основания приобретения права собственности.
4. Почему момент перехода прав собственности важен для функционирования рынка ценных бумаг?
5. Укажите основания для прекращения права собственности.
8.3 СДЕЛКИ, ПРЕДСТАВИТЕЛЬСТВО И ДОВЕРЕННОСТИ В ГРАЖДАНСКОМ ПРАВЕ
До сих пор мы имели дело со статическим состоянием правоотношений. В то же время на рынке ценных бумаг наиболее интересны процессы, связанные с динамикой конкретных правоотношений. Так, купля-продажа ценных бумаг фактически сводится к изменению прав собственности на них и передаче соответствующей суммы денег в процессе осуществления этих изменений — сделок.
В соответствии со ст. 153 ГК сделками признаются действия граждан и юридических лиц, направленные на установление, изменение или прекращение гражданских прав и обязанностей.
Сделки могут быть двух- или многосторонними (договоры) и односторонними. Типичным для нас примером односторонней сделки является завещание, в котором одно лицо выражает свою волю. Наиболее распространенной формой двусторонней сделки является договор, в котором присутствует воля обеих договаривающихся сторон.
Для того, чтобы избежать разночтений в понимании воли сторон ,и условий сделки, ГК требует совершать их в определенной форме (ст. 158). Простейшая форма — устная, применяется для малозначимых сделок, или сделок, которые исполняются немедленно. Письменная (точнее, простая письменная) форма требует более точных формулировок, как, например в договоре, которые отражаются в специальном документе, который заверяется подписями (и печатями для юридических лиц) сторон. Нотариальная форма отличается от простой тем, что документ, содержащий условия сделки, заверяется нотариусом. В некоторых случаях предусматривается даже необходимость государственной регистрации сделки, как, например, при сделках с недвижимостью.
Несоблюдение простой письменной формы сделки лишает стороны права в случае спора ссылаться в подтверждение сделки и ее условий на свидетельские показания, но не лишает их права приводить письменные и другие доказательства.
Суть этого ограничения можно пояснить на простом примере. Предположим, некто А одолжил Б сумму денег, передав ее при свидетелях, причем сделка не была оформлена в письменной форме. Если впоследствии Б обратится в суд для того, чтобы истребовать с А долг, он не сможет сослаться на свидетелей передачи денег для подтверждения совершения сделки или ее условий. Фактически, для того, чтобы обезопасить себя от неблагоприятных последствий, нужно всегда придерживаться письменной формы.
Несоблюдение нотариальной формы, а в случаях, установленных законом, — требования о государственной регистрации сделки, влечет ее недействительность. Если одна из сторон полностью или частично исполнила сделку, требующую нотариального удостоверения, а другая сторона уклоняется от такого удостоверения сделки, суд вправе по требованию исполнившей сделку стороны признать сделку действительной. В этом случае последующее нотариальное удостоверение сделки не требуется. Если сделка, требующая государственной регистрации, совершена в надлежащей форме, но одна из сторон уклоняется от ее регистрации, суд вправе по требованию другой стороны вынести решение о регистрации сделки. В этом случае сделка регистрируется в соответствии с решением суда.
Таким образом, сделка, как это следует из ее определения, влечет за собой правовые последствия для ее сторон. Однако в ряде случаев сделка признается недействительной. Это происходит в основном из-за нарушения обязательно требуемой формы сделки, несоответствия ее воле одной из сторон, или в случае, когда она противоречит закону.
Заключенная сделка может быть признана недействительной, т. е. не влекущей никаких правовых последствий для ее сторон, двумя путями: через решение суда или в бесспорном порядке. Первый путь — путем ее оспаривания через суд. Такие сделки называются оспоримыми. Другой — признание ее недействительной в безусловном порядке, такие сделки называются ничтожными. Основания для оспаривания или признания ничтожности перечислены в ГК. Важным моментом является то, что для признания сделки недействительной в суд может обращаться не кто угодно, но лишь лица, перечисленные в ГК.
Сделка, не соответствующая требованиям закона или иных правовых актов, ничтожна, если закон не устанавливает, что такая сделка оспорима, или не предусматривает иных последствий нарушения. Иными словами, сделка, совершаемая в нарушение закона, признается недействительной даже без судебного разбирательства.
Особое внимание уделяется так называемым мнимым и притворным сделкам. Типичным примером притворной сделки может быть сделка купли-продажи имущества, замаскированная выдачей доверенности на распоряжение имуществом. Таким образом, стороны избегают сложной процедуры государственной регистрации, необходимой в данном случае, и снижают накладные расходы. Если будет доказана притворность данной сделки, она будет признана ничтожной.
В ГК особо описаны случаи, когда сделка признается недействительной — в случае недееспособности физического лица вследствие психической болезни или недееспособности малолетнего. Для нас, однако, важнее следующая ст. 173, регулирующая недействительность сделки, заключенной юридическим лицом.
Сделка, совершенная юридическим лицом в противоречии с целями деятельности, определенно ограниченными в его учредительных документах, либо юридическим лицом, не имеющим лицензии на занятие соответствующей деятельностью, может быть признана судом недействительной по иску этого юридического лица, его учредителя (участника) или государственного органа, осуществляющего контроль или надзор за деятельностью юридического лица, если доказано, что другая сторона в сделке знала или заведомо должна была знать о ее незаконности.
На практике приходится сталкиваться со случаями, когда лицо превышает доверенные ему полномочия. Обычно это случается при работе с филиалами, полномочия которых устанавливаются соответствующим положением (ст. 55 ГК), или с физическими лицами — представителями, полномочия которых устанавливаются доверенностью. В этих случаях сделка судом может быть признана недействительной.
Если полномочия лица на совершение сделки ограничены договором либо полномочия органа юридического лица — его учредительными документами по сравнению с тем, как они определены в доверенности, в законе либо, как они могут считаться очевидными из обстановки, в которой совершается сделка, и при ее совершении такое лицо или орган вышли за пределы этих ограничений, сделка может быть признана судом недействительной по иску лица, в интересах которого установлены ограничения, лишь в случаях, когда будет доказано, что другая сторона в сделке знала или заведомо должна была знать об указанных ограничениях (ст. 174 ГК).
Нужно иметь ввиду еще одно положение, защищающее стороны от недобросовестного контрагента в сделке (ст. 177 ГК): сделка, совершенная гражданином, хотя и дееспособным, но находившимся в момент ее совершения в таком состоянии, когда он не был способен понимать значение своих действий или руководить ими, может быть признана судом недействительной по иску этого гражданина либо иных лиц, чьи права или охраняемые законом интересы нарушены в результате ее совершения.
Каждая из сторон такой сделки обязана возвратить другой все полученное в натуральной форме, а при невозможности возвратить — возместить его стоимость в деньгах. Дееспособная сторона обязана, кроме того, возместить другой стороне понесенный ею реальный ущерб, если дееспособная сторона знала или должна была знать о недееспособности другой стороны.
То же относится к действиям лица, введенного в заблуждение или под принуждением (ст. 178, 179 ГК). В этом случае, однако, нужно в судебном порядке установить наличие указанных обстоятельств.
ГК устанавливает сроки исковой давности, в течение которых можно подавать иск о признании сделки недействительной (ст. 181). Иск о применении последствий недействительности ничтожной сделки может быть предъявлен в течение десяти лет со дня, когда началось ее исполнение. Иск о признании оспоримой сделки недействительной и о применении последствий ее недействительности может быть предъявлен в течение года со дня прекращения насилия или угрозы, под влиянием которых была совершена сделка, либо со дня, когда истец узнал или должен был узнать об иных обстоятельствах, являющихся основанием для признания сделки недействительной.
На практике очень часто случается, что одно лицо поручает или доверяет другому совершить некоторые действия. При этом в зависимости от формы поручения оно несет разную ответственность за действия второго лица.
Представитель открыто действует от имени (от лица) представляемого и в его интересах, все последствия сделки, заключенной представителем действительны для представляемого. Объем полномочий представителя оговаривается в выданной ему представляемым доверенности и не может превосходить объем полномочий самого представляемого лица.
Согласно ст. 182 ГК, сделка, совершенная одним лицом (представителем) от имени другого лица (представляемого) в силу полномочия, основанного на доверенности, указании закона либо акте уполномоченного на то государственного органа или органа местного самоуправления, непосредственно создает, изменяет и прекращает граждански е права и обязанности представляемого.
Не являются представителями лица, действующие хотя и в чужих интересах, но от собственного имени (коммерческие посредники, конкурсные управляющие при банкротстве, душеприказчики при наследовании и т. п.), а также лица, уполномоченные на вступление в переговоры относительно возможных в будущем сделок.
Представитель не может совершать сделки от имени представляемого в отношении себя лично. Он не может также совершать такие сделки в отношении другого лица, представителем которого он одновременно является, за исключением случаев коммерческого представительства. Не допускается совершение через представителя сделки, которая по своему характеру может быть совершена только лично, а равно других сделок, указанных в законе.
ГК разделяет представителя, действующего от имени представляемого лица, от профессионального представителя, действующего от своего имени — коммерческого представителя. Таким представителем является, например, брокер, заключающий на бирже сделки в интересах клиента, но от своего имени.
В соответствии со ст. 184 ГК, коммерческим представителем является лицо, постоянно и самостоятельно представительствующее от имени предпринимателей при заключении ими договоров в сфере предпринимательской деятельности. Одновременное коммерческое представительство разных сторон в сделке допускается с согласия этих сторон и в других случаях, предусмотренных законом. При этом коммерческий представитель обязан исполнять данные ему поручения с заботливостью обычного предпринимателя.
Коммерческий представитель вправе требовать уплаты обусловленного вознаграждения и возмещения понесенных им при исполнении поручения издержек от сторон договора в равных долях, если иное не предусмотрено соглашением между ними. Коммерческое представительство осуществляется на основании договора, заключенного в письменной форме и содержащего указания на полномочия представителя, а при отсутствии таких указаний — также и доверенности. Коммерческий представитель обязан сохранять в тайне ставшие ему известными сведения о торговых сделках и после исполнения данного ему поручения.
Представительство осуществляется на основании документа, удостоверяющего объем прав, переданных представляемым представителю доверенности. Доверенность оформляется в определенной законом письменной форме и должна быть заверена нотариально, если действия, которые доверяется совершить, требуют нотариального заверения или государственной регистрации.
Несоблюдение формы доверенности может быть основанием для признания сделки, заключенной представителем, недействительной.
ВОПРОСЫ ДЛЯ САМОПРОВЕРКИ
1. Дайте определение сделки.
2. Какие виды сделок предусмотрены в гражданском праве?
3. В каких случаях сделка может быть признана ничтожной?
4. Какие полномочия имеет представитель?
5. Каким документом удостоверяются права представителя?
8.4 ОБЯЗАТЕЛЬСТВЕННОЕ ПРАВО
Обязательственное право регулирует обязательства, принятые на себя одним субъектом по отношению к другому (другим). Чаще всего такие обязательства возникают в процессе перехода прав собственности. С юридической точки зрения, они определяют основной механизм товарооборота. Ввиду многообразия форм отношений, возникающих в этой связи, их регулирование занимает всю вторую часть Гражданского кодекса.
Обязательство — это правоотношение между двумя лицами, одно из которых — кредитор — имеет право требовать от другого — должника — совершение некоторых деяний (действий или бездействия). Кредитор иначе называется управомоченным лицом, а должник — обязанным.
Субъекты обязательственного правоотношения называются сторонами обязательства, а действия, которые должник обязан совершить, — его содержанием. Действия должника приводят к изменению правового положения и таким образом представляют собой их динамику.
Обязательства возникают из разных источников. К основным источникам относятся:
* договоры — соглашения о возникновении обязательств (как правило, двусторонних);
* односторонние сделки — например, принятие наследства может породить обязательства;
* акты органов власти;
* другие источники, в основном связанные с возмещением ущерба.
Согласно ст. 307 ГК, в силу обязательства одно лицо (должник) обязано совершить в пользу другого лица (кредитора) определенное действие, как-то: передать имущество, выполнить работу, уплатить деньги и т. п., либо воздержаться от определенного действия, а кредитор имеет право требовать от должника исполнения его обязанности. Обязательства возникают из договора, вследствие причинения вреда и из иных оснований, указанных в ГК.
В обязательстве в качестве каждой из его сторон — кредитора или должника — могут участвовать одно или одновременно несколько лиц.
Обязательства должны исполняться надлежащим образом в соответствии с условиями обязательства и требованиями закона, иных правовых актов, а при отсутствии таких условий и требований — в соответствии с обычаями делового оборота или иными, обычно предъявляемыми требованиями.
Односторонний отказ от исполнения обязательства и одностороннее изменение его условий не допускаются, за исключением случаев, предусмотренных законом. Односторонний отказ от исполнения обязательства, связанного с осуществлением его сторонами предпринимательской деятельности, и одностороннее изменение условий такого обязательства допускаются также в случаях, предусмотренных договором, если иное не вытекает из закона или существа обязательства.
В ГК также регламентируются некоторые особенности исполнения обязательств: места, сроков, возможности досрочного исполнения, исполнения обязательства третьим лицом взамен должника и др. Отдельно рассматриваются обязательства нескольких должников.
Ответственность нескольких лиц за исполнение обязательств бывает солидарной, долевой и субсидиарной.
При долевой ответственности каждый из должников должен только оговоренную долю обязательства, исполнив которую, он освобождается от ответственности.
При солидарной ответственности кредитор вправе требовать от любого из должников полного исполнения обязательства. В сфере предпринимательства ответственность, как правило, является солидарной. Только договор или в отдельных случаях закон может предусмотреть противное.
Участник, выполнивший за других солидарное обязательство, вправе требовать от остальных должников возмещения. Это право называется правом регресса, а соответствующее обязательство остальных должников — регрессным.
Отдельный вопрос — возможность перемены лиц в обязательстве. Кредитор вправе передать свое право требования другому лицу, не спрашивая на то разрешения должника, он должен только уведомить последнего. Форма уступки требования, основанного на сделке, должна соответствовать форме сделки.
Обязательства прекращаются разными способами:
• исполнением его обязанной стороной, подтверждением его является расписка кредитора;
• отступное, о котором могут договориться стороны;
• зачетом аналогичного встречного требования. Согласно ГК для этого достаточно заявления одной стороны (ст. 410).
Основной способ возникновения обязательств — конкретные договоры между субъектами права. Они не могут противоречить правовым актам, но в остальном предоставляют договаривающимся сторонам свободу. В соответствии со ст. 420 ГК, д оговором признается соглашение двух или нескольких лиц об установлении, изменении или прекращении гражданских прав и обязанностей. К договорам применяются правила о двух- и многосторонних сделках, предусмотренные в ГК.
При этом граждане и юридические лица свободны в заключении договора. Понуждение к заключению договора не допускается, за исключением случаев, когда обязанность заключить договор предусмотрена ГК, законом или добровольно принятым обязательством. Стороны могут заключить договор как предусмотренный, так и не предусмотренный законом или иными правовыми актами. Стороны могут заключить договор, в котором содержатся элементы различных договоров, предусмотренных законом или иными правовыми актами (смешанный договор). К отношениям сторон по смешанному договору применяются в соответствующих частях правила о договорах, элементы которых содержатся в смешанном договоре, если иное не вытекает из соглашения сторон или существа смешанного договора.
Условия договора определяются по усмотрению сторон, кроме случаев, когда содержание соответствующего условия предписано законом или иными правовыми актами. В случаях, когда условие договора предусмотрено нормой, которая применяется постольку, поскольку соглашением сторон не установлено иное (диспозитивная норма), стороны могут своим соглашением исключить ее применение либо установить условие, отличное от предусмотренного в ней. При отсутствии такого соглашения условие договора определяется диспозитивной нормой. Если условие договора не определено сторонами или диспозитивной нормой, соответствующие условия определяются обычаями делового оборота, применимыми к отношениям сторон. Договор должен соответствовать обязательным для сторон правилам, установленным законом и иными правовыми актами (императивным нормам), действующим в момент его заключения. Если после заключения договора принят закон, устанавливающий обязательные для сторон правила иные, чем те, которые действовали при заключении договора, условия заключенного договора сохраняют силу, кроме случаев, когда в законе установлено, что его действие распространяется на отношения, возникшие из ранее заключенных договоров. Во второй части ГК содержатся нормы, касающиеся основных типов договоров: купли-продажи; поставки товаров; контрактации; мены; дарения; аренды и проката; подряда; заема и кредита, в том числе банковских вкладов и счетов; хранения; страхования; поручения; комиссии; агентирования и других. Тем не менее перечисленными выше типами не исчерпываются возможные типы договоров.
ВОПРОСЫ ДЛЯ САМОПРОВЕРКИ
1. Что такое обязательственное право?
2. Дайте определение обязательства.
3. Укажите основные источники обязательств.
4. В чем состоит разница между солидарной, долевой и субсидиарной ответственностью?
5. Какой основной способ возникновения обязательств предусмотрен в гражданском праве?
8.5 ЦЕННЫЕ БУМАГИ В ГРАЖДАНСКОМ ПРАВЕ И ЗАКОНОДАТЕЛЬСТВЕ О ЦЕННЫХ БУМАГАХ
Ценная бумага удостоверяет некоторые права ее владельца-кредитора по отношению к должнику-эмитенту — лицу, выдавшему ее. Ее суть и ценность — именно эти права, ею удостоверяемые, однако сама она — вещь (ст. 128 ГК). Таким образом, ценная бумага, являясь “овеществлением прав”, служит связующим звеном между двумя различными областями права — вещным и обязательственным правом.
Иными словами, ценная бумага — это вещь, символизирующая собой некий комплекс прав, который в принципе должен регулироваться обязательственным правом. В то же время “вещность” ценной бумаги позволяет прилагать к ней такие категории, как право собственности и все связанные с ней понятия и нормы вещного права. Отсюда в свою очередь возникает возможность обычного юридичес кого оформления таких операций, как купля-продажа ценных бумаг, их залог и т. п., что очень важно для поддержки ликвидности. Такой вещью является документ, в котором и удостоверены права его владельца.
Согласно ст. 142 ГК, ценной бумагой является документ, удостоверяющий с соблюдением установленной формы и обязательных реквизитов имущественные права, осуществление ил и передача которых возможны только при его предъявлении.
С передачей ценной бумаги переходят все удостоверяемые ею права в совокупности. В случаях, предусмотренных законом или в установленном им порядке, для осуществления и передачи прав, удостоверенных ценной бумагой, достаточно доказательств их закрепления в специальном реестре (обычном или компьютеризованном).
Понятие ценной бумаги формировалось во времена, когда не существовало понятия “бездокументарная ценная бумага”. Поскольку ни у кого не вызывает протеста понятие “юридическое лицо”, проблема состоит в том, чтобы дать как можно более точное определение этому абстрактному понятию.
Если понятие бездокументарной ценной бумаги формулировать в терминах обязательственного права, то это приведет к разным определениям и законам для документарных и бездокументарных ценных бумаг.
Если для бездокументарной бумаги, у которой отсутствует материальный носитель, применить нормы вещного права, то такое определение противоречит ст. 142 Гражданского кодекса. Тем не менее, как будет показано ниже, этот путь был использован в Законе “О рынке ценных бумаг” (ст. 2).
ГК перечисляет классические виды ценных бумаг, но оставляет возможность для расширения их списка:
• государственная облигация,
• облигация,
• вексель,
• чек,
• депозитный и сберегательный сертификаты,
• банковская сберегательная книжка на предъявителя,
• коносамент,
• акция,
• приватизационные ценные бумаги,
• другие документы, которые законами о ценных бумагах или в установленном ими порядке отнесены к числу ценных бумаг.
Документы, являющиеся ценной бумагой, должны быть составлены в определенной форме. Эта норма, по-видимому, имеет свое происхождение от векселя — исторически первой ценной бумаги, являвшей собой абстрактное денежное обязательство. Однако столь же строгих требований к форме других бумаг не выработано.
Согласно ст. 144 ГК, виды прав, которые удостоверяются ценными бумагами, обязательные реквизиты ценных бумаг, требования к форме ценной бумаги и другие необходимые требования определяются законом или в установленном им порядке. Отсутствие обязательных реквизитов ценной бумаги или несоответствие ценной бумаги установленной для нее форме влечет ее ничтожность.
В Гражданском кодексе установлены и некоторые нормы, относящиеся к исполнению прав, удостоверенных ценной бумагой. В зависимости от способа удостоверения прав собственности на ценную бумагу различают разные ее формы: ценную бумагу на предъявителя, именную или ордерную.
Права, удостоверенные ценной бумагой, могут принадлежать следующим субъектам прав:
• предъявителю ценной бумаги (ценная бумага на предъявителя);
• названному в ценной бумаге лицу (именная ценная бумага);
• названному в ценной бумаге лицу, которое может само осуществить эти права или назначить своим распоряжением (приказом) другое управомоченное лицо (ордерная ценная бумага).
Законом может быть исключена возможность выпуска ценных бумаг определенного вида в качестве именных, либо в качестве ордерных, либо в качестве бумаг на предъявителя.
Соответственно форме трактуется и переход прав на ценную бумагу. Здесь ГК частично повторяет международный закон о векселе.
Так (ст. 146 ГК), для передачи другому лицу прав, удостоверенных ценной бумагой на предъявителя, достаточно вручения ценной бумаги этому лицу. Права, удостоверенные именной ценной бумагой, передаются в порядке, установленном для уступки требований (цессии).
В соответствии со статьей 390 ГК лицо, передающее право по ценной бумаге, несет ответственность за недействительность соответствующего требования, но не за его неисполнение.
Права по ордерной ценной бумаге передаются путем совершения на этой бумаге передаточной надписи — индоссамента. Лицо, передающее право по ценной бумаге (индоссант), несет ответственность не только за существование права, но и за его осуществление. Индоссамент, совершенный на ценной бумаге, переносит все права, удостоверенные ценной бумагой, на лицо, которому или приказу которого передаются права по ценной бумаге — индоссата.
Индоссамент может быть бланковым (без указания лица, которому должно быть произведено исполнение) или ордерным (если указано лицо, которому или приказу которого должно быть произведено исполнение).
Если индоссамент ограничен только поручением осуществлять права, удостоверенные ценной бумагой, без передачи этих прав индоссату, то он называется препоручительным индоссаментом. В этом случае индоссат выступает в качестве представителя.
Лицо, выдавшее ценную бумагу, и все лица, индоссировавшие ее, отвечают перед ее законным владельцем солидарно (ст. 147 ГК). В случае удовлетворения требования законного владельца ценной бумаги об исполнении удостоверенного ею обязательства одним или несколькими лицами из числа обязавшихся до него по ценной бумаге они приобретают право обратного требования или регресса к остальным лицам, обязавшимся по ценной бумаге. Отказ от исполнения обязательства, удостоверенного ценной бумагой, со ссылкой на отсутствие основания обязательства либо на его недействительность не допускается.
Владелец ценной бумаги, обнаруживший подлог или подделку ценной бумаги, вправе предъявить к лицу, передавшему ему бумагу, требование о надлежащем исполнении обязательства, удостоверенного ценной бумагой, и о возмещении убытков.
Отдельно в ГК рассмотрен вопрос о восстановлении утраченной ценной бумаги. Восстановление прав по утраченным ценным бумагам на предъявителя и ордерным ценным бумагам производится судом в порядке, предусмотренном процессуальным законодательством (ст. 148).
В отношении широко распространенных бездокументарных ценных бумаг ГК фактически ограничивается отсылкой к другим законам (ст. 149): в случаях, определенных законом или в установленном им порядке, лицо, получившее специальную лицензию, может производить фиксацию прав, закрепляемых именной или ордерной ценной бумагой, в том числе в бездокументарной форме (с помощью средств электронно-вычислительной техники и т. п.). К такой форме фиксации прав применяются правила, установленные для ценных бумаг, если иное не вытекает из особенностей фиксации.
Лицо, осуществившее фиксацию права в бездокументарной форме, обязано по требованию обладателя права выдать ему документ, свидетельствующий о закрепленном праве. Права, удостоверяемые путем указанной фиксации, порядок официальной фиксации прав и правообладателей, порядок документального подтверждения записей и порядок совершения операций с бездокументарными ценными бумагами определяются законом или в установленном им порядке.
Операции с бездокументарными ценными бумагами могут совершаться только при обращении к лицу, которое официально совершает записи прав. Передача, предоставление и ограничение прав должны официально фиксироваться этим лицом, которое несет ответственность за сохранность официальных записей, обеспечение их конфиденциальности, представление правильных данных о таких записях, совершение официальных записей о проведенных операциях.
Отсутствие регламентации бездокументарных ценных бумаг сделало необходимым их детальное рассмотрение в Законе “О рынке ценных бумаг”.
Так, в законе дается понятие эмиссионной ценной бумаги:
Эмиссионная ценная бумага — любая ценная бумага, в том числе бездокументарная, которая характеризуется одновременно следующими признаками:
Выпуск ценных бумаг означает совокупность ценных бумаг одного эмитента, обеспечивающих одинаковый объем прав владельцам и имеющих одинаковые условия эмиссии (первичного размещения). Все бумаги одного выпуска должны иметь один государственный регистрационный номер.
Эмитентом может выступать юридическое лицо или органы исполнительной власти либо органы местного самоуправления, несущие от своего имени обязательства перед владельцами ценных бумаг по осуществлению прав, закрепленных ими.
Далее приведены определения некоторых конкретных эмиссионных бумаг.
Акция — эмиссионная ценная бумага, закрепляющая права ее владельца (акционера) на получение части прибыли акционерного общества в виде дивидендов, на участие в управлении акционерным обществом и на часть имущества, остающегося после его ликвидации. Выпуск акций на предъявителя разрешается в определенном отношении к величине оплаченного уставного капитала эмитента в соответствии с нормативом, установленным Федеральной комиссией по рынку ценных бумаг.
Облигация — эмиссионная ценная бумага, закрепляющая право ее держателя на получение от эмитента облигации в предусмотренный ею срок ее номинальной стоимости и зафиксированного в ней процента от этой стоимости или иного имущественного эквивалента. Облигация может предусматривать иные имущественные права ее держателя, если это не противоречит законодательству Российской Федерации.
Права владельцев на эмиссионные ценные бумаги документарной формы выпуска удостоверяются:
* сертификатами (если сертификаты находятся у владельцев);
* сертификатами и записями по счетам депо в депозитариях (если сертификаты переданы на хранение в депозитарии).
В ст. 28 Закона “О рынке ценных бумаг” уточнены положения ст. 147 ГК в отношении удостоверения прав собственности на бездокументарные ценные бумаги. Права владельцев на эмиссионные ценные бумаги бездокументарной формы выпуска удостоверяются: .
- в системе ведения реестра — записями на лицевых счетах у держателя реестра;
- в случае учета прав на ценные бумаги в депозитарии — записями по счетам депо в депозитариях.
Ст. 18 Закона “О рынке ценных бумаг” уточняет способ удостоверения объема соответствующих прав, составляющих эмиссионную ценную бумагу: фактически эти права всегда удостоверяет документ в соответствии с ГК, но в случае бездокументарной бумаги этим документом является не сертификат ценной бумаги, а специальное решение о выпуске, принимаемое эмитентом.
Эмиссионная ценная бумага закрепляет имущественные права в том объеме, в котором они установлены в решении о выпуске данных ценных бумаг, и в соответствии с законодательством Российской Федерации.
В случае расхождений между текстом решения о выпуске ценных бумаг и данными, приведенными в сертификате эмиссионной ценной бумаги, владелец имеет право требовать осуществления прав, закрепленных этой ценной бумагой, в объеме, установленном сертификатом. Эмитент несет ответственность за несовпадение данных, содержащихся в сертификате эмиссионной ценной бумаги, с данными, содержащимися в решении о выпуске ценных бумаг, в соответствии с законодательством Российской Федерации.
Именные эмиссионные ценные бумаги — ценные бумаги, информация о владельцах которых должна быть доступна эмитенту в форме реестра владельцев ценных бумаг, переход прав на которые и осуществление закрепленных ими прав требуют обязательной идентификации владельца.
Эмиссионные ценные бумаги на предъявителя — ценные бумаги, переход прав на которые и осуществление закрепленных ими прав не требуют идентификации владельца.
Документарная форма эмиссионных ценных бумаг — форма эмиссионных ценных бумаг, при которой владелец устанавливается на основании предъявления оформленного надлежащим образом сертификата ценной бумаги или в случае депонирования такового на основании записи по счету депо.
Бездокументарная форма эмиссионных ценных бумаг — форма эмиссионных ценных бумаг, при которой владелец устанавливается на основании записи в системе ведения реестра владельцев ценных бумаг или в случае депонирования ценных бумаг на основании записи по счету депо.
Сертификат эмиссионной ценной бумаги — документ, выпускаемый эмитентом и удостоверяющий совокупность прав на указанное в сертификате количество ценных бумаг. Владелец ценных бумаг имеет право требовать от эмитента исполнения его обязательств на основании такого сертификата.
Согласно ст. 16 Закона “О рынке ценных бумаг”, форма и порядок удостоверения, уступки и осуществления прав, закрепленных эмиссионной ценной бумагой, определяются законом и указываются в решении о выпуске ценных бумаг. Эмиссионные ценные бумаги могут выпускаться в одной из следующих форм:
* именные ценные бумаги документарной формы выпуска (именные документарные ценные бумаги);
* именные ценные бумаги бездокументарной формы выпуска (именные бездокументарные ценные бумаги);
* ценные бумаги на предъявителя документарной формы выпуска (документарные ценные бумаги на предъявителя).
Таким образом, эмиссионные ценные бумаги на предъявителя могут выпускаться только в документарной форме.
Таким образом, к ценной бумаге приравнивается любой комплекс прав, оформленный соответствующим образом и обладающий признаками, характеризующими эмиссионную ценную бумагу. Другими словами, любые имущественные и неимущественные права, закрепленные в документарной или бездокументарной форме, независимо от их наименования, являются эмиссионными ценными бумагами, если условия их возникновения и обращения соответствуют совокупности признаков эмиссионной ценной бумаги, указанной в ст. 2 Закона “О рынке ценных бумаг”.
Если со временем этот подход будет использован в Гражданском кодексе, это позволит сделать единообразным законодательное регулирование документарных и бездокументарных ценных бумаг. Тогда под ценной бумагой будет пониматься сам комплекс прав, а роль документа (сертификата) сведется к одному из способов удостоверения прав, закрепленных ценной бумагой.
ВОПРОСЫ ДЛЯ САМОПРОВЕРКИ.
1. В чем заключается специфика ценной бумаги в системе объектов права?
2. Дайте определение ценной бумаги по ГК РФ.
3. Какие виды ценных бумаг описаны в ГК РФ?
4. Дайте определение эмиссионной ценной бумаги.
5. Укажите особенности регулирования документарных и бездокументарных ценных бумаг.
ГЛАВА 9. ОСНОВЫ КОРПОРАТИВНОГО ПРАВА
9.0 ЗНАЧЕНИЕ И ФАКТОРЫ КОРПОРАТИВНОГО УПРАВЛЕНИЯ
Любое законодательство об АО, в том числе и российское, имеет своим предметом два крупных блока вопросов:
* внутренняя жизнь АО (создание, преобразование и ликвидация АО, права акционеров и компетенция органов управления);
* взаимоотношения акционерных обществ с внешней средой, служащей потенциальным источником капитала (выпуск АО акций и облигаций, условия приобретения крупных пакетов акций АО).
Вопросы внутреннего управления в АО и его взаимоотношений с внешней средой очень тесно переплетены. Эффективное управление способствует более продуктивной деятельности компании и формированию адекватной рыночной оценки акций, следовательно, понимание принципов управления АО очень важно как для потенциального инвестора и профессионального участника рынка ценных бумаг, так и для рядового акционера и представителя органов управления АО.
Обычно под корпоративным управлением и контролем понимается вся сфера деятельности корпорации (компании, АО), связанная с отношениями собственности и взаимодействием между различными ее субъектами, а также с отношениями между этими субъектами и другими заинтересованными группами (наемные руководители и работники, кредиторы, государственные органы). Именно такая деятельность требует четкого правового регулирования.
Что касается процедур управления и контроля в АО, с точки зрения организации фирмы, т. е. структур функционального и линейного управления, схем административной подчиненности, должностного определения полномочий и прочих структурных факторов организации, то эти проблемы решаются каждой компанией самостоятельно с учетом ее собственных целей и стратегии и не требуют законодательного регулирования.
Независимо от различных определений и теоретических подходов, ключевая задача корпоративного управления является общепризнанной: защита определенного круга участников корпоративных отношений от потенциального произвола (неэффективной деятельности) наемных менеджеров. Различие состоит в типах и степени вовлечения в сферу корпоративных отношений различных категорий таких потенциальных участников.
В самом узком понимании корпоративное управление состоит в обеспечении деятельности менеджеров по управлению предприятием в интересах владель цев-акционеров. Многие исследователи рассматривают корпоративное управление как пути и способы, с помощью которых всем финансовым внешним инвесторам гарантируется доход на свои инвестиции. К финансовым внешним инвесторам относятся не только держатели акций, но и кредиторы корпорации. Наконец, в наиболее широкой трактовке корпоративное управление — это учет и защита интересов как финансовых, так и нефинансовых инвесторов, вносящих свой вклад в деятельность корпорации (концепция “соучастников”). К нефинансовым инвесторам могут относиться служащие (специфические навыки для корпорации), поставщики (специфическое оборудование для корпорации), местные власти (инфраструктура и налоги в интересах корпорации) и др.
Очевидно, что степень охвата потенциальных “объектов защиты” посредством корпоративного управления во многом определяется экономическими, правовыми, историческими и этическими традициями в конкретном обществе. Среди важных факторов, которые оказывают влияние на формирование конкретной (национальной) модели корпоративного управления (контроля), следует выделить:
политическая система (существует ряд исследований, проводящих прямые параллели между устройством политической системы “избиратели—парламент—правительство” и моделью корпоративного управления “акционеры—совет директоров—менеджеры”);
Определенная консервативность характерна для любой модели корпоративного управления, а формирование его конкретных механизмов обусловлено историческим процессом в конкретной стране. Это означает, в частности, что не следует ждать быстрых изменений модели корпоративного управления вслед за какими-либо радикальными правовыми изменениями.
Необходимо подчеркнуть тот факт, что для России и других стран с переходной экономикой в настоящее время характерны только формирующиеся и промежуточные модели корпоративного управления, которые зависят от выбранной модели приватизации. Для них типичны ожесточенная борьба за контроль в корпорации, недостаточная защита акционеров (инвесторов), недостаточно развитое правовое и государственное регулирование.
Среди наиболее важных специфических проблем, присущих (в данном контексте) большинству стран с переходной экономикой и создающих дополнительные трудности формирования моделей корпоративного управления и контроля, следует выделить:
• относительно нестабильная макроэкономическая и политическая ситуация;
• неблагоприятное финансовое состояние большого числа вновь созданных корпораций;
• недостаточно развитое и относительно противоречивое законодательство в целом;
• слабость инфраструктуры для обеспечения исполнения корпоративного законодательства (проблема инфорсмента);
• доминирование в экономике крупных корпораций и проблема монополизма;
• во многих случаях значительная первоначальная “распыленность” владения акциями;
• особая роль менеджеров (директоров) в корпоративном контроле;
• продолжающаяся борьба за контроль в корпорациях и соответственно нестабильность системы прав собственности;
• социально-политические преграды для проведения реальных процедур банкротства убыточных корпораций;
• слабые и неликвидные (малоликвидные) рынки корпоративных ценных бумаг;
• неразвитая система финансовых институтов;
• проблема “прозрачности” эмитентов и рынков;
• как следствие отсутствие (неразвитость) внешнего контроля за менеджерами бывших государственных предприятий;
• слабые внутренние (национальные) и опасающиеся многих дополнительных рисков внешние (иностранные) инвесторы;
• отсутствие (забвение) традиций корпоративной этики и культуры;
• сохранение значительной доли собственности у государства;
• коррупция и прочие криминальные аспекты проблемы.
В этом — одно из принципиальных отличий от “классических” моделей, сложившихся в странах с развитой рыночной экономикой, которые относительно стабильны и имеют более чем столетнюю историю.
Каждая страновая модель (наиболее известны англосаксонская, германская и японская) формировалась в течение исторически длительного периода и отражает прежде всего специфические национальные условия социально-экономического развития, традиции и идеологию. Прямое и автоматическое перенесение зарубежных моделей на “целинную” почву переходных экономик не только бессмысленно, но и опасно для дальнейшего реформирования.
Принципиально важным правовым условием достижения прогресса в сфере корпоративного управления должно быть интенсивное государственное регулирование как долгосрочного характера (базовые законы), так и оперативного типа (защита инвесторов, регулирование корпоративных конфликтов, предотвращение злоупотреблений и мошенничества).
Центральной идеей как долгосрочного, так и оперативного государственного регулирования в этой области должна быть правовая защита инвесторов. Хотя основой для такой защиты должно быть законодательство о компаниях, эффективность правовой защиты зависит от многих сопряженных актов: о ценных бумагах, о рынке ценных бумаг, о банках, о небанковских финансовых институтах, о банкротствах и др.
ВОПРОСЫ ДЛЯ САМОПРОВЕРКИ
1. Какой круг отношений входит в понятие корпоративного управления и контроля?
2. В чем заключается основная задача корпоративного управления?
3. Какие факторы важны для формирования конкретной модели корпоративного управления?
4. Почему проблемы корпоративного управления и контроля важны для развития АО и экономики в целом?
5. Как связаны между собой задачи корпоративного управления и защита инвесторов?
9.1 СОЗДАНИЕ АО
Деятельность акционерных обществ в России регулируется Федеральным законом от 26.12.95 ¹ 208-ФЗ “Об акционерных обществах” (далее — закон), основой норм которого является Гражданский кодекс Российской Федерации, устанавливающий общие положения об акционерном обществе.
В соответствии со ст. 2 закона, акционерным обществом (АО) признается коммерческая организация, уставный капитал которой разделен на определенное число акций, удостоверяющих обязательственные права участников общества (акционеров) по отношению к обществу. Акционеры не отвечают по обязательствам общества и несут риск убытков, связанных с его деятель ность ю, в пределах стоимости принадлежащих им акций.
Создание акционерного общества может осуществляться:
* путем учреждения нового юридического лица,
* путем реорганизации уже существующего юридического лица.
Учредителями общества могут являться как граждане, так и юридические лица, при этом допускается возможность учреждения акционерных обществ государственными органами или органами местного самоуправления
Число учредителей открытого АО не ограничено, число учредителей в закрытых АО — не более 50.
Закон содержит ограничение по составу учредителей: единственным учредителем общества не может быть другое хозяйственное общество, состоящее из одного лица.
Единственным учредительным документом АО является устав. В целях защиты прав и интересов акционеров и потенциальных инвесторов Законом предусмотрено, что по требованию акционера, аудитора или любого заинтересованного лица общество обязано в разумные сроки предоставить им возможность ознакомиться с уставом общества, включая изменения и дополнения к нему. Изменения и дополнения в устав общества приобретают силу для третьих лиц с момента их государственной регистрации.
При учреждении общества учредители заключают между собой договор о его создании, в котором содержится информация о размере уставного капитала общества, типах акций и порядок оплаты акций, подлежащих размещению среди учредителей. Денежная оценка имущества, вносимого учредителями в оплату акций, утверждается учредителями единогласно.
Юридическое значение уставного капитала заключается в том, что его размер определяет пределы минимальной имущественной ответственности общества по своим обязательствам. Экономическое и практическое значение создания уставного капитала состоит в возможности оперативного привлечения финансовых средств, необходимых для начала реальной хозяйственной деятельности.
Минимальный размер уставного капитала для открытого АО составляет 1000 минимальных размеров оплаты труда (МРОТ), для закрытого АО — 100 МРОТ.
Уставный капитал равен номинальной стоимости размещенных (т. е. приобретенных акционерами) акций. Объявленные акции представляют собой акции, которые АО вправе размещать дополнительно к уже размещенным акциям. Таким образом, дополнительные акции могут быть размещены только в пределах объявленных акций.
ВОПРОСЫ ДЛЯ САМОПРОВЕРКИ
1. Какие существуют способы создания АО?
2. Кто может быть учредителем АО, какие существуют ограничения для учредителей?
3. Какие учредительные документы требуются при учреждении АО?
4. Опишите требования к уставному капиталу АО.
5. Что такое объявленные акции?
9.2 ПРЕОБРАЗОВАНИЕ И ЛИКВИДАЦИЯ АО
Законом установлена возможность реорганизации обществ в форме слияния, присоединения, разделения, выделения и преобразования.
С целью защиты прав акционеров и кредиторов реорганизуемого АО закон устанавливает для каждой формы реорганизации порядок:
• перехода прав и обязанностей реорганизуемого АО,
• действий совета директоров,
• принятия решения общим собранием АО,
• утверждения разделительного баланса или передаточного акта,
• определения возможности конвертации акций реорганизуемых АО в акции вновь возникших обществ.
Слиянием обществ признается возникновение нового общества путем передачи к нему в соответствии с передаточным актом всех прав и обязанностей реорганизуемых АО с прекращением деятельности последних.
Общее собрание каждого АО, участвующего в слиянии, принимает решения о реорганизации в форме слияния, об утверждении договора о слиянии, об утверждении передаточного акта. Утверждение устава и выборы совета директоров вновь возникшего АО проводятся на совместном общем собрании акционеров тех обществ, которые принимают участие в слиянии.
Присоединением общества признается прекращение деятельности одного или нескольких обществ с передачей всех их прав и обязанностей другому АО. При этой форме реорганизации передача имущества осуществляется посредством заключения договора о присоединении и утверждения передаточного акта между присоединяемым АО и обществом, к которому осуществляется присоединение.
Разделением общества признается прекращение его деятельности с передачей всех его прав и обязанностей к вновь создаваемым АО в соответствии с разделительным балансом. Общее собрание акционеров реорганизуемого АО утверждает решение о реорганизации общества в форме разделения, о создании новых АО, о порядке конвертации акций реорганизуемого АО в акции и/или иные ценные бумаги вновь созданных обществ. Общее собрание каждого вновь создаваемого АО утверждает устав и избирает совет директоров.
Выделением АО признается создание одного или нескольких АО с передачей им в соответствии с разделительным балансом части прав и обязанностей реорганизуемого АО без прекращения деятельности последнего.
Преобразование юридического — изменение его организационно-правовой формы. АО может быть преобразовано в общество с ограниченной ответственностью или в производственный кооператив. Имущественные права и обязанности реорганизованного АО переходят в соответствии с передаточным актом к вновь возникшему юридическому лицу с новым правовым статусом. Порядок обмена акций АО на вклады участников общества с ограниченной ответственностью или паи членов производственного кооператива утверждает общее собрание акционеров реорганизуемого АО.
С целью защиты прав кредиторов при любой форме реорганизации общество обязано уведомить кредиторов в письменной форме не позднее 30 дней с даты принятия решения о реорганизации.
С целью защиты прав акционеров закон предусматривает право акционера требовать от АО выкупа всех или части принадлежащих ему акций в случае принятия решения о реорганизации общества, если акционер голосовал против или не принимал участия в голосовании.
АО считается реорганизованным с момента государственной регистрации вновь возникших юридических лиц, а при реорганизации в форме присоединения — с момента внесения в единый государственный реестр юридических лиц записи о прекращении деятельности присоединенного общества.
Ликвидация АО — прекращение его деятельности без перехода прав и обязанностей в порядке правопреемства. Общество может быть ликвидировано добровольно или по решению суда. Исключительным правом принятия решения по добровольной ликвидации общества обладает общее собрание акционеров (квалифицированным большинством в 3/4 голосов акционеров, присутствующих на собрании, — владельцев голосующих акций).
Порядок ликвидации АО и очередность выплат кредиторам осуществляется в соответствии с Гражданским кодексом.
Особенность ликвидации АО — порядок и очередность распределения между акционерами оставшегося после завершения расчетов с кредиторами имущества ликвидируемого общества:
1) выплаты по акциям, подлежащим выкупу обществом у акционеров, голосовавших против или не принимавших участия в голосовании по вопросам:
* реорганизации общества,
* совершения крупной сделки,
* внесения изменений и дополнений в устав АО, ограничивающих права данных акционеров;
2) выплаты начисленных, но не выплаченных дивидендов и ликвидационной стоимости по привилегированным акциям,
3) распределение имущества между владельцами обыкновенных акций и всех типов привилегированных акций, по которым не определена ликвидационная стоимость.
ВОПРОСЫ ДЛЯ САМОПРОВЕРКИ
1. Перечислите методы реорганизации АО.
2. Какие вопросы обязательно должны быть решены при реорганизации для защиты интересов инвесторов и кредиторов?
3. В чем состоит различие между слиянием и присоединением общества?
4. Как осуществляется преобразование общества?
5. В каком порядке происходит распределение имущества ликвидируемого общества?
9.3 ПРАВА АКЦИОНЕРОВ
АО является собственником принадлежащего ему имущества, включая имущество, переданное ему акционерами в уставный капитал. Соответственно акционеры имеют по отношению к обществу имущественные права, выраженные акцией как ценной бумагой.
АО вправе выпускать только именные акции двух категорий — обыкнове нные и привилегированные. Номинальная стоимость размещенных привилегированных акций общества должна быть не более 25 % от уставного капитала АО.
Обыкновенная акция дает право:
• на участие в общем собрании акционеров с правом голоса по всем вопросам компетенции общего собрания (см. “Компетенция органов управления АО”);
• на получение дивидендов;
• на получение части имущества в случае ликвидации общества.
Все обыкновенные акции общества и привилегированные акции одного типа должны иметь одинаковую номинальную стоимость и предоставлять ее владельцу одинаковый объем прав.
Привилегированная акция предоставляет право:
• на получение дивиденда в виде фиксированной суммы или процента к номинальной стоимости акций;
• право на получение определенной в уставе части имущества АО в случае его ликвидации (ликвидационной стоимости).
Владельцы привилегированных акций имеют преимущества перед владельцами обыкновенных акций в получении соответствующих выплат (установленного размера дивиденда, ликвидационной стоимости).
Дивиденды по акциям выплачиваются из чистой прибыли или в случае привилегированных акций — за счет средств специально созданных для этих целей фондов, что позволяет обществу обеспечить дополнительную гарантию для владельцев привилегированных акций.
Дивиденды выплачиваются ежеквартально, раз в полгода (промежуточные дивиденды) или раз в год (годовые дивиденды). Решение о выплате промежуточных дивидендов и о их размере принимает совет директоров. Решение о выплате годовых дивидендов и о их размере принимает общее собрание по рекомендации совета директоров. Годовой дивиденд не может быть меньше промежуточного и больше рекомендованного советом директоров.
Существуют обстоятельства, при которых общество не вправе выплачивать дивиденды:
· до полной оплаты уставного капитала;
· до выкупа акций, подлежащих выкупу;
· при наличии или появлении в результате выплаты дивидендов признаков несостоятельности (банкротства);
· если стоимость чистых активов меньше суммы уставного капитала, резервного фонда и превышения ликвидационной стоимости привилегированных акций над номинальной стоимостью.
Кумулятивные привилегированные акции предусматривают накапливание невыплаченного дивиденда или его части с целью последующей выплаты. Тем не менее выплата дивидендов по привилегированным акциям не является обязательством АО, в отличие от выплаты процентов по облигациям.
Таким образом, привилегированные акции представляют собой попытку найти компромисс между желанием общества привлечь дополнительные средства без обязательства их возврата (погашения номинальной суммы займа) и нежеланием “разводнять” контроль в АО путем увеличения числа лиц, имеющих право на участие в управлении обществом.
В случае предусмотренной в уставе конвертации привилегированных акций в обыкновенные акции, привилегированные акции могут обладать правом голоса. С целью обеспечения возможности защиты владельцами привилегированных акций своих интересов законом предусмотрены обстоятельства, при которых владельцам привилегированных акций предоставляется право голоса на общем собрании:
- при решении вопросов о реорганизации и ликвидации общества;
- по всем вопросам компетенции общего собрания, начиная с собрания, следующего за годовым, на котором были не были приняты решения:
а) о выплате дивидендов или о неполной их выплате;
б) о полной выплате накопленных дивидендов по кумулятивным акциям, если такое решение должно быть принято.
Таким образом, голосующей акцией АО является обыкновенная или привилегированная акция, предоставляющая ее владельцу право голоса при решении вопроса, поставленного на голосование. Право голоса акция предоставляет ее приобретателю только с момента ее полной оплаты, за исключением акций, приобретенных учредителями в момент создания АО. По акциям, поступившим в распоряжение общества в случае неполной их оплаты в установленные при размещении сроки, а также при выкупе обществом акций у своих акционеров, право голоса не предоставляется.
В случае размещения дополнительных (т. е выпущенных в порядке увеличения уставного капитала) акций и иных конвертируемых в акции ценных бумаг посредством открытой подписки с оплатой в денежной форме акционеры — владельцы голосующих акций АО могут иметь, если это предусмотрено уставом, преимущественное право приобретения указанных ценных бумаг общества.
Преимущественное право не влияет на природу открытой подписки. Реализация данного права не преобразует открытую подписку в закрытую, даже в случаях полного размещения дополнительно выпущенных акций среди акционеров акционерного общества. Общее собрание акционеров вправе принять решение о неприменении преимущественного права на срок не более одного года.
Акционеры, владеющие не менее чем 2 процентами голосующих акций общества, имеют право вносить предложения в повестку дня годового общего собрания акционеров общества.
Акционеры, владеющие не менее чем 10 процентами голосующих акций общества, имеют право требовать от совета директоров проведения внеочередного общего собрания акционеров общества, а в случае отказа в этом — имеют право созыва такого собрания.
Каждый акционер имеет право требовать подтверждения его прав на акции путем выдачи выписки из реестра акционеров общества. Выписка из реестра акционеров не является ценной бумагой и соответственно ее передача третьему лицу не означает совершения сделки и, конечно, не влечет перехода права собственности на акции.
ВОПРОСЫ ДЛЯ САМОПРОВЕРКИ
1. Какие права предоставляет обыкновенная акция?
2. Какие права предоставляет привилегированная акция?
3. Кто имеет преимущества в получении дивиденда и ликвидационной стоимости — владельцы привилегированных акций или владельцы обыкновенных акций?
4. При каких обстоятельствах общество не вправе выплачивать дивиденды?
5. Кому и в каких случаях предоставляется преимущественное право приобретения ценных бумаг общества?
9.4 КОМПЕТЕНЦИЯ ОРГАНОВ УПРАВЛЕНИЯ
В АО действует трехзвенная структура органов управления. Каждый из органов управления принимает решения по вопросам деятельности общества в соответствии со своей компетенцией. Разделение компетенции по управлению обществом между несколькими органами возникает в силу того, что текущее руководство деятельностью АО предполагает помимо профессионализма достаточную степень самостоятельности при принятии решений и, следовательно, необходимость контроля за деятельностью управляющего и сосредоточения функций принятия решений по наиболее важным для АО вопросам в тех органах, которые непосредственно представляют интересы акционеров.
Закон об АО:
* определяет систему органов управления АО;
* устанавливает компетенцию каждого органа управления;
* определяет порядок образования и деятельности органов управления АО;
* предусматривает необходимость создания при определенных условиях дополнительных органов (ревизионная комиссия, счетная комиссия), чья деятельность является вспомогательной и способствует эффективной работе органов управления АО и защите интересов акционеров;
* предусматривает возможность использования услуг сторонних организаций (независимого оценщика, аудитора).
В АО создаются и действуют:
• общее собрание акционеров;
• совет директоров (наблюдательный совет);
• исполнительный орган общества.
Исключением является АО с числом акционеров — владельцев голосующих акций менее 50, в которых уставом может быть предусмотрено, что функции совета директоров может выполнять общее собрание акционеров.
Общее собрание акционеров является высшим органом управления акционерного общества. Посредством участия акционеры — владельцы голосующих акций реализуют свое право на участие в управлении АО. Собрание акционеров вправе рассматривать и принимать решения только по вопросам, отнесенным к его компетенции законом и уставом.
Уставом общества компетенция общего собрания не может быть расширена по сравнению с компетенцией, установленной законом, но может быть сужена. Исключением является случай, когда число акционеров — владельцев голосующих акций менее 50. Совет директоров при этой отсутствует, и общее собрание принимает на себя часть вопросов исключительной компетенции совета директоров.
Компетенция общего собрания — это допустимый перечень вопросов, которые собрание в соответствии с законом вправе рассматривать и принимать по ним решения. Компетенция общего собрания делится на исключительную и альтернативную.
Исключительная компетенция — это часть вопросов компетенции собрания акционеров, которая не может быть передана исполнительным органам общества.
Компетенция общего собрания состоит из организационных и имущественно-правовых вопросов.
К организационным вопросам относится следующее:
К имущественно-правовым вопросам компетенции общего собрания можно отнести следующее:
* принятие решения об увеличении или уменьшении уставного капитала;
* принятие решения о консолидации и дроблении размещенных акций;
* принятие решения о совершении крупной сделки, предметом которой является имущество, стоимость которого составляет свыше 50% балансовой стоимости активов общества на дату принятия решения о совершении такой сделки.
Альтернативная компетенция — это часть вопросов компетенции собрания акционеров, которая может передаваться на решение другим органам управления.
К альтернативным вопросам компетенции общего собрания относятся:
• решение об участии в холдинговых компаниях, финансово-промышленных группах, иных объединениях коммерческих организаций;
• принятие решения о выплате дивидендов, утверждении их размера, формы выплаты по акциям каждой категории, определение даты их выплаты;
• установление размеров вознаграждений и компенсаций членам совета директоров;
• утверждение, внесение изменений и дополнений в “Положение о ревизионной комиссии”;
• установление размеров вознаграждений и компенсаций членам ревизионной комиссии по рекомендации совета директоров;
• принятие решения о проверке финансово-хозяйственной деятельности АО ревизионной комиссией.
Таким образом, закон, расширив перечень вопросов, решения по которым могут приниматься только общим собранием акционеров, тем не менее предусматривает, что ряд вопросов компетенции общего собрания может передаваться на решение,
во-первых, совета директоров общества:
увеличение уставного капитала,
образование и досрочное прекращение полномочий исполнительного органа,
во-вторых, на усмотрение как совета директоров, так и исполнительного органа могут быть переданы общим собранием следующие вопросы:
• приобретение размещенных акций,
• участие в холдинговых компаниях, финансово-промышленных группах, иных объединениях коммерческих организаций,
• иных вопросов, которые закон относит к компетенции общего собрания.
Вопросы, по которым общее собрание может принять решение, не могут быть расширены произвольно по усмотрению общего собрания.
Совет директоров (наблюдательный совет) как орган управления обществом осуществляет общее руководство его деятельностью в пределах своей компетенции. Обязательно создание совета ( директоров в акционерных обществах с числом акционеров — владельцев голосующих акций более 50. В акционерных обществах с числом акционеров — владельцев голосующих акций менее 50 устав может предусматривать наличие совета директоров, в противном случае его функции осуществляет общее собрание.
Основная задача совета директоров — выработка стратегической политики с целью увеличения прибыльности и обеспечения устойчивого финансово-экономического состояния общества, а также осуществление контроля за деятельностью исполнительных органов общества.
К исключительной компетенции совета директоров относятся следующие вопросы:
• определение приоритетных направлений деятельности АО;
• принятие решения о созыве общего годового собрания;
• принятие решения о созыве внеочередного общего собрания;
• заключение договоров с единоличным и коллегиальным исполнительным органом;
• утверждение итогов размещения дополнительных акций;
• принятие решения о приобретении размещенных акций общества в случаях, не связанных с целевым уменьшением уставного капитала;
• принятие решения о создании филиалов и открытии представительств общества, утверждение положений о них;
• принятие решения об участии общества в других организациях;
• принятие решения о заключении сделок, в совершении которых имеется заинтересованность;
•' определение рыночной стоимости имущества, являющегося предметом крупной сделки;
• определение рыночной стоимости имущества, вносимого в оплату дополнительно размещаемых акций и иных ценных бумаг.
Альтернативная компетенция совета директоров — это вопросы, которые могут быть отнесены уставом в ведение общего собрания или исполнительных органов. Число данных вопросов ограничено законом и не может быть расширено. Это такие вопросы, как:
определение даты выплаты годовых дивидендов;
назначение единоличного исполнительного органа и членов коллегиального исполнительного органа, а также досрочное прекращение их полномочий;
заключение договоров с коммерческой организацией на исполнение функций исполнительного органа общества и др.
Данные положения ограничивают вмешательство совета директоров в повседневную деятельность исполнительного органа общества, гарантируя его самостоятельность в выполнении поставленных передним задач — получения обществом прибыли.
Совет директоров ежегодно отчитывается перед общим собранием о своей деятельности. Решения общего собрания являются обязательными для них. Члены совета директоров должны действовать в интересах общества при осуществлении своих прав и исполнении обязанностей. Они несут ответственность перед акционерным обществом за убытки, причиненные обществу их виновными действиями (или бездействием), если иные основания или размер ответственности не установлены законодательством Российской Федерации.
Акционерам предоставляется право на кумулятивное голосование.
Законом допускаются две процедуры выборов членов совета директоров — кумулятивное (совокупное) и раздельное голосование по каждому кандидату. Если количество акционеров — владельцев обыкновенных акций в обществе превышает 1000, то выборы Совета директоров должны проводиться только кумулятивным голосованием.
В случае кумулятивного голосования проводится одно голосование по всему списку кандидатов. На каждую голосующую акцию приходится количество голосов, равное числу членов совета директоров общества, определенному в уставе. Каждый акционер имеет количество голосов, равное произведению количества принадлежащих ему обыкновенных акций и числа вакансий в избираемый совет директоров. Он может распределить свои голоса между любым количеством выдвинутых кандидатов или отдать все голоса одному или не отдавать голоса ни одному из кандидатов.
Рассмотрим пример, поясняющий процедуру кумулятивного голосования. Допустим, что общество состоит из 3 акционеров. Г-н Х владеет 20, г-н У—30, а г-ну Z принадлежит 50 обыкновенных акций общества. Уставом предусмотрено, что совет директоров состоит из трех членов. Каждый акционер выдвигает от своего имени по две кандидатуры. Таким образом, на три вакансии претендуют шесть соискателей. Акционер Х будет располагать 60 голосами (20 акций х 3 вакансии), акционер У — 90 голосами, а акционер Z — 150 голосами. Избранным в совет директоров считается кандидат, набравший большее относительно других число голосов. Если предположить, что акционеры Х и У отдали все голоса одному из своих кандидатов, а акционер Z распределил голоса между своими кандидатами в пропорции: 30% — одному кандидату и соответственно 0 % второму, то в итоге в совет директоров будут избраны по одному кандидату от каждого акционера, несмотря на то, что изначально каждый из них владел различным количеством акций.
Таким образом, достоинства кумулятивного голосования состоят в том, что кумулятивное голосование:
• предоставляет собой эффективный способ формирования совета директоров, так как для избрания претенденту необходимо лишь опередить других соискателей независимо от набранной им абсолютной суммы голосов;
• снижает вероятность конфликтов внутри совета директоров, что способствует повышению стабильности в обществе;
• позволяет акционерам с относительно небольшим числом акций избрать своих кандидатов в совет директоров, например, если группа акционеров, владеющая небольшим количеством обыкновенных акций, договорится и отдаст все свои голоса одному кандидату, то он сможет пройти в совет директоров, даже при участии в выборах владельцев крупных пакетов акций.
Достоинства кумулятивного голосования
Исполнительный орган осуществляет руководство всей текущей деятельностью акционерного общества. Исполнительный орган наделен так называемой остаточной компетенцией, т. е. вправе решать любые вопросы деятельности общества, которые законом отнесены к исключительной компетенции общего собрания и совета директоров.
Оперативное руководство деятельностью общества может осуществляться единоличным исполнительным органом (директором, генеральным директором) или параллельно единоличным исполнительным органом и коллегиальным исполнительным органом (правлением, дирекцией). Если в акционерном обществе создаются и единоличный, и коллегиальный исполнительный орган, то в уставе должна быть разграничена их компетенция, а функции председателя коллегиального исполнительного органа должен выполнять единоличный.
Единоличный исполнительный орган в процессе руководства деятельностью общества без доверенности действует от его имени как вовне, совершая сделки, так и в рамках самого общества, издавая приказы и давая обязательные для работников общества указания. В обществе, где создан коллегиальный исполнительный орган, единоличный орган действует самостоятельно только в рамках своей компетенции, подчиняясь в остальном решениям коллегиального органа.
Правление (дирекция) как коллегиальный исполнительный орган акционерного общества осуществляет текущее руководство деятельностью общества в пределах своей компетенции, определенной уставом, решениями общего собрания, внутренним документом общества, утверждаемым советом директоров. Работа правления возглавляется генеральным директором и контролируется советом директоров. Основной целью деятельности этого органа управления является увеличение прибыльности общества на основе проведения выбранной им экономической политики. Правление выступает от имени общества в суде и в отношениях с государственными органами, юридическими и физическими лицами. К полномочиям правления относится свободный выбор сферы деятельности общества в пределах, установленных уставом и решениями общего собрания.
ВОПРОСЫ ДЛЯ САМОПРОВЕРКИ
1. Перечислите основные вопросы системы управления общества, которые регулируются в Законе “Об акционерных обществах”.
2. Из каких основных элементов складывается система управления обществом?
3. Что такое исключительная и альтернативная компетенция общего собрания акционеров?
4. Перечислите основные функции совета директоров (наблюдательного совета).
5. Объясните, как происходит кумулятивное голосование.
ГЛАВА 10. СИСТЕМА РЕГУЛИРОВАНИЯ РЫНКА ЦЕННЫХ БУМАГ И РОЛЬ ФКЦБ
10.0 ОБЩИЕ ПРИНЦИПЫ, ЗАДАЧИ И ОБЪЕКТЫ РЕГУЛИРОВАНИЯ
Создаваемая государством система регулирования рынка ценных бумаг является главным инструментом государственной политики на рынке ценных бумаг, основные задачи которой сформулированы в Концепции развития рынка ценных бумаг в Российской Федерации, утвержденной Указом Президента России ¹ 1008 от 1 июля 1996 г.:
(1) Создание и обеспечение эффектив ного функционирования механизмов привлечения инвестиций в частный сектор российской экономики — и, прежде всего, привлечение частных инвестиций на приватизированные предприятия.
(2) Создание условий для финансирования дефицита государственного бюджета (прежде всего — федерального бюджета) на основе связанных с рынком ценных бумаг методов неинфляционного финансирования государственных расходов.
(3) Обеспечение условий и создание надежных механизмов инвестирования средств населения.
(4) Перестройка системы управления приватизированными предприятиями и создание института “эффективного собственника”, повышение дисциплинирующего воздействия рынка ценных бумаг на администрацию российских компаний.
(5) Предотвращение социальных взрывов и конфликтов, могущих возникнуть в результате с операциями на рынке ценных бумаг путем защиты прав участников рынка ценных бумаг, и в первую очередь, прав инвесторов.
(6) Создание цивилизованного рынка и интеграция российского рынка ценных бумаг в мировой финансовый рынок, обеспечение самостоятельного места российского рынка ценных бумаг в системе международных рынков капиталов.
(7) Защита интересов и законных прав граждан, юридических лиц и государства на основе борьбы с суррогатами ценных бумаг, борьбы с мошенничеством и пресечения незаконной деятельности на фондовом рынке.
Указанные задачи носят стратегический характер, комплиментарны и должны решаться комплексно, в увязке друг с другом. При их решении необходимо учитывать особенности рынка ценных бумаг как одного из основных механизмов аккумуляции и перераспределения инвестиционных ресурсов в народном хозяйстве: в основе фукнционирования рынка лежит добровольное вложение временно свободных денежных средств инвесторами в инструменты рынка ценных бумаг. По этой причине главной практической задачей государственного регулирования, от решения которой зависит само существование рынка, является обеспечение доверия инвесторов к рынку.
Вместе с тем, хотя система регулирования рынка ценных бумаг несет значительную политическую нагрузку, она должна формироваться в четком соответствии с необходимостью обеспечить эффективное выполнение рынком ценных бумаг ряда экономических функций, определяющих экономические задачи регулирования рынка.
Основной стратегической задачей всей системы государственного регулирования рынка является формирование и обеспечение неукоснительного соблюдения таких правил деятельности всех его субъектов, при которых рынок ценных бумаг наиболее эффективно выполняет свои основные макроэкономические функции — мобилизацию свободных ресурсов для развития экономики и формирование доходных и надежных инструментов сбережения для населения.
Поскольку рынок ценных бумаг является одним из основных механизмов аккумуляции и распределения финансовых ресурсов, при формировании режима его регулирования необходимо также учитывать и комплекс конкретных экономических и политических задач государства, в частности, отражающих специфику начального этапа развития рынка, а также необходимость формирования государственного контроля, обеспечивающего прозрачность и управляемость финансовых потоков в государстве (понимаемую, прежде всего, как способность государства влиять на финансовые потоки в соответствии со своими приоритетами — например, приоритетами промышленной политики).
Помимо общих макроэкономических функций, выполняемых рынком ценных бумаг, необходимо учитывать, что совокупность действующих на нем профессиональных участников сама по себе представляет чрезвычайно важную отрасль рыночной экономики, обеспечивающую значительное количество высокооплачиваемых рабочих мест и генерирующую значительные налоговые поступления. Таким образом, в задачи государственного регулирования входит также обеспечение развития рынка ценных бумаг как одной из важнейших отраслей сферы финансовых услуг, и сохранение национального контроля за этой отраслью. Основными практическими задачами развития этой отрасли как части национальной экономики являются:
стимулирование операций с российскими ценными бумагами в России (в противном случае — если операции с российскими ценными бумагами будут осуществляться, главным образом, за границей — возможности развития этой отрасли будут резко ограничены);
обеспечение конкурентоспособности российских финансовых институтов по отношению к иностранным финансовым институтам, действующим на российском рынке ценных бумаг.
Решение указанных задач непосредственно связано с задачами технического регулирования рынка (поддержание оптимальных количественных и качественных параметров рынка) — мерами регулирования, направленными на обеспечение ликвидности ценных бумаг, сглаживание резких колебаний курсов ценных бумаг в результате спекулятивной игры (например, на основе ограничения возможностей дилеров привлекать заемные средства для финансирования спекулятивных операций). В ряду задач технического регулирования особое место занимает предотвращение системных кризисов, которые могут быть вызваны, например, сбоями в работе расчетных и клиринговых систем.
В зависимости от специфики деятельности различных участников рынка органами государственного регулирования применяются различные методы как функционального, так и институционального регулирования.
Методы институционального регулирования связаны, прежде всего, с регулированием финансового положения конкретных финансовых институтов и качеством управления ими. Институциональное регулирование, таким образом, направлено на предупреждение финансовой несостоятельности объектов регулирования, и по этой причине охватывает все аспекты деятельности конкретных организаций с точки зрения их влияния на финансовое положение объектов регулирования. К числу методов институционального регулирования относятся, например, установление требований к размеру собственных средств участников, регулирование структуры активов и пассивов, ограничение или запрещение участия в рискованных операциях, которые могут привести к финансовой несостоятельности объекта регулирования. Институциональное регулирование является основой регулирования банковской деятельности, однако широко применяется и на рынке ценных бумаг в тех случаях, когда специфика конкретных видов профессиональной деятельности делает необходимым контроль за финансовым положением участников для защиты интересов инвесторов и других субъектов фондового рынка. К числу таких видов деятельности относится, например, хранение и обслуживание ценных бумаг.
В отличие от методов институционального регулирования, методы функционального регулирования связаны с установлением правил совершения определенных операций (т. е. выполнения определенных функций). Например, во многих странах действует законодательство, предусматривающее обязанность брокера в приоритетном порядке (по отношению к собственным операциям) исполнять заявки на покупку или продажу ценных бумаг, поступившие от клиентов. Требование вести учет клиентских ценных бумаг отдельно от своих собственных применяется в России по отношению ко всем финансовым институтам, принимающим на хранение и обслуживание ценные бумаги клиентов, и относится к методам функционального регулирования.
Поскольку в большинстве случаев для защиты интересов инвесторов на рынке ценных бумаг основной акцент делается имеет именно на то, как профессиональные участники обслуживают клиентов, а не на финансовое состояние профессиональных участников, именно методы функционального регулирования составляют основу регулирования рынка ценных бумаг. Этим обуславливается необходимость принятия детальных стандартов профессиональной деятельности, которые являются одним из основных инструментов регулирования рынка ценных бумаг.
Поскольку методы функционального регулирования рынка, составляющие основу всей системы его регулирования, связаны с установлением правил совершения операций, они во многом смыкаются с вопросами деловой этики и обычаев делового оборота. Именно по этим вопросам интересы участников рынка и задачи государства по многим позициям совпадают, что позволяет использовать саморегулирование как метод оперативного решения текущих вопросов. Совпадение интересов государства и участников рынка существует, прежде всего, в сфере предупреждения и разрешения конфликтов между участниками, улучшения управления рисками, снижения возможностей для мошенничества и других противоправных действий, поддержки ликвидности и стабильности рынка, внедрения лучших стандартов профессиональной деятельности. Решение указанных задач на базе саморегулируемых организаций требует специализации последних по видам профессиональной деятельности, а характер решаемых задач — формирование стандартов профессиональной деятельности и принуждение к их исполнению — обуславливает необходимость отказа от принципа конкурентности в сфере саморегулирования.
Несмотря на совпадение интересов участников и задач государства по многим вопросам регулирования рынка, это совпадение не является полным, и по значительному кругу вопросов требуется прямое государственное регулирование.
К основным принципам регулирования относятся:
(1) Принцип государственного регулирования рынка ценных бумаг, который заключается в том, что вся система регулирования рынка (включая систему саморегулирования) создается государством, выполняющим универсальную функцию по защите граждан и их интересов, осуществляющим меры по ' защите прав участников рынка ценных бумаг на основе лицензирования и регулирования всех видов профессиональной деятельности на рынке ценных бумаг.
(2) Принцип единства нормативной базы, режима и методов регулирования рынка на всей территории Российской Федерации.
(3) Принцип минимального государственного вмешательства и принцип максимального саморегулирования, который означает, что государство регулирует деятельность субъектов рынка лишь в тех случаях, когда это абсолютно необходимо, и делегирует часть своих нормотворческих и контрольных функций профессиональным операторам рынка ценных бумаг, организованным в саморегулируемые организации.
(4) Принцип равных возможностей, означающий:
• стимулирование государством конкуренции на рынке ценных бумаг через отсутствие преференций для отдельных участников рынка;
• равенство всех участников рынка ценных бумаг перед органами регулирования рынка;
• гласное и конкурсное распределение государственной поддержки различных проектов на рынке ценных бумаг;
• отсутствие преимуществ для государственных предприятий, функционирующих на рынке ценных бумаг, перед коммерческими;
• запрет для государственных органов давать публичные оценки профессиональных участников рынка;
• отказ от государственного регулирования цен на услуги профессиональных участников рынка (кроме компаний-реестродержателей).
(5) Принцип преемственности в развитии системы регулирования рынка, который заключается в эволюционном, планомерном характере ее развития, следование установленным долгосрочным ориентирам государственной политики в этой сфере, предоставлении возможностей адаптации к изменениям в системе регулирования рынка для всех субъектов регулирования.
(6) Ориентация на мировой опыт и учет тенденции глобализации финансовых рынков означает следование рекомендациям Группы 30 с целью создания цивилизованного и конкурентоспособного рынка ценных бумаг, а также разработку взвешенной политики по отношению к иностранным инвесторам и иностранным участникам российского рынка ценных бумаг.
Несмотря на то, что государство будет стремиться передать возможно большую часть функций по регулированию рынка саморегулируемым организациям, именно система прямого государственного регулирования несет основную нагрузку в решении задач регулирования рынка в целом и является основой всей системы регулирования. При этом к числу основных принципов государственного регулирования рынка ценных бумаг относятся:
Функциональное регулирование в сочетании с методами институционального регулирования по вопросам организации контроля и надзора за деятельностью участников рынка;
Использование механизмов саморегулирования рынка, создаваемых при помощи и под контролем государства;
Распределение полномочий по регулированию рынка между госведомствами на основе жесткой ответственности за результаты;
Приоритет защиты мелких инвесторов и населения, всех форм коллективных инвестиций при развитии системы регулирования рынка;
Приоритет в развитии инфраструктурных организаций;
Максимальное разделение рисков;
Предотвращение или частичное снятие конфликтов интересов на основе регулирования вопросов совмещения видов профессиональной деятельности.
К основным объектам регулирования (участникам рынка ценных бумаг) относят:
(1) Эмитентов ценных бумаг и организации, привлекаемые эмитентами для исполнения своих обязанностей перед инвесторами (включая регистраторов, аудиторов, платежных агентов и т. д.).
(2)Профессиональных посредников, действующих на рынке ценных бумаг, осуществляющих профессиональную деятельность на рынке ценных бумаг (включая брокерскую, дилерскую, депозитарную и иные виды деятельности). Среди профессиональных участников рынка ценных бумаг особую роль играют инфраструктурные организации (фондовые биржи и другие организаторы торговли, расчетные и клиринговые организации).
(3) Инвесторов и организации, профессионально занимающиеся управлением инвестициями.
(4) Саморегулируемые организации профессиональных участников рынка ценных бумаг.
В основе регулирования всех видов профессиональной деятельности на рынке ценных бумаг (2-я группа) и деятельности по управлению инвестициями лежит лицензирование указанных видов деятельности (см. главу 15). Следует отметить, что лицензирование в широком смысле не сводится к однократному акту выдачи лицензии тому или иному участнику рынка. Речь должна идти о систематических проверках деятельности участников рынка на предмет выполнения требований, вытекающих из обладания лицензией на ведение конкретной профессиональной деятельности.
Прямое регулирование деятельности большинства участников рынка входит в компетенцию Федеральной комиссии по рынку ценных бумаг (ФКЦБ России).
Регулирование деятельности ряда участников рынка (например, коммерческих банков, страховых компаний или негосударственных пенсионных фондов), полностью или частично (в отдельных аспектах их деятельности) отнесено к компетенции других ведомств. В итоге совокупное регулирование рынка ценных бумаг в России осуществляется несколькими органами, в компетенцию которых входят разные аспекты. Этими органами, помимо ФКЦБ, являются: Центральный банк России (ЦБР), Министерство финансов России (Минфин), Антимонопольный комитет, Госналогслужба России и другие органы.
Участие различных ведомств в регулировании деятельности субъектов рынка ценных бумаг строится на основе предусмотренного законодательством обязательного согласования всех нормативных актов по вопросам рынка ценных бумаг всех органов государственной власти и управления, принимаемых ими в пределах своей компетенции, с ФКЦБ России.
ВОПРОСЫ ДЛЯ САМОПРОВЕРКИ
1. Перечислите основные задачи создаваемой в России системы регулирования рынка ценных бумаг.
2. Каковы экономические функции системы регулирования рынка?
3. Почему необходима система государственного контроля рынка ценных бумаг?
4. Опишите методы технического, институционального и функционального регулирования рынка.
5. Перечислите основные принципы регулирования рынка.
10.1 ФУНКЦИИ И ПРАВА ФКЦБ
Для обеспечения государственного регулирования на рынке ценных бумаг, а также отношений, складывающихся в процессе обращения ценных бумаг, пресечения злоупотреблений и нарушений прав акционеров, Указом Президента РФ от 4 ноября 1994 г. ¹ 2063 “О мерах по государственному регулированию рынка ценных бумаг в Российской Федерации” была создана Федеральная комиссия по ценным бумагам и фондовому рынку при Правительстве РФ (ФКЦБ). Указом Президента от 27 февраля 1995 г. ¹ 202 статус ФКЦБ был приравнен к статусу федерального Министерства.
Развернутое описание функций и прав ФКЦБ России содержится в Федеральном законе “О рынке ценных бумаг” и Положении об ФКЦБ России, утвержденном Указом Президента Российской Федерации ¹ 1009 от 1 июля 1996 года “О Федеральной комиссии по рынку ценных бумаг”.
В соответствии с Законом “О рынке ценных бумаг” (ст. 40), Федеральная комиссия по рынку ценных бумаг — это федеральный орган исполнительной власти по проведению государственной политики в области РЦБ, контролю за деятельностью профессиональных участников РЦБ через определение стандартов их деятельности и по определению стандартов эмиссии ценных бумаг. Ее полномочия не распространяются на процедуру эмиссии долговых обязательств Правительства РФ и ценных бумаг субъектов федерации. ФКЦБ вправе квалифицировать ценные бумаги и определять их виды в соответствии с законодательством.
По закону (ст. 42), ФКЦБ осуществляет следующие функции:
(1) осуществляет разработку основных направлений развития рынка ценных бумаг и координацию деятельности федеральных органов исполнительной власти по вопросам регулирования рынка ценных бумаг;
(2) утверждает стандарты эмиссии ценных бумаг, проспектов эмиссии ценных бумаг эмитентов, в том числе иностранных эмитентов, осуществляющих эмиссию ценных бумаг на территории Российской Федерации, и порядок регистрации эмиссии и проспектов эмиссии ценных бумаг;
(3) разрабатывает и утверждает единые требования к правилам осуществления профессиональной деятельности с ценными бумагами;
(4) устанавливает обязательные требования к операциям с ценными бумагами, нормы допуска ценных бумаг к их публичному размещению, обращению, котированию и листингу, расчетно-депозитарной деятельности. Правила ведения учета и составления отчетности эмитентами и профессиональными участниками рынка ценных бумаг устанавливаются Федеральной комиссией совместно с Министерством финансов Российской Федерации;
(5) устанавливает обязательные требования к порядку ведения реестра;
(6) устанавливает порядок и осуществляет лицензирование различных видов профессиональной деятельности на рынке ценных бумаг, а также приостанавливает или аннулирует указанные лицензии в случае нарушения требований законодательства Российской Федерации о ценных бумагах;
(7) выдает генеральные лицензии на осуществление деятельности по лицензированию деятельности профессиональных участников рынка ценных бумаг, а также приостанавливает или аннулирует указанные лицензии. Аннулирование генеральной лицензии, выданной уполномоченному органу, не влечет аннулирования лицензий, выданных им профессиональным участникам рынка ценных бумаг;
(8) устанавливает порядок, осуществляет лицензирование и ведет реестр саморегулируемых организаций профессиональных участников рынка ценных бумаг и аннулирует указанные лицензии при нарушении требований законодательства Российской Федерации о ценных бумагах, а также стандартов и требований, утвержденных Федеральной комиссией;
(9) определяет стандарты деятельности инвестиционных, негосударственных пенсионных, страховых фондов и их управляющих компаний, а также страховых компаний на рынке ценных бумаг;
(10) осуществляет контроль за соблюдением эмитентами, профессиональными участниками рынка ценных бумаг, саморегулируемыми организациями профессиональных участников рынка ценных бумаг требований законодательства Российской Федерации о ценных бумагах, стандартов и требований, утвержденных Федеральной комиссией;
(11) обеспечивает раскрытие информации о зарегистрированных выпусках ценных бумаг, профессиональных участниках рынка ценных бумаг и регулировании рынка ценных бумаг;
(12) обеспечивает создание общедоступной системы раскрытия информации на рынке ценных бумаг;
(13) утверждает квалификационные требования, предъявляемые к лицам и организациям, осуществляющим профессиональную деятельность с ценными бумагами, к персоналу этих организаций, организует исследования по вопросам развития рынка ценных бумаг;
(14) разрабатывает проекты законодательных и иных нормативных актов, связанных с вопросами регулирования рынка ценных бумаг, лицензирования деятельности его профессиональных участников, саморегулируемых организаций профессиональных участников рынка ценных бумаг, контроля за соблюдением законодательных и нормативных актов о ценных бумагах, проводит их экспертизу;
(15) разрабатывает соответствующие методические рекомендации по практике применения законодательства Российской Федерации о ценных бумагах;
(16) осуществляет руководство региональными отделениями Федеральной комиссии;
(17) ведет реестр выданных, приостановленных и аннулированных лицензий;
(18) устанавливает и определяет порядок допуска к первичному размещению и обращению вне территории Российской Федерации ценных бумаг, выпущенных эмитентами, зарегистрированными в Российской Федерации;
(19) обращается в арбитражный суд с иском о ликвидации юридического лица, нарушившего требования законодательства Российской Федерации о ценных бумагах и о применении к нарушителям санкций, установленных законодательством Российской Федерации;
(20) осуществляет надзор за соответствием объема выпуска эмиссионных ценных бумаг их количеству в обращении;
(21) устанавливает соотношения между размерами объявленной эмиссии акций на предъявителя и оплаченного уставного капитала.
Если обобщить указанные функции и выделить наиболее принципиальные, то к ключевым функциям ФКЦБ необходимо отнести следующие:
(1) Обеспечение динамичного развития рынка ценных бумаг в соответствии с национальными интерасами России
Эта функция имеет особенно важное значение на современном этапе, когда формируются основные элементы инфраструктуры, идет становление и быстрое развитие основных групп профессиональных участников рынка, формируются правила деловой этики и обычаи делового оборота. Реализация этой функции обеспечивается на основе:
* разработки основных направлений развития рынка ценных бумаг;
* координации деятельности федеральных органов исполнительной власти по вопросам развития рынка ценных бумаг;
* поддержки важнейших инфраструктурных проектов; обеспечения создания саморегулируемых организаций.
* проведения семинаров, конференций, использования других форм обучения и повышения профессиональной квалификации специалистов и персонала профессиональных участников рынка ценных бумаг, эмитентов и инвесторов.
Создание и развитие системы нормативных актов по вопросам профессиональной деятельности на рынке ценных бумаг, участие в разработке законодательной базы рынка ценных бумаг (комплекс функций, связанных с формированием законодательной и нормативной базы рынка):
* утверждение стандартов эмиссии ценных бумаг, в том числе иностранных эмитентов, осуществляющих эмиссию ценных бумаг на территории Российской Федерации, и порядка регистрации эмиссии и проспектов эмиссии ценных бумаг.
* разработка и утверждение единых правил осуществления профессиональной деятельности с ценными бумагами, в том числе стандарты страхования и гарантий на рынке ценных бумаг.
* утверждение обязательных требований к операциям с ценными бумагами, в том числе обеспеченным недвижимым имуществом, нормы допуска ценных бумаг к их публичному размещению, обращению, котированию и листингу, расчетно-депозитарной деятельности.
* утверждение единых требований к порядку ведения реестра именных ценных бумаг.
* утверждение порядка осуществления различных видов деятельности на рынке ценных бумаг и деятельности по оценке и управлению имуществом паевых инвестиционных фондов.
* определение стандартов деятельности инвестиционных (в том числе паевых), негосударственных пенсионных, страховых фондов и их управляющих компаний, а также страховых компаний на рынке ценных бумаг.
* разработка проектов законодательных и иных нормативных актов, связанных с вопросами регулирования рынка ценных бумаг, лицензирования деятельности его профессиональных участников, саморегулируемых организаций профессиональных участников рынка ценных бумаг, контроля за соблюдением законодательных и нормативных актов о ценных бумагах, проведение их экпертизы.
* разработка методических рекомендаций по практике применения законодательства Российской Федерации о ценных бумагах.
Создание и обеспечение эффективного функционирования системы регулирования рынка ценных бумаг, системы лицензирования и надзора за деятельностью субъектов рынка (ФКЦБ является основным элементом системы регулирования рынка, включающей также ряд других министерств и ведомств, а также саморегулируемые организации):
выдача генеральных лицензий на осуществление деятельности по лицензированию деятельности профессиональных участников рынка ценных бумаг.
утверждение порядка, осуществление лицензирования и ведение реестра саморегулируемых организаций профессиональных участников рынка ценных бумаг.
руководство региональными отделениями ФКЦБ России.
(4) Выполнение основных функций по лицензированию и надзору за деятельностью субъектов рынка, пресечение незаконной деятельности на рынке ценных бумаг (ФКЦБ не только координирует деятельность всех элементов системы регулирования рынка, но также непосредственно выполняет основную часть работы по лицензированию и надзору за деятельностью субъектов рынка):
• осуществление контроля за соблюдением эмитентами, профессиональными участниками рынка ценных бумаг, саморегулируемыми организациями профессиональных участников рынка ценных бумаг требований законодательства Российской Федерации о ценных бумагах, стандартов и требований, утвержденных ФКЦБ России.
• обеспечение раскрытия информации о зарегистрированных выпусках ценных бумаг, деятельности, связанной с управлением имуществом паевых инвестиционных фондов, профессиональных участников рынка ценных бумаг и регулировании рынка ценных бумаг.
• обеспечение создания общедоступной системы раскрытия информации на рынке ценных бумаг.
• ведение реестра выданных, приостановленных и отозванных лицензий.
• осуществление надзора за соответствием объема выпуска эмиссионных ценных бумаг их количеству в обращении.
• обращение в арбитражный суд с исками о ликвидации юридического лица, нарушившего требования законодательства Российской Федерации о ценных бумагах и применении к нарушителям санкций, установленных законодательством Российской Федерации.
В частности, в соответствии со ст. 44 Закона “О рынке ценных бумаг” ФКЦБ имеет право выдавать генеральные лицензии на осуществление лицензирования профессиональных участников рынка ценных бумаг, а также на осуществление контроля на рынке ценных бумаг федеральным органам исполнительной власти (с правом делегирования функций по лицензированию их территориальным органам);
Это весьма важный момент в осуществлении непрямого регулирования рынка. ФКЦБ не обязательно сама лицензирует всех профессиональных участников рынка ценных бумаг. Она вправе доверить это другой организации как государственной (например, ЦБ РФ), так и общественной — СРО.
Естественно, лицензирование профессиональных участников рынка ценных бумаг осуществляется в комбинации с контролем за их деятельностью, для чего ФКЦБ наделена соответствующими правами:
* устанавливать обязательные для профессиональных участников рынка ценных бумаг (за исключением кредитных организаций) нормативы достаточности собственных средств и иные показатели, ограничивающие риски по операциям с ценными бумагами;
* в случаях неоднократного или грубого нарушения профессиональными участниками рынка ценных бумаг законодательства Российской Федерации о ценных бумагах принимать решение о приостановлении или аннулировании лицензии, выданной на осуществление профессиональной деятельности с ценными бумагами. Немедленно после вступления в силу решения Федеральной комиссии о приостановлении действия лицензии государственный орган, выдавший соответствующую лицензию, должен принять меры по устранению нарушений либо аннулировать лицензию;
* по основаниям, предусмотренным законодательством Российской Федерации, отказать в выдаче лицензии саморегулируемой организации профессиональных участников рынка ценных бумаг, аннулировать выданную ей лицензию с обязательным опубликованием сообщения об этом в средствах массовой информации;
* организовывать или совместно с соответствующими федеральными органами исполнительной власти проводить проверки деятельности, назначать и отзывать инспекторов для контроля за деятельностью эмитентов, профессиональных участников рынка ценных бумаг, саморегулируемых организаций профессиональных участников рынка ценных бумаг;
* направлять эмитентам и профессиональным участникам рынка ценных бумаг, а также их саморегулируемым организациям предписания, обязательные для исполнения, а также требовать от них представления документов, необходимых для решения вопросов, находящихся в компетенции Федеральной комиссии;
* направлять материалы в правоохранительные органы и обращаться с исками в суд (арбитражный суд) по вопросам, отнесенным к компетенции Федеральной комиссии (включая недействительность сделок с ценными бумагами);
* применять меры к должностным лицам и специалистам, имеющим квалификационные аттестаты на право совершения операций с ценными бумагами, в случае нарушения законодательства Российской Федерации;
Права регулирования даны и в отношении эмитентов, однако только в том, что относится к эмиссии ценных бумаг: в частности, право устанавливать нормативы, обязательные для соблюдения эмитентами ценных бумаг, и правила их применения.
На современных рынках постоянно идет создание и развитие новых видов ценных бумаг. Для того, чтобы законодательные и нормативные документы не отставали от потребностей рынка ФКЦБ, дано право квалифицировать новые виды ценных бумаг и определять их виды в соответствии с законодательством Российской Федерации.
Наконец, ФКЦБ имеет естественные административные права в отношении своих региональных отделений: право принимать решения о создании и ликвидации региональных отделений.
В законе установлены основы организации ФКЦБ. В частности, определена Коллегия ФКЦБ, основная роль которой состоит в согласовании деятельности ФКЦБ по регулированию рынка с другими органами государственной власти[18] .
Согласно ст. 41., Коллегия ФКЦБ состоит из 15 членов, включая председателя ФКЦБ, первого заместителя и заместителей председателя Федеральной комиссии, секретаря ФКЦБ. Пять членов коллегии Федеральной комиссии являются представителями федеральных органов исполнительной власти, в компетенцию которых входят вопросы, связанные с рынком ценных бумаг. В их состав в обязательном порядке включается представитель Министерства финансов Российской Федерации. Один член коллегии Федеральной комиссии является представителем Центрального банка Российской Федерации. Председатель Экспертного совета при Федеральной комиссии по рынку ценных бумаг входит в состав коллегии Федеральной комиссии по должности. Два члена коллегии Федеральной комиссии являются представителями палат Федерального собрания Российской Федерации.
Другой важный орган, образуемый ФКЦБ — Экспертный совет. В него входят не только представители государственных органов, но и профессиональных участников рынка ценных бумаг, СРО, независимые эксперты.
Роль Экспертного совета заключается в том, чтобы на постоянной основе представлять интересы профессиональных участников в регулирующем органе, способствовать качественной проработке регулирующих документов, осуществлять связь между непосредственными участниками рынка и его регуляторами. Состав Экспертного совета избирается демократическим путем, что должно обеспечить баланс интересов разных участников рынка.
Решения Федеральной комиссии принимаются в форме постановлений. Постановления Федеральной комиссии по вопросам, отнесенным к ее компетенции, обязательны для исполнения федеральными министерствами и иными федеральными органами исполнительной власти, органами исполнительной власти субъектов Российской Федерации и органами местного самоуправления, а также профессиональными участниками рынка ценных бумаг и саморегулируемыми организациями.
Нормативные акты по вопросам регулирования рынка ценных бумаг, деятельности профессиональных участников рынка ценных бумаг, саморегулируемых организаций профессиональных участников рынка ценных бумаг принимаются федеральными министерствами и иными федеральными органами исполнительной власти в пределах их компетенции только по согласованию с Федеральной комиссией.
ВОПРОСЫ ДЛЯ САМОПРОВЕРКИ
1. Какими документами регулируется деятельность ФКЦБ?
2. Какие основные функции осуществляет ФКЦБ?
3. Перечислите основные права ФКЦБ на рынке ценных бумаг.
10.2 РЕГИОНАЛЬНЫЕ ОТДЕЛЕНИЯ ФКЦБ
Чтобы быть эффективным, федеральное регулирование рынка ценных бумаг должно сопровождаться системой реализации такого регулирования на всей территории России. В то же время ФКЦБ может в полной мере осуществлять регулирование, если она будет иметь необходимую информацию о развитии рынка в регионах. Такую систему поддержки для ФКЦБ могут обеспечить региональные отделения ФКЦБ.
В соответствии со ст. 47 Закона “О рынке ценных бумаг”, региональные отделения ФКЦБ образуются решением ФКЦБ по согласованию с органами исполнительной власти субъектов РФ для обеспечения выполнения установленных законодательством норм, правил и условий функционирования фондового рынка, практической реализации принимаемых ФКЦБ решений и контроля за деятельностью профессиональных участников рынка ценных бумаг.
Региональное отделение ФКЦБ действует на основании положения, утверждаемого ФКЦБ. Председатель регионального отделения утверждается ФКЦБ на основании совместного представления главы исполнительной власти субъекта Российской Федерации и председателя ФКЦБ.
Положение о региональном отделении устанавливает, что региональное отделение является территориальным органом ФКЦБ России, образуемым с целью обеспечения выполнения установленных законодательством Российской Федерации норм, правил и условий функционирования рынка ценных бумаг, практической реализации принимаемых ФКЦБ России решений и контроля за деятельностью эмитентов, профессиональных участников рынка ценных бумаг и их саморегулируемых организаций. Региональное отделение является юридическим лицом и действует в границах территорий субъектов Российской Федерации, закрепленных распоряжением ФКЦБ России.
Положение определяет функции и права регионального отделения. Основными функциями являются контроль за соблюдением законодательства на рынке ценных бумаг, регистрация выпусков ценных бумаг, лицензирование дилерской и брокерской деятельности, лицензирование регистраторской деятельности, организация и проведение квалификационных экзаменов специалистов рынка ценных бумаг.
Контроль региональных отделений за соблюдением законодательства на рынке ценных бумаг предусматривает осуществление проверок деятельности эмитентов, профессиональных участников рынка ценных бумаг и их саморегулируемых организаций, а так же коллективных инвесторов, действующих на территории регионального отделения.
Регистрация выпусков ценных бумаг осуществляется в соответствии с требованиями нормативных документов ФКЦБ России, за исключением тех эмитентов, в отношении которых ФКЦБ России осуществляет регистрацию выпусков ценных бумаг самостоятельно.
Лицензирование дилерской, брокерской и регистраторской деятельности предусматривает выполнение мероприятий по выдаче, приостановке и отзыву лицензий, а так же ведение соответствующих реестров лицензий. Названная - деятельность осуществляется в рамках полномочий, определенных решением ФКЦБ России.
Региональное отделение организует также проведение квалификационных экзаменов для специалистов рынка ценных бумаг в порядке, установленном ФКЦБ России.
Вместе с тем региональные отделения ФКЦБ России имеют право направлять материалы в правоохранительные органы, обращаться с исками в суд (арбитражный суд) по вопросам, отнесенным к компетенции ФКЦБ России. Региональные отделения обладают правом реализовывать полномочия ФКЦБ России в отношении эмитентов, осуществляющих недобросовестную эмиссию, а так же лиц, осуществляющих безлицензионную деятельность.
Взаимоотношения региональных отделений ФКЦБ России с представителями власти субъектов Российской Федерации и региональными комиссиями по ценным бумагам и фондовому рынку[19] на территориях деятельности региональных отделений строятся на принципах партнерства и сотрудничества. Региональные отделения ФКЦБ России совместно с представителями власти субъектов Российской Федерации осуществляют программы по повышению ликвидности акций отдельных эмитентов, проекты корпоративного финансирования, проекты развития инфраструктуры рынка ценных бумаг и программы обучения специалистов.
ВОПРОСЫ ДЛЯ САМОПРОВЕРКИ
1. Опишите порядок создания регионального отделения.
2. Какие функции выполняет региональное отделение на рынке ценных бумаг?
10.3 САМОРЕГУЛИРУЕМЫЕ ОРГАНИЗАЦИИ (СРО)
Помимо федерального и регионального уровней регулирования РЦБ, важным элементом системы регулирования должны стать саморегулируемые организации профессиональных участников рынка ценных бумаг (СРО).
Их роль заключается в том, чтобы на основании опыта, накопленного непосредственно участниками рынка, вырабатывать более детальные, чем ФКЦБ нормы и требования, контролировать их соблюдение и тем самым приближать регулятора рынка к его участнику.
В то же время и сами участники заинтересованы в определенных общих нормах: стандартах деятельности, документов и форм, в ряде случаев за контролем деятельности партнеров. Эти функции лучше выполняет орган, расположенный ближе к непосредственным участникам рынка, чем государственный регулирующий орган. Таким органом и является СРО.
Таким образом, эффективная деятельность СРО основана на следующих предпосылках:
• участники рынка лучше всех знают, какие механизмы контроля и правила необходимы на практике;
• они обязаны финансировать контроль своей деятельности;
• их положение позволяет им лучше всех судить о нарушениях;
• они заинтересованы в выполнении высоких этических норм их коллегами.
Важно учитывать при этом, что правила и стандарты, разрабатываемые и вводимые СРО, должны соответствовать требованиям регулирующего органа, т. е. фактически они могут только уточнять и усиливать их.
В соответствии с Законом “О рынке ценных бумаг” (ст. 48), СРО — это добровольное объединение профессиональных участников РЦБ, действующее в соответствии с законом и функционирующее на принципах некоммерческой организации. СРО учреждается профессиональными участниками рынка ценных бумаг для обеспечения условий профессиональной деятельности участников рынка ценных бумаг, соблюдения стандартов профессиональной этики на рынке ценных бумаг, защиты интересов владельцев ценных бумаг и иных клиентов профессиональных участников рынка ценных бумаг, являющихся членами саморегулируемой организации, установления правил и стандартов проведения операций с ценными бумагами, обеспечивающих эффективную деятельность на рынке ценных бумаг.
СРО в соответствии с требованиями осуществления профессиональной деятельности и проведения операций с ценными бумагами, утвержденными ФКЦБ, устанавливает обязательные для своих членов правила осуществления профессиональной деятельности на рынке ценных бумаг, стандарты проведения операций с ценными бумагами и осуществляет контроль за их соблюдением.
СРО имеет следующие права:
Основной задачей ФКЦБ является разработка правил и стандартов, в соответствии с которыми должно будет осуществляться дополнительное к государственному регулированию саморегулирование рынка ценных бумаг, т. е. подготовка правовой базы для саморегулирования участников рынка.
В настоящее время даже самые развитые профобъединения сталкиваются с трудностями разработки правил и стандартов, не говоря уже об их введении. Этим организациям необходимо время, чтобы подготовиться к выполнению предписанных им функций. Вместе с тем существующие в России прообразы СРО уже показали признаки быстрого развития.
Поскольку СРО приобретает довольно значительные права, в отношении ее членов законом предусматривается строгий контроль за ней со стороны регулирующих государственных органов. В частности, статус СРО приобретается только на основании разрешения, выдаваемого ФКЦБ. ФКЦБ контролирует правила СРО с тем, чтобы не допустить дискриминации одних ее членов другими, обеспечить должный контроль за ними.
Так, согласно ст. 50 Закона “О рынке ценных бумаг”, предусмотрены следующие требования, предъявляемые к СРО:
* организация должна быть учреждена не менее, чем десятью профессиональными участниками рынка ценных бумаг;
* организация приобретает статус саморегулируемой организации на основании разрешения, выданного ФКЦБ;
* для получения разрешения в ФКЦБ представляются заверенные копии документов о создании саморегулируемой организации, правила и положения организации, принятые ее членами и обязательные для исполнения всеми членами саморегулируемой организации.
Правила и положения саморегулируемой организации должны содержать требования, предъявляемые к саморегулируемой организации и ее членам в отношении:
(1) профессиональной квалификации персонала (за исключением технического);
(2) правил и стандартов осуществления профессиональной деятельности;
(3) правил, ограничивающих манипулирование ценами;
(4) документации, ведения учета и отчетности;
(5) минимальной величины их собственных средств;
(6) правил вступления в организацию профессионального участника рынка ценных бумаг и выхода или исключения из нее;
(7) равных прав на представительство при выборах в органы управления организации и участие в управлении организацией;
(8) порядка распределения издержек, выплат, сборов среди членов организации;
(9) защиты прав клиентов, включая порядок рассмотрения претензий и жалоб клиентов — членов организации;
(10) обязательств ее членов по отношению к клиентам и другим лицам по возмещению ущерба из-за ошибок или упущений при осуществлении членом организации его профессиональной деятельности, а также неправомерных действий члена организации или его должностных лиц и/или персонала;
(11 ) соблюдения порядка рассмотрения претензий и жалоб членов организации;
(12) процедур проведения проверок соблюдения членами организации установленных правил и стандартов, включая создание контрольного органа и порядок ознакомления с результатами проверок других членов организации;
(13) санкций и иных мер в отношении членов организации, их должностных лиц и/или персонала и порядка их применения;
(14) требований по обеспечению открытости информации для проверок, проводимых по инициативе организации;
(15) контроля за исполнением санкций и мер, применяемых к членам организации, и порядка их учета.
Саморегулируемая организация, являющаяся организатором торговли, обязана помимо указанных выше требований установить и соблюдать правила:
* заключения, регистрации и подтверждения сделок с ценными бумагами;
* проведения операций, обеспечивающих торговлю ценными бумагами (клиринговых и/или расчетных операций);
* оформления и учета документов, используемых членами организации при заключении сделок, проведении операций с ценными бумагами;
* разрешения споров, возникающих между членами организации при совершении операций с ценными бумагами и расчетов по ним, включая денежные;
* процедуры предоставления информации о ценах спроса и предложения, о ценах и об объемах сделок с ценными бумагами, совершаемых членами организации;
* оказания услуг лицам, не являющимся членами организации.
ФКЦБ имеет право отказать в выдаче разрешения, если в представленных организацией профессиональных участников рынка ценных бумаг документах не содержится соответствующих требований, перечисленных в настоящей статье, а также предусматривается хотя бы одно из следующих положений:
* возможность дискриминации прав клиентов, пользующихся услугами членов организации;
* необоснованная дискриминация членов организации;
* необоснованные ограничения на вступление в организацию и выход из нее;
* ограничения, препятствующие развитию конкуренции профессиональных участников рынка ценных бумаг, в том числе регламентация ставок вознаграждения и доходов от профессиональной деятельности членов организации;
• регулирование вопросов, не относящихся к компетенции, а также не соответствующих целям деятельности саморегулируемой организации;
• предоставление недостоверной или неполной информации.
Отзыв разрешения саморегулируемой организации производится в случае установления ФКЦБ нарушений законодательства РФ о ценных бумагах, требований и стандартов, установленных ФКЦБ, правил и положений саморегулируемой организации, предоставления недостоверной или неполной информации.
Естественно, все изменения в ключевые документы или правила должны утверждаться ФКЦБ, в противном случае они не вступают в силу. При этом предусмотрено, что “по умолчанию” правила принимаются. Саморегулируемая организация обязана представлять в Федеральную комиссию данные обо всех изменениях, вносимых в документы о создании, положения и правила саморегулируемой организации, с кратким обоснованием причин и целей таких изменений. Изменения и дополнения считаются принятыми, если в течение 30 календарных дней с момента их поступления Федеральной комиссией не направлено письменное уведомление об отказе с указанием его причин.
ВОПРОСЫ ДЛЯ САМОПРОВЕРКИ
1. В чем заключается роль саморегулируемых организаций на рынке ценных бумаг?
2. На каких предпосылках основана эффективная деятельность саморегулируемых организаций?
3. Перечислите основные требования к саморегулируемой организации в соответствии с Законом “О рынке ценных бумаг”.
10.4 ОБЕСПЕЧЕНИЕ ИСПОЛНЕНИЯ ЗАКОНОДАТЕЛЬСТВА
Эффективное регулирование РЦБ требует не только активного правового и институционального регулирования происходящих в этой сфере процессов, но и создания системы регулярного контроля, обеспечивающего соблюдение законодательства всеми участниками рынка ценных бумаг.
На начальном этапе развития фондового рынка в России основное значение имели вопросы создания правил поведения на рынке. Такой подход был в некоторой степени было оправдан в период становления рынка ценных бумаг в России. Регулирующие органы — Минфин России, а в дальнейшем ФКЦБ ежедневно сталкивались с необходимостью устранения пробелов и создания минимальных правил и стандартов деятельности на рынке. По мере становления правовой базы все большее значение приобретают процедуры контроля за соблюдением законодательства. Поэтому перед ФКЦБ с момента ее создания была поставлена крайне сложная задача по формированию правовой среды на российском рынке и преодолению правового нигилизма, утвердившегося во взаимоотношениях между его участниками.
Существующая правовая основа для осуществления надзора за рынком ценных бумаг и защиты инвесторов состоит из следующих элементов:
• федеральные законы “О рынке ценных бумаг” и “Об акционерных обществах”;
• указы Президента РФ (Комплексная программа мер по обеспечению прав вкладчиков и акционеров, утвержденная Указом Президента Российской Федерации от 21 марта 1996 года ¹ 408; Концепция развития рынка ценных бумаг в РФ, утвержденная Указом Президента РФ от 1 июля 1996 года ¹ 1008; Указ “О мерах по защите прав вкладчиков и акционеров” от 18 ноября 1995 года ¹ 1157; Указ “О мерах по обеспечению интересов инвесторов и приведению в соответствие с законодательством РФ предпринимательской деятельности юридических лиц, осуществляемой на финансовом и фондовом рынках без соответствующих лицензий”). Отдельные положения по защите инвесторов содержатся и в других указах Президента РФ;
* нормативные акты ФКЦБ России, в числе которых уже имеются специальные акты по контролю за рынком ценных бумаг и защите прав инвесторов;
* нормативные акты других органов государственной власти.
Наличие законодательной и нормативной базы рынка ценных бумаг ставит на повестку дня вопрос об изменении содержания, а также самих форм и методов осуществления контрольно-надзорных функций.
Так, в настоящий момент меняются подходы к лицензированию, как одной из наиболее важных форм контроля за профессиональной деятельностью на рынке ценных бумаг. Лицензирование в современном понимании не только “разовый” контроль, осуществлемый при входе той или иной компании на рынок, но и постоянный контроль за соблюдением условий профессиональной деятельности (регулярная отчетность, проверки и т. д.).
В соответствии с Федеральным законом “О рынке ценных бумаг” и Положением о ФКЦБ, утвержденным Указом Президента от 1 июля 1996 года ¹ 1009, ФКЦБ России осуществляет функцию контроля за соблюдением эмитентами, профессиональными участниками рынка ценных бумаг и саморегулируемыми организациями требований законодательства о ценных бумагах. В настоящее время в соответствии с указанными законами выстраивается многоуровневая система надзора:
• ФКЦБ России;
• региональные отделения ФКЦБ России;
• регистрирующие органы (включенные в перечень органов, осуществляющих регистрацию выпусков ценных бумаг);
• лицензирующие органы (имеющие генеральную лицензию на лицензирование отдельных видов профессиональной деятельности);
• саморегулируемые организации (СРО).
Подобная система регулирования на практике должна обеспечить распределение функций между государственными органами, а также между регионами и центром и способствовать более пропорциональному распределению усилий по поддержанию правопорядка на рынке.
С этой целью ФКЦБ России проводит политику делегирования части своих полномочий другим государственным органам путем выдачи им генеральных лицензий либо путем включения их в перечень регистрирующих органов (см. также раздел 10.2). В нормативных актах ФКЦБ предусмотрено, что такие регистрирующие и лицензирующие органы должны осуществлять контроль за соблюдением законодательства в отношении лиц, которым они выдали лицензии, и в отношении зарегистрированных ими выпусков ценных бумаг. В свою очередь ФКЦБ осуществляет контроль за тем, как другие государственные органы выполняют возложенные на них контрольные и надзорные функции.
В перспективе ФКЦБ должна стать единым центром наблюдения за рынком, куда будет поступать вся информация о соблюдении участниками рынка капитала законодательства о ценных бумагах.
ФКЦБ России призвана играть ключевую роль в деле защиты прав инвесторов и принуждения участников рынка к соблюдению законодательства. В настоящее время у нее имеются следующие административные полномочия по принуждению к соблюдению законодательства о ценных бумагах:
* выдача предписаний, обязательных для исполнения эмитентами, профессиональными участниками и их саморегулируемыми организациями;
* приостановление или аннулирование лицензии у профессиональных участников рынка ценных бумаг и саморегулируемых организаций;
* обращение с исками в суд о признании выпуска ценных бумаг недействительным, о ликвидации юридического лица или о признании недействительными сделок с ценными бумагами;
* применение дисциплинарных мер (включая лишение квалификационного аттестата, дающего права на совершение операций с ценными бумагами) к должностным лицам, специалистам и участникам рынка.
Практика работы ФКЦБ России по регулированию деятельности участников рынка ценных бумаг и по применению мер юридической ответственности к нарушителям показала, что имеющиеся полномочия по реализации основных государственных функций на рынке ценных бумаг должны быть расширены. В частности, большое значение имеет наделение ФКЦБ полномочиями по установлению штрафов или проведению разбирательств и административных слушаний в отношении нарушителей законодательства о ценных бумагах.
Регламентация мер защиты и юридической ответственности на рынке ценных бумаг в значительной степени отстает от реалий российского рынка. Большинство общественно-опасных деяний, совершаемых в настоящее время на рынке ценных бумаг, не могут быть квалифицированы как правонарушения по причине отсутствия соответствующих норм в действующем законодательстве. Кроме того, по мере усложнения деятельности на рынке требуется создание более надежных механизмов финансовой ответственности и распределения рисков.
Существующая нормативно-правовая база, предусматривающая ответственность участников рынка ценных бумаг, фрагментарна и не обеспечивает должной защиты прав инвесторов. До сих пор не определены четкие санкции, которые могут применяться в случае безлицензионной деятельности, выпусков суррогатов ценных бумаг (публичное размещение ценных бумаг, не прошедших государственной регистрации) и тому подобное. Но пока созданы юридические механизмы для установления, предупреждения и пресечения мошенничества. Крайне слабо регулируются отношения, связанные с “инсайдеровскими сделками” и манипулированием ценами на рынке. На начальной стадии находится регулирование сделок между аффилированными лицами.
Успешная борьба с данными нарушениями возможна только при помощи мер административной и уголовной ответственности. Следовательно, активная роль в деле поддержания правопорядка на рынке должна быть возложена на правоохранительные органы и, в первую очередь, на Прокуратуру РФ и МВД России.
Обеспечение соблюдения законодательства о рынке ценных бумаг в России, учитывая общероссийские масштабы, является крайне сложной и дорогостоящей функцией, поскольку требует привлечения значительных материальных ресурсов. Ее успешное осуществление во-многом будет зависеть от того, насколько ФКЦБ удастся привлечь к этой деятельности саморегулируемые организации и иные общественные объединения. Подобная система контроля принята и в других странах, создавших механизм саморегулирования рынка. Она позволяет снизить издержки государства и одновременно повысить эффективность контроля. С появлением саморегулируемых организаций на российском фондовом рынке система контроля за профессиональной деятельностью на рынке станет более всеобъемлющей, поскольку к ней будут привлечены сами профессиональные участники.
ВОПРОСЫ ДЛЯ САМОПРОВЕРКИ
1. Из каких элементов состоит существующая правовая основа для осуществления надзора за рынком ценных бумаг и защиты инвесторов?
2. Укажите уровни системы надзора за исполнением законодательства на рынке ценных бумаг.
3. В чем заключается роль ФКЦБ в системе надзора за рынком ценных бумаг?
ГЛАВА II. ЭМИССИЯ ЦЕННЫХ БУМАГ
11.1 РЕГУЛИРОВАНИЕ ЭМИССИИ ЦЕННЫХ БУМАГ
Регулирование эмиссии производится в целях препятствования выпуску на рынок суррогатов ценных бумаг, которые по форме напоминают настоящие ценные бумаги, но не обладают их основными качествами. В этом смысле регулирование эмиссии является одним из ключевых способов защиты интересов потенциальных инвесторов.
Основные положения, регулирующие эмиссию акций и облигаций, заложены федеральными законами “Об акционерных обществах” и “О рынке ценных бумаг”. Постановление ФКЦБ России “Об утверждении Стандартов эмиссии акций при учреждении акционерных обществ, дополнительных акций, облигаций и их проспектов эмиссии” конкретизирует и согласовывает положения вышеназванных законов в части регулирования эмиссии акций и облигаций акционерных обществ и иных коммерческих организаций.
Предварительно необходимо уточнить смысл таких понятий, как “выпуск”, “эмиссия” и “размещение”. На практике очень часто используют два термина “эмиссия” и “выпуск” в качестве синонимов.
Эмиссия ценных бумаг — это установленная законодательством последовательность действий эмитента — АО по размещению ценных бумаг.
Выпуск ценных бумаг означает совокупность ценных бумаг одного эмитента (АО), которые предоставляют одинаковый объем прав владельцам и которые имеют одинаковые условия размещения.
Размещение эмиссионных ценных бумаг — это отчуждение их первым владельцам путем заключения гражданско-правовых сделок.
Таким образом, говоря о выпуске ценных бумаг, мы будем рассматривать его, как с точки зрения совокупности ценных бумаг одного эмитента, так и с точки зрения осуществления процесса эмиссии.
Следует учитывать также, что Закон “О рынке ценных бумаг” не регулирует процедуру эмиссии государственных и муниципальных ценных бумаг. Это будет сделано в специальном законе, который в настоящее время находится в стадии разработки.
Согласно ст. 19 Закона “О рынке ценных бумаг”, процедура эмиссии состоит из нескольких этапов (если иное не предусмотрено законодательством РФ):
* принятие эмитентом решения о выпуске эмиссионных ценных бумаг;
* регистрация выпуска эмиссионных ценных бумаг;
* для документарной формы выпуска — изготовление сертификатов ценных бумаг;
* размещение эмиссионных ценных бумаг;
* регистрация отчета об итогах выпуска эмиссионных ценных бумаг.
Если число владельцев ценных бумаг значительно, т. е. у них могут возникнуть сложности с получением подробной информации о выпуске, требуется дополнительно зарегистрировать проспект эмиссии — документ, содержащий основную информацию о выпуске и эмитенте.
При эмиссии ценных бумаг регистрация проспекта эмиссии производится при размещении эмиссионных ценных бумаг среди неограниченного круга владельцев или заранее известного круга владельцев, число которых превышает 500, а также в случае, когда общий объем эмиссии превышает 50 тысяч минимальных размеров оплаты труда.
При регистрации проспекта эмиссии ценных бумаг процедура эмиссии дополняется следующими этапами:
• подготовкой проспекта эмиссии эмиссионных ценных бумаг;
• регистрацией проспекта эмиссии эмиссионных ценных бумаг;
• раскрытием всей информации, содержащейся в проспекте эмиссии;
• раскрытием всей информации, содержащейся в отчете об итогах выпуска.
Закон запрещает производить эмиссию ценных бумаг, производных по отношению к эмиссионным ценным бумагам, итоги выпуска которых не прошли регистрацию.
Все этапы эмиссии соответствующим образом регламентированы.
После принятия эмитентом решения о выпуске ценных бумаг, производится регистрация выпуска, суть которой состоит в официальной фиксации обязательств эмитента, удостоверяемых ценной бумагой объема эмиссии и других параметров ценной бумаги. Это делается для того, чтобы эмитент не мог впоследствии изменить условия выпуска. При регистрации также производится проверка уставных документов эмитента.
В соответствии со ст. 20 закона для регистрации выпуска эмиссионных ценных бумаг эмитент обязан представить в регистрирующий орган следующие документы:
• заявление на регистрацию;
• решение о выпуске эмиссионных ценных бумаг;
• проспект эмиссии (если регистрация выпуска ценных бумаг сопровождается регистрацией проспекта эмиссии);
• копии учредительных документов (при эмиссии акций для создания акционерного общества);
• документы, подтверждающие разрешение уполномоченного органа исполнительной власти на осуществление выпуска эмиссионных ценных бумаг (в случаях, когда необходимость такого разрешения установлена законодательством Российской Федерации).
Эмитент и должностные лица органов управления эмитента, на которые уставом и/или внутренними документами эмитента возложена обязанность отвечать за полноту и достоверность информации, содержащейся в указанных документах, несут ответственность за исполнение по данным обязательствам в соответствии с законодательством Российской Федерации.
При регистрации выпуска эмиссионных ценных бумаг этому выпуску присваивается государственный регистрационный номер. Порядок присвоения государственного регистрационного номера устанавливается регистрирующим органом. Регистрирующий орган обязан зарегистрировать выпуск эмиссионных ценных бумаг или принять мотивированное решение об отказе в регистрации не позднее чем через 30 дней с даты получения документов, указанных в настоящей статье. Перечень регистрирующих органов на территории Российской Федерации устанавливается Федеральной комиссией по рынку ценных бумаг.
Закон предусматривает строго определенный перечень оснований для отказа в регистрации (ст. 21):
• нарушение эмитентом требований законодательства Российской Федерации о ценных бумагах, в том числе наличие в представленных документах сведений, позволяющих сделать вывод о противоречии условий эмиссии и обращения эмиссионных ценных бумаг законодательству Российской Федерации и несоответствии условий выпуска эмиссионных ценных бумаг законодательству Российской Федерации о ценных бумагах;
• несоответствие представленных документов и состава содержащихся в них сведений требованиям настоящего Федерального закона;
• внесение в проспект эмиссии или решение о выпуске ценных бумаг (иные документы, являющиеся основанием для регистрации выпуска ценных бумаг) ложных сведений либо сведений, не соответствующих действительности (недостоверных сведений).
Решение об отказе в регистрации выпуска эмиссионных ценных бумаг и проспекта эмиссии может быть обжаловано в суд или арбитражный суд. Последняя норма призвана защитить эмитентов от потенциальной необъективности рассмотрения вопроса о регистрации эмиссии.
В случае больших выпусков регистрируется также проспект эмиссии, который должен содержать дополнительную информацию, которая делается доступной широкой публике. Проспект эмиссии должен содержать:
• данные об эмитенте;
• данные о финансовом положении эмитента (эти сведения не указываются в проспекте эмиссии при создании акционерного общества, за исключением случаев преобразования в него юридических лиц иной организационно-правовой формы);
• сведения о предстоящем выпуске эмиссионных ценных бумаг.
Данные об эмитенте включают полное и сокращенное наименование эмитента или имена и наименования учредителей; юридический адрес эмитента; номер и дату свидетельства о государственной регистрации в качестве юридического лица; информацию о лицах, владеющих не менее чем 5 процентами уставного капитала эмитента; структуру руководящих органов эмитента; список всех юридических лиц, в которых эмитент обладает более чем 5 процентами уставного капитала; список всех филиалов и представительств эмитента.
Данные о финансовом положении эмитента включают бухгалтерские балансы и отчеты о финансовых результатах деятельности эмитента, отчет о формировании и об использовании средств резервного фонда, размер просроченной задолженности эмитента кредиторам и по платежам в соответствующий бюджет, данные об уставном капитале эмитента, отчет о предыдущих выпусках эмиссионных ценных бумаг эмитента.
Сведения о предстоящем выпуске ценных бумаг содержат информацию о ценных бумагах (форма и вид ценных бумаг с указанием порядка хранения и учета прав на ценные бумаги), об общем объеме выпуска, о количестве эмиссионных ценных бумаг в выпуске; об эмиссии ценных бумаг; о сроках начала и окончания размещения эмиссионных ценных бумаг; о ценах и порядке оплаты приобретаемых владельцами эмиссионных ценных бумаг; о профессиональных участниках рынка ценных бумаг или об их объединениях, которых предполагается привлечь к участию в размещении выпуска; о получении доходов по эмиссионным ценным бумагам; о наименовании органа, осуществившего регистрацию выпуска эмиссионных ценных бумаг.
Приведенный обширный перечень сведений призван снабдить потенциального инвестора информацией, необходимой для принятия решения о покупке ценных бумаг данного выпуска или отказе от нее. Подробности формы и порядка регистрации приведены в соответствующем Постановлении ФКЦБ.
Кроме того, согласно ст. 23 закона, в случае открытой (публичной) эмиссии, требующей регистрации проспекта эмиссии, эмитент обязан обеспечить доступ к информации, содержащейся в проспекте эмиссии, и опубликовать уведомление о порядке раскрытия информации в периодическом печатном издании с тиражом не менее 50 тысяч экземпляров. Эмитент, а также профессиональные участники рынка ценных бумаг, осуществляющие размещение эмиссионных ценных бумаг, обязаны обеспечить любым потенциальным владельцам возможность доступа к раскрываемой информации до приобретения ценных бумаг.
В тех случаях, когда хотя бы один выпуск эмиссионных ценных бумаг эмитента сопровождался регистрацией проспекта эмиссии, эмитент обязан раскрыть информацию о своих ценных бумагах и своей финансово-хозяйственной деятельности в следующих формах: ежеквартальный отчет эмитента; сообщения о существенных фактах, затрагивающих финансово-хозяйственную деятельность эмитента.
Ежеквартальный отчет эмитента должен содержать следующие данные:
• коды, присвоенные регистрирующим органом сообщениям о раскрытых в отчетном квартале существенных фактах, затрагивающих финансово-хозяйственную деятельность эмитента;
• данные о финансово-хозяйственной деятельности эмитента: бухгалтерский баланс, счета прибылей и убытков на конец отчетного квартала;
• факты, повлекшие увеличение чистой прибыли или убытков эмитента более чем на 20 процентов в течение отчетного квартала по сравнению с предыдущим кварталом;
• данные о формировании и использовании резервного и других специальных фондов эмитента.
Ежеквартальный отчет составляется по итогам каждого завершенного квартала не позднее 30 календарных дней после его окончания. Ежеквартальный отчет должен быть утвержден уполномоченным органом эмитента.
Сообщениями о существенных фактах, затрагивающих финансово-хозяйственную деятельность эмитента, признаются сведения:
• об изменениях в списке лиц, входящих в органы управления эмитента (за исключением общего собрания участников в обществах с ограниченной ответственностью и общего собрания акционеров в акционерных обществах);
• об изменениях в размере участия лиц, входящих в органы управления эмитента, в уставном капитале эмитента, а также его дочерних и зависимых обществ и об участии этих лиц в капитале других юридических лиц, если они владеют более чем 20 процентами указанного капитала;
• об изменениях в списке владельцев (акционеров) эмитента, владеющих 20 процентами и более уставного капитала эмитента;
• об изменениях в списке юридических лиц, в которых данный эмитент владеет 20 процентами и более уставного капитала;
• о реорганизации эмитента, его дочерних и зависимых обществ;
• о начисленных и/или выплачиваемых доходах по ценным бумагам эмитента;
• о погашении ценных бумаг;
• о выпусках ценных бумаг, приостановленных или признанных несостоявшимися;
• о появлении в реестре эмитента лица, владеющего более чем 25 процентами его эмиссионных ценных бумаг любого отдельного вида.
Сообщения о существенных фактах, затрагивающих финансово-хозяйственную деятельность эмитента, должны направляться эмитентом в порядке раскрытия в регистрирующий орган для обеспечения доступности согласно ст. 30 закона в срок не более пяти рабочих дней с момента появления факта. Цель этого раскрытия — та же, что и проспекта эмиссии, но производится раскрытие и после размещения ценных бумаг.
Закон вводит определенные ограничения на процедуру размещения ценных бумаг. Они призваны ограничить возможности недобросовестной эмиссии, призванной перераспределить доли уставного капитала или получить временный кредит у инвесторов. Нормы касаются раскрытия информации, сроков размещения, последовательности нескольких выпусков.
Так (ст. 24 закона), эмитент имеет право начинать размещение выпускаемых им эмиссионных ценных бумаг только после регистрации их выпуска. Количество размещаемых эмиссионных ценных бумаг не должно превышать количества, указанного в учредительных документах и проспектах о выпуске ценных бумаг.
Эмитент может разместить меньшее количество эмиссионных ценных бумаг, чем указано в проспекте эмиссии. Фактическое количество размещенных ценных бумаг указывается в отчете об итогах выпуска, представляемом на регистрацию. Доля неразмещенных ценных бумаг из числа, указанного в проспекте эмиссии, при которой эмиссия считается несостоявшейся, устанавливается ФКЦБ. Возврат средств инвесторов при несостоявшейся эмиссии производится в порядке, установленном ФКЦБ.
Эмитент обязан закончить размещение выпускаемых эмиссионных ценных бумаг по истечении одного года с даты начала эмиссии, если иные сроки размещения эмиссионных ценных бумаг не установлены законодательством РФ.
Запрещается размещение ценных бумаг нового выпуска ранее чем через две недели после обеспечения всем потенциальным владельцам возможности доступа к информации о выпуске, которая должна быть раскрыта в соответствии с настоящим Федеральным законом. Информация о цене размещения ценных бумаг может раскрываться в день начала размещения ценных бумаг.
Запрещается при публичном размещении или обращении выпуска эмиссионных ценных бумаг закладывать преимущество при приобретении ценных бумаг одним потенциальным владельцам перед другими. Настоящее положение не применяется в следующих случаях:
1) при эмиссии государственных ценных бумаг;
2) при предоставлении акционерам АО преимущественного права выкупа новой эмиссии ценных бумаг в количестве, пропорциональном числу принадлежащих им акций в момент принятия решения об эмиссии;
3) при введении эмитентом ограничений на приобретение ценных бумаг нерезидентами.
По завершении эмиссии в регистрирующий орган представляется отчет об итогах выпуска. Отчет об итогах выпуска эмиссионных ценных бумаг должен содержать следующую информацию (ст. 25 закона):
1) даты начала и окончания размещения ценных бумаг;
2) фактическую цену размещения ценных бумаг (по видам ценных бумаг в рамках данного выпуска);
3) количество размещенных ценных бумаг;
4) общий объем поступлений за размещенные ценные бумаги, в том числе объем денежных средств в рублях, внесенных в оплату размещенных ценных бумаг; объем иностранной валюты, внесенной в оплату размещенных ценных бумаг, выраженной в валюте Российской Федерации по курсу Центрального банка Российской Федерации на момент внесения; объем материальных и нематериальных активов, внесенных в качестве платы за размещенные ценные бумаги, выраженных в валюте Российской Федерации.
Для акций в отчете об итогах выпуска эмиссионных ценных бумаг дополнительно указывается список владельцев, владеющих пакетом эмиссионных ценных бумаг, размер которого определяется ФКЦБ.
Регистрирующий орган рассматривает отчет об итогах выпуска эмиссионных ценных бумаг в двухнедельный срок и при отсутствии связанных с выпуском ценных бумаг нарушений регистрирует его. Регистрирующий орган отвечает за полноту зарегистрированного им отчета. В случае, если эмитент не следует предписанному порядку действий, эмиссия может быть признана недобросовестной и аннулирована.
Закон (ст. 26) вводит понятие недобросовестной эмиссии. Недобросовестной эмиссией признаются действия, выражающиеся в нарушении процедуры эмиссии, установленной в настоящем разделе, которые являются основаниями для отказа регистрирующими органами в регистрации выпуска эмиссионных ценных бумаг, признания выпуска эмиссионных ценных бумаг несостоявшимся или приостановления эмиссии эмиссионных ценных бумаг.
В случае обнаружения признаков недобросовестной эмиссии регистрирующим органом он обязан в течение семи дней сообщить об этом в ФКЦБ (региональное отделение ФКЦБ).
В регистрации выпуска эмиссионных ценных бумаг может быть отказано при наличии оснований, предусмотренных в ст. 21 закона. Выпуск эмиссионных ценных бумаг может быть приостановлен или признан несостоявшимся при обнаружении регистрирующим органом следующих нарушений: нарушение эмитентом в ходе эмиссии требований законодательства Российской Федерации; обнаружение в документах, на основании которых был зарегистрирован выпуск ценных бумаг, недостоверной информации. При выявлении нарушений установленной процедуры эмиссии регистрирующий орган может также приостановить эмиссию до устранения нарушений в пределах срока размещения ценных бумаг. Возобновление эмиссии осуществляется по специальному решению регистрирующего органа.
В случае признания эмиссии недействительной эмитент должен все вернуть в исходное состояние и вернуть деньги покупателям, успевшим купить его бумаги.
В случае признания выпуска эмиссионных ценных бумаг недействительным все ценные бумаги данного выпуска подлежат возврату эмитенту, а средства, полученные эмитентом от размещения выпуска ценных бумаг, признанного недействительным, должны быть возвращены владельцам. ФКЦБ для возврата средств владельцам вправе обратиться в суд. Все издержки, связанные с признанием выпуска эмиссионных ценных бумаг недействительным (несостоявшимся) и возвратом средств владельцам, относятся на счет эмитента.
В случае нарушения, выражающегося в выпуске ценных бумаг в обращение сверх объявленного в проспекте эмиссии, эмитент обязан обеспечить выкуп и погашение ценных бумаг, выпущенных в обращение сверх количества, объявленного к выпуску. Если эмитент в течение двух месяцев не обеспечит выкуп и погашение ценных бумаг, выпущенных в обращение сверх количества, объявленного к выпуску, Федеральная комиссия по рынку ценных бумаг вправе обратиться в суд о взыскании средств, неосновательно полученных эмитентом.
При эмиссии акций кредитными организациями вводится особый порядок накопления средств на накопительном счете (ст. 27 закона). Суть его в том, что использовать деньги, поступившие при распространении своих акций, банк может только после успешного завершения эмиссии, т. е. признания ее состоявшейся. Режим накопительного счета устанавливается Центральным банком Российской Федерации.
Отдельно в законе рассматриваются вопросы выпуска и обращения иностранных ценных бумаг. Так, ценные бумаги, выпущенные иностранными эмитентами, допускаются к обращению или первичному размещению на рынке ценных бумаг Российской Федерации после регистрации проспекта эмиссии этих ценных бумаг в Федеральной комиссии по рынку ценных бумаг.
Ценные бумаги, выпущенные эмитентами, зарегистрированными в Российской Федерации, допускаются к обращению за пределами Российской Федерации по решению Федеральной комиссии по рынку ценных бумаг.
ВОПРОСЫ ДЛЯ САМОПРОВЕРКИ
1. С какой целью должно осуществляться регулирование эмиссии?
2. Дайте определения “выпуска”, “эмиссии” и “размещения” ценных бумаг.
3. В каком случае требуется проспект эмиссии?
4. Перечислите основные вопросы, которые должны быть отражены в проспекте эмиссии.
5. В каком случае эмитент обязан предоставлять ежеквартальный отчет эмитента и сообщения о существенных фактах, затрагивающих финансово-хозяйственную деятельность эмитента?
11.2 СТАНДАРТЫ ВЫПУСКА АКЦИЙ И ОБЛИГАЦИЙ
Большинство акционерных обществ испытывают острую потребность в дополнительных средствах для своего развития. Не всегда находится крупный стратегический инвестор, способный решить стоящие перед предприятием проблемы и не нарушить стратегический баланс в управлении обществом. Поэтому одним из главных механизмов привлечения акционерным обществом капитала является выпуск акций и иных ценных бумаг.
Прежде, чем приступить к рассмотрению требований, предъявляемых к выпуску акций и облигаций, необходимо рассмотреть условия осуществления их выпуска.
Законом “Об акционерных обществах” определено, что общество вправе размещать обыкновенные акции, а также один или несколько типов привилегированных акций и облигации. Номинальная стоимость размещенных привилегированных акций не должна превышать 25% от уставного капитала общества.
Акционерное общество имеет уставный капитал, разделенный на определенное число акций равной номинальной стоимости, которые выпускаются (эмитируются) обществом в обращение на рынок ценных бумаг. Уставный капитал акционерного общества состоит из номинальной стоимости размещенных акций.
В соответствии с Законом “Об акционерном обществе”, общество осуществляет размещение акций в трех случаях:
• при учреждении;
• в соответствии с решением об увеличении уставного капитала путем размещения дополнительных акций;
• при конвертации в акции иных ценных бумаг.
Уставный капитал общества при его учреждении составляется из номинальной стоимости акций, приобретенных учредителями общества. В уставе должны быть определены количество, номинальная стоимость, категории и типы акций, права, предоставляемые акциями и условия их оплаты (п.З ст. II).
Общество вправе размещать дополнительные акции, если уставом общества определены права, предоставляемые акциями общества каждой категории (типа), которые оно размещает.
Одним из нововведений закона является деление акций на размещенные и объявленные. Если размещенные акции — это акции, приобретенные акционерами, то объявленные — это те, которые общество вправе размещать дополнительно к уже размещенным (см. также главу 9).
Общество может принять решение о размещении дополнительных акций только в пределах общего количества объявленных, установленных уставом общества. Причем номинальная стоимость объявленных акций не включается в уставный капитал общества (п.1, ст. 27). Поэтому решение о внесении в устав положений об объявленных акциях должно предшествовать решению о размещении дополнительных акций, или оба эти решения могут приниматься одновременно.
Решением об увеличении уставного капитала путем размещения дополнительных акций определено (решение о размещении дополнительных акций) должно быть определено:
• количество размещаемых дополнительных обыкновенных акций и размещаемых дополнительных привилегированных акций каждого типа в пределах количества объявленных акций таких категорий и типов (п. 3 ст. 28);
• условия размещения акций, включая цену размещения для акционеров, имеющих преимущественное право приобретения размещаемых акций, а также форму и сроки оплаты в соответствии с требованиями закона.
По существу, речь идет об утверждении эмиссионного проспекта.
Если принятие решения о внесении в устав общества положений об объявленных акциях входит в компетенцию общего собрания акционеров (п. 1 ст. 48) и не может быть передано другим органам, то решение об увеличении уставного капитала путем размещения дополнительных акций и внесении соответствующих изменений в устав может быть делегировано уставом общества или решением общего собрания совету директоров (п. 2, п. 3 ст. 28). Это дает возможность акционерному обществу более оперативно решать вопросы, связанные с привлечением крупных инвесторов.
Решение о размещении акций путем конвертации ценных бумаг, конвертируемых в акции, принимается советом директоров общества, если иное не установлено уставом общества (п. 2 ст. 33), в котором устанавливается порядок и условия такого размещения.
Законом дано право АО выпускать облигации и указаны существенные признаки облигации. Ввиду того, что облигация удостоверяет право ее владельца требовать погашения облигации в установленные сроки, в решение о выпуске облигаций должны быть определены форма, сроки и другие условия погашения облигаций. Все облигации имеют номинальную стоимость, указанную в решении о размещении.
Решение о размещении облигаций может быть принято только при соблюдении следующих условий:
* уставный капитал общества должен быть полностью оплачен;
* номинальная стоимость всех выпущенных обществом облигаций не должна превышать либо величину уставного капитала, либо величину обеспечения, предоставленную обществу третьими лицами для цели выпуска облигаций.
Акционерное общество вправе выпускать облигации:
под залог имущества; под обеспечение третьих лиц;
без обеспечения, которые могут выпускаться не ранее третьего года существования общества и при условии надлежащего утверждения двух годовых балансов акционерного общества (ст. 33).
Облигации могут быть:
• именными, в этом случае ведется реестр их владельцев;
• на предъявителя.
Облигации могут выпускаться конвертируемыми в акции, в пределах числа объявленных акций соответствующего типа.
Погашение облигаций проводится деньгами или иным имуществом. Общество вправе обусловить возможность досрочного погашения облигаций по желанию их владельцев, при этом в решении о выпуске облигаций должны быть определены стоимость погашения и срок, не ранее которого они могут быть предъявлены к досрочному погашению.
Принятие решения о размещении обществом облигаций, если иное не предусмотрено уставом ( п. 7 ст. 65), входит в исключительную компетенцию совета директоров.
Постановление ФКЦБ России “ Об утверждении Стандартов эмиссии акций при учреждении акционерных обществ, дополнительных акций, облигаций и их проспектов эмиссии” оперирует понятиями и нормами, заложенными в Федеральных законах, конкретизирует их, а также вводит новые понятия, например, решение о размещении ценных бумаг.
Решением о размещении ценных бумаг является решение об увеличении уставного капитала акционерного общества путем размещения дополнительных акций, решение о размещении облигаций и др. Размещение акций осуществляется путем распределения среди учредителей акционерного общества при его учреждении, путем распределения среди акционеров АО, путем подписки и конвертации. Размещение облигаций осуществляется путем подписки и конвертации.
При размещении акций АО при его учреждении все акции должны быть распределены среди учредителей в соответствии с договором о создании акционерного общества, а в случае учреждения акционерного общества одним учредителем — приобретение их единственным учредителем.
Эмиссия дополнительных акций, распределяемых среди акционеров включает в себя:
• средства, за счет которых возможно размещение дополнительных акций;
• этапы процедуры эмиссии дополнительных акций;
• порядок внесения в устав изменений, связанных с увеличением уставного капитала и их регистрация.
При условиях, описанных в разделе 11.1, процедура эмиссии дополняется процедурами, связанными с подготовкой и регистрацией проспекта эмиссии.
В случае размещения дополнительных акций в документарной форме процедура эмиссии дополняется этапом изготовления сертификатов акций. То же распространяется на эмиссию облигаций.
Процедура эмиссии дополнительных акций, независимо от способа их размещения, начинается с принятия общим собранием акционерного общества или советом директоров решения о размещении ценных бумаг и утверждении советом директоров решения о выпуске ценных бумаг.
Решение о выпуске ценных бумаг, как документ, содержащий данные, достаточные для установления объема прав, закрепленных ценной бумагой, принимается органом, имеющим полномочия на принятие решения о размещении соответствующих ценных бумаг. Описание (в решении о выпуске) прав, предоставляемых по каждой акции, должно соответствовать уставу акционерного общества.
Решение о выпуске и проспект эмиссии ценных бумаг, размещаемых путем подписки, если государственная регистрация выпуска сопровождается регистрацией проспекта эмиссии, может не содержать срока, цены размещения и сведений, относящихся к цене размещения ценных бумаг.
В решении о выпуске ценных бумаг, распределяемых среди акционеров, а также путем конвертации, должны быть указаны источники, за счет которых осуществляется размещение ценных бумаг.
Законодательством допускается возможность размещения ценных бумаг одного выпуска по разным ценам. Решение о выпуске и проспект эмиссии ценных бумаг должны содержать общие условия определения цены, но в них не могут быть предусмотрены какие-либо преимущества одних приобретателей перед другими, приобретающими ценные бумаги в один день, за исключением случаев, определенных законодательством.
Решение о размещении облигаций может быть принято только при соблюдении следующих условий:
• уставный капитал общества должен быть полностью оплачен;
• номинальная стоимость всех выпущенных обществом облигаций не должна превышать либо величину уставного капитала, либо величину обеспечения, предоставленную обществу третьими лицами для цели выпуска облигаций.
Акционерное общество вправе выпускать облигации:
• под залог имущества;
• под обеспечение третьих лиц;
• без обеспечения, которые могут выпускаться не ранее третьего года существования общества и при условии надлежащего утверждения двух годовых балансов акционерного общества (ст. 33).
Облигации могут быть:
• именными, в этом случае ведется реестр их владельцев;
• на предъявителя.
Облигации могут выпускаться конвертируемыми в акции, в пределах числа объявленных акций соответствующего типа.
Погашение облигаций проводится деньгами или иным имуществом. Общество вправе обусловить возможность досрочного погашения облигаций по желанию их владельцев, при этом в решении о выпуске облигаций должны быть определены стоимость погашения и срок, не ранее которого они могут быть предъявлены к досрочному погашению.
Принятие решения о размещении обществом облигаций, если иное не предусмотрено уставом ( п. 7 ст. 65), входит в исключительную компетенцию совета директоров.
Постановление ФКЦБ России “ Об утверждении Стандартов эмиссии акций при учреждении акционерных обществ, дополнительных акций, облигаций и их проспектов эмиссии” оперирует понятиями и нормами, заложенными в Федеральных законах, конкретизирует их, а также вводит новые понятия, например, решение о размещении ценных бумаг.
Решением о размещении ценных бумаг является решение об увеличении уставного капитала акционерного общества путем размещения дополнительных акций, решение о размещении облигаций и др. Размещение акций осуществляется путем распределения среди учредителей акционерного общества при его учреждении, путем распределения среди акционеров АО, путем подписки и конвертации. Размещение облигаций осуществляется путем подписки и конвертации.
При размещении акций АО при его учреждении все акции должны быть распределены среди учредителей в соответствии с договором о создании акционерного общества, а в случае учреждения акционерного общества одним учредителем — приобретение их единственным учредителем.
Эмиссия дополнительных акций, распределяемых среди акционеров включает в себя:
• средства, за счет которых возможно размещение дополнительных акций;
• этапы процедуры эмиссии дополнительных акций;
• порядок внесения в устав изменений, связанных с увеличением уставного капитала и их регистрация.
При условиях, описанных в разделе 11.1, процедура эмиссии дополняется процедурами, связанными с подготовкой и регистрацией проспекта эмиссии.
В случае размещения дополнительных акций в документарной форме процедура эмиссии дополняется этапом изготовления сертификатов акций. То же распространяется на эмиссию облигаций.
Процедура эмиссии дополнительных акций, независимо от способа их размещения, начинается с принятия общим собранием акционерного общества или советом директоров решения о размещении ценных бумаг и утверждении советом директоров решения о выпуске ценных бумаг.
Решение о выпуске ценных бумаг, как документ, содержащий данные, достаточные для установления объема прав, закрепленных ценной бумагой, принимается органом, имеющим полномочия на принятие решения о размещении соответствующих ценных бумаг. Описание (в решении о выпуске) прав, предоставляемых по каждой акции, должно соответствовать уставу акционерного общества.
Решение о выпуске и проспект эмиссии ценных бумаг, размещаемых путем подписки, если государственная регистрация выпуска сопровождается регистрацией проспекта эмиссии, может не содержать срока, цены размещения и сведений, относящихся к цене размещения ценных бумаг.
В решении о выпуске ценных бумаг, распределяемых среди акционеров, а также путем конвертации, должны быть указаны источники, за счет которых осуществляется размещение ценных бумаг.
Законодательством допускается возможность размещения ценных бумаг одного выпуска по разным ценам. Решение о выпуске и проспект эмиссии ценных бумаг должны содержать общие условия определения цены, но в них не могут быть предусмотрены какие-либо преимущества одних приобретателей перед другими, приобретающими ценные бумаги в один день, за исключением случаев, определенных законодательством.
Законодательством определено, что решением о выпуске и проспектом эмиссии может быть определена доля акций, но не ниже семидесяти пяти процентов одного выпуска, размещаемых путем подписки, при неразмещении которой эмиссия акций этого выпуска считается несостоявшейся.
Все бумаги одного выпуска должны иметь один государственный номер. Размещение ценных бумаг до государственное регистрации их выпуска запрещается. Государственная регистрация выпуска ценных бумаг не может быть осуществлена:
* до полной оплаты уставного капитала;
* до регистрации отчета об итогах всех зарегистрированных ранее выпусков;
* до регистрации отчетов об итогах всех зарегистрированных ранее выпусков облигаций, при регистрации выпуска акций;
* до регистрации отчетов об итогах всех зарегистрированных ранее выпусков акций и внесения соответствующих изменений в устав акционерного общества-эмитента, в случае регистрации выпуска облигаций.
Законодательством установлено, что не может быть одновременно осуществлена государственная регистрация:
• выпуска акций и выпуска облигаций;
• выпуска обыкновенных и привилегированных акций;
• двух и более выпусков акций одной категории (типа), двух и более выпусков облигаций одной серии.
Одновременно с государственной регистрацией выпуска ценных бумаг осуществляется регистрация решения о выпуске ценных бумаг и их проспекта эмиссии.
ВОПРОСЫ ДЛЯ САМОПРОВЕРКИ
1. В каких случаях общество осуществляет размещение акций?
2. Какие имеются ограничения для размещения дополнительных акций?
3. Какие вопросы должны быть урегулированы в решении об увеличении уставного капитала путем размещения дополнительных акций?
4. Какие виды облигаций может выпускать общество?
5. Какие ограничения существуют при выпуске облигаций?
ГЛАВА 12. ОБРАЩЕНИЕ ЦЕННЫХ БУМАГ
12.0 ОБРАЩЕНИЕ ЦЕННЫХ БУМАГ И УЧЕТ ПРАВ СОБСТВЕННОСТИ
Обращение ценных бумаг — сложный процесс, в котором принимают участие многие профессионалы фондового рынка. Для организации данного процесса необходимо существование развитой сети специализированных лицензированных институтов, совершенной нормативной базы, квалифицированных аттестованных специалистов.
Многие практические вопросы невозможно полностью и однозначно регламентировать законом, инструкцией, положением. Именно поэтому целесообразно использовать опыт, представленный в виде правил, стандартов, разработанных саморегулируемыми организациями.
Существование реального обращения ценных бумаг позволит решить не только частные проблемы отдельных физических и юридических лиц, но и реализовать эффективное движение капитала, что приведет к значительным положительным сдвигам в экономике.
В соответствии со статьей 2 Федерального закона Российской Федерации “О рынке ценных бумаг” обращение ценных бумаг происходит путем заключения гражданско-правовых сделок, влекущих переход права собственности на именные эмиссионные ценные бумаги.
Именные эмиссионные ценные бумаги являются особым видом товаров. В результате любой сделки происходит передача прав, которые они предоставляют своему владельцу. Так, статья 146 Гражданского кодекса Российской Федерации (ГК РФ) гласит, что права передаются в порядке уступки требований (цессии).
Согласно статье 28 Федерального закона “О рынке ценных бумаг”, формами удостоверения права собственности на эмиссионные ценные бумаги могут быть:
* права владельцев на эмиссионные ценные бумаги документарной формы выпуска удостоверяются сертификатами (если сертификаты находятся у владельцев) либо сертификатами и записями по счетам депо в депозитариях (если сертификаты переданы на хранение в депозитарии);
* права владельцев на эмиссионные ценные бумаги бездокументарной формы выпуска удостоверяются в системе ведения реестра записями на лицевых счетах у держателя реестра или в случае учета прав на ценные бумаги в депозитарии — записями по счетам депо в депозитариях.
Именные эмиссионные ценные бумаги в процессе своего обращения проходят через систему регистрации, в которой ведется учет всех владельцев ценных бумаг, а также операций (сделок), производимых на фондовом рынке.
Большая часть рабочего времени регистратора уходит на обработку сделок с ценными бумагами, среди которых выделяется переход прав собственности вследствие реализации процедуры купли-продажи.
Основным документом, на основании которого заключается сделка, является договор. В Гражданском кодексе Российской Федерации (ГК РФ) перечислены все типы договоров, которые могут использоваться в процессе предпринимательской деятельности.
Основной проблемой, возникающей перед регистратором в процессе регистрации сделок, является определение момента перехода прав собственности. Дело в том, что сам факт заключения договора для ценных бумаг не является полным завершением сделки. Возникает проблема осуществления передачи ценных бумаг одновременно с их оплатой (принцип поставки против платежа).
В соответствии со ст. 29 Федерального закона “О рынке ценных бумаг” право собственности на предъявительскую документарную ценную бумагу переходит к приобретателю:
* в случае нахождения ее сертификата у владельца — в момент передачи этого сертификата приобретателю;
* в случае хранения сертификатов предъявительских документарных ценных бумаг и/или учета прав на такие ценные бумаги в депозитарии — в момент осуществления приходной записи по счету депо приобретателя;
* право собственности на именную бездокументарную ценную бумагу переходит к приобретателю:
* в случае учета прав на ценные бумаги у лица, осуществляющего депозитарную деятельность, — с момента внесения приходной записи по счету депо приобретателя;
* в случае учета прав на ценные бумаги в системе ведения реестра с момента внесения приходной записи по лицевому счету приобретателя;
* право собственности на именную документарную ценную бумагу переходит к приобретателю:
* в случае учета прав приобретателя на ценные бумаги в системе ведения реестра — с момента передачи ему сертификата ценной бумаги после внесения приходной записи по лицевому счету приобретателя;
* в случае учета прав приобретателя на ценные бумаги у лица, осуществляющего депозитарную деятельность, с депонированием сертификата ценной бумаги у депозитария — с момента внесения приходной записи по счету депо приобретателя.
Права, закрепленные эмиссионной ценной бумагой, переходят к их приобретателю с момента перехода прав на эту ценную бумагу. Переход прав, закрепленных именной эмиссионной ценной бумагой, должен сопровождаться уведомлением держателя реестра или депозитария, или номинального держателя ценных бумаг.
Осуществление прав по предъявительским эмиссионным ценным бумагам производится по предъявлении их владельцем либо его доверенным лицом.
Осуществление прав по именным документарным эмиссионным ценным бумагам производится по предъявлении владельцем либо его доверенным лицом сертификатов этих ценных бумаг эмитенту. При этом в случае наличия сертификатов таких ценных бумаг у владельца необходимо совпадение имени (наименования) владельца, указанного в сертификате, с именем (наименованием) владельца в реестре.
В случае хранения сертификатов документарных эмиссионных ценных бумаг в депозитариях права, закрепленные ценными бумагами, осуществляются на основании предъявленных этими депозитариями сертификатов по поручению, предоставляемому депозитарными договорами владельцев, с приложением списка этих владельцев. Эмитент в этом случае обеспечивает реализацию прав по предъявительским ценным бумагам лица, указанного в этом списке.
Осуществление прав по именным бездокументарным эмиссионным ценным бумагам производится эмитентом в отношении лиц, указанных в системе ведения реестра.
В случае если данные о новом владельце такой ценной бумаги не были сообщены держателю реестра данного выпуска или номинальному держателю ценной бумаги к моменту закрытия реестра для исполнения обязательств эмитента, составляющих ценную бумагу (голосование, получение дохода и другие), исполнение обязательств по отношению к владельцу, зарегистрированному в реестре в момент его закрытия, признается надлежащим. Ответственность за своевременное уведомление лежит на приобретателе ценной бумаги.
Подлинность подписи физических лиц на документах о переходе прав на ценные бумаги и прав, закрепленных ценными бумагами (за исключением случаев, предусмотренных законодательством Российской Федерации), могут быть заверены нотариально или профессиональным участником рынка ценных бумаг.
Согласно Указу Президента Российской Федерации “О мерах по обеспечению прав акционеров” от 27.10.93 ¹ 1769 регистрация сделки может быть произведена:
• инвестиционным институтом (кроме инвестиционного консультанта), банком или депозитарием (то есть профессиональным участником рынка ценных бумаг) в том случае, если они являются участником регистрируемой сделки. Под участником сделки понимается либо сторона по сделке (в том числе комиссионер и поверенный), либо посредник. При этом профессиональный участник рынка ценных бумаг должен соблюдать требования к регистрации сделки, установленные Инструкцией Министерства финансов РФ “О правилах совершения и регистрации сделок с ценными бумагами” от 6.07 92 г. ¹53;
• реестродержателем, если сделка совершена без участия инвестиционного института (кроме инвестиционного консультанта), банка или депозитария. В этом случае внесение изменений в реестр и будет являться регистрацией сделки. Если регистратору предоставлено передаточное распоряжение и договор, он должен произвести изменения в реестре, а не требовать, чтобы обратившееся к нему лицо зарегистрировало сделку у профессионального участника рынка ценных бумаг.
Для осуществления операций по регистрации перехода прав собственности на ценные бумаги в результате гражданско-правовых сделок регистратору должно быть предоставлено:
• передаточное распоряжение в том случае, если сделка зарегистрирована профессиональным участником рынка ценных бумаг;
• передаточное распоряжение и договор, если сделка не зарегистрирована профессиональным участником рынка ценных бумаг.
Лицо, выдающее передаточное распоряжение регистратору о переходе ценных бумаг, гарантирует регистратору и приобретателю ценных бумаг, что:
• оно является зарегистрированным лицом и вправе осуществлять такую передачу (в случае если передаточное распоряжение совершается уполномоченным представителем лица, передающего ценные бумаги, то данный уполномоченный представитель гарантирует, что он имеет действительные полномочия действовать от имени зарегистрированного лица);
• передаваемые в соответствии с передаточным распоряжением ценные бумаги являются действительными, а передающее лицо не знает о каких-либо фактах, которые могли бы поставить под сомнение их действительность;
• в отношении данных ценных бумаг отсутствуют требования третьих лиц;
• по предоставлении передаточного распоряжения регистратору соответствующие ценные бумаги будут зачислены на лицевой счет приобретателя или указанного им номинального держателя свободными от всех залогов и иных ограничений и требований;
• данной передачей не нарушаются никакие ограничения в отношении передачи ценных бумаг;
• данная передача и в остальном будет действительной и правомерной.
Кроме того, лицо, передающее сертификат (бланк) именной документарной ценной бумаги, гарантирует регистратору, что сертификат ценной бумаги является подлинным и не претерпел существенных материальных изменений.
Сделки с ценными бумагами должны быть совершены в простой письменной форме (см. главу 8). Данное требование установлено сделкам, совершаемым юридическими лицами между собой и гражданами, а также сделкам граждан между собой на сумму, превышающую не менее чем в десять раз установленный законом минимальный размер оплаты труда. Сделка в простой письменной форме может быть совершена путем составления документа, выражающего ее содержание и подписанного лицом или лицами, совершающими сделку, или уполномоченными представителями.
Регистратор вносит изменения в реестр, если не будут нарушены ограничения в отношении передачи прав собственности на ценные бумаги, установленные законодательством РФ, уставом эмитента или вступившим в законную силу решением суда. Так, согласно Закону “Об акционерных обществах”, уставом эмитента могут быть установлены следующие ограничения:
• количества акций, принадлежащих одному акционеру;
• суммарной номинальной стоимости акций, принадлежащих одному акционеру;
• максимального числа голосов, предоставляемых одному акционеру.
Таким образом, если в уставе эмитента установлены ограничения по первым двум пунктам, то при их нарушении регистратор не должен производить операции в реестре.
ВОПРОСЫ ДЛЯ САМОПРОВЕРКИ
1. Каким образом происходит обращение ценных бумаг?
2. Какие существуют формы удостоверения права собственности на эмиссионные ценные бумаги?
3. Как регулируется переход прав собственности на различные ценные бумаги в Законе “О рынке ценных бумаг”?
4. Какие документы должны быть предоставлены регистратору для осуществления операций по регистрации перехода прав собственности на ценные бумаги в результате гражданско-правовых сделок?
5. Какие существуют ограничения в отношении передачи прав собственности на ценные бумаги, установленные законодательством РФ?
12.1 ПЕРЕДАЧА ПРАВ СОБСТВЕННОСТИ НА ЦЕННЫЕ БУМАГИ
(1) КУПЛЯ-ПРОДАЖА
В большинстве сделок передача прав собственности на ценные бумаги происходит по договору купли-продажи, где одна сторона (продавец) обязуется передать вещь (товар) в собственность другой стороне (покупателю), а покупатель обязуется принять этот товар и уплатить за него денежную сумму (цену).
В договоре обычно оговаривается цена за одну акцию. Предполагая, что передаются не сами акции, а права по ним, целесообразнее было бы указывать цену договора, так как торговля ведется не бумагами, а правами, которые они предоставляют их владельцу. Однако по сложившейся традиции имеют силу договоры, оформленные любым из возможных способов. Кроме того, во второй части ГК РФ допускается существование договоров, в которых цена не указывается. В таких случаях используется дополнительный документ, прилагаемый к договору.
Следует отметить, что в настоящее время налог на операции с ценными бумагами не уплачивается. Следовательно, регистратору не обязательно отслеживать цену договора и он не в праве ставить в зависимость от нее сумму, уплачиваемую за внесение записи в реестр. Но здесь есть некоторые особенности.
Акционерное общество может проводить две кампании:
• покупку ценных бумаг на баланс;
• выкуп ценных бумаг по результатам прошедшего общего собрания.
В обоих случаях регистратор является участником данных мероприятий. Так, при покупке ценных бумаг акционеры заключают с обществом договор купли-продажи по цене, определяемой на основе рыночных показателей. Как правило, эта цена несколько ниже фиксируемой в биржевых сводках по причине небольшого количества пакетов ценных бумаг, покупаемых у рядовых акционеров. В этом случае регистратору нет необходимости отслеживать цены, по которым производится купля-продажа.
Во втором случае, когда общество выкупает ценные бумаги по требованию акционеров, следует учитывать ограничения, накладываемые Законом “Об акционерных обществах”, а именно:
• цена, по которой определяется выкуп; “ размер средств, предназначенных для выкупа;
• выполнение соотношения между обыкновенными и привилегированными акциями;
• сохранение минимальной величины уставного капитала общества.
В связи с этим специальная комиссия должна принять решение о количестве ценных бумаг, которые будут выкуплены обществом; цене, по которой будет производиться данный выкуп; технической процедуре реализации кампании. Несомненно, что регистратор должен участвовать в этой комиссии, так как большинство необходимых мероприятий без участия регистратора не может быть проведено.
Необходимо отметить особую роль регистратора при осуществлении крупной сделки при приобретении крупного пакета акций, составляющего 30°о или более от уставного капитала компании, поскольку инвестор будет нуждаться в информации об акционерах, содержащейся только в реестре. Эту информацию регистратор может представить только с разрешения руководства общества. Возможно также, что регистратору будет дано поручение самостоятельно сделать рассылку извещений акционерам с предложением продать свои акции. В связи с тем, что при реализации сделки необходимо отслеживать цену, по которой производится покупка, каждый договор должен проходить через регистратора.
В соответствии с законодательством необходимо, чтобы цена по каждой сделке была не менее средневзвешенной за последние 6 месяцев. Расчет этой цены может произвести только регистратор, учитывая каждый договор и его цену, — в данном случае передаточного распоряжения от акционера недостаточно. Расчет средневзвешенной цены может производиться только на основании тех сделок, которые заключает само акционерное общество на рынке собственных ценных бумаг. Однако регистратор должен вести учет по всем сделкам общества.
(2) МЕНА
При заключении договора мены каждая из сторон обязуется передать в собственность другой стороне один товар в обмен на другой. К договору мены применяются правила о купле-продаже. При этом каждая из сторон признается продавцом товара, который она обязуется передать (ст. 567 ГК РФ), и покупателем товара, который она обязуется принять в обмен. Преимуществом данного типа договора является отсутствие необходимости в направлении встречных денежных потоков. Однако это возможно только в том случае, когда пакеты ценных бумаг, предназначенные для мены, признаны равноценными. Если это не так, то одна из сторон доплачивает сумму, оговоренную в договоре.
В случае мены необходимо производить оценку ценных бумаг, участвующих в сделке. Сумма сделки является основанием для определения величины налога с получаемого участниками сделки дохода. Сложностью в реализации мены является определение момента перехода права собственности, так как перерегистрация ценных бумаг происходит сразу в двух реестрах, иначе возможно возникновение ситуаций, при которых сделка будет отменена.
(3) ДАРЕНИЕ
С принятием нового Гражданского кодекса РФ оформление договора дарения теперь существенно отличается от принятой ранее формы. В ст. 574 ГК РФ установлена простая письменная форма договора дарения для дарения движимого имущества, к которому относятся ценные бумаги. Если ранее практически во всех случаях договор необходимо было заверить у нотариуса, то теперь этого не требуется. Договор дарения и/или передаточное распоряжение могут быть представлены как дарителем, так и одаряемым. В договоре дарения должно быть указано, какое количество ценных бумаг даритель передает одаряемому.
Регистратору необходимо помнить, что:
• договор дарения не может предусматривать передачу ценных бумаг после смерти дарителя — в этом случае действует право наследования;
• договор дарения не может быть оформлен, если в качестве дарителя выступают малолетние граждане или лица, признанные недееспособными, если размер дара (пакета ценных бумаг) превышает 5 минимальных месячных заработных плат;
• запрещается дарение между коммерческими организациями в случае, если рыночная стоимость пакета ценных бумаг превышает 5 минимальных месячных заработных плат;
• если пакет ценных бумаг находится у лица в хозяйственном ведении или в оперативном управлении, то для совершения сделки требуется согласие владельца данного пакета;
• не допускается дарение ценных бумаг работникам лечебных, воспитательных учреждений, учреждений социальной защиты и других аналогичных учреждений гражданами, находящимися в них на лечении, содержании или воспитании, супругами и родственниками этих граждан;
• не допускается дарение ценных бумаг государственным служащим и служащим органов муниципальных образований в связи с их должностным положением или в связи с исполнением ими служебных обязанностей;
• в договоре может быть предусмотрена отмена дарения, если даритель переживет одаряемого;
• существуют случаи, когда по решению суда может произойти отмена дарения.
В соответствии со ст. 573 ГК РФ одаряемый вправе в любое время до передачи ему дара от него отказаться. Поскольку моментом передачи дара (переходом права собственности на именные ценные бумаги) будет являться момент внесения регистратором приходной записи на лицевой счет одаряемого и передачи сертификата ценной бумаги (для документарных выпусков), регистратор после зачисления ценных бумаг на лицевой счет одаряемого не должен принимать отказ от принятия дара и проводить операции в реестре.
Следует иметь в виду, что дарение имущества сопровождается уплатой налога. Ставки налога варьируются в зависимости от суммы сделки. Следует также иметь в виду, что в соответствии с ГК РФ возможны случаи, когда даритель имеет право возвратить даримое, например если одаряемый совершил определенные действия против дарителя.
(4) ПЕРЕХОД ПРАВ СОБСТВЕННОСТИ В РЕЗУЛЬТАТЕ
НАСЛЕДОВАНИЯ
При решении вопросов наследования ценных бумаг регистратор вносит изменения в реестр на основании следующих первичных документов:
• свидетельство о праве на наследство, оформленное нотариально;
• решения суда.
Заявление или свидетельство о смерти не является основанием для внесения изменений в реестр.
Однако иногда возникают случаи, когда требуются нестандартные действия регистратора. Это актуально, если:
• у акционера отсутствует завещание и наследники;
• наследники акционера не предъявили требования по ценным бумагам.
В первом случае закон гласит, что имущество (ценные бумаги) переходят в собственность государства. Однако возникает проблема определения органа, который представляет интересы государства в данном случае. Задача этого органа — получить ценные бумаги, продать их, а деньги перечислить в бюджет. Поэтому в каждом конкретном случае следует принимать особое решение, приемлемое для данной ситуации, данного региона.
Часто при наследовании появляются дробные акции. Например, нотариус выдает свидетельство 3 наследникам на 7 акций — в этой ситуации возможны следующие варианты:
• выделение долей каждого наследника на основе их добровольного выражения воли;
• выкуп обществом ценных бумаг для определения долей в целых числах;
• фигурирование в реестре всех наследников как коллективных собственников.
Если коллективная собственность сохраняется, то необходимо установить представителя данного коллективного акционера для реализации права голоса на собрании и получения дивидендов.
Удержание налога на наследство не является обязанностью регистратора. Регистратор лишь может предоставлять наследнику информацию о налогах, которые уплачиваются при вступлении во владение ценными бумагами.
(5) ПЕРЕХОД ПРАВ СОБСТВЕННОСТИ НА ЦЕННЫЕ БУМАГИ ПРИ ВНЕСЕНИИ ИХ В УСТАВНЫЙ КАПИТАЛ ЮРИДИЧЕСКОГО ЛИЦА
Регистратор вносит записи о переходе прав на ценные бумаги при передаче их в оплату уставного капитала юридического лица на основании следующих документов:
• передаточное распоряжение;
• документ, в котором зафиксировано соглашение сторон о внесении ценных бумаг в оплату уставного капитала (протокол собрания учредителей, учредительный договор, решение собрания акционеров);
• бланки сертификатов (акций), принадлежащих зарегистрированному лицу (в случае документарного выпуска);
• если получатель ценных бумаг не имеет счета в системе ведения реестра, он должен открыть счет.
(6) ПЕРЕХОД ПРАВ СОБСТВЕННОСТИ НА ЦЕННЫЕ БУМАГИ ПО РЕШЕНИЮ СУДА
Если переход прав на ценные бумаги совершается по решению, распоряжению или приказу суда (исполнительный лист) и регистратору представляются копии этих документов, то они должны быть заверены соответствующим судом, арбитражным судом или иным установленным действующим законодательством способом.
При передаче прав на ценные бумаги по решению суда регистратор вносит записи в реестр на основании следующих документов:
• решение суда, исполнительный лист;
• передаточное распоряжение;
• бланки сертификатов (акций), принадлежащих зарегистрированному лицу (в случае документарного выпуска);
• если получатель ценных бумаг не имеет счета в системе ведения реестра, он должен открыть счет.
(7) ПЕРЕХОД ПРАВ СОБСТВЕННОСТИ НА ЦЕННЫЕ БУМАГИ В ПРОЦЕССЕ ПРИВАТИЗАЦИИ
Документы, на основании которых регистратором вносятся записи в реестр при продаже акций в процессе приватизации, определены пунктом 13.6 Положения о продаже акций (Приложение ¹ 1 к Распоряжению ГКИ РФ от 4.11.92 ¹ 701 “Положение о продаже акций в процессе приватизации”) и пунктом 2 Указа Президента РФ от 27.10.93 г. ¹ 1769 “О мерах по обеспечению прав акционеров”.
Требуемые документы:
• протокол о результатах закрытой подписки;
• протокол об итогах инвестиционного или коммерческого конкурса, или договора, заключенного с победителем по итогам конкурса, с подтверждением оплаты акций от фонда имущества;
• протокол об итогах денежного аукциона, или договора, заключенного с победителем по итогам аукциона, с подтверждением оплаты акций от фонда имущества;
• протокол об итогах специализированного денежного или чекового аукциона;
• документ фонда имущества (или комитета по управлению имуществом) о внесении акций, находящихся в государственной собственности, в уставный капитал холдинговых компаний или других акционерных обществ;
• передаточное распоряжение.
Если получатель ценных бумаг не имеет счета в системе ведения реестра, он должен открыть счет. Во всех случаях регистратор вправе затребовать у соответствующего фонда имущества или эмитента предоставления заполненных анкет новых владельцев, получивших права на акции в процессе приватизации.
(8) ПЕРЕХОД ПРАВ СОБСТВЕННОСТИ ПРИ РЕОРГАНИЗАЦИИ ОБЩЕСТВА
Изменения вносятся на основании следующих документов:
копии свидетельства о государственной регистрации или решения регистрационной палаты о регистрации вновь образованного юридического лица и выписки из передаточного акта о передаче ценных бумаг вновь образованному юридическому лицу (при слиянии и изменении организационно-правовой формы);
выписки из передаточного акта о передаче ценных бумаг юридическому лицу, к которому присоединяется другое юридическое лицо (при присоединении);
копии свидетельства о регистрации (или свидетельств о регистрации) или решения регистрационной палаты о регистрации вновь образованного юридического лица (юридических лиц) и выписки из разделительного баланса, свидетельствующей о передаче ценных бумаг одному или нескольким вновь образованным юридическим лицам (при разделении и выделении).
Если получатель ценных бумаг не имеет счета в системе ведения реестра, он должен открыть счет.
ВОПРОСЫ ДЛЯ САМОПРОВЕРКИ
1. Дайте определения основных способов передачи прав собственности на ценные бумаги.
2. Какой способ передачи прав собственности на ценные бумаги является основным?
3. Какие особенности перехода прав собственности на ценные бумаги при дарении должен учитывать регистратор?
12.2 ВАЛЮТНОЕ РЕГУЛИРОВАНИЕ СДЕЛОК С ЦЕННЫМИ БУМАГАМИ
Принципы осуществления валютных операций в РФ, компетенция органов валютного регулирования и контроля, права и обязанности юридических и физических лиц по владению, пользованию и распоряжению валютными ценностями, а также основания для наложения санкций за нарушение валютного законодательства определяются Законом РФ “О валютном регулировании и валютном контроле” от 9 октября 1992 года ¹ 3615-1, который на сегодняшний день является главным источником валютного законодательства, а также иными нормативно-правовыми актами ЦБ РФ, Министерства финансов РФ, Государственного таможенного комитета РФ.
Законом определены основные понятия валютного регулирования, к примеру, такие, как “валюта Российской Федерации”, “ценные бумаги в валюте Российской Федерации”, “иностранная валюта”, “текущие валютные операции”, “валютные операции, связанные с движением капитала” и др.
В соответствии с данным законом расчеты между резидентами по сделкам с ценными бумагами осуществляются в валюте Российской Федерации без ограничений. Операции же с ценными бумагами в иностранной валюте отнесены законом к “валютным операциям, связанным с движением капитала”. Это означает, что резидент, который решил продать (приобрести) ценные бумаги в иностранной валюте, должен иметь специальное разрешение (лицензию) ЦБ РФ (Письмо Государственного банка СССР от 24.05.91 ¹ 352).
Аналогичным образом регулируется порядок приобретения (отчуждения) ценных бумаг в валюте Российской Федерации резидентами за иностранную валюту. В соответствии с требованиями ЦБ РФ резидент, решивший продать (приобрести) ценные бумаги российского эмитента за иностранную валюту, также должен иметь соответствующее разрешение ЦБ РФ.
Определенными особенностями могут обладать сделки с ценными бумагами, где одной из сторон выступает банк-резидент. Такие сделки с участием кредитной организации регулируются, в частности, Федеральным законом от 3 февраля 1996 года ¹ 17-ФЗ “О внесении изменений и дополнений в Закон РСФСР “О банках и банковской деятельности в РСФСР”. Особенности валютного регулирования сделок с ценными бумагами определяются также видом лицензии на осуществление банковских операций, выданной кредитной организации в соответствии с указанным законом.
Сделки с ценными бумагами, совершенные в нарушение действующего валютного законодательства, являются недействительными, и все полученное по ним взыскивается в доход государства.
Такое взыскание осуществляется в претензионно-исковом порядке. В таком же порядке подлежит взысканию в доход государства необоснованно приобретенное в результате незаконных действий.
На протяжении 1996 года Центральным банком осуществлялась политика поэтапного снятия ограничений на допуск нерезидентов на рынки ГКО-ОФЗ. Целесообразно выделить следующие этапы:
1-й этап
До февраля 1996 года действовали ограничения на репатриацию иностранными участниками полученных на рынке ГКО-ОФЗ доходов, а максимальная доля облигаций, которые могли быть приобретены иностранными инвесторами, в общем объеме эмиссии каждого выпуска ограничивалась, как правило, 10°о. В этих условиях нерезиденты прибегали к использованию так называемых “серых схем” для осуществления операций с ГКО, которые предполагали, как правило, использование посредников-резидентов. Такой способ участия нерезидентов, в частности, не позволял эффективно контролировать долю их реального участия на рынке и своевременно анализировать возможные последствия операций нерезидентов на рынке ГКО-ОФЗ не только для самого этого рынка, но также и для рынка валюты.
2-й этап
Приказом Центрального банка 2 февраля 1996 г. был введен режим допуска иностранных инвесторов, в соответствии с которым они могли вкладывать средства в ГКО и ОФЗ-ПК с одновременным проведением иностранными инвесторами хеджирования операций по конвертации рублевых доходов (валютных свопов). Данный режим действовал до 15 сентября 1996 года. Им предусмаривалось, что покупка облигаций производится иностранными инвесторами через уполномоченных дилеров, заключивших с Банком России дополнительное соглашение к договору “О выполнении функций дилера на рынке государственных краткосрочных бескупонных облигаций”. Представителями иностранных инвесторов в отношениях последних с уполномоченными дилерами при совершении операций с облигациями выступали уполномоченные банки — нерезиденты, список которых устанавливался приказом Банка России. Расчеты по сделкам нерезидентов осуществлялись через специальные рублевые счета в валюте Российской Федерации, открытые на имя уполномоченных банков — нерезидентов и иностранных инвесторов в банке-резиденте, выполняющем функции уполномоченного дилера.
Основными характеристиками этого механизма участия нерезидентов являлись следующие:
• нерезидент не был допущен к операциям на вторичном рынке и вследствие этого мог осуществлять лишь пассивную стратегию на рынке;
•' список уполномоченных банков —нерезидентов устанавливался ЦБ;
• ЦБ устанавливал максимальные лимиты операций каждого банка-нерезидента;
ЦБ ограничивал доходность операций нерезидента, также был ограничен размер открытой позиции каждого уполномоченного банка по валютным свопам.
3-й этап
С 15 сентября 1996 г. приказом ЦБ был введен новый режим допуска нерезидентов, в соответствии с которым нерезиденты стали осуществлять операции через специальные рублевые счета “С” в крупнейших российских банках (уполномоченных банках), с которыми Центральный банк заключал соответствующие соглашения. Нерезиденты получили возможность переводить средства в рублях со счета “С” в расчетную систему ГКО-ОФЗ для проведения операций с этими ценными бумагами. Объемы репатриации средств нерезидентов за границу не ограничивались.
Основные характеристики нового механизма:
• сохранение минимального срока пребывания средств нерезидентов на рынке (3 месяца), устанавливаемого Центральным банком в целях предотвращения резкого оттока средств;
• ограничение доходности операций посредством контроля за заключением нерезидентами форвардных контрактов с уполномоченными банками на конвертацию рублевых доходов в валюту (прямых срочных сделок), а также посредством установления минимального процентного соотношения между объемом прямой срочной сделки и объемом обратной срочной сделки, заключаемой Центральным банком с уполномоченным банком;
• сохранение ограничения Минфином доли нерезидентов в конкретных выпусках;
• существование ограничений, установленных ЦБ, на превышение обязательств российских банков по продаже и покупке иностранной валюты (открытой валютной позиции) в целях регулирования кредитно-денежной политики.
Новые условия, облегчившие доступ нерезидентов на вторичный рынок и репатриацию средств нерезидентов за границу, имели своим результатом увеличение доли нерезидентов на рынке: в мае 1996 года их участие оценивалось ЦБ в 3—6% , к концу года их доля сильно возросла.
ВОПРОСЫ ДЛЯ САМОПРОВЕРКИ
1. Какими законодательными актами регулируется осуществление валютных операций в РФ?
2. Какие операции с ценными бумагами отнесены к валютным операциям, связанным с движением капитала?
12.3 АНТИМОНОПОЛЬНОЕ РЕГУЛИРОВАНИЕ СДЕЛОК С ЦЕННЫМИ БУМАГАМИ
Основным источником антимонопольного законодательства РФ является Закон РФ “О конкуренции и ограничении монополистической деятельности на товарных рынках” от 22.03.91 г. ¹ 948-1 (редакция от 25.05.95 г.). Государственным комитетом по антимонопольной политике и поддержке новых экономических структур разработано также “Положение о порядке представления антимонопольным органам ходатайств и уведомлений в соответствии с требованиями ст. 17и 18 Закона РФ “О конкуренции и ограничении монополистической деятельности на товарных рынках“ , утвержденное Приказом ГКАП РФ от 13 ноября 1995 года ¹ 145.
Рассматривая сделки с ценными бумагами применительно к соблюдению участниками рынка ценных бумаг антимонопольного законодательства, особое внимание следует обратить на порядок приобретения акций в уставном капитале коммерческих организаций.
Законом предусмотрено получение предварительного согласия антимонопольных органов в случае, если в результате сделки приобретатель получит в совокупности с акциями, уже имеющимися в его распоряжении или в распоряжении группы лиц, право распоряжаться более чем 20% акций с правом голоса в уставном капитале хозяйственного общества. Здесь можно выделить следующие существенные моменты:
1. Обязанность получения согласия антимонопольных органов возложена на приобретателя.
2. Приобретаемые акции должны обладать правом голоса. При этом нельзя забывать о том, что и привилегированная акция, которая по общему правилу не является голосующей, при определенных условиях “приобретает” право голоса на общем собрании акционеров хозяйственного общества.
3. Антимонопольное законодательство не содержит исчерпывающий перечень оснований для получения права распоряжения голосующими акциями. Это может быть договор купли-продажи, договор комиссии, доверительного управления. Также право голоса может быть предусмотрено и договором о номинальном держателе, в соответствии с условиями которого номинальный держатель, не являясь собственником акций, получает право участвовать и по своему усмотрению голосовать на общем собрании акционеров хозяйственного общества.
4. Антимонопольное законодательство оперирует понятием “группа лиц”.
Данное понятие конкретизирует отношение “контролируемое общество” — “контролирующее общество”. Антимонопольные органы при проведении государственного контроля за сделками рассматривают и стороны по сделке, и организации (физических лиц) как контролирующие приобретателя, так и им контролируемые.
При этом закон определяет, что контроль возникает у “группы лиц”, в том числе у юридического или физического лица, при наличии у такого юридического (физического) лица возможности прямо либо косвенно распоряжаться более 50 процентами голосов, приходящихся на акции, составляющие уставный капитал другого юридического лица. Контроль также имеет место, если лицо (юридическое или физическое) имеет право назначения более 50 °о состава исполнительного органа (совета директоров, наблюдательного совета) хозяйственного общества. Также о контроле речь может идти и при определенной степени участия одних и тех же физических лиц в исполнительных органах (советах директоров, наблюдательных советах) хозяйственных товариществ или обществ.
За сделки, совершенные с нарушением антимонопольного законодательства, руководители организаций несут административную ответственность, а сами сделки по иску антимонопольных органов по решению суда могут быть признаны недействительными.
ВОПРОСЫ ДЛЯ САМОПРОВЕРКИ
1. Укажите основные источники антимонопольного законодательства РФ.
2. В каких случаях предусмотрено получение предварительного согласия антимонопольных органов (при сделках с ценными бумагами)?
ГЛАВА 13. РАСКРЫТИЕ ИНФОРМАЦИИ НА РЫНКЕ ЦЕННЫХ БУМАГ
В целом концепция раскрытия информации (гласности) лежит в основе всех представлений о введении общественного и рыночного саморегулирования и является центральной в обеспечении общественной и рыночной стабильности.
Система раскрытия информации необходима для того, чтобы участники рынка были информированы о действиях друг друга, чтобы они принимали решения, основываясь на своих оценках реальных фактов, а не опираясь на догадки, слухи и домыслы. Инвестор, который не получит подробной и точной информации о том, на какие цели его деньги будут потрачены, каковы финансовые успехи и промахи объекта его предполагаемых инвестиций, отдаст их туда, где от него не скрывают информацию, а, наоборот, предоставляют ее для того, чтобы он принимал адекватные ситуации решения. Нет раскрытия информации — нет инвестиций. Поэтому создание системы раскрытия информации жизненно важно как для оживления внутреннего инвестиционного климата, так и для повышения привлекательности российского рынка ценных бумаг для иностранных инвестиций.
Суть принципа прозрачности рынка может быть определена:
• во-первых, как доступ к стандартизированной информации о финансовом состоянии, методах управления и работе эмитентов, ценные бумаги которых продаются на открытом рынке[20] ;
• во-вторых, как та степень, в которой информация о торговых сделках (котировки, цены и объемы) открывается широкой публике сразу после выставления котировки или по завершении торговой сделки[21] .
Обязательное раскрытие стандартизированной информации обо всех компаниях, акции которых обращаются на рынке, выполняет следующие функции:
• предоставляет инвесторам информацию, необходимую для принятия взвешенного решения, что способствует росту эффективности рынка и увеличению объемов инвестиций;
• снижает затраты на получение необходимой информации об эмитенте, что также способствует росту эффективности рынка;
• позволяет осуществлять инвестиции тем российским и зарубежным инвесторам, у которых существуют строгие стандарты инвестирования, запрещающие инвестировать в компанию, если она не раскрывает информацию о себе на регулярной основе;
• защищает инвесторов от мошенничества, препятствует случаям использования конфиденциальной информации инсайдерами и разрешает проблему конфликта интересов, обеспечивая общественный контроль за действиями руководства предприятия;
• стимулирует конкуренцию между предприятиями, раскрывая информацию о предприятиях и оценивая их достижения, и тем самым способствует укреплению эффективности рынка;
• защищает клиентов и кредиторов тех компаний, которые должны раскрывать финансовую информацию, предоставляя этим лицам информацию, позволяющую им принять решение, стоит ли им иметь дело с данной компанией;
• повышает добросовестность и ответственность руководства предприятий.
Существуют по крайней мере два фактора, которые должны побуждать руководителей предприятий к раскрытию информации — “инвестиционный” и “законодательный”.
Массовая приватизация в России привела к формированию более 30 000 открытых акционерных обществ, которые встали на путь самостоятельного развития в условиях рыночной экономики. Устаревшее оборудование и технологии зачастую не позволяют предложить потребителям продукцию, отвечающую современным мировым стандартам, и эффективно конкурировать с зарубежными производителями. С особой остротой встает вопрос об инвестициях в модернизацию и развитие. Предприятия начинают раскрывать информацию о себе прежде всего под воздействием потребности в таких инвестициях.
В настоящее время базовыми документами, устанавливающими требования по раскрытию информации, являются законы “Об акционерных обществах” и “О рынке ценных бумаг”. В соответствии со ст. 30 Закона “О рынке ценных бумаг” под раскрытием информации понимается “обеспечение ее доступности всем заинтересованным в этом лицам независимо от целей получения данной информации по процедуре, гарантирующей ее нахождение и получение”.
В соответствии со ст. 92 Закона “Об акционерных обществах” открытое общество обязано ежегодно опубликовывать в средствах массовой g ^ информации, доступных для всех акционеров данного общества, годовой ^^ отчет общества, бухгалтерский баланс, счет прибылей и убытков.
Закон “О рынке ценных бумаг” содержит подробные требования к:
• решению о выпуске ценных бумаг;
• сертификату эмиссионной ценной бумаги;
• проспекту эмиссии;
• раскрываемой информации о выпуске ценных бумаг;
• отчету об итогах выпуска ценных бумаг.
Также в этом законе (гл. 7) содержатся общие требования ко всем случаям раскрытия текущей информации со стороны эмитента ценных бумаг, владельца ценных бумаг и профессионального участника РЦБ.
Согласно ст. 30 Закона “О рынке ценных бумаг” ежеквартальный отчет (включающий в себя финансовую отчетность за последние три завершенных года и на конец отчетного завершенного квартала) должен направляться в ФКЦБ России или уполномоченный ею государственный орган, а также предоставляться владельцам эмиссионных ценных бумаг эмитента по их требованию за плату, не превышающую накладные расходы по изготовлению брошюры.
В соответствии с той же статьей закона эмитент должен направлять в ФКЦБ России или уполномоченный ею орган, а также раскрывать в печатных средствах массовой информации сообщения о существенных событиях и действиях, затрагивающих финансово-хозяйственную деятельность эмитента (реорганизация эмитента, сведения о выпуске ценных бумаг, начисленных и выплаченных доходах по ценным бумагам, об изменениях в списке акционеров, владеющих 20 и более процентами уставного капитала, и т. п.).
Согласно ст. 16 Закона “О бухгалтерском учете” (¹ 129-ФЗ от 21.11.96 г.), акционерные общества открытого типа, банки и другие кредитные организации, страховые организации, биржи, инвестиционные и иные фонды, создающиеся за счет частных, общественных и государственных средств (взносов), обязаны публиковать годовую бухгалтерскую отчетность не позднее 1 июня года, следующего за отчетным. При этом публичность бухгалтерской отчетности заключается в ее опубликовании в газетах и журналах, доступных пользователям бухгалтерской отчетности, либо распространении среди них брошюр, буклетов и других изданий, содержащих бухгалтерскую отчетность.
Конкретные механизмы раскрытия информации регулируются другими нормативными актами, в первую очередь постановлениями ФКЦБ России. Очевидно, что главным направлением политики ФКЦБ в этой области стало расширение объема информации, которая должна предоставляться в проспектах эмиссий для открытого размещения новых ценных бумаг, до международных стандартов. Вместе с тем важнейшей задачей контроля со стороны ФКЦБ должно стать не только количество информации и регулярных отчетов, но и качество предоставляемой информации.
Постановление ФКЦБ России ¹ 8 от 7.05.96 устанавливает, что в случае публичного размещения облигаций и иных ценных бумаг акционерное общество должно публиковать информацию о размещении в “Приложении к Вестнику ФКЦБ”, а также определяет сроки и объем публикуемой информации.
Постановление ФКЦБ России ¹ 9 от 7.05.96 определяет информацию, которую открытое акционерное общество должно ежегодно опубликовывать в дополнение к требованиям ст. 92 Закона “Об акционерных обществах”: соотношение стоимости чистых активов и размера уставного капитала, количество акционеров и данные о реестродержателе.
“Концепция развития рынка ценных бумаг в Российской Федерации”, утвержденная Указом Президента РФ от 1.07.96 г. ¹ 1008, определила, что одной из ключевых задач государства в сфере развития рынка ценных бумаг является повышение уровня информационной прозрачности рынка.
ФКЦБ России, используя зарубежный опыт и опыт первых эмиссий ценных бумаг российскими предприятиями, разработала и утвердила новый формат проспекта эмиссии акций и облигаций. Состав информации, которую необходимо указывать в проспекте эмиссии, позволит потенциальному инвестору оценить доходность и рискованность вложения в новые ценные бумаги, чтобы принять информированное решение. В сентябре 1996 года постановлением ФКЦБ России ¹ 19 были утверждены “Стандарты эмиссии акций при учреждении акционерных обществ, дополнительных акций, облигаций и их проспект эмиссии”. По оценкам, этот документ ФКЦБ вполне соответствует мировым стандартам в данной области. В феврале 1997 года постановлением ¹ 8 приняты “Стандарты эмиссии акций и облигаций и их проспектов эмиссии при реорганизации коммерческих организаций”, заменившие действовавшую Инструкцию Минфина ¹ 2 от 3 марта 1992 года О правилах выпуска и регистрации ценных бумаг на территории Российской Федерации.
В марте 1997 г. решено также, что к 202 крупнейшим российским эмитентам будут предъявляться наиболее жесткие требования по раскрытию информации, прежде всего в отношении данных о финансово-хозяйственной деятельности и рекламы эмиссий. При этом вторичные эмиссии этих 202 эмитентов будут регистрироваться не в Министерстве финансов, а в ФКЦБ (департамент регулирования выпуска и обращения эмиссионных ценных бумаг и региональные отделения), а эмиссии остальных предприятий — в территориальных отделениях ФКЦБ. Данное решение основано на нормах Закона О рынке ценных бумаг, постановления Правительства РФ ¹ 119 Вопросы
Федеральной комиссии по рынку ценных бумаг” и оформлено в распоряжении ФКЦБ ¹ 60-р “О государственной регистрации выпусков ценных бумаг”.
ФКЦБ разрабатывает также форматы и порядок предоставления эмитентами ежеквартальной отчетности и сообщений о существенных событиях и действиях, затрагивающих финансово-хозяйственную деятельность эмитента, предпринимает шаги по созданию электронной базы данных для раскрытия информации об эмитентах (ежеквартальных отчетов, проспектов эмиссии и т. д.) по типу того, как это реализовано в базе данных по публичным компаниям EDGAR, которая действует в США с 1992 года. Это позволит ФКЦБ на регулярной основе получать информацию от российских эмитентов и обеспечивать ее дальнейшее распространение, чтобы акционеры и потенциальные покупатели ценных бумаг на вторичном рынке могли оценить инвестиции в ценные бумаги конкретной компании.
Раскрываемая информация должна быть достаточной для принятия решения инвесторами и представлена в форме, доступной для понимания. Тем не менее российская финансовая отчетность не предназначалась для широкого круга пользователей, а лишь для специфических целей налоговых и статистических органов. Минфин и ФКЦБ России ведут работу по приближению российской финансовой отчетности к международным стандартам. Кроме того, необходимы и технические условия для распространения информации.
Помимо расширения требований к раскрытию информации необходимо ужесточать и законодательно определять ответственность за укрытие информации. Но и этого будет недостаточно до тех пор, пока сами менеджеры (собственники) не осознают преимущества открытия информации для привлечения инвестиций.
Что касается информации о торговых операциях, то в 1993—1 996 гг. большинство ценных бумаг продавалось и покупалось на внебиржевом рынке при отсутствии учета операций и технических средств для объявления котировок на продажу и покупку. Если и выставлялись котировки в какой-либо системе, они в лучшем случае были индикативными (информационными). Создание РТС в мае 1995 г. (и введение твердых котировок) привело к заметно возросшему в последнее время объему информации, однако этого недостаточно в масштабах рынка. Второй существенный сдвиг в этой области будет достигнут, когда реально заработает предусмотренный постановлением ФКЦБ Технический центр раскрытия информации.
В соответствии с Законом “О рынке ценных бумаг” (гл. 7) профессиональный участник РЦБ при предложении и/или объявлении цен покупки и/или продажи эмиссионных ценных бумаг обязан раскрыть имеющуюся у него общедоступную информацию, раскрываемую эмитентом этих бумаг, или сообщить о факте отсутствия у него этой информации. Требований от участников рынка отчетов о котировках или о торговых сделках (за исключением сделок с большими объемами одного вида бумаг) в законе не предусмотрено.
Последние должны стать объектом регулирования ФКЦБ и саморегулируемых организаций профессиональных участников РЦБ.
С февраля 1996 года функционирует Internet-ñåðâåð ФКЦБ России, на котором раскрывается нормативная информация по рынку ценных бумаг, а также представлены сведения о выданных лицензиях и другая информация о регистраторах, депозитариях, управляющих компаниях ПИФов, специализированных депозитариях и др.
Положение о системе раскрытия информации на рынке ценных бумаг, утвержденное постановлением ФКЦБ России от 9.01.97 ¹ 2, определяет систему раскрытия информации как техническую систему сбора информации и обеспечения доступа к ней. Система раскрытия информации основывается на введении Технического центра раскрытия информации.
Положение предусматривает присутствие в системе раскрытия информации в широком смысле следующих участников:
• ФКЦБ России создает систему раскрытия информации, является также раскрывателем своей информации (согласно Закону “О рынке ценных бумаг”, а также потребляет эту информацию в лице своих аналитических служб;
• другие регулирующие органы принимают участие в создании системы раскрытия информации, сами являются раскрывателями и потребителями этой информации;
•раскрыватели информации (регулирующие органы, СРО, профессиональные участники рынка, эмитенты, инвесторы);
• “информационные агентства” — непосредственные клиенты Технического центра раскрытия информации, которые имеют доступ к оригинальному “сырому” потоку раскрываемой информации. Информационные агентства добавляют стоимость к информации (добавляют дополнительную информацию, улучшают формат, вычисляют дополнительные значения, предоставляют развитые функции поиска и т.д.) и осуществляют “розничное” распространение этой информации для потребителей;
• “аналитики” — потребители информации: аналитические службы профессиональных участников, службы регуляторов рынка, консультанты, специальная и общая пресса, отдельные интересующиеся из мелких инвесторов;
• мелкие инвесторы.
Из приведенной схемы видно, что в доведении необходимой информации до мелкого инвестора обычно задействована целая цепочка различных участников системы раскрытия информации (в широком смысле). Основная идея такой схемы — это максимальное удовлетворение интересов инвесторов за счет включения механизма конкуренции. Было принято несколько других крупных решений по организации системы раскрытия информации:
• механизм исправления ошибок, внесения дополнений и изменений в раскрытую информацию будет разработан на уровне Регламентов;
• оплачиваться функционирование системы предоставления информации должно первичными пользователями.
ВОПРОСЫ ДЛЯ САМОПРОВЕРКИ
1. Почему необходима система раскрытия информации?
2. В чем состоит суть принципа прозрачности на рынке ценных бумаг?
3. Какие функции выполняет обязательное раскрытие стандартизированной информации обо всех компаниях, акции которых обращаются на рынке?
4. Перечислите базовые документы, устанавливающие требования по раскрытию информации.
ГЛАВА 14. ВИДЫ ПРОФЕССИОНАЛЬНОЙ ДЕЯТЕЛЬНОСТИ НА РЫНКЕ ЦЕННЫХ БУМАГ И ЕЕ РЕГУЛИРОВАНИЕ
Глава 2 Закона “О рынке ценных бумаг” устанавливает семь видов профессиональной деятельности на рынке ценных бумаг:
• брокерская;
• дилерская;
• деятельность по управлению ценными бумагами;
• деятельность по определению взаимных обязательств (клиринг);
•депозитарная деятельность;
• деятельность по ведению реестра владельцев ценных бумаг;
• деятельность по организации торговли на рынке ценных бумаг.
В силу существенной специфики каждого из этих видов деятельности на рынке ценных бумаг в ст. 3—9 закона оговорены особые условия осуществления функций представителя, коммерческого представителя и других (по сравнению с общими нормами Гражданского кодекса, см. главу 8).
Брокерской деятельностью признается совершение гражданско-правовых сделок с ценными бумагами в качестве поверенного или комиссионера, действующего на основании договора поручения или комиссии, а также доверенности на совершение таких сделок при отсутствии указаний на полномочия поверенного или комиссионера в договоре. Профессиональный участник рынка ценных бумаг, занимающийся брокерской деятельностью, именуется брокером.
Передоверие брокерами совершения сделок допускается только брокерам. Передоверие допускается, если оно оговорено в договоре комиссии или поручения либо в случаях, когда брокер вынужден к этому силой обстоятельств для охраны интересов своего клиента с уведомлением последнего.
Брокер должен выполнять поручения клиентов добросовестно и в порядке их поступления, если иное не предусматривается договором с клиентом или его поручением. Сделки, осуществляемые по поручению клиентов, во всех случаях подлежат приоритетному исполнению по сравнению с дилерскими операциями самого брокера при совмещении им деятельности брокера и дилера.
В случае наличия у брокера интереса, препятствующего осуществлению поручения клиента на наиболее выгодных для клиента условиях, брокер обязан немедленно уведомить последнего о наличии у него такого интереса.
В случае если брокер действует в качестве комиссионера, договор комиссии может предусматривать обязательство хранить денежные средства, предназначенные для инвестирования в ценные бумаги или полученные в результате продажи ценных бумаг, у брокера на забалансовых счетах и право их использования брокером до момента возврата этих денежных средств клиенту в соответствии с условиями договора.
Часть прибыли, полученной от использования указанных средств и остающейся в распоряжении брокера, в соответствии с договором перечисляется клиенту. При этом брокер не вправе гарантировать или давать обещания клиенту в отношении доходов от инвестирования хранимых им денежных средств.
В случае если конфликт интересов брокера и его клиента, о котором клиент не был уведомлен до получения брокером соответствующего поручения, привел к исполнению этого поручения с ущербом для интересов клиента, брокер обязан за свой счет возместить убытки в порядке, установленном гражданским законодательством Российской Федерации.
Дилерской деятельностью признается совершение сделок купли-продажи ценных бумаг от своего имени и за свой счет путем публичного объявления цен покупки и/или продажи определенных ценных бумаг с обязательством покупки и/или продажи этих ценных бумаг по объявленным ценам лицом, осуществляющим такую деятельность. Профессиональный участник рынка ценных бумаг, осуществляющий дилерскую деятельность, именуется дилером. Дилером может быть только юридическое лицо, являющееся коммерческой организацией.
Кроме цены дилер имеет право объявить иные существенные условия договора купли-продажи ценных бумаг: минимальное и максимальное количество покупаемых и/или продаваемых ценных бумаг, а также срок, в течение которого действуют объявленные цены. При отсутствии в объявлении указания на иные существенные условия дилер обязан заключить договор на существенных условиях, предложенных его клиентом. В случае уклонения дилера от заключения договора к нему может быть предъявлен иск о принудительном заключении такого Договора и/или о возмещении причиненных клиенту убытков.
Под деятельностью по управлению ценными бумагами (ст. 5 закона) признается осуществление юридическим лицом или индивидуальным предпринимателем от своего имени за вознаграждение в течение определенного срока доверительного управления переданными ему во владение и принадлежащими другому лицу в интересах этого лица или указанных этим лицом третьих лиц:
• ценными бумагами;
• денежными средствами, предназначенными для инвестирования в ценные бумаги;
• денежными средствами и ценными бумагами, получаемыми в процессе управления ценными бумагами.
Профессиональный участник рынка ценных бумаг, осуществляющий деятельность по управлению ценными бумагами, именуется управляющим.
Управляющий при осуществлении своей деятельности обязан указывать, что он действует в качестве управляющего. В случае если конфликт интересов управляющего и его клиента или разных клиентов одного управляющего, о котором все стороны не были уведомлены заранее, привел к действиям управляющего, нанесшим ущерб интересам клиента, управляющий обязан за свой счет возместить убытки в порядке, установленном гражданским законодательством.
Клиринговая деятельность — это деятельность по определению взаимных обязательств (сбор, сверка, корректировка информации по сделкам с ценными бумагами и подготовка бухгалтерских документов по ним) и их зачету по поставкам ценных бумаг и расчетам по ним.
Организации, осуществляющие клиринг по ценным бумагам, в связи с расчетами по операциям с ценными бумагами принимают к исполнению подготовленные при определении взаимных обязательств бухгалтерские документы на основании их договоров с участниками рынка ценных бумаг, для которых производятся расчеты.
Клиринговая организация, осуществляющая расчеты по сделкам с ценными бумагами, обязана формировать специальные фонды для снижения рисков неисполнения сделок с ценными бумагами. Минимальный размер специальных фондов клиринговых организаций устанавливается ФКЦБ по согласованию с Центральным банком Российской Федерации.
Депозитарной деятельностью признается оказание услуг по хранению сертификатов ценных бумаг и/или учету и переходу прав на ценные бумаги. Профессиональный участник рынка ценных бумаг, осуществляющий депозитарную деятельность, именуется депозитарием. Депозитарием может быть только юридическое лицо. Лицо, пользующееся услугами депозитария по хранению ценных бумаг и/или учету прав на ценные бумаги, именуется депонентом.
Договор между депозитарием и депонентом, регулирующий их отношения в процессе депозитарной деятельности, именуется депозитарным договором (договором о счете депо). Депозитарный договор должен быть заключен в письменной форме. Депозитарий обязан утвердить условия осуществления им депозитарной деятельности, являющиеся неотъемлемой составной частью заключенного депозитарного договора.
Заключение депозитарного договора не влечет за собой переход к депозитарию права собственности на ценные бумаги депонента. Депозитарий не имеет права распоряжаться ценными бумагами депонента, управлять ими или осуществлять от имени депонента любые действия с ценными бумагами, кроме осуществляемых по поручению депонента в случаях, предусмотренных депозитарным договором. Депозитарий не имеет права обусловливать заключение депозитарного договора с депонентом отказом последнего хотя бы от одного из прав, закрепленных ценными бумагами. Депозитарий несет гражданско-правовую ответственность за сохранность депонированных у него сертификатов ценных бумаг. На ценные бумаги депонентов не может быть обращено взыскание по обязательствам депозитария.
Депозитарий имеет право на основании соглашений с другими депозитариями привлекать их к исполнению своих обязанностей по хранению сертификатов ценных бумаг и/или учету прав на ценные бумаги депонентов (то есть становиться депонентом другого депозитария или принимать в качестве депонента другой депозитарий), если это прямо не запрещено депозитарным договором.
Если депонентом одного депозитария является другой депозитарий, то депозитарный договор между ними должен предусматривать процедуру получения в случаях, предусмотренных законодательством Российской Федерации, информации о владельцах ценных бумаг, учет которых ведется в депозитарии-депоненте, а также в его депозитариях-депонентах.
В обязанности депозитария входит:
• регистрация фактов обременения ценных бумаг депонента обязательствами;
• ведение отдельного от других счета депо депонента с указанием даты и основания каждой операции по счету;
• передача депоненту всей информации о ценных бумагах, полученной депозитарием от эмитента или держателя реестра владельцев ценных бумаг.
Депозитарий имеет право регистрироваться в системе ведения реестра владельцев ценных бумаг или у другого депозитария в качестве номинального держателя в соответствии с депозитарным договором. Депозитарий несет ответственность за неисполнение или ненадлежащее исполнение своих обязанностей по учету прав на ценные бумаги, в том числе за полноту и правильность записей по счетам депо. Депозитарий в соответствии с депозитарным договором имеет право на поступление на свой счет доходов по ценным бумагам, хранящимся с целью перечисления на счета депонентов.
Деятельностью по ведению реестра владельцев ценных бумаг признаются сбор, фиксация, обработка, хранение и предоставление данных, составляющих систему ведения реестра владельцев ценных бумаг. Деятельностью по ведению реестра владельцев ценных бумаг имеют право заниматься только юридические лица. Лица, осуществляющие деятельность по ведению реестра владельцев ценных бумаг, именуются держателями реестра (регистраторами).
Юридическое лицо, осуществляющее деятельность по ведению реестра владельцев ценных бумаг, не вправе осуществлять сделки с ценными бумагами зарегистрированного в системе ведения реестра владельцев ценных бумаг эмитента.
Под системой ведения реестра владельцев ценных бумаг понимается совокупность данных, зафиксированных на бумажном носителе и/или с использованием электронной базы данных, обеспечивающая идентификацию зарегистрированных в системе ведения реестра владельцев ценных бумаг номинальных держателей и владельцев ценных бумаг и учет их прав в отношении ценных бумаг, зарегистрированных на их имя, позволяющая получать и направлять информацию указанным лицам и составлять реестр владельцев ценных бумаг.
Система ведения реестра владельцев ценных бумаг должна обеспечивать сбор и хранение в течение установленных законодательством Российской Федерации сроков информации о всех фактах и документах, влекущих необходимость внесения изменений в систему ведения реестра владельцев ценных бумаг, и о всех действиях держателя реестра по внесению этих изменений. Для ценных бумаг на предъявителя система ведения реестра владельцев ценных бумаг не ведется.
Реестр владельцев ценных бумаг (далее — реестр) — это часть системы ведения реестра, представляющая собой список зарегистрированных владельцев с указанием количества, номинальной стоимости и категории принадлежащих им именных ценных бумаг, составленный по состоянию на любую установленную дату и позволяющий идентифицировать этих владельцев, количество и категорию принадлежащих им ценных бумаг. Владельцы и номинальные держатели ценных бумаг обязаны соблюдать правила представления информации в систему ведения реестра.
Держателем реестра может быть эмитент или профессиональный участник рынка ценных бумаг, осуществляющий деятельность по ведению реестра на основании поручения эмитента. В случае если число владельцев превышает 500, держателем реестра должна быть независимая специализированная организация, являющаяся профессиональным участником рынка ценных бумаг и осуществляющая деятельность по ведению реестра. Регистратор имеет право делегировать часть своих функций по сбору информации, входящей в систему ведения реестра, другим регистраторам. Передоверие функций не освобождает регистратора от ответственности перед эмитентом.
Договор на ведение реестра заключается только с одним юридическим лицом. Регистратор может вести реестры владельцев ценных бумаг неограниченного числа эмитентов.
Номинальный держатель ценных бумаг — лицо, зарегистрированное в системе ведения реестра, в том числе являющееся депонентом депозитария и не являющееся владельцем в отношении этих ценных бумаг. В качестве номинальных держателей ценных бумаг могут выступать профессиональные участники рынка ценных бумаг. Депозитарий может быть зарегистрирован в качестве номинального держателя ценных бумаг в соответствии с депозитарным договором. Брокер может быть зарегистрирован в качестве номинального держателя ценных бумаг в соответствии с договором, на основании которого он обслуживает клиента.
Номинальный держатель ценных бумаг может осуществлять права, закрепленные ценной бумагой, только в случае получения соответствующего полномочия от владельца. Данные о номинальном держателе ценных бумаг подлежат внесению в систему ведения реестра держателем реестра по поручению владельца или номинального держателя ценных бумаг, если последние лица зарегистрированы в этой системе ведения реестра. Внесение имени номинального держателя ценных бумаг в систему ведения реестра, а также перерегистрация ценных бумаг на имя номинального держателя не влекут за собой переход права собственности и/или иного вещного права на ценные бумаги к последнему. Ценные бумаги клиентов номинального держателя ценных бумаг не подлежат взысканию в пользу кредиторов последнего.
Операции с ценными бумагами между владельцами ценных бумаг одного номинального держателя ценных бумаг не отражаются у держателя реестра или депозитария, клиентом которого он является. Номинальный держатель обязан в отношении именных ценных бумаг, держателем которых он является в интересах другого лица:
• совершать все необходимые действия, направленные на обеспечение получения этим лицом всех выплат, которые ему причитаются по этим ценным бумагам;
• осуществлять сделки и операции с ценными бумагами исключительно по поручению лица, в интересах которого он является номинальным держателем ценных бумаг, и в соответствии с договором, заключенным с этим лицом;
• осуществлять учет ценных бумаг, которые он держит в интересах других лиц, на раздельных забалансовых счетах и постоянно иметь на раздельных забалансовых счетах достаточное количество ценных бумаг в целях удовлетворения требований лиц, в интересах которых он держит эти ценные бумаги.
Номинальный держатель ценных бумаг по требованию владельца обязан обеспечить внесение в систему ведения реестра записи о передаче ценных бумаг на имя владельца.
Для осуществления владельцами прав, закрепленных ценными бумагами, держатель реестра имеет право требовать от номинального держателя ценных бумаг предоставления списка владельцев, номинальным держателем которых он является по состоянию на определенную дату. Номинальный держатель ценных бумаг обязан составить требуемый список и направить его держателю реестра в течение семи дней после получения требования. В случае если требуемый список необходим для составления реестра, то номинальный держатель ценных бумаг не получает за составление этого списка вознаграждения.
Номинальный держатель ценных бумаг несет ответственность за отказ от предоставления указанных списков держателю реестра перед своими клиентами, держателем реестра и эмитентом в соответствии с законодательством Российской Федерации.
Эмитент, поручивший ведение системы ведения реестра регистратору, один раз в год может требовать у последнего предоставления реестра за вознаграждение, не превышающее затраты на его составление, а регистратор обязан предоставить реестр за это вознаграждение. В остальных случаях размер вознаграждения определяется договором эмитента и регистратора. Держатель реестра имеет право взимать со сторон по сделке плату, соответствующую количеству распоряжений о передаче ценных бумаг и одинаковую для всех юридических и физических лиц. Держатель реестра не вправе взимать со сторон по сделке плату в виде процента от объема сделки.
Держатель реестра обязан по требованию владельца или лица, действующего от его имени, а также номинального держателя ценных бумаг предоставить выписку из системы ведения реестра по его лицевому счету в течение пяти рабочих дней. Владелец ценных бумаг не имеет права требовать включения в выписку из системы ведения реестра не относящейся к нему информации, в том числе информации о других владельцах ценных бумаг и количестве принадлежащих им ценных бумаг.
Выпиской из системы ведения реестра является документ, выдаваемый держателем реестра с указанием владельца лицевого счета, количества ценных бумаг каждого выпуска, числящихся на этом счете в момент выдачи выписки, фактов их обременения обязательствами, а также иной информации, относящейся к этим бумагам.
Выписка из системы ведения реестра должна содержать отметку о всех ограничениях или фактах обременения ценных бумаг, на которые выдается выписка, обязательствах, зафиксированных на дату составления в системе ведения реестра. Выписки из системы ведения реестра, оформленные при размещении ценных бумаг, выдаются владельцам бесплатно. Лицо, выдавшее указанную выписку, несет ответственность за полноту и достоверность сведений, содержащихся в ней.
Права и обязанности держателя реестра, порядок осуществления деятельности по ведению реестра определяются действующим законодательством и договором, заключенным между регистратором и эмитентом.
В обязанности держателя реестра входит:
• открыть каждому владельцу, изъявившему желание быть зарегистрированным у держателя реестра, а также номинальному держателю ценных бумаг лицевой счет в системе ведения реестра на основании уведомления об уступке требования или распоряжения о передаче ценных бумаг, а при размещении эмиссионных ценных бумаг — на основании уведомления продавца ценных бумаг;
• вносить в систему ведения реестра все необходимые изменения и дополнения;
• производить операции на лицевых счетах владельцев и номинальных держателей ценных бумаг только по их поручению;
• доводить до зарегистрированных лиц информацию, предоставляемую эмитентом;
• предоставлять зарегистрированным в системе ведения реестра владельцам и номинальным держателям ценных бумаг, владеющим более 1 процента голосующих акций эмитента, данные из реестра об имени (наименовании) зарегистрированных в реестре владельцев и о количестве, категории и номинальной стоимости принадлежащих им ценных бумаг;
• информировать зарегистрированных в системе ведения реестра владельцев и номинальных держателей ценных бумаг о правах, закрепленных ценными бумагами, и о способах и порядке осуществления этих прав;
• строго соблюдать порядок передачи системы ведения реестра при расторжении договора с эмитентом.
Форма распоряжения о передаче ценных бумаг и указываемые в нем сведения устанавливаются Федеральной комиссией по рынку ценных бумаг.
Держатель реестра не вправе предъявлять дополнительные требования при внесении изменений в данные системы ведения реестра помимо тех, которые устанавливаются в порядке, предусмотренном настоящим Федеральным законом.
В случае прекращения действия договора по поддержанию системы ведения реестра между эмитентом и регистратором последний передает Ц) другому держателю реестра, указанному эмитентом, информацию, полученную от эмитента, все данные и документы, составляющие систему ведения реестра, а также реестр, составленный на дату прекращения действия договора. Передача производится в день расторжения договора.
При замене держателя реестра эмитент дает объявление об этом в средствах массовой информации или уведомляет всех владельцев ценных бумаг письменно за свой счет. Все выписки, выданные держателем реестра после даты прекращения действия договора с эмитентом, недействительны.
Держатель реестра вносит изменения в систему ведения реестра на основании:
• распоряжения владельца о передаче ценных бумаг или лица, действующего от его имени, или номинального держателя ценных бумаг, который зарегистрирован в системе ведения реестра в соответствии с правилами ведения реестра, установленными законодательством Российской Федерации, а при размещении эмиссионных ценных бумаг — в соответствии с порядком, установленным настоящей статьей;
• иных документов, подтверждающих переход права собственности на ценные бумаги в соответствии с гражданским законодательством Российской Федерации (см. главу 12).
При документарной форме эмиссионных ценных бумаг, предусматривающей нахождение ценных бумаг у их владельцев, помимо указанных документов представляется также сертификат ценной бумаги. При этом имя (наименование) лица, указанного в сертификате в качестве владельца именной ценной бумаги, должно соответствовать имени (наименованию) зарегистрированного лица, указанного в распоряжении о передаче ценных бумаг.
Отказ от внесения записи в систему ведения реестра или уклонение от такой записи, в том числе в отношении добросовестного приобретателя, не допускается, за исключением случаев, предусмотренных федеральными законами.
Деятельностью по организации торговли на рынке ценных бумаг признается предоставление услуг, непосредственно способствующих заключению гражданско-правовых сделок с ценными бумагами между участниками рынка ценных бумаг.
Профессиональный участник рынка ценных бумаг, осуществляющий деятельность по организации торговли на рынке ценных бумаг, называется организатором торговли на рынке ценных бумаг. Организатор торговли на рынке ценных бумаг обязан раскрыть следующую информацию любому заинтересованному лицу:
• правила допуска участника рынка ценных бумаг к торгам;
• правила допуска к торгам ценных бумаг;
• правила заключения и сверки сделок;
• правила регистрации сделок;
• порядок исполнения сделок;
• правила, ограничивающие манипулирование ценами;
• расписание предоставления услуг организатором торговли на рынке ценных бумаг;
• регламент внесения изменений и дополнений в вышеперечисленные позиции;
• список ценных бумаг, допущенных к торгам.
О каждой сделке, заключенной в соответствии с установленными организатором торговли правилами, любому заинтересованному лицу предоставляется следующая информация:
• дата и время заключения сделки;
• наименование ценных бумаг, являющихся предметом сделки;
• государственный регистрационный номер ценных бумаг;
• цена одной ценной бумаги;
• количество ценных бумаг.
В целях защиты инвесторов и создания условий равной конкуренции запрещается совмещение некоторых видов деятельности. Согласно ст. 18 закона, осуществление деятельности по ведению реестра не допускает ее совмещения с другими видами профессиональной деятельности на рынке ценных бумаг. Ограничения на совмещение видов деятельности и операций с ценными бумагами устанавливаются ФКЦБ.
В числе основных функций, выполняемых ФКЦБ (см. также главу 10), большое значение имеет лицензирование профессиональных участников рынка ценных бумаг. Лицензирование профессиональных участников рынка ценных бумаг введено ст. 39 Закона “О рынке ценных бумаг”. Лицензированию подлежат все перечисленные выше виды профессиональной деятельности. Ее осуществляет ФКЦБ или другой орган на основании генеральной лицензии (лицензии на право лицензирования), выдаваемой ФКЦБ [22] .
В законе предусмотрено три вида лицензий:
• профессионального участника рынка ценных бумаг;
• на осуществление деятельности по ведению реестра; ' фондовой биржи.
Лицензирующий орган контролирует деятельность профессионального участника рынка ценных бумаг и может отозвать лицензию при нарушении законодательства РФ. Подробности относительно лицензирования разных видов деятельности приведены в соответствующих постановлениях ФКЦБ.
ВОПРОСЫ ДЛЯ САМОПРОВЕРКИ
1. Перечислите разрешенные законодательством виды профессиональной деятельности на рынке ценных бумаг.
2. В чем различие между брокерской и дилерской деятельностью?
3. В чем различие между депозитарной и клиринговой деятельностью?
4. Кто относится к организаторам торговли на рынке ценных бумаг?
5. Что понимается под системой ведения реестра?
6. Дайте определение номинального держателя.
7. Какие ограничения существуют в законодательстве на совмещение некоторых видов деятельности?
ГЛАВА 15. ФОРМЫ КОЛЛЕКТИВНОГО ИНВЕСТИРОВАНИЯ В РОССИИ
15.0 ПОНЯТИЕ И ОСОБЕННОСТИ КОЛЛЕКТИВНОГО ИНВЕСТИРОВАНИЯ
Общие сведения о коллективном инвестировании были даны в главе 6. Здесь рассматривается российская специфика этого типа инвестирования.
В соответствии с Комплексной программой мер по обеспечению прав вкладчиков и акционеров, утвержденной Указом Президента РФ “Об утверждении Комплексной программы мер по обеспечению прав вкладчиков и акционеров” ¹ 408 от 21 марта 1996 г., к коллективным инвесторам относятся:
• паевые инвестиционные фонды (открытые и интервальные, а также закрытые срочные);
• кредитные союзы;
• акционерные инвестиционные фонды;
• негосударственные пенсионные фонды.
К началу 1997 г. в России существовало около 350 работающих специализированных инвестиционных фондов приватизации, функционировало около 40 инвестиционных фондов, созданных вне приватизационных программ. Быстрыми темпами развивалась индустрия негосударственных пенсионных фондов (около 800) и страховых компаний (около 2700 компаний), возникло около 130 кредитных союзов.
В экономическом плане понятие “коллективное инвестирование” означает такую схему организации инвестиционного бизнеса, при которой средства, осознанно и целенаправленно вложенные мелким инвестором в определенное предприятие (фонд), аккумулируются в единый пул под управлением профессионального управляющего с целью их прибыльного последующего вложения.
Форма коллективного инвестирования характеризуется одновременно следующими признаками:
• привлечение средств путем размещения ценных бумаг или заключения договоров;
• осуществление в качестве основной деятельности инвестирования привлеченных средств в ценные бумаги и иное имущество;
• получение основной доли доходов в форме дивидендов, процентов и доходов от сделок, совершаемых с этим имуществом;
• распределение доходов, полученных от инвестирования, между участниками коллективного инвестирования путем выплаты им дивидендов, процентов или иных выплат.
С точки зрения операционной деятельности коллективные инвесторы имеют ряд характерных отличительных черт:
• лица, предоставляющие свои денежные средства финансовому посреднику (управляющему), сами несут риски, связанные с инвестированием;
• управляющий объединяет средства многих лиц (как физических, так и юридических), обезличивая отдельные взносы в едином денежном пуле и усредняя тем самым указанные риски для участников коллективной инвестиционной схемы;
• в отличие от ряда традиционных форм инвестирования (банки, страховые компании, индивидуальные пенсионные счета и др.) схемы коллективного инвестирования не предполагают обещания заранее оговоренных фиксированных выплат;
• инвестор, участвующий в коллективных инвестиционных схемах, осведомлен о направлениях инвестирования собранных средств и имеет в связи с этим возможность выбрать ту схему (форму) инвестирования, которая в наибольшей степени соответствует его инвестиционным предпочтениям.
В России в настоящее время актуальность системы коллективного инвестирования вызвана, с одной стороны, заинтересованностью населения в надежном и прибыльном способе помещения своих доходов, с другой стороны — растущими потребностями российских предприятий во внешних негосударственных источниках финансирования.
Именно коллективные инвесторы призваны стать ключевыми финансовыми посредниками: с одной стороны — выполнять задачи консолидации средств мелких инвесторов, обеспечения профессионального управления инвестициями, диверсификации риска, а с другой стороны — обеспечивать финансирование предприятий, позволяя широким массам инвесторов владеть ценными бумагами не напрямую, а опосредованно.
Интерес населения к формам коллективного инвестирования и, в частности, к тем, которые намереваются вкладывать средства в корпоративные ценные бумаги, будет расти в зависимости от следующих факторов:
• тенденция к макроэкономической стабилизации и низким темпам инфляционных процессов;
• проведение Центральным банком политики “плавного и предсказуемого обменного курса рубля”;
• общее снижение банковских процентных ставок;
• все еще высокая, но претерпевающая общее снижение доходность государственных ценных бумаг;
• несовершенство механизмов прямого инвестирования, влекущее непомерно высокие затраты на его осуществление.
ВОПРОСЫ ДЛЯ САМОПРОВЕРКИ
1. Дайте юридическое и экономическое определения коллективного инвестирования.
2. В чем состоят операционные особенности коллективного инвестирования?
3. Какие факторы являются определяющими для перспектив развития коллективного инвестирования в России?
15.1 АКЦИОНЕРНЫЕ ИНВЕСТИЦИОННЫЕ ФОНДЫ, ВКЛЮЧАЯ ЧЕКОВЫЕ ИНВЕСТИЦИОННЫЕ ФОНДЫ
Акционерные инвестиционные фонды регулируются Указом Президента “О мерах по организации рынка ценных бумаг в процессе приватизации государственных и муниципальных предприятий” от 7 октября 1992 года ¹ 1186. Этот указ устанавливает порядок создания инвестиционных фондов, включая чековые инвестиционные фонды. В нем предусматривается возможность создания как закрытых, так и открытых инвестиционных фондов. Деятельность инвестиционных фондов регулируется также рядом нормативных актов Министерства финансов и Госкомимущества РФ. При проведении массовой приватизации чековые фонды создавались в форме закрытых инвестиционных фондов, не имеющих прав и обязанностей осуществления выкупа своих акций.
Фонды закрытого типа, как правило, не проводят активных операций с портфелем, поскольку над ними не довлеет обязательство выкупа акций перед акционерами. Для них также имеет гораздо меньшее значение текущая рыночная цена акций и оценка чистых активов (которая производится только один раз в квартал), поскольку акции фонда торгуются только в организованных торговых системах.
Появление инвестиционных фондов закрытого типа исторически связано с выполнением задач мобилизации средств мелких инвесторов для финансирования тех или иных проектов (см. приложение). Чековые фонды приватизации тоже образовались как фонды целевой направленности и должны были выполнить следующие задачи:
оказание помощи населению по инвестированию приватизационных чеков и обеспечение профессионального управления активами;
создание новых институциональных инвесторов на российском рынке;
создание в лице ЧИФов крупных акционеров приватизированных предприятий, способных противостоять администрации.
С момента выхода положения о создании чековых инвестиционных фондов приватизации количество фондов неуклонно росло и в июле 1994 года достигло максимальной отметки — 662 фонда. В дальнейшем наметилась тенденция сокращения количества фондов. Причинами сокращения явились реорганизации фондов путем их слияния или присоединения, отзывы лицензий, трансформация фондов в иные структуры (акционерные общества, инвестиционные фонды, инвестиционные компании). В настоящее время в Российской Федерации функционируют 350 фондов.
В настоящее время продолжается тенденция активного уменьшения количества фондов, связанная с их реорганизацией (слияние, поглощение), переоформлением, отзывом или приостановкой лицензий чековых инвестиционных фондов (в связи с нарушениями требований действующего законодательства) и трансформацией фондов в иные структуры.
В ходе приватизации фонды превратились в крупных портфельных инвесторов, ими было аккумулировано 45 млн. приватизационных чеков, что составило 32% от их общего количества. По данным чековых аукционов, в среднем фонды стали владельцами порядка 10% акций приватизированных предприятий, выставленных на всероссийские аукционы.
В рамках отрасли можно выделить два типа фондов по инвестиционной стратегии. Первая группа фондов стремится к достижению контроля над предприятиями, как правило, имеет своих представителей в совете директоров и активно участвует в управлении предприятиями, акциями которых владеют. Довольно часто такие фонды являются членами финансово-промышленных групп.
Вторая группа фондов — портфельные инвесторы спекулятивной направленности. Их портфель характеризуется высокой скоростью обновления и соответственно более высокой долей высоколиквидных ценных бумаг, часть из них ориентирована на инвестиции в государственные ценные бумаги. Остальные фонды по их инвестиционной стратегии представляют собой комбинацию первой и второй групп.
Основными проблемами для акционерных инвестиционных фондов являются:
• устаревшая нормативная база;
• проблема двойного налогообложения;
• отсутствие жесткого государственного регулирования депозитариев инвестиционных фондов.
Проблема совершенствования устаревшей нормативной базы акционерных инвестиционных фондов связана с назревшей необходимостью разработки нового законодательства, соответствующего задачам развития системы коллективного инвестирования с целью мобилизации отечественных сбережений.
Акционерные инвестиционные фонды создавались на основе нормативной базы, адекватной периоду массовой чековой приватизации и состоянию фондового рынка в тот период. На деятельность акционерных инвестиционных фондов был наложен ряд жестких ограничений (запрет на привлечение заемных средств, запрет на вложения в производные ценные бумаги, векселя и т. д.).
В настоящее время развитие рынка ценных бумаг вошло в качественно иную стадию: в целом была сформирована законодательная база рынка ценных бумаг (Гражданский кодекс, законы “О рынке ценных бумаг”, “Об акционерных обществах”), появились новые виды коллективных инвесторов, значительно возросла ликвидность российского рынка ценных бумаг. В этих условиях назрела необходимость приведения правовой базы, регламентирующей деятельность акционерных инвестиционных фондов, в соответствие с новыми задачами их деятельности как коллективных инвесторов и требованиями по повышению уровня защиты прав индивидуальных инвесторов.
Суть проблемы двойного налогообложения состоит в том, что сначала чековые инвестиционные фонды платят налог на полученную ими прибыль на общих основаниях (ставка налога до 35% в зависимости от региона), а затем уже при распределении чистой прибыли в качестве дивидендов акционерам фонда последние также платят налог (для физических лиц — подоходный налог по соответствующим ставкам, для банков — 18%, для остальных юридических лиц — 15%). Таким образом, суммарные выплаты акционерных инвестиционных фондов от первоначально полученной прибыли составляют в среднем 47—50%. Бремя такой налоговой политики ложится прежде всего на акционеров фондов. Дискредитируется идея института коллективного инвестирования, состоящая в том, что инвестор, вкладывающий деньги через фонд, и инвестор, осуществляющий вклады самостоятельно, должны быть в равном положении относительно условий налогообложения.
Существующая в настоящее время система депозитарного обслуживания акционерных инвестиционных фондов не отвечает требованиям эффективной системы коллективного инвестирования ввиду следующих проблем, связанных с деятельностью депозитариев акционерных инвестиционных фондов:
• недостаточное государственное регулирование депозитариев акционерных инвестиционных фондов;
• отсутствие контрольных функций депозитариев акционерных инвестиционных фондов.
Для эффективной реализации принципов коллективного инвестирования необходимо создать систему специализированных депозитариев, в функции которой должен входить контроль за деятельностью акционерных фондов.
Для решения вышеуказанных проблем особенно настоятельным становится принятие Закона “Об инвестиционных фондах”, реализующего следующие принципы коллективного инвестирования:
усиление государственного контроля за деятельностью инвестиционных фондов;
отделение управления активами от их хранения; повышение требований к раскрытию информации инвесторам; совершенствование системы отчетности.
Не менее важным является принятие изменений к Закону “О налоге на прибыль предприятий и организаций”, предусматривающих освобождение инвестиционных фондов от налога на прибыль и ликвидирующих тем самым двойное налогообложение.
ВОПРОСЫ ДЛЯ САМОПРОВЕРКИ
1. Почему в последние годы происходит сокращение числа чековых инвестиционных фондов?
2. Укажите основные проблемы, которые препятствуют дальнейшему развитию отрасли.
15.2 ПАЕВЫЕ ИНВЕСТИЦИОННЫЕ ФОНДЫ: ПРАВОВАЯ БАЗА И ПЕРСПЕКТИВЫ
Появление паевых инвестиционных фондов (ПИФ) должно благоприятно воздействовать на развитие рынка ценных бумаг. Аккумулируя временно свободные денежные средства населения и институциональных инвесторов, паевые фонды в состоянии усилить инвестиционный спрос, стимулировать обращение ценных бумаг и, в конечном счете, обеспечить приток инвестиционных ресурсов в производство.
Паевые (взаимные) фонды завоевали большую популярность в развитых зарубежных странах, а в последние годы стали наиболее динамично развивающимися финансовыми институтами.
Социологические опросы, проведенные в России, показывают, что граждане готовы инвестировать в паевые фонды по крайней мере 3 млрд. из тех 30 млрд. долларов США, которые, .по оценкам специалистов, находятся сегодня у них на руках. При этом важно отметить, что подавляющая масса опрошенных (около 80%) в качестве основного мотива вложений свободных денежных средств в паевой фонд называет получение умеренного дохода при невысоком уровне риска.
ПИФы регулируются Указом Президента “О дополнительных мерах по повышению эффективности инвестиционной политики Российской Федерации” от 26 июля 1995 г. ¹ 765, устанавливающим основные принципы организации ПИФов, и нормативными актами ФКЦБ России.
К настоящему моменту разработка правовой базы деятельности ПИФов практически закончена.
Согласно российскому законодательству, ПИФ представляет собой совокупность имущества, переданного инвесторами (физическими и юридическими лицами) в доверительное управление управляющей компании в целях прироста этого имущества. ПИФ не является юридическим лицом. Инвестиционный пай — именная ценная бумага, удостоверяющая право ее владельца предъявить управляющей компании требование о выкупе.
Управляющая компания вправе создавать паевые фонды как открытого, так и интервального типа. Для каждого типа установлены определенные ограничения по составу и структуре инвестиционных активов и обязанности управляющей компании по срокам выкупа инвестиционных паев у их владельцев.
Управляющая компания открытого паевого фонда обязана ежедневно выкупать инвестиционные паи по требованию их владельцев, поэтому его активы состоят из наиболее ликвидных ценных бумаг: государственных облигаций, акций и облигаций крупнейших российских предприятий, денежных средств и проч. В открытом фонде рыночная стоимость финансовых вложений фонда переоценивается на основе рыночных котировок ежедневно, и на начало каждого рабочего дня управляющая компания раскрывает информацию о стоимости чистых активов фонда, стоимости инвестиционного пая, цене выкупа и цене размещения паев.
Управляющая компания интервального паевого фонда обязана обеспечить выкуп инвестиционных паев как минимум раз в год. Временной интервал, в течение которого компания производит прием заявок на приобретение и выкуп паев, не может составлять менее 14 рабочих дней. Частота и длительность интервалов приема заявок устанавливаются управляющим и указываются в правилах фонда. Несмотря на менее жесткие требования по выкупу паев, не менее 50% активов интервальных фондов должны удовлетворять требованиям ликвидности, которые установлены для активов открытых фондов.
Учитывая, что для успешного развития индустрии паевых фондов важно достичь полного доверия инвесторов фонда к деятельности управляющего, ФКЦБ предъявляет высокие требования к управляющим компаниям паевых инвестиционных фондов. Во-первых, размер собственного капитала управляющей компании должен составлять не менее 1 млрд. руб. Во-вторых, деятельность по доверительному управлению имуществом паевых инвестиционных фондов является для компании исключительной и может совмещаться только с управлением активами негосударственных пенсионных фондов, инвестиционных фондов и чековых инвестиционных фондов. Управляющая компания паевого фонда должна получить лицензию ФКЦБ на право осуществления деятельности по доверительному управлению имуществом паевых инвестиционных фондов.
Деятельность управляющей компании паевого фонда жестко ограничивается и контролируется. В частности, ей запрещено:
• совершать сделки, нарушающие правила фонда и требования к составу и структуре его активов;
• безвозмездно передавать имущество фонда;
• привлекать заемные средства, подлежащие возврату за счет имущества фонда (исключение составляет случай недостаточности собственных средств для обеспечения выкупа паев, но совокупный объем задолженности строго ограничен);
• предоставлять за счет имущества фонда займы и кредиты;
• покупать за счет имущества фонда активы у своих аффилированных лиц, а также выпущенные этими лицами ценн ые бумаги; ценные бумаги, выпущенные депозитарием, аудитором и независимым оценщиком фонда;
• приобретать акции управляемых ею инвестиционных фондов;
• приобретать имущество фонда и продавать фонду собственное имущество.
Управляющая компания несет ответственность собственным имуществом за ущерб, причиненный владельцам инвестиционных паев в результате ее виновных действий в случае совершения сделок в свою пользу при наличии конфликта интересов с интересами владельцев инвестиционных паев.
Другим важным звеном в схеме паевого фонда является специализированный депозитарий, в функции которого входит не только хранение и учет имущества фонда, но и контроль за распоряжением этим имуществом (см. также специальный параграф). Специализированный депозитарий обязан получить лицензию ФКЦБ на право осуществления функций спецдепозитария паевого фонда, он не может совмещать эту деятельность с профессиональной деятельностью на рынке ценных бумаг в качестве брокера или дилера (за исключением деятельности на рынке государственных ценных бумаг), и его собственный капитал не должен быть меньше 2 млрд. руб. Запрещается участие в уставном капитале депозитария управляющих компаний, с которыми он связан депозитарными договорами, а также участие аффилированных лиц управляющей компании в деятельности органов управления депозитария.
Лицензия, выданная ФКЦБ специализированному депозитарию, предоставляет ему право помимо чисто депозитарных функций:
• вести реестр владельцев инвестиционных паев фонда;
• производить расчет стоимости чистых активов паевого фонда;
• выступать агентом по размещению и выкупу паев фонда;
• в качестве номинального держателя заключать сделки по приобретению для фонда ценных бумаг и распоряжаться ценными бумагами, составляющими имущество фонда.
Специализированный депозитарий обязан принимать и хранить документарные ценные бумаги фонда и вести учет прав на эти бумаги и иное имущество фонда обособленно от собственного имущества. Депозитарий не принимает к исполнению поручения управляющего, если они нарушают требования к составу и структуре активов фонда, и в течение суток должен сообщать ФКЦБ о фактах совершенных нарушений с описанием состава нарушений. Депозитарий несет ответственность за любые убытки в результате неисполнения или ненадлежащего исполнения им своих обязанностей.
Реестр владельцев инвестиционных паев представляет собой систему записей о фонде, включая сведения о владельцах паев, суммарном количестве размещенных и выкупленных паев и текущем количестве размещенных паев. Управляющий вправе заключить договор на ведение реестра как со специализированным депозитарием, так и со специализированным регистратором, имеющим лицензию ФКЦБ на право ведения реестров владельцев именных ценных бумаг.
Регистратор открывает лицевые счета владельцам инвестиционных паев и вносит в них приходные и расходные записи только после того, как им получены и проверены все необходимые документы, в том числе документы, подтверждающие оплату паев, но в сроки, установленные правилами фонда. Регистратор несет ответственность перед владельцами паев в случае причинения им ущерба своими виновными действиями при ведении реестра.
Управляющая компания может размещать и выкупать инвестиционные паи самостоятельно или заключить соответствующие договоры с агентами по размещению и выкупу паев. Агентами паевого фонда могут выступать только юридические лица, осуществляющие брокерскую, дилерскую или депозитарную деятельность на основании лицензии профессионального участника рынка ценных бумаг, а также кредитные организации, специализированный депозитарий и Федеральная служба почтовой связи. Наличные денежные средства вправе принимать только агенты-банки и только на основании поручения о перечислении этих денег на счет паевого фонда. Использование агентов по размещению и выкупу паев не освобождает управляющую компанию от ответственности перед инвесторами и владельцами паев фонда. Нарушение агентами требований, установленных ФКЦБ к агентской деятельности, могут привести к приостановлению или аннулированию лицензии управляющей компании.
Инвестиционные паи размещаются и выкупаются в соответствии ценами размещения и выкупа, рассчитанными исходя из стоимости чистых активов паевого фонда на текущую дату. Стоимость чистых активов и стоимость одного инвестиционного пая ежедневно раскрываются управляющим через сеть “Интернет”. Справка о стоимости чистых активов паевого фонда со всеми приложениями (они включают количественную информацию обо всех инвестициях фонда), составленная на конец каждого месяца, направляется в ФКЦБ, справка, составленная на конец каждого квартала, публикуется в “Приложении к Вестнику ФКЦБ России” и предъявляется всем заинтересованным лицам по первому требованию.
Кроме того, и управляющая компания, и агенты в местах приема заявок обязаны предъявить всем заинтересованным:
• тексты правил и проспекта эмиссии фонда со всеми зарегистрированными изменениями и дополнениями к ним;
• правила ведения реестра владельцев паев;
• сообщения о начале и завершении первичного размещения паев;
• заверенные аудитором годовой баланс имущества фонда и годовую финансовую отчетность управляющей компании и специализированного депозитария;
• справку о расходах из имущества фонда;
• исчерпывающую информацию об агентах по размещению и выкупу паев;
• список органов печати, информационных агентств, а также адрес страницы и электронной почты в сети “Интернет”, используемые управляющим.
Регулярно предоставляемая инвесторам информация дает возможность вкладчикам принимать обоснованные решения о вложениях своих средств в тот или иной паевой инвестиционный фонд. У инвесторов впервые появилась возможность “голосовать ногами”, регулируя таким образом распределение средств по фондам и максимально увеличивая свои вложения в фонды с наилучшими показателями.
Паевые фонды ориентированы в первую очередь на частных инвесторов, поэтому их успех в значительной степени зависит от уровня доверия к ним. Однако скандалы с рядом компаний — эмитентов суррогатов ценных бумаг серьезно подорвали доверие вкладчиков к российскому фондовому рынку. Росту этого доверия не способствовала и деятельность чековых инвестиционных фондов. В этих условиях немаловажным является проведение кампании по разъяснению инвесторам преимуществ, которыми обладают паевые фонды по сравнению с другими формами коллективного инвестирования, среди них следует особо подчеркнуть:
жесткое государственное регулирование и надзор за деятельностью паевых фондов;
информационная прозрачность паевых фондов, жесткие требования к раскрытию ими информации и невозможность подтасовок при расчете стоимости чистых активов, цен размещения и выкупа паев;
закрепленные в законодательстве обязательства управляющей компании фонда по выкупу паев;
отсутствие двойного налогообложения;
разделение функций управления средствами пайщиков (управляющая компания) и хранения имущества фонда (специализированный депозитарий), а также контроль депозитария за работой управляющего.
Ключевой вопрос — налогообложение паевых инвестиционных фондов. Конструкция паевого фонда, в рамках которой фонд не является юридическим лицом, позволяет избежать двойного налогообложения, которому подвергаются, в частности, чековые фонды. Доходы, полученные от прироста имущества, принадлежат не фонду, а пайщикам и согласно совместному письму Госналогслужбы РФ, ФКЦБ, Минфина РФ от 15.12.95 г. ¹ НП-2-01/80н “О некоторых вопросах налогообложения, возникающих в связи с образованием и функционированием паевых инвестиционных фондов” не облагаются налогом на прибыль.
Прибыль инвесторов фонда возникает при реализации (выкупе) управляющим паев. Прибыль юридического лица — инвестора фонда равна разнице между ценой приобретения и выкупа, она относится на его финансовые результаты и подлежит налогообложению в общем порядке. Доходы физических лиц — инвесторов фонда, полученные от продажи паев, подлежат обложению подоходным налогом. Как показывает практика, чековые инвестиционные фонды успешно обходили налоговый пресс, находя пути искусственного занижения своих доходов или в противном случае существенно ухудшали свои позиции. Государство в результате либо недополучает в свой бюджет сокрытые суммы доходов, либо облагает налогом уже “обнищавшие” фонды, а акционеры получают свой доход в виде дивидендов, которые исчислены из искусственно заниженной или реально низкой прибыли (да еще и за вычетом подоходного налога). Кроме того, фонды теряют доверие своих вкладчиков к неприбыльному виду деятельности и, соответственно, оказываются не в состоянии привлечь новые инвестиции, что в конечном итоге замораживает развитие фондового рынка в целом. Соответственно двойное налогообложение доходов инвестиционных фондов практически не приносит выгоды государству. В то время как освобождение от налогообложения прироста имущества, переданного в доверительное управление, в конечном счете увеличит налоговые поступления, так как подоходным налогом будет облагаться не заниженная, а реальная величина дохода паевого фонда.
ВОПРОСЫ ДЛЯ САМОПРОВЕРКИ
1. Какими преимуществами обладает данный тип коллективного инвестирования по сравнению с другими?
2. Какими нормативными актами регулируется деятельность паевых фондов?
3. Опишите основных участников деятельности паевого фонда и их функции.
15.3 НЕГОСУДАРСТВЕННЫЕ ПЕНСИОННЫЕ ФОНДЫ
Проведение пенсионной реформы в Российской Федерации, составной частью которой должно быть развитие системы негосударственного пенсионного обеспечения, является одной из первоочередных задач на сегодняшний день.
Постановлением Правительства РФ от 7 августа 1995 г. ¹ 790 была одобрена Концепция реформу системы пенсионного обеспечения в Российской Федерации. Основным направлением реформирования системы пенсионного обеспечения является создание трехуровневой системы. Первый уровень будут составлять базовые пенсии; второй уровень — трудовые пенсии, в основу которых положен страховой принцип и, наконец, третий уровень — негосударственные пенсии. Кардинальный пересмотр нынешней пенсионной системы будет заключаться именно в развитии негосударственного пенсионного обеспечения.
Негосударственное пенсионное обеспечение в пенсионной системе рассматривается как дополнительное по отношению к государственному и может осуществляться как в форме дополнительных пенсионных программ отдельных организаций, отраслей экономики либо территорий, так и в форме личного пенсионного страхования граждан, производящих накопление средств на свое дополнительное пенсионное обеспечение в страховых компаниях или пенсионных фондах. Предполагается развитие обеих форм.
Развитие негосударственных пенсионных фондов в России происходит достаточно быстрыми темпами. Их возникновению положил начало Указ Президента Российской Федерации ¹ 1077 от 16 сентября 1992 г. Однако указ только обозначил легитимность существования таких институтов, как негосударственные пенсионные фонды, и он до сих пор остается единственным основным нормативным актом в данной сфере. В соответствии с указом пенсионные фонды функционируют независимо от системы государственного обеспечения. Учредителями пенсионных фондов могут быть как юридические, так и физические лица. Размещением пенсионных активов фондов занимаются специализированные управляющие компании.
С целью осуществления государственного контроля за деятельностью негосударственных пенсионных фондов постановлениями Правительства Российской Федерации от 19 июня 1994 г. ¹ 730 и от 17 ноября 1994 г. ¹ 1266 была создана Инспекция негосударственных пенсионных фондов при Министерстве социальной защиты населения Российской Федерации — государственный орган по контролю за деятельностью негосударственных пенсионных фондов и управляющих компаний.
Одним из основных инструментов государственного контроля за деятельностью негосударственных пенсионных фондов и компаний по управлению их активами является ее лицензирование в соответствии с Положением о порядке лицензирования деятельности негосударственных пенсионных фондов и компаний по управлению активами негосударственных пенсионных фондов, утвержденным постановлением Правительства Российской Федерации от 7 августа 1995 г. ¹ 792.
По данным Инспекции НПФ, на 1 января 1997 года 257 негосударственных пенсионных фонда и 142 компании по управлению активами негосударственных пенсионных фондов получили лицензию на право заниматься этими видами деятельности. Всего регистрацию учредительных документов в Инспекции НПФ прошло 480 негосударственных пенсионных фондов. В 63 субъектах Российской Федерации было зарегистрировано в 1993—1995 годах более 800 юридических лиц, называющихся НПФ.
На сегодняшний день негосударственные пенсионные фонды находятся на начальной стадии своего становления. Основными проблемами, стоящими на пути их развития, являются следующие:
• отсутствие законодательной базы в области негосударственного пенсионного обеспечения;
• отсутствие разработанных комплексных мер по финансовой устойчивости негосударственных пенсионных фондов и защите их участников;
• отсутствие налоговых льгот как для вкладчиков и участников негосударственных пенсионных фондов, так и для самих фондов;
• отсутствие долгосрочных ценных бумаг.
Таким образом, в целях урегулирования деятельности НПФ прежде всего необходимо установить законодательные рамки их функционирования, что возможно сделать посредством принятия федерального закона. Кроме того, должны быть разработаны меры по комплексной защите вкладчиков и участников негосударственных пенсионных фондов. И наконец, чтобы дать толчок развитию цивилизованного рынка НПФ, с одной стороны, должна быть создана система мер по стимулированию их деятельности (налоговые льготы и т. д.), а с другой стороны, необходимо жесткое регулирование деятельности фондов и их управляющих компаний со стороны государственных органов (регистрация, лицензирование и постоянный контроль за деятельностью НПФ и управляющих компаний).
ВОПРОСЫ ДЛЯ САМОПРОВЕРКИ
1. Почему развитие негосударственных пенсионных фондов выгодно как для государства, так и для населения?
2. Укажите основные законодательные акты, регулирующие деятельность фондов.
3. Решение каких проблем необходимо для дальнейшего развития отрасли?
15.4 КРЕДИТНЫЕ СОЮЗЫ
Кредитные союзы являются неотъемлемой и необходимой частью рынка ссудо-сберегательных услуг России. Мировой опыт показывает, что эта форма вполне отвечает современным задачам инвестирования и развития производительных сил. В ряде стран наблюдается бурный рост кредитной кооперации. В настоящее время в мире существует около 36 тысяч кредитных союзов, количество пайщиков которых достигло почти 85 миллионов человек, а активы составляют 336 млрд. долларов.
По России в целом насчитывается около 130 кредитных потребительских кооперативов (кредитных союзов) с числом пайщиков порядка 40 тысяч человек и активами около 30 млрд. руб.
Кредитный союз (КС) — это добровольное самодеятельное и самоуправляемое на демократических началах объединение лиц в целях создания коллективного денежного фонда для аккумуляции денежных средств и использования их на кредитование производственных или потребительских нужд или на страхование своих членов. Как и другие виды кооперации, кредитные кооперативы являются объединением лиц, а не капиталов. Членство в них является персональным и непередаваемым. В них действует принцип доступности и добровольности членства, управление осуществляется на демократических началах. КС является некоммерческой кооперативной организацией со статусом юридического лица. КС приобретает статус юридического лица со дня его государственной регистрации.
КС создаются по признаку общности места жительства, трудовой деятельности, профессиональной принадлежности или любой другой общности граждан. Число членов КС ограничено и в большинстве случаев не превышает двух тысяч. Эти условия вводятся для того, чтобы повысить личную ответственность пайщиков перед кредитным союзом, а его администрации — перед пайщиками.
Уже нынешний опыт работы КС в России за неполные четыре года показал, что данный финансовый институт помогает гражданам решать свои текущие проблемы, открывая широкий доступ к потребительскому кредиту и к надежным условиям формирования семейных накоплений с минимальным риском потери вкладов.
КС в настоящий момент является единственным кредитным учреждением, которое может предоставить ссуду частному лицу на экономически приемлемых для него условиях. КС ввиду своих небольших размеров и на основе принципа “все знают всех” способен без значительных издержек и наиболее точно оценить кредитоспособность своего пайщика, основываясь не только на материальном или юридическом обеспечении кредита, но и на его личной порядочности, что значительно упрощает процедуру получения кредита пайщиком КС.
Необходимо учесть, что важнейшим преимуществом кредитных союзов перед другими финансовыми институтами является их высокая надежность, достигаемая высоким уровнем взаимного доверия внутри КС и демократическими процедурами управления и контроля.
Для обеспечения своей надежности КС необходимо выявлять и оценивать риски своей деятельности и управлять ими. Основными финансово-кредитными рисками являются:
• риски пассивных операций (риск досрочного изъятия вкладов (депозитов);
• риск массового изъятия паев;
• риск привлечения “грязных денег” (криминальных, связанных с уклонением от налогов и т. п.);
• риск завышенной ставки по депозитам;
• риски активных операций (риск невозврата кредита (ссуды) вследствие недобросовестности заемщика, его разорения или смерти;
• риск неплатежеспособности крупного заемщика, разновидность кредитного или рыночного риска;
• риск неликвидности активов;
• риск потери капитальной стоимости активов (обесценение ценных бумаг);
• смешанные риски (риск несбалансированности структуры активов и пассивов по срокам;
• риск юридической некачественности договоров (как по привлечению средств, так и по их размещению) и т. д.).
Вышеперечисленные риски присущи в той или иной мере всем кредитно-финансовым учреждениям. Но поскольку КС делают ставку на повышенную надежность, для них особенно важно не переступить черту допустимого риска. Допустимыми рисками для КС являются те риски, без которых невозможно осуществлять основную деятельность — оказание услуг частным лицам по кредитованию и сбережению средств.
Исходя из мирового опыта, устойчивая деятельность, повышение надежности и развитие системы кредитных союзов возможны лишь при наличии специального законодательства, определяющего специфику их деятельности и одновременно наделяющего их разнообразными льготами, в том числе налоговыми.
ВОПРОСЫ ДЛЯ САМОПРОВЕРКИ
1. Дайте определение кредитного союза.
2. Перечислите основные кредитно-финансовые риски в деятельности кредитного союза.
ГЛАВА 16. НАЛОГООБЛОЖЕНИЕ НА РЫНКЕ ЦЕННЫХ БУМАГ
16.1 НАЛОГОВАЯ СИСТЕМА: ОБЪЕКТЫ, ПЛАТЕЛЬЩИКИ, ВИДЫ И СТАВКИ НАЛОГОВ
Под налоговой системой государства понимается совокупность установленных законодательно налогов, сборов, пошлин, акцизов и других обязательных платежей в бюджеты различных уровней, уплачиваемые налогоплательщиками в процессе своей жизни и деятельности на территории РФ. Упомянутые выше сборы, пошлины, акцизы и прочее являются особыми видами налогов, взимаемых с налогоплательщиков.
Налоги и сборы подразделяются на прямые и косвенные. Прямые налоги — это такие налоги, по которым исчисление налогооблагаемой базы, расчет налога и перечисление его в бюджет осуществляется самим налогоплательщиком по результатам его деятельности. Типичные примеры налог на имущество, налог на прибыль предприятий и организаций.
Косвенные налоги — это налоги, суммы которых входят в стоимость производимых налогоплательщиком товаров, работ и услуг, и тем самым эти налоги перекладываются на плечи конечных потребителей указанных товаров, работ и услуг. Типичные примеры — налог на добавленную стоимость и акцизы.
Другая классификация налогов — на федеральные налоги, налоги субъектов Федерации и местные налоги.
Органы государственной власти всех уровней не вправе вводить дополнительные налоги и обязательные отчисления, не предусмотренные законодательством Российской Федерации, равно как и повышать ставки установленных налогов и налоговых платежей.
К федеральным относятся следующие налоги:
а) налог на добавленную стоимость (НДС);
б) акцизы на отдельные группы и виды товаров;
в) налог на доходы банков;
г) налог на доходы от страховой деятельности;
д) налог с биржевой деятельности (биржевой налог);
е) налог на операции с ценными бумагами;
ж) таможенная пошлина;
з) отчисления на воспроизводство минерально-сырьевой базы, зачисляемые в специальный внебюджетный фонд Российской Федерации;
и) платежи за пользование природными ресурсами, зачисляемые в федеральный бюджет, в республиканский бюджет республики в составе Российской Федерации, в краевые, областные бюджеты краев и областей, областной бюджет автономной области, окружные бюджеты автономных округов и районные бюджеты районов, в порядке и на условиях, предусмотренных законодательными актами Российской Федерации;
к) подоходный налог (налог на прибыль) с предприятий;
л) подоходный налог с физических лиц;
м) налоги, служащие источниками образования дорожных фондов, зачисляемые в эти фонды в порядке, определяемом законодательными актами о дорожных фондах в Российской Федерации;
н) гербовый сбор; о) государственная пошлина;
п) налог с имущества, переходящего в порядке наследования и дарения;
р) сбор за использование наименований Россия, Российская Федерация и образованных на их основе слов и словосочетаний.
Все суммы поступлений от налогов, указанных в подпунктах а — ж и р, зачисляются в федеральный бюджет.
Налоги, указанные в подпунктах “к” и “л”, являются регулирующими доходными источниками, а суммы отчислений по ним, зачисляемые непосредственно в республиканский бюджет республики в составе Российской Федерации, в краевые, областные бюджеты краев и областей, областной бюджет автономной области, окружные бюджеты автономных округов и бюджеты других уровней, определяются при утверждении республиканского бюджета республики в составе Российской Федерации, краевого, областного бюджетов краев и областей, областного бюджета автономной области, окружных бюджетов автономных округов.
Все суммы поступлений от налогов, указанных в подпунктах н — п, зачисляются в местный бюджет в порядке, определяемом при утверждении соответствующих бюджетов, если иное не установлено законом.
Федеральные налоги (в том числе размеры их ставок, объекты налогообложения, плательщики налогов) и порядок зачисления их в бюджет или во внебюджетный фонд устанавливаются законодательными актами Российской Федерации и взимаются на всей ее территории.
К налогам республик в составе Российской Федерации, краев, областей, автономной области, автономных округов относятся следующие налоги:
а) налог на имущество предприятий. Сумма платежей по налогу равными долями зачисляется в республиканский бюджет республики в составе Российской Федерации, краевые, областные бюджеты краев и областей, областной бюджет автономной области, окружные бюджеты автономных округов и в районные бюджеты районов, городские бюджеты городов по месту нахождения плательщика;
б) лесной доход;
в) плата за воду, забираемую промышленными предприятиями из водохозяйственных систем;
г) сбор на нужды образовательных учреждений, взимаемый с юридических лиц;
Суммы платежей по этому сбору зачисляются в республиканский бюджет республики в составе Российской Федерации, краевые, областные бюджеты краев и областей, областной бюджет автономной области и окружные бюджеты автономных округов и используются целевым назначением на дополнительное финансирование образовательных учреждений.
Налоги, указанные в подпунктах “а”, “б” и “в”, устанавливаются законодательными актами Российской Федерации и взимаются на всей ее территории. При этом конкретные ставки этих налогов определяются законами республик в составе Российской Федерации или решениями органов государственной власти краев, областей, автономной области, автономных округов, если иное не установлено законодательными актами Российской Федерации.
Сбор, указанный в подпункте “г”, устанавливается законодательными актами республик в составе Российской Федерации, решениями органов государственной власти краев, областей, автономной области и автономных округов. Ставки этого сбора не могут превышать размера одного процента от годового фонда заработной платы предприятий, учреждений и организаций, расположенных на территории республик в составе Российской Федерации, краев, областей, автономной области и автономных округов.
К местным относятся следующие налоги:
а) налог на имущество физических лиц;
б) земельный налог;
в) регистрационный сбор с физических лиц, занимающихся предпринимательской деятельностью;
г) налог на строительство объектов производственного назначения в курортной зоне;
д) курортный сбор;
е) сбор за право торговли;
ж) целевые сборы с граждан и предприятий, учреждений, организаций независимо от их организационно-правовых форм на содержание милиции, на благоустройство территорий, на нужды образования и другие цели;
з) налог на рекламу;
и) налог на перепродажу автомобилей, вычислительной техники и персональных компьютеров;
к) сбор с владельцев собак;
л) лицензионный сбор за право торговли винно-водочными изделиями;
м) лицензионный сбор за право проведения местных аукционов и лотерей;
н) сбор за выдачу ордера на квартиру;
о) сбор за парковку автотранспорта;
п) сбор за право использования местной символики;
р) сбор за участие в бегах на ипподромах;
с) сбор за выигрыш на бегах;
т) сбор с лиц, участвующих в игре на тотализаторе на ипподроме;
у) сбор со сделок, совершаемых на биржах, за исключением сделок, предусмотренных законодательными актами о налогообложении операций с ценными бумагами;
ф) сбор за право проведения кино- и телесъемок;
х) сбор за уборку территорий населенных пунктов;
ц) сбор за открытие игорного бизнеса (установка игровых автоматов и другого оборудования с вещевым или денежным выигрышем, карточных столов, рулетки и иных средств для игры);
ч) налог на содержание жилищного фонда и объектов социально-культурной сферы.
Налоги, указанные в подпунктах “а” — “в”, устанавливаются законодательными актами Российской Федерации и взимаются на всей ее территории. При этом конкретные ставки этих налогов определяются законодательными актами республик в составе Российской Федерации или решениями органов государственной власти краев, областей, автономной области, автономных округов, районов, городов и иных административно-территориальных образований, если иное не предусмотрено законодательным актом Российской Федерации.
Налоги, указанные в подпунктах “г” и “д”, могут вводиться районными и городскими органами государственной власти, на территории которых находится курортная местность. Суммы налоговых платежей зачисляются в районные бюджеты районов и городские бюджеты городов.
Налоги и сборы, предусмотренные в подпунктах “з” — “х”, могут устанавливаться решениями районных и городских представительных органов власти.
Суммы платежей по налогам и сборам зачисляются в районные бюджеты районов, городские бюджеты городов либо по решению районных и городских органов государственной власти — в районные бюджеты районов (в городах), бюджеты поселков и сельских населенных пунктов.
Расходы предприятий и организаций по уплате налогов и сборов, указанных в подпунктах “ж”, “з”, “о”, “ф”, “х” и “ч”, относятся на финансовые результаты деятельности предприятий, земельного налога — на себестоимость продукции (работ, услуг), остальные местные налоги и сборы уплачиваются предприятиями и организациями за счет части прибыли, остающейся после уплаты налога на прибыль (доход).
Помимо вышеперечисленной классификации налоги также делятся на налоги с твердыми и налоги с плавающими ставками. Твердые ставки налогов могут устанавливаться в точных суммах (в рублях и копейках), например налог с владельцев автотранспортных средств, могут также устанавливаться в процентах от налогооблагаемой базы, например налог на имущество предприятий. Плавающие ставки всегда устанавливаются в процентах от налогооблагаемой базы, при этом ставки могут быть плавающими в зависимости от размера объекта налогообложения (размера налогооблагаемой базы), типичный пример — подоходный налог с физических лиц, может быть плавающим в зависимости от категории налогоплательщица, например, налог с имущества, переходящего в порядке наследования и дарения.
• Объекты и субъекты налогообложения по основным видам налогов, регистрация налогоплательщиков
• Под объектом налогообложения действующее законодательство понимает налогооблагаемую базу по тому или иному виду налога, рассчитанную в соответствии с требованиями нормативных документов.
Например, объектом налогообложения налогом на операции с ценными бумагами является номинал проспекта эмиссии ценных бумаг, объектом налогообложения налогом на пользователей автодорог является объем выручки предприятия от реализации его товаров, работ и услуг и т. д.
Под субъектами налогообложения понимаются все категории налогоплательщиков: юридические лица (предприятия и организации, банки, страховые компании, посредники и пр.), организации, созданные без образования юридического лица (филиалы и отделения юридических лиц, паевые фонды, объекты совместной деятельности и пр.), индивидуальные предприниматели без образования юридического лица, также физические лица.
Все категории налогоплательщиков, кроме физических лиц, не занимающихся предпринимательской деятельностью, подлежат регистрации в государственных налоговых органах. Банкам и прочим кредитным организациям запрещено открывать счета лицам, не прошедшим регистрацию в налоговых органах (кроме физических лиц). Все счета юридических лиц, предприятий и предпринимателей без образования юридического лица подлежат регистрации в налоговых органах по месту их расположения.
Количество счетов (расчетных или текущих), открываемых налогоплательщиками в банках и кредитных учреждениях, не ограничивается законодательством, за исключением случаев, специально оговоренных, например для организаций-недоимщиков.
Основные виды налоговых льгот
Налоговые льготы по отдельным видами налогов и налогоплательщиков устанавливаются теми органами власти, которыми установлен основной порядок налогообложения данным налогом или данной категории налогоплательщиков. Запрещено установление льгот, носящих индивидуальный характер.
Основными видами льгот являются:
• необлагаемый минимум, например, необлагаемый минимум по налогу на имущество, переходящее в порядке наследования, составляет 850 МРОТ — если стоимость наследуемого имущества находится в пределах этой величины, то налог не взимается;
• снижение ставки налогообложения в зависимости от категории налогоплательщика, например, банки, направляющие 50 и более процентов кредитных ресурсов на кредитование сельского хозяйства и малого бизнеса, уплачивают налог на прибыль по ставке, уменьшенной в 1,5 раза;
• снижение ставки налогообложения в зависимости от категории объекта налогообложения, например, доходы по государственным ценным бумагам и ценным бумагам местных органов власти облагаются налогом на прибыль предприятий и организаций по пониженной ставке налогообложения;
• изъятие из обложения определенных элементов объекта налога. например, у физических лиц доходы по государственным ценным бумагам не подлежат налогообложению подоходным налогом;
• освобождение от уплаты налогов отдельных лиц или категорий плательщиков: например, средства массовой информации освобождены от уплаты налога на добавленную стоимость по продукции массовой информации;
• целевые налоговые льготы, включая налоговые кредиты (отсрочка взимания налогов).
Уплата налогов производится юридическими лицами в следующем порядке:
1) уплачиваются все поимущественные налоги, пошлины и другие платежи в соответствии с законодательными актами;
2) налогооблагаемый доход (прибыль) налогоплательщика уменьшается на сумму уплаченных в соответствии п. 1) налогов, после чего уплачиваются местные налоги, расходы по уплате которых относятся на финансовые результаты деятельности;
3) налогооблагаемый доход (прибыль) налогоплательщика уменьшается на сумму уплаченных местных налогов, указанных в п. 2), после чего уплачиваются в установленном порядке все остальные налоги, вносимые за счет дохода (прибыли);
4) подоходный налог (налог на прибыль) вносится за счет дохода (прибыли), остающегося после уплаты указанных выше налогов, если иное не установлено законом.
ВОПРОСЫ ДЛЯ САМОПРОВЕРКИ
1. Как называются налоги, которые входят в стоимость производимых налогоплательщиком товаров, работ и услуг?
2. К какому виду налогов в соответствии с их классификацией относится подоходный налог?
3. Подлежат ли все категории налогоплательщиков регистрации в государственных налоговых органах?
4. Когда уплачивается налог на прибыль в соответствии с порядком перечисления налогов в бюджет?
16.2 НАЛОГ НА ПРИБЫЛЬ ПРЕДПРИЯТИЙ И ОРГАНИЗАЦИЙ
Объектом налогообложения налогом на прибыль является выручка предприятия и его внереализационные доходы, уменьшенные на затраты предприятия, относимые на себестоимость в соответствии с действующим законодательством.
Схему расчета налога на прибыль предприятия можно представить следующим образом:
1) суммируется выручка предприятия от реализации товаров, работ и услуг без входящих в ее состав НДС и акцизов;
2) прибавляется сумма внереализационных доходов предприятия (не связанных с реализацией товаров, работ, услуг, имущества и прочих видов активов);
3) осуществляется корректировка получившейся величины на положительные или отрицательные разницы по операциям в иностранной валюте и по валютным счетам;
4) вычитаются затраты, которые в соответствии с Положениями о составе затрат для данного вида предприятий относятся на издержки (на себестоимость)[23] ;
5) исключаются доходы, которые облагаются налогом у источника выплат (например, дивиденды по акциям);
6) исключаются доходы, которые облагаются налогом по иной ставке налогообложения или в обособленном порядке (например, доходы от операций с государственными ценными бумагами) — для этих доходов составляется отдельный расчет налога на прибыль по иной ставке налогообложения.
По итогам произведенных операций получается налогооблагаемая прибыль предприятия, которую еще необходимо скорректировать на льготы (если таковые у предприятия имеются), и после этого получается налогооблагаемая база по налогу на прибыль, с которой налог на прибыль взимается по ставке, являющейся базовой для данной категории налогоплательщика.
Размерах:
• 13% в федеральный бюджет и до 22% в местный бюджет для обычных предприятий и организаций;
• 13% в федеральный бюджет и до 30% в местный бюджет для банков, кредитных организаций, страховых компаний и по доходам от посреднических операций.
Рассмотрим особенности налогообложения налогом на прибыль для трех категорий участников рынка ценных бумаг: для эмитентов, для инвесторов и для профессиональных участников.
(1) ЭМИТЕНТЫ
| Вид дохода | Категория эмитента | Ставка налогообложения | Примечания |
| 1. Выручка от размещения собственных акций | все категории | не облагается | Средства, поступающие от размещения акций по их номиналу, включаются в состав уставного капитала, сумма превышения цены размещения над номиналом (эмиссионный доход) учитывается в составе добавочного капитала и используется только для капитализации (при ином использовании облагается налогом на прибыль по базовой ставке) |
| 2. Выручка от размещения собственных долговых бумаг (по номиналу) | все категории | не облагается | Средства, поступающие от размещения долговых бумаг по номиналу, носят возвратный характер и в налогооблагаемую базу по налогу на прибыль не включаются |
| 3. Ажио от размещения долговых бумаг выше номинала | Банки, кредитные организации Нерезиденты Прочие | 43% 20% 35% | Ажио, полученные от размещения долговых бумаг выше номинала, являются доходом эмитента, т. к. не подлежат возврату владельцам бумаг, и включаются в налогообложение по базовой ставке для данной категории налогоплательщиков равными долями в течение всего срока обращения долговых бумаг |
| 4. Дисконт от размещения долговых бумаг ниже номинала | Банки, кредитные организации Прочие | относится на издержки и уменьшает налогооблагаемую базу не уменьшает налогооблагаемую базу и покрывается за счет чистой прибыли | Дисконты, полученные от размещения долговых бумаг ниже номинала, являются убытком эмитента, т. к. сумма погашения долговых бумаг будет больше, чем объем привлеченных под них средств, и переносится на расходы (убытки) равными долями в течение всего срока обращения долговых бумаг |
| 5. Дивиденд по акциям | все категории | не уменьшает налогооблагаемую базу и покрывается за счет чистой прибыли | |
| Вид дохода | Категория эмитента | Ставка налогообложения | Примечания |
| 6. Процент по долговым ценным бумагам | Банки, кредитные организации Прочие | относится на издержки и уменьшает налогооблагаемую базу не уменьшает налогооблагаемую базу и покрывается за счет чистой прибыли | |
| 7. Невостребованная сумма дивидендов, процентов и основные суммы долгов по ценным бумагам | Банки, кредитные организации Нерезиденты Прочие | 43% 20% 35% | Включаются в налогооблагаемую базу у всех категорий налогоплательщиков по базовой ставке налога на прибыль по истечении срока исковой давности (3 года) |
(2) ИНВЕСТОРЫ
| Вид дохода | Категория инвестора | Ставка налогообложения | Примечания |
| 1. Дивиденд по акциям | Нерезиденты Прочие | 20% 15% | Облагаются у источника выплат (у эмитента) и в налогооблагаемую базу у получателя не включается |
| 2. Процент по долговым ценным бумагам (негосударственным) | Банки, кредитные организации, страховые компании Нерезиденты Прочие | 43% 20% 35% | Начиная с 21.01.1997 г. поступают к инвестору (получателю) в полном объеме и включаются в налогооблагаемую базу по базовой ставке для данной категории |
| 3. Процент по государственным ценным бумагам и ценным бумагам местных органов власти, выпущенным в обращение до 21.01.1997 г. | Все | 0% | Исключаются из налогообложения у всех категорий налогоплательщиков, этот порядок касается и тех ценных бумаг, по которым проценты уплачиваются не только государством, но и покупателем продавцу при совершении сделки (бумаги, по которым стоимость накопленного купонного дохода входит в цену сделки) |
| 4. Доход от перепродажи (погашения) государственных краткосрочных (бескупонных) облигаций — ГКО и ГКО-образных бумаг, выпущенных в обращение до 21.01.1997 г. | Все | 0% | Исключаются из налогообложения у всех категорий налогоплательщиков |
5. Процент по государственным ценным бумагам и ценным бумагам местных органов власти, выпущенным в обращение после 21.01.1997 г. |
Все | 15% ' | Составляется отдельный расчет по этим доходам, налог уплачивается ежемесячно |
| 6. Доход от перепродажи (погашения) ГКО и ГКО-образных бумаг, выпущенных в обращение после 21.01.1997 г. | Все | 15% | Составляется отдельный расчет lie этим доходам, налог уплачивается ежемесячно |
НАЛОГООБЛОЖЕНИЕ НА РЫНКЕ ЦЕННЫХ БУМАГ
| Вид дохода | Категория инвестора | Ставка налогообложения | Примечания |
| 7. Доход от перепродажи (погашения) всех ценных бумаг (кроме ГКО и ГКО-образных) | Банки, кредитные организации, страховые компании Нерезиденты Прочие | 43% 20% 35% | |
| 8. Убыток от перепродажи (погашения) всех ценных бумаг | Все | не уменьшают налогооблагаемую базу и покрываются за счет чистой прибыли | |
| 9. Доход от переоценки ГКО и ГКО-образных бумаг, выпущенных в обращение до 21.01.1997 г. | Все | 0% | Исключаются из налогообложения у всех категорий налогоплательщиков |
| 10. Расход от переоценки ГКО и ГКО-образных бумаг, выпущенных в обращение до 21.01.1997 г. | Все | не уменьшают налогооблагаемую базу | |
| 11.Доход от переоценки ГКО и ГКО-образных бумаг, выпущенных в обращение после 21.01.1997 г. | Все | 15% | Включаются в отдельный помесячный расчет у всех категорий налогоплательщиков, при налогообложении могут быть уменьшены на расходы от переоценки этих же выпусков ГКО отдельно по каждому выпуску в пределах полученных доходов от переоценки каждого выпуска |
| 12.Расход от переоценки ГКО и ГКО-образных бумаг, выпущенных в обращение после 21.01.1997 г. | Все | не уменьшают налогооблагаемую базу | Расходы от переоценки, превышающие доходы от переоценки внутри каждого выпуска ГКО, не уменьшают налогооблагаемую базу ни по какой ставке налогообложения |
| Вид дохода | Категория инвестора | Ставка налогообложения | Примечания |
| 13-Доход от переоценки ОФЗ и ОФЗ-образных бумаг | Банки, кредитные организации, страховые компании Прочие | 43% 35% | Включаются в расчет налога на прибыль по базовой ставке для данной категории налогоплательщиков, при налогообложении могут быть уменьшены на расходы от переоценки этих же выпусков ОФЗ отдельно по каждому выпуску в пределах полученных доходов от переоценки каждого выпуска |
| 14.Расход от переоценки ОФЗ и ОФЗ-образных бумаг | Все | не уменьшают налогооблагаемую базу | Расходы от переоценки, превышающие доходы от переоценки внутри каждого выпуска ОФЗ, не уменьшают налогооблагаемую базу ни по какой ставке налогообложения |
(3) ПРОФЕССИОНАЛЬНЫЕ УЧАСТНИКИ РЫНКА ЦЕННЫХ БУМАГ
| Вид дохода | Категория профучастника | Ставка налогообложения | Примечания |
| 1. Комиссионное вознаграждение брокера | Все | 43% | |
| 2. Комиссионное вознаграждение организатора торговли | Фондовая биржа Организатор внебиржевой торговли | 43% 35% | |
| 3. Вознаграждение доверительного управляющего | Банки, кредитные организации Прочие | 43% 35% | |
| 4. Маржа дилера | Банки, кредитные организации Прочие | 43% 35% | Порядок налогообложения дилеров аналогичен налогообложению у инвесторов (могут быть пониженные ставки в случае операций с государственными бумагами) |
| 5. Комиссии депозитария, специализированного регистратора, клиринговой организации | Банки, кредитные организации Прочие | 43% 35% |
16.3 ПОДОХОДНЫЙ НАЛОГ С ФИЗИЧЕСКИХ ЛИЦ
Объектом налогообложения подоходным налогом с физических лиц является совокупный годовой доход физического лица, включающий в себя общую сумму всех видов доходов, полученных физическим лицом в течение отчетного года.
Основные виды доходов, не включаемые в совокупный годовой доход:
1) доходы в виде процентов по государственным ценным бумагам и ценным бумагам местных органов власти;
2) доходы от операций с ГКО и ГКО-образными бумагами;
3) проценты по банковским вкладам и депозитам в пределах учетной ставки ЦБ РФ;
4) доходы в форме страховых выплат в пределах учетной ставки ЦБ РФ.
Подоходный налог является прогрессивным, то есть его ставка зависит от величины налогооблагаемой базы — совокупного духового дохода физического лица. Необлагаемый минимум по подоходному налогу установлен из расчет 12 МРОТ за год (т. е. по одному МРОТ в месяц). Этот необлагаемый минимум может возрастать в случае, если физическое лицо содержит иждивенцев, детей, школьников, студентов, или имеет какие-то дополнительные льготы.
Подоходный налог с облагаемого совокупного дохода, полученного в календарном году, взимается в следующих размерах:
Особенностью удержания подоходного налога является тот факт, что этот налог удерживается с физического лица юридическими лицами, выплачивающими данному физическому лицу доход. При этом юридические лица являются агентами по удержанию подоходного налога с физических лиц и несут ответственность перед бюджетом за полноту, правильность и своевременность удержания подоходного налога. Все претензии бюджет предъявляет именно к юридическим лицам — источникам выплат дохода физическим лицам, а уже после удержания бюджетом сумм недоплаченного подоходного налога, штрафов, пеней и неустоек юридическое лицо может регрессным иском попытаться взыскать недоплаченные суммы подоходного налога с соответствующего физического лица.
Только в том случае, если доход физическому лицу выплачивается физическим же лицом (например, при покупке/продаже ценных бумаг или имущества), в момент совершения операции (выплаты дохода) подоходный налог не удерживается. В этом случае физическое лицо обязано включить полученный и не обложенный налогом доход в свой совокупный годовой доход по окончании года при составлении налоговой декларации.
Налоговые декларации обязаны составлять и подавать все физические лица, которые в течение года получали доходы у разных источников (более чем 1 источник) и объем их совокупного годового дохода превышает облагаемый по минимальной ставке (т. е. 12 млн. руб.). Это необходимо, так как в случае наличия разных источников выплат дохода и превышения общей суммы дохода над облагаемым по минимальной ставке не может быть уверенности, что налог будет удержан по прогрессивной ставке полностью, так как юридические лица — источники выплат не обязаны знать о суммах доходов, полученных физическим лицом вне данного юридического лица.
ПОДОХОДНЫЙ НАЛОГ НА ДОХОД, ПОЛУЧЕННЫЙ ПО ЦЕННЫМ БУМАГАМ
| Вид дохода | Облагается/ не облагается | Примечание |
| 1. Дивиденды по акциям | облагается | |
| 2. Проценты по долговым ценным бумагам (негосударственным) | облагается | по сберегательным сертификатам банков — сверх учетной ставки ЦБ РФ |
| 3. Проценты по государственным ценным бумагам и ценным бумагам местных органов власти | не облагается | |
| 4. Доходы от перепродажи (погашения) государственных краткосрочных (бескупонных) облигаций — ГКО и ГКО-образных бумаг | не облагается | |
| 7. Доходы от перепродажи (погашения) всех ценных бумаг (кроме ГКО и ГКО-образных) | облагается | из суммы выручки физического лица от перепродажи (погашения) ценных бумаг могут быть вычтены по желанию физического лица: 1) либо льгота 1000 МРОТ — применяется по всем видам реализуемого физическим лицом имущества (в т. ч. и по ценным бумагам), но только 1 раз в год; 2) либо документально подтвержденные расходы на приобретение реализуемых ценных бумаг |
16.4 НАЛОГ НА ДОБАВЛЕННУЮ СТОИМОСТЬ, НАЛОГ НА ИМУЩЕСТВО И НАЛОГ НА ОПЕРАЦИИ С ЦЕННЫМИ БУМАГАМИ
Объектом налогообложения налогом на добавленную стоимость является оборот предприятия или организации, связанный с реализацией товаров, работ и услуг. Обороты, не связанные с реализацией товаров, работ и услуг, НДС не облагаются.
Следовательно, выручка от размещения эмитентами ценных бумаг, выручка от продажи (погашения) инвесторами ценных бумаг, суммы процентов и дивидендов по ценным бумагам не являются объектами налогообложения НДС. То же самое можно сказать и о суммах полученных и погашаемых банковских кредитов и уплачиваемых процентов по ним, суммах банковских депозитов и процентов по ним, суммах и ценных бумагах, передаваемых в доверительное управление или по договорам комиссии и поручения.
Таким образом, эмитенты ценных бумаг, инвесторы (и дилеры), приобретающие и продающие ценные бумаги за свой счет, не являются плательщиками НДС с доходов по указанным ценным бумагам.
Однако следует отметить, что доходы профессиональных участников рынка ценных бумаг в виде комиссии (вознаграждения) за оказываемые услуги уже являются объектом налогообложения НДС, т. к. представляют собой доходы от реализации услуг (работ). То же самое касается и услуг по изготовлению бланков ценных бумаг, услуг инвестиционных консультантов, андеррайтеров, оценщиков ценных бумаг, аудиторов и прочее. Ставка налога на добавленную стоимость составляет 20% от облагаемого оборота.
НАЛОГ НА ИМУЩЕСТВО
Ценные бумаги не являются объектом налогообложения налогом на имущество юридических лиц и налогом на имущество физических лиц.
НАЛОГ НА ОПЕРАЦИИ С ЦЕННЫМИ БУМАГАМИ
Объектом налогообложения налогом на операции с ценными бумагами является номинальная стоимость выпуска ценных бумаг, регистрируемого эмитентом. Следует отметить, что, по действующему законодательству, его регистрация требуется только при выпуске акций, облигаций, инвестиционных паев паевых фондов и жилищных сертификатов. Однако проспект эмиссии инвестиционных паев паевых фондов не имеет номинала (не указывается объем эмиссии), и поэтому не облагается налогом на операции с ценными бумагами. Таким образом, налогом на операции с ценными бумагами облагаются только выпуски акций, облигаций и жилищных сертификатов. Налог уплачивается в момент подачи документов на регистрацию проспекта эмиссии в государственные органы. Ставка налога составляет 0,8°о от номинала проспекта эмиссии. В том случае, если проспект эмиссии регистрируется в момент создания (учреждения) акционерного общества, то налог на операции с ценными бумагами не уплачивается.
НАЛОГ НА ПОЛЬЗОВАТЕЛЕЙ АВТОДОРОГ И НАЛОГ НА СОДЕРЖАНИЕ ЖИЛИЩНОГО ФОНДА
Объектом налогообложения этими налогами является выручка предприятия или организации от реализации товаров, работ и услуг за минусом НДС и акцизов. Таким образом, при операциях с ценными бумагами плательщиками этих налогов будут являться только профессиональные участники рынка ценных бумаг, предоставляющие услуги (работы) по обслуживанию рынка. Кроме того, с профессиональных участников рынка указанные налоги взимаются также с финансового результата (разницы между выручкой и затратами) от продажи (погашения) принадлежащих им ценных бумаг. Ставка налога на пользователей автодорог в Москве составляет 2,5%, ставка налога на содержание жилищного фонда и объектов социально-культурной сферы — 1,5%.
ВОПРОСЫ ДЛЯ САМОПРОВЕРКИ
1. По какой ставке налога на прибыль осуществляется налогообложение дохода, полученного брокером в качестве комиссионного вознаграждения?
2. Какую величину составляет необлагаемый минимум по подоходному налогу?
3. Кто обязан подавать налоговые декларации?
ГЛАВА 17. ОСНОВЫ БУХГАЛТЕРСКОГО УЧЕТА
17.0 ОСНОВНЫЕ РЕГИСТРЫ БУХГАЛТЕРСКОГО УЧЕТА
Бухгалтерский учет представляет собой систему правил, принципов, регистров, служащих для отражения (описания) финансово-хозяйственной деятельности предприятия. Основными регистрами бухгалтерского учета являются счета бухгалтерского учета (балансовые счета), ведомости остатков счетов бухгалтерского учета, а также бухгалтерский баланс.
Счет бухгалтерского учета представляет собой простейший учетный регистр, каждый счет служит для отражения одного вида операций (или схожих операций). Балансовых счетов всего около 100. Их перечень дан в Плане счетов бухгалтерского учета, причем для каждого счета в этом документе приведена краткая характеристика с перечнем отражаемых на нем операций.
Ведомость остатков представляет собой перечень всех счетов, используемых предприятием для ведения бухгалтерского учета и отражения финансово-хозяйственной деятельности с указанием их номеров и остатков.
Бухгалтерский баланс — наиболее сложный учетный регистр, который образуется путем переработки ведомости остатков по действующим правилам бухгалтерского учета. Баланс представляет собой по сути моментальную фотографию финансового состояния и положения предприятия на некоторую дату.
ВОПРОСЫ ДЛЯ САМОПРОВЕРКИ
1. Что такое счет бухгалтерского учета?
2. Для чего служит ведомость остатков?
3. Какой из основных регистров является наиболее сложным?
17.1 ВИДЫ СЧЕТОВ БУХГАЛТЕРСКОГО УЧЕТА
Основная классификация счетов бухгалтерского учета — на активные, пассивные и активно-пассивные. Это классификация с точки зрения сути операций, отражаемых на указанных счетах.
Активные счета служат для отражения операций, связанных с наличием и движением имущества предприятия. При этом имущество понимается в широком смысле: не только материальные его составляющие (оборудование, недвижимость), но и нематериальные активы, а также финансовые активы (инвестиции, вложения, ценные бумаги, денежные средства, долги третьих лиц в пользу предприятия). Номер активного счета с большей или меньшей точностью может сказать, какого рода имущество имеется в собственности предприятия — владельца баланса.
Пассивные счета служат для отражения операций, связанных с наличием и движением источников формирования имущества предприятия. Источники формирования имущества принято подразделять на собственные и привлеченные (заемные). К собственным источникам относятся в первую очередь уставный капитал, а также прибыль в нераспределенном или распределенном (в различные фонды и резервы) виде. Привлеченные источники (их также принято называть “обязательства”) значительно разнообразнее: банковские кредиты, займы прочих организаций, долги перед контрагентами, средства от размещения собственных долговых ценных бумаг и т. п. Номер пассивного может сказать, какого рода источники используются предприятием для формирования имеющегося у него имущества.
Активно-пассивные счета можно, как правило, отличить по их названиям: большинство этих счетов начинается со слова “расчеты” (расчеты с бюджетом, расчеты с персоналом и т. п.). Активно-пассивные счета служат:
1) для отражения расчетов с различными категориями контрагентов, что вытекает из их названий;
2) для отражения сумм кредиторской (долгов в пользу контрагентов) и дебиторской (долгов в пользу предприятия) задолженностей;
3) для отражения сумм финансовых результатов деятельности предприятия — прибылей и/или убытков.
Любой их перечисленных видов счетов бухгалтерского учета выглядит следующим образом:
| Дебет | Кредит |
То есть счет представляет собой двустороннюю таблицу, левая часть которой называется “Дебет”, а правая — “Кредит”. Следует учесть, что термины “Дебет” и “Кредит” не означают, что в левую часть таблицы записываются суммы дебиторской задолженности (в нашу пользу), а в правую — кредиторской (в пользу контрагентов). Записи сумм и в левую, и в правую часть таблицы могут означать разное состояние взаимоотношений с контрагентами или внутри предприятий в зависимости от того, по какому из вышеперечисленных типов счетов осуществляется запись.
Термины “Дебет” и “Кредит” и двустороннюю таблицу, описывающую счет бухгалтерского учета, следует понимать всего лишь как общепринятую форму записи хозяйственных операций, позволяющую обеспечить наглядность и удобство учета, финансово-хозяйственной деятельности предприятия.
ВОПРОСЫ ДЛЯ САМОПРОВЕРКИ
1. Какие счета служат для отражения операций, связанных с наличием и движением имущества предприятия?
2. Что относится к привлеченным источникам?
3. Какой тип счетов служит для отражения финансовых результатов деятельности предприятия?
17.2 ПРАВИЛА ЗАПИСИ ПО СЧЕТАМ БУХГАЛТЕРСКОГО УЧЕТА
Рассмотрим порядок функционирования различных видов счетов.
АКТИВНЫЕ СЧЕТА
Для примера возьмем активный счет, без которого не обходится деятельность ни одного юридического лица: счет ¹ 51 “Расчетный счет”. Этот счет активный, так как на нем отражается сумма безналичных денежных средств предприятия в российских рублях, находящихся на его расчетном счете в том или ином банке, а денежные средства, безусловно, представляют собой один из видов имущества. Счету ¹ 51 “Расчетный счет” будет соответствовать уже приведенная выше двусторонняя таблица. Операции по расчетному счету в банке у предприятия могут быть двух типов: приходные (поступление денежных средств) и расходные (использование, перечисление, снятие денежных средств). При этом по сложившимся правилам бухгалтерского учета суммы приходных операций должны отражаться по дебету активного счета, а суммы расходных операций — по кредиту активного счета.
Допустим, в течение некоего периода (стандартным периодом в бухгалтерском учете предприятий принято считать квартал) на расчетный счет нашего предприятия поступило денежных средств на сумму 50 млн. руб.
Допустим также для упрощения, что на начало этого периода (квартала) на расчетном счете нашего предприятия денежных средств не было (бухгалтеры говорят, что входящий остаток средств равнялся нулю). Поступившие 50 млн. руб. отразятся по дебету активного (А) расчетного счета ¹ 51:
| 51 (А) | |
| Дебет | Кредит |
| 50 000 | |
Для каждого, знающего правила бухгалтерского учета, эта запись будет означать, что 50 млн. руб. именно поступили на расчетный счет и увеличили сумму средств на нем, а не что либо иное. Таким образом, можно сделать вывод, что когда активные счета дебетуются, то они увеличиваются (подчеркиваем, что это не определение активного счета — определение было дано выше, а его свойство).
Все приходные операции мы будем отражать аналогично по дебету активного счета. Общая сумма приходных операций, отраженных по дебету активного счета, называется дебетовым оборотом.
Допустим, что в течение того же квартала с нашего расчетного счета ушло на оплату разнообразных расходов 17 млн. руб. Расходная операция в сумме 17 млн. руб. запишется по кредиту активного счета ¹51: (тыс. руб.)
| 51 (А) | |
| Дебет | Кредит |
| 50 000 | 17 000 |
Эта запись будет означать, что 17 млн. руб. списаны (израсходованы) с расчетного счета и уменьшили его. Таким образом, можно сделать вывод, что когда активные счета кредитуются, то они уменьшаются.
Все прочие расходные операции мы будем отражать аналогично по кредиту активного счета. Общая сумма расходных операций, отраженных по кредиту активного счета, называется кредитовым оборотом.
Если теперь мы захотим понять, сколько средств осталось на расчетном счете (посчитать исходящий остаток), мы должны из дебетового оборота по данному счету (т. е. из общей суммы поступивших средств) вычесть кредитовый оборот (т. е. общую сумму израсходованных средств). Если бы на расчетном счете был какой-то входящий остаток, то необходимо было бы его прибавить. В нашем примере входящий остаток нулевой, поэтому исходящий остаток получается равным 33 млн. руб., причем запишется он по дебету таблицы, так как дебетовый оборот превышает кредитовый: (тыс. руб.)
51 (А) (А) |
|
| Дебет | Кредит |
| 50000 | 17000 |
| 33000 | |
Нужно отметить, что активные счета всегда будут иметь дебетовые остатки (т. е. остатки, записываемые по дебету счета), так как нельзя использовать со счета больше средств, чем на нем имеется, плюс то, что на него поступило в течение периода. Если предприятие использует ^^ все средства, находящиеся на расчетном счете, включая поступившие в течение квартала, то на конец квартала остаток такого счета будет равен нулю, и будет бессмысленно говорить о том, кредитовый он или дебетовый. Если же с расчетного счета (или любого другого активного счета) будут использованы не все средства, а что-то останется, то это “что-то” будет фигурировать в учете как дебетовый остаток активного счета, и сумма этого остатка будет в точности отражать сумму средств на этом активном счете.
Исходящий остаток 33 млн. руб. с началом следующего периода (квартала) не пропадает, а становится входящим остатком следующего квартала, после чего запись приходных и расходных операций продолжает осуществляться вышеописанным способом.
Вместо термина “остаток счета” также используется термин “сальдо счета”, вместо терминов “входящий остаток” и “исходящий остаток” — термины “входящее сальдо”, “исходящее сальдо” или “сальдо на начало периода”, “сальдо на конец периода”.
ПАССИВНЫЕ СЧЕТА
Возьмем пассивный счет ¹ 86 “Резервный капитал”, на котором отражается сумма созданного предприятием в процессе своей деятельности резервного капитала (фонда) в соответствии с требованиями законодательства или учредительных документов предприятия. Резервный капитал, как правило, формируется за счет прибыли и является одним из источников формирования имущества предприятия, поэтому учитывается на пассивном счете. Операции по пассивным счетам также могут быть приходные (пополняющие) и расходные.
Однако на пассивных счетах запись операций будет осуществляться с точностью наоборот по сравнению с уже описанными активными счетами: приходные операции будут отражаться по кредиту пассивных счетов, а расходные операции — по дебету пассивных счетов.
Допустим, на начало квартала резервный капитал предприятия еще не создан (входящее сальдо счета равняется нулю). В течение квартала предприятие распределило в состав резервного капитала 20 млн. руб. (т. е. пополнило резервный капитал на сумму 20 млн. руб.).
Эта приходная операция отразится на пассивном (П) счете ¹ 86 следующим образом: (тыс. руб.)
| 86 (П) | |
| Дебет | Кредит |
| 20 000 | |
Эта запись будет означать, что 20 млн. руб. поступили в состав резервного капитала и увеличили его. Таким образом, можно сделать вывод, что когда пассивные счета кредитуются, то они увеличиваются.
Все приходные операции мы будем отражать аналогично по кредиту пассивного счета. Общая сумма приходных операций, отраженных по кредиту пассивного счета, называется кредитовым оборотом.
Допустим, что в течение того же квартала нашему предприятию пришлось использовать средства резервного капитала для покрытия убытков от каких-либо коммерческих операций на общую сумму 7 млн. руб. Расходная операция в сумме 7 млн. руб. запишется по дебету пассивного счета ¹ 86: (тыс. руб.)
| 86 (П) | |
| Дебет | Кредит |
| 20 000 | |
| 7 000 | |
Эта запись будет означать, что 7 млн. руб. списаны (израсходованы) из резервного капитала и уменьшили его. Таким образом, можно сделать вывод, что когда пассивные счета дебетуются, то они уменьшаются.
Все прочие расходные операции мы будем отражать аналогично по дебету пассивного счета.
Общая сумма расходных операций, отраженных по дебету пассивного счета, называется дебетовым оборотом.
Если теперь мы захотим посчитать исходящий остаток счета ¹ 86 Резервный капитал, мы должны из кредитового оборота по данному счету (т. е. из общей суммы поступивших средств) вычесть дебетовый оборот (т. е. общую сумму израсходованных средств).
Если бы на счете ¹ 86 “Резервный капитал” был какой-то входящий остаток, то необходимо было бы его прибавить.
В нашем примере входящий остаток нулевой, поэтому исходящий остаток получается равным 13 млн. руб., причем запишется он по кредиту таблицы, так как кредитовый оборот превышает дебетовый:
| 86 (П) | |
| Дебет | Кредит |
| 20 000 | |
| 7 000 | |
| 13 000 | |
Нужно отметить, что пассивные счета всегда будут иметь кредитовые остатки (т. е. остатки, записываемые по кредиту счета), так как нельзя использовать со счета больше средств, чем на нем имеется, плюс то, что на него поступило в течение периода. Если предприятие использует все средства, находящиеся в составе резервного капитала, включая поступившие в течение квартала, то на конец квартала остаток такого счета будет равен нулю, и будет бессмысленно говорить о том, кредитовый он или дебетовый. Если же из резервного капитала (или любого другого пассивного счета) будут использованы не все средства, то оставшиеся будут фигурировать в учете как кредитовый остаток пассивного счета, и сумма этого остатка будет в точности отражать сумму средств на этом пассивном счете.
Исходящий остаток 13 млн. руб. с началом следующего периода (квартала) не пропадает, а становится входящим остатком следующего квартала, после чего запись приходных и расходных операций продолжает осуществляться вышеописанным способом, зеркально противоположным порядку записей на активных счетах.
АКТИВНО-ПАССИВНЫЕ СЧЕТА
Таким образом, в бухгалтерском учете всегда есть активные счета с дебетовыми остатками и пассивные — с кредитовыми остатками.
Третья группа счетов — активно-пассивные — характеризуется тем, что может иметь и кредитовые, и дебетовые остатки, причем иногда одновременно и те и другие. Рассмотрим наиболее часто встречающийся в учете операций с ценными бумагами активно-пассивный счет ¹ 76 “Расчеты с разными дебиторами и кредиторами”. Этот счет предназначен для тех операций, для которых действующими инструкциями не предусмотрено отдельных счетов. Поскольку не предусмотрено специального порядка бухгалтерского учета или формы баланса для профессиональных участников рынка ценных бумаг, то большинство операций на рынке ценных бумаг так или иначе отражается в бухучете с использованием активно-пассивного счета ¹ 76 “Расчеты с разными дебиторами и кредиторами”.
Рассмотрим некоторую ситуацию. Допустим, наше предприятие является инвестором на рынке ценных бумаг, причем ценные бумаги оно покупает и продает через брокерскую контору. Для приобретения ценных бумаг брокеру перечисляются денежные средства и дается поручение, предусматривающее условия, на которых брокер покупает для предприятия ценные бумаги.
Допустим, для покупки пакета акций РАО “ЕЭС России” наше предприятие перечислило брокеру 100 млн. руб. После перечисления этих средств необходим некоторый период для выполнения брокером поручения, поэтому акции РАО “ЕЭС России” появятся у предприятия несколько позже (срок должен быть оговорен в поручении), чем будут перечислены деньги. То есть после перечисления денег у предприятия денежных средств в сумме 100 млн. руб. уже нет, а акций еще нет.
Взамен перечисленных денег до момента получения акций у предприятия имеется дебиторская задолженность брокера на сумму 100 млн. руб. — эти 100 млн. руб. брокер должен предприятию до тех пор, пока он их не вернет или не купит акций на эту сумму.
Дебиторская задолженность брокера отразится в бухучете по дебету активно-пассивного (А-П) счета ¹ 76 «Расчеты с разными дебиторами и кредиторами»: тыс. руб.
| 76 (А-П) | |
| Дебет | Кредит |
| 100 000 | |
Нетрудно запомнить, что дебиторская задолженность контрагентов перед предприятием всегда отражается по дебету активно-пассивных счетов.
Прошло некоторое время, и брокер приобрел для предприятия акции РАО “ЕЭС России” на установленных предприятием условиях, однако не на всю перечисленную сумму, а, допустим, только на 70 млн. руб.
Этот пакет акций стоимостью 70 млн. руб. (или соответствующую выписку из реестра акционеров) брокер передал предприятию.
После совершения этой операции брокер уже не должен предприятию 100 млн. руб., его дебиторская задолженность теперь составляет только 30 млн. руб.
В бухучете мы должны показать сокращение дебиторской задолженности на 70 млн. руб., для чего мы запишем 70 млн. руб. (стоимость приобретенных акций) по кредиту активно-пассивного счета ¹ 76: тыс. руб.
| 76 (А-П) | |
| Дебет | Кредит |
| 100 000 | |
| 70 000 | |
| 30 000 | |
После этой записи дебетовый остаток счета ¹ 76 составит 30 млн. руб., что будет означать наличие дебиторской задолженности со стороны брокера в пользу предприятия на сумму 30 млн. руб.
Следующий этап взаимоотношений между брокером и предприятием: на оставшиеся средства брокер докупил акций РАО “ЕЭС России”, однако несколько перерасходовал их — вместо 30 млн. руб. потратил 30,5 млн. руб., т. е. использовал 500 тыс. руб. своих средств, как бы прокредитовав на эту сумму предприятие.
После получения второго пакета акций стоимостью 30 500 тыс. руб. предприятие у себя в бухгалтерском учете должно будет показать этот пакет аналогично первому пакету — по кредиту счета ¹ 76: тыс. руб.
| 76 (А-П) | |
| Дебет | Кредит |
100 000 |
70 000 30 500 |
500 |
|
После совершения данной бухгалтерской записи остаток счета ¹ 76 переместится из левой части таблицы в правую, т. е. станет кредитовым. Этот кредитовый остаток будет означать кредиторскую задолженность предприятия перед брокером на сумму 500 тыс. руб. Соответственно кредиторская задолженность предприятия перед контрагентами всегда отражается по кредиту активно-пассивных счетов.
В дальнейшем подобные операции между брокером и предприятием могут продолжаться сколь угодно долго, но всегда остаток по соответствующему счету будет показывать состояние взаиморасчетов: кто кому должен и сколько.
ВОПРОСЫ ДЛЯ САМОПРОВЕРКИ
1. Как называется общая сумма приходных операций, отраженных по дебету активного счета?
2. Возможна ли ситуация, когда активный счет имеет кредитовый остаток?
3. Когда пассивные счета дебетуются, что происходит с суммой по счету?
17.3 АНАЛИТИЧЕСКИЕ И СИНТЕТИЧЕСКИЕ СЧЕТА БУХГАЛТЕРСКОГО УЧЕТА
Сложнее становится с учетом, если предприятие пользуется услугами не одного брокера, а, например, нескольких профессиональных участников рынка: брокеров, организаторов торговли и пр. Если отражать все эти взаиморасчеты на одном-единственном счете ¹ 76 “Расчеты с разными дебиторами и кредиторами”, то очень скоро мы перестанем понимать, какому контрагенту мы должны (или нам должны) и сколько: остаток счета будет показывать нам только сумму всех взаиморасчетов со всеми контрагентами, мы сможем, например, видеть, что в общем итоге мы нетто-кредиторы или нетто-дебиторы, но не сможем из данных счета понять взаимоотношения с каждым конкретным брокером. Можно, конечно, поднять платежные поручения и восстановить сумму взаиморасчетов с каждым контрагентом, но это трудоемкая процедура, и, кроме того, задача бухгалтерского учета состоит в том, чтобы наглядно представлять результаты финансово-хозяйственной деятельности.
Для того чтобы решить эту проблему, законодательство предусматривает ведение так называемых субсчетов внутри балансовых счетов. Каждый субсчет представляет собой подраздел счета и записывается следующим образом:
76/1, 76/2, 76/3 и т.д.
Если нумерация балансовых счетов строго задана нормативными актами, то нумерация субсчетов является самостоятельным решением бухгалтерии каждого отдельного предприятия. Бухгалтер открывает столько субсчетов, сколько ему удобно, и называет их так, как считает необходимым. Например:
76/1 — расчеты с брокером “А”
76/2 — расчеты с биржей “Б”
76/3 —расчеты с брокером “В” и т. д.
Субсчета могут открываться не только внутри активно-пассивных счетов, но и внутри активных и пассивных счетов, если есть необходимость в дополнительной расшифровке (или выделении) т ого или иного вида имущества или обязательства.
При необходимости возможно также открытие субсчетов внутри субсчетов, т. е. так называемых субсчетов второго порядка (или даже третьего порядка). Например:
76/1 — расчеты с брокерами
76/1/1 — расчеты с брокером “А”
76/1/2 — расчеты с брокером “В”
76/2 — расчеты с биржами
76/2/1 — расчеты с биржей “Б”
76/2/2 — расчеты с биржей “Г” и т. д.
Субсчета также принято называть счетами аналитического учета, а сам бухгалтерский учет в разрезе отдельных контрагентов (отдельных видов имущества или отдельных видов обязательств) — аналитическим учетом. Напротив, балансовые счета принято именовать синтетическими счетами, а учет в разрезе балансовых счетов и сам баланс — синтетическим учетом.
Каждый субсчет так же, как и балансовый счет, представляет собой двустороннюю таблицу, записи в которой подчиняются тем же правилам, что и записи по балансовым счетам.
Следует учитывать, что внутри активных балансовых счетов могут открываться только активные субсчета, внутри пассивных балансовых счетов — только пассивные субсчета, а вот внутри активно-пассивных балансовых счетов — и активные, и пассивные, и активно-пассивные субсчета. Таким образом, на всех субсчетах активных балансовых счетов всегда будут только дебетовые остатки, и для того, чтобы получить консолидированный (общий) остаток активного балансового счета, достаточно будет просуммировать дебетовые остатки на входящих в его состав субсчетах. Тот же порядок и с субсчетами пассивных балансовых счетов с поправкой на то, что все остатки будут кредитовыми. Что же касается субсчетов активно-пассивных балансовых счетов, то на них могут быть и кредитовые, и дебетовые остатки, означающие, что с разными контрагентами имеет место разное состояние взаиморасчетов. Для получения консолидированного остатка по активно-пассивному балансовому счету необходимо отдельно просуммировать все субсчета этого балансового счета, имеющие дебетовые остатки, и отдельно все субсчета, имеющие кредитовые остатки. Таким образом, активно-пассивный счет может иметь два остатка — дебетовый и кредитовый. В ряде случаев законодательство требует, чтобы из большего остатка вычитался меньший (тогда получившийся единственный остаток называется свернутым), в ряде случаев вычитание не предусмотрено, и в отчетности показывается так называемое развернутое сальдо (т. е. оба остатка одновременно).
Пример развернутого сальдо можно найти в бухгалтерском балансе во втором разделе (актив баланса) по строке “Задолженность участников (учредителей) по взносам в уставный капитал (75)”, где показывается дебетовый остаток активно-пассивного счета ¹ 75 “Расчеты с учредителями”, и в шестом разделе (пассив баланса) по строке “Расчеты по дивидендам (75)”, где показывается кредитовый остаток этого же счета.
Перед тем как составлять бухгалтерский баланс, бухгалтер разбивает использующиеся в учете счета на две группы: счета с дебетовыми остатками и счета с кредитовыми остатками. Эти две группы можно условно выписать в таблицу с двумя колонками:
| Активы (счета с дебетовыми остатками) | Пассивы (счета с кредитовыми остатками) | ||
| № счета | сумма остатка | № счета | сумма остатка |
51 --- ИТОГО: |
33 000 ---- ---- |
86 76 ИТОГО: |
13 000 500 ----- |
В левую половину попадут, во-первых, все активные счета (так как они всегда имеют дебетовые остатки), и, во-вторых, часть активно-пассивных счетов с дебетовыми остатками. Таким образом, левая половина таблицы опишет структуру имущества нашего предприятия (материальные и нематериальные активы, финансовые активы, а также долги контрагентов в нашу пользу, т. е. дебиторскую задолженность, которые также являются имуществом). Номера счетов с дебетовыми остатками расскажут, какие виды имущества есть у нашего предприятия, а суммы остатков — сколько стоит это" имущество, т. е. сколько в него вложено средств. Указанная классификация средств предприятия с точки зрения структуры его имущества и называется активами предприятия.
В правую половину таблицы попадут, во-первых, все пассивные счета (так как они всегда имеют кредитовые остатки), и, во-вторых, часть активно-пассивных счетов с кредитовыми остатками. Таким образом, правая половина таблицы опишет структуру источников формирования имущества нашего предприятия (собственные источники, заемные средства, а также наши долги в пользу контрагентов, т. е. кредиторскую задолженность, которая также является нашими обязательствами). Номера счетов с кредитовыми остатками показывают, за счет каких источников сформировано имущество нашего предприятия (куплено ли оно за счет полученного банковского кредита или за счет средств уставного капитала и т. д.), а суммы остатков — денежный объем каждого источника, т. е. сколько у предприятия есть собственных средств, а сколько оно имеет обязательств. Указанная классификация средств предприятия с точки зрения структуры источников формирования его имущества называется пассивами предприятия.
Поскольку и активы, и пассивы по сути представляют собой одни и те же средства предприятия, на которые смотрят с двух разных точек зрения (классифицируют их двумя разными способами) — с точки зрения их материально-вещественной сущности (активы) и с точки зрения природы их происхождения (пассивы), то, следовательно, сумма всех дебетовых остатков по счетам (сумма активов) должна быть в точности равна сумме всех кредитовых остатков (сумме пассивов). Это равенство носит название основного балансового равенства. Приведенная выше таблица — это, конечно, еще не баланс, но, во всяком случае, уже его полуфабрикат. Бухгалтеры говорят, что баланс сходится, это как раз и означает равенство между активами и пассивами. Это равенство обеспечивается не только общими рассуждениями о том, что две стороны баланса описывают одни и те же средства с разных точек зрения, но еще и строго математически.
ВОПРОСЫ ДЛЯ САМОПРОВЕРКИ
1. Внутри каких счетов могут встречаться субсчета?
2. Как именуется учет в разрезе балансовых счетов?
3. Что такое “свернутый остаток” по счету?
4. Как называется классификация средств предприятия с точки зрения структуры источников формирования?
17.4 ОСНОВНЫЕ ПРИНЦИПЫ ВЕДЕНИЯ БУХГАЛТЕРСКОГО УЧЕТА
Основным принципом бухгалтерского учета, обеспечивающим основное балансовое равенство и позволяющим избегать как арифметических, так и смысловых ошибок, является принцип двойной записи. Он состоит в том, что каждая хозяйственная операция, совершаемая предприятием, подлежит отражению в одной и той же сумме одновременно на двух счетах бухгалтерского учета: по дебету одного из них и по кредиту другого из них.
Таким образом, каждая хозяйственная операция может быть записана в бухгалтерском учете следующим образом:
Дата совершения операции
Дебет некоего счета
Кредит некоего счета
Сумма операции
Номер документа, на основании которого совершена операция
Эти пять позиций — дата, сумма, номер документа и пара счетов — вместе называются бухгалтерской проводкой. Пара счетов, участвующих в проводке, называется корреспонденцией счетов, счета называются корреспондирующими друг с другом. Каждую финансово-хозяйственную операцию можно записать бухгалтерской проводкой или несколькими проводками. Грамотный бухгалтер по виду операции всегда может сказать, какими проводками она описывается, то есть какая корреспонденция счетов (или несколько корреспонденций счетов) соответствует этой операции. И наоборот, по бухгалтерской проводке (т. е. по корреспонденции счетов) можно установить, какую хозяйственную операцию она описывает.
В бухгалтерской практике все пять позиций бухгалтерской проводки являются обязательными для полноценного отражения операций. Ссылка на номер оправдательного документа также является обязательной. В качестве оправдательной документации выступают юридические документы — договоры, акты приема-сдачи, дополнительные соглашения, поручения и пр., а также платежные документы — чеки, счета, приходные и расходные ордера, платежные поручения и пр. Бухгалтерские операции, совершенные без оправдательных документов, не имеют законной силы, а бухгалтерский баланс, составленный на основе таких необоснованных операций, не может быть признан реальным и не подтверждается аудитором.
В дальнейшем при записи бухгалтерских проводок мы часто не будем указывать дату совершения операции, номер оправдательного документа. и даже иногда сумму операции, так как мы рассматриваем общие случаи совершения операций, не требующие излишней конкретизации. Таким образом, для целей дальнейшего изложения понятие бухгалтерской проводки будет более или менее совпадать с понятием “корреспонденция счетов”, так как именно она будет интересовать нас для правильного отражения финансово-хозяйственных операций.
Все бухгалтерские проводки можно условно разделить на четыре группы.
1-я группа
Проводки, описывающие операции, связанные с изменением структуры имущества предприятия (активов предприятия).
Во всех проводках этой группы по дебету будет стоять активный счет (или активно-пассивный счет с дебетовым остатком), и по кредиту также будет стоять активный счет (или активно-пассивный счет с дебетовым остатком):
Дебет (Д-т) активного счета
Кредит (К-т) активного счета
Таким образом, остаток одного из активных счетов по результатам такой операции увеличивается, остаток другого, напротив, уменьшается, что означает замену одного вида имущества другим — реструктуризацию имущества.
Пример; приобретение акций за безналичные денежные средства.
Д-т 06 “Долгосрочные финансовые вложения”
К-т 51 “Расчетный счет”
на сумму, затраченную на приобретение акций (т. е. стоимость пакета акций).
Дебетуя активный счет ¹ 06 (где отражаются вложения в ценные бумаги долгосрочного характера, в том числе акции), мы показываем приходную операцию по этому счету — поступление в состав имущества предприятия купленных акций. Кредитуя активный расчетный счет ¹ 51 (где отражаются безналичные денежные средства в рублях РФ), мы показываем расходную операцию по этому счету — перечисление денежных средств в оплату акций.
В составе имущества предприятия произошла замена: денежные средства заменились ценными бумагами. В активе баланса по одной из строк (расчетный счет) средств стало меньше, по другой строке (долгосрочные финансовые вложения) средств стало больше на ту же сумму. Таким образом, сумма актива баланса осталась неизменной, пассив баланса при этой операции вовсе не затрагивался. Следовательно, если до совершения этой операции основное балансовое равенство соблюдалось (т. е. баланс сходился), то и после этой операции оно будет соблюдаться.
2-я группа
Проводки, описывающие операции, связанные с изменением структуры источников формирования имущества предприятия (пассивов предприятия).
Во всех проводках этой группы по дебету будет стоять пассивный счет (или активно-пассивный счет с кредитовым остатком), и по кредиту также будет стоять пассивный счет (или активно-пассивный счет с кредитовым остатком):
Д-т пассивного счета
К-т пассивного счета
Таким образом, остаток одного из пассивных счетов по результатам такой операции увеличивается, остаток другого, напротив, уменьшается, что означает замену одного источника другим — реструктуризацию пассивов.
Пример: конвертация облигаций в акции (у эмитента).
Д-т 95 “Долгосрочные займы”
К-т 85 “Уставный капитал”
на номинал облигаций, проконвертированных в акции.
Дебетуя пассивный счет ¹ 95 (где отражаются средства, привлеченные путем размещения собственных долговых ценных бумаг, в том числе и облигационные займы), мы показываем расходную операцию по этому счету погашение облигаций путем обмена их на акции и тем самым уменьшение объема долга эмитента перед владельцами облигаций. Кредитуя пассивный счет ¹ 85 (где отражается номинальная величина уставного капитала предприятия), мы показываем приходную операцию по этому счету — оплата акций, входящих в состав уставного капитала, путем конвертации ранее выпущенных облигаций.
В составе источников формирования имущества предприятия произошла замена: привлеченные (заемные) источники — обязательства предприятия — заменились собственными источниками — уставным капиталом. В пассиве баланса по одной из строк (долгосрочные займы) средств стало меньше, по другой строке (уставный капитал) средств стало больше на ту же сумму. Таким образом, сумма пассива баланса осталась неизменной, актив баланса при этой операции вовсе не затрагивался. Следовательно, если до совершения этой операции основное балансовое равенство соблюдалось (т. е. баланс сходился), то и после этой операции оно будет соблюдаться.
3-я группа
Проводки, описывающие операции, связанные с увеличением общего объема средств предприятия (суммы баланса предприятия).
Во всех проводках этой группы по дебету будет стоять активный счет (или активно-пассивный счет с дебетовым остатком), а по кредиту — пассивный счет (или активно-пассивный счет с кредитовым остатком):
Д-т активного счета
К-т пассивного счета
Таким образом, остаток активного счета по результатам такой операции увеличивается, остаток пассивного счета также увеличивается, что означает прирост объема средств предприятия — увеличение суммы его баланса.
Пример: привлечение средств путем размещения облигаций (у эмитента).
Д-т 51 “Расчетный счет”
К-т 95 “Долгосрочные займы”
на номинал размещенных облигаций.
Дебетуя активный счет ¹ 51 (где отражаются средства на расчетном счете), мы показываем приходную операцию по этому счету — поступление безналичных денежных средств от размещения облигаций. Кредитуя пассивный счет ¹ 95 (где отражается номинальная величина размещенных облигаций), мы также показываем приходную операцию по этому счету — увеличение долга предприятия перед владельцами облигаций.
У предприятия одновременно появилось дополнительное имущество (деньги на расчетном счете) и дополнительные обязательства (долг перед владельцами облигаций). В пассиве баланса по одной из строк (долгосрочные займы) средств стало больше, в активе баланса по одной из строк (расчетный счет) средств стало больше на ту же сумму. Таким образом, возросли одновременно и сумма пассива баланса, и сумма актива баланса. Следовательно, если до совершения этой операции основное балансовое равенство соблюдалось (т. е. баланс сходился), то и после этой операции оно будет соблюдаться.
4-я группа
Проводки, описывающие операции, связанные с уменьшением общего объема средств предприятия (суммы баланса предприятия).
Во всех проводках этой группы по дебету будет стоять пассивный счет (или активно-пассивный счет с кредитовым остатком), а по кредиту — активный счет (или активно-пассивный счет с дебетовым остатком):
Д-т пассивного счета
К-т активного счета
Таким образом, остаток активного счета по результатам такой операции уменьшается, остаток пассивного счета также уменьшается, что означает уменьшение объема средств предприятия — уменьшение суммы его баланса.
Пример: погашение облигационного займа (у эмитента).
Д-т 95 “Долгосрочные займы”
К-т 51 “Расчетный счет”
на номинал погашаемых облигаций.
Кредитуя активный счет ¹ 51 (где отражаются средства на расчетном счете), мы показываем расходную операцию по этому счету — перечисление безналичных денежных средств владельцам облигаций при их погашении. Дебетуя пассивный счет ¹ 95 (где отражается номинальная величина размещенных облигаций), мы также показываем расходную операцию по этому счету — уменьшение долга предприятия перед владельцами облигаций при их погашении.
У предприятия одновременно уменьшается количество имущества (уходят деньги на расчетном счете) и уменьшаются обязательства (долг перед владельцами облигаций). В пассиве баланса по одной из строк (долгосрочные займы) средств стало меньше, в активе баланса по одной из строк (расчетный счет) средств стало меньше на ту же сумму. Таким образом, уменьшились одновременно и сумма пассива баланса, и сумма актива баланса. Следовательно, если до совершения этой операции основное балансовое равенство соблюдалось (т. е. баланс сходился), то и после этой операции оно будет соблюдаться.
Все операции предприятия так или иначе сходятся 'к четырем вышеописанным группам. По результатам всех рассмотренных проводок основное балансовое равенство соблюдалось. Поскольку в момент создания предприятия и сумма актива, и сумма пассива его баланса равна нулю, то при правильном совершении любых бухгалтерских проводок и при отсутствии арифметических ошибок баланс всегда будет сходиться.
ВОПРОСЫ ДЛЯ САМОПРОВЕРКИ
1. Что такое корреспонденция счетов?
2. К какой группе проводок можно отнести проводку, имеющую по дебету и кредиту активный счет?
3. К какой группе проводок можно отнести проводку, отражающую привлечение средств эмитента путем размещения облигаций?
17.5 ОСНОВНЫЕ ПРИНЦИПЫ СОСТАВЛЕНИЯ БУХГАЛТЕРСКОГО БАЛАНСА ИЗ СЧЕТОВ БУХГАЛТЕРСКОГО УЧЕТА, СТРУКТУРА ТИПОВОГО БАЛАНСА ПРЕДПРИЯТИЯ
Приведенный в 17.4 полуфабрикат бухгалтерского баланса еще не является отчетным бухгалтерским балансом в полном смысле этого слова, хотя и является непременным этапом, который проходит каждый бухгалтер перед составлением баланса. Этот полуфабрикат скорее можно назвать ведомостью остатков, так как в нем представлены все используемые в бухгалтерском учете предприятия счета и субсчета с указанием сумм остатков по ним.
Отличие баланса от ведомости остатков состоит в том, что баланс строится не по счетам бухгалтерского учета, а по статьям, представляющим собой определенным образом сгруппированные счета и субсчета, и поэтому баланс является элементом синтетического учета в отличие от ведомости остатков, которая является элементом аналитического учета.
Что представляют из себя статьи бухгалтерского баланса? Самый простой случай — когда статья баланса тождественно совпадает с каким-либо балансовым счетом. Например, в активе баланса статья “Расходы будущих периодов (31)” в точности совпадает с активным балансовым счетом ¹ 31 “Расходы будущих периодов”, в пассиве баланса статья “Добавочный капитал (87)” совпадает с пассивным балансовым счетом ¹ 87 “Добавочный капитал”.
Возможен вариант, когда статья баланса представляет собой не целый балансовый счет, а только его часть — один или несколько субсчетов внутри этого балансового счета. Например, в активе баланса статья “Векселя к получению (62)” состоит из субсчета “Векселя полученные” активно-пассивного балансового счета ¹ 62 “Расчеты с покупателями и заказчиками”, в пассиве баланса статья “Фонды накопления (88)” состоит из субсчета “Фонды накопления” активно-пассивного балансового счета ¹ 88 “Нераспределенная прибыль (непокрытый убыток) прошлых лет”.
Третий случай — когда статья баланса представляет собой сумму двух или более балансовых счетов. Например, в активе баланса статья “Сырье, материалы и другие аналогичные ценности (10, 15, 16)” представляет собой сумму остатков балансовых счетов ¹ 10 “Материалы”, ¹ 15 “Заготовление и приобретение материалов” и ¹ 16 “Отклонение в стоимости материалов”.
И наконец, возможен вариант, когда статья баланса представляет собой арифметическую разность двух и более счетов бухгалтерского учета. Например, в активе баланса статья “Краткосрочные финансовые вложения (58, 82)” представляет собой разность между остатком активного балансового счета ¹ 58 “Краткосрочные финансовые вложения” и остатком пассивного балансового счета ¹ 82 “Резервы по сомнительным долгам” в части резервов, созданных под краткосрочные ценные бумаги.
Возможны также комбинации четырех описанных случаев.
Таким образом, баланс представляет собой несколько более сложную структуру, нежели просто набор счетов бухгалтерского учета.
Типовой баланс предприятия состоит из шести разделов: по три в активе и в пассиве. В активе первый раздел “Внеоборотные активы” включает в себя наименее ликвидную часть имущества предприятия, второй раздел “Оборотные активы” состоит из ликвидных видов имущества. Третий раздел актива “Убытки” по сути имуществом не является, однако убытки показываются в активе, так как убытки представляют собой дебетовые остатки на соответствующих балансовых счетах.
В пассиве баланса четвертый раздел “Капитал и резервы” содержит собственную часть источников формирования имущества предприятия, или, проще говоря, его собственные средства. Пятый и шестой разделы — “Долгосрочные пассивы” и “Краткосрочные пассивы” — содержат в себе заемные средства соответственно на срок более года и менее года.
Сумма трех разделов актива дает сумму актива баланса, сумма трех разделов пассива дает сумму пассива баланса, каждая из которых одновременно является суммой баланса или, как принято говорить, валютой баланса.
Типовая форма баланса предприятия выглядит следующим образом:
БУХГАЛТЕРСКИЙ БАЛАНС
| АКТИВ | Код стр. | На начало года | На конец года | ||||||
| 1 | 2 | 3 | 4 | ||||||
| 1. ВНЕОБОРОТНЫЕ АКТИВЫ | |||||||||
| Нематериальные активы (04,05) | 110 | ||||||||
| в том числе: | |||||||||
| организационные расходы | III | ||||||||
| патенты, лицензии, товарные знаки (знаки обслуживания), иные аналогичные с перечисленными права и активы | 112 | ||||||||
| Основные средства (01, 02, 03) | 120 | ||||||||
| в том числе: | |||||||||
| земельные участки и объекты природопользования | 121 | ||||||||
| здания, машины, оборудование и другие основные средства | 122 | ||||||||
| Незавершенное строительство (07,08,61) | 123 | ||||||||
| Долгосрочные финансовые вложения (06,56,82) | 130 | ||||||||
| в том числе: | |||||||||
| инвестиции в дочерние общества | 131 | ||||||||
| инвестиции в зависимые общества | 132 | ||||||||
| инвестиции в другие организации | 133 | ||||||||
| займы, предоставленные организациям на срок более 12 месяцев | 134 | ||||||||
| собственные акции, выкупленные у акционеров | 135 | ||||||||
| прочие долгосрочные финансовые вложения | 136 | ||||||||
| Прочие внеоборотные активы | 140 | ||||||||
| ИТОГО по разделу 1 | 190 | ||||||||
| 11. ОБОРОТНЫЕ АКТИВЫ | |||||||||
| Запасы | 210 | ||||||||
| в том числе: | |||||||||
| сырье, материалы и другие аналогичные ценности (10, 15, 16) | 211 | ||||||||
| животные на выращивании и откорме (11) | 212 | ||||||||
| малоценные и быстроизнашивающиеся предметы (12,13) | 213 | ||||||||
| затраты в незавершенном производстве (издержках обращения) (20, 21, 23, 29, 30, 36, 44) | 214 | ||||||||
| готовая продукция и товары для перепродажи (40,41) | 215 | ||||||||
| товары отгруженные (45) | 216 | ||||||||
| расходы будущих периодов (31) | 217 | ||||||||
| Налог на добавленную стоимость по приобретенным ценностям (19) | 218 | ||||||||
| Дебиторская задолженность (платежи по которой ожидаются более чем через 12 месяцев после отчетной даты) | 220 | ||||||||
| в том числе: | |||||||||
| покупатели и заказчики (62, 76) | 221 | ||||||||
| векселя к получению (62) | 222 | ||||||||
| задолженность дочерних и зависимых обществ (78) | 223 | ||||||||
| задолженность участников (учредителей) по взносам в уставный капитал (75) | 224 | ||||||||
| авансы выданные (61) | 225 | ||||||||
| прочие дебиторы | 226 | ||||||||
| Дебиторская задолженность (платежи по которой ожидаются в течение 12 месяцев после отчетной даты) | 230 | ||||||||
| в том числе: | |||||||||
| покупатели и заказчики (62, 76) | 231 | ||||||||
| векселя к получению (62) | 232 | ||||||||
| задолженность дочерних и зависимых обществ (78) | 233 | ||||||||
| задолженность участников (учредителей) по взносам в уставный капитал (75) | 234 | ||||||||
| авансы выданные (61) | 235 | ||||||||
| прочие дебиторы | 236 | ||||||||
| Краткосрочные финансовые вложения (58,82) | 240 | ||||||||
| в том числе: | |||||||||
| инвестиции в зависимые общества | 241 | ||||||||
| собственные акции, выкупленные у акцион еров | 242 | ||||||||
| прочие краткосрочные финансовые вложения | 243 | ||||||||
| Денежные средства | 250 | ||||||||
| в том числе: | |||||||||
| касса (50) | 251 | ||||||||
| расчетные счета (51) | 252 | ||||||||
| валютные счета (52) | 253 | ||||||||
| прочие денежные средства (55, 56, 57) | 254 | ||||||||
| Прочие оборотные активы | 260 | ||||||||
| ИТОГО по разделу 11 | 290 | ||||||||
| III. УБЫТКИ | |||||||||
| Непокрытые убытки прошлых лет (88) | 310 | ||||||||
| Убыток отчетного года | 320 | ||||||||
| ИТОГО по разделу III | 390 | ||||||||
| БАЛАНС (сумма строк 190+ 290+ 390) | 399 | ||||||||
| IV. КАПИТАЛ И РЕЗЕРВЫ | |||||||||
| Уставный капитал (85) | 410 | ||||||||
| Добавочный капитал (87) | 420 | ||||||||
| Резервный капитал (86) | 430 | ||||||||
| в том числе: | |||||||||
| резервные фонды, образованные в соответствии с законодательством | 431 | ||||||||
| резервы, образованные в соответствии с учредительн. документами | 432 | ||||||||
| Фонды накопления (88) | 440 | ||||||||
| Фонд социальной сферы (88) | 450 | ||||||||
| Целевые финансирование и поступления (96) | 460 | ||||||||
| Нераспределенная прибыль прошлых лет (88) | 470 | ||||||||
| Нераспределенная прибыль отчетного года | 480 | ||||||||
| ИТОГО по разделу IV | 490 | ||||||||
| V. ДОЛГОСРОЧНЫЕ ПАССИВЫ | |||||||||
| Заемные средства (92,95) | 510 | ||||||||
| в том числе: | |||||||||
| кредиты банков, подлежащие погашению более чем через 12 месяцев после отчетной даты | 511 | ||||||||
| прочие займы, подлежащие погашению более чем через 12 месяцев после отчетной даты | 512 | ||||||||
| Прочие долгосрочные пассивы | 513 | ||||||||
| ИТОГО по. разделу V | 590 | ||||||||
| VI. КРАТКОСРОЧНЫЕ ПАССИВЫ | |||||||||
| Заемные средства (90,94) | 610 | ||||||||
| в том числе: | |||||||||
| кредиты банков, подлежащие погашению в течение 12 месяцев после отчетной даты | 611 | ||||||||
| прочие займы, подлежащие погашению в течение 12 месяцев после отчетной даты | 612 | ||||||||
| Кредиторская задолженность | 620 | ||||||||
| в том числе: | |||||||||
| поставщики и подрядчики (60, 76) | 621 | ||||||||
| векселя к уплате (60) | 622 | ||||||||
| по оплате труда (70) | 623 | ||||||||
| по социальному страхованию и обеспечению (69) | 624 | ||||||||
| задолженность перед дочерними и зависимыми обществами (78) | 625 | ||||||||
| задолженность перед бюджетом (68) | 626 | ||||||||
| авансы полученные (64) | 627 | ||||||||
| прочие кредиторы | 628 | ||||||||
| Расчеты по дивидендам (75) | 630 | ||||||||
| Доходы будущих периодов (83) | 640 | ||||||||
| Фонды потребления (88) | 650 | ||||||||
| Резервы предстоящих расходов и платежей (89) | 660 | ||||||||
| Прочие краткосрочные пассивы | 670 | ||||||||
| ИТОГО по разделу VI | 690 | ||||||||
| БАЛАНС (сумма строк 490 + 590 + 690) | 699 | ||||||||
ВОПРОСЫ ДЛЯ САМОПРОВЕРКИ
1. В каком разделе бухгалтерского баланса находится счет “Уставный капитал”?
2. Сколько разделов имеет актив баланса?
3. Является ли бухгалтерский баланс простым набором счетов?
17.6 СТАТЬИ БАЛАНСА, ИСПОЛЬЗУЕМЫЕ ДЛЯ ОТРАЖЕНИЯ ОПЕРАЦИЙ С ЦЕННЫМИ БУМАГАМИ
ОСНОВНЫЕ СРЕДСТВА
Основные средства представляют собой предметы труда, которые, во-первых, имеют относительно высокую стоимость (более 100 МРОТ), а во-вторых — длительный срок полезного использования (более 1 года). К категории основных средств относятся земельные участки, природные ресурсы, недвижимость, оборудование и прочее.
Основные средства отражаются на активном б/счете ¹ 01 “Основные средства” по покупной стоимости, включающей в себя всю совокупность затрат, связанных с их приобретением, доставкой, монтажем, наладкой и вводом в эксплуатацию.
Так как основные средства имеют длительный срок полезного использования, то и свою стоимость на производимую продукцию (работы, услуги) они переносят постепенно, теряя таким образом в цене, т. е. изнашиваясь или амортизируясь. Перенос стоимости основных средств на издержки производства происходит постепенно в течение всего срока их полезного использования в форме начисления износа. Износ начисляется по установленным законодательством нормам на пассивный б/счет ¹ 02 “Износ основных средств”. Износ начисляется за счет прибыли: по основным средствам производственного назначения — за счет прибыли до налогообложения, по основным средствами непроизводственного назначения — за счет прибыли после налогообложения.
В балансе предприятия основные средства отражаются по остаточной стоимости, исчисляемой как разница между первоначальной (покупной) стоимостью и начисленным на момент составления баланса износом, т. е. разность между остатками на б/счетах ¹01 и ¹02.
Основные средства подлежат переоценке, которая производится в соответствии с нормативными документами (постановлениями Правительства РФ). Переоценку имеет смысл осуществлять тогда, когда инфляционные процессы в экономике заставляют балансовую (остаточную) стоимость основных средств существенно отставать от реальных рыночных цен на аналогичные основные средства.
Переоценка осуществляется путем домножения первоначальной (покупной) стоимости основного средства и суммы начисленного на момент переоценки износа на поправочный коэффициент переоценки.
| Показатель | Сумма | Поправочный коэффициент | Новая величина после переоценки | Изменение показателя |
| б/счет ¹ 01 | 10 000 000 | * 1,5 | 15 000 000 | + 5 000 000 |
| б/счет ¹ 02 | 2 000 000 | * 1. 5 | 3 000 000 | + 1000 000 |
| остаточная стоимость | 8 000 000 | 12 000 000 | + 4 000 000 |
В данном примере прирост остаточной (балансовой) стоимости основного средства составил 4 млн. руб.
Переоценка осуществляется следующими бухгалтерскими проводками. Для основных средств производственного назначения:
1) Д-т 01 “Основные средства”
К-т 87 “Добавочный капитал”, субсчет “Прирост стоимости имущества по переоценке”на сумму увеличения первоначальной (покупной) стоимости.
2) Д-т 87 “Добавочный капитал”, субсчет “Прирост стоимости имущества по переоценке”
К-т 02 “Износ основных средств”на сумму увеличения износа. Для основных средств непроизводственного назначения:
1) Д-т 01 “Основные средства”
К-т 88 “Нераспределенная прибыль (непокрытый убыток) прошлых лет”, субсчет “Фонд социальной сферы” на сумму увеличения первоначальной (покупной) стоимости.
2) Д-т 88 “Нераспределенная прибыль (непокрытый убыток) прошлых лет”, субсчет “Фонд социальной сферы”
К-т 02 “Износ основных средств”на сумму увеличения износа.
В данном примере прирост остаточной (балансовой) стоимости основного средства составил 4 млн. руб.
Переоценка осуществляется следующими бухгалтерскими проводками. Для основных средств производственного назначения:
1) Д-т 01 “Основные средства”
К-т 87 “Добавочный капитал”, субсчет “Прирост стоимости имущества по переоценке” на сумму увеличения первоначальной (покупной) стоимости.
2) Д-т 87 “Добавочный капитал”, субсчет “Прирост стоимости имущества по переоценке”
К-т 02 “Износ основных средств” на сумму увеличения износа. Для основных средств непроизводственного назначения:
1) Д-т 01 “Основные средства”
К-т 88 “Нераспределенная прибыль (непокрытый убыток) прошлых лет”, субсчет “Фонд социальной сферы” на сумму увеличения первоначальной (покупной) стоимости.
2) Д-т 88 “Нераспределенная прибыль (непокрытый убыток) прошлых лет”, субсчет “Фонд социальной сферы”
К-т 02 “Износ основных средств” на сумму увеличения износа.
НЕМАТЕРИАЛЬНЫЕ АКТИВЫ
К нематериальным активам относятся предметы труда, не имеющие материально-вещественной сущности, в частности: всевозможные права, патенты, лицензии, технологии “ноу-хау”, торговые марки, товарные знаки, интеллектуальная собственность и программные продукты.
Нематериальные активы отражаются на активном б/счете ¹ 04 “Нематериальные активы” по своей покупной стоимости, включающей в себя всю совокупность затрат, связанных с их приобретением, доставкой, монтажем, наладкой и вводом в эксплуатацию. Износ нематериальных активов начисляется на пассивный б/счет ¹ 05 “Износ нематериальных активов” исходя из срока их полезного использования, а при невозможности определить последний — исходя из 10 лет.
В балансе предприятия нематериальные активы отражаются по остаточной стоимости, исчисляемой как разница между первоначальной (покупной) стоимостью и начисленным на момент составления баланса износом, т. е. разность между остатками на б/счетах ¹ 04 и ¹ 05. Переоценка нематериальных активов действующим законодательством не предусмотрена.
ДОЛГОСРОЧНЫЕ ФИНАНСОВЫЕ ВЛОЖЕНИЯ
На активном б/счете ¹ 06 “Долгосрочные финансовые вложения” отражаются вложения (инвестиции) предприятия в следующие виды активов:
1) в акции акционерных обществ (открытых и закрытых);
2) в паи и доли организаций, созданных не на акционерной основе;
3) в долговые ценные бумаги со сроком до погашения свыше 1 года;
4) в государственные ценные бумаги со сроком до погашения свыше 1 года;
5) в ценные бумаги местных органов власти со сроком до погашения свыше 1 года;
6) депозиты в банках со сроком до погашения свыше 1 года;
7) выданные другим предприятиям займы со сроком до погашения свыше 1 года.
Вложения в ценные бумаги отражаются по покупной стоимости этих ценных бумаг с учетом дополнительных затрат на их приобретение (комиссионные, регистрация сделки и прочее).
На активном б/счете ¹ 56 “Денежные документы” по статье “Долгосрочные финансовые вложения” отражаются собственные акции, выкупленные предприятием у своих акционеров на срок более 12 месяцев. Эти выкупленные акции отражаются в балансе по номинальной стоимости.
На пассивном б/счете ¹ 82 “Оценочные резервы” по статье “Долгосрочные финансовые вложения” отражаются резервы, созданные предприятием за счет прибыли под ценные бумаги долгосрочного характера.
КРАТКОСРОЧНЫЕ ФИНАНСОВЫЕ ВЛОЖЕНИЯ
На активном б/счете ¹ 58 “Краткосрочные финансовые вложения” отражаются вложения (инвестиции) предприятия в следующие виды активов:
1) в долговые ценные бумаги со сроком до погашения менее 1 года или ровно 1 год;
2) в государственные ценные бумаги со сроком до погашения менее 1 года или ровно 1 год;
3) в ценные бумаги местных органов власти со сроком до погашения менее 1 года или ровно 1 год;
4) депозиты в банках со сроком до погашения менее 1 года или ровно 1 год;
5) выданные другим предприятиям займы со сроком до погашения менее 1 года или ровно 1 год.
Вложения в ценные бумаги отражаются по покупной стоимости этих ценных бумаг с учетом дополнительных затрат на их приобретение (комиссионные, регистрация сделки и прочее).
На активном б/счете ¹ 56 “Денежные документы” по статье “Краткосрочные финансовые вложения” отражаются собственные акции, выкупленные предприятием у своих акционеров на срок менее 12 месяцев или ровно 12 месяцев. Эти выкупленные акции отражаются в балансе по цене выкупа.
На пассивном б/счете ¹ 82 “Резервы по сомнительным долгам” по статье “Краткосрочные финансовые вложения” отражаются резервы, созданные предприятием за счет прибыли под ценные бумаги краткосрочного характера.
В балансе предприятия по статье “Долгосрочные финансовые вложения” показывается сумма б/счетов ¹¹ 58 и 56 за вычетом созданных резервов (б/счета ¹ 82).
Следует обратить внимание на тот факт, что отнесение ценных бумаг к краткосрочным или долгосрочным осуществляется в зависимости от срока, оставшегося до их погашения в момент приобретения этих бумаг, а не от срока их обращения (то есть если приобретена облигация со сроком обращения 10 лет за 6 месяцев до погашения, то она будет являться краткосрочным финансовым вложением). В процессе нахождения ценной бумаги на балансе владельца не нужно переносить ее из долгосрочных вложений в краткосрочные в момент, когда до погашения остается 1 год.
Возможен также учет ценных бумаг в зависимости от инвестиционной политики предприятия: ценные бумаги для перепродажи учитываются как краткосрочные, а ценные бумаги, приобретенные для владения и получения дохода в форме дивидендов и процентов, — как долгосрочные.
РАСХОДЫ БУДУЩИХ ПЕРИОДОВ
На активном балансовом счете ¹ 31 “Расходы будущих периодов” отражаются расходы, которые фактически произведены предприятием в текущем периоде, но по своей экономической сущности относятся к будущим периодам. Например, расходы по подписке на газеты и журналы: денежные средства тратятся в текущем периоде, а пользоваться газетами и журналами предприятие будет в будущих периодах.
Что касается операций с ценными бумагами, то с этой точки зрения важно, что на б/счете ¹ 31 отражаются отрицательные курсовые разницы (дисконты) при размещении эмитентами собственных долговых ценных бумаг ниже номинальной стоимости. Дисконты при размещении долговых бумаг представляют собой убытки эмитента, так как он привлек взаймы денежных средств меньше, чем ему придется возвращать при погашении бумаг (по номиналу). Возникнут эти убытки при погашении долговых бумаг, поэтому указанные дисконты относятся на расходы будущих периодов и переносятся в состав убытков постепенно в течение всего периода обращения долговых бумаг.
РАСЧЕТЫ С УЧРЕДИТЕЛЯМИ
Активно-пассивный б/счет ¹ 75 “Расчеты с учредителями” включает в себя 2 субсчета:
1) 75/1— активный субсчет “Неоплаченная часть уставного капитала”, где отражается задолженность учредителей по оплате их долей в уставном капитале предприятия; этот субсчет отражается в активе баланса;
2) 75/2 — пассивный субсчет “Расчеты по дивидендам”, где отражаются начисленные, но еще не выплаченные акционерам дивиденды; этот субсчет отражается в пассиве баланса.
Наличие статьи “Расчеты с учредителями” в активе баланса предприятия означает, что уставный капитал оплачен не полностью, а следовательно, предприятие не имеет права объявлять следующие эмиссии акций и облигаций, не имеет права выплачивать дивиденды по размещенным акциям до полной оплаты уставного капитала.
УСТАВНЫЙ КАПИТАЛ
Учет уставного капитала предприятия осуществляется на пассивном б/счете ¹ 85 “Уставный капитал”. На этом счете могут открываться субсчета по видам выпускаемых акций: “обыкновенные акции” и “привилегированные акции”. Если обществом выпущено несколько видов привилегированных акций, то по каждому выпуску также можно открывать отдельные субсчета.
Особенностью учета уставного капитала у обычных обществ является тот момент, что уставный капитал в балансе отражается в своей объявленной величине, зафиксированной в учредительных документах общества. Исключение составляют только коммерческие банки и акционерные инвестиционные фонды, у которых уставный капитал отражается в фактически оплаченной величине.
ДОБАВОЧНЫЙ КАПИТАЛ
На пассивном б/счете ¹ 87 “Добавочный капитал” помимо результатов переоценки основных средств производственного назначения (субсчет “Прирост стоимости имущества по переоценке”) отражаются также:
эмиссионный доход — превышение цены размещения акции над их номинальной стоимостью (субсчет “Эмиссионный доход”);
ценности, переданные другими лицами на безвозвратной и бесплатной основе (субсчет “Безвозмездно полученные ценности”).
Весь добавочный капитал, кроме безвозмездно полученных ценностей, не является объектом налогообложения налогом на прибыль. При этом добавочный капитал не может использоваться на иные цели, нежели на увеличение уставного капитала предприятия (на капитализацию).
РЕЗЕРВНЫЙ КАПИТАЛ
Резервный капитал отражается на пассивном б/счете ¹ 86 “Резервный капитал” и формируется преимущественно за счет отчислений от прибыли предприятия. Резервный капитал также может быть сформирован за счет целевых взносов учредителей и за счет перераспределения средств других фондов, сформированных за счет прибыли.
Резервный капитал может быть использован на цели покрытия убытков от деятельности предприятия, а также на цели погашения обязательств предприятия перед владельцами выпущенных им долговых ценных бумаг при отсутствии или недостатке прибыли. Не допускается использование резервного капитала для выплаты дивидендов, в том числе и по привилегированным акциям (эти дивиденды при отсутствии прибыли могут выплачиваться только из специально созданного на эти цели фонда).
ДОХОДЫ БУДУЩИХ ПЕРИОДОВ
На пассивном балансовом счете ¹ 83 “Доходы будущих периодов” отражаются доходы, которые фактически произведены предприятием в текущем периоде, но по своей экономической сущности относятся к будущим периодам. В частности, на б/счете ¹ 83 отражаются положительные курсовые разницы (ажио) при размещении эмитентами собственных долговых ценных бумаг выше номинальной стоимости. Ажио при размещении долговых бумаг представляют собой доходы эмитента, так как он привлек взаймы денежных средств больше, чем ему придется возвращать при погашении бумаг (по номиналу). Окончательно эти доходы выявятся при погашении долговых бумаг, поэтому указанные суммы ажио относятся в состав доходов будущих периодов и переносятся на прибыль постепенно в течение всего периода обращения долговых бумаг.
ВОПРОСЫ ДЛЯ САМОПРОВЕРКИ
1. По какой стоимости отражаются в бухгалтерском балансе основные средства?
2. Предусмотрена ли действующим законодательством переоценка нематериальных активов?
3. По какой стоимости отражаются в бухгалтерском балансе вложения в ценные бумаги?
ГЛАВА 18. ОСНОВЫ ФИНАНСОВЫХ ВЫЧИСЛЕНИЙ
18.1 ДВА СПОСОБА РАСЧЕТА ПРОЦЕНТНЫХ ВЫПЛАТ (ПРОСТОЙ ПРОЦЕНТ, СЛОЖНЫЙ ПРОЦЕНТ)
Давая деньги в долг, кредитор упускает возможность использовать их до момента возврата. Заемщик должен выплатить компенсацию за ожидание кредитора. Компенсация обычно выражается в форме процента. .
Процентом называют доход в денежной форме, выплачиваемый кредитору за пользование его деньгами. Процент начисляется на основную сумму вклада (займа) по определенной процентной ставке с определенной периодичностью, например ежегодно.
Пример 1
Рассмотрим вложение 1000 рублей на счет в банке сроком 3 года при ставке 10°о годовых.
Если по прошествии каждого года владелец снимает выплачиваемый доход по вкладу 10°î, результаты инвестирования будут таковы:
| Основная сумма вклада | Доход за год при процентной ставке 10% годовых | На конец года на счете | Снято со счета по прошествии года | Остаток на счете |
| 1 год 1000 | 1000/100х10=100 | 1100 | 100 | 1000 |
| 2 год 1000 | 1000/100х10= 100 | 1100 | 100 | 1000 |
| 3 год 1000 | 1000/100õ10=100 | 1100 | 100 | 1000 |
За 3 года инвестор получил 100 рублей по окончании первого года, 100 рублей по окончании второго года и 100 рублей по окончании третьего года, что совпало с окончанием срока вклада. В результате инвестирования в течение 3 лет получено 300 рублей сверх основной суммы вклада 1000 рублей. Всего 1300 рублей.
Таким образом, простой процент начисляется исходя из ставки процента и исходной суммы вне зависимости от накопленного дохода. Такая схема соответствует случаю, когда доход от вклада периодически выплачивается заемщиком и тут же изымается кредитором.
Таким образом, если сравнивать условия без инвестирования процента (простой процент) и с учетом инвестирования процента (сложный процент), то результаты инвестирования по второй схеме превосходят результаты инвестирования по первой схеме на 31 рубль. Это произошло по причине реинвестирования процента.
Сложный процент начисляется исходя из ставки процента и суммы, накопленной на счете к началу очередного периода с учетом накопленного дохода. Такая схема соответствует случаю, когда доход от вклада периодически выплачивается заемщиком, но не изымается кредитором, а остается у заемщика, увеличивая сумму займа.
Естественно, эта схема подвергает кредитора большему риску, соответственно он получает и большее вознаграждение.
ВОПРОСЫ ДЛЯ САМОПРОВЕРКИ
1. Что такое процент?
2. Какая схема начисления соответствует случаю, когда доход от вклада периодически выплачивается заемщиком и тут же изымается кредитором?
18.2 ИЗМЕНЕНИЕ СТОИМОСТИ ДЕНЕГ ВО ВРЕМЕНИ
При размещении свободных средств в разные ценные бумаги инвестор стремится получить максимальную выгоду. Исходя из предположения абсолютной надежности всех способов инвестирования для того, чтобы оптимальным образом выбрать способ инвестирования, необходимо сравнить полученные доходы. Однако доходы могут поступать в разное время, таким образом, разные способы инвестирования приводят к разным графикам получения денег.
Естественным способом сравнивать денежные поступления в разные сроки является приведение их к одному и тому же моменту времени. Как правило, в качестве такого момента выбирают или момент начала инвестиций, или некоторый фиксированный момент в будущем. Соответственно приведение денежных потоков к начальному моменту называется дисконтированием, а к моменту в будущем — наращением.
В Примере 2 общая сумма денежных средств на счете по окончании третьего года (1331) называется будущей стоимостью 1000 рублей,
• инвестированных на 3 года;
• по ставке 10%, начисляемых ежегодно;
• при условии реинвестирования процента.
Изначальная стоимость инвестиции 1000 рублей называется текущей стоимостью 1331 рубля,
• которые будут выплачены (или получены) через 3 года;
• исходя из ставки 10% , начисляемых ежегодно;
• при условии реинвестирования.
Расчет, как мы помним, производился следующим образом:
1000х (1 + 0,10) х (I+ 0,10)x (I + 0,10) = 1000x (1,10) 3
При начислении сложного процента мы находим будущую стоимость путем умножения текущей стоимости на (1+ ставка процента в периоде начисления в долях единицы) столько раз, сколько начислялся процент.
Теперь мы можем вывести формулу для расчета будущей стоимости денег, инвестированных на определенный срок под определенный процент с условием реинвестирования процента.
Формула имеет следующий вид:
fv =PV х (1+ г)", (3)
где
FV — будущая стоимость,
PV — текущая стоимость (первоначальная стоимость на момент
инвестирования = основная сумма вклада при первоначальном инвестировании),
r — ставка процента в периоде начисления в долях единицы, п — число периодов начисления.
Выражение (1 + r)" называется коэффициентом наращения.
наращения Расчет будущей стоимости при использовании формулы сложного процента называется наращением.
Расчет будущей стоимости в Примере 1, как мы помним, производился следующим образом:
1000 + 1000 х 0,1 +1000 õ 0,1+1000 õ 0,1 = 1000 õ (1+0,1 õ 3)
При начислении простого процента мы находим будущую стоимость путем умножения текущей стоимости на (1 + ставка процента в периоде начисления в долях единицы, умноженная на количество периодов начисления).
fv = PV х (1+ nr), (4)
где FV — будущая стоимость,
PV — текущая стоимость (первоначальная стоимость на момент
инвестирования = основная сумма вклада при первоначальном инвестировании),
r — ставка процента в периоде начисления в долях единицы, n — число периодов начисления.
В случае одного периода (n = 1) формулы (3) и (4) совпадают, т. к. в случае одного временного интервала реинвестирования не происходит и условия заимствования фактически совпадают.
Дисконтирование — это расчет, обратный наращению. При дисконтировании мы узнаем, сколько сейчас (в момент расчета) стоит известная в будущем стоимость денег. Этот пересчет к настоящему моменту позволит сравнивать разные суммы в разные времена.
Таким образом, при дисконтировании мы находим текущую стоимость путем деления известной будущей стоимости на (1 + ставка процента) столько раз, на сколько раз начисляется процент.
Очевидно, он равен величине, обратной величине коэффициента наращения.

1/(1+r)n
ВОПРОСЫ ДЛЯ САМОПРОВЕРКИ
1. Как называется расчет, результатом которого является приведение денежных потоков к начальному моменту времени?
2. Как называется коэффициент, обратный коэффициенту дисконтирования?
18.3 РАСЧЕТ ГОДОВЫХ СТАВОК ПРОЦЕНТА
Очевидно, что при одинаковых условиях (одинаковый срок, простой или сложный процент) выгоднее та инвестиция, у которой выше процентная ставка. Однако зачастую сроки инвестиций и периоды выплат по ним не совпадают. В этом случае для того, чтобы сравнивать инвестиции, необходимо рассчитывать их процентные ставки, приведенные к одному и тому же временному периоду. Как правило, в качестве такого периода выбирается год.
Пример 3 Сравнить, какой из банковских вкладов выгоднее:
а) вложение 1000 рублей в банк на месяц под 3% в месяц;
б) вложение 500 рублей в банк на 6 месяцев под 12% за полгода.
Можно вычислить, каков доход в процентном выражении за месяц во втором случае, и сравнить с уже данным показателем в первом случае. Однако традиционно в качестве такого периода берется один год.
При этом говорят, что ставка составляет Х процентов годовых.
Вычисление ставки в годовом исчислении можно производить по формуле простого или сложного процента.
Пример 4
По банковскому вкладу ежеквартально начисляют 2% от первоначальной суммы вклада. Найти годовую ставку процента.
Процентную ставку в периоде начисления умножают на число периодов в году:
Годовая ставка процента =ГхП=2% х4 квартала = 8% годовых
Пример 5 Вклад в банке дает 1°о за 14 дней. Найти годовую ставку процента.
Годовая ставка процента

В общем случае она вычисляется из формулы (4) простого процента:

Если мы используем формулу сложного процента, то на единицу вложений годовая процентная ставка составит
(1 + процентная ставка в периоде начисления в долях единицы), возведенная в степень, равную числу периодов начисления, минус единица:
(1 +r)n - 1.
Пример 6
По банковскому вкладу ежеквартально начисляют доход 2°о от первоначальной суммы вклада. Найти ставку процента (в годовых) с учетом реинвестирования полученного дохода.
(1 + 0,02)^ -I = 1,082432 -I = 0,0824.
Сравнивая результат примеров 1 и 3, можно сделать вывод,. что при прочих равных условиях инвестирования годовая процентная ставка с учетом реинвестирования выше.
В общем случае вычисляется из формулы (3):

С учетом необходимости приведения процентных ставок к одному временному периоду их общие формулы расчета видоизменяются в зависимости от того, в каких единицах (днях, месяцах, кварталах) выражен период инвестирования.
Например, если инвестиция имеет срок, выраженный в днях, то число периодов п =- 365/х, где х — число дней, то по формуле (6) процентная ставка равна:

По формуле (7) процентная ставка равна:

Будучи рассчитана на основе одного временного периода (т. е. п = 1), формула приобретает совсем простой вид:
![]()
ВОПРОСЫ ДЛЯ САМОПРОВЕРКИ
1. Как вычисляется годовая процентная ставка с использованием сложного процента?
2. Как вычисляется годовая процентная ставка с использованием простого процента?
18.4 ПОНЯТИЕ О ДИСКОНТИРОВАНИИ ДЕНЕЖНЫХ ПОТОКОВ
Под денежными потоками (для целей настоящей главы) мы понимаем доходы (выплаты), получаемые в разное время инвестором от инвестиций в денежной форме.
Техника дисконтирования, выражающаяся в приведении будущей стоимости инвестиций к их текущей стоимости, позволяет сравнивать различные виды инвестиций, сделанные в разное время на разных условиях.
Для того чтобы привести будущую стоимость инвестиции к ее текущей стоимости, необходимо умножить на коэффициент дисконтирования (дисконтировать) все денежные доходы, связанные с инвестицией, и суммировать полученные величины.
Коэффициент дисконтирования (1 + r)-1 определяется с учетом доходности по альтернативному вложению.
Пример 7
Необходимо принять решение о том, имеет ли смысл покупать облигацию номиналом 10 000 руб. по цене 9 500 руб. с выплатой ежегодного купонного 8-процентного дохода и сроком погашения через 3 года, если ставка процента в банке по вкладу сроком на 3 года составляет 10% годовых.
| Будущая стоимость выплат | Дисконтирование по ставке доходности альтернативного вложения (10%) | Настоящая стоимость денежных выплат | |
| Год 1 Год 2 ГодЗ ГодЗ | Купонный доход 800 руб. Купонный доход 800 руб. Купонный доход 800 руб. Погашение облигаций по номиналу 10 000 руб. | 800/1,10 800/1,102 800/1,103 10 000/1,103 | 727 руб. 661 руб. 601 руб. 7 513 руб. |
| Итого те кущая стоимость 9 502 руб. | |||
Из вычислений, приведенных выше, видно, что при данных условиях приобретение облигации выгоднее, чем вложение денег в банк, так как ее текущая стоимость выше, чем рыночная цена облигации (9 500 руб.)
ВОПРОСЫ ДЛЯ САМОПРОВЕРКИ
1. Что такое денежные потоки?
2. Для чего используется дисконтирование денежных потоков?
18.5 ВНУТРЕННЯЯ СТАВКА ДОХОДНОСТИ
Иногда требуется решить обратную задачу: при какой процентной ставке по данному вложению текущая стоимость вложения будет равна ее рыночной стоимости? Для ответа на этот вопрос нужно решить уравнение (8) относительно г. Такое значение r называется внутренней (ибо не зависит от внешних условий) ставкой доходности. Считается, что инвестиция тем выгоднее, чем выше ее внутренняя ставка доходности.
Пример 8
Облигация сроком 1 год погашается по номиналу, выплачивается ежегодный купонный доход 8% номинала. Рыночная цена облигации — 98,18 номинала. Найти внутреннюю ставку доходности.
Пусть номинал — 100, тогда

С = 100 х 0,08 = 8, FV = 100, PV=98,18,
ar предстоит найти. Подставляя полученные значения в формулу, получаем:

Отсюда:
1 + r = 108/98,18- 1,10,
и наконец, внутренняя ставка доходности равна: r - 0,1 = 10%.
Пример 9
Найти внутреннюю ставку доходности для вложения 9 500 руб. на банковский вклад сроком на 3 года с выплатой 10% годовых без реинвестирования процентного дохода.

Если мы найдем внутреннюю ставку доходности для облигации по условиям Примера 7, то, решив уравнение

мы можем убедиться, что внутренняя норма прибыли для вложений в облигацию чуть выше, значит, они выгоднее, что соответствует выводам, сделанным ранее.
ВОПРОСЫ ДЛЯ САМОПРОВЕРКИ
1. Что такое внутренняя ставка доходности?
2. Если внутренняя ставка доходности облигации составляет 12%, а процент по банковскому вкладу — 10%, какая из двух указанных инвестиций, на ваш взгляд, выгоднее?
18.6 АННУИТЕТЫ
Аннуитет (иначе — рента) — регулярные ежегодно поступающие платежи.
Дисконтирование аннуитета используется для оценки сегодняшней текущей стоимости инвестиции, доход на которую будет одинаковым в течение долгого времени и должен выплачиваться с определенной (годовой) периодичностью.
В этом случае у нас имеется аннуитет 30 000 руб. в год в течение трех лет.
Применяя к таким выплатам обычную технику дисконтирования, потоков платежей при процентной ставке, равной 10°о, получаем (предполагается, что выплаты происходят в конце каждого года):
| Год | Платежи | Коэффициент дисконтирования | Настоящая стоимость |
| 1 | 30 000 руб. | 1/(1+ 0,1) = 0,9091 | 27 273 руб. |
| 2 | 30 000 руб. | 1/0+0,1)2 = 0,8264 | 24 792 руб. |
| 3 | 30 000 руб. | l/(l+0,l)3 = 0,7513 | 22 539 руб. |
| Текущая стоимость 74 604 руб. | |||
Текущая стоимость потока платежей 74 604 руб.
Из вычислений видно, что мы каждый раз умножали коэффициент дисконтирования на одну и ту же величину — 30000.
Получим:

ОСНОВЫ ФИНАНСОВЫХ ВЫЧИСЛЕНИЙ
| Год | Платежи | Коэффициент дисконтирования | Текущая стоимость |
| 1 -3 | 30000 в год | 2.4868 | 74,604 |
Текущая стоимость 74,604
Для экономии времени коэффициент дисконтирования аннуитета может быть вычислен по формуле суммы геометрической прогрессии со знаменателем I/O + г):

где
r — процентная ставка за период (см. условия примера), п — число периодов.
Используя эту формулу, можно рассчитать 3-летний коэффициент аннуитета при процентной ставке 10%:

ВОПРОСЫ ДЛЯ САМОПРОВЕРКИ
1. Что такое рента (аннуитет)?
2. Для чего используется дисконтирование аннуитета?
3. Каким образом при вычислении коэффициента дисконтирования аннуитета можно использовать формулу суммы геометрической прогрессии?
18.7 РАСЧЕТ ТЕКУЩЕЙ СТОИМОСТИ ДЛЯ ПОТОКОВ ПЛАТЕЖЕЙ, НАЧИНАЮЩИХСЯ В МОМЕНТ ВРЕМЕНИ, НА КОТОРЫЙ РАССЧИТЫВАЕТСЯ ТЕКУЩАЯСТОИМОСТЬ ИНВЕСТИЦИИ
В обычных случаях мы полагали, что первая выплата отстоит от времени, на которое рассчитывается текущая стоимость, на 1 временной период, например, произойдет через год или месяц. Возможны, однако, ситуации, когда первый платеж приходит в тот момент, на который рассчитывается текущая стоимость инвестиций.
Пример II, облигация, приобретенная за 1000 рублей, приносит купонный доход 8% ежегодно, первая купонная выплата производится в момент сразу после приобретения. Срок до погашения 3 года. Найти текущую стоимость на момент приобретения облигации.
| Год | Платежи | Коэффициент дисконтирования | Текущая стоимость |
| 0 | 80 | 1 | 80 |
| 1 | 80 | 1/1,08 | 74,07 |
| 2 Общая | 1080 текущая стоимс | 1/1,082 )сть | 925,93 1000 |
Общая формула для расчета текущей стоимости денежных потоков при условии получения первого платежа в момент, на который рассчитывается настоящая стоимость, принимает вид:

где
cq — первый платеж, не дисконтированный, поскольку он получен в момент времени, на который рассчитывается текущая стоимость. Его будущая стоимость равна текущей стоимости. (Математическое объяснение таково: для платежей, приходящих во время 0:

т. е. коэффициент дисконтирования равен 1.
ВОПРОСЫ ДЛЯ САМОПРОВЕРКИ
1. Что выражает процентная ставка, используемая при расчете текущей стоимости аннуитета?
2. Чему равен коэффициент дисконтирования для платежа, полученного в момент расчета текущей стоимости аннуитета?
В подготовке учебного пособия принимали непосредственное участие, а также были использованы материалы, разработанные следующими авторами:
Глава 1. Б. Берд. Глава 2. Марченко А. Глава 3. Б. Берд, Радыгин А, Кокошкин К., Чекашкин Ю.
Глава 4. Б. Берд, Радыгин А., специалисты группы мониторинга
Price Waterhouse.
Глава 5.Б. Берд.
Глава 6. Радыгин А., Алексеева Е., Чураева М., специалисты группы мониторинга PriceWaterhouse.
Глава 7. Б. Берд. Глава 8. Марченко А.
Глава 9. Радыгин А., Олейник Л., Малова М., Глушецкий А. Глава 10. Радыгин А., Редькин И., Субботин Д. Глава II. Радыгин А., Марченко А. Глава 12. Кубасова Е., Теплухин П.
Глава 13. Радыгин А., Левенчук А., специалисты группы
мониторинга PriceWaterhouse.
Глава 14. Марченко А.
Глава 15. Радыгин А., Алексеева Е., Чураева М., специалисты группы мониторинга PriceWaterhouse.
Глава 16. Петренко Е. Глава 17. Петренко Е. Глава 18. Марченко А., Олейник Л., Алексеева Е.
Замечания и предложения по структуре и содержанию просим направлять по адресу: 121099 Москва, а/я 360.
Базовый курс по рынку ценных бумаг
[1] Выпуск и обращение этих облигаций регулируется постановлениями Правительства РФ от 15 марта 1993 года ¹ 222 “Об утверждении условий выпуска внутреннего государственного валютного облигационного займа” и от 4 марта 1996 года ¹ 229 “О выпуске облигаций внутреннего государственного валютного займа”.
[2] 4 марта 1996 года вышло постановление Правительства РФ ¹ 229 “О выпуске облигаций внутреннего валютного займа”.
[3] Определены постановлением Правительства РФ от 8.02.93 ¹ 107 “О выпуске государственных краткосрочных бескупонных облигаций” с изменениями, внесенными постановлением Правительства РФ от 17.07.94 ¹ 1105.
[4] Это решение было принято вследствие вступления в действие с 21 января 1997 г. Закона РФ “О внесении изменений и дополнений в Закон РФ “О налоге на прибыль предприятий и организаций” и принятия инструкции о порядке взимания налога.
[5] Исполнение или отмена
[6] Указ Президента РФ от 9.08.95 ¹ 836 “О Государственном сберегательном займе Российской Федерации”
[7] утвержден ы письмом Министерства финансов от 28.06.96 г. ¹ 60.
[8] Дело в том, что акционерное общество не может выпускать дополнительные акции (например, для привлечения инвестиций), если доля государственной или муниципальной собственности превышает 25%, без сохранения размера доли государственной/муниципальной собственности.
[9] Первой торговой системой, получившей лицензию ФКЦБ России, стала Российская торговая система. В листинг РТС на начало марта 1997 г. были включены обыкновенные акции 58 эмитентов и привилегированные акции 16 эмитентов, в РТС-2 соответственно 60 и 33 эмитента.
[10] Для многих иностранных инвесторов индикаторами возможности включения российских ценных бумаг в свои портфели стали прежде всего включение России в расчет рейтинга Международной финансовой корпорацией (IFC) развивающихся рынков, а также присвоение кредитного рейтинга России рейтинговыми агентствами S& P и Moody 's осенью 1996 года. Это обусловило приток “свежего” иностранного капитала на российский фондовый рынок.
[11] На начало марта 1997 г. ADR и GDR были выпущены на акции 14 российских компаний, еще 10 программ по выпуску ADR находится в процессе реализации.
[12] Пионером в этом направлении стал оператор сотовой связи АО “Вымпелком”, разместивший ADR 3-го уровня на Нью-Йоркской фондовой бирже в ноябре 1996 г. О программе выпуска еврооблигаций заявили такие акционерные общества, как“ Мосэнерго ”, “Ростелеком”, МГТС и “Роснефть” и другие.
[13] Общепринятый термин, означающий первоклассные ценные бумаги.
[14] По оценке SalomonBrothers, нефтедобывающие компании России в настоящее время недооценены в 2 раза (даже с учетом имеющихся неблагоприятных для отрасли налоговых, ценовых и др. параметров).
[15] По некоторым оценкам, приток только 10% средств с этого рынка на рынок корпоративных ценных бумаг может обеспечить 100-процентный рост капитализации последнего.
[16] Капитализация рынка привилегированных акций в феврале 1997 года оценивалась примерно в 4 млрд, долл. США.
[17] Согласно ст. 55 Закона для созыва внеочередного собрания акционеров достаточно инициативы совета директоров или требования владельцев не менее чем 10% голосующих акций, на котором, включая голоса владельцев привилегированных акций, может быть принято желаемое решение.
[18] О коллегии Федеральной комиссии см. также Положение о Федеральной ко миссии по рынку ценных бумаг, утвержденное Указом Президента РФ от 1 июля 1996 г. ¹ 1009
[19] Региональные комиссии по ценным бумагам и фондовому рынку создавались в соответствии с Указом Президента от 4 ноября 1994 г. ¹ 2064 и принятым на его основе Постановлением Правительства от 28 февраля 1995 г. ¹ 193. Институциональные и процедурные аспекты деятельности комиссий предусмотрены Примерным положением о региональной комиссии, утвержденным Постановлением ¹ 193 и являющимся основой для составления региональных Положений. По мере формирования и активизации деятельности региональных отделений сфера деятельность комиссий будет сужаться.
[20] Рынок, который “полностью” прозрачен, раскрывает следующую информацию в реальном времени о ценной бумаге: 1) точная информация о размере и цене торговой сделки: твердые котировки в типичных размерах и открытые (неисполненные) приказы-распоряжения клиента с заранее обозначенными ограничениями как по наилучшей цене покупки и продажи, так и за пределами таких котировок (так называемая прозрачность “до заключения торговой сделки” (“pre-trade” transparency); 2) цена и объем завершенных сделок на всех рынках, торгующих данной ценной бумагой.
[21] В большинстве случаев обязательное раскрытие информации о компании осуществляется путем требования публичного допуска к следующим документам и регулирования формы и метода использования этих документов: учредительные документы и другая регистрационная информация, проспект эмиссии или другие документы по эмиссии, заявки на листинг ценных бумаг на биржах или внебиржевых торговых рынках, обращения за доверенностями к акционерам в связи с годовыми собраниями акционеров, годовая и промежуточная финансовая отчетность, подготовленная в соответствии с рекомендуемыми стандартами бухгалтерской отчетности и проверенная независимыми аудиторами. В дополнение большинство крупнейших компаний добровольно раскрывают дополнительную информацию в форме общения с акционерами (годовой отчет и др.).
[22] См. Положение о генеральных лицензиях на осуществление лицензирования профессиональной деятельности на рынке ценных бумаг, утвержденное постановлением ФКЦБ РФ от 9 сентября 1996 г. ¹ 16
[23] * см. для банков и кредитных организаций — постановление Правительства РФ от 16.05.1994 ¹ 490 “Об особенностях определения налогооблагаемой базы для уплаты налога на прибыль банками и другими кредитными учреждениями”, для страховщиков — постановление Правительства РФ от 16.05.1994 ¹ 491 “Об особенностях определения налогооблагаемой базы для уплаты налога на прибыль страховщиками”, для инвестиционных фондов — Письмо Госкомимущества РФ от 25.05.1993 ¹ ДВ-2/3498, Минфина РФ от 21.05.1993 ¹ 62 “О порядке оценки чистых активов, особенностях состава затрат, формирования финансовых результатов и бухгалтерском учете в инвестиционных фондах”, для прочих организаций — постановление Правительства РФ от 5.08.1992 ¹ 552 (ред. от 11.03.1997) “Об утверждении положения о составе затрат по производству и реализации продукции (работ, услуг), включаемых в себестоимость продукции (работ, услуг), и о порядке формирования финансовых результатов, учитываемых при налогообложении прибыли”
Похожие рефераты:
Особенности гражданско-правового положения отдельных видов акционерных обществ
Процедура эмиссии ценных бумаг
Развитие рынка корпоративных ценных бумаг в России
Банковские операции на рынке ценных бумаг
Акционерное общество как субъект гражданского права
Паевые инвестиционные фонды как форма коллективного инвестирования
Акции и облигации как ценные бумаги
Законодательное регулирование деятельности акционерных обществ
Акционерное общество как правовой институт
Эмиссия ценных бумаг: понятие, цели, процедура
Выпуск ценных бумаг коммерческим банком
Оценка инвестиционного климата в России