| Похожие рефераты | Скачать .docx |
Курсовая работа: Привилегированные акции
Оглавление
Введение 2
1. Привилегированные акции и некоторые особенности их оценки_ 3
1.1. Особенности привилегированных акций и права их владельцев 3
1.2. Общий подход к оценке стоимости привилегированных акций_ 6
1.2.1. Прогнозирование денежных потоков 6
1.2.2. Определение ставки дисконтирования 7
2.3. Некоторые аспекты оценки привилегированных акций_ 9
2. Некоторые особенности определения рыночной стоимости привилегированных акций доходным подходом. 11
2.1. Доходный подход: оценка привилегированных акций_ 11
2.2. Прогнозирование будущих дивидендных выплат 12
2.3. Определение ставки дисконтирования 12
2.3.1. Модель CAPM_ 13
2.3.2.Модель Шелтона 14
2.3.3.Модель Блэка-Шоулза 15
2.3.4.Модель Норина - Вольфсона 16
2.4. Использование опционных моделей для оценки прав привилегированных акционеров 16
3. Экономический анализ привилегированных акций российских предприятий 24
3.1. Об отличительных особенностях, определяющих рыночную стоимость привилегированных акций. 24
3.2. Обоснование предлагаемого подхода 25
3.3. Коротко о методах обработки. 25
3.4. Результаты обработки_ 25
3.5. Выводы_ 26
Заключение 29
Список литературы_ 31
Введение
Привилегированные акции - это акции, дающие преимущественное право их держателям на получение дивидендов и/или части активов акционерного общества при его ликвидации.
По привилегированным акциям размер дивиденда устанавливается акционерным обществом заранее еще при их выпуске. Это так называемый фиксированный дивиденд.
Привилегированные акции в России торгуются в среднем с дисконтом от 20% до 60% к обыкновенным, в то время как на западных рынках такая диспропорция отсутствует. Существенный дисконт российских привилегированных акций объясняется их невысокой ликвидностью вследствие низкой корпоративной культуры эмитентов, отсутствия единых стандартов расчета чистой прибыли (для определения дивидендов) и незащищенности прав их держателей. Однако в последнее время ситуация постепенно меняется и привилегированные акции приобретают все большую популярность среди инвесторов. Прежде всего, существенно повысились прозрачность и стандарты корпоративного управления российских эмитентов. Кроме того, вступила в силу новая редакция закона "Об акционерных обществах", в результате чего права держателей привилегированных акций получили надежную юридическую защиту. Теперь владельцам привилегированных акций обеспечено право отдельного голосования по всем вопросам, затрагивающим их интересы. Более того, для принятия таких решений необходимо одобрение 75% держателей привилегированных акций. Ранее голоса акционеров, владеющих привилегированными акциями, учитывались при принятии решений лишь весьма ограниченного числа вопросов, а вопрос конвертации привилегированных акций в обыкновенные владельцы последних могли решать без участия держателей привилегированных.
В ближайшее время ожидается принятие закона Госдумой, в соответствии с которым будет введено стандартизированное понятие чистой прибыли, что прибавит дополнительную ценность привилегированным акциям. Наиболее примечательным примером нетрадиционного расчета чистой прибыли является Сургутнефтегаз, собственная методика которого заключается в вычитании из чистой прибыли капитальных затрат, в результате чего размер дивидендов, соответственно, уменьшается. Принятие данного закона заставит менеджмент Сургутнефтегаза пересмотреть размер дивидендов по своим привилегированным акциям в сторону повышения.
Привлекательность вложений в привилегированные акции также возрастает в случае ожидаемой реструктуризации конкретной отрасли или компании. Здесь большие ожидания связаны с конвертацией привилегированных акций энергокомпаний в обыкновенные в пропорции 1:1.
В целом повышенный интерес с начала года к привилегированным акциям объясняется в том числе сезонным фактором, а именно приближением сроков закрытия реестров акционеров (обычно весной). Так, повышенные ожидания относительно финансовых результатов Сбербанка отражаются в опережающей динамике привилегированных акций данной компании.
На наш взгляд, вложения в привилегированные акции российских компаний более чем оправданы.
Из всего выше сказанного мы можем сделать вывод о том, что данная тема на сегодняшний является очень актуальной.
Целью исследования является изучение привилегированных акций на российском рынке.
Объектом исследования являются российские предприятия выпускающие привилегированные акции.
Предметом исследования являются привилегированные акции.
1. Привилегированные акции и некоторые особенности их оценки
1.1. Особенности привилегированных акций и права их владельцев
В соответствии с пунктом 2 статьи 25 Федерального закона "Об акционерных обществах" общество вправе размешать один или несколько типов привилегированных акций или вовсе не размещать привилегированные акции. Закон требует, чтобы номинальная стоимость размещенных привилегированных акций составляла не более 25% уставного капитала общества. По мнению судьи Высшего Арбитражного суда Российской Федерации Г.С. Шапкиной, это ограничение направлено на то, чтобы обеспечить возможность более активного большинства акционеров в управлении обществом (общем собрании акционеров с правом голоса), с одной стороны, и не создавать для общества слишком значительного бремени по выплате гарантированных дивидендов, - с другой[[1] ].
Привилегированные акции одного типа должны иметь одинаковую номинальную стоимость и предоставлять их владельцам одинаковый объем прав.
Привилегированные акции обеспечивают, как правило, их владельцам гарантированный доход на вложенный капитал (в виде фиксированных дивидендов) либо получение заранее определенной доли в имуществе общества в случае его ликвидации (ликвидационной стоимости), но ограничивают возможность владельцев этих акций на участие в управлении обществом. Они не предоставляют им право голоса на общем собрании акционеров, кроме случаев, когда иное не предусмотрено Федеральным законом "Об акционерных обществах" или уставом общества.
Закон устанавливает, что уставом общества должны быть обязательно определены размер дивиденда и (или) стоимость, выплачиваемая при ликвидации общества (ликвидационная стоимость). Таким образом, уставом общества может быть определены:[[2] ]
· только размер дивиденда;
· только ликвидационная стоимость;
· или размер дивиденда и ликвидационная стоимость одновременно.
Владельцы привилегированных акций, размер дивидендов по которым не определен, вправе претендовать на их получение наравне с владельцами обыкновенных акций. Иными словами, общество объявляет дивиденд по таким акциям только после и при условии принятия решения о выплате в полном размере дивидендов по всем типам привилегированных акций, размер дивиденда по которым определен в уставе, а также в том же размере, что и владельцам обыкновенных акций (п. 2 ст. 32 и п. 2 ст. 43).
Если уставом общества предусмотрены два и более типа привилегированных акций, по каждому из которых определен размер дивиденда, уставом общества должна быть установлена очередность выплаты дивидендов по каждому из них, а если уставом общества предусмотрены привилегированные акции двух и более типов, по каждому из которых определена ликвидационная стоимость, - очередность выплаты ликвидационной стоимости по каждому из них.
Общество, имеющее право на принятие решения о выплате (объявление) дивидендов, не вправе принимать решение (объявлять) о выплате дивидендов по привилегированным акциям определенного типа, по которым размер дивиденда определен в уставе, если не принято решение о полной выплате дивидендов по всем типам привилегированных акций, предоставляющим преимущество в очередности получения дивидендов перед привилегированными акциями этого типа.
Привилегированные акции не предоставляют их владельцам права голоса на общем собрании акционеров, если иное не установлено Федеральным законом "Об акционерных обществах", котором содержатся и некоторые исключения из этого правила.
Наделяя владельцев привилегированных акций правом участвовать и голосовать на общем собрании, закон преследует цель обеспечения возможности защиты ими своих интересов при решении вопроса об их правах, о судьбе общества, а также при решении всех вопросов компетенции общего собрания акционеров общества, не выплачивающего по каким-либо причинам определенных в уставе дивидендов. Право голоса владельцев привилегированных акций может стать серьезной силой в управлении обществом в зависимости от соотношения количества размещенных обыкновенных и привилегированных акций, ограничений, установленных уставом на количество голосов, принадлежащих одному акционеру и прочих обстоятельств.[[3]
]
Право голоса на общем собрании акционеров принадлежит всем владельцам привилегированных акций при решении вопросов о реорганизации и ликвидации общества. Такое право принадлежит владельцам привилегированных акций определенного типа и при решении вопроса о внесении изменений в устав общества, ограничивающих права владельцев привилегированных акций этого типа.
Закон не устанавливает исчерпывающего перечня изменений, ограничивающих права владельцев привилегированных акций. Но к числу таких изменений могут относится:
· уменьшения размера дивиденда и (или) размера ликвидационной стоимости по привилегированным акциям, или исключение из устава положений о размере выплачиваемых по ним дивидендов или ликвидационной стоимости;
· определение или увеличение размера дивиденда и (или) определение или увеличение ликвидационной стоимости, выплачиваемых по привилегированным акциям предыдущей очереди;
· предоставление владельцам иного типа привилегированных акций преимуществ в очередности выплаты дивидендов и (или) ликвидационной стоимости;
· наделение привилегированных акций правом конвертации, в случае если реализация такого права осуществляется по наступлению срока, определенного календарной датой, или истечением периода времени[[4] ].
Закон устанавливает, что владельцы привилегированных акций, размер дивидендов по которым определен в уставе, не вправе претендовать на управление обществом до тех пор, пока оно в состоянии выплачивать им дивиденды в полном размере и делает это. В противном случае они приобретают право на участие в общем собрании акционеров наравне с владельцами обыкновенных акций общества. Иными словами, право голоса по привилегированным акциям является одновременно одним из предусмотренных законом способов защиты иных прав, предоставляемых владельцам привилегированных акций. Такое право возникает, начиная с собрания, следующего за годовым общим собранием, и прекращается с момента первой выплаты по таким акциям дивидендов в полном размере. Исключением из этого правила являются кумулятивные привилегированные акции общества. Их владельцы приобретают право на участие в общем собрании с правом голоса по всем вопросам его компетенции, начиная с собрания, следующего за собранием, на котором должно было быть принято решение о выплате в полном размере накопленных дивидендов по ним, и теряют его с момента выплаты всех накопленных по ним дивидендов в полном размере.[[5] ]
Помимо случаев обязательного предоставления права голоса акционерам — владельцам привилегированных акций на общем собрании в законе установлено право общества предоставить это право по привилегированным акциям определенного типа, если уставом предусмотрена возможность конвертации акций этого типа в обыкновенные акции (п. 5 ст. 32). Если такая возможность не предусмотрена, то общество не вправе предоставлять по таким акциям право голоса. Этот случай является также и единственным случаем существования многоголосых акций. В уставе может быть предусмотрено предоставление нескольких голосов владельцу привилегированной акции, конвертируемой в обыкновенные, но оно не должно превышать количества голосов по обыкновенным акциям, в которые может быть конвертирована данная акция.
В законе установлено право общества размещать кумулятивные (от лат. cumulatio — скопление, увеличение) привилегированные акции. Кумулятивными акциями являются привилегированные акции, размер дивиденда по которым определен в уставе и дивиденд по которому, в случае его невыплаты или неполной выплаты, накапливается и выплачивается впоследствии не позднее срока, определенного уставом общества.[[6] ]
Различие в правах на дивиденды между владельцами кумулятивных и остальных привилегированных акций заключается в том, что если по каким-либо причинам годовое общее собрание акционеров не объявляет или объявляет дивиденды в размере, меньшем по сравнению с определенным в уставе по привилегированным акциям, которые не являются кумулятивными, то их владельцы не могут рассчитывать на получение когда-либо невыплаченных или недостающей части выплаченных в неполном размере дивидендов. Владельцы таких акций, однако, приобретают право голоса по всем вопросам компетенции общего собрания, начиная с собрания, следующего за данным годовым собранием. В отличие от них владельцы кумулятивных привилегированных акций могут рассчитывать на получение невыплаченного и поэтому приобретают такое право, если по истечении указанного в уставе срока кумуляции общим собранием не будет принято решение о выплате накопленных дивидендов в полном размере.
В уставе акционерного общества могут быть определены также возможность и условия конвертации привилегированных акций определенного типа в обыкновенные акции или привилегированные акции иных типов. При этом порядок конвертации в акции привилегированных акций общества должен быть установлен в решении о размещении таких привилегированных акций.[[7] ]
В случае ликвидации общества выплата ликвидационной стоимости по привилегированным акциям, размер по которым определен в уставе, из имущества, оставшегося после завершения расчетов с кредиторами, осуществляется после выплат по акциям, которые должны быть выкуплены в соответствии со статьей 75 Федерального закона "Об акционерных обществах".
Выплата обществом определенной уставом общества ликвидационной стоимости по привилегированным акциям определенного типа осуществляется после полной выплаты определенной уставом общества ликвидационной стоимости по привилегированным акциям предыдущей очереди.
Если имеющегося у общества имущества недостаточно для выплаты определенной уставом общества ликвидационной стоимости всем акционерам - владельцам привилегированных акций одного типа, то имущество распределяется между акционерами - владельцами этого типа привилегированных акций пропорционально количеству принадлежащих им акций этого типа.
Владельцы привилегированных акций, размер ликвидационной стоимости по которым не определен, имеют право на получение части имущества, оставшегося после завершения расчетов с кредиторами, в случае ликвидации общества наравне с владельцами обыкновенных акций.[[8] ]
Все вышеперечисленные особенности тем или иным образом учитываются при оценке стоимости привилегированных акций.
1.2. Общий подход к оценке стоимости привилегированных акций
Одним из наиболее общих и распространенных подходов к оценке стоимости ценных бумаг является метод дисконтирования ожидаемых денежных потоков. Мы намерены остановиться на некоторых его особенностях и специфике, возникающих при оценке привилегированных акций.
Как известно, в общем случае стоимость акций равна текущей стоимости будущих дивидендных выплат (т.е. продисконтированных по соответствующей ставке). Соответственно задача определения стоимости интересующих нас ценных бумаг разбивается на два этапа:[9]
· первый - прогнозирование будущих дивидендных выплат по привилегированным акциям;
· второй - определение ставки дисконтирования.
1.2.1. Прогнозирование денежных потоков
Принципы формирования прогноза денежных потоков достаточно хорошо известны и описаны в литературе по оценке бизнеса, поэтому детально останавливаться на них мы не будем, ограничившись лишь выделением основных этапов и существенных моментов. (Заметим лишь, что в конечном итоге из всех денежных потоков, генерируемых акционерным обществом и распределяемых впоследствии между всеми категориями инвесторов, нас интересуют выплаты акционерам - владельцам привилегированных акций.)
Основой прогноза является анализ результатов прошлой деятельности: выявление тенденций в динамике объемов сбыта и цен, доходов и затрат в структуре капитала компании, в ее инвестиционной политике; выявление разовых, нетипичных доходов и расходов (нормализация отчетности) и т.д. Отметим, что на этой стадии важно изучить положения Устава, определяющие размер дивидендов и порядок их выплаты по привилегированным акциям, права держателей привилегированных акций, а также проанализировать тенденцию изменения нормы дивидендных выплат по привилегированным акциям в прошлые годы.[10]
Далее на основе прогноза финансовых результатов компании формируем ожидаемые денежные потоки владельцев привилегированных акций. Для этого стоит рассмотреть несколько сценариев развития в зависимости от возможных изменений условий ведения деятельности компании и ее стратегии как на микро-, так и на макроуровне.
Денежные потоки прогнозного и постпрогнозного периодов дисконтируются и складываются.
Таким образом, мы получаем стоимость всех привилегированных акций, выпущенных эмитентом. Данный подход является вполне общим и достаточно очевидным для любого специалиста, имеющего опыт оценки ценных бумаг и бизнеса.
Значительно более интересным и сложным нам представляется вопрос выбора и обоснования ставки дисконтирования при определении стоимости привилегированных акций.
1.2.2. Определение ставки дисконтирования
Под ставкой дисконтирования при определении стоимости актива предполагают среднюю ставку всех альтернативных инвестиций со сравнимым уровнем риска.
Поскольку, как мы уже отмечали выше, по степени риска вложений привилегированные акции занимают промежуточное положение между обыкновенными акциями и долговыми обязательствами акционерного общества, то из общих соображений ясно, что ставка привлечения капитала за счет выпуска привилегированных акций должна быть меньше ставки привлечения акционерного капитала за счет выпуска обыкновенных акций, но превышать уровень доходности выпущенных обществом облигаций (или ставку привлечения долгосрочного кредита).
Часто (как правило, при определении средневзвешенной ставки по модели WACC для оценки бизнеса методом дисконтирования денежных потоков для всего инвестированного капитала) в литературе можно встретить рекомендации: в качестве затрат на привлечение капитала за счет выпуска привилегированных акций использовать норму их дивидендной доходности.
Однако такой подход, особенно в российских условиях, нам не представляется вполне корректным: данный подход возможен только в случае оценки давно и устойчиво функционирующего предприятия, занявшего определенную <нишу> на традиционном и развитом рынке в условиях стабильной экономики. Примером могут служить энергоснабжающие компании (Utilities) в США или Англии, прибыли которых отличаются высокой предсказуемостью и их большая часть выплачивается в виде дивидендов акционерам. Но в тех случаях, когда компания находится на стадии роста, расширяет рынки сбыта, осуществляет инвестиции с целью дальнейшего развития или функционирует в нестабильных экономических условиях, то данный способ приводит к явному занижению ставки дисконтирования.[[11] ]
В качестве примера можно привести оценки уровня дивидендных выплат по привилегированным акциям крупнейших российских компаний (табл. 1), которые достаточно активно обращаются на организованном фондовом рынке - РТС (здесь и далее уровень ставок приводим для долларовых инвестиций).
Таблица 1
| Эмитент |
1999 г. |
2000 г. |
2001 г. |
| Сургутнефтегаз |
9,56 |
1 |
1,87 |
| Ростелеком |
4,91 |
3,85 |
0 |
| РАО "ЕЭС России" |
0,18 |
0,76 |
1,61 |
| ЛУКОЙЛ |
2,38 |
1,17 |
4,29 |
| "Норильский никель" |
0,01 |
0,03 |
0 |
Как видно из таблицы, норма дивидендных выплат российских эмитентов крайне невелика и значительно меньше уровня ставок привлечения заемных средств (для примера: доходность российских еврооблигаций, выпущенных Минфином РФ, даже в период наивысшего инвестиционного рейтинга страны не опускалась ниже 10-11%; доходность корпоративных российских евробондов была, естественно, выше; в настоящее время минимальная ставка привлечения инвестиционных кредитов первоклассными российскими корпоративными заемщиками находится на уровне - 15% годовых). Так как риски владельцев привилегированных акций компании выше, чем ее заимодателей, то и уровень требуемой ими доходности должен быть больше.
Каким же образом оценить затраты на привлечение капитала за счет выпуска привилегированных акций? В этом случае вполне можно использовать ставшую уже классической модель оценки капитальных активов (САРМ).
Как правило, в литературе по оценке бизнеса САРМ рекомендуют для оценки стоимости привлечения акционерного капитала, подразумевая владельцев обыкновенных акций компании. Однако модель носит более общий характер, позволяя рассчитать ставку для любого финансового актива. Для корректного применения модели для оценки стоимости конкретного инструмента важно правильно выбрать коэффициент b, который определяется следующим образом:[[12] ]
b = ssm/s2m,
где ssm - ковариация доходности ценной бумаги с рыночной доходностью, sm- среднеквадратичное отклонение рыночной доходности.
Поскольку обыкновенные и привилегированные акции одной и той же компании представляют собой различные инструменты и удостоверяют различный объем прав, то вполне естественно, что мотивы инвесторов, приобретающих эти бумаги, различны, что ведет соответственно к различию динамики поведения рыночных цен на разные виды акций. Поэтому значения коэффициентов b для обыкновенных и привилегированных акций, строго говоря, должны различаться, более того, для привилегированных акций b должна быть меньше (поскольку меньше риски инвесторов).
Для иллюстрации данного утверждения мы рассчитали значения b для обыкновенных и привилегированных акций ряда российских эмитентов, имеющих долгую (по российским меркам) историю котировок, по которым регулярно совершались реальные сделки, т.е. акции имели достаточно высокий уровень ликвидности (табл. 2).
Таблица 2
| Эмитент |
Обыкновенные акции |
Привилегированные акции |
| Сургутнефтегаз |
1,1 |
1,06 |
| РАО "ЕЭС России" |
1,35 |
1,31 |
| Ростелеком |
1,32 |
1,1 |
| ЛУКОЙЛ |
0,99 |
1,09 |
| "Норильский никель" |
1,07 |
1,01 |
| Татнефть |
1,23 |
0,45 |
| Сбербанк РФ |
1,16 |
0,92 |
Отметим, что значения b определялись нами без учета корректировки на соотношение заемных и собственных средств, а в качестве рыночной доходности мы использовали доходность фондового индекса РТС. Полученные данные показывают, что выдвинутое нами выше предположение вполне подтверждается.
К сожалению, для других российских эмитентов произвести подобное сопоставление не представляется возможным в силу отсутствия ликвидных рынков одновременно обыкновенных и привилегированных акций. Корректно оценить b для обыкновенных акций (не говоря уже о привилегированных) возможно лишь для ограниченного круга отраслей: нефтедобычи, телекоммуникаций, энергетики.
Но только использование САРМ, на наш взгляд, позволяет качественно обосновать различие ставок дисконтирования для разных типов акций одного эмитента (несмотря на то, что возможности ее применения в практических целях пока весьма невелики). Например, наиболее распространенный сейчас метод кумулятивного построения ставки дисконтирования, несмотря на то, что учитывает множество факторов (которые все относятся непосредственно к конкретной компании в целом), не проводит различий в уровне ставок для акционеров - владельцев разных типов акций.
2.3. Некоторые аспекты оценки привилегированных акций
Выше мы вкратце изложили самый общий подход к оценке стоимости привилегированных акций.
Часто при практической оценке возникают ситуации, когда применение и реализация этого подхода затруднены. Например, не представляет значительной сложности составить прогноз успешно функционирующего предприятия с хорошими финансово-экономическими показателями, регулярно выплачивавшего дивиденды акционерам в прошлом, зная прогноз его прибыли и определенный Уставом размер выплат по привилегированным акциям.
Но если финансовые результаты АО в прошлом крайне нестабильны, структура баланса неудовлетворительна, а экономические условия в отрасли и экономике в целом весьма изменчивы, то в процессе оценки может сложиться ситуация, когда в течение определенного оценщиком прогнозного периода компания не сможет выплатить даже минимальные гарантированные Уставом дивиденды держателям привилегированных акций (например, поскольку их выплата может привести к появлению формальных признаков банкротства или к снижению стоимости чистых активов по сравнению с уставным капиталом, резервным фондом и др.; т.е. возникнут законодательные ограничения на выплату дивидендов).[[13] ]
В этом случае привилегированные акции становятся голосующими, т.е. их владельцы приобретают новые права, теоретически позволяющие им принимать участие в управлении всеми денежными потоками предприятия до момента полного погашения обязательств перед ними. И вполне естественно, что это следует отразить в оценке стоимости бумаг.
Аналогичная задача возникает в случае оценки привилегированных акций, конвертируемых в обыкновенные по решению совета директоров (или собрания акционеров).
Одним из способов решения проблемы может стать использование опционных методов при оценке стоимости привилегированных акций.
По своим свойствам привилегированная акция весьма близка к облигации - обеспечивает выплату владельцу определенного ежегодного дохода, но отличается тем, что в случае нарушения этого обязательства владелец становится акционером с правом голоса по всем вопросам собрания акционеров.[[14] ]
Таким образом, привилегированную акцию можно рассматривать как синтетический инструмент, состоящий из облигации и опциона - права на конвертацию в обыкновенную акцию. Соответственно стоимость привилегированной акции будет равна стоимости облигации и стоимости такого опциона.
Как известно, стоимость опциона тем выше, чем выше степень неопределенности ожидаемого результата, и наоборот. Тогда в условиях высокой степени предсказуемости дивидендных выплат стабильно функционирующего предприятия стоимость привилегированных акций будет определяться стоимостью права на получение регулярного текущего дохода (т.е. облигации), а стоимость права на конвертацию акций (опциона) будет незначительна. Наоборот, при высоком риске невыполнения обязательств выплаты дивидендов по привилегированным акциям их стоимость будет почти полностью определяться стоимостью опциона.
Стоимость облигации оценить достаточно несложно: для этого важно понять из Устава принцип начисления дивидендов по привилегированным акциям (процент от прибыли компании или от номинальной стоимости акций и т.д.) и продисконтировать ожидаемые выплаты (процедура полностью эквивалентна оценке стоимости различных видов купонных облигаций - с фиксированным доходом, постоянным или переменным купоном; при этом предполагаем, что облигация бессрочная).[[15] ]
Значительно более интересной и сложной задачей является оценка опциона. В этом случае возможно применение достаточно хорошо известных моделей: биномиальной модели оценки стоимости опционов (анализ <дерева> решений) или модели Блэка-Шоулза. Детальное описание этих методов можно найти в литературе, которая вполне доступна любому заинтересованному читателю.
Кроме того, нам хотелось бы упомянуть о возможности применения опционной модели в одном частном случае, который достаточно часто встречается на практике, а именно, когда уже на текущую дату (дату оценки) привилегированные акции являются голосующими по всем вопросам общего собрания акционеров. В этом случае достаточно логичным представляется подход, когда не делается различий между типами акций, а стоимость всего собственного капитала (бизнеса) делится на все акции (обыкновенные и привилегированные).
Однако здесь необходимо внести дополнительную корректировку - держатели обыкновенных акций имеют право, погасив обязательства перед владельцами привилегированных акций, вернуть контроль над отошедшей к последним долей бизнеса (т.е. имеют право ее выкупа).
Соответственно при определении стоимости каждого из типов акций необходимо к стоимости части бизнеса, приходящейся на долю акционеров - владельцев акций определенного типа, прибавить (в случае обыкновенных акций) или отнять (в случае привилегированных акций) стоимость опциона на право такого выкупа.
Зачастую, к счастью, проблему оценки стоимости привилегированных акций можно решить значительно проще, используя, если возможно, сравнительный подход.
Например, имея достаточную информацию о биржевых котировках привилегированных акций компаний-аналогов (или данные о ценах сделок с пакетами таких акций), можно достаточно быстро и легко провести оценку интересующей нас бумаги. Оценочный мультипликатор, используемый в данном случае, будет <цена акции/дивиденд на акцию> (P/D), а критериями отбора аналогов (помимо традиционных для оценки бизнеса - принадлежность к отрасли, сопоставимость по масштабам, близость показателей рентабельности и др.) обязательно должны быть: сопоставимость по структуре инвестированного капитала, сравнимый показатель нормы дивидендных выплат, а также эквивалентный объем прав, предоставляемых Уставом, владельцам привилегированных акций. Но в условиях, когда недостаточно развит фондовой рынок России, этот вариант применим далеко не всегда.[[16] ]
В заключение нам хотелось бы отметить, что оценка такого сложного инструмента, как привилегированные акции представляет собой зачастую весьма непростую задачу, которая может потребовать применения усложненных методик.
2. Некоторые особенности определения рыночной стоимости привилегированных акций доходным подходом.
2.1. Доходный подход: оценка привилегированных акций
При оценке привилегированных акций с позиции традиционного доходного подхода величина стоимости акций зависит от величины дохода, который получит инвестор от владения финансовым активом. Чем больше доход, приносимый привилегированной акцией, тем больше величина ее рыночной стоимости при прочих равных условиях. При этом необходимо учитывать продолжительность периода получения возможного дохода, уровень и вид рисков, присущих владению привилегированными акциями.
Однако, рыночная стоимость привилегированных акций складывается не только из текущей стоимости будущих дивидендных выплат, но и из стоимости опциона, который имеет привилегированный акционер (опцион на право голосования на общем собрании акционеров, право на весь денежный поток компании).
Для доказательства данного утверждения можно рассмотреть привилегированные акции компании, которые торгуются в РТС. Для примера, используем привилегированные акции РАО "ЕЭС России". Проанализировав выплаты дивидендов по привилегированным акциям, можно утверждать, что их средний темп роста составляет приблизительно 50% в год. Далее спрогнозируем будущие дивидендные выплаты компании до 2010 года и продисконтируем их по ставке дисконтирования близкой к безрисковой (12% годовых) на середину периода (см. Таблицу 3.). В итоге рыночная стоимость привилегированной акции, основанная только на ожидаемых дивидендных выплатах составляет 6,16 руб., в то время как средняя цена на фондовом рынке составляет 23-24 рубля за 1 привилегированную акцию.[[17] ]
Таблица 3.
| Тип акции |
Дивидендный период |
Размер дивиденда на 1 акцию, руб |
Прогнозный ДП., руб |
| ПА |
1997 |
0,00917 |
|
| ПА |
1998 |
0,0152 |
|
| ПА |
1999 |
0,0367 |
|
| ПА |
2000 |
0,0738 |
|
| ПА |
2001 |
0,111 |
0,106 |
| ПА |
2002 |
0,166 |
0,144 |
| ПА |
2003 |
0,249 |
0,196 |
| ПА |
2004 |
0,374 |
0,268 |
| ПА |
2005 |
0,560 |
0,365 |
| ПА |
2006 |
0,841 |
0,498 |
| ПА |
2007 |
1,261 |
0,679 |
| ПА |
2008 |
1,891 |
0,925 |
| ПА |
2009 |
2,837 |
1,262 |
| ПА |
2010 |
4,256 |
1,721 |
| Итого |
6,163 |
Таким образом, разность между текущей стоимостью будущих дивидендных выплат и рыночной стоимостью привилегированных акций приходится на стоимость опциона, которым обладает владелец привилегированных акций. Если компания регулярно и в полном объеме выплачивает дивиденды по привилегированным акциям, то стоимость опциона минимальна, при обратной ситуации стоимость опциона существенно возрастает.
Следовательно, рыночная стоимость привилегированных акций складывается из текущей стоимости будущих дивидендных выплат и стоимости опциона.
Таким образом, оценка привилегированных акций в рамках доходного подхода будет состоять из двух частей:[[18] ]
1. оценка с помощью дисконтирования будущих дивидендных выплат,
2. оценка стоимости опциона.
Одним из наиболее общих и распространенных подходов к оценке стоимости привилегированных акций является метод дисконтирования ожидаемых дивидендных выплат.
Задача определения текущей стоимости будущих дивидендных выплат по привилегированным акциям разбивается на два этапа:
1. прогнозирование будущих дивидендных выплат по привилегированным акциям;
2. определение ставки дисконтирования.
2.2. Прогнозирование будущих дивидендных выплат
Основной задачей прогнозирования дивидендных выплат является проверка того, что компания будет способна в обозримом будущем выплатить все причитающиеся по привилегированным акциям дивиденды точно в срок и в полном объеме. Для подтверждения этого инвестор должен быть уверен в способности компании получать прибыль, т.к. дивиденды по привилегированным акциям выплачиваются из прибыли компании или из резервного фонда, создаваемого предприятием.
Для оценки привилегированных акций российских компаний особенно важен процесс определения прогнозной величины прибыли компании, т.к. дивиденды по данным акциям выплачивается в процентах (как правило, 10% для привилегированных акций типа А и 5% для привилегированных акций типа Б) от величины чистой прибыли акционерного общества, полученной за последний год.[[19] ]
В результате прогнозирования величины чистой прибыли компании в прогнозном периоде, получаем расчетную величину дивидендного потока за каждый год прогнозного периода (10% или 5% от величины чистой прибыли), который необходимо продисконтировать по некоторой ставке дисконтирования.
2.3. Определение ставки дисконтирования
Под ставкой дисконтирования при определении стоимости финансового актива понимается средняя ставка доходности всех альтернативных инвестиций со сравнимым уровнем риска.
Часто (как правило, при определении средневзвешенной ставки по модели WACC для оценки бизнеса методом дисконтирования денежных потоков для всего инвестированного капитала) в литературе можно встретить рекомендации: в качестве затрат на привлечение капитала за счет выпуска привилегированных акций использовать норму их дивидендной доходности.[[20] ]
Однако такой подход, особенно в российских условиях, не представляется вполне корректным: данный подход возможен только в случае оценки давно и устойчиво функционирующего предприятия, занявшего определенную позицию на традиционном и развитом рынке в условиях стабильной экономики.
В качестве примера можно привести оценки уровня дивидендных выплат по привилегированным акциям крупнейших российских компаний (Таблица 4.), которые достаточно активно обращаются на организованном фондовом рынке - РТС (здесь и далее уровень ставок приводится для долларовых инвестиций). Уровень дивидендных выплат определялся как процентное отношение суммы выплаченного дивиденда к рыночной стоимости акции.
Таблица 4.
| Эмитент |
1996г. |
1997г. |
1998г. |
1999г. |
2000г. |
| "Сургутнефтегаз" |
9,56% |
1% |
1,87% |
2,04% |
5,17% |
| "Ростелеком" |
4,91% |
3,85% |
0% |
2,33% |
4,6% |
| "РАО "ЕЭС России" |
0,18% |
0,76% |
1,61% |
1,45% |
6,36% |
| "ЛУКОЙЛ" |
2,38% |
1,17% |
4,29% |
6,25% |
18,04% |
| "Норильский никель" |
0,01% |
0,03% |
0% |
0,1% |
0,59% |
Как видно из таблицы, норма дивидендных выплат российских эмитентов крайне невелика (за исключением ОАО "ЛУКОЙЛ" в 2000 году) и значительно меньше уровня ставок привлечения заемных средств (например, доходность российских еврооблигаций, выпущенных Минфином РФ, даже в период наивысшего инвестиционного рейтинга страны не опускалась ниже 10-11%.
В качестве одной из самых адекватных и широко применимых моделей расчета ставки дисконтирования возможно использование модели оценки капитальных активов (САРМ).
2.3.1. Модель CAPM
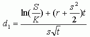
Как правило, модель САРМ применяют для оценки стоимости привлечения акционерного капитала, подразумевая владельцев обыкновенных акций компании. Однако данная модель носит общий характер, позволяя рассчитать ставку требуемой доходности для любого финансового актива, в том числе и привилегированных акций. Общая формула модели САРМ:[[21] ]
![]()
где Rf - безрисковая ставка доходности,
βi - коэффициент бэта,
Rm - среднерыночная доходность,
Rl- премия за инвестирование в конкретную компанию.
Под безрисковой ставкой подразумевается ставка, по которой привлекают средства наиболее надежные заемщики в условиях конкретной страны. Безрисковая ставка не является абсолютно безрисковой, но предполагает минимальный риск кредитора в определенном государстве.
Поскольку обыкновенные и привилегированные акции одной и той же компании представляют собой различные инструменты и удостоверяют различный объем прав, то вполне естественно, что мотивы инвесторов, приобретающих эти бумаги, различны, что ведет соответственно к различию динамики поведения рыночных цен на разные виды акций. Поэтому значения коэффициентов β для обыкновенных и привилегированных акций должны различаться, более того, для привилегированных акций β должна быть меньше (поскольку меньше риски инвесторов).
Для иллюстрации данного утверждения автором были рассчитаны значения β для обыкновенных и привилегированных акций ряда российских эмитентов, имеющих достаточно долгую историю котировок, по которым регулярно совершались реальные сделки, т.е. акции имели достаточно высокий уровень ликвидности (Таблица 5.).
Таблица 5.
| Эмитент |
Обыкновенные акции |
Привилигированные акции |
| "Сургутнефтегаз" |
1,1 |
1,06 |
| РАО "ЕЭС России" |
1,35 |
1,31 |
| "Ростелеком" |
1,32 |
1,1 |
| "ЛУКОЙЛ" |
0,99 |
1,09 |
| "Норильский Никель" |
1,07 |
1,01 |
| "Татнефть" |
1,23 |
0,45 |
| "Сбербанк РФ" |
1,16 |
0,92 |
В приведенной выше таблице значения β определялись без учета корректировки на соотношение заемных и собственных средств, а в качестве рыночной доходности была использована доходность фондового индекса РТС. Полученные данные показывают, что выдвинутое предположение вполне подтверждается.
Премию за риск следует определять как разность между среднерыночной доходностью и безрисковой ставкой. Для расчета среднерыночной доходности в долларовом эквиваленте необходимо использовать значения фондового индекса РТС (как основного индикатора уровня цен рынка российских акций в долларовом эквиваленте) за пять полных лет с момента начала торгов в РТС. Средняя доходность рынка за указанный период (рассчитанная как средняя геометрическая) равна 18,85% годовых (источник: рассчитано автором). Соответственно, премия за риск равняется 6,85-8,85%.
Последним компонентом формулы является премия за риск инвестирования в конкретную компанию. Премия учитывает следующие факторы:[[22] ]
· риск инвестирования в малую компанию,
· риск нарушения прав акционеров,
· риск финансового состояния,
· прочие хозяйственные риски (диверсификация производства и сбыта, стабильность и предсказуемость доходов, качество управления).
Далее, на основании прогноза величины дивидендов и рассчитанной ставки дисконтирования можно рассчитать первую часть рыночной стоимости привилегированных акций в рамках доходного подхода.
Вторая часть стоимости - стоимость опциона будет рассчитана с помощью 3-х моделей, краткое описание которых приводится ниже.
2.3.2.Модель Шелтона
Шелтон доказывает, что существует минимальная и максимальная стоимость опциона. Минимальная цена должна соответствовать внутренней стоимости опциона, которая не может быть меньше нуля, потому что опцион не обязывает владельца к исполнению. Если цена опциона падает ниже его внутренней стоимости, инвесторы будут покупать опцион и исполнять его, до тех пор пока цена опциона не вернется к его внутренней стоимости, и будут покупать акции по цене ниже их текущей рыночной цены.
Модель Шелтона предполагает, что если цена акции в 4 раза больше цены исполнения опциона, опцион будет продаваться выше его внутренней стоимости. Кроме того, Шелтон предполагает, что максимальная цена опциона составляет 3/4 цены акции.
Используя метод регрессионного анализа Шелтон определил, что плотное сближение цен долгосрочных опционов, получается с помощью регулирующего фактора, рассчитываемого следующим образом:[[23] ]
|
|
где M - количество месяцев, оставшихся до исполнения опциона,
D - годовые дивиденды по акции,
Ps - текущая цена акции,
L = 1 если опцион котируется на бирже и 0, если он торгуется на внебиржевом рынке.
Минимальная стоимость опциона - это его внутренняя стоимость, которая определяется путем вычитания текущей цены акции из цены исполнения. Максимальная стоимость равна 3/4 от текущей цены акции.
Стоимость опциона по модели Шелтона определяется по следующей формуле: Минимальная стоимость + (регулирующий фактор)*(максимальная стоимость - минимальная стоимость) = стоимость опциона
Один недостаток формулы Шелтона заключается в том, что она не делает поправки на исторические колебания цены акции. Шелтон проверил фактор волатильности в своем первоначальном исследовании, но не выявил того, что и он влияет на стоимость опциона, тогда как другие факторы были включены в алгоритм расчета.
2.3.3.Модель Блэка-Шоулза
Формула Блэка-Шоулза использует следующую формулу:[[24] ]
|
|
где C - теоретическая стоимость опциона,
S - текущая цена базовых акций,
t - время, остающееся до срока истечения опциона, выраженное как доля года (количество дней до даты истечения/365 дней),
K - цена исполнения опциона,
r - процентная ставка по безрисковым активам,
N(x) - кумулятивное стандартное нормальное распределение,
e - экспонента (2,7183).

![]()
S - годовое стандартное отклонение цены базовых акций (историческая волатильность),
ln - натуральный логарифм.
Для понимания сути модели ее целесообразно разделить на две части. Первая часть, SN(d1) отражает ожидаемую прибыль от покупки самих базовых акций. Расчет производится через умножение цены лежащих в основе акций S на изменение премии по опциону колл по отношению к изменению цены базового актива N(d1).
Вторая часть модели Ke(-rt)N(d2) дает приведенную стоимость цены исполнения на дату истечения опциона. Объективная рыночная стоимость опциона колл рассчитывается путем вычитания второй части формулы из первой.[[25] ]
2.3.4.Модель Норина - Вольфсона
Предположения, используемые в модели Норина-Вольфсона - вариации модели Блэка-Шоулза - примерно такие же, как и в самой модели Блэка-Шоулза. Однако два различия должны быть отмечены. Первое, модель Норина-Вольфсона учитывает выплаты дивидендов и предполагает, что они выплачиваются постоянно. Второе, модель рассматривает возможное уменьшение стоимости опциона до момента его исполнения.
Модель имеет ту же форму и использует те же определения переменных, которые использовались в модели Блэка-Шоулза, за исключением некоторых различий:[26]
![]()
N - количество выпущенных обыкновенных акций,
n - количество обыкновенных акций, которые будут выпущено, если варранты будут исполнены,
d - постоянный дивидендный доход,

|
|
Эта вариация модели Блэка-Шоулза имеет несколько таких же проблем, что и у оригинальной модели. Однако, модель Норина-Вольфсона отражает дивиденды и учитывает возможное уменьшение стоимости опциона, которое может случиться до его исполнения.
2.4. Использование опционных моделей для оценки прав привилегированных акционеров
Изложив теоретические обоснования моделей, необходимо исследовать насколько эти методы могут быть применимы на практике, оценить достоверность полученных результатов, выработать рекомендации по порядку и условиям их использования.
Объектом оценки является право (опцион) владельцев привилегированных акций на голосование на общем собрании акционеров компании в полном объеме в случае невыполнения эмитентом обязательства перед привилегированными акционерами. Объект оценки существует только до тех пор, пока компания-эмитент выполняет все свои обязательства, и привилегированные акционеры обладают правами только по привилегированным акциям. В случае, если обязательства компании-эмитента были нарушены и владельцы привилегированных акций получили права обыкновенных акционеров, то данного опциона больше нет.
Для расчета рыночной стоимости права были выбраны компании-эмитенты, акции которых торгуются на российском фондовом рынке.
В результате анализа множества компании, чьи акции торгуются на российском фондовом рынке, были отобраны следующие открытые акционерные общества:
· РАО "ЕЭС России",
· ОАО "Ростелеком".
После того как были выбраны компании, на примере которых будет рассчитываться стоимость оцениваемого права, необходимо последовательно рассчитать стоимость опциона в рамках всех моделей опционного ценообразования.
Модель Шелтона
Основные параметры модели:
M - количество месяцев, оставшихся до исполнения опциона. Оцениваемое право возникает только в момент годового собрания акционеров общества и может быть прекращено только на одном из последующих годовых собраний акционеров. Исходя из этого, минимальная продолжительность действия опциона равна периоду времени между двумя годовыми собраниями акционеров. В различных компаниях этот период колеблется от 10 до 12 месяцев. При расчете стоимости опциона для каждой компании параметр М будет индивидуальным.
D - годовые дивиденды по привилегированным акциям. Все компании-примеры выплачивают дивиденды по привилегированным акциям, дивиденды приведены в долларах США.
Ps - текущая цена привилегированной акции. Текущая цена для расчета стоимости опциона берется из итогов торгов в РТС на дату годового собрания акционеров в долларах США.
L - равняется 0, т.к. опционы подобного рода не торгуются.
Vmax - максимальная стоимость опциона равна 3/4 текущей цены акции.
Vmin - минимальная стоимость опциона равна разнице между текущей ценой акции и ценой исполнения опциона.
Из всех перечисленных выше параметров модели Шелтона наибольшую сложность представляет собой цена исполнения опциона. Для того, чтобы определить цену исполнения опциона на право участвовать в общем собрании акционеров общества по всем вопросам его компетенции, необходимо обратиться к экономической теории.
Ценой исполнения опциона должна быть такая величина, которая одновременно учитывает, во-первых, стоимость прав владельцев обыкновенных акций, т.к. с момента невыплаты или неполной выплаты дивидендов по привилегированным акциям права обыкновенных и привилегированных акционеров уравниваются, и, во-вторых, стоимость доходов привилегированных акционеров, т.к. доходы, получаемые привилегированными и обыкновенными акционерами, в большинстве случаев различаются.
Для этого необходимо образовать синтетический инструмент, который включал бы в себя две эти характеристики. Для создания синтетического инструмента можно использовать только две ценные бумаги: привилегированные или обыкновенные акции.
Теперь необходимо обратиться к тем выгодам, которые получает акционер от владения пакетом акций общества. Общеизвестно, что любой акционер может получить и использовать три "выгоды":
· права на участие в управлении обществом,
· доходы от владения акцией, которые в свою очередь подразделяются на:
1. доходы в форме дивидендов,
2. доход от роста курсовой стоимости.
Таким образом, цена акции состоит из стоимости этих "выгод" (см. Схема 1.)
Схема 1
|
|

Соотношение этих элементов у привилегированных и обыкновенных акций различное, т.к. различаются права акционеров и их доходы. Однако, в момент появления опциона, у привилегированных акционеров появляется право участвовать в общем собрании акционеров по всем вопросам его компетенции. Стоимость именно этой части права и необходимо оценить в рамках моделей опционного ценообразования (см. Схема 2).
Схема 2

Пунктирной линией отмечено появление дополнительного права у привилегированных акционеров.
Стоимость вновь полученных прав нам необходимо определить, поэтому мы не можем ее корректировать для получения цены синтетического инструмента, а доход, получаемый акционерами, можно скорректировать.
Для получения цены искомого синтетического инструмента необходимо скорректировать цену обыкновенной акции, для того чтобы сделать сопоставимыми доходы привилегированных и обыкновенных акционеров.
В данном случае целесообразно применить метод сравнения продаж. Для полной сопоставимости ценных бумаг корректируется цена аналогичной ценной бумаги и приводится к параметрам оцениваемой.
Следовательно, необходимо скорректировать цену обыкновенной акции того же акционерного общества, т.к. они являются самым лучшим аналогом привилегированным акциям, чтобы привести доходы обыкновенных акционеров по дивидендам и роста курсовой стоимости к доходам привилегированных акционеров. Для этого требуется оценить влияние дивидендов на курсовую стоимость обыкновенных акций, т.к. рост курсовой стоимости можно легко определить.
С одной стороны, в соответствии с теорией Модильяни-Миллера[[27] ] стоимость капитала фирмы не зависит от величины выплачиваемых дивидендов, следовательно, на цену обыкновенных акций не влияет размер выплачиваемых дивидендов.
С другой стороны, анализ котировок привилегированных акций компаний-примеров за 2 недели до годового собрания акционеров и за 2 месяца после него, также показывает, что влияние выплаты дивидендов на курсовую стоимость акций в России, если и есть, то оно пренебрежимо мало.
Таким образом, с большой степенью уверенности можно утверждать, что дивиденды не влияют на цену обыкновенных и привилегированных акций. Следовательно, цену обыкновенной акции необходимо скорректировать только на разницу курсовой стоимости обыкновенных и привилегированных акций. Для этого, сравниваются курсы акций на дату первого и второго собраний акционеров, и рассчитывается превышение (в процентах или долях) одной цены над другой. Например, есть отношение цен P0/P1=1.38 для обыкновенных акций и отношение P0/P1=2.67 для привилегированных акций. Следовательно, темп роста курсовой стоимости привилегированных акций в 1,93 раза больше за этот промежуток времени, чем у обыкновенных акций. Отсюда следует, что курсовую стоимость обыкновенных акций необходимо увеличить в 1,93 раза.
В результате мы получим цену синтетического инструмента с правами обыкновенных акционеров и доходами привилегированных акционеров. Эта цена будет соответствовать цене исполнения опциона.
ОАО "Ростелеком"
Параметры модели:
Дата оценки опциона - 30.06.2001 года (дата проведения годового собрания акционеров в 2001 году). Дата предыдущего собрания акционеров - 24.06.2000 год.
M=12
D2000=0,015
Ps=0,34753
Vmax=0,34753*3/4=0,2606
Pисп=1,9379
Отношение цен обыкновенных акций равно: 0,88203/2,3352=0,378
Отношение цен привилегированных акций равно: 0,34753/0,76114=0,456
Соответственно корректирующий коэффициент для цены обыкновенной акции равен: 0,456/0,378=1,209
Pисп=0,88203*1,209
Vmin=1,066-0,34753
Регулирующий фактор:

Vопциона=0,7188+0,4677(0,2606-0,7188)=0,504
Таким образом, стоимость опциона и стоимость оцениваемого права для привилегированных акционеров ОАО "Ростелеком" равна 0,504 долл. США на 1 акцию.
Аналогичным образом рассчитывается стоимость опциона для компании РАО "ЕЭС". Стоимость опциона и стоимость оцениваемого права для привилегированных акционеров РАО "ЕЭС" равна 0,034 долл. США на 1 акцию.
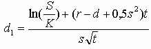
Модель Блэка-Шоулза
Значения основных параметров модели аналогичны параметрам модели Шелтона. Кроме параметров, упомянутых в модели Шелтона, добавляются еще некоторые переменные:
r - процентная ставка по безрисковым активам. Размер ставки определяется исходя из годовой доходности российских еврооблигаций, которые торгуются на Франкфуртской фондовой бирже. В настоящее время доходность по краткосрочным облигациям составляет около 12% (источник: www.fse.com). Таким образом, безрисковая ставка составляет 12% годовых.
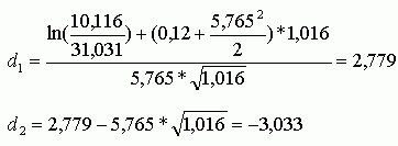
ОАО "Ростелеком"
Параметры модели:
S - текущая цена привилегированных акций по состоянию на дату проведения общего собрания акционеров составляет 10,116 руб. (котировка на фондовом рынке 0,34753 долл.).
t - время, остающееся до срока истечения опциона, выраженное как доля года. Составляет 1,016.
K - цена исполнения опциона. Она рассчитана аналогично модели Шелтона и составляет 31,031.
r - безрисковая процентная ставка - 12%.
s - годовое стандартное отклонение цены привилегированных акций, составляет 5,765.
Расчет модели:

N(d1)=0,9974
N(d2)=0,0016. Значения вероятностей взяты из таблицы[28] .
![]()
Таким образом, мы получили стоимость опциона владельцев привилегированных акций ОАО "Ростелеком" в размере 10, 05 руб. или 0,3452 долл. США.
Аналогичным образом рассчитывается стоимость опциона для РАО "ЕЭС", который составляет 0,0019 долл. США.
Модель Норина - Вольфсона
Эта модель практически полностью повторяет модель Блэка - Шоулза, но учитывает выплаты дивидендов по акциям.
ОАО "Ростелеком"
d - постоянный дивидендный доход равняется отношению годового дивиденда по привилегированной акции к текущей цене акции и равняется 0,042.

N(d1)=0,9974
N(d2)=0,0016. Значения вероятностей взяты из таблицы[[29] ].
![]()
Стоимость опциона рассчитанная по модели Норина-Вольфсона составляет 9,63 руб. или 0,3307 долл. США. Аналогичным образом рассчитывается стоимость опциона для РАО "ЕЭС", она равна 0,0014 долл. США.
Итоговые результаты расчетов стоимости опциона представлены в Таблице 6.
Таблица 6.
| Компания |
Модель Шелтона |
Модель Б-Ш |
Модель Н-В |
| РАО ЕЭС |
0,034 |
0,00187 |
0,00145 |
| Ростелеком |
0,504 |
0,3452 |
0,3308 |
Далее необходимо проверить достоверность и адекватность полученных результатов оценки стоимости опциона для обеих компаний. По состоянию на дату оценки опциона рыночная цена привилегированных акций ОАО "Ростелеком" и РАО "ЕЭС" по данным торгов в Российской торговой системе составляла 0,34753 долл. и 0,05764 долл. соответственно (сравнение рыночных цен акций со стоимостью опциона приведено в Таблице 7)
Таблица 7.
| Компания |
Рыночная цена акций, долл |
Модель Шелтона, долл |
Модель Б-Ш, долл |
Модель Н-В, долл |
| РАО ЕЭС |
0,05764 |
0,034 |
0,00187 |
0,00145 |
| Ростелеком |
0,34753 |
0,504 |
0,3452 |
0,3308 |
Из анализа данных Таблицы 6 видно, что стоимость опциона для РАО "ЕЭС" меньше, чем рыночная цена привилегированной акции, стоимость опциона для компании "Ростелеком" близка, а в случае с моделью Шелтона, выше рыночной цены акции. Для более детальной проверки результатов необходимо рассчитать текущую стоимость дивидендных выплат для привилегированных акционеров, добавить стоимость опциона и сравнить с рыночной ценой данных акций в РТС на дату оценки. Текущая стоимость дивидендных выплат была рассчитана методом капитализации; был спрогнозирован годовой дивиденд за 2001 год и конвертирован в стоимость с помощью ставки капитализации.
В силу того факта, что годовые дивиденды за 2001 год уже объявлены, а по отношению к дате оценки опциона они являются прогнозными, то целесообразно использовать в качестве прогнозных значений реально выплаченные дивиденды по привилегированным акциям.
РАО "ЕЭС" - за 2001 год размер выплаченных по привилегированным акциям дивидендов составил 0,1185 руб. на 1 привилегированную акцию. В качестве ставки капитализации использовали безрисковую ставку (средняя доходность по российским еврооблигациям) 10%. Таким образом, текущая стоимость дивидендных выплат составляет (0,1185/0,1) 1,185 руб. или 0,041 долл. на 1 привилегированную акцию (по среднегодовому курсу доллара за 2001 год 29,18 руб./долл.). Расчет рыночной стоимости привилегированных акций РАО "ЕЭС" приведен в Таблице 8.
Таблица 8.
| Компания |
Текущая стоимость дивидендов, долл |
Модель Шелтона, долл |
Модель Б-Ш, долл |
Модель Н-В, долл |
| РАО ЕЭС |
0,041 |
0,034 |
0,00187 |
0,00145 |
| Стоимость АП, долл |
0,075 |
0,04287 |
0,04245 |
|
| Рыночная цена АП, долл |
0,05764 |
Анализ Таблицы 8 показывает, что стоимость привилегированных акций в рамках моделей Блэка-Шоулза и Норина-Вольфсона соответствует рыночной цене акций, полученной в результате торгов в РТС. Также необходимо отметить, что текущая стоимость дивидендов в этих моделях составляет более 95% от рыночной цены акций, это объясняется тем фактом, что РАО "ЕЭС" стабильно, без задержек выплачивает дивиденды по привилегированным акциям, следовательно, прогнозировать дивиденды достаточно легко, и размер дивидендных выплат предсказуем, поэтому стоимость опциона чрезвычайно мала (менее 5% от рыночной цены акции). Это подтверждает высказанное предположение о соотношении стоимости опциона и стабильности выполнения компанией-эмитентом своих обязательств перед привилегированными акционерами.
Модель Шелтона является самой простой из рассмотренных моделей оценки опционов, поэтому ее результат можно использовать в качестве грубой оценки стоимости опциона. Полученный по РАО "ЕЭС" результат свидетельствует только о том, что текущая стоимость дивидендов превышает стоимость опциона.
ОАО "Ростелеком" - за 2001 год размер выплаченных по привилегированным акциям дивидендов составил 0,919 руб. на 1 привилегированную акцию. В качестве ставки капитализации использовали безрисковую ставку 10%. Таким образом, текущая стоимость дивидендных выплат составляет (0,919/0,1) 9,19 руб. или 0,315 долл. на 1 привилегированную акцию. Расчет стоимости привилегированных акций ОАО "Ростелеком" приведен в Таблице 9.
Таблица 9.
| Компания |
Текущая стоимость дивидендов, долл |
Модель Шелтона, долл |
Модель Б-Ш, долл |
Модель Н-В, долл |
| Ростелеком |
0,315 |
0,504 |
0,3452 |
0,3308 |
| Стоимость АП, долл |
0,819 |
0,6602 |
0,6458 |
|
| Рыночная цена АП, долл |
0,34753 |
Анализ данных Таблицы 9 показывает, что стоимость опциона в рамках моделей Блэка-Шоулза и Норина-Вольфсона очень близка к рыночной цене привилегированных акций, это объясняется тем фактом, что дивидендные выплаты ОАО "Ростелеком" отличаются непостоянством и существенным разбросом величин выплачиваемых дивидендов по привилегированным акциям. Нестабильность дивидендов вызывает неуверенность относительно будущих выплат, следовательно, стоимость опциона достаточно высока и составляет более 95% от рыночной цены привилегированных акций компании. Пример этой компании еще раз подтверждает высказанное предположение о соотношении стоимости опциона и стабильности выполнения компанией-эмитентом своих обязательств перед привилегированными акционерами.
Полученный по ОАО "Ростелеком" результат в рамках модели Шелтона свидетельствует только о том, что стоимость опциона близка к рыночной цене привилегированных акции.
На основе результатов расчета стоимости прав привилегированных акционеров для различных компаний в рамках трех моделей опционного ценообразования можно сделать следующие выводы:
· все три модели можно использовать для расчета стоимости прав акционеров,
· все три модели дают сопоставимые величины стоимости прав,
· можно использовать самую простую модель Шелтона для качественного расчета стоимости прав в случае отсутствия всех необходимых данных для двух других моделей и получать предварительную оценку стоимости опциона,
· используемые модели дают адекватный реальной ситуации результат, что подтверждается двумя приведенными примерами.
3. Экономический анализ привилегированных акций российских предприятий
В последнее время заметно выросла потребность в профессиональной оценке рыночной стоимости акций предприятий по основаниям, определенным действующим законодательством – реструктуризация, преобразование, слияние акционерных обществ, конвертация, консолидация, дробление акций, внесение в уставный капитал и т.д.
Не возникает вопросов в случае, если акции активно торгуются на организованных площадках. Сложнее, если акции не котируются, или имеют место единичные сделки.
Вариант решения этой задачи, учитывающий особенности привилегированных акций российских предприятий, предлагается авторами статьи.
3.1. Об отличительных особенностях, определяющих рыночную стоимость привилегированных акций.
Отечественная теория оценки рыночной стоимости акций, равно как и собственно предмет оценки, появились в нашей стране всего 10 лет назад. Поэтому отсутствие подтвержденных практикой научных проработок и методов - объективная реальность. Не секрет, что в настоящее время в России доминирует идеология, заложенная в международных стандартах оценки. Но, если можно говорить о коррекции общепринятых методов оценки бизнеса на российскую действительность (что неоднократно отмечалось на страницах журнала), то примитивная адаптация западных методов оценки рыночной стоимости акций в случае, когда общество имеет в обращении и обыкновенные, и привилегированные акции, неизбежно приведет к неверному результату.
Поясним, что именно мы имеем в виду.
Неопределенность подхода к оценке рыночной стоимости привилегированных акций была заложена уже на законодательном уровне. Так ФЗ «Об акционерных обществах» в редакции, действовавшей до 01.01.2002 г., содержал указание на возможность оценки обыкновенных акций, исходя из размера чистых активов общества. О том, как оценить при этом привилегированные, закон умалчивал. Использование принятого на западе дивидендного подхода к оценке российских привилегированных акций дает результаты далекие от реальности, хотя бы потому, что многие эмитенты вообще не выплачивают дивиденды.[[30] ]
В настоящее время нередко оценщик сначала оценивает бизнес, а затем просто делит его стоимость между всеми акциями, не учитывая различия между их категориями и типами. Между тем, российские привилегированные акции являются уникальным финансовым инструментом, присущим исключительно российскому рынку, вследствие их неординарного правового положения. Основы этого положения были заложены на заре нашего фондового рынка и являются следствием особенностей приватизации.
Так, в соответствии со ст. 32 ФЗ «Об акционерных обществах» размер дивиденда и ликвидационная стоимость привилегированных акций определяются в твердой денежной сумме или в процентах к их номинальной стоимости. И это положение совпадает с принятыми на западе. Однако, согласно этой же статье, размер дивиденда и ликвидационная стоимость привилегированных российских акций могут быть рассчитаны и иным образом, оговоренным в уставе.
Действительность такова, что подавляющее большинство уставов российских акционерных обществ содержат статьи, рекомендованные «Положением о коммерциализации государственных предприятий с одновременным преобразованием в акционерные общества открытого типа»[[31] ], а именно:
1. ликвидационная стоимость привилегированных акций уравнена в размере с обыкновенными, при этом номинальную стоимость их владельцы получают в приоритетном порядке;
2. размер дивиденда определен как процент от чистой прибыли, а не от номинала.
Поэтому владелец привилегированных акций, так же, как и владелец обыкновенных, получает, кроме дивидендного, еще и курсовой доход. Добавим предусмотренное законом в определенных ситуациях право голоса и получим, что владельцы привилегированных акций приватизированных акционерных обществ по существу являются совладельцами как имущества общества, так и его бизнеса.
При выборе подхода к оценке привилегированных акций нельзя не учитывать, что структура предприятий, капиталов, а главное - собственников, определенная изначально приватизационными особенностями, у нас еще не вполне устоялась и находится в постоянном оптимизационном движении.
3.2. Обоснование предлагаемого подхода
Проведенная статистическая обработка результатов торгов на организованном рынке (ММВБ, РТС, МФБ, СПБ) за последние три года позволяет предложить один из наиболее верных, на наш взгляд, подходов к оценке рыночной стоимости акций, не торгуемых или мало торгуемых на организованных площадках, базирующийся на сложившихся соотношениях стоимости обыкновенных и привилегированных акций. Такой подход прямо следует из определения рыночной стоимости имущества, используемого в различных законодательных и нормативных актах.
Отметим, что и аналитики, и наиболее грамотные оценщики в той или иной степени уже используют этот показатель.
3.3. Коротко о методах обработки .
Мы поставили перед собой задачу выяснить, как рынок оценивает соотношение стоимости обыкновенных и привилегированных акций одного предприятия на данный момент времени, поэтому отказались от использования любых, с нашей точки зрения вероятных, но все-таки расчетных значений стоимости акций. Т.е. стремились избежать любого вмешательства в данные, сформированные рынком. Именно по этой причине мы не привлекали для улучшения статистки сложные математические методы или, например, механизм расчета индикативных цен акций, т.е. расчетных цен, которые определяются с учетом соотношения цен предложения/спроса. В расчетах использовались данные только за те дни, когда сделки совершались как с обыкновенными, так и с привилегированными акциями эмитента. Единственное, что мы себе позволили сделать - это включили в обработку сделки, совершенные за соседние даты. Грубые промахи при обработке не учитывались.
Расчеты проведены за временной интервал с 01.04.1999 г. по 25.05.2002 г.
3.4. Результаты обработки
На рисунках представлены временные зависимости отношения стоимости обыкновенных к стоимости привилегированных акций в различных отраслях промышленности. Из рисунков видно, что за анализируемый период времени цены на разные категории акций неуклонно сближались. Одновременно наблюдается значительное уменьшение разброса значений этого показателя для каждого эмитента в отдельности и отрасли в целом.
Наиболее убедительно в рамках предложенного подхода выглядит рисунок 4, на котором сведены те же данные по голубым фишкам из различных отраслей промышленности (данные по «Сбербанку» приведены к одному номиналу). Для наглядности на рисунок нанесены данные по акциям «АвтоВАЗ», не относящимся к голубым фишкам, но в последнее время активно торгуемым.
Как видно из графика, и голубые фишки и представитель акций второго эшелона следуют одной закономерности – со временем отношение стоимости обыкновенных акций к привилегированным входит в канал 1,2-2,2. При этом разброс значений существенно уменьшается, что подтверждает выявленные закономерности в поведении соотношения рыночных цен на акции различных категорий.
3.5. Выводы
Полученные результаты делают очевидным правомерность следующего подхода к оценке рыночной стоимости малоликвидных или вообще не котируемых организаторами торговли акций предприятий.
Пусть результат оценки компании в целом - S, отношение стоимости обыкновенных акций к стоимости привилегированных - k. Тогда стоимость компании распределяется между обыкновенными и привилегированными акциями следующим образом:
S = n обыкнs обыкн + n прив s прив , где
s обыкни s прив - стоимости обыкновенных и привилегированных акций соответственно, причем S обыкн = ks прив;
n обыкн и n прив – количество размещенных обыкновенных и привилегированных акций соответственно.
Тогда рыночная стоимость привилегированных акций может быть рассчитана по формуле:
s прив = S / (kn обыкн + n прив)
Усредненные в пределах отрасли соотношения стоимостей акций разных категорий, сложившиеся на рынке за период с 01.04.2002 г. по 25.05.2002 г., представлены в таблице и могут быть использованы при расчетах. Расчеты проведены без учета статистического веса капитализации отдельных компаний.
Таблица.9
Отношение стоимости обыкновенных акций к стоимости привилегированных за период с 01.04.2002 г. по 25.05.2002 г.
| Величина\отрасль |
Энергетика |
Связь |
Нефтегазодобыча |
| Среднее значение k |
1.6 |
2.0 |
2.0 |
Кажущаяся необходимой зависимость стоимости привилегированных акций от размера их доли в УК в результате анализа данных, подвергшихся статистической обработке, не выявлена. Рынок практически не различает привилегированные акции в зависимости от конкретных положений устава АО или размера выплачиваемых дивидендов. Рыночная стоимость российских привилегированных акций следует за стоимостью обыкновенных.
Возможно в будущем, после того, как рынок выявит, а инвесторы осознают фундаментальные факторы, определяющие стоимость привилегированных акций, их цена по отношению к обыкновенным изменится. Но сегодняшний рынок оценивает обыкновенные акции в 1,5…2,0 раза выше привилегированных, и оценщик обязан это учитывать.
Рис. 1. Отношение стоимости обыкновенных акций к стоимости привилегированных для эмитентов энергетики.

Рис. 2. Отношение стоимости обыкновенных акций к стоимости привилегированных для эмитентов связи.

Рис. 3. Отношение стоимости обыкновенных акций к стоимости привилегированных для эмитентов нефтегазодобывающей отрасли.

Рис. 4. Отношение стоимости обыкновенных акций к стоимости привилегированных для эмитентов разных отраслей.

Заключение
Привилегированные акции - это акции, дающие преимущественное право их держателям на получение дивидендов и/или части активов акционерного общества при его ликвидации.
По привилегированным акциям размер дивиденда устанавливается акционерным обществом заранее еще при их выпуске. Это так называемый фиксированный дивиденд.
При наличии прибыли, достаточной для выплаты фиксированных дивидендов по привилегированным акциям, общество не вправе отказать держателям указанных акций в выплате дивидендов. В случае отказа общества акционеры могут потребовать выплаты дивидендов в судебном порядке. В случае отсутствия прибыли в данном году образованный ранее за счет прибыли резервный фонд АО может быть использован для выплаты дивидендов по привилегированным акциям. При недостаточности резервного фонда выплата дивидендов по акциям данного типа может переноситься на следующий год и выплачиваться за счет прибыли следующего года.
При выплате дивидендов в первую очередь выплачиваются дивиденды по привилегированным акциям, затем дивиденды по простым акциям.
1. Акционеры - владельцы привилегированных акций общества не имеют права голоса на общем собрании акционеров, если иное не установлено настоящим Федеральным законом.
Привилегированные акции общества одного типа предоставляют акционерам - их владельцам одинаковый объем прав и имеют одинаковую номинальную стоимость.
2. В уставе общества должны быть определены размер дивиденда и (или) стоимость, выплачиваемая при ликвидации общества (ликвидационная стоимость) по привилегированным акциям каждого типа. Размер дивиденда и ликвидационная стоимость определяются в твердой денежной сумме или в процентах к номинальной стоимости привилегированных акций. Размер дивиденда и ликвидационная стоимость по привилегированным акциям считаются определенными также, если уставом общества установлен порядок их определения. Владельцы привилегированных акций, по которым не определен размер дивиденда, имеют право на получение дивидендов наравне с владельцами обыкновенных акций.
Если уставом общества предусмотрены привилегированные акции двух и более типов, по каждому из которых определен размер дивиденда, уставом общества должна быть также установлена очередность выплаты дивидендов по каждому из них, а если уставом общества предусмотрены привилегированные акции двух и более типов, по каждому из которых определена ликвидационная стоимость, - очередность выплаты ликвидационной стоимости по каждому из них.
Уставом общества может быть установлено, что невыплаченный или не полностью выплаченный дивиденд по привилегированным акциям определенного типа, размер которого определен уставом, накапливается и выплачивается не позднее срока, определенного уставом (кумулятивные привилегированные акции). Если уставом общества такой срок не установлен, привилегированные акции кумулятивными не являются.
3. Уставом общества может быть предусмотрена конвертация привилегированных акций определенного типа в обыкновенные акции или привилегированные акции иных типов по требованию акционеров - их владельцев или конвертация всех акций этого типа в срок, определенный уставом общества. В этом случае уставом общества на момент принятия решения, являющегося основанием для размещения конвертируемых привилегированных акций, должны быть определены порядок их конвертации, в том числе количество, категория (тип) акций, в которые они конвертируются, и иные условия конвертации. Изменение указанных положений устава общества после принятия решения, являющегося основанием для размещения конвертируемых привилегированных акций, не допускается.
Конвертация привилегированных акций в облигации и иные ценные бумаги, за исключением акций, не допускается. Конвертация привилегированных акций в обыкновенные акции и привилегированные акции иных типов допускается только в том случае, если это предусмотрено уставом общества, а также при реорганизации общества в соответствии с настоящим Федеральным законом.
4. Акционеры - владельцы привилегированных акций участвуют в общем собрании акционеров с правом голоса при решении вопросов о реорганизации и ликвидации общества.
Акционеры - владельцы привилегированных акций определенного типа приобретают право голоса при решении на общем собрании акционеров вопросов о внесении изменений и дополнений в устав общества, ограничивающих права акционеров - владельцев привилегированных акций этого типа, включая случаи определения или увеличения размера дивиденда и (или) определения или увеличения ликвидационной стоимости, выплачиваемых по привилегированным акциям предыдущей очереди, а также предоставления акционерам - владельцам привилегированных акций иного типа преимуществ в очередности выплаты дивиденда и (или) ликвидационной стоимости акций. Решение о внесении таких изменений и дополнений считается принятым, если за него отдано не менее чем три четверти голосов акционеров - владельцев голосующих акций, принимающих участие в общем собрании акционеров, за исключением голосов акционеров - владельцев привилегированных акций, права по которым ограничиваются, и три четверти голосов всех акционеров владельцев привилегированных акций каждого типа, права по которым ограничиваются, если для принятия такого решения уставом общества не установлено большее число голосов акционеров.
5. Акционеры - владельцы привилегированных акций определенного типа, размер дивиденда по которым определен в уставе общества, за исключением акционеров - владельцев кумулятивных привилегированных акций, имеют право участвовать в общем собрании акционеров с правом голоса по всем вопросам его компетенции, начиная с собрания, следующего за годовым общим собранием акционеров, на котором независимо от причин не было принято решение о выплате дивидендов или было принято решение о неполной выплате дивидендов по привилегированным акциям этого типа. Право акционеров - владельцев привилегированных акций такого типа участвовать в общем собрании акционеров прекращается с момента первой выплаты по указанным акциям дивидендов в полном размере.
Акционеры - владельцы кумулятивных привилегированных акций определенного типа имеют право участвовать в общем собрании акционеров с правом голоса по всем вопросам его компетенции, начиная с собрания, следующего за годовым общим собранием акционеров, на котором должно было быть принято решение о выплате по этим акциям в полном размере накопленных дивидендов, если такое решение не было принято или было принято решение о неполной выплате дивидендов. Право акционеров - владельцев кумулятивных привилегированных акций определенного типа участвовать в общем собрании акционеров прекращается с момента выплаты всех накопленных по указанным акциям дивидендов в полном размере.
Список литературы
1. Гражданский кодекс Российской Федерации. Части первая, вторая и третья. – М.: ООО «ТК Велби», 2003.
2. Указ Президента РФ от 01.07.1992 г. N 721
3. "Арбитражно-судебная практика применения Федерального закона "Об акционерных обществах"., 1997
4. Алехин Б. Мониторинг ликвидности рынка государственных ценных бумаг на ММВБ / Б. Алехин, Э. Астанин, И. Тиссен // Рынок ценных бумаг. – 2002. - № 16. – С. 54-59.
5. Алехин Б. Рынок ценных бумаг – экономическая основа вертикали власти // Рынок ценных бумаг. – 2002. – С. 29-34.
6. Баринов Э.А., Хмыз О.В. Рынки: валютные и ценных бумаг. – М.: «Экзамен», 2001.
7. Баранов А. Российский рынок корпоративных долговых инструментов: итоги 2002 г. и перспективы // Рынок ценных бумаг. – 2001. – № 4. – С. 24-27.
8. Беленькая О. Особенности финансирования капиталообразующих инвестиций в России // Рынок ценных бумаг. – 2002. - № 13.
9. Бондарь Т. Рынок региональных облигаций: проблемы формирования // Финансы. – 2002. - № 1. – С. 17-20.
10. Виленчик В. Выпуск облигаций местными органами власти // Рынок ценных бумаг. – 2002. - № 10. – С 71-76.
11. Вопросы теории и практики эмиссионных ценных бумаг // Хозяйство и право. – 2002. – № 4 – С. 64-80.
12. Гудкина И.Б. Конструирование государственных ценных бумаг на российской рынке // Вестник Московского ун-та. Сер. 6., экономика. – 2001. - №. 5. – С. 40-54.
13. Драчев С.Н. Фондовые рынки: основные понятия, механизмы, терминология. – М., 1999.
14. Казарин М. Рынок производных инструментов (срочный рынок) // Рынок ценных бумаг. – 2002. - № 9. – С. 23-26.
15. Костиков И.В. Благоприятные перемены на российском фондовом рынке // Финансы. – 2002. - № 5. – С. 3-6.
16. Кожин К. Все об экзотических опционах // Рынок ценных бумаг. – 2002. - № 16. – С. 60-64.
17. Козлов Н.Б. Банки и инвестиционные компании на российском фондовом рынке // ЭКО. – 2003. - № 1. – С. 80-95.
18. Кузнецов П.В. Муравьев А.А. Структура акционерного капитала и результаты деятельности фирм в России: Анализ «голубых фишек» фондового рынка // Консорциум экон-х исследований и образования. Сер. «Науч. доклады». – 2002. - № 01/10.
19. Коупленд Том, Коллер Тим, Муррин Джек. "Стоимость компаний: оценка и управление". Пер. с англ. " М.: ЗАО "Олимп " Бизнес", 1999
20. Миркин Я.М. Ценные бумаги и фондовый рынок. Учебник. – М.: Изд-во «Перспектива». – 1999.
21. Рынок ценных бумаг: Учебник / Под ред. В.А. Галанова, А.И. Басова. – М.: Финансы и статистика, 2000.
22. "Рынок ценных бумаг" № 12 за 2002 г.
23. Сизов Ю. Стратегический подход к регулированию рынка ценных бумаг // Вопросы экономики. – 2001. - № 11. – С. 51-68.
24. Сколько стоит фирма? Теорема ММ: Пер. с англ. - 2-е изд. - М.: Дело, 2001
25. Сильницкий А., Кукушкин О. Фондовый рынок: мифы и реальность // Страховое ревю. – 2002. –№ 1. – С. 11-21.
26. Томлянович С. Перспективы развития российского фондового рынка в 2002 – 2003 гг. // Рынок ценных бумаг. – 2002. – № 9. – С. 42-47.
27. Обзор экономики России. Основные тенденции развития. 2002. IV. Пер. с англ. – М., 2002.
28. Шарп У., Александер Г., Бэйли Дж. Инвестиции: Пер с англ. - М: ИНФРА-М, 1998, стр. 661
[1] "Арбитражно-судебная практика применения Федерального закона "Об акционерных обществах"., 1997
[2] "Рынок ценных бумаг" № 12 за 2002 г.
[3] Гудкина И.Б. Конструирование государственных ценных бумаг на российской рынке // Вестник Московского ун-та. Сер. 6., экономика. – 2001. - №. 5. – С. 40-54.
[4] пункт 6.4 Стандартов эмиссии акций при учреждении акционерных обществ, дополнительных акций, облигаций и их проспектов эмиссии, утвержденных постановлением ФКЦБ России от 11.11.98 № 47
[5] Алехин Б. Рынок ценных бумаг – экономическая основа вертикали власти // Рынок ценных бумаг. – 2002. – С. 29-34.
[6] Алехин Б. Мониторинг ликвидности рынка государственных ценных бумаг на ММВБ / Б. Алехин, Э. Астанин, И. Тиссен // Рынок ценных бумаг. – 2002. - № 16. – С. 54-59
[7] Драчев С.Н. Фондовые рынки: основные понятия, механизмы, терминология. – М., 1999.
[8] Драчев С.Н. Фондовые рынки: основные понятия, механизмы, терминология. – М., 1999.
[9] Кузнецов П.В. Муравьев А.А. Структура акционерного капитала и результаты деятельности фирм в России: Анализ «голубых фишек» фондового рынка // Консорциум экон-х исследований и образования. Сер. «Науч. доклады». – 2002. - № 01/10.
[10] "Рынок ценных бумаг" № 12 за 2002 г.
[11] Томлянович С. Перспективы развития российского фондового рынка в 2002 – 2003 гг. // Рынок ценных бумаг. – 2002. – № 9. – С. 42-47.
[12] Томлянович С. Перспективы развития российского фондового рынка в 2002 – 2003 гг. // Рынок ценных бумаг. – 2002. – № 9. – С. 42-47.
[13] Обзор экономики России. Основные тенденции развития. 2002. IV. Пер. с англ. – М., 2002.
[14] Там же
[15] Сизов Ю. Стратегический подход к регулированию рынка ценных бумаг // Вопросы экономики. – 2001. - № 11. – С. 51-68.
[16] Там же
[17] Томлянович С. Перспективы развития российского фондового рынка в 2002 – 2003 гг. // Рынок ценных бумаг. – 2002. – № 9. – С. 42-47.
[18] Томлянович С. Перспективы развития российского фондового рынка в 2002 – 2003 гг. // Рынок ценных бумаг. – 2002. – № 9. – С. 42-47.
[19] Костиков И.В. Благоприятные перемены на российском фондовом рынке // Финансы. – 2002. - № 5. – С. 3-6
[20] Коупленд Том, Коллер Тим, Муррин Джек. "Стоимость компаний: оценка и управление". Пер. с англ. " М.: ЗАО "Олимп " Бизнес", 1999.
[21] Рынок ценных бумаг: Учебник / Под ред. В.А. Галанова, А.И. Басова. – М.: Финансы и статистика, 2000.
[22] Рынок ценных бумаг: Учебник / Под ред. В.А. Галанова, А.И. Басова. – М.: Финансы и статистика, 2000.
[23] Рынок ценных бумаг: Учебник / Под ред. В.А. Галанова, А.И. Басова. – М.: Финансы и статистика, 2000.
[24] Там же
[25] Рынок ценных бумаг: Учебник / Под ред. В.А. Галанова, А.И. Басова. – М.: Финансы и статистика, 2000.
[26] Там же
[27] Сколько стоит фирма? Теорема ММ: Пер. с англ. - 2-е изд. - М.: Дело, 2001
[28] Шарп У., Александер Г., Бэйли Дж. Инвестиции: Пер с англ. - М: ИНФРА-М, 1998, стр. 661
[29] Шарп У., Александер Г., Бэйли Дж. Инвестиции: Пер с англ. - М: ИНФРА-М, 1998, стр. 661
[30] Костиков И.В. Благоприятные перемены на российском фондовом рынке // Финансы. – 2002. - № 5. – С. 3-6.
[31] Указ Президента РФ от 01.07.1992 г. N 721
Похожие рефераты:
Ценные бумаги и фондовый рынок Я.М.Миркин
Эмиссия и обращение ценных бумаг ОАО Нижнекамскнефтехим
Акционерное общество и его финансовая деятельность
Ценные бумаги акционерного общества
Акция как финансовый инструмент на примере банковской деятельности
Экономическая, финансовая, банковская системы России
Особенности оценки привилегированных акций
