| Похожие рефераты | Скачать .docx |
Реферат: Техническое обслуживание и ремонт аккумуляторных батарей
Министерство образования Республики Коми
УПО ПУ – 30
Письменная выпускная
Квалификационная работа
Тема: Техническое обслуживание и ремонт аккумуляторных батарей.
Выполнил: Ермаков Александр Николаевич
Специальность: Автомеханик
Группа: 311
Преподаватель: Холопов Николай Петрович
Мастер П/О: Усатюк Леонид Григорьевич
г. Ухта 2001 г.
Бедный родственник.
Хороший аккумулятор - это хорошо. А потому послушаем Криса Грэма, который расскажет нам, как продлить срок его службы, а также даст совет, на что в первую очередь следует обратить внимание при выборе нового зарядного устройства.
Классификация аккумуляторов. В среде автомобилистов бытует убеждение, что главный признак, по которому следует классифицировать аккумуляторы - это их размер . Но если мы вспомним, что эти размеры стандартизованы, то вынуждены будем признать, что данный критерий при выборе нового аккумулятора является практически бесполезным. С технической же точки зрения наиболее существенными являются три следующие показателя. Во-первых, это емкость , выраженная в ампер-часах (Ah). Она характеризует способность аккумулятора давать определенный ток в течение определенного времени. Например, емкость 40 ампер-час означает, что аккумулятор может давать ток в 1 ампер в течение 40 часов (или в 2 ампера в течение 20 часов и т.д.). Во-вторых, пусковая мощность . А именно - величина максимальной выходной мощности, которую аккумулятор может выдавать в течение 30 секунд при температуре минус 18 градусов С. Этот показатель характеризует способность аккумулятора запускать холодный двигатель. И, в-третьих, - резервная емкость . Этот параметр, особенно почитаемый в Америке, показывает интервал времени (в минутах), в течение которого аккумулятор способен давать ток 25А (т.е. в течение какого времени он сможет подменять собой вышедший из строя генератор). В ближайшее время планируется введение девятизначных Европейских типовых номеров - ETN, призванных как-то упорядочить электрические характеристики, физические размеры и мощности аккумуляторов. Однако, в лучших традициях Брюсселя, вопрос прочно увяз в обсуждениях и согласованиях. Но проблема давно назрела, поскольку сейчас нередко можно столкнуться с ситуацией, когда два одинаково классифицированных аккумулятора разных производителей могут, например, сильно различаться по своему КПД. В настоящее время в Великобритании принята трехзначная кодировка аккумуляторов. При том, что в большинстве стран Европы они маркируются пятизначным номером по стандарту DIN. Этот стандарт дает, в частности, удобный способ определения ампер-часовой характеристики. Если вычесть 500 из первых трех цифр номера, то вы получите искомое значение. Например, номер 54532 означает, что это аккумулятор емкостью 45 Ah. |
Что там внутри?
Да все то же самое, что и раньше, поскольку принципиально конструкция аккумуляторов остается неизменной с незапамятных времен: свинцовые пластины и кислота. Стандартный автомобильный аккумулятор состоит из шести 2-вольтовых элементов, что дает на выходе 12 вольт. Каждый элемент состоит из свинцовых решетчатых пластин, покрытых активным веществом и погруженных в кислотный электролит. Отрицательные пластины покрыты мелкопористым свинцом, а положительные двуокисью свинца. Когда к аккумулятору подключают нагрузку, активное вещество вступает в химическую реакцию с сернокислотным электролитом, вырабатывая электрический ток. На пластинах при этом осаждается сульфат свинца, и электролит, соответственно, истощается. При зарядке эта реакция проходит в обратном направлении, и способность аккумулятора давать ток восстанавливается.
Автомобильный аккумулятор выполняет три функции : во-первых, он запускает двигатель, во-вторых, питает некоторые электрические устройства, например, сигнализацию и телефон, когда двигатель не работает. И, наконец, он "помогает" генератору, когда тот не справляется с нагрузкой.
Аккумулятор обычно соседствует с двигателем. А как раз высокой температуры этот агрегат не переносит.
Как отмечает Кейт Мак-Ивен, главный инженер фирмы Lucas Yuasa Batteries Ltd., дальше может быть еще хуже.
Вот что он говорит по этому поводу: "Законы, ограничивающие уровень шума, заставляют производителей все тщательнее затыкать любые отверстия в отсеке двигателя, что приводит к повышению температуры в моторном отсеке. На сегодняшний день это, пожалуй, самая большая проблема для производителей аккумуляторов. Ведь верхний предел рабочей температуры этих устройств - 100 градусов С, дальше электролит просто закипает. Но даже если температура и не достигает рокового предела, а только к нему приближается, срок службы батарей все равно снижается в три-четыре раза".
+\,0Холостой режим. Простаивание автомобиля зимой в "пробках" - настоящая проблема для аккумулятора. Работающие одновременно вентилятор, фары, обогреватель заднего окна и стеклоочистители способны забрать больше тока, чем производит генератор. В фирме Lucas подсчитали, что за 45 минут такой работы средний аккумулятор может истощиться настолько, что повторный запуск выключенного двигателя окажется уже невозможным. Для восстановления потребуется не меньше 30 минут нормальной езды, прежде чем можно будет снова остановиться. |
Казалось бы, следует просто убрать аккумулятор подальше от двигателя, но это ведет к дополнительным расходам. Придется тянуть к стартеру более длинный провод, который будет "съедать" часть энергии, что потребует увеличить мощность аккумулятора. К тому же этот "ящик с кислотой" окажется тогда близко к пассажирскому отсеку, что небезопасно. И все же, фирмы Audi, BMW, Jaguar и Rolls-Royse убрали аккумулятор из двигательного отсека, а недостатки наличия дополнительного провода уравновесились повышенной надежностью батареи. В моделях класса "супермини" аккумуляторы всегда находились в багажнике.
Есть и другие решения. Например, в новой модели Peugeot 406 устанавливается аккумулятор с двойным корпусом. Между стенками прогоняется воздух, что предохраняет батарею от перегрева.
Отчего они выходят из строя?
Вообще-то, в самом аккумуляторе ломаться особенно нечему. Во всяком случае, причина большинства неисправностей связана не с собственными его дефектами, а с наличием дополнительного оборудования , например, сигнализации и телефона. Эти устройства особенно любят преподносить "сюрпризы" во время длительных стоянок автомобиля, например, в аэропортах.
Крис Барретт, управляющий директор фирмы Hoppecke Batteries (UK) Ltd, поясняет: "Производители автомобилей в целях экономии ставят самый "слабый" аккумулятор, какой только можно, поэтому любая дополнительная электрическая нагрузка может привести к неисправности".
Сам аккумулятор в процессе службы, конечно, изнашивается и, в конце концов, выходит из строя. Это происходит вследствие коррозии пластин, обеднения их активного покрытия и истощения электролита. Тому способствует повышенная температура, так что чаще всего повреждения происходят летом, а с первым морозцем начинается "веселая жизнь". Обычно срок службы батареи составляет около четырех лет, но в большой степени зависит от режима эксплуатации.
Однако если ваш аккумулятор вдруг начал барахлить, не спешите его выбрасывать. Кейт Мак-Ивэн предупреждает: "Наш опыт показывает, что огромное количество автомобильных аккумуляторов, считавшихся неисправными, были просто-напросто разряжены. Такой "простой" диагноз выгоден только не очень щепетильным продавцам. Попробуйте зарядить разряженный аккумулятор, причем как можно скорее. Чем дольше аккумулятор остается незаряженным, тем сильнее сульфатация пластин, и тем проблематичнее будет его восстановление".
Аккумулятор требует заботы.
Многие владельцы автомобилей бывают искренне удивлены, когда узнают, что аккумулятор тоже требует "техобслуживания ". Это прискорбно, потому что капелька заботы и внимания могут сберечь кучу времени и денег.
Уход за аккумулятором чрезвычайно прост и практически сводится лишь к регулярным проверкам уровня электролита. Низкий уровень может свидетельствовать об излишней зарядке, что обычно вызвано неисправностью генератора. Если же электролита недостает только в одном из элементов, то выход из строя всего аккумулятора уже не за горами. В теплую погоду он еще кое-как поработает, но первые же холода его прикончат.
Несколько лет назад в большом ходу были "аккумуляторы, не требующие ухода", что конструктивно сводилось к глухой герметизации верхней крышки. Со временем мода эта прошла, поскольку, в случае, если, по каким-то причинам, потеря электролита все же происходила, долить его уже было нельзя.
Доливая аккумулятор, помните об одной особенности. Во время зарядки уровень электролита сотворить несколько превышается, поэтому доливать следует с учетом этого эффекта. А что может кислота, попавшая на корпус батареи или на детали кузова, мы все прекрасно знаем.
Меры безопасности при запуске от внешнего источника. - Никогда не курите во время запуска двигателя от внешнего источника. - Заправьте свободные части одежды и снимите с себя металлические украшения и предметы. - Убедитесь, что автомобили не соприкасаются друг с другом. - Не прикасайтесь сами к кузову автомобиля. - Выключите все перед тем, как отсоединять кабель. |
Вопросы безопасности. Помните, что опасность возгорания кислорода и водорода, выделяющихся во время зарядки (а также после ее завершения), вполне реальна. Хотя большинство серьезных производителей оборудуют крышки аккумуляторов ограничителями пламени, призванными предотвратить его попадание внутрь аккумулятора, подобная вероятность по-прежнему сохраняется. Правда, эксперты фирмы Hoppecke отрицают это, но, как говорится, береженого Бог бережет. Помните также, что искра возникает не только при отсоединении клеммы. Статического электричества от синтетической одежды может оказаться достаточно, чтобы вызвать взрыв. Взрыв аккумулятора можно сравнить по мощности с выстрелом из ружья калибра 12 мм. Результат представляет собой жуткое зрелище, и происходит это чаще, чем вы можете себе представить. Например, в осторожной Америке в год бывает более десяти тысяч подобных случаев. При том, что взрыв, вероятно, не будет смертельным, он может серьезно травмировать вас, особенно лицо, так как осколки пластика разлетаются во все стороны. Поэтому всегда следует быть в защитных очках. |
Следующий момент, на который следует обратить внимание, - вибрация . После высокой температуры и электрической перегрузки, это - основная причина износа батарей. Механизм данного воздействия прост: любая "болтанка" постепенно стряхивает активное вещество с пластин. Поэтому проследите, чтобы аккумулятор был прочно закреплен.
И,=наконец, проверьте клеммы . Они должны быть чистыми и хорошо затянутыми во избежание искрения. Некоторые смазывают клеммы густой смазкой, другие считают, что это только способствует накоплению грязи, так что выбор за вами.

Что нам прогресс технический готовит.
В обозримом будущем переворота в области аккумуляторных технологий не ожидается. Свинцово-кислотные системы оказались столь удачны своим сочетанием пусковой эффективности, надежности и стоимости, что трудно представить на их месте что-либо другое. Во всяком случае, так считает Кейт Мак-Ивэн. "Эта технология сейчас просто вне конкуренции, - утверждает он, - и я не думаю, что ей появится какая-либо альтернатива. Что же касается возрастающих нагрузок на аккумуляторы, то положение можно улучшить не повышением мощности батарей, а путем оптимизации работы электрических систем автомобиля".
Фирма Lucas уже разрабатывает систему, не позволяющую аккумулятору разряжаться ниже уровня , необходимого для запуска двигателя. Как только батарея разрядится до определенного предела, эта система сажает электрооборудование автомобиля "на голодный паек". Камнем преткновения в этой системе является то, что при таком подходе могут отказать системы безопасности автомобиля.
Такой уровень технологии, который частично уже существует, позволит уменьшить размеры батарей и улучшить их конструкцию. Так, фирма Lucas уже выпустила аккумулятор, в котором электролит не плещется свободно внутри корпуса, а пропитывает специальный материал, напоминающий промокательную бумагу. Излишне говорить, насколько это практичнее и безопаснее.
Однако, такие зубры, как BMW, Rolls-Royce, Mercedes-Benz и Jaguar пошли другим путем. Они ставят на автомобиль два аккумулятора . Один используется только для запуска двигателя - он больше ни к чему не подсоединен. Другой - "служебный" - питает все остальные системы. Такой подход обходится дороже, кроме того, не исключает возможности разряда служебной батареи при длительной работе сигнализации.
Заряжай!..
Аккумулятор, безнадежно "севший" однажды морозным утром в понедельник, - вот нередкая причина крушения стольких блестящих служебных карьер. Когда-то, в эпоху заводных ручек, еще можно было попытаться ухватить улетающую Судьбу за пятки - закатать рукава смокинга и поработать, как следует ручкой. Теперь же, в Век гуманизма, мы лишены и этой грубой возможности. Так что же делать?
Можно попытаться завести машину несколькими способами : "прикурить" от аккумулятора другого автомобиля (что может оказаться проблематичным при современном уровне "накрученности" электроники); толкнуть машину или потянуть на буксире (но не при наличии каталитического нейтрализатора); пойти и купить новую батарею.
Последний способ особенно плох, ибо в подавляющем большинстве случаев "севший" аккумулятор можно восстановить. При правильной перезарядке он в большинстве случаев восстанавливается до исходного состояния и продолжает и дальше жить и бороться.
Не спеши.
Прошли времена, когда аккумулятор просто подключали к зарядному устройству и оставляли на ночь. Зарядку аккумулятора нужно производить с определенной "скоростью", иначе вас ждут разные неприятности.
В идеале зарядный ток для обычной свинцово-кислотной батареи должен составлять 10% от ее ампер-часовой характеристики. Например, полностью разрядившийся аккумулятор емкостью 50 ампер-часов следует заряжать при силе тока 5 ампер в течение десяти часов. Зарядка должна проходить со снятыми крышками.
И хочется быстрее, да нельзя. Это может привести к перегреву, а то и к закипанию электролита. Могут покоробиться и пластины, тогда аккумулятору - конец. Если же ваш аккумулятор герметичный, "не требующий ухода" (см. выше), то его приходится заряжать еще медленнее - не более 2,5% от ампер-часовой характеристики. Так, в том же примере полностью разрядившийся герметичный аккумулятор на 50 ампер-часов требует тока зарядки 1,25 ампер в течение 40 часов. Для частично разрядившихся аккумуляторов это время будет, конечно, меньше.
Большинство зарядных устройств снабжено регулятором зарядного тока. Особенно удобно, если есть режим "снижающейся зарядки". В этом случае по мере заряжения аккумулятора зарядный ток автоматически уменьшается, что позволяет предотвратить возможный перезаряд.
Крутые модели.
Большинство зарядных устройств снабжено обычным амперметром, показывающим силу тока, с которой идет зарядка. После включения стрелка прибора довольно быстро устанавливается и отслеживает текущее значение тока, которое постепенно уменьшается в процессе зарядки - как ему и положено.
Общее правило здесь - чем медленнее заряжаешь, тем лучше . Однако не держите аккумулятор под зарядкой слишком долго. Относительно определения момента, когда следует процесс закончить, мнения расходятся. Некоторые вычисляют необходимое для зарядки время и по его прошествии выключают устройство, другие ждут, пока все элементы не начнут пузыриться, и выключают только тогда.
Некоторые более мощные зарядные устройства оборудованы функцией быстрой зарядки. Ее следует использовать только при чрезвычайных обстоятельствах, когда машину нужно завести как можно скорее. В этом режиме повышенный ток зарядки подается в течение определенного промежутка времени, после чего устройство само отключается. Жизнь аккумулятора это все равно сокращает.
Ждать некогда, ехать надо.
При севшем аккумуляторе самым быстрым решением является запуск двигателя от внешнего источника. Но для этого, помимо внешнего источника, нужен еще и кабель . Выпускаются самые разные типы стартовых кабелей, но автомобилисты считают их, как и аккумуляторы, излишней роскошью и покупают первый, попавшийся на глаза комплект, не задумываясь о качестве.
И это опять прискорбно, потому что качество зачастую бывает просто чудовищным - ведь в продажу поступает множество "левых", кустарно сделанных кабелей. Иногда, при первом же использовании, изоляция (а то и сама жила) кабеля плавится (вспомним, что по нему течет большой ток). Если такой кабель и уцелел, то все равно он будет греться, отчего теряется энергия и возникает опасность пожара.
Порядок соединения. 1. Соедините красный кабель с клеммой (+) на заряженном аккумуляторе. 2. Соедините другой конец красного кабеля с клеммой (+) на севшем аккумуляторе. 3. Соедините черный кабель с клеммой (-) на заряженном аккумуляторе. 4. Соедините другой конец черного кабеля с чистой точкой заземления на блоке двигателя или на шасси, главное - подальше от аккумулятора, карбюратора, топливных шлангов и т.п. В момент подсоединения будьте готовы к небольшой искре. 5. Следите, чтобы оба кабеля не касались движущихся деталей. 6. Запустите автомобиль с заряженным аккумулятором и дайте ему поработать не менее одной минуты. 7. Попробуйте запустить автомобиль с севшим аккумулятором. Если двигатель не заведется, то подождите несколько минут и повторите попытку. Если же заведется, то дайте ему поработать несколько минут в таком положении. 8. Выключите автомобиль с заряженным аккумулятором. 9. При отсоединении кабеля следуйте описанной выше процедуре в обратной последовательности. |

АККУМУЛЯТОРЫ:
ЗИМНИЕ ИГРЫ В РУЛЕТКУ?
Зима нечаянно нагрянет
В нашей стране зима всегда приходит неожиданно. Не стал исключением и этот год. Первые же достаточно крепкие морозы довольно отчетливо выявили все слабые стороны наших автомобилей. Наряду с неправильно подобранным маслом многим автовладельцам изрядно подпортили жизнь и аккумуляторные батареи. Однако, отдышавшись и придя в себя после первых морозов, мы постепенно начинаем осознавать, что потеряно еще далеко не все. К тому же, учитывая, что пословица "готовь сани летом" является для нас руководством к действию с точностью до наоборот, попытаемся, хоть и с опозданием, но все же подготовить свой аккумулятор к достойной встрече зимы. Тем более что самые лютые морозы еще впереди. С чего же начать?
Перво-наперво замерим плотность электролита во всех банках без исключения. Норма 1.27-1.28 г/см3 . У Вас далеко не так? Значит, снимаем батарею и ставим на зарядку. И это однозначно! Ни в коем случае не пытаемся повысить плотность электролита добавлением концентрированной кислоты, какая бы низкая не была его плотность. На моей памяти до сих пор случай с одним моим знакомым, который, замерив, плотность батареи, долго не мог поверить глазам своим - 1.2 г/см3 . Для него казалось невозможным, что он, автолюбитель со стажем, мог так разрядить батарею. И долго метался по комкам, выискивая концентрат. Ему повезло - пробегав несколько дней, он так и не нашел требуемой жидкости. Это то его и спасло. Раздумывая, куда бы сбегать еще, он все-таки с большим трудом согласился поставить батарею на зарядку. И что же - плотность электролита к концу зарядки поднялась до 1.27 г/см3 . Ну а если бы он поступил по-своему и все же долил в батарею электролит большей плотности, то это наверняка бы уменьшило срок службы батареи из-за более агрессивной среды. Желаемого же результата - повышения емкости батареи при этом не произойдет.
Техническое отступление
Назначение автомобильной аккумуляторной батареи понятно каждому мало-мальски сведущему в технических вопросах автолюбителю. С первой ее функцией - обеспечением запуска двигателя - мы сталкиваемся каждый день. Есть и вторая - реже применяемая, но от того не менее значимая - использование в качестве аварийного источника питания при выходе из строя генератора.
Все стартерные батареи, выпускаемые в настоящее время для автомобилей, являются свинцово-кислотными. В основу их работы заложен известный еще с 1858 г., и по сей день остающийся практически неизменным принцип двойной сульфатации.

Как наглядно видно из формулы, при разряде батареи (стрелка вправо) происходит взаимодействие активной массы положительных и отрицательных пластин с электролитом (серной кислотой), в результате чего образуется сульфат свинца, осаждающийся на поверхности отрицательно заряженной пластины и вода. В итоге плотность электролита падает. При зарядке батареи от внешнего источника происходят обратные электрохимические процессы (стрелка влево), что приводит к восстановлению на отрицательных электродах чистого свинца и на положительных - диоксида свинца. Одновременно с этим повышается плотность электролита.
Любая автомобильная батарея представляет из себя корпус - контейнер, разделенный на шесть изолированных ячеек - банок (см. рис.1).

Каждая банка является законченным источником питания напряжением порядка 2.1 В. В банке находится набор положительных и отрицательных пластин, отделенных друг от друга сепараторами. Как известно из школьного курса физики, две разнозаряженные пластины уже сами по себе являются источником постоянного напряжения, параллельное же их соединение увеличивает ток. Последовательное соединение шести банок и дает батарею с напряжением порядка 12.6-12.8 В. Любая из пластин, как положительная, так и отрицательная, есть ни что иное, как свинцовая решетка, заполненная активной массой. Активная масса имеет пористую структуру с тем, чтобы электролит заходил в как можно более глубокие слои и охватывал больший ее объем. Роль активной массы в отрицательных пластинах выполняет свинец, в положительных - диоксид свинца.
Вес залитой АКБ емкостью 55 Ач составляет около 16.5 кг. Эта цифра складывается из массы электролита - 5кг (что соответствует 4,5 л), массы свинца и всех его соединений - 10 кг, а также 1 кг, приходящегося на долю бака и сепараторов.
Основные характеристики аккумуляторных батарей
Расход воды
Показатель, имеющий непосредственное отношение к степени обслуживаемости батареи. Определяется в лабораторных условиях. Батарея считается необслуживаемой, если она имеет очень низкий расход воды в эксплуатации. Необслуживаемые батареи не требуют доливки дистиллированной воды в течение года и более при условии исправной работы регулятора напряжения.
На расход воды прямое влияние оказывает процентное содержание сурьмы в свинцовых решетках пластин. Как известно, сурьма добавляется для придания пластинам достаточной механической прочности. Однако у каждой медали есть обратная сторона. Сурьма способствует расщеплению воды на кислород и водород, следствием чего является выкипание воды и снижение уровня электролита. В батареях предыдущего поколения содержание сурьмы доходило до 10%, в современных этот показатель снижен до 1.5 %.
Панацею от этой беды фирмы видят в освоении т.н. гибридной технологии - замене сурьмы в одной из пластин на кальций. Кальций в решетке является веществом нейтральным по отношению к воде, не снижая при этом механической прочности решеток. А потому разложения воды не происходит и уровень электролита остается неизменным.
Долговечность батареи
Средний срок службы современных АКБ при условии соблюдения правил эксплуатации - а это недопущение глубоких разрядов и перезарядов, в том числе по вине регулятора напряжения - составляет 4-5 лет.
Наиболее губительными для батарей являются глубокие разряды. Оставленные на ночь включенными световые приборы, либо другие потребители способны разрядить ее до плотности 1.12 - 1.15 г/см3
, т.е. практически до воды, что приводит к главной беде аккумуляторов - сульфатации свинцовых пластин. Пластины покрываются белым налетом, который постепенно кристаллизуется, после чего батарею практически невозможно восстановить. Отсюда вытекает главный вывод - необходимо постоянно следить за состоянием батареи, периодически замерять ее плотность. Особенно актуально это в зимнее время. Следует отметить, что сульфатация в определенных пределах - явление нормальное и присутствует всегда. (Вспомните - на основе теории двойной сульфатации построен принцип работы батарей.) Но при малом разряде и последующей зарядке батарея легко восстанавливается до исходного состояния. Это возможно и при глубоком разряде батареи, но только в том случае, если следом сразу же последует заряд. Если же разряжать батарею длительное время, не давая ей "подпитки", то падение плотности ниже критического значения неизбежно приводит к образованию кристаллов сульфата свинца, не вступающих в реакцию ни при каких обстоятельствах. А это означает, что начался необратимый процесс сульфатации.
Не менее опасен для батареи и перезаряд. Это происходит при неисправном регуляторе напряжения. При этом электролит начинает "кипеть" - происходит разложение воды на кислород и водород, и понижение уровня электролита. Вот почему необходимо следить за зарядным напряжением. Естественно, это не составляет труда, если на панели приборов присутствует вольтметр. Ну а если его нет? В этом случае также можно довольно просто оценить зарядное напряжение. Для этого запустите, и прогрейте двигатель, установив средние обороты и подключите тестер (в режиме вольтметра) между "+" и "массой" аккумуляторной батареи. Нормальный зарядный режим батареи обеспечивается в диапазоне 14±0.5В. Если напряжение меньше - стоит проверить натяжение ремня, надежность контактных соединений цепей системы электроснабжения. Если же это не помогает - неисправность нужно искать в регуляторе напряжения. Впрочем, точно также вина ложится на регулятор, если напряжение превышает 14.5В.
В последнее время широкое распространение получили сепараторы карманного типа - т.н. конвертные сепараторы. Их название говорит за себя - в эти конверты помещают одноименно заряженные пластины. Такая конструкция увеличивает срок службы батареи, так как осыпающаяся в процессе эксплуатации активная масса остается в конверте, тем самым предотвращается замыкание пластин.

Рекомендации по эксплуатации
![]() |
![]() |
Батарея, не эксплуатировавшаяся в течение длительного времени (4-5 мес.) нуждается в подзарядке. Связано это с тем, что батареям свойственно такое явление, как саморазряд. На графиках рис.2,3 показаны характеризующие саморазряд величины для различных батарей. В первом случае - это падение напряжения от времени хранения, во втором - снижение плотности.
Впрочем, зачастую подзарядки требует и находящаяся в эксплуатации батарея. Плотность полностью заряженной батареи составляет 1.27- 1.28 г/см3
, напряжение - 12.5 В. О степени разряженности батареи судят по плотности электролита. Чем ниже плотность батареи, тем сильнее она разряжена. Уменьшение плотности на 0.01 г/см3
по сравнению с номинальной означает, что батарея разрядилась примерно на 6 - 8%. Используя график (см. рис.4) можно оценить зависимость степени разряженности батареи от плотности. Степень разряженности определяют по той банке, в которой плотность электролита минимальная. Всем известна аксиома, тем не менее, позволим повторить ее еще раз - батарею, разряженную летом более чем на 50%, а зимой более чем на 25%, необходимо снять с автомобиля и зарядить. При этом следует помнить, что пониженная плотность зимой более опасна, т.к. кроме всего прочего может привести к замерзанию электролита. Так, при плотности электролита 1.2 г/см3
температура его замерзания составляет около -20°С.
Также необходимо
подзарядить батарею, если плотность в разных банках отличается более чем на 0.02 г/см3
. Оптимальной является зарядка батареи током, равным 0.05 от ее емкости. Для батареи с емкостью 55 Ач эта величина составляет 2.75 А. Чем меньше зарядный ток, тем глубже заряд. Однако не стоит впадать в крайность - при совсем низком токе батарея просто не "закипит", к тому же время зарядки будет несравнимо большим. Наоборот, при очень большом токе батарея "закипит" значительно быстрее, но при этом не успеет зарядиться на все 100%. Признаками окончания зарядки служит бурное выделение газа (т.н. "кипение") и не изменяющаяся на протяжении 1-2 часов плотность электролита.
Для ориентировочной оценки времени, требуемого на зарядку батареи, можно воспользоваться следующим алгоритмом.
Первоначально, используя график (рис.4) необходимо определить степень разряженности батареи, исходя из реальной плотности АКБ, замеренной ареометром. Далее по степени разряженности определяем потерянную емкость (или емкость, которую необходимо принять батарее).
Затем, выбрав величину зарядного тока, вычисляем ориентировочное время зарядки по формуле:

Тут следует отметить, что не вся энергия идет на повышение емкости. КПД процесса составляет 40-50%, остальное тратится на нагрев, а также связанные с этим электрохимические процессы. Потому реальное время увеличивается примерно вдвое от расчетного (что и учитывается коэффициентом "2" в формуле).
Нужно сказать, что использование данного алгоритма оправдано лишь для облегчения процедуры, но ни в коей мере не избавляет от контроля за ходом зарядки. Процесс заряда, а особенно его окончание Вам необходимо контролировать самому, дабы не прозевать начало бурного кипения.
Другой вариант - использование для этих целей автоматических зарядных устройств, отличающихся тем, что зарядка идет при постоянном напряжении, но автоматически изменяющемся в зависимости от степени заряженности батареи токе. При этом зарядное устройство перестает давать ток, если батарея полностью заряжена. Принцип, используемый в подобных устройствах аналогичен зарядке от генератора на автомобиле.
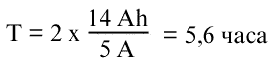
Для примера определим время зарядки батареи емкостью 55 Ач током в 5А, плотность которой составляет 1.25 г/см3
. Как видно из графика, при данной плотности батарея разряжена на 25%, что означает потерю емкости на величину

Таким образом, примерное время зарядки

Оптимальным же способом зарядки батареи, и это подтверждают результаты проводимых испытаний, является ее заряд от бортовой сети автомобиля (естественно, при условии исправности последней). При данном способе, в первых, невозможен перезаряд, а во-вторых, происходит постоянное перемешивание электролита и наиболее полное его проникновение во внутренние слои активной массы.
Однако было бы ошибочным полагать, что заряд батареи начинается сразу же после пуска двигателя и продолжается все время, пока двигатель в работе. Исследования показывают, что батарея начинает принимать заряд только после прогрева электролита до положительной температуры, что при эксплуатации в зимних условиях происходит примерно через час после начала движения. Именно этим и опасен довольно распространенный, по крайней мере, в нашем автомобильном городе, способ эксплуатации транспортных средств. Холодный запуск зимой с получасовым движением до работы, и затем редкие непродолжительные поездки на протяжении рабочего дня не дают прогреться электролиту и, следовательно, зарядиться Вашей батарее. Тем самым разряженность АКБ увеличивается изо дня в день и в итоге может привести к печальному результату.
Физические процессы, происходящие при пуске двигателя, отличаются от процессов при разряде батареи потребителями. При пуске участвует не весь объем активной массы и электролита, а лишь та ее часть, которая находится на поверхности пластин и соприкасающийся с поверхностью пластин электролит. Поэтому, после неудачной попытки запустить двигатель, следует подождать некоторое время для того, чтобы электролит перемешался, плотность его выровнялась, он проник в поры активной массы. Нормальный запуск двигателя при однократном вращении стартера в течение 10 с забирает емкость 300А х 10с = 3000 Ас = 0.83 Ач, что составляет около 1.5% от емкости автомобиля.
При медленном же разряде участвуют не только поверхностные слои активной массы, но и глубинные, потому и разряд происходит более глубокий. Однако это не означает, что стартерные режимы не так губительны для батареи - стартером точно также можно разрядить батарею до критической величины.
Каковы же признаки выхода из строя батареи? Батарея не заряжается, плотность низкая и не повышается в процессе заряда. Большой саморазряд - батарея зарядилась, но не держит заряд. Можно попытаться потренировать батарею, однако если произошло осыпание активной массы пластин, либо кристаллизация сульфата свинца, то это уже не исправить.
Вообще, освоить способ оценки степени возможной разрядки батареи от каких-либо действий (в том числе и осознанных) не составит большого труда. Необходимо усвоить несколько истин и запомнить несколько цифр.
Батарея начинает принимать заряд лишь только после прогрева электролита до положительной температуры (как вы понимаете, при температуре воздуха -20°С температура электролита в батарее хранящегося на свежем воздухе автомобиля будет примерно такой же.)
Коэффициент полезного действия процесса зарядки составляет примерно 50%.
Каждый автомобильный генератор характеризуется следующими показателями:
ток отдачи генератора при работе двигателя на холостом ходу.
ток отдачи генератора при работе двигателя на номинальных оборотах.
Для вазовских автомобилей эти цифры имеют следующие значения:
| Таблица 1 | |||
| 2101-2106 | 2108-2109 | 2110 | |
| ток отдачи на холостом ходу | 16 | 24 | 35 |
| ток отдачи на номинальных оборотах | 42 | 55 | 80 |
Как видно из таблицы, на последних моделях автомобилей Волжского автозавода устанавливаются генераторы, имеющие характеристики тока отдачи, в два раза превосходящие по величине характеристики генераторов первых моделей.
И наконец примерное потребление энергии автомобильными потребителями:
| Таблица 2 | |
| потребитель | ток, А |
| зажигание | 2 |
| габариты | 4 |
| ближний свет | 9 |
| дальний свет | 10 |
| обогрев заднего стекла | 10-11 |
| вентилятор отопителя: 1-я скорость 2-я скорость |
|
| стеклоочистители | 3-5 |
| магнитола | 5 |
| ИТОГО | 38-48 |
Зная эти азы, Вам не составит труда подсчитать, что оставленные включенными на автомобиле габариты (естественно, при неработающем двигателе), например, под окнами любимой девушки за 3 часа "съедят" 4А х 3ч= 12 Ач емкости батареи, что соответствует разряду приблизительно на 20%. Это не страшно для одного раза. Однако если у Вас есть и вторая девушка, навестить которую Вы решаетесь сразу же после первой, то, выходя через те же 3 часа от нее, Вы уже рискуете не завести свою машину, особенно, если дело происходит зимой, т.к. разряд составит порядка 40% (тем более, что к тому же зимой батареи, как правило, эксплуатируются заряженными далеко не на 100%). Какой из этого сделать вывод - сократить время свиданий, количество любимых, запастись вторым аккумулятором, либо не включать габаритные огни - решать Вам.
Аналогично можно прикинуть, что Вы имеете при продолжительной работе двигателя на холостом ходу. Как уже показано выше, ток отдачи генератора автомобиля ВАЗ-2108 на холостом ходу составляет 24А. Вычитаем из этой цифры 2А, необходимые для обслуживания системы зажигания. Остается 22А. Используя таблицу 2, нетрудно прикинуть, что можно включать с тем, чтобы хоть немного досталось бы и аккумулятору (при этом помните про КПД зарядки, составляющий 50%).
Следует знать, что зимние условия эксплуатации автомобиля в принципе очень тяжелы для аккумуляторной батареи. Наверняка будут полезны следующие данные. Результаты проводимых в ГенДР исследований говорят о том, что при эксплуатации автомобиля в очень тяжелых условиях (испытания по так называемому режиму "город-зима-ночь") аккумулятор получает порядка 1А в час.
Нередко доводилось наблюдать картину, как растерянный автовладелец, помыв на автоматической мойке свой автомобиль, тщетно пытается завести его под нетерпеливые реплики напирающих сзади очередников. И вот кто-то подсказывает - что ты мучишься, включай передачу и выезжай на стартере. Понятно, что советчика мало волнует чужой автомобиль, но услугу эту иначе как медвежьей не назовешь. Категорически запрещается использовать батарею вместе со стартером в качестве электропривода автомобиля (причем в большей степени из-за стартера), т.к. помимо полного разряда АКБ это может привести к выходу из строя стартера, загоранию проводки со всеми вытекающими последствиями.
Маркировка АКБ
На современные аккумуляторные батареи наносится следующая маркировка:

Емкость батареи
- способность батареи принимать и отдавать энергию - измеряется в ампер-часах (Ач). Для оценки емкости батареи принята методика 20-ти часового разряда током 0.05С20
(т.е. током, равным 5% от номинальной емкости). Т.е., если емкость батареи 55Ач, то, разряжая ее током 2.75 А, она полностью разрядится за 20 часов. Аналогично для батарей емкостью 60 Ач полный 20-ти часовой разряд произойдет при чуть большем токе разряда - 3А.
Данная характеристика определяет возможность питать потребителей в экстремальной ситуации (при отказе генератора). Характеризуется объемом активной массы.
Значение тока холодного старта при -18°С (по DIN)
- Величина тока, которую батарея способна отдать при пуске двигателя при температуре - 18 °С. Наиболее важная характеристика, напрямую сказывающаяся на пуске двигателя. Ведь при -20°С ток, потребляемый стартером, составляет порядка 300А. (Для пуска в летнее время горячего двигателя этот же показатель равен 100-120А.) Значение стартового тока определяется конструкцией батареи, пластин, сепараторов. Сепараторы карманного типа без каких-либо других дополнений увеличивают напряжение батареи на 0.3В, одновременно улучшая стартовые характеристики. Чем ниже внутреннее сопротивление батареи, тем выше стартовый ток, тем надежнее пуск двигателя при низких температурах.
Некоторые батареи имеют такую маркировку:
![]()
Несмотря на то, что после емкости стоит значение 280А, цифра, интересующая нас и показывающая ток холодного старта по принятому у нас стандарту DIN равна 255А.
Резервная емкость - время, в течение которого батарея сможет обеспечить работу потребителей в аварийном режиме. Величина резервной емкости, выраженная в минутах, последнее время все чаще проставляется изготовителями батарей после значения тока холодного старта.
Кроме того, на необслуживаемых батареях проставляется соответствующая надпись. Чаще всего на русском, английском или немецком языке, (либо на языке производителя, как, например, на испанских батареях "Tudor"). Большинство АКБ, изготавливаемых в настоящее время известными производителями являются необслуживаемыми, то же можно сказать и о поставках на Волжский автозавод - на его конвейере используются только необслуживаемые батареи. Однако это вовсе не означает, что к ней не нужно подходить и следить за ее состоянием. Производители гарантируют данный показатель только при соблюдении нормальных условий эксплуатации. (Нелишне отметить, что необслуживаемые батареи выпускаются как с пробками для заливки электролита, так и полностью закрытыми. К разряду необслуживаемых могут относиться и сухозаряженные батареи, поставляемые в торговлю, однако они требуют заливки электролита и последующей зарядки.
Кроме того, на батареи, поставляемые на автозавод, фирмы-производители наносят на корпусе дату изготовления. Плюс к этому, на ВАЗе на клеммы наносится дата установки батареи на автомобиль.
Как обычно, попробуем дать несколько рекомендаций при покупке аккумуляторов в магазине. Во-первых, как и любой другой товар, батареи следует приобретать в специализированных магазинах, предоставляющих гарантию. При покупке желательно запастись ареометром. Плотность батареи должна быть не менее 1.25 г/см3
(лучше 1.27) и одинаковой во всех банках. Если же замер плотности в магазине связан с определенными трудностями, можно ограничиться измерением напряжения вольтметром. Оно должно быть не ниже 12.5 В. (Именно 12.5. а не 12, как нам может казаться достаточным. Напряжение 12 В, наносимое на АКБ - это напряжение бортовой сети, на которое данная батарея рассчитана, а вовсе не напряжение батареи.)
Еще одно замечание. В данной отрасли сильно развито такое направление, как производство баков фирмами, не связанными с производством батарей. И многие фирмы - производители аккумуляторов, в том числе и достаточно солидные, используют уже готовые баки, вставляя в них свою начинку и наклеивая свои "лейблы", становясь при этом менее уязвимыми от производителей внешне дешевых похожих подделок.
Бытует мнение, что выбирая батарею, прежде всего, необходимо обращать внимание на ее емкость. Однако все далеко не так просто. Нельзя сказать, что чем выше емкость батареи, тем она лучше. Во-первых, габаритные размеры батареи - величина, строго регламентированная международным стандартом. (Это же относится и к автомобилям Волжского автозавода - размеры бака едины для всех поставщиков.) А потому для увеличения емкости батареи при тех же габаритных размерах неизбежно приходится жертвовать каким-либо другим показателем - и чаще это сказывается на долговечности батареи. Если же и выбирать по какой-либо характеристике, так правильнее это делать по величине тока холодного старта. Его значение играет более весомую роль при эксплуатации автомобиля в период суровых российских зим.
Перспективным направлением в производстве АКБ является снижение их обслуживаемости, повышение электрических характеристик. Необслуживаемость - свойство, которого требуют автозаводы от производителей автомобилей. Это связано с широко распространяющейся тенденцией увеличения срока службы автомобиля, в течение которого автолюбителю вообще нет надобности никуда заглядывать в своем вновь купленном автомобиле, кроме как в бензобак. А в связи с этим и аккумулятор должен удовлетворять тем же самым требованиям. Достигается это использованием конвертных сепараторов, снижения содержания сурьмы в решетках. Однако по своей сути стартерные автомобильные батареи еще долгое время будут оставаться свинцово-кислотными - как оптимальные по цене и характеристикам.
Основные неисправности и техническое обслуживание аккумуляторной батареи.
К числу неисправностей аккумуляторной батареи относятся повышенный саморазряд, короткое замыкание, коробление, разрушение и сульфатация пластин, трещины и истирание моноблока.
Повышенный саморазряд. При бездействии аккумуляторной батареи происходит её естественный саморазряд, который согласно ГОСТ 959.0 – 79 при температуре хранения батареи 293 ± 5 К (20 ± 5°С) за 28 сут. не должен превышать 20% её номинальной ёмкости.
Повышенный саморазряд аккумуляторной батареи может происходить по следующим причинам:
наружная поверхность аккумулятора покрыта грязью, влагой и электролитом, что приводит к разряду батареи по поверхности крышек;
в электролит попали вредные примеси (особенно железо и медь);
замыкание пластин шламом, незначительные разрушение сепараторов.
Короткое замыкание пластин происходит вследствие непосредственного соприкосновения пластин при разрушении сепаратора, а также образования игольчатых наростов между кромками положительных и отрицательных пластин. Короткие замыкания могут также происходить при заполнении пространства между опорными ребрами шламом.
Коробление пластин, как правило, объяснятся большой силой зарядного или разрядного тока.
Разрушение пластин происходит за счет оползания активной массы, её выкрашивания, а также коррозии решеток пластин. Разрушение активной массы пластины и её решетки является естественным процессом, однако его ускоряет неправильный режим эксплуатации батарей – её перезаряд, особенно при высоких температурах. Для предохранения аккумуляторной батареи от перезаряда необходимо правильно выбрать пределы регулировки регулятора напряжения.
Сульфатацией пластин называется образование на их поверхности и в активной массе крупных кристаллов сернокислого свинца (PbSO4), которые не растворяются при заряде. Применение синтетических сепараторов в аккумуляторах резко снизило возможность сульфатации пластин. Поэтому это явление теперь может наблюдаться только при небрежном обращении с аккумуляторной батареей.
Трещины и истирание моноблока могут произойти из-за небрежного обращения или плохого крепления аккумуляторной батареи на автомобиле. При наличии трещин в перегородках моноблока электролит с соседних ячеек сообщается между собой и эти элементы не развивают необходимого напряжения. Напряжение батареи при этом резко снизиться (например, при замыкании двух элементов напряжение уменьшается с 12 до 8В).
Проверка состояния аккумуляторной батареи включает: проверку уровня и измерение плотности электролита и определения напряжения аккумуляторной батареи нагрузочной вилкой.
Проверка уровня электролита производится стеклянной трубкой диаметром 5- 6 мм. Чтобы измерить уровень электролита, надо опустить трубку в наливную горловину крышки до упора в предохранительную сетку, закрыть её сверху большим пальцем, затем вынуть и определить высоту столбика электролита в трубке. Уровень электролита должен быть на 10- 15 мм выше предохранительной сетки. Повышать уровень следует, только доливая дистиллированную воду. Зимой, чтобы избежать замерзания воды, рекомендуется доливать её непосредственно перед выездом или при работающем двигателе.
Измерение плотности электролита даёт возможность определить степень заряженности аккумуляторной батареи. Плотность электролита измеряют специальным прибором (динсиметром). При измерении плотности электролита необходимо также определить температуру электролита батареи. Если температура электролита выше или ниже +15°С, следует привести плотность электролита к 15°С. При изменении температуры на 15° плотность электролита изменяется приблизительно на 0.01г/см3 .
Если плотность электролита в отдельных аккумуляторах отличается более чем на 0,01г/см3 , то её следует выровнять, доливая электролит плотностью 1,4г/см3 или дистиллированную воду. Доливать в аккумулятор электролит плотностью 1,4г/см 3 можно только в том случае, когда батарея полностью заряжена вследствие " кипения " электролита обеспечивается быстрое и надёжное его перемешивание.
При измерении плотности электролита после доливки в него воды или после пуска двигателя стартером батарею надо подвергнуть непродолжительному заряду небольшим током или дать ей постоять 1-2 ч для того, чтобы плотность электролита во всех аккумуляторах выровнялась.
Для определения степени разряжённости аккумуляторной батареи по плотности электролита можно пользоваться такими данными (плотность электролита, приведённая к температуре 288 К (+15С), г/см)
Степени разряжённости аккумуляторной батареи и соответствующая им плотность электролита
Батарея полностью
заряжена . . 1,310 1,290 1,270 1,250
Батарея разряжена
на 25% . . . 1,270 1,250 1,230 1,210
на 50% . . . 1,230 1,210 1,190 1,170
Проверка нагрузочной вилкой даёт возможность определить состояние аккумуляторной батареи в режиме её разряда, соответствующего пуску горячего двигателя. Для этого нагрузочная вилка снабжена набором резисторов и вольтметром. В зависимости от ёмкости батареи включается необходимая величина нагрузочного резистора гайками 4 и 8.
При определении степени заряжённости аккумуляторной батареи нагрузочной вилкой показания вольтметра под нагрузкой, соответствующей ёмкости проверяемой батареи, должны соответствовать данным, приведённым ниже.
Напряжение аккумулятора, В . . . . .1,7-1,8 1,6-1,7 1,5-1,6 1,4-1,5 1,3-1,4
Степень заряжённости, % . . . . . . . . 100 75 50 25 0
При проверке нагрузочной вилкой напряжение исправного аккумулятора должно быть постоянным в течение не менее 5 с. Отверстия в крышках аккумуляторов при проверке нагрузочной вилкой должны быть закрыты пробками. Аккумуляторы, плотность электролита в которых ниже 1,200 г/см, не рекомендуется проверять нагрузочной вилкой.
Уход за аккумуляторной батареей. Срок службы батареи в эксплуатации гарантируется при соблюдении правил ухода за ней и исправности электрооборудования автомобиля. Поэтому при обслуживании автомобиля необходимо очищать батарею от пыли и грязи. Электролит,пролитый на поверхность батареи, вытирать чистой ветошью, смоченной в растворе нашатырного спирта или кальцинированной соды (10%-ным раствором). Окислившиеся выводные клеммы батареи и наконечники проводов очищать, проверять плотность крепления батарей в гнезде. На грузовых автомобилях, где возможно, под батарею установить резиновые прокладки. Следует проверять крепления и плотность контакта наконечников проводов с выводными клеммами батареи. Не допускать натяжения проводов для предупреждения порчи выводных клемм и при необходимости прочищать вентиляционные отверстия в пробках аккумуляторов.
Не реже чем через 10-15 дней необходимо проверять степень разряжённости батареи по плотности электролита или нагрузочной вилкой. Батарею, разряжённую более чем на 25% зимой и более чем на 50% летом, следует снять с автомобиля и поставить на подзаряд. В эти же строки проверяют целостность бака (отсутствие трещин) и просачивание электролита в каждом аккумуляторе батареи.
Если на поверхности батареи появились трещины, их необходимо ликвидировать путём оплавления мастики.
Содержание.
Бедный родственник. 1
Классификация аккумуляторов. 1
Что там внутри? 2
Отчего они выходят из строя. 3
Аккумуляторы требуют заботы. 3
Что нам прогресс технический готовит. 5
Заряжай. 5
Не спеши. 5
Крупные модели 6
Ждать некогда, ехать надо. 6
Аккумуляторы: Зимние игры в рулетку? 8
Зима нечаянно нагрянет. 8
Техническое отступление. 8
Основные характеристики аккумуляторных батарей. 9
Расход воды. 9
Долговечность батареи. 10
Рекомендации по эксплуатации. 11
Маркировка АКБ. 14
Основные неисправности и техническое
обслуживание аккумуляторной батареи. 16
Список используемой литературы.
Техническое обслуживание и ремонт автомобилей. (Учебное пособие).
Владимир Семаков. Журнал "За рулём".
Александр Звонарёв. Журнал "Мото – ревю".
Похожие рефераты:
Извлечение свинца из лома аккумуляторных батарей
Техническое перевооружение аккумуляторного участка
Проектирование участка технического обслуживания подвижного состава ОАО "Павловский Машзавод"
Электронные схемы для дома и быта
Аккумулятор и генератор для автомобиля
Электрооборудование автомобилей
Установки постоянного тока с аккумуляторными батареями
Источники электрического тока в автомобилях
Топливно-смазочные материалы, технические жидкости, резинотехнические изделия для автомобиля ЗИЛ-130
Химия, элементы таблицы Менделеева
Организация и выполнение электротехнических работ
Роль нанотехнологии в создании более эффективных преобразователей энергии
Организация поста технического обслуживания и ремонта карбюраторов двигателей легковых автомобилей

