| Похожие рефераты | Скачать .docx |
Курсовая работа: Анализ результативности системного менеджмента предприятия
– анализируется система управления в ООО "ЮМА", стратегия управления производством, мотивация;
– анализируется техническое оснащение предприятия ООО "ЮМА", ряд его экономических показателей;
– проводится анализ структуры оборотных средств, анализ себестоимости продукции, анализ рентабельности, финансового состояния, трудовых показателей, анализ использования трудовых ресурсов, анализ производительности труда, анализ заработной платы;
– производится расчет экономического эффекта, расчет эффективности управленческого труда.
– на основе обобщения подходов, описанных в специальной литературе, формулируется концепция стратегического менеджмента в ООО "ЮМА", действующей на российском рынке;
Объектом исследования в настоящей работе является малое частное предприятие ООО "ЮМА". Предметом исследования – её хозяйственная деятельность.
1. Краткая характеристика объекта
1.1. Организационно-правовая форма и структура предприятия
Малое частное предприятие ООО "ЮМА" является обществом с ограниченной ответственностью.
Внутренняя среда организации – это часть общего окружения, которая находится в рамках организации. Она оказывает непосредственное воздействие на функционирование организации и состоит из нескольких элементов, каждый из которых включает в себя набор ключевых процессов и элементов организации, определяющих ее потенциал и возможности.
Организационная структура управления ООО "ЮМА" представлена на рисунке 1.

Рис. 1. Структура управления ООО "ЮМА"
Во главе ООО "ЮМА" находится совет учредителей, состоящий из учредителей предприятия. Он является координационным и управляющим центром и осуществляет руководство над предприятием.
Директор является главным менеджером организации. Он несет персональную ответственность за положение дел на предприятии, отвечает за подбор и расстановку кадров на предприятии и отчитывается перед учредителями.
Заместитель директора ведет учет и управление над производственными затратами, контролирует изменения в фактической себестоимости продукции. Он осуществляет внедрение новых и совершенствует действующие технологические процессы, контролирует качество продукции и соблюдение технологии. Следит за выполнением всех работ по обеспечению бесперебойной эксплуатации, обслуживания и ремонта механического и энергетического оборудования цеха, осуществляет техническое руководство, разрабатывает оперативно-календарные планы производства продукции. Заместитель директора курирует сбыт произведенной продукции и отвечает за поставки сырья.
Вместе с директором они руководят и отвечают за состояние работ, психологический климат в коллективе и за результаты всех видов его производственно-хозяйственной деятельности. Они распределяют работу, контролируют соблюдение технологической и трудовой дисциплины и обеспечивают достижение высоких конечных показателей.
Столяры, разнорабочие, водитель непосредственно участвуют в производственном процессе.
1.2. Система управления
1.2.1. Структура (линейная, функциональная, дивизионная, адаптивная)
Функции управления деятельностью предприятия реализуются подразделениями аппарата управления и отдельными работниками, которые при этом вступают в экономические, организационные, социальные, психологические и другие отношение друг с другом. Организационные отношения, складывающиеся между подразделениями и работниками аппарата управления предприятия, определяют его организационную структуру.
Под организационной структурой управления предприятием понимается состав (перечень) отделов, служб и подразделений в аппарате управления, системная их организация, характер соподчиненности и подотчетности друг другу и высшему органу управления фирмы, а также набор координационных и информационных связей, порядок распределения функций управления по различным уровням и подразделениям управленческой иерархии.
Базой для построения организационной структуры управления предприятием является организационная структура производства. Многообразие функциональных связей и возможных способов их распределения между подразделениями и работниками определяет разнообразие возможных видов организационных структур управления производством. Все эти виды сводятся в основном к четырем типам организационных структур: линейным, функциональным, дивизиональным и адаптивным.
Сущность линейной (иерархической) структуры управления состоит в том, что управляющие воздействия на объект могут передаваться только одним доминантным лицом – руководителем, который получает официальную информацию только от своих, непосредственно ему подчиненных лиц, принимает решения повеем вопросам, относящимся к руководимой им части объекта, и несет ответственность за его работу перед вышестоящим руководителем (рис. 2).

Рис. 2. Линейная структура управления: Р – руководитель; Л – лин. органы управления (лин. руководители); И– исполнители
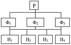
Данный тип организационной структуры управления применяется в условиях функционирования мелких предприятий с несложным производством при отсутствии у них разветвленных кооперированных связей с поставщиками, потребителями, научными и проектными организациями и т. д. В настоящее время такая структура используется в системе управления производственными участками, отдельными небольшими цехами) а также небольшими фирмами однородной и несложной технологии. Функциональная структура (Рис. 3) сложилась как неизбежный результат усложнения процесса управления. Особенность функциональной структуры заключается в том, что хотя и сохраняется единоначалие, но по отдельным фикциям управления формируются специальные подразделения, работники которых обладают знаниями и навыками работы в данной области управления.

Рис. 3. Функциональная структура управления: Р – руководитель; Ф – функц. органы управления (функц. руководители); И – исполнители
В принципе создание функциональной структуры сводится к группировке персонала по тем широким задачам, которые он выполняет. Конкретные характеристики и особенности деятельности того или иного подразделения (блока) соответствуют наиболее важным направлениям деятельности всего предприятия.
Традиционные функциональные блоки предприятия – это отделы производства, маркетинга, финансов. Это широкие области деятельности, или функции, которые имеются на каждом предприятии для обеспечения достижения его целей.
Если размер всей организаций или данного отдела велик, то основные функциональные отделы можно, в свою очередь, подразделить на более мелкие функциональные подразделения. Они называются вторичными, или производными. Основная идея здесь состоит в том, чтобы максимально использовать преимущества специализации и не допускать перегрузки руководства. При этом необходимо соблюдать известную осторожность с тем, чтобы такой отдел (или подразделение) не ставил бы свои собственные цели выше общих целей всего предприятия.
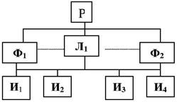
На практике обычно используется линейно-функциональная, или штабная, структура, предусматривающая создание при основных звеньях линейной структуры функциональных подразделений (Рис. 4). Основная роль этих подразделений состоит в подготовке проектов решений, которые вступают в силу после утверждения соответствующими линейными руководителями.

Рис. 4. Линейно-функциональная структура управления: Р – руководитель; Ф – функциональные органы управления (функциональные руководители); Л – линейные органы управления: И – исполнители
Наряду с линейными руководителями существуют руководители функциональных подразделений (планового, технического, финансового отделов, бухгалтерии), подготавливающие проекты планов, отчетов, которые превращаются в официальные документы после подписания линейными руководителями.
Основным достоинством этой структуры является то, что она, сохраняя целенаправленность линейной структуры, дает возможность специализировать выполнение отдельных функций и тем самым повысить компетентность управления в целом.
Необходимость новых подходов к организации управления была вызвана резким увеличением размеров предприятий, диверсификацией их деятельности и усложнением технологических процессов в условиях динамично меняющейся внешней среды. Первыми перестройку структуры по этой модели начали крупнейшие организации, которые в рамках своих гигантских предприятий (корпораций) стали создавать производственные отделения, предоставляя им определенную самостоятельность в осуществлении оперативной деятельности. В то же время администрация оставляла за собой право жесткого контроля по общекорпоративным вопросам стратегии развития, научно-исследовательских разработок, инвестиций и т. п. Поэтому данный тип структуры нередко характеризуют как сочетание централизованной координации с децентрализованным управлением (децентрализация при сохранении координации и контроля).
Ключевыми фигурами в управлении организациями с дивизиональной структурой становятся не руководители функциональных подразделений, а управляющие (менеджеры), возглавляющие производственные отделения.
Структуризация организации по отделениям производится обычно по одному из трех критериев; по выпускаемой продукции или предоставляемым услугам (продуктовая специализация), по ориентации на потребителя (потребительская специализация), по обслуживаемым территориям (региональная специализация).
Некоторые предприятия производят большой ассортимент товаров или услуг, которые отвечают запросам нескольких крупных групп потребителей или рынков. Каждая группа или рынок имеет четко определенные, или специфические, потребности. Если два или более таких элемента становятся особенно важными для предприятия, оно может использовать организационную структуру, ориентированную на потребителя, при которой все ее подразделения группируются вокруг определенных групп потребителей (Рис. 5).

Рис. 5. Организационная структура, ориентированная на потребителя
Данный тип организационной структуры находит применение в достаточно специфичных областях – в сфере образования, где в последнее время наряду с традиционными общеобразовательными программами возникли специальные отделения для обучения взрослых, повышения квалификации и т. д. Примером активного использования организационной структуры, ориентированной на потребителя, являются коммерческие банки. Основные группы потребителей, пользующихся их услугами, индивидуальные клиенты (частные лица), пенсионные фонды, трастовые фирмы, международные финансовые организации. Организационные структуры, ориентированные на покупателя, в равной степени характерны для торговых форм, торгующих оптом и в розницу.
Если деятельность предприятия охватывает большие географические зоны, особенно в международном масштабе, то может оказаться целесообразной организационная структура по территориальному принципу, т. е. по месту расположения ее подразделений. Региональная структура облегчает решение проблем, связанных с местным законодательством, обычаями и нуждами потребителей. Такой подход упрощает связь предприятия с клиентами, а также связь между его подразделениями.
Хорошо знакомым примером региональных организационных структур могут служить сбытовые подразделения крупных предприятий. Среди них зачастите можно встретить подразделения, деятельность которых обхватывает весьма обширные географические зоны, которые в свою очередь делятся на более мелкие подразделения, поделенные на еще более мелкие блоки.
Адаптивные, или органические, структуры правления обеспечивают быструю реакцию предприятия на изменения внешней среды, способствуют внедрению новых производственных технологий. Эти структуры ориентируются на ускоренную реализацию сложных программ и проектов, могут применяться на предприятиях, в объединениях, на уровне отраслей и рынков. Обычно выделяют два типа адаптивных структур: проектный и матричный.
Многосторонность содержания структур управления предопределяет множественность принципов их формирования. Прежде всего, структура должна отражать цели и задачи организации, а следовательно, быть подчиненной производству и меняться вместе с происходящими в нем изменениями. Она должна отражать функциональное разделение труда и объем полномочий работников управления; последние определяются политикой, процедурами, правками и должностными инструкциями и расширяются, как правило, в направлении более высоких уровней управления.
Полномочия руководителя любого уровня ограничиваются не только внутренними факторами, но и факторами внешней среды, уровнем культуры и ценностными ориентациями общества, принятыми в нем традициями и нормами. Другими словами, структура управления должна соответствовать социально-культурной среде, и при ее построении надо учитывать условия, в которых ей предстоит функционировать. Практически это означает, что попытки слепо копировать структуры управления, действующие успешно в других организациях, обречены на провал, если условия работы различны. Немаловажное значение имеет также реализация принципа соответствия между функциями и полномочиями, с одной стороны, и квалификацией и уровнем культуры – с другой.
Любую перестройку структуры управления необходимо оценивать прежде всего с точки зрения достижения поставленных перед ней целей. В условиях нормально развивающейся (не кризисной) экономики реорганизация направлена чаще всего на то, чтобы путем совершенствования системы управления повысить эффективность работы организации, при этом главными факторами улучшения являются рост производительности труда, ускорение технического развития, кооперация в принятии и реализации управленческих решений и т. д. В кризисный период изменения в структурах управления направлены на создание условий для выживания организации за счет более рационального использования ресурсов, снижения затрат и более гибкого приспособления к требованиям внешней среды.
В целом рациональная организационная структура управления предприятием должна отвечать следующим требованиям:
– обладать функциональной пригодностью, гарантировать надежность и обеспечивать управление на всех уровнях;
– быть оперативной, не отставать от хода производственного процесса;
иметь минимальное количество уровней управления и рациональные связи между органами управления;
– быть экономичной, минимизировать затраты на выполнение управленческих функций.
1.2.2. Стратегия управления производством
Стратегическое планирование состоит из ряда взаимосвязанных этапов. Сначала проводится исследование внешней и внутренней среды организации, потом определяются основные ориентиры фирмы, на следующей ступени, в рамках стратегического анализа фирма сравнивает результаты первого и второго этапов, определяет возможные варианты стратегий, затем выбирает один из вариантов и формулирует собственную стратегию, на последнем этапе фирма подготавливает окончательный стратегический план, исходя из ранее проведённых разработок, предложений нижестоящих уровней.
Анализ среды организации – это процесс определения критически важных элементов внешней и внутренней среды, которые могут оказать влияние на способности фирмы в достижении своих целей.
Анализ среды выполняет ряд важных функций в деятельности фирмы:
– с точки зрения стратегического планирования улучшает учёт наиболее важных факторов, влияющих на экономическую организацию и её будущее;
– с точки зрения политики фирмы помогает ей создать о себе наиболее благоприятное впечатление;
– с точки зрения текущей деятельности обеспечивает информацией, необходимой для наилучшего выполнения рабочих функций.
Процесс анализа организационной среды начинается с определёния основных элементов внутреннего и внешнего пространства фирмы. После того, как эти элементы определены, фирма должна выделить те из них, которые являются для неё наиболее важными: их называют "критическими точками". Затем фирма собирает необходимую информацию о критических точках.
Среду любой организации можно определить как совокупность трёх сфер: внутренней среды, рабочей среды, общей среды.
Внутренняя среда организаций включает в себя следующие основные элементы: производство, финансы, маркетинг, управление персоналом, организационная структура. Описание внутренней среды даёт представление о сильных и слабых сторонах деятельности организации, её внутренних возможностях.
Два других пространства составляют внешнюю среду фирмы.
Рабочая среда – это среда непосредственных контактов с фирмой, она включает тех участников рынка, с которыми у фирмы есть прямые отношения, или которые оказывают прямое воздействие на фирму. Это, во-первых, поставщики экономических ресурсов, необходимых фирме (сырье, финансовый капитал, производительный капитал), отдельно выделяют поставщиков труда – наёмных работников, затем клиенты – потребители продукции фирмы, посредники – финансовые, торговые, маркетинговые, государственные экономические структуры (например, налоговая инспекция). Во-вторых, к элементам рабочей среды относят конкурирующие фирмы и так называемые контактные аудитории – средства массовой информации, общества потребителей и т. п., которые оказывают существенное влияние на формирование благоприятного или неблагоприятного облика фирмы.
Ознакомившись с общим строением организационной среды, фирма должна выделить из совокупности её элементов те, которые являются для неё наиболее важными. Другими словами, уже на начальном этапе фирма должна определить пределы анализа среды.
Число и характер критических точек, то есть наиболее значимых элементов среды, изменяются от организации к организации.
Анализ среды ограничен временными рамками: в коротком периоде фирма во многих случаях может сосредоточиться только на тех элементах, которые критически воздействуют на её текущее функционирование, то есть на элементах рабочей среды, в длительном периоде у фирмы появляются возможность исследовать общий характер внешней среды:
Плодотворный анализ возможен только в том случае, если фирма сумела определить специфику элемента, его уникальный характер.
В последние десятилетия бизнес вынужден сочетать анализ внутренних проблем с особо внимательным подходом к внешним аспектам своей деятельности. Большинство современных рынков перенасыщены товарами, конкуренция в предложении продуктов и услуг достигла особой остроты, правилом стало быстрое обновление товарных рынков и связанные с ним технологические изменения. Неотъемлемым элементом сегодняшней хозяйственной деятельности становится глобализация бизнеса, приобретение им международного характера. Особое значение для деятельности фирмы приобретает социально-политическая динамика.
Современные экономические организации – это открытые системы, внутренняя стабильность которых зависит от условий внешней среды. С точки зрения внутренних и внешних аспектов можно оценить среду российской экономической организации следующим образом. С одной стороны, чем меньше развит рынок, чем менее насыщен он товарами, тем больше степень его монополизации, тем слабее учёт действующими на этом рынке фирмами факторов внешней среды. Для огромного числа небольших, преимущественно коммерческих российских фирм проблема насыщенного, остроконкурентного рынка уже сегодня является актуальной, и эти организации должны весьма внимательно учитывать факторы внешней среды.
С другой стороны, для любой российской фирмы, как крупного монополиста, так и мелкого коммерческого банка, проблема внешней среды очень актуальна из-за воздействия трёх глобальных факторов:
– политического – в стране не создана устойчивая, эффективно действующая структура власти. Политическая обстановка постоянно чревата серьёзными потрясениями. У различных политических сил, стремящихся к власти, разное отношение к власти, разное отношение к бизнесу – не только в частностях, но и в основном подходе, определяющем соотношение государственного и частного бизнеса, сферы предпринимательской деятельности, возможность прямого контроля над фирмами;
– социального – резкое расслоение населения по уровням доходов приводит к постоянному сжатию первичного, потребительского спроса на рынках конечных продуктов. Это влечёт за собой сокращение вторичного спроса, то есть спроса фирм, предприятий на рынках экономических ресурсов – средств производства, сырья и т. д. Кроме того, социальное расслоение означает создание различных сегментов потребительского рынка – рынка для богатых и рынка для бедных, что ставит проблему выбора предприятием своей товарной политики;
– экономического, когда ситуация спада в российской экономике существенно ухудшила перспективы роста российских предприятий, снизила возможности накопления капитала, необходимого для новых вложений.
Если говорить о значении рабочей среды в практике планирования российских экономических организаций, то в период перехода к рынку оно существенно возрастает. В централизованно управляемой экономике любые связи в рабочей среде предприятия осуществлялись при активном участии государства, которое самостоятельно, без учёта интересов организации устанавливало ей поставщиков и клиентов. Фактор конкуренции в экономике советского типа практически отсутствовал. Влияние контактных аудиторий было очень мало.
После того как анализ внутренней и внешней среды завершён, фирма определяет основные ориентиры своей деятельности, основанные на итогах предыдущего этапа. Иногда определение целей в стратегическом планировании предшествует анализу среды. Такая практика имеет свой смысл: само существование экономической организации предполагает, что у неё есть некоторые цели и мотивы жизнедеятельности.
Всю совокупность ориентиров деятельности фирмы можно разделить на три основных типа:
– идеалы – ориентиры, которые мы не рассчитываем достичь в обозримом периоде, но допускаем приближение к ним;
– цели – наиболее общие ориентиры деятельности фирмы в плановом периоде, достижение которых предполагается в полном объёме или в своей большей части;
– задачи – конкретные, количественно измеряемые ориентиры, описания серии рабочих функций, определяющие форму и время выполнения заданий.
Разработка стратегии предполагает определение идеалов и целей. В рамках оперативного планирования фирма намечает конкретные задачи для каждого из участков работы.
К идеалам экономической организации можно отнести её видение.
Видение – это руководящая философия бизнеса, обоснование существования фирмы, не сама цель, а, скорее, чувство основной цели фирмы. То есть, видение – это идеальная картина будущего, то состояние, которое может быть достигнуто при самых благоприятных условиях. Видение определяет уровень притязаний в процессе стратегического планирования.
Концепция "видения" завоёвывает всё большую популярность в мире бизнеса. Возрастающее значение видения определяется следующими факторами.
1. Видение является хорошим средством мотивации работников фирм, особенно крупных, децентрализованных, оно помогает сплачивать, объединять деятельность людей в едином направлении.
В видении обычно не подчёркивается желание получить прибыль, оно объединяет индивидуальные идеалы всех участников организаций в единый эталон ценностей. С этой точки зрения видение пересекается с внутрифирменной культурой, основным элементом которой является система ценностей организации.
2. Видение создаёт чувство перспективы в деятельности организации, обеспечивает преемственность следующих друг за другом целей фирмы, а у видения нет финишной черты, оно создаёт импульс для постоянного прогресса.
Миссия является гораздо более конкретным ориентиром, чем видение. В отличие от видения у миссии есть своя финишная черта – период времени, по истечении которого она должна быть выполнена. Миссия должна быть сформулирована так, чтобы её выполнение сочеталось с напряжением сил в организации с определённым риском деятельности. Срок выполнения миссии должен быть обозримым и достаточно большим для того, чтобы нынешнее поколение работников могло увидеть результаты своего труда. Так же, как и видение, миссия даёт общее направление деятельности организации.
Миссия – это цель, для которой организация существует и которая должна быть выполнена в плановом периоде. Миссия является комплексной целью, она включает как внутренние (например, повышение производительности), так и внешние (например, связанные с конкуренцией) ориентиры деятельности фирмы, выражая таким образом суть того успеха, которого должна добиться организация [41].
Особое значение миссии для деятельности организации состоит в следующем.
Во-первых, миссия является базисом, точкой опоры для всех плановых решений организации, для дальнейшего определения её целей и задач.
Во-вторых, миссия создаёт уверенность, что организация преследует непротиворечивые, ясные, сравнимые цели.
В-третьих, миссия помогает сосредоточить усилия работников на выбранном направлении, объединяет их действия.
В-четвёртых, миссия создаёт понимание и поддержку среди внешних участников организации, тех, кто заинтересован в её успехе.
Содержание миссии должно включать в себя следующие пункты: описание продуктов и/или услуг, предлагаемых организацией; характеристика рынка – организация определяет своих основных потребителей, клиентов, пользователей; цели организации, выраженные в терминах выживания, роста, доходности; технология: характеристика оборудования, технологических процессов, инноваций в области технологии; философия: здесь должны быть выражены базовые взгляды и ценности организации, служащие основой для создания системы мотивации; внутренняя концепция, в рамках которой организация описывает собственное впечатление о себе, указывая источники силы, основные слабости, степень конкурентоспособности, фактор выживания; внешний образ компании, её имидж, подчёркивающий экономическую и социальную ответственность компании перед партнёрами, потребителями, общества в целом, в этой части миссия должна передать впечатление, которая фирма хочет произвести на внешний мир. Содержательные пункты обычно отражаются в положении о миссии, их последовательность и сочетание могут быть различными в зависимости от решения конкретной фирмы. Формирование миссии является обычным явлением для высокоразвитого бизнеса. В российской экономике в последнее время составлением миссии начали заниматься вновь возникшие частные экономические организации, достигшие определённого роста и успеха. Хотя определение миссии является, безусловно, полезным также и для небольших фирм или только создающихся форм бизнеса (тогда миссия включается в состав бизнес-плана).
Цели, в отличие от миссии, выражают отдельные конкретные направления деятельности организации.
Важность определения целей связана с тем, что они:
являются фундаментом для процесса менеджмента в целом: планирования, мотивации, организации, контроля;
определяют способы повышения эффективности организации;
лежат в основе принятия любого делового решения;
служат руководством для формирования конкретных плановых показателей.
Цели организации делят на экономические и неэкономические.
К неэкономическим можно отнести социальные цели, например, улучшение условий труда. Иногда неэкономические цели могут отличаться от ожидания некоторых внутренних или внешних сил организации.
Экономические цели организации, выраженные в показателях хозяйственной деятельности, можно, в свою очередь, разделить на количественные и качественные.
Пример количественной цели – увеличение доли рынка фирмы до 20% в 2001 году. Пример качественной цели – достижение фирмой технологического превосходства в отрасли. Как экономические, так и неэкономические цели могут быть разделены с точки зрения периода их достижения на кратко-, средне- и долгосрочные. Долгосрочные цели не имеют чётко выраженных количественных характеристик, они в большей степени связаны с миссией фирмы. Краткосрочные цели обязательно имеют конкретное содержание и указывают:
– что должно быть достигнуто (в том числе в количественном выражении);
– когда цель должна быть достигнута;
– кто конкретно (какое подразделение организации) выполняет задачу по достижению цели.
Деятельность экономической организации объективно очень разнообразна, поэтому, как указывает известный специалист по менеджменту П.Ф. Друкер, организация не может быть сосредоточена на единственной цели, а должна определить несколько наиболее значительных ориентиров действий [9].
Выделяют 8 ключевых пространств, в рамках которых организация определяет свои цели.
1. Положение на рынке. Здесь фирма определяет позицию по отношению к конкурентам, выражает свой успех в показателях конкурентоспособности.
2. Инновации. Определение новых способов ведения бизнеса:
– производство новых товаров;
– внедрение на новые рынки;
– применение новых технологий;
– использование новых методов организации производства.
3. Производительность. Организация определяет цели на уровне взаимосвязи результатов хозяйствования с ресурсами, необходимыми для достижения этих результатов. Более продуктивной является та организация, которая для производства данного количества продуктов затрачивает меньше экономических ресурсов.
4. Ресурсы. Фирма проводит оценку всех видов имеющихся у неё экономических ресурсов материально-производственных запасов, оборудования, наличности. Сравнивается наличный уровень ресурсов с необходимым и определяется будущая потребность в них.
5. Доходность (прибыльность). Формируется способность организации зарабатывать доходы сверх затрат, необходимых для генерирования доходов. Цели, связанные с доходностью, обычно указывают её необходимый количественный уровень.
6. Управленческие аспекты. Выражены в качестве менеджмента, шкале персональных достижений менеджеров, работающих в организации. Цели, связанные с качеством менеджмента, многим организациям не представляются важными, поскольку напрямую не связаны с получением краткосрочной прибыли. Ведь краткосрочная прибыль – это чаще результат везения, предпринимательского чутья и таланта. Однако в долгосрочном периоде хорошо продуманные методы управления и разработки в этой области являются существенными для развития и успеха организации.
7. Персонал: Выполнение трудовых функций и отношение к работе. Бизнес должен признать свою ответственность перед работниками, добиться того, чтобы цели эффективно отражали способы мотивации людей, занятых в организации. Многие деловые фирмы в России понимают необходимость таких действий и определяют в качестве целей более высокую зарплату, более интересное и насыщенное содержание работы, лучшие условия труда и профессионального общения возможности быстрого развития работников. Результаты достижения этих целей проявляют себя также в долговременном периоде.
8. Социальная ответственность, понимаемая как обязанность бизнеса способствовать благосостоянию общества. Несмотря на длительные разговоры о социальной ответственности, ещё несколько лет назад установка подобных целей вызывала возражение у экономистов консервативного толка. Так, известный американский экономист М. Фридмен утверждал, что у бизнеса не может быть иных целей, кроме получения прибыли, и в этом заключается его социальная ответственность, поскольку продуктивная работа отдельных фирм создаёт предпосылки для роста совокупного продукта общества, а значит, более высокого уровня жизни в стране. Сегодня общепризнанно то, что бизнес должен благотворно воздействовать на общественную жизнь не только узко, в смысле увеличения возможностей для материального роста, но и широко, соответствуя общепринятым общественным ценностям, обеспечивая общество качественными товарами и услугами, формируя благоприятную экологическую среду, принимая участие в решении острых социальных проблем и т. д.
Когда цели определены, их нужно исследовать на предмет качества.
Главными критериями здесь являются следующие:
– максимально возможная конкретность целей. Чем более конкретно сформулирована цель, тем легче её достичь;
– цели должны быть рассчитаны на приемлемый уровень усилий работников. Достижение целей не должно быть слишком лёгким процессом, это означало бы, что фирма не использует свой потенциал. Однако усилия не должны быть чрезмерными, иначе будет утрачен интерес к работе и ослаблена мотивация;
– гибкость целей и наличие пространства для их корректировки в связи с непредвиденными изменениями;
– измеримость целей;
– сопоставимость целей. Сопоставимыми должны быть цели из различных ключевых пространств. То есть, показатели прибыли должны соответствовать показателям рыночной позиции фирмы (определённому росту продаж), а последние, в свою очередь, быть увязаны с ресурсными целями и т. д.;
– цели внутрифирменной иерархии целей, каждая из которых должна соответствовать цели более высокого уровня. Важной частью работы менеджера является правильная разбивка целей на подцели. Это должно быть сделано так, чтобы достижение каждой отдельной подцели приводило к достижению общей цели организации.
Очень важное значение при этом имеет сбор необходимой информации. Источники информации могут иметь разнообразный характер. Многие фирмы для получения редкой и достоверной информации стремятся найти некие особенные источники, часто нелегальные. Однако нужно иметь в виду, что около 90% нужной, соответствующей информации можно извлечь из легальных источников.
Сбором нужной информации обычно занимается служба планирования. В то же время этот процесс координируется и контролируется высшим менеджментом. Высший менеджмент, кроме того, самостоятельно занимается сбором информации, так как обладает возможностью вхождения в различные информационные каналы.
Оценка информации является заключительным этапом анализа организационной среды. Итоги оценки используются в качестве основы для стратегического анализа и определения возможных вариантов стратегии.
Основной целью оценки информации является выяснение отрицательных и положительных воздействий среды на будущую деятельность фирмы. В процессе оценки фокус перемещается от понимания среды к пониманию того, что данное состояние среды может значить для организации.
Стратегический анализ – это средство преобразования базы данных, полученных в результате анализа среды, в стратегический план организации.
К инструментам стратегического анализа относятся:
– формальные модели и количественные методы. Период особого увлечения ими и появления наиболее популярных моделей приходится на 70-е годы нашего столетия;
– самостоятельный творческий анализ, основанный на специфике данной организации, аналитических и интуитивных способностях менеджеров и плановиков.
Формальные методы и модели в определённой степени утратили свою популярность в 80-е годы. Однако это не означало отказ от них, а выразилось в том, что сегодня методы стратегического анализа применяют с большей осторожностью, с учётом конкретных обстоятельств.
Стратегический анализ может быть разделён на два основных этапа:
– сравнение намеченных фирмой ориентиров и реальных возможностей, предлагаемых средой, анализ разрыва между ними;
– анализ возможных вариантов будущего фирмы, определение стратегических альтернатив.
Когда стратегические альтернативы определены, фирма приступает к завершающему этапу разработки стратегии – выбору определённого варианта стратегии и подготовке стратегического плана.
Анализ разрыва – простой, но эффективный метод стратегического анализа. Его цель – определить, существует ли разрыв между целями фирмы и её возможностями и, если да, установить, как заполнить его.
Конкретное применение анализа разрыва означает следующее:
– определение основного интереса фирмы, выраженного в терминах стратегического планирования (например, в увеличении числа продаж);
– выяснение реальных возможностей фирмы с точки зрения текущего состояния среды и предполагаемого будущего состояния (через 3,5 лет);
М. Портер выделил три основные стратегии, которые имеют универсальный характер и применимы в отношении любой конкурентной силы. Это – преимущество в издержках, дифференциация, фокусирование [18].
Преимущество в издержках создаёт большую свободу выбора действий, как в ценовой политике, так и при определении уровня доходности. Стратегия снижения издержек широко применялась на ранних стадиях развития рынка. Сегодня она приобрела новую популярность в связи с тем, что развитые рыночные экономики вступили в так называемую "эпоху дефляции", означающую общее снижение цен и, в том числе, доходов населения.
Дифференциация означает создание фирмой продукта или услуги с уникальными свойствами, которые чаще всего бывают закреплены торговой маркой. Иногда уникальность товара не идёт дальше простой декларации, тогда можно говорить о мнимой дифференциации. Эта стратегия получила повсеместное распространение в развитых экономиках во второй половине ХХ века по причине насыщения и индивидуализации потребительского спроса.
Фокусирование – это сосредоточение внимания на одном из сегментов рынка, на особой группе покупателей (например, только на пожилых покупателях), определённой группе товаров или ограниченно на географическом секторе рынка.
Каждая из основных стратегий требует особого рода экономических ресурсов и навыков, а также управленческих действий.
Формулирование стратегии следует за этапом стратегического анализа и нацелено на выбор одной из стратегических альтернатив.
Уже в процессе стратегического анализа руководство организации склоняется к выбору одного из возможных вариантов стратегии – того, который в наибольшей степени соответствует условиям внутренней и внешней среды, а также выбранным целям деятельности.
Однако методы стратегического анализа не могут подменить процесса фундаментального стратегического мышления. Главная слабость формальных методов поиска стратегии в том, что они игнорируют специфические особенности каждого из видов бизнеса, иногда приводят к слишком общим, абстрактным выводам.
Процесс формирования стратегии заключает в себе три этапа:
– формирование общей стратегии организации;
– формирование конкурентной стратегии;
– определение функциональных стратегий фирмы.
Общая стратегия организации формируется высшим руководством.
Разработка общей стратегии решает две главные задачи:
– должны быть отобраны и развёрнуты основные элементы общей стратегии фирмы;
– необходимо установить конкретную роль каждого из подразделений фирмы при осуществлении стратегии и определить способы определения ресурсов между ними.
Всё разнообразие стратегий может быть сведено к трём основным типам: стратегиям стабильности, роста, сокращения. Организация может выбрать один из них или применять определённые сочетания различных типов (что обычно бывает характерно для крупных, диверсифицированных компаний).
Стратегия стабильности – сосредоточение на существующих направлениях бизнеса и поддержка их. Обычно используется крупными фирмами, которые доминируют на рынке. Конкретным выражением этой стратегии могут быть усилия фирмы, направленные на то, чтобы избежать правительственного (государственного) контроля и/или наказаний за монополизацию (способ действий, характерный для российских фирм-монополистов).
Стратегия роста – увеличение организации, часто через проникновение и захват новых рынков.
Разновидность стратегии роста:
– вертикальная интеграция;
– горизонтальная интеграция.
Осуществляется тремя способами:
– поглощение конкурирующих фирм путём аквизиции (приобретения контрольного пакета акций);
– слияние – объединение на приблизительно равноправных началах в рамках единой организации.
– совместное предприятие – объединение организаций разных стран для реализации совместного проекта, если он оказывается не под силу одной из сторон.
Стратегия сокращения применяется в тех случаях, когда выживание организации находится под угрозой. Её разновидностями являются стратегия разворота, стратегия отделения и стратегия ликвидации.
Стратегия разворота – используется, если организация действует неэффективно, но ещё не достигла своей критической точки. Означает отказ от производства нерентабельных продуктов, излишней рабочей силы, плохо работающих каналов распределения и дальнейший поиск эффективных путей механизма использования ресурсов. В том случае, когда стратегия разворота принесла положительные результаты, в дальнейшем можно сосредоточиться на стратегии роста.
Стратегия отделения – если компания включает несколько видов бизнеса и при этом один из них работает плохо, производится отказ от него – продажа этой деловой единицы или превращение её в отдельно работающую фирму.
Стратегия ликвидации – в случае достижения критической точки – банкротства – происходит уничтожение организации, распродажа её активов. Наиболее нежелательная из стратегий сокращения; создаёт неудобства и убытки, как для собственников (акционеров), так и для работников фирмы.
Иногда общую стратегию организации называют портфельной, поскольку она определяет уровень и характер инвестиций организации, устанавливает размеры вложений капитала в каждую из её единиц, то есть формирует определённый состав и структуру инвестиционного портфеля организации.
Эффективно распределённые между деловыми подразделениями фирмы инвестиции могут создать эффект синергизма или стратегического рычага, когда определённые затраты на совокупность различных видов стратегий приводят к гораздо более существенным преимуществам в деятельности компании, обусловленным удачным дополнением или сотрудничеством между деловыми единицами.
Конкурентная стратегия организации нацелена на достижение конкурентных преимуществ. Если фирма занята только одним видом бизнеса, конкурентная стратегия является частью общефирменного стратегического планирования. Если организация включает несколько деловых единиц (стратегических подразделений), каждая из них разрабатывает собственную целевую стратегию.
Функциональные стратегии разрабатываются специально для каждого функционального пространства организации. Они включают следующие элементы.
Стратегия НИОКР, обобщающая основные идеи о новом продукте – от его первоначальной разработки до внедрения на рынке. Имеет две разновидности: инновационную стратегию и имитационную стратегию. Инновационные стратегии, то есть стратегии разработки принципиально новых продуктов и услуг, требуют больших затрат и очень рискованны: в среднем только одна из семи инноваций имеет рыночный успех, остальные шесть превращаются в невозместимые для фирмы издержки. Поэтому более популярными являются имитационные стратегии, которые широко применяются даже в современных высокотехнологичных отраслях, например в компьютерной отрасли.
Производственная стратегия сосредоточена на решениях о необходимых мощностях, размещении промышленного оборудования, основных элементах производственного процесса, регулирования заказов. Двумя наиболее важными аспектами производственной стратегии являются:
– контроль за издержками;
– повышение эффективности производственных операций.
Маркетинговая стратегия заключается в определении подходящих продуктов, услуг и рынков, которым они могут быть предложены. Определяет наиболее эффективный состав комплекса маркетинга.
Финансовая стратегия ответственна за прогнозирование финансовых показателей стратегического плана, оценку инвестиционных проектов, планирование будущих продаж, распределение и контроль финансовых ресурсов.
Многие организации разрабатывают стратегию управления персоналом, с помощью которой решаются проблемы повышения привлекательности труда, мотивации, аттестации персонала, поддержания такого количества занятых на предприятиях, и типов рабочих мест, которые соответствуют эффективному ведению бизнеса. Важное место в последнее время занимает стратегия информатизации, которая обеспечивает внедрение фирмами новых эффективных способов управления, таких как реинжиниринг. Особо можно говорить о разработке стратегии безопасности с учётом её внешних и внутренних аспектов.
Важной темой современного российского хозяйствования является разработка стратегии выживания. Особое значение она приобретает для государственных и бывших государственных предприятий. Эти предприятия в большей мере несут на себе груз прежних методов управления и планирования. В централизованно управляемой экономике среда хозяйствования и его цели имели принципиально иной характер, чем в рыночной экономике.
1.2.3. Мотивация
Учитывая, что основные направления мотивационной системы были изложены выше, в данном разделе затронуты мотиваторы, касающиеся только аттестации. По нашему мнению, данный мотивационный блок должен включить в себя следующие направления мотивации.
Апробация мотивационной модели по результатам аттестации УР на обследованных и других предприятиях дала основание говорить о том, что, несмотря на отдельные недоработки в содержательной части, многие мотиваторы стали более существенно воздействовать на социальную и творческую активность работников и конечные результаты их деятельности, а также практически устранены формальные признаки в ее проведении. С другой стороны, стали более полно удовлетворяться потребности социального взаимодействия, потребности в уважении личности и самовыражении ее потенциальных возможностей.
При переходе к рыночным отношениям возник ряд проблем, решение которых в первую очередь связано с повышением персональной ответственности руководителей всех уровней управления за создание необходимых экономических, технических и социальных условий для коллективов предприятий и их структурных подразделений.
Особое место в решении существующих проблем занимают проблемы мотивации инженерно-управленческого труда, совершенствование которых должно, по нашему мнению, способствовать повышению роли УР в решении первоочередных задач использования достижений научно-технического прогресса, совершенствовании техники и технологии, организации производства и труда, что позволит резко снизить трудоемкость производимой продукции, повысить ее качество, удовлетворить потребности покупателей.
Именно совершенствование мотивационных систем призвано на практике обеспечить повышение социальной и творческой активности УР предприятий различных организационно-правовых форм собственности, объединение, а не разведение интересов в решении конкретно поставленных задач.
Примерные формы морального и материального стимулирования приведены на рисунках 6-10.
Материальная мотивация
| 1-ая модель |
| Материальная мотивация |
| Повышение должностного оклада |
| Разовые выплаты денежного вознаграждения по полугодиям (дифференцированно) |
| Дифференцированные денежные выплаты по итогам года |
| Дифференцированное повышение размера премий |
| Увеличение отчислений в пенсионный фонд работника |
| Продажа льготных акций |
Рис. 6.
Мотиваторы профессионального и должностного роста
| 2-ая модель | |
| Профессиональный и должностной рост | |
| Повышение категорий, классности (1,2,3 категория; 1,2,3 класс) |
Рекомендации для продвижения по службе |
| Направление на учебу (вуз, университет) | Рекомендации по избранию в руководящие органы управления предприятия |
| Рекомендации в аспирантуру, магистратуру | |
| Направление на целевые курсы | Рекомендации по избранию в руководящие органы регионального управления |
Рис. 7.
Моральные стимулы
| 3-ая модель |
| Моральные стимулы |
| Награждение дипломом за высокое профессиональное мастерство |
| Награждение знаками отличия: Лучший менеджер, Лучший конструктор и т. д. |
| Рекомендации к награждению медалью, орденом России |
| Рекомендации для участия в государственных и межгосударственных конкурсах, выставках лучших научных разработок |
| Представление к поездкам в заграничные командировки |
Рис. 8.
Социально-натуральные мотиваторы
| 4-ая модель |
| Социально-натуральные мотиваторы |
| Выделение работникам на заработную плату товаров, выпускаемых предприятием |
| Покупка для работников продукции широкого спроса других предприятий (машины, телевизоры и другая бытовая техника) |
| Строительство и выделение в пользование работникам на бесплатной основе или с частичной оплатой дач, гаражей и т. д. |
| Льготная покупка вышеперечисленных товаров, включая продукты питания |
| Выделение льготных кредитов |
| Представление отсрочки платежей на определенный период |
Рис. 9.
Материальная мотивация
| 5-ая модель |
| Социальные мотиваторы |
| Бесплатное пользование дошкольными учреждениями |
| Бесплатное питание на работе |
| Бесплатное медицинское обслуживание |
| Кредитование получения образования |
| Оплата транспортных расходов |
| Бесплатное пользование спортивными сооружениями |
| Досрочный выход на пенсию за счет предприятия |
| Повышение квалификации за счет предприятия |
| Материальные гарантии по безработице |
| Покупка для работников жилья |
| Снижение норм выработки в связи с ухудшением здоровья |
| Скидка на покупку товаров |
| Выделение беспроцентных кредитов |
Рис. 10.
Мотивация в системе повышения квалификации
Мотивация в системе повышения квалификации УР преимущественно базируется на теории ожидания, которая предполагает наличие определенной цели у работника, решившего повысить свою квалификацию, и пути достижения этой цели в надежде на то, что чем выше будет его квалификация, тем быстрее будет осуществляться его профессиональный должностной рост и связанная с этим мотивация труда.
Любая модель мотивации вообще и в системе повышения квалификации, в частности, включает в себя элементы теории ожидания и теории справедливости и связана, прежде всего, с затратами дополнительных усилий, полученными результатами, уровнем вознаграждения и степенью удовлетворенности. В свою очередь, удовлетворение – это результат воздействия внутренних и внешних вознаграждений с учетом их справедливости. Насколько справедливо вознаграждение по результатам повышения квалификации, настолько УР будет стремиться к ее повышению.
Сегодня нет необходимости кого-то убеждать, что первоочередной мерой в этой области должно стать превращение системы повышения квалификации и переподготовки кадров в действенный механизм, так как эта проблема является одной из ключевых проблем структурной перестройки производства. Шк ала доплат за высокую квалификацию приведена ниже (табл. 1)
Таблица 1
Шкала доплат к должностному окладу ИУР за повышение квалификации
с учетом образования, стажа работы и коэффициента качества труда (КТР)
Инженерно-управленческие работники |
Образование | КТР от 1 и выше |
Стаж работы | ||||
| от 3 до 4 | от 5 до 7 | от 8 до 11 | от 12 до 15 | выше 15 | |||
| Инженеры, управленцы | среднее | - | - | - | - | - | - |
| среднее специальное | - | 5 | 10 | 15 | 20 | 25 | |
| незаконченное высшее | - | 10 | 15 | 20 | 25 | 30 | |
| высшее | - | 20 | 30 | 40 | 50 | 60 | |
| кандидат наук | - | 30 | 40 | 50 | 60 | 70 | |
| Экономисты, бухгалтеры | среднее | - | - | - | - | - | - |
| среднее специальное | - | 5 | 10 | 15 | 20 | 25 | |
| незаконченное высшее | - | 10 | 15 | 20 | 25 | 30 | |
| высшее | - | 20 | 30 | 40 | 50 | 60 | |
| кандидат наук | - | 30 | 40 | 50 | 60 | 70 | |
Мотивация как фактор развития технического творчества
До 1985 г. в бывшем СССР ежегодно в производство внедрялось более 4 млн. рационализаторских предложений и изобретений с экономическим эффектом 5 млрд. руб., естественно, в ценах соответствующего периода. Техническое творчество УР и рабочих положительно воздействовало не только на развитие экономики, но и на повышение социальной и творческой активности практически всех категорий работающих. Однако, наряду с увеличением численности изобретателей и рационализаторов, подавших предложения за последние 10-15 лет в сравнении с предыдущими периодами, одновременно проявилась и другая отрицательная тенденция – уменьшение роста интенсивности массовости участия трудящихся в техническом творчестве в сравнении с общей численностью рабочих, УР и служащих, занятых в народном хозяйстве страны. Значительное количество предложений (более 30% от поданных) не находили практического применения в производстве из-за длительных сроков их использования.
Безусловно, что данные явления требуют дальнейшего изучения как с позиции выяснения причин, породивших их, так и с точки зрения разработки мероприятий по устранению возникших отрицательных тенденций в развитии изобретательского и рационализаторского творчества. И особенно важным представляется изучение рационализаторской и изобретательской деятельности ИУР, от труда и характера принимаемых решений которых во многом зависят эффективность общественного производства, улучшение качества работы, масштабы и темпы научно-технического прогресса.
Модель мотивации приводится ниже (Рис. 11).
Модель мотивации рационализаторов и изобретателей
| Модель мотивации ИУР рационализаторов и изобретателей | |
| Социально-материальные | Моральные |
| Выплаты вознаграждения в зависимости от эффекта | Моральные стимулы предприятия (награждение знаками отличия, дипломами, присвоение званий "Новатор" 1, 2 степени) |
| Премии за присвоение звания | |
| Бесплатные или частично оплачиваемые социальные льготы | Моральные стимулы районного, городского, регионального значения ("Лучший изобретатель-рационализатор") |
| Установление надбавок к должностному окладу | |
| Увеличение размера премии | Моральные стимулы отраслевого значения ("Лучший инженер-новатор", "Лучший менеджер, конструктор, технолог, экономист") |
| Надбавка к пенсии | |
| Премии за содействие изобретательству и рационализации | Моральные стимулы государственного значения ("Лучший инженер-новатор РФ", "Лучший изобретатель-рационализатор", лауреат государственной премии, награждение медалью, орденом) |
| Льготная продажа акций за внедрение технических и экономических нововведений | |
| Премирование по итогам участия в конкурсах и выставках | |
Рис. 11.
Мотивация как фактор развития совмещения должностей
Для того, чтобы повысить эффективность труда работников аппарата управления и сократить расходы на его содержание, необходимо не только сокращать излишние дублирующие звенья, но и неуклонно сокращать общую численность работников этого аппарата. К сожалению, численность работников аппарата управления не только не сокращается, но из года в год растет непредвиденными темпами. Пока учеными-управленцами не предложено соответствующих действующих рекомендаций по сокращению аппарата управления. По нашему мнению, дальнейшее повышение эффективности и качества труда инженерно-управленческих работников будет зависеть от приведения в действие не только материально-технических, но и социально-экономических факторов, и прежде всего от степени внедрения научной организации труда, создания благоприятных условий для творческого поиска, проявления личной инициативы и творческих способностей. Поэтому всякая недооценка проблемы повышения эффективности труда инженерно-управленческих работников приводит очень часто на практике к значительному экономическому ущербу, к тому, что недостатки в организации и стимулировании труда являются одной из причин понижения ответственности специалистов, а в отдельных случаях – низкой эффективности создаваемой техники и технологии, замедленных сроков внедрения достижения НТП в производство.
Следовательно, степень воздействия инженерно-управленческого труда на совершенствование хозяйственного механизма и повышение эффективности общественного производства должна определяться не только количеством труда, но и рациональным использованием творческого потенциала высококвалифицированных работников и приведением в действие значительных резервов в их труде.
В настоящее время в связи с вхождением российских предприятий в рыночные отношения и изменением форм собственности у менеджеров предприятий появилось значительно больше возможностей в части применения конкретной мотивационной системы за повышенную интенсивность труда.
Мотивирование за повышенную интенсивность инженерно-управленческого труда осуществляется по трем направлениям:
– совмещение должностей;
– расширение зоны обслуживания (выполнение функций отсутствующих работников);
– увеличение объема работ с меньшей численностью работников.
Материальное стимулирование за совмещение должностей осуществляется с учетом сложности работ руководителем предприятия по представлению непосредственного руководителя структурного подразделения, где трудится УР (начальник отдела, цеха). Размеры доплат не регламентируются и зависят от конечных результатов деятельности, но они значительно превышают размеры доплат ранее действующего порядка и могут выплачиваться в размере 100% зарплаты заменяемого работника. При этом основным критерием в установлении доплат служит критерий – коэффициент качества труда.
Мотивация УР за выполнение функций отсутствующих работников или высвобожденного работника в результате совмещения осуществляется в зависимости от того, сколько человек согласились выполнять функции отсутствующего или высвобожденного работника (работников). На доплату можно расходовать 100% тарифной ставки отсутствующего работника. Указанная доплата производится при условии, что замещающий не является штатным заместителем или помощником временно отсутствующего работника. Если замещение возлагается на штатного заместителя или помощника, то разница в окладах не выплачивается.
Материальное стимулирование за выполнение больших объемов работ с меньшей численностью работников осуществляется при условии экономии фонда заработной платы на конкретном участке работ (отдел, бюро, производственный участок). Экономия фонда заработной платы, полученная от снижения численности персонала по сравнению с нормативами, расходуется на доплаты полностью или частично (табл. 2).
Таблица 2
Примерная шкала доплат за совмещение должностей, расширение зон обслуживания и увеличение объема работ с меньшей численностью работников
| Наименование должностей | Размер доплат, в процентах к должностному окладу | ||
| за увеличение объема работ с меньшей численностью работников | за расширение зон обслуживания (выполнение функций отсутствующих работников) | за совмещение должностей | |
| Руководящий и линейный персонал: пом. мастера, ст. мастер, нач. участков, механики энергетики, нач. смен | за каждый процент снижения численности (от 1 до 5, от 5 до 7, от 7 до 10): 50 – 70 – 100 | - | - |
| Работники экономических, финансовых отделов и служб | - | в зависимости от срока выполнения дополнительных функций (до 6 мес., до 1 года, больше 1 года): 50 – 70 – 100 | - |
| Конструкторы, технологи | - | - | В зависимости от срока совмещения (до 6 месяцев, до 1 года, больше 1 года): 50 – 70 – 100 |
Мотивация снижения текучести и стабилизации инженерно-управленческих кадров
Эффективность развития предприятий различных организационно-правовых форм собственности и государства в целом в будущем во многом будет определяться стабильностью инженерно-управленческих кадров. В свою очередь, стабильность инженерно-управленческих кадров не в меньшей степени будет определяться эффективностью применяемых систем мотивации.
Применительно к инженерному труду разноплановое применение мотивационных моделей или отдельных их блоков (о чем говорится выше) призвано более глубоко проникнуть в сущность этого явления, выявить мотиваторы, способствующие текучести высококвалифицированных кадров на предприятии и обществе в целом или тормозящие этот процесс.
Социально-экономическая эффективность мотивационных моделей в области стабилизации и снижения текучести ИУР определяется такими показателями, как:
– снижение уровня текучести (реальной и потенциальной);
– стабильность инженерных кадров за определенный отрезок времени;
– снижение прямых и косвенных потерь рабочего времени;
– социально-экономическая удовлетворенность характером труда.
Воздействие мотивационных систем и факторов на текучесть и стабилизацию инженерных кадров было и остается малоизученной проблемой в России. Вместе с тем попытки проникнуть в сущность этого социально-экономического процесса эпизодически предпринимались, но в основном они касались выявления только мотиваторов, под воздействием которых растет или снижается текучесть данной категории работников.
Каковы же основные мотивы непреклонного желания такого большого количества инженеров перейти на другую работу? На этот вопрос отвечают сами инженеры. Вот, например, как выглядит структура мотивов потенциал ьной текучести, полученная в результате подсчета ответов на вопрос: "Почему Вы хотите перейти на другую работу?" (табл. 3).
Таблица 3
Итоги мотивов потенциальной текучести (в процентах)
| Мотив | Текучесть (средняя по предприятиям) |
Ранг |
| Несоответствие выполняемой работы квалификации, уровню подготовки | 6,40 | 6 |
| Неудовлетворенность специальностью | 10,50 | 5 |
| Неудовлетворенность организацией труда | 12,10 | 3 |
| Однообразность работы | 10,70 | 4 |
| Отсутствие условий для научно-технического роста | 1,10 | 10 |
| Недостаточная самостоятельность | 1,20 | 10 |
| Отсутствие условий для исследовательской работы | 1,00 | 11 |
| Конфликты с администрацией | 2,20 | 7 |
| Плохие отношения в коллективе | 1,50 | 8 |
| Неудовлетворенность жилищными условиями | 14,80 | 2 |
| Низкий уровень зарплаты | 31,90 | 1 |
1.3. Техническое оснащение предприятия
оборудование
Количество оборудования и рабочих мест
О = Т/(Фо *Кз ) (1.1)
О = 1800/(492*0,8) = 5 шт.,
где О – количество оборудования и рабочих мест,
Т – трудоемкость квартальной программы,
Фо – фонд времени оборудования и рабочего места,
Кз – коэффициент загрузки оборудования и рабочих мест, который учитывает простои оборудования и рабочих мест.
Состав оборудования приведен в таблице 4.
Таблица 4
Состав оборудования предприятия "ЮМА"
| Оборудование | Модель станка | Кол-во на годовую программу. шт. |
1. Дерево обрабатывающие станки В том числе: |
||
| 1.1. Фуговальный станок | С2ФЧ-1 | 1 |
| 1.2. Рейсмус | 1 | |
| 1.3. Вертикально-фрезерный станок | 3 | |
| 1.4. Циркулярная пила | 2 | |
| ИТОГО ДЕРЕВООБРАБАТЫВАЮЩИХ СТАНКОВ | 7 | |
| 2. Прочее оборудование: | ||
| 2.1. Компрессор | 1 | |
| ИТОГО ПРОЧЕГО ОБОРУДОВАНИЯ | 1 | |
| ИТОГО ОБОРУДОВАНИЯ | 8 |
Размещение производства и площади
Деревообрабатывающий участок размещается на арендуемых площадях согласно договору об аренде.
Расчет площадей предоставлен в таблице 5.
Таблица 5
Производственные площади предприятия "ЮМА"
| Оборудование | Общая площадь | Стоимость арендуемых помещений, руб. |
|||
| Наименование | Количество | На одну ед. оборудования | Всего | Одного м2 | Всего |
| Деревообрабатывающие станки | 7 | 30 | 13 | ||
| Прочее оборудование | 1 | 20 | 287 | ||
| Итого | 8 | 300 | 50 | 15000 | |
1.4. Виды деятельности и поставляемые продукты потребителям. Программа выпуска продукции
Основным видом продукции малого частного предприятия "ЮМА являются оконные блоки" с квартальным выпуском 300 штук. Необходимые детали и материалы для изготовления оконных блоков представлены в таблице 6.
Таблица 6
Производимые детали и материалы
| № | Наименование детали | Кол-во деталей на изд. | Матер-л | объем древесины в чистоте м3 | Площадь прочих матер-лов | Квартальный выпуск | ||
| шт. | м3 | м2 | ||||||
| 1 | Горизонтальный брусок коробки | 2 | Пиломатериалы | 0,0194392 | 600 | 11,66 | ||
| 2 | Вертикальный брусок коробки | 2 | Пиломатериалы | 0,0301926 | 600 | 18,12 | ||
| 3 | Импост | 1 | Пиломатериалы | 0,0194392 | 300 | 5,93 | ||
| 4 | Горизонтальный брусок фрамуги | 2 | Пиломатериалы | 0,0080388 | 600 | 4,82 | ||
| 5 | Вертикальный брусок фрамуги | 2 | Пиломатериалы | 0,0042504 | 600 | 2,55 | ||
| 6 | Горизонтальный брусок створки | 2 | Пиломатериалы | 0,0080388 | 600 | 4,82 | ||
| 7 | Вертикальный брусок створки | 2 | Пиломатериалы | 0,00084 | 600 | 0,50 | ||
| 8 | Стекло створки | 1 | Стекло | 2,77 | 300 | 297 | ||
| ИТОГО | 48,3 | 297 | ||||||
Режим работы и фонды времени
Продолжительность рабочей недели – 40 ч.
Число смен – 1.
Продолжительность смены – 8 ч.
Фонд времени оборудования и рабочего места Ф0 = 492 ч.
Фонд времени рабочего Фр = 465 ч.
Примечания.
Фонд времени оборудования рабочего места – это количество часов работы оборудования или рабочего места (например, верстака) в квартал с учетом выходных и праздничных дней и времени на ремонт оборудования.
Фонд времени рабочего – это количество часов работы рабочего в квартал выходных и праздничных дней.
Трудоемкость
Трудоемкость одного изделия (время изготовления одного изделия)
t – 6 ч.
Трудоемкость квартальной программы
T = t*300 = 1800 ч.
Квартальная потребность материалов
Квартальная потребность материалов представлена в таблице 7.
Квартальная потребность материалов с учетом отходов (Уотх) рассчитывается по формуле:
Уотх = Учст / Кисп (1.2)
где Учст – квартальная потребность основных материалов в чистоте,
Кисп – коэффициент использования материалов (Кисп – 0,86), который учитывает разнообразные отходы в виде стружки, опилок, обрезков и т. д.
Таблица 7
Квартальная потребность в материалах
| Материалы и оснастка | Квартальная потребность | Стоимость **, руб. | Обоснование | |||||
| древесины | прочих материалов |
1 м3 древесины |
1 м2 прочих материалов |
Общая | ||||
в чистоте м3 |
с учетом отходов м3 |
в чистоте м2 |
с учетом отходов* м2 |
|||||
| 1. Основные материалы | ||||||||
| Пиломатериалы | 48,3 | 62,3 | 3000 | 186900 | ||||
| Стекло | 297 | 327 | 130 | 42510 | ||||
| ИТОГО по основным материалам | 48,3 | 62,3 | 297 | 327 | 3000 | 130 | 229410 | |
2. Прочие: изделия, детали, материалы (фурнитура, крепеж и т. д.) |
22941 | 10% от основных матер. | ||||||
| 3. Вспомогательные материалы (шкура, марля, краска, клей и т. д.) | 22941 | 10% от о.м. | ||||||
| 4. Квартальн. расход инструмента и приспособлений | 22941 | 10% от о.м. | ||||||
| ВСЕГО | 298233 | |||||||
*) Квартальная потребность материалов с учетом отходов (Уотх) определена по формуле: Уотх = Учст / Кисп
где Учст – квартальная потребность основных материалов в чистоте,
Кисп – коэффициент использования материалов (Кисп – 0,86), который учитывает разнообразные отходы в виде стружки, опилок, обрезков и т. д.
**) Стоимость основных материалов приведена с учетом транспортных услуг.
2. Анализ экономических показателей
2.1. Анализ структуры оборотных средств
Оборотные средства (оборотный капитал) это часть капитала предприятия, вложенного в его текущие активы. По материально-вещественному признаку в состав оборотных средств включаются: предметы труда (сырье, материалы, топливо и т. д.), готовая продукция на складах предприятия, товары для перепродажи, денежные средства и средства в расчетах. Характерной особенностью оборотных средств является высокая скорость их оборота. Функциональная роль оборотных средств в процессе производства в корне отличается от основного капитала. Оборотные средства обеспечивают непрерывность процесса производства. Вещественные элементы оборотного капитала (предметов труда) потребляются в каждом данном производственном цикле. Они полностью утрачивают свою натуральную форму, поэтому, целиком включаются в стоимость изготовленной продукции (выполненных работ, оказанных услуг).
Стадии кругооборота оборотного капитала показаны на схеме:
Деньги ® Закупки ® Товар (ресурсы) ® Производство ® Товар ® Реализация ® Деньги
Цепочку этих событий можно представить на отрезке горизонтальной линии, которая обозначает течение времени между операциями в месяцах. Период оборота денежных средств можно вычислить по информации, содержащейся в балансе предприятия (форма № 1) и отчете о финансовых результатах и их использовании (форма № 2). Для этого рассчитываются следующие показатели:
1. Оборачиваемость запасов сырья и материалов.
2. Оборачиваемость кредиторской задолженности.
3. Оборачиваемость запасов готовой продукции.
4. Оборачиваемость дебиторской задолженности.
5. Период оборота денежных средств (п.5 = п.1п.2+п.3+п.4).
Кругооборот капитала охватывает три стадии: заготовительную (закупки), производственную и сбытовую. Любой бизнес начинается с некоторой суммы наличных денег, которые развертываются в определенное количество ресурсов для производства (или товары для продажи). В результате стадии закупок оборотный капитал из денежной формы переходит в производственную (предметы труда или товары). На стадии производства ресурсы воплощаются в товар, работы или услуги. Результатом этой стадии является переход оборотного капитала из производственной формы в товарную. На стадии реализации оборотный капитал из товарной формы вновь переходит в денежную. Размеры первоначальной суммы денег (Д) и выручки (Д* ) от реализации продукции (работ, услуг) не совпадают по величине. Полученный финансовый результат бизнеса (прибыль или убыток) объясняет причины несовпадения. Как видим, элементы оборотного капитала являются частью непрерывного потока хозяйственных операций. Покупки приводят к увеличению производственных запасов и кредиторской задолженности; производство ведет к росту готовой продукции; реализация ведет к росту дебиторской задолженности и денежных средств в кассе и на расчетном счете. Этот цикл операций многократно повторяется и в итоге сводится к денежным поступлениям и денежным платежам.
Период времени, в течение которого совершается оборот денежных средств, представляет собой длительность производственно-коммерческого цикла. Этот период складывается из отрезка времени между уплатой денег за сырье и материалы и поступлением денег от продажи готовой продукции. На продолжительность этого периода влияют: период кредитования предприятия поставщиками, период кредитования предприятием покупателей, период нахождения сырья и материалов в запасах, период производства и хранения готовой продукции на складе.
В торговле основное место в составе средств занимают оборотные средства, которые делятся на нормируемые и ненормируемые. Основную часть нормируемых оборотных средств составляют товарные запасы текущего хранения. При анализе изучается наличие товарных запасов по себестоимости; малоценных и быстроизнашивающихся предметов – по остаточной стоимости (за вычетом износа), так как в финансовом плане нормативы по ним: установлены в аналогичной оценке.
Норматив оборотных средств представляет собой совокупность определенных по финансовому плану товарных запасов в ценах себестоимости, нормируемых денежных средств (в кассе и в пути) и прочих нормируемых активов (малоценные и быстроизнашивающиеся предметы, материалы для хозяйственных нужд, расходы будущих периодов).
Снижение фактического объема оборотных средств, вложенных в товарные запасы, против норматива – отрицательное явление. Оно свидетельствует о неполной обеспеченности товарооборота товарными ресурсами, в результате чего ухудшается торговое обслуживание населения, не обеспечивается выполнение плана товарооборота.
Соответствие фактических запасов товаров установленному нормативу проверяется при анализе товарооборота и финансового состояния. В обоих случаях методика почти одинакова, однако имеются некоторые особенности. В ходе анализа финансового состояния фактические запасы товаров принимают в расчет по себестоимости, запасы товаров текущего хранения определяют путем вычитания из общей суммы товарных запасов по себестоимости товаров сезонного накопления, но не общей их суммы, и только в прокредитованной части. Кроме того, фактический объем оборотных средств, вложенных в товарные запасы на конец квартала, сопоставляют с нормативом, установленным на истекший и предстоящий квартал. Отклонение фактического показателя от норматива в первом случае характеризует состояние оборотных средств на конец истекшего, а во втором случае – на начало предстоящего квартала.
В процессе анализа изучают соответствие между фактическими и установленными нормативами оборотных средств не только по товарным запасам, но и по денежным средствам, прочим активам и другим видам нормируемых оборотных средств. Нормативы по этим видам оборотных средств устанавливают в сумме.
Анализ соответствия фактического объема оборотных средств установленному нормативу по каждому их виду заканчивается разработкой мер, направленных на обеспечение соответствия между фактическими и нормируемыми объемами оборотных средств.
Элементы оборотного капитала непрерывно переходят из сферы производства в сферу обращения и вновь возвращаются в производство. Часть оборотного капитала постоянно находится в сфере производства (производственные запасы, незавершенное производство, готовая продукция на складе и т. д.), а другая часть – в сфере обращения (отгруженная продукция, дебиторская задолженность, денежные средства, ценные бумаги и т. д.) Поэтому состав и размер оборотного капитала предприятия обусловлены не только потребностями производства, но и потребностями обращения. Потребность в оборотном капитале для сферы производства и для сферы обращения неодинакова для разных видов хозяйственной деятельности и даже для отдельных предприятий одной отрасли. Эта потребность определяется вещественным содержанием и скоростью оборота оборотных средств, объемом производства, технологией и организацией производства, порядком реализации продукции и закупок сырья и материалов и другими факторами.
В практике планирования, учета и анализа оборотный капитал группируется по следующим признакам:
1) в зависимости от функциональной роли в процессе производства – оборотные фонды и фонды обращения;
2) в зависимости от практики контроля, планирования и управления – нормируемые оборотные средства и ненормируемые оборотные средства;
3) в зависимости от источников формирования оборотного капитала – собственный оборотный капитал и заемный оборотный капитал;
4) в зависимости от ликвидности (скорости превращения в денежные средства) – абсолютно ликвидные средства, быстро реализуемые оборотные средства, медленно реализуемые оборотные средства;
5) в зависимости от степени риска вложения капитала – оборотный капитал с минимальным риском вложений, оборотный капитал с малым риском вложений, оборотный капитал со средним риском вложений, оборотный капитал с высоким риском вложений;
6) в зависимости от стандартов учета и отражения в балансе предприятия – оборотные средства в запасах и затратах, денежные средства, расчеты и прочие активы;
7) в зависимости от материально-вещественного содержания – предметы труда (сырье, материалы, топливо и др.), готовая продукция и товары, денежные средства и средства в расчетах.
Деление оборотного капитала по функциональному признаку на оборотные фонды и фонды обращения необходимо для раздельного учета и анализа времени пребывания оборотных средств в процессе производства и обращения. В таблице 8 приводится группировка состава оборотных средств предприятия в зависимости от их функциональной роли в процессе производства.
По степени управляемости оборотные средства подразделяются на нормируемые и ненормируемые. К нормируемым средствам относятся, как правило, все оборотные фонды, а также та часть фондов обращения, которая находится в виде остатков нереализованной готовой продукции на складах предприятия. К ненормируемым средствам относятся остальные элементы фондов обращения, т. е. отправленная потребителям, но еще не оплаченная продукция и все виды денежных средств и расчетов. Отсутствие норм не означает, однако, что размеры этих элементов оборотных средств могут изменяться произвольно и беспредельно, и что за ними отсутствует контроль. Действующий порядок расчетов между предприятиями предусматривает систему экономических санкций со стороны государства против роста неплатежей.
Таблица 8
Состав и структура оборотных средств по их функциональной роли
в процессе производства
| Группа оборотных средств | Состав включаемых средств | Счета бухгалтерского учета |
| 1 | 2 | 3 |
| 1. Оборотные фонды (оборотные средства в сфере производства и в процессе производства) | 1.1. Производственные запасы: сырье основные материалы покупные полуфабрикаты топливо вспомогательные материалы малоценные и быстроизнашивающиеся предметы (по остаточной стоимости) 1.2. Средства в процессе производства: незавершенное производство полуфабрикаты собственной выработки расходы будущих периодов |
10-1 10-1 10-2 10-3 10-6 12-13 20 21 31 |
| 2. Фонды обращения (оборотные средства в сфере обращения) | 2.1. Нереализованная продукция: готовая продукция на складах предприятия отгруженная, но еще не оплаченная продукция товары для перепродажи 2.2. Денежные средства: касса расчетный счет валютный счет ценные бумаги прочие денежные средства расчеты с другими предприятиями и организациями |
40 45 41 50 51 52 58 55, 56, 57 60,76,67,68 |
Нормируемые оборотные средства получают отражение в финансовых планах (бизнес-плане) предприятия, тогда как ненормируемые оборотные средства объектом планирования практически не являются. Деление оборотных средств на собственные и заемные указывает источники происхождения и формы предоставления предприятию оборотных средств в постоянное или временное пользование. Собственные оборотные средства формируются за счет собственного капитала предприятия (уставный капитал, резервный капитал, накопленная прибыль и др.) Обычно величина собственного оборотного капитала определяется как разность между итогом первого раздела пассива баланса и итогом первого раздела актива баланса (собственные средства минус внеоборотные активы). Для нормальной обеспеченности хозяйственной деятельности оборотными средствами величина их устанавливается в пределах 1/3 от величины собственного капитала. Собственные оборотные средства находятся в режиме постоянного пользования. Потребность предприятия в собственном оборотном капитале является объектом планирования и отражается в его финансовом плане. Заемные оборотные средства формируются в форме банковских кредитов, а также кредиторской задолженности. Они представляются предприятию во временное пользование. Часть из них платная (кредиты и займы), другая – бесплатная (кредиторская задолженность).
Потребность предприятия в заемных оборотных средствах также является объектом планирования и отражается в бизнес-плане (стратегия финансирования).
В разных странах между собственным и заемным капиталом используются различные соотношения (нормативы). В России применяют соотношение 50/50, в США – 60/40, а в Японии – 30/70.
Источники формирования оборотных средств неразличимы в процессе кругооборота капитала. Так, в ходе производства информация о том, за счет каких средств приобретали потребляемое сырье и материалы, никак не используется. Однако система формирования оборотных средств оказывает влияние на скорость оборота, замедляя или ускоряя ее. Кроме того, характер источников формирования и принципы различного режима использования собственных и заемных оборотных средств являются решающими факторами, влияющими на эффективность использования оборотных средств и всего капитала. Рациональное формирование и использование оборотных средств оказывает активное влияние на ход производства, на финансовые результаты и финансовое состояние предприятия, позволяя достигать успеха с минимально необходимыми в данных условиях размерами оборотных средств.
Деление оборотных средств на быстро реализуемые и медленно реализуемые не является абсолютным и зависит от конкретной реальной ситуации, складывающейся в каждый данный отчетный период деятельности предприятия. Может сложиться так, что остатки готовой продукции на складе предприятия реализуются быстрее (за наличные), чем наступят сроки погашения дебиторской задолженности. Поэтому для каждого предприятия и для каждого отдельного периода существует своя индивидуальная группировка текущих активов по степени ликвидности.
Ликвидность текущих активов является главным фактором, определяющим степень риска вложений капитала в оборотные средства. Накопленные оценки реализуемости тех или иных видов оборотных средств за длительный период времени позволяют определить вероятность риска вложений в эти активы. Группировка оборотных средств по степени риска вложений капитала очень нужна финансовому менеджеру, задачей которого является контроль за рациональным размещением капитала в текущих активах. Эффективно управлять ликвидностью – значит не допускать увеличения доли активов с высокой и средней степенью риска.
Дискуссионные вопросы состава оборотных средств.
Обычно различают основные средства – средства, которые участвуют в процессе производства многократно (это здания, сооружения, машины, оборудование и т. д.) и оборотные средства – используются в течение одного производственного цикла (это материалы, топливо, полуфабрикаты). Так в [4] оборотными средствами называется постоянно находящаяся в непрерывном движении совокупность производственных оборотных фондов и фондов обращения. Следовательно, оборотные средства можно классифицировать на оборотные производственные фонды и фонды обращения, то есть по сферам оборота. Производственные оборотные фонды – это предметы труда, которые потребляются в течение одного производственного цикла и полностью переносят свою стоимость на готовую продукцию.
Фонды обращения – это средства предприятия, которые связаны с обслуживанием процесса обращения товаров (например, готовая продукция).
С другой стороны по своей экономической природе оборотные средства – это денежные средства, вложенные (авансированные) в оборотные производственные фонды и фонды обращения. Основное назначение оборотных средств – обеспечение непрерывности и ритмичности производства. Так в [5] предлагается рассматривать следующий состав и структуру оборотных средств (см. табл. 9).
Таблица 9
Состав и классификация оборотных средств
| Оборотные средства | |||
| Производственные оборотные фонды | Фонды обращения | ||
| А) Производственные запасы | Б) Средства в затратах на производство | В) Готовая продукция | Г) Денежные средства и расчеты |
1. Сырье 2. Основные материалы 3. Покупные полуфабрикаты 4. Комплектующие изделия 5. Вспомогательные материалы 6. Топливо 7. Тара 8. Запчасти 9. Малоценные и быстроизнашивающиеся предметы |
10. Незавершенное производство 11. Полуфабрикаты собственного изготовления 12. Расходы будущих периодов |
13. Готовая продукция на складе предприятия 14. Отгруженная (но неоплаченная) продукция |
15. Расчеты с дебиторами 16. Доходные активы (вложения в ценные бумаги) 17. Денежные средства: - на расчетных счетах - в кассе |
По назначению в производственном процессе (по элементам) оборотные средства подразделяют на следующие группы [10, с. 137].
А) Производственные запасы. Все элементы производственных запасов (1-9) выступают в трех формах.
1. Транспортный запас – со дня оплаты счета поставщика до прибытия груза на склад.
2. Складской запас разделяется на подготовительный и текущий.
2.1. Подготовительный запас создается в тех случаях, когда данный вид сырья или материалов нуждается в выдержке (время естественных процессов, например, сушка пиломатериалов, старение крупного литья, ферментация табака и т. п.)
2.2. Текущий запас создается для обеспечения потребности в материалах и сырье между двумя поставками.
Размер максимального текущего запаса определяется по формуле
(2.1)
где Qmax – максимальный текущий запас соответствующего материала;
QT – объем среднесуточного календарного потребления;
Tп – величина интервала поставок данного вида материалов.
3. Страховой запас создается в тех случаях, когда происходят частые изменения интервала поставок, и зависит от конкретных условий работы предприятия.
Б) Средства в затратах на производство.
10. Незавершенное производство – это продукция (работы), не прошедшая всех стадий, предусмотренных технологическим процессом, а также изделия, неукомплектованные или не прошедшие испытания и технической приемки.
11. Полуфабрикаты собственного производства (отливки, поковки, штамповки и т. д.).
12. Расходы будущих периодов – это расходы, произведенные в отчетном периоде, но относящиеся к следующим отчетным периодам.
В) Готовая продукция – это законченная и изготовленная продукция, прошедшая испытания и приемку, полностью укомплектованная согласно договорам с заказчиками и соответствующая техническим условиям и требованиям.
13. Готовая продукция на складе предприятия.
14. Отгруженная, но не оплаченная продукция.
Г) Денежные средства и расчеты (средства расчета):
15. Расчеты с дебиторами (средства в расчетах с дебиторами). Дебиторы – это юридические и физические лица, которые имеют задолженность данному предприятию (эта задолженность называется дебиторской).
16. Доходные активы – это краткосрочные (на срок не более 1 года) вложения предприятия в ценные бумаги (рыночные высоколиквидные ценные бумаги), а также предоставленные другим хозяйствующим субъектам займы.
17. Денежные средства – это средства на расчетных счетах и в кассе предприятия.
Структура оборотных средств характеризуется удельным весом отдельных элементов в общей совокупности и выражается, как правило, в процентах.
В классической схеме по характеру участия в производственно-торговом обороте оборотные производственные фонды и фонды обращения тесно взаимосвязаны и постоянно переходят из сферы обращения в сферу производства и наоборот по следующей схеме [11]:
Д – ПЗ...ПР... ГП – Д1,
где Д – денежные средства, авансируемые хозяйствующим субъектом;
ПЗ – производственные запасы;
ГП – готовая продукция;
Д1 – денежные средства, полученные от продажи продукции (стоимость потребленных средств производства, прибавочный продукт, добавленная стоимость);
ПР... – процесс обращения прерван, но процесс кругооборота продолжается в сфере производства.
Принято выделять три стадии кругооборота.
1. Оборотные средства выступают в денежной форме и используются для создания производственных запасов – денежная стадия.
2. Производственные запасы потребляются в процессе производства, образуя незавершенное производство и превращаясь в готовую продукцию.
3. В результате процесса реализации готовой продукции получают необходимые денежные средства для восполнения производственных запасов.
Затем кругооборот повторяется и таким образом непрерывно создаются условия для возобновления процесса производства.
Экономическая оценка состояния и оборачиваемости оборотных средств характеризуется следующими показателями.
1. Коэффициент оборачиваемости (Коб ) характеризует число оборотов, которое совершают оборотные средства за определенный период времени:
(2.2)
где Q – объем реализованной продукции;
ОСо – средние остатки оборотных средств.
Расчет среднего остатка оборотных средств осуществляется по формуле расчета среднехронологической величины.
2. Оборачиваемость в днях (длительность одного оборота) (То ) определяется по формуле:
(2.3)
где Тп – длительность периода.
Ускорение оборачиваемости сопровождается дополнительным вовлечением средств в оборот. Замедление оборачиваемости сопровождается отвлечением средств из хозяйственного оборота, их относительно более длительным омертвлением в производственных запасах, в незавершенном производстве, готовой продукции. Показатели оборачиваемости можно рассчитывать как по всей совокупности оборотных средств, так и по отдельным элементам.
Способы краткосрочного финансирования
В процессе кругооборота оборотных средств источники их формирования, как правило, не различаются. Однако это не означает, что система формирования оборотных средств не оказывает влияния на скорость оборота и эффективность использования оборотных средств. Избыток оборотных средств будет означать, что часть капитала предприятия бездействует и не приносит дохода. Вместе с тем недостаток оборотного капитала будет тормозить ход производственного процесса, замедляя скорость хозяйственного оборота средств предприятия.
Вопрос об источниках формирования оборотных средств важен еще с одной позиции. Конъюнктура рынка постоянно меняется, поэтому потребности предприятия в оборотных средствах нестабильны. Покрыть эти потребности только за счет собственных источников становится практически невозможным. Привлекательность работы предприятия за счет собственных источников уходит на второй план. Опыт показывает, что в большинстве случаев эффективность использования заемных средств оказывается более высокой, чем собственных.
Поэтому основной задачей управления процессом формирования оборотных средств является обеспечение эффективности привлечения заемных средств.
Структура источников формирования оборотных средств охватывает:
– собственные источники;
– заемные источники;
– дополнительно привлеченные источники.
Таблица 10
Хозяйственные средства предприятия
| Основные | Оборотные | ||
| Источники формирования (финансирования) | |||
| Собственный капитал | Привлеченный капитал | ||
Уставной капитал Добавочный капитал |
Долгосрочные заемные средства | Краткосрочные заемные средства | |
Резервный капитал Резервные фонды Фонды накопления Целевые финансирования и поступления Арендные обязательства Нераспределенная прибыль Амортизационные отчисления |
Долгосрочные кредиты Долгосрочные займы Долгосрочная аренда основных фондов |
Краткосрочные кредиты Краткосрочные займы Авансы покупателей и заказчиков Кредиторская задолженность |
|
| Долгосрочный капитал | Краткосрочный капитал | ||
Информация о размерах собственных источников средств представлена в основном в первом разделе пассива баланса предприятия и в 1 разделе формы № 5 приложения к балансу. Информация о заемных и привлеченных источниках средств представлена во втором разделе пассива баланса. Источники финансирования хозяйственных средств состоят из собственных и привлеченных (заемных) средств. Их структура показана в табл. 10.
Рассмотрим источники собственных средств (собственный капитал).
Уставной капитал определяет минимальный размер имущества, гарантирующего интересы его кредиторов. Состав уставного капитала зависит от организационно-правовой формы предприятия. Уставной капитал складывается:
- из вкладов участников (складочный капитал) для хозяйственных товариществ и для обществ с ограниченной ответственностью (ООО);
- номинальной стоимости акций для акционерного общества (АО);
- имущественных паевых взносов (производственные кооперативы или артели);
- уставного фонда, выделенного государственным органом или органом местного самоуправления.
Добавочный капитал характеризует сумму до оценки необоротных активов, которая производится в установленном порядке, а также безвозмездно полученные ценности и другие аналогичные суммы.
Резервный капитал создается в соответствии с законодательством для покрытия непроизводительных потерь и убытков, а также выплат доходов (дивидендов) участникам при отсутствии или недостаточности прибыли отчетного года для этих целей.
Резервные фонды создаются для покрытия предстоящих расходов, платежей, сомнительных долгов (предприятию), на предстоящую оплату отпусков работникам, на выплату вознаграждений по итогам работы за год, на покрытие предстоящих затрат по ремонту основных средств и т. п.
Фонды накопления – средства, используемые для финансирования капитальных вложений.
Целевые финансирования и поступления – средства, направляемые предприятию государством (муниципалитетом) или спонсором для осуществления определенной целенаправленной деятельности.
Арендные обязательства – оплата предприятию за арендованные у него основные средства.
Нераспределенная прибыль – это прибыль, остающаяся в распоряжении предприятия после выплаты доходов (дивидендов) участникам и погашения обязательств.
Амортизационные отчисления – часть выручки, направляемая, как правило, в фонды накопления, ремонтный фонд и т. п.
Источники заемных средств предприятия:
а) Долгосрочные кредиты и займы. Долгосрочные кредиты – это суммы задолженности предприятия банку по ссудам, полученным на срок более 1 года. Долгосрочные займы – это задолженность по полученным от других предприятий займам на срок более одного года.
б) Краткосрочные кредиты характеризуют суммы задолженности по полученным от банков кредитам со сроком погашения до одного года. Краткосрочные займы показывают задолженность по полученным от других предприятий и учреждений краткосрочным займам со сроком погашения до одного года.
в) Авансы покупателей и заказчиков являются разновидностью кредитования.
г) Кредиторская задолженность. Кредиторы – это юридические и физические лица, перед которыми предприятия имеют определенную задолженность. Сумма этой задолженности называется кредиторской. Кредиторская задолженность может возникать вследствие существующей системы расчетов между предприятиями, когда долг одного предприятия другому возвращается по истечении определенного периода после возникновения задолженности, в случаях, когда предприятия сначала отражают в учете возникновение задолженности, а потом, по истечении определенного времени, погашают эту задолженность вследствие отсутствия у предприятия денежных средств для расчета.
д) Долгосрочная аренда основных фондов. Основные средства и наиболее стабильная часть оборотных средств финансируются за счет долгосрочного капитала, остальная часть оборотных средств финансируется за счет краткосрочного капитала.
При таком соотношении средства, вложенные во внеоборотные активы, а также в создание необходимых запасов, не могут неожиданно быть востребованы кредиторами и, таким образом, нарушить производственно-хозяйственную деятельность.
Лизинг – это форма долгосрочной аренды, связанная с передачей в пользование оборудования, транспортных средств и другого движимого и недвижимого имущества.
Анализ оборотных средств
Политика предприятия в области оборотных средств
Составной частью анализа финансового состояния предприятия является изучение оборачиваемости оборотных средств (активов), позволяющее дать характеристику эффективности их использования. анализ оборачиваемости оборотных средств (активов) имеет большое значение, так как от скорости их оборота в прямой зависимости находится такой важнейший показатель финансово-хозяйственной деятельности как объем реализованной продукции (работ, услуг), а следовательно, и величина получаемой прибыли. В процессе проведения анализа целесообразно рассчитывать и изучать в динамике:
1) удельный вес оборотных средств (активов) в общей величине активов, показывающий долю активов предприятия используемых в производственном обороте;
2) показатели оборачиваемости:
– коэффициенты оборачиваемости, определяемые отношением выручки от реализации продукции (работ, услуг) без НДС и акцизов за отчетный период к средней величине оборотных активов за этот же период, характеризующие среднее количество оборотов, совершаемых оборотными средствами (активами) за отчетный период;
– коэффициенты закрепления, являющиеся обратными для коэффициентов оборачиваемости, показывающие сколько копеек оборотных средств приходится на 1 рубль выручки от реализации продукции (работ, услуг);
– продолжительность одного оборота оборотных средств (активов), исчисляемая отношением количества дней в отчетном периоде к коэффициенту их оборачиваемости, рассчитанному за этот же период;
3) обеспеченность предприятия собственными оборотными средствами, характеризуемая коэффициентом обеспеченности собственными оборотными средствами, определяемого делением разности между источниками собственных средств (итог IV раздела пассива баланса) и внеоборотными активами (итог I раздела актива баланса) на общую величину оборотных средств (активов), отраженную в итоге II раздела актива баланса. Однако для получения достоверной информации об обеспеченности собственными оборотными средствами следует исчислять этот коэффициент не только по отношению к фактически сложившейся величине оборотных средств (активов), но и к экономически обоснованной потребности в них;
4) соотношение отдельных источников формирования оборотных средств (активов).
При анализе оборотных средств необходимо рассчитывать и изучать не только показатели их оборачиваемости, позволяющие выявить ускорение или замедление скорости оборота, при этом экономический эффект выражается соответственно в высвобождении части средств из хозяйственного оборота или в дополнительном их привлечении, но анализ должен включать также оценку соотношения отдельных источников формирования оборотных средств сравнение фактической величины оборотных средств с экономически обоснованной потребности в них. Эта потребность определяется прогнозированием исходя из средней величины отдельных видов оборотных средств за предшествующий период, одновременно должны прогнозироваться и источники их формирования. В настоящее время источниками формирования оборотных средств (активов) предприятии являются прибыль и другие собственные источники, а также банковский и коммерческий кредиты, причем, как правило, собственные источники все в большей степени замещаются заемными. В связи с этим объективным является предложение ввести в аналитическую практику показатели, позволяющие установить каждым предприятиям самостоятельно верхний и нижний пределы участия заемных источников в формировании оборотных средств (активов), что позволит собственным источникам формирования оборотных средств в полном объеме участвовать в кругообороте и, следовательно, приведет к рациональному соотношению собственных и заемных источников формирования оборотных средств (активов).
Состояние нормируемых оборотных средств предприятия ООО "ЮМА" анализируют на основании следующих данных (табл. 11).
Таблица 11
Анализ состояния нормируемых оборотных средств за 1999-2000 г. (в тыс. руб.)
| Нормируемые активы | Норматив на конец отчетного года | Фактически на начало 1999 года | Фактически на конец 1999 года | Фактически на начало 2000 года | Фактически на конец 2000 года | Отклонение от норматива 99/00 (+•-) (гр. 4-гр. 2) |
Изменение за год 99/00 (+, -) (гр. 4 – гр. 3) |
| 1 | 2 | 3 | 4 | 3 | 4 | 5 | 6 |
Товарные запасы текущего хранения Денежные средства ИТОГО |
11923 102 12025 |
9118 1072 10120 |
7184 306 7490 |
7184 306 7490 |
12033 584 12617 |
-4739/+110 +204/+482 -4535/+592 |
-1934/+4849 -766/+278 -2630/+5127 |
К концу 2000 г. товарные запасы и денежные средства увеличились соответственно на 4849 тыс. руб. и 278 тыс. руб. Это произошло на фоне увеличения товарооборота, что неизбежно улучшает финансовое состояние. Хотя можно отметить, что увеличение запасов может привести к тому, что увеличивается задолженность банкам и поставщикам, возникают неоправданные потери от порчи товаров и их уценки, появляются нерациональные расходы, связанные с завозом я хранением товаров.
Анализ денежных средств и других финансовых инструментов
Финансовое положение предприятия находится в непосредственной зависимости от того, насколько быстро средства, вложенные в активы, превращаются в реальные деньги.
В общем случае скорость оборота активов предприятия принято рассчитывать с помощью формулы:
|
Соответственно, оборачиваемость текущих активов будет определяться как:
|
Средняя величина активов по данным баланса определяется по формуле:
|
где Он, Ок – величина активов на начало и на конец периода.
Затем определяется продолжительность одного оборота в днях:
где оборачиваемость активов численно равна коэффициенту оборачиваемости текущих активов.
Если продолжительность оборота текущих активов увеличивается, то для продолжения производственно-коммерческой деятельности хотя бы на том же уровне необходимо дополнительное привлечение средств в оборот, которое рассчитывается по формуле:
|
Особое значение для стабильной деятельности предприятия имеет скорость движения денежных средств. Одним из основных условий финансового благополучия предприятия является приток денежных средств, обеспечивающий покрытие его текущих обязательств.
Одним из способов оценки достаточности денежных средств является определение длительности периода оборота. С этой целью используется формула:
|
Для расчета средних остатков денежных средств привлекаются внутренние учетные данные (ОДn – остатки на начало n-го месяца) и формула:
|
где n – количество месяцев в периоде.
Для того, чтобы раскрыть реальное движение денежных средств на предприятии, оценить синхронность поступления и расходования денежных средств, а также увязать величину полученного финансового результата с состоянием денежных средств на предприятии, следует выделить и проанализировать все направления поступления (притока) денежных средств, а также их выбытия (оттока).
Указанные направления движения денежных средств принято рассматривать отдельно в разрезе текущей, инвестиционной и финансовой деятельности.
Приток денежных средств в рамках текущей деятельности связан с получением выручки от реализации продукции, выполнения работ и оказания услуг, а также авансов от покупателей и заказчиков; отток – с уплатой по счетам поставщиков и прочих контрагентов, выплатой заработной платы работникам, производственными отчислениями в фонды социального страхования и обеспечения, расчетами с бюджетом по причитающимся к уплате налогам. К текущей деятельности принято также относить и выплаченные (полученные) проценты по кредитам.
Движение денежных средств в разрезе инвестиционной деятельности связано с приобретением (реализацией) имущества, имеющего долгосрочное использование (в первую очередь – поступление (выбытие) основных средств и нематериальных активов).
Финансовая деятельность предприятия связана в основном с притоком средств вследствие получения долгосрочных и краткосрочных кредитов и займов и их оттоком в виде выплаты дивидендов и погашения задолженности по полученным ранее кредитам.
Анализ движения денежных средств проводится прямым и косвенным методом. Прямой метод имеет недостаток: он не раскрывает взаимосвязи полученного финансового результата и изменения величины денежных средств на счетах предприятия (предприятие получает чистую прибыль, а его денежные средства сокращаются). При анализе движения денежных средств косвенным методом преобразуется величина чистой прибыли в величину денежных средств, т. е. исправляется недостаток прямого метода анализа.
В отличие от других подходов к оценке финансового состояния, анализ движения денежных средств дает возможность сделать более обоснованные выводы о том, в каком объеме и из каких источников были получены поступившие на предприятие денежные средства и каковы основные направления их использования; достаточно ли собственных средств предприятия для осуществления инвестиционной деятельности; чем объясняются расхождения величины полученной прибыли и наличия денежных средств и т. д.
Величина оборотных средств предприятия приведена в таблице 12.
Таблица 12
Оборотные средства предприятия ООО "ЮМА"
| Период | Начало 1999 г. | Конец 1999 г. | Начало 2000 г. | Конец 2000 г. |
| Денежные средства тыс. руб. | 1072 | 306 | 306 | 584 |
Из приведенных в таблице данных видно, что денежные средства предприятия уменьшались в 1999 и возрастали в 2000 году. Причиной этому послужили рост краткосрочных финансовых вложений, рост дебиторской задолженности и рост денежных средств.
Далее проведем анализ оборачиваемости оборотных средств. Скорость оборота средств – это комплексный показатель организационно-технического уровня хозяйственной деятельности. Ускорение оборачиваемости оборотных средств уменьшает потребность в них, позволяет предприятиям высвобождать часть оборотных средств. В результате ускорения оборота высвобождаются вещественные элементы оборотных средств, меньше требуется запасов сырья, материалов, топлива и пр., а следовательно, высвобождаются и денежные ресурсы, ранее вложенные в эти запасы. Высвобожденные денежные ресурсы откладываются на расчетном счете предприятий, в результате чего улучшается их финансовое состояние, укрепляется платежеспособность.
Приведем формулу коэффициента закрепления оборотных средств (или обратного коэффициента оборачиваемости):
K = E / N
где Е – средняя стоимость всех оборотных средств;
N – выручка от реализации продукции.
Значения показателей оборачиваемости оборотных средств предприятия приведены в таблице 13.
Таблица 13
Показатели оборачиваемости оборотных средств ООО "ЮМА"
| Период | 1999 г | 2000 год | |||
| Показатель | IV кв. | I кв. | II кв. | III кв. | IV кв. |
| Длительность одного оборота, дн. | 220 | 213 | 190 | 162 | 184 |
| Количество оборотов | 0.41 | 0.43 | 0.82 | 0.74 | 0.55 |
| Коэффициент закрепления оборотных средств | 2.44 | 2.33 | 1.22 | 1.35 | 1.82 |
Из приведенных выше показателей наибольшее внимание уделим количеству оборотов оборотных средств предприятия, так как коэффициент закрепления является обратным данному показателю, а длительность одного оборота вследствие равенства продолжительности сравниваемых периодов практически равна коэффициенту закрепления, умноженному на 91 день (средняя продолжительность одного квартала).
В первом квартале 2000 года коэффициент оборачиваемости повысился на 4,9% по сравнению с уровнем четвертого квартала 1999 года. Произошло это потому, что в данном периоде величина выручки от реализации повысилась в 1,31 раза, а стоимость оборотных средств – всего в 1,27 раз. Во втором квартале данный показатель возрос в сравнении с первым кварталом еще на 90,7%. Столь значительный рост обусловлен резким повышением величины выручки от реализации (в 2,84 раза), который почти в два раза превысил рост величины оборотных средств. Оборотные средства за данный период выросли на 47%. Начиная с третьего квартала количество оборотов, совершаемых оборотными средствами предприятия, снижается. За период с третьего квартала 2000 года по четвертый квартал 1999 года включительно данный показатель упал на 51%. Здесь наблюдается параллельное снижение как величины оборотных средств (в 2,14 раза), так и выручки, однако темп падения последней доминирует (в 4,44 раза).
Анализ наличия и оборачиваемости оборотных средств предприятия показывает, что начиная со второго квартала 2000 года наблюдается негативная тенденция к нехватке величины оборотных средств и к снижению показателей оборачиваемости.
При анализе определяется, за счет каких финансовых источников образуются нормируемые товарно-материальные ценности. Товарные запасы – за счет двух источников: собственных оборотных средств и кредитов банков по товарообороту; нормируемые денежные средства и прочие активы – за счет собственных средств.
Устойчивость финансового положения и выполнение плана товарооборота в значительной степени зависят от обеспеченности предприятия собственными и приравненными к ним средствами. Поэтому задача следующего этапа анализа – определить размер этих средств.
Собственные и приравненные к ним средства (устойчивые пассивы) указаны в разделе I пассива баланса. Их наличие по предприятию за отчетный год определяют путем вычитания из суммы собственных и приравненных к ним средств (раздел I пассива баланса) суммы основных фондов и внеоборотных активов (раздел I актива баланса)- Сравнив полученную сумму с нормативом собственных оборотных средств и определив отклонение, можно сделать вывод об устойчивости финансового состояния предприятия (табл. 14).
Таблица 14
Анализ обеспеченности ООО "ЮМА" собственными оборотными средствами в 1999 году
| Показатели | По балансу на начало отчетного года | Фактическое наличие на конец отчетного года | Изменение за год (+,-) |
1. Источники собственных и приравненных к ним средств (стр. 1110) 2. Основные фонды и внеоборотные активы (стр. 110) 3. Наличие собственных и приравненных к ним средств (стр. 1 – стр. 2) 4. Норматив собственных оборотных средств (стр. 1120 баланса) 5. Отклонение от норматива (стр. 3 – стр. 4) |
10803,45 -4280,25 6523,2 6541,2 -18 |
11001,45 4343,25 6658,2 6631,2 +27 |
+198 +63 +135 +90 +45 |
На начало отчетного года собственных оборотных и приравненных к ним средств было меньше установленного норматива на 18 тыс. руб. (6541,2 – 6523,2), за отчетный год они возросли на 135 тыс. руб. и превысили норматив на конец года на 27 тыс. руб. (6658,2 – 6631,2). Анализ позволяет сделать вывод, что предприятие имело устойчивое финансовое состояние.
После проверки соответствия собственных оборотных средств нормативу изучается их использование. При этом необходимо пользоваться показателем совокупности собственных оборотных средств в хозяйстве и показателем собственных оборотных средств в товарных запасах. Дело в том, что оборотные средства для покрытия товарных запасов образуются в размере не менее 50% за счет собственных средств и в размере до 50% за счет кредитов. Необходимо проверить, соблюдается ли это требование. Чтобы определить фактическую сумму собственных оборотных средств в товарных запасах, из суммы собственных оборотных и приравненных к ним средств вычитают остатки нормируемых денежных средств и прочих активов, которые формируются полностью из собственных и приравненных к ним средств. Долевое участие собственных оборотных и приравненных к ним средств в товарных запасах за отчетный период определяют так: фактическое наличие суммы собственных оборотных средств и приравненных к ним средств в товарах умножают на 100 и делят на сумму фактических товарных запасов текущего хранения по себестоимости.
В ходе анализа проверяют выполнение финансового плана, устанавливают отклонения фактических финансовых показателей от утвержденных в плановом балансе походов и расходов в отчетном году, выявляют причины этих отклонений.
Анализ дебиторской задолженности
Некоторая часть оборотных средств предприятий не нормируется. Эти средства образуются в ходе оперативно-хозяйственной деятельности в связи с наличием объектов банковского кредитования, по которым не требуется участия собственных оборотных средств, а также в процессе расчетов с поставщиками, покупателями, разными лицами и организациями. Эти средства показываются в бухгалтерском балансе, раздел III актива "Ненормируемые денежные средства, расчеты и прочие активы".
Анализ ненормируемых оборотных средств проводят в целом и по отдельным их видам. В ходе анализа необходимо установить: полностью ли прокредитованы объекты банковского кредитования; не отвлечены ли собственные средства в аккредитивы, особые счета; правильно ли отражена в учете задолженность за товары, проданные населению в кредит, каковы причины образования дебиторской задолженности; выполнено ли задание по ее снижению; обеспечена ли сохранность собственности.
Важно выявить состояние дебиторской и кредиторской задолженности, отвлечение оборотных средств из обращения. В большинстве случаев они возникают в результате нарушения предприятиями расчетно-финансовой дисциплины.
Нужно установить время их возникновения, изменения в размере и составе за отчетный период, причины образования, своевременность взыскания дебиторской и погашения кредиторской задолженности, выполнение заданий по их снижению и пути устранения.
С анализом дебиторской задолженности следует увязать анализ непланируемых убытков, возникших в. результате списания сумм задолженности. Уменьшение дебиторской задолженности путем ее списания в убыток нельзя считать заслугой торговых предприятий. Кроме того, следует изучить, как материально ответственные лица обеспечивают сохранность собственности.
Необходимо выявить конкретные причины каждого случая недостачи материальных или денежных ценностей, находящихся в подотчете материально ответственных лиц, каждого факта их хищения и порчи. В числе причин могут быть запущенность в бухгалтерском учете, ошибки в подборе кадров на должность материально ответственных лиц, халатное их отношение к приемке товаров по количеству и качеству, недостаточный опыт работы с материальными ценностями, особенно молодых специалистов и др. Нужно целеустремленно и систематически воспитывать чувство ответственности работников за обеспечение сохранности количества и качества материальных ценностей, денежных средств.
Для анализа дебиторской задолженности используют задание по снижению дебиторской задолженности, бухгалтерский баланс форма № 1, данные бухгалтерской отчетности (форма № 9 "Отчет о движении задолженности по недостачам (кроме мелких), хищениям и порче ценностей, отнесенной на виновных лиц"), записи в аналитическом учете, акт сверки расчетов, материалы передачи дел в суд или арбитраж и по прохождению этих дел в них, материалы проводимых инвентаризаций товарно-материальных ценностей и состояние работы по их проведению.
Кредиторская задолженность торговых организаций и предприятий отражается в бухгалтерском балансе, раздел III пассива "Разные кредиты банков, расчеты и прочие пассивы". Ее анализ проводят путем группировки и сопоставления данных на начало и конец анализируемого периода. Кредиторская задолженность бывает нормальная и просроченная; поставщикам, финансовым органам, прочим кредиторам. При анализе следует изучить причины ее возникновения и наметить пути их устранения.
Для оценки оборачиваемости дебиторской задолженности используется следующая группа показателей.
1. Оборачиваемость дебиторской задолженности.
|
где:
(2.12) |
В том случае, если в течение года величина выручки от реализации значительно изменялась по месяцам, то применяют уточненный способ расчета средней величины дебиторской задолженности, основанный на ежемесячных данных. Тогда:
|
где ОДЗn – величина дебиторской задолженности на конец n-го месяца.
2. Период погашения дебиторской задолженности.
(1.14) |
Следует иметь в виду, что чем больше период просрочки задолженности, тем выше риск её непогашения.
3. Доля дебиторской задолженности в общем объеме текущих активов.
|
4. Доля сомнительной задолженности в составе дебиторской задолженности:
|
Этот показатель характеризует качество дебиторской задолженности. Тенденция к его росту свидетельствует о снижении ликвидности.
Существуют некоторые общие рекомендации, позволяющие управлять дебиторской задолженностью:
– контролировать состояние расчетов с покупателями по отсроченным (просроченным) задолженностям;
– по возможности ориентироваться на большее число покупателей с целью уменьшения риска неуплаты одним или несколькими крупными покупателями;
– следить за соотношением дебиторской и кредиторской задолженности: значительное превышение дебиторской задолженности создает угрозу финансовой устойчивости предприятия и делает необходимым привлечение дополнительных (как правило, дорогостоящих) источников финансирования;
– использовать способ предоставления скидок при досрочной оплате.
Таблица 15
Показатели оборачиваемости дебиторской задолженности ООО "ЮМА"
| Показатель | 1999 | 2000 |
| Длительность одного оборота, дней | 360 | 360 |
| Количество оборотов | 1,98 | 1,89 |
| Средняя дебиторская задолженность тыс. руб. | 713 | 681 |
| Выручка | 8100 | 10750 |
| Оборачиваемость дебиторской задолженности | 11,4 | 15,8 |
| Период погашения дебиторской задолженности | 31,6 | 22,8 |
Итак, средняя дебиторская задолженность в 2000 г. уменьшилась по сравнению с 1999 г. на 32 тыс. руб., оборачиваемость дебиторской задолженности увеличилась, период погашения дебиторской задолженности уменьшился на 8 дней. Это свидетельствует об улучшении устойчивости финансового положения предприятия. Увеличение выручки и высвобождение оборотных средств дает возможность часть средств направить на развитие предприятия и улучшение социального положения работников.
2.2. Анализ себестоимости продукции
Составим смету затрат на производство оконных блоков (см. таблицу 16).
Таблица 16
Смета затрат на производство
| Статьи затрат | Обоснование | Сумма, руб. |
| Материалы и оснастка | См. табл. 7 | 298233 |
| Энергия всех видов (электроэнергия, теплоэнергия и т. д.) | 6% от затрат на материалы и оснастку | 17893,9 |
| Зарплата производственного и административно-управленческого аппарата | См. табл. 10 | 208500 |
| Отчисления на зарплату | В пенсионный фонд, в фонд занятости, в фонд мед. страхования, в соцстрах Итого – 39,5% |
12510 |
| Арендная плата за помещение | См. табл. 5 | 15000 |
| Реклама | 10% от затрат на материалы и оснастку | 2982,3 |
| ИТОГО затрат | 555119,2 |
Себестоимость одного изделия
Себестоимость одного изделия определена как частное от деления суммы затрат на производство:
С = 555119,2 / 300 = 1850
Цена одного изделия
Цена одного изделия (Ц) определена как сумма себестоимости одного изделия (С), ожидаемой прибыли (П) и налога на добавленную стоимость (НДС).
Ц = С+По+НДС = 1850+370+444 = 2664
где: По = 0,2 С = 0,2х1850 = 370
НДС = 0,2 (С+По) = 0,2 (1850+370) = 444
Таблица 17
Основные данные и технико-экономические показатели
| Данные и показатели | Деревообрабатывающий участок малого частного предприятия "ЮМА" |
| А. Основные данные | |
| 1. Программа выпуска продукции | |
| Изделие-представитель оконный блок со спаренным переплетом, шт. | 300 |
| 2. Трудоемкость кв. выпуска продукции, ч | 2400 |
| 3. Оборудование и рабочие места, шт. | 5 |
| В том числе | |
| Деревообрабатывающие станки | 7 |
| прочее оборудование | 1 |
| 4. Общая площадь арендуемых помещений, м2 | 300 |
5. Численность работающих, чел. В том числе: |
10 |
| а) производственный персонал | 7 |
| б) административно-управленческий персонал | 3 |
Из них директор зам. дир. по снаб. главный бухгалтер |
1 1 1 |
6. Квартальная потребность в осн. материалах: древесные материалы, м3 |
62,3 |
| 7. Сумма затрат на производство, руб. | 555119,2 |
| 8. Себестоимость одного изделия, руб. | |
| 9. Цена одного изделия, руб. | 2664 |
Б. Показатели 1. Производительность труда (выработка* в кв. на 1 рабочего), м3 2. Рентабельность предприятия** |
2,83 62,3/22 0,2 |
*) Выработка в кв. на 1 рабочего определена как частное от деления кв. потребности в основных материалах (древесины) и количества рабочих.
**) Рентабельность предприятия (Р)
Р = П/С, (2.17)
где П – прибыль,
С – себестоимость продукции.
2.3. Анализ рентабельности
Рентабельность характеризует результативность деятельности промышленного предприятия. Показатели рентабельности позволяют оценить, какую прибыль имеет промышленное предприятие с каждого рубля средств, вложенных в активы. Существует система показателей рентабельности. Можно выделить показатели, используемые в статистической практике для оценки эффективности применяемых в производстве авансированных ресурсов и текущих затрат, и показатели, на основе которых определяют доходность и эффективность использования имущества промышленного предприятия.
Эффективность производственно-хозяйственной (коммерческой) деятельности промышленного предприятия отражает показатель балансовой (общей) рентабельности; эффективность использования текущих затрат живого и прошлого труда характеризует рентабельность продукции. Все большее применение находит показатель рентабельности продаж.
Общая (балансовая) рентабельность (RI) определяется как отношение суммы балансовой прибыли (Пб) к средней за период стоимости капитала производственного назначения (КП):[1]
RI =П6 : КП. (2.18)
В практике финансового анализа вычисляют: 1) рентабельность суммарного капитала (совокупных активов)
R2 = ЧП : СА, (2.19)
где ЧП – чистая прибыль; СА – средняя величина активов;
2) рентабельность текущих активов
Rз = ЧП : ТА, (2.20)
где ТА – средняя величина текущих активов;
3) рентабельность реализованной продукции (R4). Существуют различные модели этого показателя. Для характеристики эффективности текущих затрат живого и прошлого труда рентабельность реализованной продукции определяют по формуле
R4 = ПР : И, (2.21)
где ПР – прибыль От реализации продукции; И – издержки производства (полная себестоимость реализованной продукции).
Для определения размера прибыли на рубль реализации рентабельность реализованной продукции определяют по формуле
R4=ЧП:ВР, (2.22)
где ВР – выручка от реализации продукции.
Рентабельность продаж определяется по формуле
R5 = ПР : ВР. (2.23)
В зависимости от конкретных задач анализа могут быть вычислены показатели рентабельности основного капитала, собственного капитала, рентабельности акционерного капитала, рентабельности инвестиций и др.
При расчете показателей рентабельности в странах с рыночной экономикой в числителе берут "прибыль от выплаты процента и налогов" (это соответствует прибыли от реализации продукции), чистую прибыль.
Важным показателем в инвестиционном анализе является рентабельность акционерного (собственного) капитала (РАК):
РАК = ЧП : АК, (2.24)
где АК – акционерный капитал.
Рентабельность акционерного капитала характеризует норму прибыли на вложенный в фирму собственный капитал.
Показатели рентабельности могут быть увязаны с помощью мультипликативных индексных моделей, что позволяет проводить факторный индексный анализ рентабельности.
Из перечисленных выше показателей рентабельности в статистической практике наиболее распространен показатель общей (балансовой) рентабельности.
Рассмотрим на примере показателя общей рентабельности методику факторного индексного анализа.
R1= П = Пб . Пр . И . ОК .
КП Пр И ОК КП (2.25)
В общем виде
у = абвг, (2.26)
где у = R1 – уровень общей рентабельности;
а = Пб : Пд– коэффициент изменения балансовой прибыли;
б =Пр : И – рентабельность реализованной продукции (R2);
в = И : ОК – число оборотов оборотного капитала, рассчитанное по полным затратам на реализованную продукцию;
г = ОК : КП – доля оборотного капитала в общей стоимости производственного капитала.
Для оценки влияния включенных в модель факторов на изменение общей рентабельности в отчетном периоде по сравнению с предыдущим используем схему взаимосвязанных факторных индексов.
Влияние каждого фактора на изменение общей рентабельности покажет отношение отчетного уровня данного фактора к предыдущему, а абсолютное изменение уровня общей рентабельности под влиянием изменения данного фактора будет равно произведению разности отчетного и предыдущего уровней этого фактора и соответствующих уровней других факторов.[2] Расчеты дают:
1) влияний изменения коэффициента балансовой прибыли (фактора а)
Δу(а) = (ai – ао) BiCidi = (1,02296 – 1,03500)0,19001 x 3,97564 х 0,10999 = -0,00100.
Следовательно, в отчетном периоде на промышленном предприятии увеличились внереализационные убытки, что снизило уровень общей рентабельности на 0,100 коп./руб.;
2) влияние изменения рентабельности реализуемой продукции (фактора в)
Δу(в) = ao(Bi – Bo)Cidi = 1,03500(0,19001 – 0,20000)3,97564 x 0,10999 = -0,00452.
Вследствие снижения рентабельности продукции общая рентабельность по промышленному предприятию уменьшилась на 0,452 коп./руб.;
3) влияние изменения оборачиваемости нормируемого оборотного капитала (фактора с)
Δу (С) =aoBo(Ci – Co)di = 1,035 • 0,2(3,97564 -3,34448)0,10999 = 0,01437.
Иначе говоря, вследствие ускорения оборачиваемости нормируемого оборотного капитала общая рентабельность увеличилась на 1,437 коп./руб.;
4) влияние изменения доли стоимости оборотного капитала в общей стоимости производственного капитала (фактора d)
Δу (а) = аоВосо(d1 – do) = 1,035 • 0,2 – 3,34448(0,10999 – 0,13000) = -0,01385.
Итак, изменение в структуре производственного капитала уменьшило общую рентабельность на 1,385 коп./руб.
Общее абсолютное (коп./руб.) изменение рентабельности промышленного предприятия равняется сумме влияний всех факторов:
(-0,100) + (-0,452) +(+1,437) + (-1,385) = -0,500 коп./руб.
Таким образом, понижение уровня рентабельности промышленного предприятия в отчетном периоде по сравнению с предыдущим обусловлено главным образом изменением в структуре производственного капитала, на что следует обратить особое внимание в следующем периоде.
В относительном выражении влияние рассмотренных факторов на изменение общей рентабельности определяется по следующей схеме индексов:
что дает:
0,9884 • 0,9500 • 1,1887 • 0,8461 = 0.944. или 94.4%.
Следовательно, снижение общей рентабельности на 5,6% является результатом:
снижения коэффициента изменения балансовой прибыли – на 1,2%;
изменения структуры производственного капитала – на 5,4%;
повышения коэффициента оборачиваемости оборотного капитала – на 18,9%;
снижения показателя рентабельности продукции – на 5%.
При оценке положения с использованием полученных промышленным предприятием кредитов на промышленном предприятии можно использовать следующие показатели.
1. Отношение суммы долгосрочных долговых обязательств ко всей стоимости основного капитала. Этот показатель служит для оценки структуры той части активов промышленного предприятия, финансирование которой происходит за счет привлечения заемных средств. Так как долгосрочные оглашения по лизингу также накладывают на фирму обязательство произвести рад фиксированных платежей, то стоимость обязательств по лизингу также включается в общую сумму долгосрочного долга. Дивиденды по привилегированным акциям также можно представить в виде серии фиксированных выплат. В данном случае привилегированные акции рассматриваются как собственный капитал и включаются вместе с обыкновенными акциями в подсчет общего акционерного капитала компании.
2. Соотношение заемных и собственных средств. Этот показатель используется для оценки той части активов промышленного предприятия, финансирование которой происходит за счет привлечения заемных средств.
Следует отметить, что оба приведенных показателя рассчитываются на основе бухгалтерских (отчетных), а не рыночных оценок. Рыночная стоимость компании служит окончательным свидетельством того, получат кредиторы свои деньги назад или нет. Поэтому специалисты, анализирующие финансовое положение промышленного предприятия, должны уделять большое внимание отношению номинальной суммы долговых обязательств к общей рыночной стоимости промышленного предприятия, т. е. суммы рыночных стоимостей акционерного капитала и долговых обязательств. Основная причина, по которой в экономической практике используют отчетные данные, заключается в трудности определения рыночной стоимости объектов имущества и обязательств промышленного предприятия.
В то же время не нужно обращать слишком большое внимание на. рыночную стоимость, так как она включает в себя также стоимость нематериальных активов, являющихся собственностью промышленного предприятия.
Эти активы не всегда могут быть немедленно проданы. Кроме того, если в деятельности промышленного предприятия происходят какие-то осложнения, то эти активы могут очень быстро исчезнуть. Поэтому лучше брать для расчетов бухгалтерские данные и полностью игнорировать нематериальные активы.
Хотя этот финансовый показатель рассчитывается на основе только долгосрочных долговых обязательств, менеджеры часто включают в расчеты все долговые обязательства.
Некоторые фиксированные обязательства не показываются в балансе промышленного предприятия, но просто отражаются в приложениях к отчетности, т. е. учитываются за балансом.
Например, промышленное предприятие обещает пенсионные выплаты своим сотрудникам. Если пенсионного фонда недостаточно для осуществления этих выплат, то рано или поздно промышленному предприятию придется найти эти деньги. Этот дефицит учитывается за балансом и в ряде случаев может быть больше, чем все другие долговые обязательства промышленного предприятия, вместе взятые. Менеджеры часто напрасно игнорируют эти обязательства.
3. Показатель покрытия процента. Этот показатель используется для оценки части активов промышленного предприятия, финансирование которой происходит за счет привлечения заемных средств. Определяется он отношением прибыли до уплаты процентов и налогов плюс начисленный износ к сумме уплаченных налогов. Иногда в расчетах можно использовать среднюю сумму прибыли за несколько лет, что позволяет сгладить временные подъемы и спады. Однако не следует забывать, что этот показатель не дает полной картины, так как кроме процентов существует целый ряд других фиксированных платежей.
4. Показатель изменчивости прибыли. Большая сумма долга представляет собой проблему лишь для промышленного предприятия, которая не уверена в своих будущих поступлениях. Отсюда полезно проследить изменчивость уровня прибыли промышленного предприятия за несколько лет. При этом не существует общепринятого показателя, характеризующего изменчивость прибыли. Так как прибыль может меняться от положительной до отрицательной величины, то нельзя просто измерять изменчивость в процентах. Выходом из положения может служить расчет соотношения между стандартным отклонением ежегодных изменений прибыли к среднему уровню прибыли, т. е. расчет коэффициента вариации.
Рентабельность выступает как экономическая категория, оценочный результативный показатель, целевой ориентир, инструмент расчета чистого дохода общества, источник формирования различных фондов.
Экономическое содержание рентабельности тождественно понятию "прибавочная стоимость". Как экономическая категория рентабельность отражает совокупность отношений субъектов хозяйствования, участвующих в формировании и распределении национального дохода.
Основными функциями рентабельности являются: учетная, оценочная, стимулирующая. Как результативный показатель она характеризует эффективность использования имеющихся ресурсов, успех (неуспех) в бизнесе, рост (снижение) объемов деятельности. Как количественный показатель рентабельность представляет собой разницу между ценой и стоимостью товаров, между объемом продаж и себестоимостью (в сфере обращения – между валовыми доходами и издержками обращения). Рентабельность, являясь конечным результатом деятельности предприятия, создает условия для его расширения, развития, самофинансирования и повышения конкурентоспособности.
По мере развития экономической теории определение понятия "рентабельность" постоянно уточнялось от самого простого определения – как доход, полученный от производства и реализации любого товара, до понятия чистой рентабельности. В настоящее время ее характеризуют с позиций двух уровней: микроэкономического и макроэкономического. Калькуляция рентабельности по существующей методике на макро- и микроуровнях различна. На уровне предприятия ее исчисление связано с процессом образования, а на государственном уровне с определением места рентабельности в доходе страны.
Понятие "рентабельность" имеет разные значения с позиции предприятия, потребителя, государства.[3] Но во всех случаях оно означает выгоду. Если предприятие (промышленное предприятие) работает рентабельно (в нормальных условиях хозяйствования), то это свидетельствует о том, что покупатель, приобретая товар именно в этом магазине (или этого производителя), получает удовлетворение от покупки (когда у него есть выбор), а государство (общество) может за счет налогов на рентабельность поддерживать убыточные объекты, решать приоритетные социальные задачи.
Объектом экономических интересов государства является та часть "рентабельности", которую уплачивает предприятие в виде налога на рентабельность и которую общество использует для решения социальных задач. Экономические интересы предприятия заключаются в увеличении доли рентабельности, остающейся в его распоряжении. За счет этой рентабельности предприятие решает производственные и социальные задачи своего развития. Интересы работников в увеличении рентабельности связаны с созданием возможностей для улучшения материального стимулирования и повышения уровня их социального развития. Собственники также заинтересованы в росте рентабельности предприятия, ибо тем самым увеличатся дивиденды, обеспечится увеличение их капитала.
В большинстве случаев получение рентабельности является результатом реализации (производства) товара (услуги), основанной на привлечении нескольких факторов и прежде всего труда и капитала. При этом понятие рентабельности связывается не только со стоимостью используемого капитала, но и с его обесцениванием, и с периодом, в течение которого происходит это обесценивание.
Рентабельность сложная и неоднозначная категория. Известный американский ученый-экономист Самуэльсон рентабельность определял как безусловный доход от факторов производства, как вознаграждение за предпринимательскую деятельность, технические нововведения и усовершенствования, за умение рисковать в условиях неопределенности, как монопольный доход, как этическую категорию.
С развитием рыночных отношений все чаще стали говорить и о других ситуациях ее происхождения: рентабельность, заработанная благодаря инициативе предпринимателя, рентабельность, полученная при благоприятных обстоятельствах, неожиданная допускаемая и признанная органами государственной власти (соответствующим законодательством).
Важнейшими факторами, определяющими рентабельность, являются: внедрение нововведений, отсутствие страха перед рисками (риск как источник рентабельности), рациональное использование средств, достижение оптимальных объемов деятельности (т. е. выбор такого масштаба предприятия, который позволяет обеспечить оптимальную рентабельность). Доказано, что в плане рентабельности крупные предприятия не всегда самые лучшие. Рентабельность растет до тех пор, пока процентная ставка по банковским кредитам будет ниже нормы рентабельности на вложенный капитал; наличие задолженности, таким образом, допустимо, даже во многих случаях ока способствует получению рентабельности (так называемый эффект рычага). Многие мелкие и средние предприятия боятся задолженности, что не всегда оправдано. Однако, используя стратегию добровольной задолженности, надо опасаться низкой рентабельности, ибо она заставит предприятие прибегать к дополнительным займам с целью обновления оборудования (ассортимента). А это может привести к состоянию пониженной платежеспособности и даже к банкротству. Внедрение инноваций как источник рентабельности предполагает производство (реализацию) нового товара (услуги) более высокого качества, освоение нового рынка, организационно-управленческие новшества, освоение новых источников поступления товаров.
Основные факторы, характеризующие специфику деятельности: фондовооруженность, уровень издержек, динамика спроса, структура рынка (во Франции самый высокий уровень рентабельности производства сырья и материалов, производства потребительских товаров, сельскохозяйственной продукции, торговли).
Целью деятельности любой коммерческой структуры в условиях рыночной экономики в конечном счете является получение рентабельности, способной обеспечить ее дальнейшее развитие. Рентабельность рассматривается не только как основная цель, но и как главное условие деловой активности предприятия, как результат его деятельности, эффективного осуществления своих функций по обеспечению потребителей необходимыми товарами в соответствии с имеющимся спросом на них. В зависимости от положения предприятия на рынке, наличия ресурсов, длительности периода основная цель может быть конкретизирована. В долгосрочном периоде это будет достижение максимальной рентабельности, в краткосрочном – необходимой рентабельности при определенных объемах деятельности, и во все периоды – обеспечение конкурентоспособности предприятия. При этом максимизация рентабельности в долгосрочном периоде возможна лишь при поэтапном достижении определенных необходимых размеров рентабельности. Обеспечение необходимого объема рентабельности в долгосрочном и краткосрочном периодах обусловлено жизненно важными потребностями в развитии предприятия (промышленного предприятия), удовлетворении экономических интересов собственников, обеспечении интересов общества и коллектива.
С точки зрения бухгалтерского учета, рентабельность состоит из двух составляющих. Первый компонент – доход от обычной (повседневной) хозяйственной деятельности предприятия (определяется как разность между валовыми доходами от реализации и издержками обращения). При этом на величину рентабельности от хозяйственной деятельности оказывает влияние соответствующая методика исчисления издержек, затрат на содержание персонала, оценки стоимости основных фондов, запасов и других составляющих.[4]
Второй компонент – потенциальная рентабельность (доход от владения ценными бумагами, долговыми обязательствами и материальными ценностями). Разновидностью потенциального дохода выступает чрезвычайный доход, который складывается из дохода от реализации активов, безнадежных финансовых обязательств, использования сумм от ускоренной амортизации, резервов.
В систему прибылей и доходов отечественного коммерческого предприятия в соответствии с принятой методикой их исчисления входят, кроме рентабельности от реализации, рентабельность от прочей деятельности, доходы (за минусом расходов) от внереализационных операций.
Структура отдельных источников валовых доходов, а тем самым и рентабельности, типичная для современного государственного коммерческого торгового предприятия, только вступающего в рыночные условия хозяйствования, сложилась (в процентах) следующим образом:
доход от реализации товаров и продукции общественного питания 87,5
доход от внешнеторговых операций 9,3
излишки переучета 0,1
излишки перемеривания тканей 0,03
доход от сдачи металлолома, макулатуры 0,03
кредиторская задолженность 0,01
доход от оказания дополнительных услуг 0,04
превышение штрафов полученных над уплаченными 0,10
доход от продажи обмундирования 0,01
доход от сдачи имущества в аренду 0,01
разница курсов 0,02
дивиденды полученные 0,01
доходы от реализации прочих активов 0,01
доходы от развалючивання 0,10
проценты за хранение валюты 0,06
доходы от реализации СКВ 2,30
Методика исчисления рентабельности за рубежом несколько отличается от применяемой в отечественной практике, что обусловлено различиями в собственности, учете, отчетности. Зарубежные промышленного предприятия рентабельность за отчетный период определяют как разность стоимости чистых активов на начало и конец периода. Чистые активы подсчитываются путем вычитания из общей стоимости активов промышленного предприятия (стоимости недвижимости, машин и оборудования, запасов, долговых требований, ценных бумаг в портфеле) стоимости долгов третьим лицам (т. е. тем, кто не входит в число владельцев компании), суммы среднесрочной, долгосрочной и краткосрочной задолженности поставщикам и прочим кредиторам. Из полученной разности вычитают дополнительные взносы владельцев компании или прибавляют к ней сумму выплаченных возмещений им.
В зарубежной практике исчисляют чистую балансовую рентабельность (ЧБП) (для акционерных обществ) – это рентабельность после вычета налогов, но до ее распределения на дивиденды и отчисления в резервные фонды. Чистая рентабельность представляет собой валовую рентабельность, которая не учитывает обесценивание капитала, за вычетом затраченных средств, в том числе предназначенных на восстановление полностью использованной (самортизированной) части капитала. Чистая рентабельность в нашей практике определяется как разность между балансовой рентабельностью и налогами, выплачиваемыми предприятием из балансовой рентабельности.
Номинальная рентабельность характеризует фактически полученный ее размер.
Реальная рентабельность – это номинальная рентабельность, скорректированная на уровень инфляции. Она характеризует покупательную способность предприятия,
Минимальная, нормальная, целевая и максимальная рентабельности связаны с планируемым объемом деятельности, достижение каждой из них означает, что предприятие находится в зоне убыточности, безубыточности, рентабельности.
Минимальной считается такая рентабельность (Пmin), которая после уплаты налогов обеспечивает предприятию минимальный уровень рентабельности на вложенный капитал, равный среднему проценту ставки банков по депозитам, сложившийся за исследуемый период:
Пmin = К x МРР ,
100 – Сп (2.27)
где К – величина вложенного капитала; МРР – минимальный уровень рентабельности; Сп – ставка налога на рентабельность в соответствии с действующим законодательством.
Объем деятельности, соответствующий минимальной рентабельности, определяется по формуле:
Т= Иопост. + Пmin x 100 (2.28)
Увд – У ио пер.
Нормальная рентабельность соответствует средней норме рентабельности на капитал (НПК):
Пн = К x НПК
100 – Сп (2.29)
Под целевой рентабельностью понимается та рентабельность, которая остается после уплаты налогов и соответствует потребностям предприятия в его социальном и производственном развитии.
Под нормальной рентабельностью понимается минимальное вознаграждение предпринимателю, удерживающее его в выбранной им отрасли деятельности. Если получаемая рентабельность ниже нормальной (определенный процент на вложенный капитал, который различается в зависимости от вида деятельности), то капитал устремляется в другую сферу. Бегство капиталов из нерентабельной отрасли в дальнейшем приведет к росту ее рентабельности, если спрос на данные товары (услуги) постоянен, и тогда самый меньший по массе капитал сможет получить нормальную рентабельность. Если же предприниматели в данной сфере деятельности получают более высокую, чем нормальная, рентабельность, то в эту отрасль устремится дополнительный капитал из отраслей, получающих нормальную рентабельность, и тем самым уровень рентабельности снизится до нормального.[5]
Максимальная рентабельность является основной целевой установкой для частного предприятия, ориентированного на достижение определенного притока денежных средств (наличности) в определенные периоды. Достижение максимальной рентабельности означает стремление к максимальному увеличению рентабельности в обороте или к ее росту на определенную величину, к снижению расходов до минимума или к тому, чтобы определенный уровень издержек не был повышен, к обеспечению ликвидности, т. е. к тому, чтобы предприятие в любой момент было в состоянии оплачивать свои срочные обязательства, к развитию мощностей предприятия. Максимальная рентабельность достигается при таком объеме деятельности, когда граничный доход равняется граничным затратам.
Показатель рентабельности – поток наличности, применяется в зарубежной практике и определяется путем прибавления к чистой рентабельности амортизационных отчислений, а также отчислений в фонд выбытия (выбытие не подлежащих амортизации активов – запасов, либо подлежащих амортизации, но попадающих под чрезвычайное обесценивание). Этот показатель применяется при оценке ликвидности и общей доходности предприятия (промышленного предприятия, компании).[6]
Зарубежные специалисты в аналитических целях применяют показатели валового и чистого самофинансирования, отражающие собой способность к самофинансированию.
Валовое самофинансирование исчисляется путем вычитания из потока наличности распределенной рентабельности. Чистое самофинансирование – разность между валовым самофинансированием и амортизационными отчислениями, а также отчислениями в резервные фонды.
Рентабельность (доход) также рассчитывается при помощи "потока наличности". Для этого к последнему прибавляют налог на корпорации и сумму по статье "Прочие резервные отчисления", за исключением той ее части, которая уже содержится в "потоке наличности", а также финансовые издержки по долгосрочным обязательствам и минус прочие рентабельности и доходы от финансовых операций.
Предпринимательский доход считается более точным, чем рентабельность.
Допустимая рентабельность зависит от степени признания государством, предприятием, профсоюзами, союзами предпринимателей и соответствующим законодательством необходимости получения рентабельности (для принятия бюджета) и от методов негосударственного регулирования (установить определенный уровень цен, соглашение производителей, оптовых и розничных продавцов).
Государство через налоговое законодательство может предусмотреть льготы по налогообложению. Тогда льготируемая часть рентабельности, направляемая на научно-техническое развитие или другие цели, будет считаться не облагаемой налогом рентабельностью.
Консолидация предприятий определяется экономической целесообразностью. Наличие нескольких мелких предприятий, юридически самостоятельных, но экономически взаимосвязанных в большинстве случаев выгоднее, чем создание крупного предприятия (промышленного предприятия). Выгоды определяются возможностью экономии на налоговых платежах, снижения отрицательных последствий от рисковой деятельности в бизнесе, диверсификации деятельности.
Для оценки эффективности работы коммерческого предприятия недостаточно использования показателя рентабельности, поскольку наличие рентабельности еще не означает, что предприятие работает хорошо. Абсолютная сумма рентабельности не позволяет судить о степени доходности того или иного предприятия, сделки, идеи. Многие коммерческие предприятия, получившие одинаковую сумму рентабельности, имеют различные объемы продаж, разные затраты. Поэтому для определения эффективности произведенных затрат необходимо использовать относительный показатель – уровень рентабельности. Рентабельность целесообразно рассматривать с двух позиций – как объективную экономическую категорию и как количественный и качественный показатель.
Как объективная экономическая категория рентабельность характеризует доходность, финансовый результат хозяйственной деятельности предприятия.
Рентабельность – синтетический показатель, отражающий многие стороны деятельности торговых предприятий за определенный период.
В экономической теории применяется несколько определений категорий рентабельности:
1) рентабельность,
2) отношение полезного результата торговой деятельности в виде рентабельности к стоимости совокупных затрат на ее получение;
3) сопоставление результатов хозяйственной деятельности с затратами или ресурсами, исчисленными в стоимостной форме;
4) интегральный показатель, обобщающий другие показатели эффективности.
Значимость коэффициента рентабельности в условиях ориентации на рыночные отношения определяется интересом к нему не только работников данного предприятия, но и интересом государства, контрагентов, собственников, кредиторов и заемщиков. Повышение уровня рентабельности для коллектива предприятия означает укрепление финансового положения, а следовательно, увеличение средств, направляемых на материальное стимулирование их труда, для управленцев – это информация о результатах применяемой тактики и стратегии и о целесообразности ее корректировки.
Собственников (акционеров и учредителей) показатель рентабельности интересует с точки зрения прибыльности их паевых и учредительских взносов в составе общих вложений. Если уровень рентабельности возрастает, то возрастает интерес к данному предприятию других потенциальных акционеров, цена акций в этом случае тоже возрастает. У предприятия появляется возможность не только дальнейшего развития данного вида деятельности, но и возможность получения более высоких дивидендов. И наоборот, при падении уровня рентабельности интерес к вложениям в данное предприятие падает.
Кредиторов и заемщиков денежных средств уровень рентабельности и его изменение интересует с точки зрения реальности получения процентов по обязательствам, снижения риска невозврата заемных средств, платежеспособности клиента и возможностей для дальнейшего его развития.
Динамика рентабельности коммерческого предприятия изучается также налоговыми службами, фондовыми биржами, профессиональными ассоциациями.
В мировой практике достаточно широко используется система показателей рентабельности для оценки эффективности работы промышленного предприятия (компании), ее текущего положения, для сравнительного анализа привлекательности различных сфер бизнеса. Система коэффициентов рентабельности объединяет три класса:
1) рассчитываемые на основе рентабельности:
2) рассчитываемые для оценки отдачи производственных активов;
3) рассчитываемые на основе потоков наличных денежных средств.
Промышленное предприятие для организации производственного процесса привлекает значительное число работников. Расходы на оплату их труда занимают большой удельный вес в общей сумме текущих издержек. Поэтому для предприятия становится важным определение эффективности использования привлеченных трудовых ресурсов. Показатель рентабельности трудовых ресурсов характеризуется двумя частными показателями: рентабельностью в расчете на одного коммерческого работника, рентабельностью к среднедневной (среднегодовой) численности и в расчете на 1 рубль затрат, связанных с их содержанием (фонд оплаты труда, включая затраты на подготовку кадров и охрану труда и работников).
В странах с развитой рыночной экономикой в качестве показателя рентабельности выступает норма рентабельности на вложенный капитал. Его иногда называют коэффициентом рентабельности на активы. Он отвечает на вопрос, насколько хорошо работает предприятие, какую рентабельность приносят вкладываемые в бизнес фонды. В отечественной аналитической практике такие коэффициенты ранее не рассчитывались.
С переходом к рыночной экономике показатель рентабельности капитала становится одним из важнейших коэффициентов, характеризующих эффективность основных элементов ресурсов предприятия.
Воздействие финансово-кредитных рычагов на повышение рентабельности промышленного производства
Обобщающим показателем деятельности промышленного предприятия с точки зрения соотношения затрат и результатов можно назвать показатель соотношения стоимости реализованной продукции (услуг) (результат работы и реальные издержки производства продукции (услуг)) и затрат на производство. При этом следует учесть, что на конечный результат (продукцию) влияют две составляющие: внутренние организационно-экономические факторы и внешние, или рыночные, условия.
Первая составляющая включает в себя изменения производительность труда, технической характеристики производства, способа его организаций, т. е. то, что подвластно предпринимателю. Вторая же составляющая включает изменения, не зависящие либо мало зависящие от предпринимателя, главным образом изменения цен. С одной стороны, это цены на ресурсы (рабочую силу, сырье, материалы, топливо, энергию и т. п.), которые промышленное предприятие использует для производства продукта, а с другой – цены на изготовляемый продукт, которые могут изменяться от соотношения спроса и предложения на рынке.
Итак, эффективность работы промышленного предприятия можно выразить в виде отношения стоимости реализованной продукции (услуг) к затратам на производство:
Э = РП (2.30)
При анализе стоимости произведенной продукции в текущем году следует учитывать как изменение объема прироста произведенной и реализованной продукции, так и изменение цен на нее, а также изменение ассортимента выпускаемой продукции. В затратах (издержках производства) следует учитывать: изменение объемов производства, изменение цен на ресурсы, изменение норм расходования ресурсов на производство единицы продукта и изменение ассортимента выпускаемой продукции.
В качестве основного показателя экономической эффективности текущих издержек (потребления ресурсов) можно использовать показатель затрат на 1 руб. произведенной или реализованной продукции, тем более что в качестве факторов, влияющих на уровень и динамику показателя издержек, могут быть выделены и частные показатели использования (применения) ресурсов живого труда и средств труда.
В процессе такого комплексного анализа прежде всего определяют показатель затрат на 1 руб. стоимости продукции (Э), причем числитель (общую сумму текущих издержек) представляют в виде суммы четырех слагаемых, – издержек, связанных с использованием живого труда (ЖТ), издержек, связанных с использованием средств труда или основного капитала (СТ), издержек, связанных с использованием предметов труда (ПТ), и прочих издержек (ПР), учитывающих затраты основных факторов производства:[7]
Э = З =ЖТ + СТ + ПТ + ПР
РП РП РП РП РП (2.31)
Рост и развитие предприятия (промышленного предприятия) тесно связаны с выработкой и реализацией стратегии и тактики управления процессом формирования, увеличения и распределения рентабельности,
Росту рентабельности предприятия содействует манипулирование тремя переменными, определяющими его рентабельность:
1) ускорением товарооборачиваемости;
2) уменьшением массы издержек;
3) увеличением нормы рентабельности путем повышения цен.
Это самые основные переменные. Вместе с тем промышленного предприятия, успешно функционирующие на западном рынке, считают, что долгосрочная рентабельность компаний (фирм) зависит от значительно большего числа факторов (более 30), характеризующих состояние конкурентной ситуации, ситуации на рынке производителя, рыночной ситуации. И поэтому важно в процессе разработки стратегического плана управления рентабельностью не упустить из виду и ряд других важных факторов (капиталоемкость, относительное качество продукции (торговых услуг), относительную долю предприятия (компании) на рынке, производительность труда).
Между целями развития предприятия и факторами, их определяющими, существует тесная связь.
Если целью является обеспечение потребности в накоплениях на производственное развитие, тогда важнейшими факторами выступают структура реализации товаров и услуг, уровень торговых надбавок, цены реализации, объем, структура и эффективность использования ресурсного потенциала, размер рентабельности. Если цель – обеспечение устойчивого положения предприятия (промышленного предприятия), то она достигается на основе обеспечения устойчивых отношений с поставщиками, банками и другими контрагентами (количество проданных товаров, цена единицы) и достаточного размера рентабельности.
Если целью является удовлетворение интересов собственника имущества, важнейшими факторами, обеспечивающими се достижение, становятся объем собственных и привлеченных оборотных средств и эффективность их использования, размер рентабельности.
Если предприятия в качестве первоочередной цели определяют обеспечение социального потребления и социального развития коллектива, то основными факторами, которые должны быть использованы для ее достижения, выступают издержки обращения, численность и состав используемых трудовых ресурсов, меры государственного регулирования (нормы и нормативы отчислений в различные фонды социальной защиты населения и т. п., минимальная заработная плата, минимальный прожиточный уровень и т. п.), размер рентабельности.
Все вышеназванные цели и факторы сами находятся в тесной взаимосвязи и взаимообусловленности.
В экономической реальности рентабельность в большинстве случаев одновременно является полученной, заработанной и допускаемой.
Важно, чтобы все мероприятия, проводимые предприятием по росту рентабельности (при использовании всех возможностей), способствовали достижению важнейших целей развития предприятия (промышленного предприятия).
Обоснование целевого размера рентабельности предприятия
1) Определение объема товарооборота, при котором возможно получение целевой рентабельности.
2) Разработка ценовой политики и стратегии.
3) Формирование ассортиментной политики (определение оптимальной товарно-групповой структуры, соответствующей спросу населения и обеспечивающей достижение избранной цели.
4) Формирование ресурсной политики (товарное обеспечение, трудовые, материальные и финансовые ресурсы).
5) Управление валовыми доходами.
6) Использование возможностей эффективного размещения денег.
7) Управление издержками обращения
8) Оценка соответствия возможностей получения рентабельности ее целевой величине.
В практике работы промышленного предприятия имеются большие резервы роста рентабельности. Они носят характер традиционных (рост товарооборота, снижение издержек обращения и т. п.). В современных же условиях надо использовать для наращивания рентабельности не только традиционные пути, но и новые, открытые в ходе рыночных преобразований, приватизации. Среди них основными являются:
- формирование коммерческого ассортимента с учетом рентабельности товаров;
- новая философия взаимоотношений с контрагентами;
- использование возможностей рисковой деятельности;
- инновационная политика;
- оптимальные масштабы предприятия;
- использование возможностей меняющейся конъюнктуры рынка;
- акционирование;
- выгодное размещение денежных ресурсов и др.
Промышленные предприятия ежегодно сталкиваются с необходимостью выбирать товары для реализации из большого количества наименований. При этом, чем более разнообразным будет ассортимент, тем полнее будет удовлетворен спрос населения, т. е. покупатель заинтересован в возможности широкого выбора товаров или услуг. И в то же время необходимо обеспечить выгодность каждой коммерческой сделки.
Это означает, что целесообразно обеспечить взвешенный подход при выборе поставщиков, определении оптимальной партии и цены закупки товаров, установлении обоснованной торговой надбавки, расходовании средств на осуществление коммерческой деятельности.
Размер чистой рентабельности, которую должно получить коммерческое предприятие при осуществлении коммерческой сделки, можно определить по формуле:
ЧП = (Цр – Цз) x К х (100 – НДС) – ИОК х ( 100 – Сп) , (2.32)
100
где ЧП – чистая рентабельность;
Цр – цена реализации;
Цз – цена закупки;
К – количество закупленного товара;
НДС – налог на добавленную стоимость;
ИОК – затраты, связанные с осуществлением коммерческой работы;
Cп – средний уровень налогов и обязательных платежей в процентах к балансовой рентабельности.
Выгодная закупка товаров, к примеру, сама по себе не означает еще высокой рентабельности. Поэтому важно обеспечить правильную сбытовую политику непосредственно в магазине, т. е. разместить товар так, чтобы он принес больше рентабельности. Все товары условно делятся на три группы высокого, среднего и низкого
уровня рентабельности. Рациональное размещение товаров с учетом вышесказанного позволяет максимизировать рентабельность и минимизировать затраты.
Пример. Сравнительный анализ реализации двух популярных видов стирального порошка позволяет выявить уровень доходов на один квадратный метр торговой площади (оценка прямой рентабельности товара). Первоначальный анализ, поскольку стиральный порошок "А" дает большую массу рентабельности, а его запасы быстро оборачиваются, приводит к заключению, что рентабельность продаж стирального порошка "А" выше, чем порошка "В". Однако сравнение рентабельности в расчете на 1 кв. м. торговой площади позволяет сделать обратный вывод. Рентабельность реализации порошка "В" выше. Наращивание массы рентабельности при продаже последнего сдерживается недостаточным выделением для него экспозиционной площади, что и предопределило ее потерю.
Размеры рентабельности коммерческого предприятия находятся в тесной зависимости от доли рентабельности в цене единицы продукции и скорости обращения товаров.
Увеличению рентабельности коммерческого предприятия способствует рост продажи товаров, обусловленный ростом числа новых покупателей, объемов покупок постоянными клиентами, снижением цен и стоимости самого процесса реализации.
В свою очередь такая возможность прироста товарооборота зависит от уровня организации торговли, степени внедрения маркетинга, эффективности управленческих решений.
В частности, новых покупателей можно привлечь более совершенной, чем у других предприятий, выкладкой товаров, хорошей рекламой и пропагандой, высокой репутацией и специализацией коммерческого предприятия, дополнительными торговыми услугами, более низкими ценами (при том же качестве продукции), легкостью приобретения (отсутствие очередей, широкий выбор товаров и т. п.), предложением покупателям товаров с учетом их покупательских привычек.
На решение об увеличении покупок постоянными клиентами влияют: демонстрация продукции, уровень реализации идей (связанных с удобствами для покупателя, полнотой ассортимента и т. п.), наличие в продаже товаров, пользующихся спросом населения, сопутствующих изделий, реклама принудительного ассортимента, уровень цен.
Увеличение объемов реализуемой продукции в результате снижения цен и стоимости торговых услуг возможно при реальном снижении стоимости предназначенной к реализации продукции, ускорении оборачиваемости товарных запасов, повышении управляемости запасами и закупками, ликвидации неходовых товаров, широком внедрении самообслуживания, повышении эффективности использования торговых площадей.
Деятельность коммерческого предприятия должна быть направлена на рост прибылей как для себя, так и для поставщиков товаров. Если у одного или другого предприятия имеются два-три предложения на продажу или покупку товаров по одинаковой .цене, как правило, выбирается предложение того предприятия, с которым установлены тесные контакты хозяйственного сотрудничества, которое в прошлом не однажды оказывало помощь в решении возникающих проблем в процессе производства, поставки и реализации продукции.
Современная экономическая теория и практика риск рассматривает как один из факторов формирования рентабельности. При этом некоторая часть рентабельности представляет собой вознаграждение за готовность идти на риск и за эффективное управление риском (значимость последнего в странах с развитой рыночной экономикой в последние годы возросла).
Первая часть понимания взаимодействия рентабельности и риска относится к периодам становления новых экономических отношений, новых открытий, создания новых предприятий (фирм). занятия новыми видами деятельности, совершенствования товарной политики, улучшения ассортиментной структуры товарооборота.
На этапе ускоренного развития экономики такое понятие риска несколько утрачивает свою актуальность и возрастает роль эффективного управления риском.[8]
С начала 20-х гг. нынешнего столетия понятие "рентабельности" ассоциируется с понятием "риск" и "неопределенность". Эта взаимосвязь была зафиксирована американским ученым Ф. Найтом, опубликовавшим в 1921г. в Нью-Йорке свою работу "Риск, неопределенность и рентабельность". В соответствии с концепцией Ф. Найта именно неопределенность является источником рентабельности или убытка. Задача предпринимателя состоит в том, чтобы оценить эту неопределенность и, используя инициативу, попытаться снизить ее и одновременно расширить область управляемого риска и тем самым добиться повышения шансов на получение высокой рентабельности.
Каждому виду хозяйственной деятельности присущи свои риски, обусловленные назначением, целевыми установками, функциональными зависимостями и особенностями осуществления отдельных операций данного вида деятельности.
Сущность коммерческого риска определяется спецификой коммерческой деятельности, которая характеризуется как целенаправленная деятельность, учитывающая требования рынка и связанная с поиском, выбором, продвижением товаров от производителей к потребителям и их реализацией.
Чтобы свести неопределенность при осуществлении коммерческой деятельности к минимуму, необходимо выбрать то ее направление или тот вариант инвестирования, который позволит получить более высокие результаты. Эффект в данном случае можно рассчитать по следующим формулам:
Эп=П/И, (2.33)
где П – рентабельность, И – инвестиции:
ЭВк = П/Кв , (2.34)
где ЭВк – эффективность вложения капитала; Кв – вложенный капитал;
Эз = П/З, (2.35)
где Эз – эффективность затрат; З – затраты.
Расчет эффекта по этой методике представляет собой шаг в выборе оптимального варианта направления деятельности. Следующим является построение аналитических таблиц, позволяющих сравнить различные варианты реализации стратегии с учетом риска.
Оптимальным будет тот вариант, который принесет предприятию более высокую рентабельность, соответствующую разработанным прогнозным целевым ориентирам, с учетом вероятности получения прогнозируемой рентабельности, скорректированной на риск.
Пример. В первом варианте прогнозируемая рентабельность 500 ден. ед., вероятность ее получения – 0,5, тогда рентабельность, скорректированная на риск, составит 250 ден. ед.
Во втором соответственно прогнозируемая рентабельность будет равна 400 ден. ед., вероятность ее получения – 0,8, а рентабельность, скорректированная на риск, – 320 ден. ед.
Таким образом, несмотря на то, что в первом варианте прогнозируемая рентабельность более высокая, оптимальным является второй вариант, где вероятность получения прогнозируемой рентабельности выше.
Вероятность получения рентабельности от осуществления рискового проекта зависит от положения самого предприятия, осуществляющего рисковую деятельность, и его готовности идти на риск, от положения предприятий-конкурентов, от активности и эффективности деятельности партнеров и контрагентов на рынке.
Готовность предприятия идти на риск характеризуется следующими группами показателей: ликвидностью, платежеспособностью, финансовой устойчивостью, рентабельностью, коммерческой активностью.
Основной путь преодоления неопределенности в рамках выбранного варианта стратегии – диверсификация риска в направлениях диверсификации деятельности; распределение риска между промышленными предприятиями-участниками товародвижения; закупка необходимого товара у нескольких поставщиков, передача риска страховой компании.
2.4. Анализ финансового состояния. Общая оценка финансового состояния
Для общей оценки состояния предприятия ООО "ЮМА" построим сравнительный аналитический баланс в агрегированном виде и поместим его в таблицу 18.
Таблица 18
Баланс предприятия в агрегированном виде (руб.)
| АКТИВ | Условное обозначение | На начало года | На конец года |
ПАССИВ | Условное обозначение | На начало года |
На конец года |
| 1. Внеоборотный капитал | F. | 146545 | 298875 | 1. Собственный капитал | Kс | 818210 | 1010481 |
| 2. Запасы | Z | 525120 | 811232 | 2. Долгосрочные пассивы | Kт | 0 | 0 |
3. Денежные средства расчеты и прочие активы |
Ra | 549545 | 313106 | 3. Краткосрочные заемные средства | Kt | 280879 | 241946 |
в том числе: расчеты и прочие активы |
га | 170970 | 241946 | 4. Кредиторская задолженность | Kр | 122121 | 170786 |
| денежные средства и краткосрочные финансовые вложения | d | 378575 | 71160 |
Баланс предприятия в агрегированном виде подтверждает предварительные выводы, но не дает полной картины происходящего в деятельности предприятия.
Для более детального анализа воспользуемся сравнительным аналитическим балансом, включающим в себя показатели структуры динамики и структурной динамики (таблицы 19 и 20).
По данным сравнительного аналитического баланса можно дать следующую характеристику предприятию:
1)за отчетный период на предприятии: увеличилась (на 152,33 тыс. руб.) величина основных средств и выросла – почти вдвое (с 12% до 21%) – их доля в общей сумме активов, что значительно улучшает имущественное положение предприятия; возросла величина запасов (на 286,112 тыс. руб.) и их доля (на 14%), что позволяет сказать об увеличении объемов производства и продаж на предприятии; значительно снизилась величина денежных средств и краткосрочных финансовых вложений (с 378,575 до 71,16 тыс. руб.) а их доля в сумме активов снизилась на 26%, что снижает степень финансового маневрирования предприятия на рынке и подтверждает предварительные выводы; весь приток новых средств был направлен на увеличение основных средств и запасов, включая средства от перераспределения состава активов;
2) предприятие за год работы: упрочило свое финансовое положение за счет увеличения собственных средств на 192,271 тыс. руб. или на 4% и снижения краткосрочных заемных средств на 38,933 тыс. руб. или на 13,9%; увеличилась кредиторская задолженность (на 48,665 тыс. руб. или на 2%), что может быть следствием снижения объемов денежных средств предприятия и увеличения объемов производства и продаж; для увеличения имущества и объемов запасов предприятие в качестве источника средств использовало в основном (на 95%) собственный капитал, что говорит об успешной работе предприятия в анализируемом периоде.
Таблица 19
Сравнительный аналитический баланс (актив)
| АКТИВ | Абсолютное значение, руб. | Удельные веса, % | Изменения | |||||
| На начало года | На конец года | На начало года | На конец года | Абсолютные, млн. руб. | В удельных весах, % | В % на начало года | B% изменения итога | |
| 1. Внеоборотный капитал | 146,545 | 298,875 | 12,0 | 21,0 | 152,33 | 9,0 | 103,9 | 75,4 |
| 2. Запасы | 525,12 | 811,232 | 43,0 | 57,0 | 286,112 | 14,0 | 54,5 | 141,6 |
| 3. Денежные средства, расчеты и прочие активы | 549,545 | 313,106 | 45,0 | 22„0 | 236,439 | -23,0 | -43,0 | -117,0 |
| в том числе расчеты и прочие активы | 170,97 | 241,946 | 14,0 | 17,0 | 70,976 | 3,0 | 41,5 | 35,1 |
| денежные средства и краткосрочные финансовые вложения | 378,575 | 71,16 | 31,0 | ^0 | 307,415 | -26,0 | -81,2 | -152,2 |
| ИТОГО: | 1221,21 | 1423,21 | 100 | 100 | 202,003 | 0 | 115,41 | 100 |
Таблица 20
Сравнительный аналитический баланс (пассив)
| ПАССИВ | Абсолютное значение, тыс. руб. | Удельные веса, % | Изменения | |||||
| На начало года | Наконец года | На начало года | Наконец года | Абсолютные, млн. руб. | В удельных весах, % | В % на начало года | В % изменения итога | |
| 1. Собственный капитал | 818,21 | 1010,48 | 67,0 | 71,0 | 192,271 | 4,0 | 23,5 | 95,2 |
| 2. Долгосрочные пассивы | 0 | 0 | 0 | 0 | 0 | 0 | 0 | |
3. Краткосрочные заемные средства |
280,879 | 241,946 | 23,0 | 17,0 | -38,933 | -6,0 | -13,9 | -19,3 |
| 4. Кредиторская задолженность | 122,121 | 170,786 | 10,0 | 12,0 | 48,665 | 2,0 | 39,8 | 24,1 |
| ИТОГО | 1221,21 | 1423,21 | 100 | 100 | 202,003 | 0 | 49,49 | 100 |
Оценка финансовой устойчивости предприятия
Характеристику финансовой устойчивости предприятия ООО "ЮМА" и ее изменения за анализируемый период представим в виде таблицы 21.
Таблица 21
Анализ финансовой устойчивости, в руб.
| Показатели | На начало года | На конец года | Изменения, % |
| 1. Собственный капитал | 818210 | 1010481 | 123,5 |
| 2. Внеоборотные активы | 146545 | 298875 | 203,9 |
| 3. Долгосрочные пассивы | 0 | 0 | - |
| 4. Краткосрочные заемные средства | 280879 | 241946 | 86,1 |
| 5. Запасы | 525120 | 811232 | 154,5 |
| 6. Наличие собственных оборотных средств | 671665 | 711606 | 105,9 |
| 7. Наличие собственных и приравненных к ним оборотных средств | 671665 | 711606 | 105,9 |
| 8. Общая сумма средств для формирования запасов | 952544 | 953552 | 100,1 |
| 9. Излишек или недостаток собственных оборотных средств для формирования запасов | 146545 | -99926 | -68,0 |
| 10. Излишек или недостаток собственных и приравненных к ним оборотных средств для формирования запасов | 146545 | -99926 | -68,0 |
| 11. Излишек или недостаток общей суммы средств для формирования запасов | 427424 | 142230 | 33,3 |
В анализируемом периоде снизилась финансовая устойчивость предприятия, и из абсолютной она перешла в неустойчивую форму. Это объясняется тем, что темпы роста запасов значительно опережают темпы роста собственных оборотных средств. Тем не менее, степень финансовой неустойчивости на предприятии не выходит за рамки допустимой, так как величина привлекаемых для формирования запасов краткосрочных кредитов не превышает суммы стоимости производственных запасов и готовой продукции (стоимость готовой продукции составляет 121685 рублей, производственных запасов – 292043 руб. Их сумма 413728 рублей почти в два раза превышает величину краткосрочных кредитов).
Для повышения финансовой устойчивости предприятия можно порекомендовать следующие меры:
1) поиск резервов повышения прибыли и пополнения за счет нее собственных оборотных средств;
2) снижение объема запасов (необходимо провести анализ состояния и использования материальных ресурсов предприятия, в ходе которого должны быть выявлены неиспользуемые запасы, сверхнормативные запасы незавершенного производства и готовой продукции).
Для выявления общей характеристики финансовой устойчивости предприятия рассчитаем коэффициенты финансовой устойчивости предприятия на начало и конец года. Полученные данные сведем в таблицу 22.
Таблица 22
Коэффициенты финансовой устойчивости
| Наименование коэффициента | Нормативные ограничения | На начало года | На конец года |
| 1. Коэффициент автономии | >0,5 | 0,67 | 0,71 |
| 2. Коэффициент соотношения мобильных и иммобильных средств | 7,33 | 3,76 | |
| 3. Коэффициент маневренности | >0,5 | 0,82 | 0,70 |
| 4. Коэффициент обеспеченности собственными средствами | > 0,6 – 08 | 1,28 | 0,88 |
Коэффициенты финансовой устойчивости показывают, что в анализируемом периоде финансовое состояние относительно ухудшилось. Действительно, доля собственных средств, находящихся в мобильной форме, и доля запасов, обеспечиваемых собственными средствами, снизились с 82% до 70% и со 128% до 88% соответственно. Однако увеличилась доля собственных средств в общем объеме с 67% до 71%.
Ухудшение финансового состояния в анализируемом периоде относительно, неустойчивость финансового состояния предприятия находится в допустимых пределах, а само предприятие получило большую автономность.
Анализ ликвидности баланса
Потребность в анализе ликвидности баланса возникает в связи с необходимостью оценки степени способности предприятия платить по своим финансовым обязательствам.
Ликвидность баланса оценим при помощи системы коэффициентов [14], значения которых представлены в таблице 23.
Таблица 23
Показатели ликвидности баланса ООО "ЮМА"
| Наименование коэффициента | Нормативные ограничения | На начало года | На конец года |
| 1. Коэффициент абсолютной ликвидности | > 0,2 – 0,5 | 0,94 | 0,17 |
| 2. Коэффициент критической ликвидности | > 1 | 1,36 | 0,76 |
| 3. Коэффициент покрытия | >2 | 2,67 | 2,72 |
За анализируемый период значения коэффициентов абсолютной и критической ликвидности упали ниже критического уровня. Это говорит о том, что предприятие не может погасить кредиторскую задолженность ни в ближайшее время, ни при условии своевременного проведения расчетов с дебиторами, т. е. снизилась платежеспособность предприятия в краткосрочном периоде, хотя возможность предприятия рассчитаться с краткосрочной кредиторской задолженностью (при условии расчета с дебиторами, реализации готовой продукции и прочих элементов материальных оборотных средств) увеличилась на 5%, о чем говорит возросшее значение коэффициента покрытия.
Анализ доходности и эффективности предприятия
Устойчивое функционирование предприятия зависит от его способности приносить достаточный объем дохода (прибыли). Эта способность оказывает влияние на платежеспособность предприятия.
В целом результативность деятельности любого предприятия может оцениваться с помощью абсолютных и относительных показателей. Так, с помощью показателей первой группы можно проанализировать динамику различных показателей прибыли (балансовой, от реализации продукции, работ, услуг, оставшейся в распоряжении предприятия) за ряд лет. Такие расчеты будут иметь скорее арифметический, чем экономический смысл (если при этом не используются соответствующие способы пересчета в сопоставимые цены).
Показатели второй группы практически не подвержены влиянию инфляции, поскольку представляют собой различные соотношения прибыли и вложенного капитала (собственного, инвестированного, заемного и т. д.) Экономический смысл значений указанных показателей (их принято называть показателями рентабельности) состоит в том, что они характеризуют прибыль, получаемую с каждого рубля средств (собственных иди заемных), вложенных в предприятие.
Используется и система показателей эффективности деятельности, среди них остановимся на следующих [7, c. 203-205]:
Прибыль в распоряжении предприятия
Рентабельность активов = ––––––––––––––––––––––– * 100% (2.36)
Средняя величина текущих активов (расчет)
Этот коэффициент показывает, какую прибыль получает предприятие с каждого рубля, вложенного в активы.
Прибыль в распоряжении предприятия
Рентабельность реализованной продукции = ––––––––– * 100% (2.37)
Выручка от реализации
Этот коэффициент показывает, какую прибыль имеет предприятие с каждого рубля реализованной продукции. Этот показатель может быть ориентиром в оценке конкурентоспособности продукции, так как снижение рентабельности реализованной продукции может означать и падение спроса на нее.
Существующая взаимосвязь между показателями рентабельности активов (имущества), оборачиваемостью активов и рентабельностью реализованной продукции может быть представлена в следующем виде:
Рентабельность активов = Оборачиваемость активов X Рентабельность реализованной продукции
Рассчитаем показатели доходности для ООО "ЮМА"
Прибыль в распоряжении предприятия х 100
Рентабельность активов = ––––––––––––––––––––––––––––––– = 4,4 %
Средняя величина текущих активов (расчет)
Прибыль в распоряжении предприятия х 100
Рентабельность реализованной продукции = ––––––––––––––– = 19,5 %
Выручка от реализации
Отсюда следует, что коэффициент оборачиваемости для нашего предприятия равен: 4,4 / 19,5 = 0,226.
В первом квартале 2000 года заметно некоторое увеличение коэффициент оборачиваемости, что говорит о том, что предприятие преодолевая последствия инфляции, укрепляет хозяйственные связи. К настоящему времени на ООО "ЮМА" месячный оборот достиг 400 тысяч рублей.
Достаточно высокая рентабельность реализованной продукции говорит о конкурентоспособности рассматриваемого предприятия и о наличии устойчивого спроса на ее продукцию.
В то же время гораздо меньшая рентабельность активов свидетельствует о наличии еще не реализованных резервах, о возможности более рационального использования имущества и других активов предприятия. Следует совершенствовать управление запасами товарно-материальных ценностей, учет и расчеты с покупателями (заказчиками).
2.5. Анализ трудовых показателей
2.5.1. Анализ заработной платы и использования трудовых ресурсов
К трудовым ресурсам относится та часть населения, которая обладает необходимыми физическими данными, знаниями и навыками труда в соответствующей отрасли. Достаточная обеспеченность предприятий нужными трудовыми ресурсами, их рациональное использование, высокий уровень производительности труда имеют большое значение для увеличения объемов продукции и повышения эффективности производства. В частности, от обеспеченности предприятия трудовыми ресурсами и эффективности их использования зависят объем и своевременность выполнения всех работ, эффективность использования оборудования, машин, механизмов и как результат – объем производства продукции, ее себестоимость, прибыль и ряд других экономических показателей.
Основными задачами анализа являются следующие:
– изучение и оценка обеспеченности предприятия и его структурных подразделений трудовыми ресурсами в целом, а также по категориям и профессиям;
– определение и изучение показателей текучести кадров;
– выявление резервов трудовых ресурсов, более полного и эффективного их использования.
Источники информации для анализа: план экономического и социального развития предприятия, статистическая отчетность по труду ф. № 1-т "Отчет по труду", приложение к ф. № 1-т "Отчет о движении рабочей силы, рабочих мест", ф. № 2-т "Отчет о количестве работников в аппарате управления и оплате их труда", данные табельного учета и отдела кадров. Обеспеченность предприятия трудовыми ресурсами определяется сравнением фактического количества работников по категориям и профессиям с плановой потребностью. Особое внимание уделяется анализу обеспеченности предприятия кадрами наиболее важных профессий. Необходимо анализировать и качественный состав трудовых ресурсов по квалификации.
Рассмотрим состав работающих на предприятии "ЮМА".
Количество рабочих (Р) определено по трудоемкости квартальной программы (Т) и фонду времени рабочего (Фр ) и составляет:
Р = Т/Фр = 1800/465 = 4 чел.
Состав работающих малого частного предприятия "ЮМА" и квартальный фонд заработной платы приведен в таблице 24.
Таблица 24
Состав работающих предприятия "ЮМА" и квартальный фонд заработной платы
Категория работающего |
Количество работающих чел. | Обоснование | Кв. фонд заработной платы, руб. | |
На одного работающего |
Всего | |||
Производственный персонал (ПП) |
||||
| Разнорабочие | 3 | См. расчет | 4500 (1500х3) | 13500 |
| Столяры | 3 | См. расчет | 9000 (3000х3) | 27000 |
| Водитель | 1 | 7500 (2500х3) | 7500 | |
| ИТОГО ПП | 7 | 54000 | ||
Административно-управленческий персонал (АУП) |
||||
| Директор | 1 | 22500 (7500х3) | 22500 | |
Зам. директора по снабжению |
1 | 15000 (5000х3) | 15000 | |
| Главный бухгалтер | 1 | 15000 (5000х3) | 15000 | |
| ИТОГО АУП | 3 | 52500 | ||
| ВСЕГО | 10 | 106500 | ||
Коэффициент текучести кадров практически нулевой, т. к. за последние два года не было увольнений. Это говорит о благоприятной обстановке на предприятии.
Итоговые данные об использовании трудовых ресурсов приведены в таблице 25
Таблица 25
Использование трудовых ресурсов предприятия
| Показатель | 1999 год | 2000 год | Отклонение (+,-) | ||
| план | факт | от прошлого года | от плана | ||
| Среднегодовая численность (количество) рабочих (КР) | 6 | 6 | 6 | 0 | 0 |
Отработано за год одним рабочим: дней (Д) часов (Ч) |
238 1868 |
240 1920 |
240 1920 |
+2 +52 |
0 0 |
| Средняя продолжительность рабочего дня (П), ч | 7,85 |
8 |
8 |
+0,05 |
0 |
Фонд рабочего времени, ч |
11208 |
11520 |
11520 |
+312 |
0 |
| В том числе сверхурочно отработанное время, тыс. ч | 9 |
- |
2 |
-6 |
2 |
Как показывают приведенные данные, имеющиеся трудовые ресурсы предприятие использует достаточно полно. В среднем одним рабочим отработано за 2000 год 240 дней. Сверхплановые потери времени незначительные. Небольшой процент брака объясняется высокой интенсивностью работы и лежит в пределах допустимого.
2.5.2. Анализ производительности труда
Для оценки уровня производительности труда применяется система обобщающих, частных и вспомогательных показателей.
К обобщающим показателям относятся среднегодовая, среднедневная и среднечасовая выработка продукции одним рабочим, а также среднегодовая выработка продукции на одного работающего в стоимостном выражении. Частные показатели – это затраты времени на производство единицы продукции определенного вида (трудоемкость продукции) или выпуск продукции определенного вида в натуральном выражении за один человеко-день или человеко-час. Вспомогательные показатели характеризуют затраты времени на выполнение единицы определенного вида работ или объем выполненных работ за единицу времени.
Наиболее обобщающим показателем производительности труда является среднегодовая выработка продукции одним работающим. Величина его зависит не только от выработки рабочих, но и от удельного веса последних в общей численности промышленно-производственного персонала, а также от количества отработанных ими дней и продолжительности рабочего дня.
Отсюда среднегодовую выработку продукции одним работником можно представить в виде произведения следующих факторов:
ГВ = УД * Д * П * СВ. (2.38)
где ГВ – среднегодовая выработка продукции одним работником,
УД – доля рабочих в общей численности работников,
Д – количество отработанных дней одним рабочим за год,
П – средняя продолжительность рабочего дня,
ГВ' – среднегодовая выработка одним рабочим,
ДВ – среднедневная выработка продукции одним рабочим,
СВ – среднечасовая выработка продукции.
Расчет влияния этих факторов производится способами цепной подстановки, абсолютных разниц, относительных разниц или интегральным методом.
По данным табл. 26 и 27 среднегодовая выработка работника предприятия равна плановой. Обязательно анализируется изменение среднечасовой выработки как одного из основных показателей производительности труда и фактора, от которого зависит уровень среднедневной и среднегодовой выработки рабочих. Величина этого показателя зависит от факторов, связанных с изменением трудоемкости продукции и стоимостной ее оценки. К первой группе факторов относятся такие, как технический уровень производства, организация производства, непроизводительные затраты времени в связи с браком и его исправлением. Во вторую группу входят факторы, связанные с изменением объема производства продукции в стоимостной оценке в связи с изменением структуры продукции и уровня кооперированных поставок. Для расчета влияния этих факторов на среднечасовую выработку используется способ цепных подстановок.
Таблица 26
Исходные данные для факторного анализа
| Показатель | План | Факт | +,- |
| Объем производства продукции, тыс. руб. | 96000 | 96000 | 0 |
| Среднесписочная численность: промышленно-производственного персонала (ППП) рабочих (КР) | 10 6 | 10 6 | 0 0 |
| Удельный вес рабочих в общей численности промышленно-производственного персонала (УД), % | 60 |
60 |
0 |
| Отработано дней одним рабочим за год (Д) | 240 | 240 | 0 |
| Средняя продолжительность рабочего дня (П), ч | 8 |
8 |
0 |
Общее количество отработанного времени: всеми рабочими за год (Т), ч. в том числе одним рабочим, чел.-ч. |
11520 1920 |
11520 1920 |
0 0 |
Среднегодовая выработка, тыс. руб.: одного работающего (ГВ) одного рабочего (ГВ') |
9600 16000 |
9600 16000 |
0 0 |
| Среднедневная выработка рабочего (ДВ), тыс. руб. | 66,6 | 66,6 | 0 |
| Среднечасовая выработка рабочего (СВ), тыс. руб. | 8,3 | 8,3 | 0 |
| Непроизводительные затраты времени (Тн), тыс. ч | - |
1 |
- |
Изучим динамику производительности труда. Рост производительности труда происходит в первую очередь за счет снижения трудоемкости продукции, а именно за счет выполнения плана оргтехмероприятий (внедрение достижений науки и техники, механизация и автоматизация производственных процессов, совершенствование организации производства и труда), увеличения удельного веса покупных полуфабрикатов и комплектующих изделий, пересмотра норм выработки и т. д.
Трудоемкость – затраты рабочего времени на единицу или весь объем изготовленной продукции. Трудоемкость единицы продукции (ТЕ) рассчитывается делением фонда рабочего времени на изготовление определенного вида продукции на количество изделий этого наименования в натуральном или условно-натуральном измерении. Можно рассчитывать и трудоемкость одного рубля продукции. Для этого общий фонд рабочего времени на производство всей продукции нужно разделить на стоимость выпуска продукции.
Полученный показатель обратный среднечасовой выработке продукции. В процессе анализа изучают динамику трудоемкости, выполнение плана по ее уровню, причины ее изменения и влияние на уровень производительности труда. Значительный интерес представляет сравнение удельной трудоемкости продукции на разных предприятиях. Это дает возможность выявить передовой опыт и разработать мероприятия по его внедрению на анализируемом предприятии.
Таблица 27
Анализ динамики и выполнения плана по уровню трудоемкости продукции
| Показатель | 1999 г. | 2000 г. | Рост уровня показателя, % | |||
| план | факт | план к прошлому году | факт к прошлому году | факт к плану | ||
Товарная продукция, тыс. руб. |
94100 | 96000 | 96000 | 102,0 | 102 | 0 |
| Отработано всеми рабочими человеко-часов | 11208 | 11520 | 11520 | 103 | 103 | 0 |
| Удельная трудоемкость на 1 руб., ч | 120 | 119 | 119 | 101 | 99 | 0 |
| Среднечасовая выработка, руб. | 8333 | 8696 | 8696 | 99 | 101 | 0 |
Из табл. 27 видно, что плановое задание по снижению трудоемкости продукции в целом по предприятию перевыполнено. Плановое задание по снижению трудоемкости продукции к прошлому году: 32/33,2 *100 = 101%;101-100 = +1%. Фактическое снижение трудоемкости к уровню прошлого года: +1%.
Плановый прирост производительности труда (часовой выработки) за счет снижения трудоемкости продукции:
ΔСВпл = (ΔТЕ%*100) / (100 – ΔТЕ%) = 1*100 / (100 + 1) = 0,99%.
Фактический рост производительности труда за счет снижения трудоемкости к уровню прошлого года: 0,99%.
План по снижению трудоемкости выполнен. Между трудоемкостью продукции и уровнем производительности труда существует обратно пропорциональная зависимость. Поэтому общая удельная трудоемкость продукции зависит от тех же факторов, что и среднечасовая выработка рабочих. Снижение трудоемкости продукции – важнейший фактор повышения производительности труда.
Для роста производительности труда необходимо использовать разнообразные возможности не изолированно, а в тесной взаимосвязи. Однако в каждый период выделяется и используется приоритетный резерв.
Факторы, влияющие на уровень производительности труда, классифицируются по следующи м признакам и объеди няются в группы:
– природно-климатические создают естественные предпосылки для определенного и сходного уровня прои зводительности труда;
– технико-организац ионные предопределяют развитие производительных сил общества;
– социально-экономически е представляют целостную систему общественных отношений, как в сфере производства, так и в непроизводственной сфере и опосредующих технико-органи заци онное взаимодействие средств производства и рабочей силы.
Среди социально-экономических фак торов роста производительности труда особое место занимают условия труда. Согласно оценкам экономистов, во вредных условиях се годня работает свыше пяти миллионов человек, причем треть из них – женщины. Улучшение условий труда можно обеспечить созданием безопасных технологических процессов, машин и оборудования, использованием эффективных форм организаци и труда и производства, и сключающих вредное воздействие на организм человека. Наиболее важными являются меры профилактического и технологического характера, поскольку они влияют на причины неблагоприятных условий труда. Необходима единая научно-методическая основа установле ния льгот и компен саций и объе кти вная оценка реального воздействия условий труда на работосп особ ность и здоровье человека. Причем, главным при решении этих задач должен быть не столько экономический эффект, сколько социальный. Сегодня среди многообразия факторов роста производительности труда определяющую роль играет научно-технический прогресс. По оценкам специалистов за счет этого фактора обеспечивается две трети прироста производительности труда.
2.5.3. Анализ влияния мероприятий по улучшению организации труда. Анализ кадрового потенциала.
На предприятии ООО "ЮМА" большое внимание уделяется подбору и расстановке кадров, т. к. для организации важно располагать в нужное время, в нужном месте, в нужном количестве и с соответствующей квалификацией таким персоналом, который необходим для решения производственных задач, достижения целей организации.
Небольшое количество производственных рабочих обуславливает необходимость наличия у них универсальных умений. В то же время в небольшом коллективе лучше развито чувство товарищества, взаимовыручки. Необходимое внимание обращается на повышение квалификации работников предприятия независимо от занимаемой должности, что положительно сказывается на результатах работы.
Охрана труда на предприятии поддерживается на должном уровне: своевременно производятся инструктажи по технике безопасности с персоналом организации, приспособления и оборудование содержатся в работоспособном состоянии, персоналом организации предпринимаются меры, направленные на постоянное повышение культуры производства – все это обеспечивает высокую степень безопасности труда и минимизирует травматизм на производстве.
Анализ маркетингового потенциала.
На предприятии ООО "ЮМА" функции отдела маркетинга исполняет замдиректора. Он непосредственно назначает окончательную цену на произведенный продукт, находит каналы его сбыта, принимает участие в разработках стратегии по привлечению потребителей и обеспечению конкурентных преимуществ товара.
Установление окончательной цены на произведенный товар происходит с учетом следующих факторов [5, с. 119]:
1) наличием спроса на товар;
2) суммы издержек по его производству;
3) степени интенсивности конкурентного давления;
4) тактическими задачами, которые стоят перед организацией в определенный период (увеличение объема продаж, удержание рынка, снятие напряжения конкурентной борьбы и т. п.)
На предприятии ООО "ЮМА" была внедрена бесперебойная система поставки сырья и всего другого потребного оборудования и комплектующих.
В силу того, что основной объем реализуемого товара (до 90%) приобретается одним оптовым покупателем, больших проблем, связанных с поиском каналов сбыта оставшейся части оконных блоков, не возникает. Однако, данное распределение всего объема произведенной продукции таит в себе угрозу больших финансовых потерь в случае отказа основного клиента от покупки товара. В этом смысле, видится более перспективным налаживание устойчивых связей с большим количеством оптовиков для страхования своей предпринимательской деятельности от неблагополучных колебаний конъюнктуры на спрос этого товара.
Положение дел в рекламе продукции также неудовлетворительно. Несмотря на то, что продукция уже пользуется определенным устойчивым спросом, данный показатель можно увеличить, если грамотно провести рекламную компанию продукта, и увеличит тем самым информированность и заинтересованность в нем покупателей.
Исходя из всего вышеперечисленного, можно сделать определенные выводы о выявленных "сильных" и "слабых" сторонах организации, угрозах и возможностях.
"Сильными" сторонами организации являются:
1) прекрасная компетентность руководителей и исполнителей;
2) хорошая репутация у покупателей;
3) прогрессивная технология работ;
4) низкая себестоимость;
5) широкая сеть распространения товара;
6) наличие инновационных способностей и возможностей их реализации.
К "слабым" сторонам организации можно отнести:
1) отсутствие ясных стратегических направлений;
2) узкая номенклатура выпускаемой продукции.
В качестве возможностей для данного предприятия можно выделить следующее:
1) увеличение ассортимента выпускаемой продукции;
2) укрепление каналов реализации, путем нахождения большего числа оптовых покупателей;
3) сокращение издержек путем урезания выявленных неиспользуемых запасов, сверхнормативных запасов незавершенного производства и готовой продукции;
Угрозами для предприятия могут выступить следующие факторы:
1) возможность появления новых конкурентов;
2) рост продаж замещающих продуктов;
3) возрастание силы торга у покупателей и поставщиков;
4) изменение потребностей и вкусов покупателей;
5) неблагоприятная политика правительства.
3. Совершенствование деятельности предприятия
3.1. Расчет эффективности управленческого труда
Экономический эффект – это результат труда человека в процессе производства материальных благ (количество выпущенной продукции на участке, заводе, прирост вновь созданной стоимости в народном хозяйстве).
Но эффект сам по себе недостаточно характеризует деятельность человека. Для более полной ее характеристики важно знать, какими затратами получен этот эффект, т. е. во что обошелся результат. Одинаковые затраты труда могут дать разный эффект, и наоборот, один и тот же эффект может быть достигнут разными затратами труда. Цель общественного производства – получение большего эффекта с наименьшими трудовыми, материальными и денежными затратами. Поэтому необходимо полученный результат сравнить с теми затратами, с помощью которых он получен, т. е. отнести эффект к затратам, сопоставить одну абсолютную величину – эффект с другой абсолютной величиной – затраты. Такое сопоставление дает относительную величину – эффективность.
Управленческий труд относится к наиболее сложным видам человеческой деятельности, и его оценка не всегда может быть произведена прямым путем из-за отсутствия формализованных результатов, количественной оценки отдельных видов выполняемой работы. Поэтому для измерения его эффективности часто применяются косвенные методы.
Критерием оценки управленческого труда является эффективность управленческого труда:
эффект (результат)
Эy = ––––––––––––––––––––––––––––– (3.1)
затраты управленческого труда
При этом нужно помнить, что результат управленческого труда выражается не только экономическим, но и социальным эффектом. Что же касается затрат, то они представляют собой живой и овеществленный управленческий труд.
В практике при оценке эффективности труда работников управления широко применяемое понятие "экономическая эффективность управленческого труда" является более узким понятием, так как представляет собой только экономию живого и овеществленного труда, получаемую и сфере управления материальным производством за счет оптимизации и рационализации управленческой деятельности.
Критерием оценки эффективности труда работников аппарата управления является также социальная эффективность, которая из-за отсутствия количественных измерителей определяется главным образом качественными показателями. Критерий же экономической эффективности управленческого труда дает возможность количественно измерить эффективность труда в аппарате управления. Поэтому он нашел наибольшее практическое применение.
Для определения эффективности труда управленческого персонала необходимо установить критерии и показатели, по которым проводится опенка. Под критериями понимают наиболее общую количественную характеристику результатов управленческого труда. Отдельные результаты деятельности аппарата управления являются показателями управленческого труда. Они носят подчиненный характер по отношению к критерию и являются основой при его определении. Таким образом, совокупность показателей труда и будет выражать критерий оценки.
Для определения экономической эффективности управленческого труда используются различные способы: по показателям предприятия, организации и функционированию труда управленческого персонала, объему передаваемой информации; по качеству и быстроте принимаемых решений; по выполнению функции управленческих звеньев.
К показателям, характеризующим труд в сфере управления, относятся: снижение трудоемкости обработки управленческой информации; сокращение управленческого персонала, сроков обработки информации; сокращение потерь рабочего времени управленческого персонала за счет улучшения организации труда; механизации и автоматизации трудоемких операций в сфере управления. Это количественно измеряемые показатели. Такие показатели в сфере управления, как повышение квалификации управленческого персонала, качества работы, улучшение условий труда, обоснованность управленческих решений, культура управления и другие, не измеряются вообще или измеряются неполно.
В сфере воздействия управленческого труда на производство количественно измеряемыми являются следующие показатели: прирост прибыли; увеличение объемов реализации продукции; рост производительности труда; снижение фондоемкости; увеличение фондоотдачи; ускорение оборачиваемости оборотных средств; увеличение рентабельности производства; уменьшение непроизводственных расходов; снижение трудоемкости продукции; уменьшение объемов незавершенного производства; снижение себестоимости продукции; экономия заработной платы; уменьшение потерь рабочего времени; повышение культуры производства; повышение уровня организационной работы; улучшение условий труда; повышение качества продукции; повышение квалификации производственного персонала; рост технического уровня оснащения производства.
Поскольку процесс управления производством воздействует на всю многостороннюю деятельность предприятия, то это дает возможность определить влияние управленческого труда на множество показателей производственной деятельности. При этом эффективность его сводится к экономии, получаемой от воздействия управленческого персонала на производственную деятельность предприятия, соизмеримой с затратами на управление.
Экономическая эффективность управленческого труда (в расчете за год) определяется по формуле
Еy = Эy /Зy (3.2)
где Эy – экономический эффект;
Зy – суммарные годовые затраты на управление.
Экономический эффект представляет собою приведенную за год сумму экономии на управленческую деятельность:
Эy
=
Эi
– Еn
• Зy
, (3.3)
где Эi – экономия i-го вида работ;
Еn – нормативный коэффициент эффективности (0,15);
n – число выполняемых работ, давшее экономию.
Эффективность управленческого труда выражается показателями производственной деятельности предприятия. Общий вид формулы будет такой:
Еyi = Пi /Зy (3.4)
где Еyi – экономическая эффективность управления по i-му показателю предприятия;
Пi – результат работы предприятия по i-му показателю.
Управленческий персонал своей деятельностью оказывает влияние на сокращение трудоемкости выпускаемой продукции, повышение ритмичности работы, улучшение материально-технического снабжения и обслуживания основного производства, оптимизацию технико-экономического и оперативного планирования. Поэтому экономическую эффективность его можно определить по формуле
Еnp = ПT /Зy , (3.5)
где Еnp –экономическая эффективность управленческого персонала за счет роста производительности труда;
ПT – производительность труда предприятия.
Управленческий персонал оказывает влияние и на снижение себестоимости выпускаемой продукции, особенно условно-переменных расходов. Это можно выразить следующим образом:
ЕУП = ЭУП /Зy , (3.6)
где ЕУП – годовая экономическая эффективность за счет снижения условно-переменных расходов в себестоимости;
ЭУП – годовая экономия условно-переменных расходов.
ЭУП = ЭМ + ЭТ + ЭЗ + ЭСБ + ЭН + ЭП + ЭОБ, (3.7)
где: ЭМ – экономия от снижения материальных затрат;
ЭТ – экономия топлива и энергии на технологические нужды;
ЭЗ – экономия заработной платы производственных рабочих;
ЭСБ – экономия от уменьшения потерь от брака;
ЭН – экономия от уменьшения непроизводительных расходов;
ЭП – экономия затрат на подготовку и освоение производства;
ЭОБ – экономия затрат на содержание и эксплуатацию оборудования.
Экономическую эффективность управленческого персонала следует оценивать и по приросту прибыли:
ЕП = ЭПР /Зy , (3.8)
где ЕП – экономическая эффективность управленческого персонала;
ЭПР – годовая экономия за счет прироста прибыли;
Зy – суммарные годовые затраты на управление.
ЭПР = (A2 – A1 )/A1 П1 + (C2 – C1 )/100 A2 , (3.9)
где A1 , A2 – годовой объем реализуемой продукции соответственно до и после рационализации работ в управлении;
C1 , C1 – затраты на рубль реализуемой продукции соответственно до и после рационализации работ в управлении;
П1 – прибыль от реализуемой продукции до внедрения рационализации работ в управлении.
Экономию можно определить и в самой сфере управления. Здесь на нее оказывают влияние такие факторы, как снижение трудозатрат управленческого персонала, условное высвобождение работников, сокращение потерь рабочего времени. Экономический эффект от снижения трудоемкости обработки информации исчисляется по формуле
=
(T1
– T2
) • S, (3.10)
где
– экономический эффект от снижения трудоемкости;
T1 , T2 , – трудоемкость i-й управленческой процедуры (операции) до и после рационализации работ, человеко-дни;
S – средняя годовая стоимость человеко-дня управленческого персонала;
n – число процедур (операций),
Улучшение структуры аппарата управления предприятием, механизация и автоматизация – важнейшие направления в его работе. Эффективность в данном случае рассчитывается следующим образом:
ЭЧ = [(Ф1 /Ф2 – 1) Ч ] S1 , (3.11)
где ЭЧ – экономия затрат за счет условного высвобождения работников;
Ф1 , Ф2 , – фонд рабочего времени в среднем на одного работающего соответственно до и после рационализации, час.;
Ч – численность работающих до рационализации, чел.;
S1 – средняя годовая заработная плата одного работника.
Экономия от сокращения потерь рабочего времени и непроизводительных затрат управленческого персонала определяется по такой формуле:
ЭВР = (ВЧФ)S, (3.12)
где ЭВР – экономия за счет сокращения потерь рабочего времени:
В – сокращенные потери и непроизводительные затраты времени в течение рабочего дня, час.;
Ч – численность работников, сокративших потери и непроизводительные затраты, чел.;
Ф – годовой фонд рабочего времени одного работника управления. дни;
S – средняя годовая стоимость одного человеко-часа работника управления.
Как известно, большой ущерб производству наносит текучесть кадров. Деятельность управленческого персонала должна быть направлена на создание оптимальных условий работы, организацию труда, удовлетворение личных потребностей и создание нормального социально-психологического климата в коллективе.
Экономия за счет уменьшения текучести кадров рассчитывается по формуле:
ЭТ
=
PЧ
i (1 – KЧ2
/KЧ1
), (3.13)
где ЭТ – экономия за счет уменьшения текучести кадров;
KЧ1 , KЧ2 – фактический и ожидаемый коэффициент текучести, %;
PЧ
i – среднегодовой ущерб, причиняемый предприятию текучестью кадров (снижение производительности труда в течение двух недель у работников, решивших уволиться; низкая производительность труда у вновь принятых на работу; затраты, связанные с обучением и др.)
Эффективность управленческого труда можно определить и по таким показателям, как размер выработки на одного работника и величина соотношения затрат на производство и на управление.
Годовая выработка управленческого персонала определяется по формуле:
ЭВУ = ОТ. П. /Чy , (3.14)
где ЭВУ – годовая выработка управленческого персонала;
ОТ. П. – годовой объем товарной (валовой) продукции;
Чy – среднесписочная численность управленческого персонала, чел.
Эффективность затрат на управление:
ЭЗУ = ОТ. П. /ЗУ , (3.15)
где ЭЗУ – эффективность затрат на управление;
ЗУ – суммарные годовые затраты на управление.
Годовые затраты на управление состоят из заработной платы ИТР и служащих, затрат на материалы, расходов на эксплуатацию средств оргтехники и ЭВМ, накладных и единовременных расходов (приобретение управленческой техники и оборудования, финансирование оргпроектов и т. д.)
Общие годовые расходы на управление производством:
ЗУ = ЗТ + EН ЗЕД , (3.16)
где ЗУ – приведенные суммарные затраты на управление;
ЗТ – годовые текущие затраты;
EН –- нормативный коэффициент эффективности;
ЗЕД – единовременные затраты.
Годовые текущие затраты определяем по формуле:
ЗТ = ЗМ + ЗЗ (1 + a), (3.17)
где ЗТ – годовые текущие затраты;
ЗМ – затраты на материалы для нужд управления;
ЗЗ – затраты на заработную плату управленческого персонала;
a – коэффициент накладных и прочих расходов.
Накладные расходы состоят из расходов на командировки, содержание транспорта, внедрение изобретений и рационализаторских предложений, охрану труда и т. п.
Единовременные расходы (ЗЕД ) определяются по формуле:
ЗЕД = ЗТЕХ + ЗНИР , (3.18)
где ЗТЕХ – суммарные затраты на приобретаемую для управления технику;
ЗНИР – затраты на проведение НИР, оргпроектирование, разработку мероприятий по совершенствованию работы управления.
Из изложенного видно, что можно определить экономическую эффективность управленческого труда по отношению к любому из множества показателей производственной деятельности, но ни один из них не позволяет оценивать эффективность управления в целом.
В качестве обобщающего критерия экономической эффективности предприятия может выступать функция ограниченного числа важнейших показателей. Он может быть выражен в таком виде:
W = f (ПП ППР ПУП ПФ ), (3.19)
где W – обобщенный критерий экономической эффективности фирмы;
ПП , ППР , ПУП , ПФ – показатели (определители) предприятия (прирост прибыли, производительность труда, условно-переменные расходы, фонд заработной платы).
Произведем расчет эффективности системы управления.
Общий порядок расчета.
1. Определяется экономичность системы посредством отнесения затрат на управление (ЗУ ) к основным (ФОС ) и оборотным (ФОБ ) фондам объекта управления:
ЭС = ЗУ /(ФОБ K1 + ФОС K2 ), (3.20)
где ЭС – экономичность системы;
K1 , K2 – коэффициенты, характеризующие уровни кооперирования и концентрации производства.
Коэффициент корректировки уровня кооперирования определяется по формуле:
K1 = γК /γiК , (3.21)
где γ – доля кооперированных поставок в общей себестоимости продукции искомого предприятия и предприятия, принятого за условную базу.
Такой же принцип может быть использован при определении коэффициента, учитывающего уровень концентрации производства:
K2 = ФОСi /Ф’ОС , (3.22)
где ФОСi и Ф’ОС – стоимость основных производственных фондов данного предприятия (объединения) и предприятия (объединения), принятого за условную базу
2. За показатель эффективности производства в методике принята производительность труда, исчисленная по нормативно-чистой продукции:
ЭП = ПЧ /Р, (3.23)
где ПЧ – объем нормативно-чистой продукции предприятия;
Р – общая численность работающих.
3. Показатель эффективности системы управления находится по следующей зависимости:
ЭУ = ЭС /ЭП , (3.24)
Таким образом, чем меньше ЭУ тем выше эффективность системы управления, так как, чем ниже уровень затрат на управление и выше производительность труда, тем рациональнее и экономичнее производство.
Затраты на управление в год, тыс. руб. 800
Стоимость, тыс. руб.
основных производственных фондов 8200
нормируемых оборотных средств 6500
Доля полуфабрикатов по кооперированным
поставкам, % от общей стоимости продукции 6
Выпуск нормативно-чистой продукции, тыс. руб. 39
Численность работающих 10
За базовое принято предприятие со стоимостью основных производственных фондов 9,02 млн. руб. и долей полуфабрикатов по кооперированным поставкам 5% от общей стоимости продукции.
Коэффициент, характеризующий уровень кооперирования:
K1 =6:5 = 1,2.
Коэффициент, характеризующий уровень концентрации производства:
K2 = 8200/9200 = 0,9.
Тогда экономичность системы управления предприятием:
ЭС = 80000/(8200 0,9 + 6500 1,2) = 5,26
Производительность труда по нормативно-чистой продукции:
ЭП = 39/10 = 3,9
Эффективность системы управления предприятием:
ЭУ = 5,26/3,9 = 1,35
Подобный расчет можно произвести по всем сравниваемым предприятиям и сделать вывод об эффективности той или иной системы управления производством.
3.2. Рекомендации по совершенствованию деятельности предприятия
Анализ стратегических возможностей
Выявление стратегических проблем.
Определение списка "сильных" и "слабых" сторон предприятия ООО "ЮМА", а также угроз и возможностей рассмотрены с помощью матрицы SWOT [8, с. 87].
В квадрантах, образованных на пересечении "сильных" и "слабых" сторон, возможностей и угроз записаны меры, направленные на минимизацию или полное устранение негативных последствий, а также шаги, обеспечивающие успешное внедрение благоприятных возможностей (см. Рис. 12).
Матрица SWOT
Возможности: 1. Увеличение ассортимента выпускаемой продукции. 2. Укрепление службы реализации. 3. Сокращение издержек.. |
Угрозы: 1. Возможность появления новых конкурентов. 2. Рост продаж замещающих продуктов. 3. Возрастание силы торга у покупателей и поставщиков. 4. Изменение потребностей. 5. Неблагоприятная политика правительства. |
|
"Сильные" стороны: 1. Прекрасная компетентность руководителей и исполнителей. 2. Хорошая репутация у покупателей. 3. Прогрессивная технология изготовления продукта. 4. Низкая себестоимость. 5. Широкая сеть распространения товара. 6. Наличие инновационных способностей и возможностей их реализации. |
1. Освоить выпуск нового товара – вареников с творогом и картофелем. 2. Установить новые долгосрочные связи с оптовыми покупателями производимого товара. 3. Провести анализ состояния и использования материальных ресурсов предприятия, в ходе которого должны быть выявлены неиспользуемые запасы, сверхнормативные запасы незавершенного производства и готовой продукции. |
1. Постараться сформировать потребительское предпочтение товара у покупателей, путем обеспечения их большей информированности о качественных отличиях этого товара от товаров конкурентов. 2. Укрепить связи с поставщиками, путем заключения долгосрочных договоров. 3. Больше работать по предоплате, что позволит сократить дебиторскую задолженность. |
"Слабые" стороны: 1. Отсутствие ясных стратегических направлений. 2. Узкая номенклатура выпускаемой продукции. |
1. Использовать возможности, разработать стратегию по увеличению ассортимента товаров, снижения издержек и выхода на новые рынки. | 1. Найти резервы повышения прибыли и пополнения за счет нее собственных оборотных средств. 2. Усилить рекламное давление для формирования позитивного мнения у населения о выпускаемом товаре. |
Рис. 12.
Формирование миссии
При разработке миссии необходимо учитывать интересы определенных групп людей, оказывающих влияние на деятельность организации. К ним относятся: собственники организации, сотрудники организации, покупатели продукта, деловые партнеры, местное сообщество и общество в целом. Кроме того, должны быть учтены следующие пять факторов [11]:
1) история фирмы, в процессе которой вырабатывалась ее философия, формировались его профиль и стиль деятельности, место на рынке;
2) существующий стиль поведения и способ действия собственников и управленческого персонала;
3) состояние среды обитания организации;
4) ресурсы, которые она может привести в действие для достижения своих целей;
5) отличительные особенности, которыми обладает организация.
Учитывая названные факторы, миссия организации может быть сформулирована следующим образом:
"Предприятие призвано активно работать на рынке продуктов питании. Прекрасная компетентность руководителей и исполнителей организации предопределяет ее важное место на рынке, крепкие налаженные связи с деловыми партнерами, многолетнее сотрудничество и хорошая репутация у покупателей обязывают предприятие к плодотворной работе. Существование организации благоприятно сказывается на уровне занятости населения региона.
Создание организации преследуем несколько целей:
1) Получить и постепенно увеличить объемы наличных денежных поступлений;
2) Закрепиться на выбранном секторе рынка;
3) Способствовать решению проблемы утилизации и переработки лома, металлических отходов и т. п.
4) "Решить" проблему реализации металлопроката, лома, отходов, связанных с металлоработами;
5) Ослабить зависимость от конъюнктуры рынка;
6) Найти новую сферу приложения накопленного капитала;
7) Уменьшить риск, связанный с предпринимательской деятельностью;
8) Организовать новые рабочие места;
9) Планомерное решение задач социальной сферы для работников предприятия [12, с.116].
Формулирование целей и установление их приоритетов
Целью организации называется конкретное состояние отдельных характеристик организации, достижение которых является желательным, на достижение которых направлена ее деятельность.
Существует несколько групп целей [11, с. 54], а именно:
1) группа прибыльности;
2) группа положения на рынке,
3) группа производительности;
4) группа финансовых ресурсов;
5) группа мощности организации;
6) группа НИОКР;
7) группа человеческих ресурсов;
8) группа "работа с потребителями";
9) группа "оказания помощи обществу".
Проведя всесторонний анализ состояния организации, выбор пал на следующие цели (перечень идет в порядке убывания приоритета), достижение которых во многом определит благополучие предприятия в будущем:
1) повышение финансовой устойчивости предприятия;
2) повышение платежеспособности предприятия;
3) снижение объемов запасов;
4) увеличение ассортимента выпускаемой продукции;
5) увеличение доли рынка;
6) снижение издержек, связанных с производством продукции;
7) улучшение работы с потребителем.
Выбор и обоснование стратегии
Описываемая организация является узкоспециализированной фирмой, так как выпускает лишь одно наименование продукции.
Выбор и обоснование стратегии для узкоспециализированного предприятия осуществляется с помощью методики SPASE.
Данная методика предполагает анализ положения фирмы и условия ее функционирования по четырем координатам:
1) конкурентное преимущество фирмы;
2) финансовое положение;
3) "привлекательность" отрасли;
4) стабильность экономической среды.
Для удобства сопоставления факторы сгруппированы в четыре таблицы (табл. 28-31). Оценка факторов производится по бальной шкале от 0 до 6, далее производится расчет конечного показателя, который наносится на систему координат по методике SPASE (Рис. 13) [13]. Затем переходят к анализу и интерпретации полученного графика.
Таблица 28
Определение конкурентного преимущества фирмы
| Факторы | Оценка факторов | ||
| 1. Доля рынка | Малая | 3 | Большая |
| 2. Качество продукта | Низкое | 5 | Высокое |
| 3. Стадия жизненного цикла продукта | Поздняя | 3 | Ранняя |
| 4. Приверженность потребителей | Низкая | 5 | Высокая |
| 5. Использование производственных | |||
| мощностей у конкурентов | Минимальное | 4 | Максимальное |
| 6. Технологическое know-how | Малое | 6 | Большое |
| 7. Степень вертикальной интеграции | Низкая | 1 | Высокая |
Среднее значение – 6 = – 2,15
Таблица 29
Определение финансового положения фирмы
| Факторы | Оценка факторов | ||
| 1. Отдача на вложение | Низкая | 3 | Высокая |
| 2. Финансовый рычаг | Несбалансированный | 3 | Сбалансированный |
| 3. Ликвидность | Несбалансированная | 2 | Сбалансированная |
4. Степень удовлетворения потребностей в капитале |
Низкая | 2 | Высокая |
| 5. Поток платежей в пользу фирмы | Малый | 5 | Большой |
| 6. Выход с рынка | Сложный | 4 | Легкий |
| 7. Рискованность бизнеса | Высокая | 4 | Низкая |
| 8. Оборачиваемость запасов | Медленная | 6 | Быстрая |
Среднее значение 3,63
Таблица 30
Определение "привлекательности"(силы) отрасли
| Факторы | Оценка факторов | ||
| 1. Потенциал роста | Низкий | 5 | Высокий |
| 2. Потенциальная прибыльность | Низкая | 4 | Высокая |
| 3. Финансовая стабильность | Низкая | 3 | Высокая |
| 4. Технологическое know-how | Простое | 5 | Сложное |
| 5. Использование ресурсов | Неэффективное | 5 | Эффективное |
| 6. Капиталоемкость | Высокая | 3 | Низкая |
| 7. Выход на рынок | Легкий | 4 | Сложный |
8. Производительность (использование ресурсов) |
Низкая | 6 | Высокая |
Среднее значение 4,38
Таблица 31
Определение стабильности среды
| Факторы | Оценка факторов | ||
| 1. Технологические изменения | Большие | 2 | Малые |
| 2. Темп инфляции | Высокий | 1 | Низкий |
| 3. Вариации спроса | Большая | 3 | Малая |
| 4 Разброс цен конкурирующих продуктов | Большой | 3 | Малый |
| 5. Барьеры (ограничения) для вхождения в рынок | Малые | 2 | Большие |
| 6. Давление конкурентов | Высокое | 3 | Низкое |
| 7. Спрос | Эластичный | 2 | Неэластичный |
Среднее значение – 6 = -3,71
Система координат методики SPACE
Рис. 13.
Данное расположение и направленность суммарного вектора характерна для так называемой стратегии "конкурентной позиции". Эта позиция характерна для "привлекательных" отраслей в сравнительно нестабильном окружении. Критический фактор – способность сохранить и упрочить финансовое положение фирмы.
Поведение фирмы – линия гибкого реагирования. Как следствие, эта позиция оказывается стратегически неустойчивой и часто приводит к краху.
Рекомендуемые стратегии:
1) Аккумулирование дополнительных финансовых ресурсов для усиления рыночного потенциала;
2) Расширение и (или) корректировка ассортимента выпускаемой продукции;
3) Укрепление службы реализации;
4) Инвестирование на повышение производительности;
5) Сокращение издержек.
Представляется необходимым, чтобы данный комплекс стратегий был реализован на предприятии, так как, в противном случае, организация со временем будет сдавать свои конкурентные позиции на рынке, что, в конечном итоге, может привести к финансовому краху.
Заключение
Проведённые исследования показали, что эффективное управление фирмой непременно требует от руководителей стратегического мышления и умения разрабатывать стратегию. Сегодняшним менеджерам приходится думать стратегически о положении, в котором находится компания, и о влиянии, которое на неё оказывают меняющиеся условия. Они вынуждены анализировать внешнюю среду достаточно тщательно, чтобы знать, когда вносить изменения в стратегию. Они должны быть достаточно хорошо знакомы с деятельностью компании, чтобы знать, какие изменения вносить в стратегию. Другими словами, стратегический менеджмент является фундаментом общего подхода к управлению всей компанией.
Преимуществами стратегического мышления, имеющего первостепенное значение в стратегическом менеджменте являются:
обеспечение направленности всей организации на ключевой аспект стратегии: "что мы стараемся делать и чего добиваемся?";
– необходимость менеджеров более чётко реагировать на появляющиеся перемены, новые возможности и угрожающие тенденции;
– возможность для менеджеров оценивать альтернативные варианты капитальных вложений и расширения персонала, т. е. разумно переносить ресурсы в стратегически обоснованные и высокоэффективные проекты;
– возможность объединить решения руководителей всех уровней управления, связанных со стратегией;
– создание среды, благоприятствующей активному руководству и противодействующей тенденциям, которые могут привести лишь к пассивному реагированию на изменение ситуации.
Последнее преимущество, заключающееся в поощрении активного управления, а не в простом реагировании на внешние факторы, приводит к тому, что новаторские стратегии могут стать ключом к улучшению результатов деятельности компании в долгосрочном плане. Из истории бизнеса известно, что высоких результатов добивались обычно компании инициативные и ведущие, а не те, которые просто реагировали на изменившиеся условия или защищались. Преуспевающие компании предпринимают стратегические наступления для обеспечения устойчивого конкурентного преимущества, а затем используют свою долю рынка, чтобы достичь превосходных финансовых результатов. Энергичное выполнение творческой, неординарной стратегии может вывести фирму на ведущие позиции, обеспечивая продвижение её товаров или услуг до тех пор, пока они не станут стандартом в данной отрасли.
Задача руководства по выработке направления развития включает разработку целей, постановку задач и формулирование стратегии. На ранней стадии процесса выработки направления управляющим нужно сформировать представление о том, куда вести организацию. Хорошо обдуманная формулировка миссии компании помогает направить усилия организации по пути, который определило руководство.
Вторым шагом по выработке направления является постановка стратегических и финансовых целей, которых должна достичь организация. Цели превращают миссию компании в специфическое задание для исполнения. Согласованные и поставленные цели должны быть трудными, но достижимыми, должны быть оговорены сроки и методы их исполнения. Другими словами, цели должны быть соразмерными и иметь конечные сроки исполнения.
Третий шаг включает в себя выработку стратегии для достижения целей, поставленных в каждой области деятельности организации. Корпоративная стратегия необходима для достижения целей на уровне корпорации, деловые стратегии – на уровне хозяйственного подразделения. Функциональные стратегии необходимы, чтобы определить задания для исполнения каждым функциональным отделом, а операционные стратегии нужны, чтобы достичь целей, поставленных перед каждой оперативной или географической единицей. В действительности стратегический план организации представляет собой совокупность унифицированных и взаимосвязанных стратегий. Различные стратегические проблемы адресованы на каждый управленческий уровень выработки стратегии. Как правило, выработка стратегии скорее является задачей сверху вниз, чем наоборот. Стратегия нижнего уровня поддерживает и дополняет стратегию высшего уровня и вносит вклад в достижение целей на более высоком уровне, охватывающем всю компанию.
Заключительный шаг – это приведение в соответствие выбранных общих стратегических подходов к ситуации в отрасли и положению фирмы, стоящей лицом к лицу с конкурентами. Необходимо быть уверенным, что выбранная стратегия полностью соответствует компетенции фирмы и её конкретным возможностям и выбранная стратегия учитывает все стратегические проблемы, с которыми сталкивается фирма.
Работа по реализации стратегии заключается в превращении стратегических планов в действия и в хорошие результаты. Критерием успешности реализации стратегии является полное достижение поставленных в стратегическом плане целей или его перевыполнение. Невыполнение плана означает, что стратегия плохо разработана, либо неверно реализована, либо и то и другое одновременно.
Принимая решения по реализации стратегии, менеджеры должны определить, какие внутренние условия необходимы для успешной реализации стратегического плана, и создать эти условия в возможно более короткие сроки.
Реализация стратегии – это функция не только высшего руководства, а работа для всей управленческой команды. Все менеджеры выступают как реализаторы стратегии в рамках своих полномочий и ответственности. Каждый из них должен определить, какие действия надо осуществить, какие шаги предпринять в своей сфере деятельности, чтобы достичь намеченных результатов. Для этого необходимо иметь план действий.
К трем основным действиям по построению организационной структуры управления фирмой относятся:
– назначение на ключевые посты подходящих для этого людей;
– наблюдение за тем, чтобы имеющиеся главные достоинства, ноу-хау, опыт и навыки, внутренние возможности обеспечивали выполнение всех видов деятельности, составляющих цепочку ценностей, на высоком профессиональном уровне;
– структурирование рабочих усилий и определение того, как должна выглядеть схема организационного построения компании.
Центральной задачей приведения структуры в соответствие со стратегией является использование стратегически значимых видов деятельности в качестве основных блоков при создании организационной структуры, а также поиск эффективных путей обеспечения связей на различных уровнях управления и между ними и координация соответствующих усилий различных подразделений и отдельных сотрудников. Другой важной задачей является принятие решения о централизации и определение того, могут ли неосновные виды деятельности выполниться за пределами компании более эффективно, чем самой компанией.
Изменение стратегии почти всегда требует перераспределения средств. Пересмотр бюджета в направлении создания обеспечивающих стратегию систем является решающим фактором в процессе её исполнения, потому что каждая организация нуждается в рабочей силе, оборудовании, денежных средствах и других ресурсах для выполнения стратегического плана. Выполнение новой стратегии влечёт за собой перераспределение ресурсов из одной сферы в другую – сокращение штатов и финансирования для незначительных по размерам хозяйственных подразделений, расширение штатов и финансовые вливания в стратегически важные подразделения и, наконец, полный отказ от проектов и действий, которые не имеют хороших перспектив.
Следовательно, если компания изменяет свою стратегию, управляющие компании пересматривают существующие политики и процедуры управления, корректируя те из них, которые не адаптированы к новым условиям и не соответствуют им.
И, наконец, создание корпоративной культуры, поддерживающей стратегию, очень важно для её успешного исполнения, так как культура формирует производственный климат и корпоративный дух, которые способствуют выполнению поставленных задач и вносят свой вклад в достижение успеха. Корпоративная культура определяется тем, почему и как осуществляется деятельность организации, каковы ценности и убеждения, которым следуют руководители, этические нормы, обязательные для всех, какая философия лежит в основе ключевых политик и какая моральная обстановка, а также каковы традиции, которых придерживается организация. Культура, таким образом, отражает атмосферу в компании и стиль её работы.
Философия, цели, нормы и принципы новой стратегии могут совпадать или вступать в противоречие с принципами корпоративной культуры. Тесная связь между стратегией и культурой ведёт к достижению максимальных результатов, слабая же порождает труднопреодолимые препятствия. Изменения, производимые в корпоративной культуре, требуют высокой степени компетентности со стороны руководства компании.
Таким образом, можно сделать следующие выводы:
1. Теоретические основы стратегического менеджмента, активно развиваемые в настоящее время в западной теории и практике управления, должны быть адаптированы к кризисным условиям России и широко использованы в отечественной науке и хозяйственной деятельности российских коммерческих фирм.
2. Рассмотрение фирмы в качестве объекта и субъекта стратегического управления даёт возможность значительно повысить эффективность её функционирования в сложной конкурентной среде российского рынка.
3. Предложенная в работе стратегия диверсификации явилась составляющей частью антикризисной стратегии и обеспечила выживание ООО "ЮМА"в условиях системного кризиса, переживаемого российской экономикой.
4. Предложенные в работе мероприятия по совершенствованию структуры управления, учитывают изменения кризисной внешней среды и обеспечивают выполнение новой антикризисной стратегии предприятия.
5. Реализация принципов корпоративной культуры в комплексе мер организационного развития позволила ООО "ЮМА" стать устойчивой системой, не только активно противостоящей угрозам и негативным воздействиям агрессивной конкурентной внешней среды, но и сохранить свои активные позиции в кризисных условиях.
Список литературы
1. Гражданский Кодекс Российской Федерации, ч. I и II. – М., 1996.
2. Об акционерных обществах. Федеральный Закон. Принят Государственной Думой 24 ноября 1995г.
3. О государственной поддержке малого предпринимательства в Российской Федерации. Федеральный Закон. Принят Государственной Думой 15 мая 1995г.
4. Закон "О собственности в РСФСР", принят 24 декабря 1990г., с изменениями и дополнениями от 24 июня 1992г.
5. Закон "О предприятиях и предпринимательской деятельности", принят 25 декабря 1990г., с изменениями и дополнениями от 24 июня 1992 г.
6. Ансофф И. Стратегическое управление. – М., Экономика, 1989.
7. Антикризисное управление. Под ред. Уткина Г.П. – М., Закон и право, ЮНИТИ, 1995.
8. Балабанов И.Т. Основы финансового менеджмента. – М., Финансы и статистика, 1994
9. Дункан Джек У. Основополагающие идеи в менеджменте. Уроки основоположников менеджмента и управленческой практики / – М., Дело, 1996.
10. Ковалев В.В., Волкова О.Н. Анализ хозяйственной деятельности предприятия. – М., Проспект, 2000.
11. Котлер Ф. Основы маркетинга. – М., Прогресс, 1993.
12. Круглов М.И. Стратегическое управление компанией. – М., Русская деловая литература, 1998.
13. Мескон М.Х., Альберт М., Хедоури Ф. Основы менеджмента. – М., Дело, 1992.
14. Пиндайк Р., Рубинфельд Д. Микроэкономика. – М., Экономика, Дело, 1992.
15. Савицкая Г.В. Анализ хозяйственной деятельности предприятия. – М., Экоперспектива, 1998.
16. Саймон Г.А., Смитбург Д.У., Томпсон В.А. Менеджмент в организациях. – М., Экономика, 1996.
17. Синк Д.С. Управление производительностью: планирование, измерение, оценка, контроль и повышение. – М., Прогресс, 1989.
18. Современный менеджмент: принципы и правила. Под ред. Данилова-Данильяна В.И. – Нижний Новгород, НКУП, 1992.
19. Старобинский Э.Е. Основы менеджмента на коммерческой фирме. – М., АО "Бизнес-школа "Интел-Синтез", 1994.
20. Стровский Л.Е. Внешний рынок и предприятие. – М.: Финансы и статистика, 1993.
21. Стратегическое планирование. Под ред. Уткина Э.А. – М.: Экмос, 1998.
22. Томпсон А.А. и др. Стратегический менеджмент. – М.: Банки и Биржи, Юнити, 1998.
23. Уткин Э.А. Курс менеджмента. – М., Зерцало, 1998.
24. Уткин Э.А. Управление фирмой. – М., "Акалис", 1996.
25. Фаткин Л.В., Карась Л.Ю. Руководитель в системе менеджмента. – М.: РЭА, 1999.
26. Фатхутдинов Р.А. Стратегический менеджмент. – М.: ЗАО "Бизнес-школа "Интел-Синтез", 1998.
[1] Баканов М. И., Шеремет А. Д. Теория экономического анализа. – М., 1994.
[2] Финансовый менеджмент. Учебно-практическое руководство. – М., 1993.
[3] Хизрич Роберт, Петерс Майкл. Предпринимательство. Выпуски 1-5. – М., 1993.
[4] Ворст И., Ривентлоу П. Экономика промышленного предприятия. – М., 1994.
[5] Основы предпринимательской деятельности. Под ред. проф. В.М. Власовой. – М., 1994.
[6] Ушакова Н.Н., Кукурудза Л.А. и др. Экономическая стратегия деятельности промышленного предприятия в условиях рыночной экономики. – М., 1993.
[7] Рузавик Г.И., Мартынов В.Т. Курс рыночной экономики. – М., 1994.
[8] Методические рекомендации по определению рациональных товарных запасов в коммерческих предприятиях. – М., 1990.
Похожие рефераты:
Организация анализа кредиторской и дебиторской задолженности
Теоретические основы понятий кредиторской и дебиторской задолженности
Бухгалтерский учет, анализ и аудит дебиторской и кредиторской задолженности
Теоретические основы управления источниками финансирования оборотного капитала организации
Анализ прибыли и рентабельности ОАО "Стройполимеркерамика"
Дебиторская и кредиторская задолженности предприятия: анализ и пути снижения (на примере ЗАО "БЕСТ")
Оценки эффективности управления дебиторской и кредиторской задолженностью организации
Управление дебиторской и кредиторской задолженностью организации (на примере ООО "Рос-Таргет")
Повышение эффективности финансово-экономической деятельности предприятия ЗАО
Анализ уровня и динамики рентабельности деятельности предприятия
Анализ дебиторской задолженности предприятия на примере ООО "Ромашка"
Анализ дебиторской и кредиторской задолженности
Учет и аудит дебиторской задолженности
Управление дебиторской задолженностью на примере ЗАО "Страховая группа "Спасские ворота"
(2.6)
(2.8)
(2.9)
(2.10)
(2.11)
(2.12)
(2.13)
(1.14)
(2.15)
(2.16)