| Похожие рефераты | Скачать .docx | Скачать .pdf |
Курсовая работа: Многоуровневый маркетинг
Введение
1. Многоуровневая система маркетинга: концепция и история становления
1.1 Сущность и развитие многоуровневого («сетевого») маркетинга
1.2 Достоинства многоуровневого маркетинга
1.3 Недостатки многоуровневого маркетинга
2. Сравнительный анализ систем многоуровневого маркетинга на примере компаний «Амвей» и корпорации «Фаберлик»
2.1 Компания «Амвей»: характеристика и экономические показатели деятельности
2.2 Система маркетинга компании «Амвей»: элементы, особенности коммуникационной и распределительной политики
2.3 Характеристика деятельности компании «Фаберлик»
2.4 Система маркетинга «Фаберлик»
3. Перспективы развития многоуровневых систем маркетинга
Заключение
Список литературы
Введение
Данная квалификационная работа представляет собой исследование систем многоуровневого маркетинга на примере международных и отечественных компаний.
Степень разработанности этого вопроса является невысокой.
Актуальность работы определяется возрастающим интересом к компаниям, внедряющим систему многоуровневого маркетинга и предлагающих своим клиентам стать непосредственными участниками маркетингового процесса.
В процессе работы используются материалы из отечественных и зарубежных библиографических источников, а также ресурсы сети Интернет. С ними можно ознакомиться в списке источников литературы.
Объектом исследования являются российский филиал компаний «Амвей» и отечественная фирма «Фаберлик», специализирующие на выпуске косметической продукции и практикующие многоуровневый маркетинг.
Предмет исследования – система сетевого маркетинга в данных компаниях.
Цель данной работы – проанализировав структуры и принципы работы компаний с многоуровневым маркетингом спрогнозировать их будущее в России и определить степень их эффективности.
Передо мной, как автором работы стоят следующие задачи :
1. Охарактеризовать основы многоуровневого маркетинга и раскрыть его историю;
2. Перечислить главные достоинства и недостатки многоуровневого маркетинга;
3. Проанализировать историю деятельности компаний «Амвей» и «Фаберлик» в Росиии;
4. Сопоставить системы сетевого маркетинга в данных компаниях;
5. Сделать выводы по работе;
6. Оформить работу согласно стандартам.
Методология исследования включает в себя метод сопоставительного анализа, синтеза, индукции и аналогии.
Сопоставительный анализ дает возможность расчленить полученные информацию на отдельные элементы с рассмотрением каждого из них в отдельности. Затем синтез объединяет все данные, полученные в результате анализа. Но, синтез в исследовании маркетинговой системы – не простое суммирование результатов анализа. Его задача состоит в мысленном воспроизведении основных связей между элементами анализируемой системы.
Индуктивный метод , в свою очередь, помогает исследовать черты маркетинга обеих компаний от частного к общему. Можно сделать вывод, установить взаимосвязь между отдельными чертами и условий, в которых пребывают компании.
Содержание работы включается в себя введение, три главы, первая из которых теоретическая, а вторая практическая, исследовательская, третья – прогнозирующая, заключение и список источников литературы, из которых был почерпнут материал для написания работы.
1. Многоуровневая система маркетинга: концепция и история становления
1.1 Сущность и развитие многоуровневого («сетевого») маркетинга
Многоуровневый маркетинг, известный больше, как «сетевой», представляет собой особую модель продвижения товаров, которая позволяет производителю распространять свою продукцию непосредственным потребителям через прямые продажи.
На сегодняшний день существует четыре основных потока распространения товаров и услуг:
(1) Розничная продажа – продукция (товары и услуги) реализуется «через прилавок» (от лотков и киосков до супермаркетов и специализированных салонов).
(2) Мелкооптовая продажа, потребительские системы – продукция реализуется, минуя розничную сеть непосредственно производителем, крупным или средним оптовиком потребителю (склады, оптовые базы и рынки, кооперированные закупки потребителей и т.п.).
(3) «Прямые продажи» – продукция реализуется агентами вне стационарных точек торговли – «из рук в руки» (от известных всем крупным городам навязчивых «уличных торговых агентов с большими сумками» до солидных агентов по страхованию и недвижимости).
(4) Продажи с доставкой по почте – продукция реализуется по почте или курьерами, а ее выбор и инициирование покупки происходит различными способами (каталоги, телевизионные «магазины на диване», телефонный маркетинг, Интернет-магазины и т.п.).
Многоуровневый маркетинг в качестве маркетинговой концепции используется во всех трех потоках, но классическим является сочетание (2) и (3): дистрибьютор закупает напрямую на складе компании продукцию, которую он либо потребляет сам, либо реализует методом прямых продаж. При этом на складе дистрибьютор получает продукцию со скидкой, и после ее продажи он получает первый вид дохода, обычно равный размеру дистрибьюторской скидки.
Но отличительной особенностью MLM является возможность получения второго вида дохода – за создание сети потребления. Компания отслеживает, по чьей рекомендации появляется новый дистрибьютор, и выплачивает определенный процент от объема его личных закупок и закупок его сети.
Второй – «сетевой» – вид дохода присутствует и в случае, если MLM‑компания использует потоки распространения товаров и услуг (1) и (4): так, компания может открыть супермаркета, где с каждой покупки будут выплачиваться бонусы согласно сетевому маркетинг-плану. Что касается (4), то во многих странах с отлаженной почтовой системой, прежде всего США, работа по каталогам и через Интернет для сетевых компаний давно стала обыденным делом. При этом покупатель при заказе товара указывает номер дистрибьютора, передавшего каталог или адрес Интернет-сайта, компания осуществляет доставку на дом, а дистрибьютор получает свои комиссионные. Есть пионеры такой системы и среди MLM‑компаний в России.
Основным звеном многоуровневого маркетинга MLM (от английского аналога термина – Multi Level Marketing) – является дистрибьютор или независимый дистрибутор – физическое лицо дееспособного возраста (реже юридическое лицо), которое подписало с MLM‑Компанией дистрибьюторское соглашение (рисунок 1). Согласно этому соглашению данное лицо получает право покупать продукцию по оптовой цене, привлекать (спонсировать) других дистрибуторов и получать вознаграждение (бонусы) от объема закупок созданной «под собой» дистрибьюторской организации (сети) согласно маркетинговому плану MLM – Компании. В отличие от незаконных пирамидных структур, в MLM источником дохода является выкупленная и реализованная дистрибьюторской организацией продукция, а не взносы участников. То есть многоуровневый маркетинг – это легальная система, в которой, кроме движения финансов, обязательно присутствует продвижение продукции (товаров или услуг) на рынок. Второе отличие MLM от финансовой «пирамиды» заключается в том, что в многоуровневом маркетинге происходит отбор, обучение и предоставлению помощи в ведении бизнеса одними участниками системы другим (таблица 1).
Рисунок 1. Схема многоуровневого маркетинга в сравнении с линейным бизнесом

Таблица 1. Отличия системы многоуровневого маркетинга от финансовых «пирамид»
| Пирамидные продажи | Многоуровневый маркетинг |
| 1. Основной доход складывается из привлечения новых членов. Доход от продаж является либо незначительным, либо подложным | 1. Весь доход складывается из реальных продаж продуктов или услуг. Заработок за простое привлечение новичков отсутствует |
| 2. Дистрибьютор «замкнут» внутри «пирамиды». Он не может превзойти своего спонсора | 2. Дистрибьютор не «замкнут» внутри организационной структуры. Он может превзойти в уровне доходов своего спонсора |
| 3. Только находящиеся на вершине пирамиды могут заработать реальные деньги (до тех пор, пока Пирамида не рухнет). | 3. Каждые может заработать большие деньги, на основе личных достижений, а не расположения в организации |
| 4. На каждом последующем уровне стоимость товара увеличивается. Это означает, что цены на продукцию становятся все выше и выше | 4. Доход дистрибьюторов складывается из комиссионных и бонусов, выплачиваемых согласно личным достижениям |
| 5. Продукция и услуги не важны. Не имеет значения, работают они или нет. | 5. Продукты и услуги очень важны, так как повторяющиеся продажи являются ключом к успеху. К качеству продуктов и услуг предъявляются высокие требования. |
| 6. Реальный финансовый риск, | 6. Нет финансового риска. |
7. В «пирамидах» проигравшие чувствуют себя обманутыми Нестабильная система! |
7. Бизнес строится на человеческих отношениях: единомышленниками и друзьями. Высокая стабильность системы! |
Из-за многоступенчатых скидок на распространение, продажи в системе многоуровневого маркетинга, оказались более дорогими по затратам, чем традиционная розничная торговля и комивояжерство. Но, вследствие большей заинтересованности и активности стороны, которая продает, и эффективнее, особенно в случае продажи новинок косметики, пищевых добавок, некоторых услуг страхования, связи и т.п.
Четкого определения термина многоуровневый маркетинг не существует. Можно привести лишь наиболее распространенные научные трактовки данной системы маркетинга.
Многоуровневый маркетинг означает непосредственную поставку товаров или услуг от производителя к покупателю. Выражение «многоуровневый» означает систему поощрения людей, непосредственно доставляющих товар или предоставляющих услуги потребителю.
Дон Фейлла
«Сетевой» маркетинг – маркетинговая концепция распространения товаров и услуг, основанная на создании сети независимых дистрибьюторов, обладающих правами привлечения партнеров с аналогичными правами и получения дохода, зависящего от объемов закупаемой продукции – как лично, так и созданной ими сетью. Игорь Минин /
Многоуровневый (сетевой) маркетинг – это система продвижения товаров и услуг от производителя к потребителю через сеть независимых дистрибьюторов, которые получают вознаграждение, зависящее от объема закупаемой ими продукции, имеют возможность привлекать к распространению товаров других людей и получать комиссионное вознаграждение, зависящее от объемов продукции, закупленной этими людьми. Александр Синамати
Многоуровневый сетевой маркетинг (МСМ) – предпринимательская деятельность юридического лица или индивидуального предпринимателя, являющегося стороной дистрибьюторского договора, который на его основе создает многоуровневые сети дистрибьюторов для реализации товаров и услуг, выплачивая дистрибьюторам вознаграждение на разных уровнях за продажу товаров или услуг конечному покупателю, а также за рекрутирование потенциальных дистрибьюторов. Из «Временного положения о лицензировании деятельности по многоуровневому сетевому маркетингу в городе Москве».
Возникнув сравнительно недавно, многоуровневый маркетинг на удивление быстро развивался. Компании с многоуровневой системой маркетинга, которых сейчас в мире насчитывается несколько тысяч, по разным оценкам, достигли суммарного оборота свыше 100 млрд. долларов в год. Многоуровневый маркетинг легализован в США, Канаде, Великобритании, Австралии, Германии, Японии, Малайзии и других странах мира. Приспособление к сети Интернет сделало этот бизнес еще более эффективным По данным Ассоциации прямых продаж России совокупный объем продаж ее членов, компаний многоуровневого маркетинга возрос с 1998 по 2005 год на 1642 млн. долларов США (рисунок 2). Соответственно растет число дистрибьюторов.
История развития концепции многоуровневого маркетинга берет свое начало в Калифорнийской Витаминной Корпорации (Calіfornіa Vіtamіn Corporatіon), что была основанная Карлом Ренборгом (Carl Rehnborg) в 1934 г. Он предложил простую идею, следуя которой каждый, кто убеждался на своем опыте в результативности пищевых добавок, изготовлявшихся корпорацией, передавал этот опыт своим друзьям, таким образом продвигая данную продукцию на рынок.
В 1939 г. компания превратилась в Nutrіlіte Products, Іnc. Начиная с 1945 г. Nutrіlіte успешно сотрудничает с компанией Mytіnger & Caselberry, Іnc., владельцами которой были Ли Митенгер и Вильям Кесселберри.
Последний предприниматель был единственным американским дистрибьютором продукции фирмы Nutrіlіte, для продвижения которой разработали маркетинговую систему, известную сегодня под названием многоуровневого или «сетевого» маркетинга.
Рисунок 2. Статистика объемов продаж и количества дистрибьюторов компаний многоуровневого маркетинга

В 1940 г. два молодых предпринимателей – Рич Девос (Rіch DeVos) и Джей Ван Андел (Jay Van Andel) – приобщились к компании в качестве дистрибьюторов. До 1949 г. они работали достаточно успешно для создания собственной корпорации Ja – Rі. Не все дела шли хорошо, поэтому в 1959 г. в результате некоторых разногласий с Nutrіlіte и Mytіnger & Caselberry они сформировали фирму Amway, что стала одной из популярнейший компаний, которые используют многоуровневый маркетинг как основную концепцию продвижения товарооборота продукции.
По примеру Amway начали работать многие другие фирмы, специализирующиеся на производстве косметики и пищевых добавок:Avon, Oriflame, Mary Kay, Herbalife , Mannatech и другие. Наиболее восстребоваными на рынке многоуровневого маркетинга являются парфюмерия и косметика (рисунок 3).
За эти годы многоуровневый маркетинг сформировался как система поощрения людей, которые предлагают потребителям товары известной фирмы.
В теории и на практике заведено выделять такие особенности многоуровневого маркетинга:
– он исключает хождение наугад по квартирам и предложение товаров незнакомым людям. Товар или услуга предлагается друзьям и знакомым;
– он (как это видим уже из самого названия) предусматривает продвижение товара с одного уровня на второй, когда каждый покупатель сам становится продавцом, найдя себе других покупателей. Этот процесс должен длиться постоянно, так как иначе никто не получит денег;
– на каждом уровне не должно быть больше 5–6 лиц (по другим источниками – не больше 10 лиц);
– лицо, которое пригласило другое лицо к участию в многоуровневом маркетинге, является для последнего спонсором. В свою очередь, это другое лицо становится спонсором для своего уровня, если именно он привлек названных 5–6 сотрудников;
– оплата труда участников многоуровневого маркетинга состоит из комиссионных от личной продажи, с приложением от спонсорских отчислений от тех уровней, которые были им созданные (как правило, это пять уровней);
– сотрудники групп многоуровневого маркетинга покупают товары по оптовой цене, а реализуют – по розничным ценам (надбавка составляет около 30% от стоимости).
С начала 90‑х годов прошлого века «сетевой» маркетинг активно проникает на территории стран Восточной Европы и СНГ.
При этом его оригинальное название «многоуровневый» маркетинг практически не применяется. Проследить это можно даже на основе данных поисковых запросов в поисковой системе Интернет «Яндекс» (рисунок 4).
Поэтому и в нашей работе применительно к российским реалиям будем
Рисунок 3. Распределение продукции компаний многоуровневого маркетинга по видам использовать термин «сетевой» маркетинг

Сейчас в России по «сетевому» принципу распространяют товары и услуги свыше сотни компаний, многие из которых даже не зарегистрированные как субъекты предпринимательской деятельности. Во многом это объясняется тем, что в Российской Федерации нет соответствующей законодательно и нормативно-правовой базы.
В своей работе компании многоуровневого маркетинга на российском рынке руководствуются в основном федеральным Законом «О защите прав потребителя», «О рекламе», санитарными правилами и нормативами.
3 ноября 1998 года было образована Гильдия Компания сетевого маркетинга, как официальный добровольный союз MLM‑Компаний, призванный представлять интересы своих членов в государственных органах, способствовать легализации многоуровневого маркетинга, разрабатывать концепцию развития «сетевого» маркетинга и популяризировать его.
Совместно с Минэкономразвития и Министерством по антимонопольной политике и предпринимательству РФ (МАП) Гильдией был подготовлен проект Правил внемагазинной (разносной) торговли, многие положения которого вошли в Постановление Кабинета министров №81 от 06.02.02 г., утвердившего новую редакцию «Правил продажи отдельных видов товаров…» (Постановление Правительства РФ №55 от 19.01.98 г.).
Рисунок 4. График статистик запросов поисковой системы «Яндекс»

В целях придания официального статуса деятельности дистрибьютора Гильдия при поддержке Мэрии г. Москвы проработала вопрос о регистрации в Московской регистрационной палате (МРП) индивидуальных предпринимателей без образования юридического лица по виду деятельности «Услуги сетевого маркетинга». Распоряжением Председателя МРП от 06.07.01 г. в базу данных реестра индивидуальных предпринимателей был внесен соответствующий код.
В 2002 году была принята Хартия компаний «сетевого» маркетинга, один из пунктов которой закреплял трактовку «сетевого» маркетинга, как коммерческую деятельность по получению прибыли за счет реализации товаров и услуг, а не за счет вовлечения в эту деятельность новых членов.
Другая сложность недостаточности законодательной базы сетевого маркетинга в России связана с налогообложением. Каждый дистрибьютор сетевой компании является по своему юридическому статусу – индивидуальным частным предпринимателем. Для того, чтобы платить налоги как частный предприниматель по упрощенной системе налогообложения, он должен зарегистрироваться в налоговой инспекции и осуществлять свою деятельность в соответствии с Российским законодательством. Применение упрощенной системы налогообложения индивидуальными предпринимателями предусматривает их освобождение от обязанности по уплате налога на доходы физических лиц (в отношении доходов, полученных от предпринимательской деятельности), налога на имущество физических лиц (в отношении имущества, используемого для предпринимательской деятельности) и единого социального налога (в отношении доходов, полученных от предпринимательской деятельности, а также выплат и иных вознаграждений, начисляемых ими в пользу физических лиц). Индивидуальные предприниматели, применяющие упрощенную систему налогообложения, не признаются налогоплательщиками налога на добавленную стоимость, за исключением налога на добавленную стоимость, подлежащего уплате в соответствии с настоящим Кодексом при ввозе товаров на таможенную территорию Российской Федерации. Но зачастую, в подавляющем большинстве случаев, дистрибьюторы не регистрируются. Это связано не только с их моральными установками, но в первую очередь с отсутствием законодательной базы, и, как следствие, сложности в отчетности перед налоговыми инспекторами. В последнее время наблюдаются положительные сдвиги в этом направлении. Так при московском Правительстве создана специальная комиссия, занимающаяся созданием законодательной базы для регулирования деятельности компаний сетевого маркетинга.
Некоторые компании (например, Zepter) берут на себя выплату налогов за своих дистрибьюторов. Это существенно облегчает отчетность дистрибьюторов, но, с другой стороны, имеет большой недостаток. Ведь дистрибьюторы сетевых компаний сами оплачивают свои расходы, связанные с их бизнесом. Это покупка оргтехники, аренда помещений, плата за телефонные переговоры, транспортные расходы и т.д. В случае, если компания берет на себя выплаты налогов с доходов своих дистрибьюторов, эти расходы дистрибьюторы несут «за свой счет».
Многоуровневый маркетинг, минуя все промежуточные звенья (посредников, оптовых складов) не похож и на розничную торговлю. С точки зрения традиционной продажи, процесс заканчивается в тот момент, когда товар переходит в руки покупателя, а деньги – в руки продавца. Но, в действительности, если покупатель удовлетворен товаром или услугой, он может дать положительный отзыв (личную рекомендацию) о них в кругу друзей, что может привести к покупке аналогичного товара, т.е. вызвать вторичную продажу, к которой покупатель непосредственного отношения уже не имеет. Если в магазине куплен определенный товар и отрекомендован друзьям, того, кто его купил, то магазин получает дополнительного покупателя и прибыль, но покупателя, давшего рекомендацию, за это он никак не поощрит.
А MLM-компания учтет факт рекомендации и выплатит премию, причем не за счет увеличения цены товара, а за счет премий от компании по результатам работы. Таким образом, за счет личных рекомендаций от человека к человеку распространяется информация о продукции компании и о возможностях принять участие в бизнесе. Другими словами, за счет цепной реакции происходит информационный охват рынка, который приводит к устойчивому потреблению товара в созданной и постоянно растущей потребительской сети. В конечном итоге, те люди, которые приняли участие в ее создании, получают стабильно возрастающий доход от компании. В этом и заключается суть сетевого маркетинга.
В отличие от простого коммивояжера, дистрибьютер заинтересован не столько в том, чтобы продать продукцию, а главным образом, чтобы продукция потреблялась за счет создания и расширения сети дистрибьюторов. Иными словами, он заинтересован в информационном охвате рынка.
Таким образом, в сетевом маркетинге главными являются:
– принцип распределения финансовых потоков сетевой компании;
– техника анализа структуры маркетинг-плана;
– определение «тонких» мест в презентации маркетинг-планов;
– анализ и создание системы поощрений.
Распределение потоков сетевой компании включает в себя 5 направлений. Наиболее капиталоемкими являются затраты компании на выплаты по маркетинг-плану – 30–40%, потом идут затраты на производство продукции – 20–30%, затем розничная прибыль дистрибьютора и расходы на транспорт, склады, таможню и прибыль компании (20–25% и 10–20% соответственно). Самые небольшие затраты 5–10% – это затраты компании на работу с сетью.
В основу техники анализа маркетинг-плана входят три основных жизненно важных параметра. Во-первых, общий возврат в сеть; во-вторых, зависимость дохода лидера от объема его организации, и, в-третьих, влияние маркетинг-плана на структуру сети и действия лидера по поддержанию и развитию этой структуры. По этим параметрам и необходимо оценивать маркетинг-план.
Система поощрений – это совокупность подарков, премий, льгот, скидок и любых других, не предусмотренных маркетинг-планом, форм вознаграждения дистрибьюторов. В отличие от маркетинг-плана, система поощрений должна быть гибкой, непредсказуемой, элегантной, яркой, немного капризной, но естественной. Маркетинг-план и система поощрений дополняют друг друга. Достигая своих целей, вместе они способствуют процветанию компании и дистрибьюторской сети.
Миссией сетевого маркетинга является предоставление неограниченного количества рабочих мест. Наиболее остро во всем мире стоит проблема занятости населения. Наблюдается постоянный рост безработицы. Призвание сетевого маркетинга – это снижение роста безработицы и предоставление возможности как дополнительного, так и основного заработка.
1.2 Достоинства многоуровневого маркетинга
Многоуровневый маркетинг – способ эффективного и быстрого распространения товаров народного потребления и услуг.
Маркетинг-план MLM рационален. Приобретение товара и вознаграждений производится согласно единицам по продажам – системе оценки дистрибьюторов. Кто больше работает, тот больше получает. Корпорация выдает вознаграждения за приглашения. Вознаграждения выдаются по единицам привлеченных.
Для потенциальных дистрибьюторов многоуровневый маркетинг предоставляет свободу личной инициативы, возможность планировать свое рабочее и личное время, привлекать своих знакомых и членов семей.
Еще одним из достоинств любого предприятия сетевого маркетинга является то, что в этих предприятиях не существует взаимоотношений «начальник – подчиненный». Тем не менее, субординация существует, и она определена самой иерархией предприятия: существуют сотрудники, стоящие в структуре выше и ниже, которые входят в эту построенную спонсорскую структуру.
Для производителя позитивными сторонами в многоуровневом «сетевом» маркетинге являются, возможность увеличить объем и эффективность продаж, отказаться от рекламы. Продажи через дистрибьюторов или сеть Интернет создают у потенциальных покупателей психологический эффект индивидуального подхода. Да и сам предлагаемый продукт уникален, его невозможно найти на прилавках магазинов, в оптовой или розничной торговле.
Исходя из всего вышеописанного, можно сделать вывод, что создание российских компаний сетевого маркетинга дает нашей стране:
– Развитие российской промышленности и сферы услуг. Увеличение сбыта российской продукции.
– Создание новых видов товаров и услуг, новых предприятий. Трудоустройство на данных предприятиях.
– Эффективную реализацию выпускаемого товара.
– Возможность повышения благосостояния граждан, участников компаний многоуровневого маркетинга.
– Повышение образовательного уровня участников многоуровневого маркетинга в области психологии, мотивации и менеджмента.
– Воспитание лидеров – специалистов в управлении.
– Продвижение российских товаров на зарубежные рынки.
– Привлечение капиталов в Россию.
1.3 Недостатки многоуровневого маркетинга
Система многоуровневого маркетинга имеет и существенные недостатки. В таких компаниях велика текучесть кадров: люди начинают быстро осознавать, что работать приходится очень много, а поддержка от головной организации минимальна. Поскольку супервайзеры подписывают контракты со всеми желающими, в число дистрибьюторов попадают люди, дискредитирующие продукт. Отсутствие офиса и единого корпоративного пространства лишают MLM-фирму возможности создать корпоративную культуру, обмениваться опытом, повышать квалификацию сотрудников благодаря общению.
В некоторых компаниях многоуровневый маркетинг позволяет компании-изготовителю снижать издержки производства, избегая части затрат на рекламу, в результате перекладывания этих расходов на сбытовых агентов своей торговой сети. Существует мнение, что такое допущение не имеет существенного значения, поскольку в условиях развитой рыночной экономики каждый субъект предпринимательской деятельности получает ту часть дохода, на которую согласен и на которую имеет возможность реально претендовать.
В некоторых компаниях экономическая схема построена таким образом, что выгоднее не продавать товар лично, а приглашать новых сбытовых агентов. При этом основным источником дохода становится не личная продажа товара, а регулярные продажи агентов. Однако у каждого субъекта предпринимательской деятельности могут быть иные ожидания в области получения своей доли общей прибыли.
Некоторые исследователи считают значительную часть сетевых компаний опасными для общества коммерческими культами, использующими подобно тоталитарным сектам техники контроля сознания для продаж продукции, приглашения новых и удержания существующих участников «сети».
В связи с этим негативной чертой можно назвать отрицательный имидж многоуровневого маркетинга на постсоветском пространстве. Компании «сетевого» маркетинга в сознании людей ассоциируются с сектами или финансовыми «пирамидами».
Существует и еще один существенный недостаток MLM-бизнеса: поскольку он рекламируется как один из путей к быстрому обогащению, многоуровневый маркетинг привлекает большое количество недобросовестных личностей, которые не привыкли беспокоиться о нравственности собственных намерений, и как упоминалось выше, часто дискредитируют продукт, наносят ущерб и производителю и потребителю.
Также нужно понимать: распространенное мнение о том, что в многоуровневом маркетинге можно не работать, является ошибочным. Коммерческий успех каждого члена сети будет измеряться его усилиями и личным вкладом.
2. Сравнительный анализ систем многоуровневого маркетинга на примере компаний «Амвей» и корпорации «Фаберлик»
2.1 Компания «Амвей»: характеристика и экономические показатели деятельности
Компания Amway (Амвей) – одна из ведущих MLM компаний в сфере прямых продаж. Ее основные принципы – свобода, семья, надежда и вознаграждение. Компания Amway была основана в 1959 г. двумя друзьями-предпринимателями из США: Ричем Де Восом и Джеем Ван Анделом для предложения пищевых добавок NUTRILITE. И является основателем всемирного сетевого маркетинга.
В 1960–70 годах компания увеличивалась и приобретала популярность за пределами Америки. В следующем десятилетии впервые оценочный объем продаж розничной торговли превысил 1 миллиард долларов США. Строились новые заводы и в начале последнего десятилетия минувшего века Амвей начала активно внедрять новые технологии и участвовать в благотворительных акциях. В 1989 году компания Amway получила престижную награду ООН – премию за достижения в сфере защиты окружающей среды. Amway было признано лучшей компанией, которая заботиться об охране окружающей среды и содействует экологическому образованию. Когда оборот розничных продаж достиг 5 миллиардов долларов США, был торжественно открыт Центра Питания и Заботы о Здоровье Рейнборга, который завоевал мировую славу, и был позже переименованный в Институт здоровья Nutrilite.
С 1995 года «Амвей» начала осваивать виртуальное пространство, создавая собственные сайты в сети Инетрнет. Сейчас в мире функционирует более миллиона Интернет-бизнесов компании Amway. Их поддерживают местные Независимые предприниматели. Преимущество электронного бизнеса для Независимых Предпринимателей состоит в том, что клиенты всегда могут получить информацию либо необходимую продукцию, 24 часа в день, 7 дней в неделю. Они могут заказать товары через Интернет и получить их почтой или курьерской доставкой. Независимые предприниматели Amway могут контролировать эту деятельность в режиме«он-лайн», что создает более действенный и рентабельный бизнес.
«Амвей» – это общепризнанный лидер многоуровневого маркетинга мирового масштаба в области прямых продаж. Компания производит товары широкого потребления для домашнего хозяйства, косметику, средства личной гигиены. Сегодня более 3,6 млн. Независимых Предпринимателей «Aмвей» (НПА) распространяют продукцию «Амвей» в более чем 80 странах и территориях мира. Объем продаж материнской компании Alticor, куда входит Amway Corporation, составил 6.3 млрд долларов в 2006 финансовом году. Amway Corporation – это одна из самых больших в мире MLM компаний прямых продаж. Более 450 наименований продуктов продается под торговой маркой «Амвей».
В финансовом году, закончившемся 31 декабря 2007 года, компания Alticor объявила об объеме своих мировых продажах, который составил 7,1 млрд. долларов США, что на 12% больше по сравнению с 6,3 млрд. долларов США, полученными в 2006 году.
Amway имеет свой собственный научно-исследовательский отдел, а также свое производство, куда ежегодно вкладываются значительные инвестиции. На данный момент Amway является обладателем более 450 патентов во всем мире. В 65 научно-исследовательских лабораториях Компании работают свыше 450 сотрудников.
В России «Амвей» официально появилась с марта 2005 года. Теперь в Российской Федерации «Амвей» реализует свыше 300 наименований продукции. Здесь работают 10 торговых центров компании: три в Москве и по одному в Санкт-Петербурге, Нижнем Новгороде, Самаре, Новосибирске, Ростове-на-Дону, Екатеринбурге и Хабаровске. За 3 года работы в России компания Amway увеличила объем продаж в 4 раза. И Россия вошла в пятерку стратегических рынков Амвей в мире. С марта 2005 по март 2006 г. объем продаж ООО «Амвэй» составил свыше 100 млн. долларов США. Объем продаж за 2006 год (с марта 2006 по март 2007) составил около 200 млн. долларов США, что почти вдовое превысило результаты первого года. А в 2007 году показатель этот достиг 400 млн. долларов США.
Так что компания приняла решение дополнительно инвестировать в российский рынок около 90 млн. долларов в период с 2008 по 2012 год. Помимо этого,руководители и сотрудники «Амвей» пожертвовали более 2,8 млн рублей на различные благотворительные проекты по всей России и в реализацию других программ и проектов.
ООО «Амвэй» является участником Российской Ассоциации прямых продаж (РАПП), которая в свою очередь входит в состав Всемирной Федерации Ассоциаций прямых продаж (WFDSA) и Европейской Федерации Ассоциаций прямых продаж (FEDSA).
Девиз компании «Мысли локально, действуй глобально». В своем бизнесе компания руководствуется именно глобальностью. Чтобы привлечь все большее количество независимых агентов в Москве и других городах организовываются бесплатные тренинги и семинары. Не смотря на то, что компания признана лучшим работодателем России за текущий год (в российском филиале Amway работает более 600 сотрудников и ежегодно компания открывает несколько региональных торговых центров, поэтому постоянно растёт количество новых рабочих мест, появляются возможности роста для уже работающих сотрудников, так в 2007 году количество рабочих мест в ООО «Амвэй» увеличилось на 75%.), в прессе часто встречаются критические материалы о ее деятельности. Главными претензиями являются: высокая стоимость товаров, вероятность гипнотической вербовки новых независимых агентов, убыточность последующих уровней «сети», задержка большого количества товаров у независимых агентов, для которых покупка является необходимым условием поддержания уровня.
2.2 Система маркетинга компании «Амвей»: элементы, особенности коммуникационной и распределительной политики
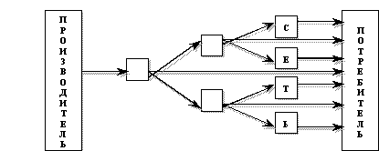
Система многоуровневого маркетинга «Амвей» исключает из обычного маркетингового плана всех возможных посредников. Продукция идет непосредственно от производителя к независимым предпринимателям и потребителям, которые в свою очередь тоже могут становиться дистрибьюторами нижних уровней (рисунок 5).
Исключаются расходы на посредников, а сэкономленные на этом деньги компания передаёт своим независимым предпринимателям – в виде дополнительных выплат, называемых бонусами.
Рисунок 5. Схема многоуровневой системы маркетинга компании «Амвей»

Но, как упоминалось в предыдущем разделе, наиболее выгодным является первый уровень маркетинга в «Амвей». Он получает доход в основном за счет семинаров и тренингов. Другие же уровни могут быть убыточными. В данном случае действует матричная схема. Матричная схема – это продажа организатором схемы участникам схемы (покупателям) товара со скидкой, причём скидку, предоставленную «старым» (присоединившимся раньше к схеме) участникам схемы, организатор схемы компенсирует из средств, полученных от «новых» (присоединившимся позже) участников схемы. Термин «матричная схема» является дословным переводом английского термина. Синонимами матричной схемы в английском языке также являются термины «элеваторная схема», «эскалаторная схема», «лестничная схема». Матричная схема наиболее похожа на финансовую «пирамиду».
Участники схемы добавляются в очередь за товаром в порядке их присоединения к схеме. Затем они получают товар в порядке этой же очереди. Цена, по которой продаётся товар в матричной схеме, ниже рыночной, поэтому собранных с покупателей денег никогда не хватит, чтобы произвести или купить товар для всех покупателей. Поэтому товар отдаётся только первым по списку покупателям, а остальные ждут прихода в схему новых людей и новых вложений. Таким образом, период времени между оплатой покупки и получением товара в матричной схеме больше, чем при обычном способе производства или торговли. Организатор схемы обычно успокаивает покупателей, списывая задержки на проблемы при доставке или на проблемы производства.
Разница между ценой производителя и ценой потребителя «Амвей» составляет 60%, из которых 30% выплачиваются в виде бонусов, а другие 30% – в виде заработка при розничной торговле (рисунок 6). При этом компания формирует цены на свои товары, исходя из коньюктуры рынка, учитывая свои затраты и рентабельность.
При этом потенциальный дистрибьютор сотрудничает одновременно в нескольких направлениях: со спонсором, производителем товаров, обучающей фирмой и возможными партнерами в сети Интернет (рисунок 7).
Многоуровневая система маркетинга направлена на увеличении прибыли, В компании «Амвей» система маркетинга предполагает два варианта получения прибыли.
Рисунок 6. Схема фонда поощрения компании «Амвей»

Рисунок 7. Схема взаимодействия дистрибьютора, независимого агента «Амвей» с другими подразделениями системы маркетинга компании

Фирма предлагает независимы предпринимателям товар по оптовой цене со скидкой до 30%, и первый вид прибыли они могут получить, продавая товар по 100% стоимости.
Научив пользоваться этими товарами своих родственников и знакомых, предприниматель может увеличить число продаж, а значит и товарооборот. Предполагается, что ежемесячно дистрибьютор должен делать товарооборот в объёме 100 баллов.
Баллы – это внутрифирменная валюта. Любой товар в системе многоуровневого «сетевого» маркетинга «Амвей» кроме денежной стоимости имеет ещё и определённую стоимость в баллах. Это оптимизирует учет товарооборота независимых агентов «Амвей» разных стран независимо от национальной валюты. Соответственно, размер вознаграждения не будет зависеть от курса национальной валюты, а лишь от объема товарооборота. На сегодняшний день 1 балл равен примерно 1,5 доллара США. Об изменении балла дистрибьюторов ставит в известность их спонсор-консультант.
Итак, первый вид прибыли – получение до 30% от прямых продаж.
Например, если независимый предприниматель делает месячную закупку на 100 баллов, то расчёт прибыли следующий:
100 баллов х 1,5 долларов США = 150 долларов США
150 долларов США х 0,3 (30%) = 45 долларов США
Этот вид прибыли не самый выгодный и стабильный. И по матричной системе он выгоден лишь первому уровню, то есть непосредственным продавцам.
Второй вид прибыли – это «бонусная система».Если независимый предприниматель находит человека, который захочет присоединиться к бизнесу, иметь доступ к товарам со скидкой 30%, а так же сделает товарооборот 100 баллов, то вступает в действие система выплаты бонусов. Так как, благодаря этому предпринимателю, компания продала товаров на 200 баллов (100 баллов предпринимателя и 100 баллов его партнера). Предприниматель получает вознаграждение в размере 3% от оборота его группы. Но в бизнесе «Амвей» каждый работает только на себя, поэтому выплата денег, осуществляется следующим образом. Партнер предпринимателя, сделал оборот в 100 баллов, получив первый вид прибыли размером в 45 долларов США. А сам независимый предприниматель получает бонус, рассчитываемый по следующей формуле:
Бонус = количество участников группы х 1,5 $ х 3% = 9 долларов США
То есть при обороте в двести баллов в группе из двух человек, независимый предприниматель может заработать помимо перового вида прибыли, девять долларов бонуса.
Чем больше группа, чем больше человек в линии независимого предпринимателя, тем выше товарооборот, а значит и размер бонуса.
Если в первой линии предпринимателя будет 6 человек, которые выполнят оборот по 100 баллов каждый, то групповой оборот составит 700 баллов. И предприниматель получит вознаграждение в размере 6% от этого оборота. С учетом первого вида прибыли сумма составит 63 доллара США, в чистом виде сумма бонуса – 18 долларов США.
Сумма бонуса будет возрастать пропорционально в зависимости от объема товарооборота (таблица 2).
Таблица 2. Бонусная таблица компании «Амвей»
| Баллы | 200 | 600 | 1200 | 2400 | 4000 | 7000 | 10000 |
| % | 3 | 6 | 9 | 12 | 15 | 18 | 21 |
Выплаты производятся снизу вверх. То есть сначала вознаграждение получат участники маркетинговой системы, которые, находятся на нижних уровнях предпринимателя первого уровня, и лишь потом он сам.
Для привлечения дополнительных дистрибьюторов «Амвей» использует два дополнительных вида получения прибыли в своей системе многоуровневого маркетинга: авторский гонорар и всевозможные выплаты.
Если один из партнеров агента, находящихся на первой линии, достигнет уровня 21% бонусов при товарообороте, значит, он получает все деньги за всю свою группу, потому что компания не может выплачивать более 21% так как потеряет рентабельность (рисунок 8).
Рисунок 8

21% – это самый высокий процент вознаграждения. В этом случае такая группа отключается от первоначального агента, а ему за то, что хорошо поработал, нашел и обучил множество сотрудников, компания выплачивает каждый месяц авторский гонорар в размере 4% от товарооборота этой 21%-ой группы. Еще эти деньги в «Амвей» называют пенсией, их можно подарить или завещать.
Размер гонорара рассчитывается по формуле:
Сумма баллов 21% группы Х 1,5 $ Х 4% = гонорар долларов США.
Чем больше от независимого агента отключают 21%-х групп тем больше у него авторских гонораров. Для этого в компании специально разработаны два уровня гонораров сапфировый (2000–2500 долларов США) и изумрудный (3000–3500 долларов США).
Когда от независимого предпринимателя отключают шесть 21% групп, он приобретает «бриллиантовый» уровень и его авторский гонорар составляет минимум, рассчитанный по формуле:
Авторский гонорар =6 Х 600 $ = 3600 $
К этой сумме прибавляются ещё семь дополнительных поощрений с 4-го по 10-й бонусы и доход может составить минимум 10 000 долларов США. Данный вид доход крайне редок, поэтому так же принадлежит лишь к дополнительным, потенциальным видам прибыли многоуровневого маркетинга компании «Амвей».
Коммуникационная и распределительная политика в системе многоуровневого маркетинга компании «Амвей» значительно упрощены. Коммуникаторами выступают независимые предприниматели, которые определяют целевую аудиторию.
И сама служба маркетинга компании «Амвей» не имеет подразделений методического, ресурсного и организационно-технического обеспечения рекламы, отдела организации работы рекламных агентств и служб, группы стимулирования продвижения товара на рынке, что снижает затраты на организацию маркетинговой системы.
В системе многоуровневого маркетинга компании «Амвей» не последнее место занимает продуманная политика PR‑акций. Участие в благотворительных организациях способствует этому. Также, принимая новых независимых предпринимателей и потребителей, спонсоры компании «Амвей» делают акцент на четырех провозглашенных ценностях компании, вытекающих их особенностей «сетевого» маркетинга: личной и профессиональной свободе, значимости семьи, реализации надежд и возможности получения вознаграждения, достижения успеха. Хотя на деле не все занятые в компании могут добиться поставленных целей.
2.3 Характеристика деятельности компании «Фаберлик»
Компания «Фаберлик» в отличие от «Амвей» является отечественным представителем системы многоуровневого маркетинга. Она появилась на рынке косметической продукции в 1997 «Русская Линия». Российские компании, по мнению экспертов, сегмент прямых продаж фактически упустили. Из тех немногих, кто в нем работает, реальную конкуренцию лидерам может составить лишь Faberlic.
В 1998 году было налажено производство с патентом торговой марки «Аквафтэм» (Aquaftem) – эмульсии перфторуглеродов для наружного применения в косметике. Одновременно стартовала линия кислородной косметики. К 2001 году оборот компании достиг 18 млн. долларов США.
В 2001 году «Русская линия» была переименована в «Фаберлик», появление бренда Faberlic («фабер» – латинское слово, означает «мастер», «метр», «маэстро», «лик» – славянское – «лицо», «образ»), под которым начинают осуществляться продажи всей продукции компании на территории России и СНГ (Украина, Белоруссия. Казахстан, Азербайджан, Страны Балтии), ознаменовало новый этап в истории компании.
Последующие годы – 2002–2003 характеризовались увеличением объема продаж компании «Фаберлик» выходом на европейский рынок. В 2003 г. завод компании в Балашихе выпустил 40 млн упаковок продукции. Объем продаж компании, по ее данным, достиг 120 млн. долларов США в год. Было успешно осуществлена регистрация французского офиса «Фаберлик» и организация продаж в Польше. Активизировалось развитие производства декоративной косметики и парфюмерии. В 2004 году компания вышла на румынский, венгерский и немецкий рынки. В это время стремительно развивается дистрибьюторская сеть «Фаберлик». В 2005году она насчитывала более 600 000 консультантов. В городах России открылись 115 сервисных центров компании. Оборот Компании составил 160 млн. долларов США. 2005 году брэнд Faberlic был на третьем месте по узнаваемости марок среди российских потребителей.
В следующем 2006 году компания заняла 87 место в рейтинге ста крупнейших мировых парфюмерно-косметических компаний WWD Beauty Report International.
Врезультате совместной работы лаборатории Faberlic, и японской лаборатории Nikko-Chemical, мирового производителя инновационных косметических ингредиентов, в 2007 году была открыта новая формула переносчика кислорода – «Двойное дыхание» – Novaftem-O2, занявшее выгодное положение на рынке косметической продукции.
Faberlic получает сырье более чем от 500 поставщиков из 21 страны мира. Сотрудничество с лидирующими мировыми фабриками – Intercos (Италия), Fiabila (Франция), Faber Castel (Германия). Запланированный объем производства – более 100 млн. единиц продукции в год. Уровень рентабельности выпускаемой продукции ~ 5%.
В 2007 году объем продаж компании «Фаберлик» составил около $300 млн. долларов США.
Компания «Фаберлик» с самого начала избрала для себя многоуровневый маркетинг, выстраивая собственную дистрибьюторскую сеть. В виртуальном пространстве создано большое количество сайтов компании в зависимости от региона.
К удачному сочетанию продукции и системы продажи добавилась и успешная реклама, сделавшая компанию узнаваемой на рынке. В отличие от других MLM компаний «Фаберлик» активно рекламирует свою продукцию.
Основными чувственными мотивами рекламы компании являются продление молодости и красоты женского лица, что выражено в слоганах компании: «Faberlic. Я знаю, что будет завтра!» и «Кислород нельзя увидеть, но можно увидеть его действие».
Реклама предполагает различные стилевые варианты: зарисовки, акцентирование образа жизни, создание образов и настроений. При этом используются различные средства массовой информации. Так с 1‑го декабря 2007 года вышел в эфир новый рекламный ТВ-ролик Faberlic «ЗИМА». До конца года он будет показан на общероссийских каналах. Телевизионная рекламная кампания поддерживается печатной рекламой в женских журналах в декабре 2007 – январе 2008. Ролик анонсирует незаменимую в это время года серию средств по уходу за кожей ZIMA.
Продукцию «Фаберлик» не разрешается продавать или выставлять в розничной сети, однако довольно часто в России она появляется в магазинах и супермаркетах по завешенной цене, что является следствием популярности данной торговой марки.
2.4 Система маркетинга «Фаберлик»
Компания «Фаберлик», разрабатывая систему маркетинга многое переняла у мировых MLM компаний, в том числе «Амвей». Однако, учитывая многолетний опыт «сетевого» маркетинга, внесла некоторые корректировки изменения.
В компании также начисляется прибыль от прямых продаж и действует своя бонусная система, именуемая объемными скидками. Скидка для покупателей продукции выше чем в «Амвей» и равна 35%, что направлено на повышение конкурентоспособности «Фаберлик» как компании «сетевого» маркетинга.
Сумма покупок всей группы, зарегистрированной в компании Фаберлик под предпринимателем первого уровня, называется групповой объемом (ГО). А сумма, на которую покупает лично предприниматель, называется личным объемом (ЛО). Групповой и личный объём выражаются также не в денежных единицах, а в баллах. Каждому продукту «Фаберлик» соответствует определённое число баллов. Для расчёта в деньгах можно исходить из пропорции, что 10 баллов примерно равны 280 рублям (по цене каталогов 400 рублям) при расчёте объёма продукции. Для консультанта (независимого предпринимателя) 1 балл приравнивается к 15 рублям, а для директора 1 балл равен 18 рублям.
Различают несколько уровней консультантов: консультант 1-гоуровня – тот предприниматель которого лично привлек консультант к работе в компании и консультант 2-го уровня консультант 1-го уровня привлек к работе в «Фаберлик» еще одного консультанта, который для него уже – консультант 2-го уровня.
Консультанты разных уровней образовывают сеть. А часть этой сети составляет личная группа состоящая из всех консультантов, привлеченных в компанию лично консультантами высшего уровня, за исключением тех консультантов (и их сетей), чей групповой объем (ГО) соответствует 26%-й объемной скидке (ОС) (они могут быть или не быть директорами). Обучение консультантов производится бесплатно.
Также присутствует таблица соотношения товарооборота и вознаграждения (таблица 3). На основе суммарного количества баллов определяется уровень квалификации предпринимателя «Фаберлик». Для получения звания ему необходимо два месяца подряд удерживаться на уровне 26% объемной скидки (ОС) одним из следующих способов:
Первый способ. Нужно иметь объем личной группы (ОЛГ), равный 3000 баллам и более.
Второй способ. Стать наставником (предпринимателем, который приводит новых членов) одной 26%-й группы и иметь объем личной группы (ОЛГ) 2500 баллов и более. Также есть два льготных месяца с момента выделения этой новой группы, в течение которых объем личной группы предпринимателя может составлять 2000 Баллов.
Третий способ. Стать наставником двух 26%-х групп и иметь объем личной группы (ОЛГ) 2000 баллов и более.
Если в течение шести месяцев предприниматель удерживает директорский статус, то помимо прямой прибыли, он получает 100 долларов США, как вознаграждение.
Таблица 3. Бонусная таблица компании «Фаберлик»
| Количество баллов в месяц | Процент оборота группы, % |
| 200–599 | 6 |
| 600–1199 | 14 |
| 1200–1999 | 18 |
| 2000–2999 | 22 |
| 3000 более | 26 |
Если независимый агент станет наставником трех, четырех или пяти директорских групп (26%) и будет иметь объём личной группы (ОЛГ) 1500 Баллов на протяжении шести месяцев и более, то он получает статус серебряного директора и 400 долларов США вознаграждения.
Звание «золотого» директора получает тот, кто станет наставником шести, семи или восьми директорских групп (26%) и будет иметь объём личной группы (ОЛГ) 1000 Баллов и более, аналогично на протяжении шести месяцев. Вознаграждение в таком случае составляет 800 долларов США.
Следующее звание – «рубиновый директор: наставник девяти, десяти или одиннадцати директорских групп (26%) и с объёмом личной группы (ОЛГ) 750 Баллов и более и суммой вознаграждения в 1100 долларов США.
На смену ему предприниматель может получить статус «бриллиантового» элитного директора при условии наставничества в двенадцати, тринадцати или четырнадцати директорских группах (26%) с объёмом личной группы (ОЛГ) 750 Баллов и более. Размер поощрения составит 1500 долларов США.
Наивысшим рангом является «серебряный» элитный директор – наставник восемнадцати и более директорских групп (26%) с объёмом личной группы (ОЛГ) 750 Баллов и более. Максимальное вознаграждение – 1500 долларов США.
Обязательным условием является ежемесячный личный объем (ЛО) директора, равный как минимум 100 Баллам.
Звание директора любого ранга закрепляется за предпринимателем на двенадцать месяцев. Но количество уровней, с которых он получает бонусы, не закрепляется. По окончании этого срока звание необходимо подтвердить в течение двух месяцев одним из перечисленных способов.
Также всем консультантам «Фаберлик», которые на момент рождения ребенка находятся в звании директор, в течение года после рождения ребенка начисляется бонус материнства:
20 долларов США ежемесячно, если это первый ребенок в семье;
40 долларов США ежемесячно, если это второй ребенок в семье;
60 долларов США ежемесячно, если это третий ребенок в семье.
Бонус материнства будет начисляться в дополнение к объемной скидке и бонусам. Условием его получения является показатель личного объема в 100 баллов и более.
Подобная система стимулирования является более выгодной, чем в «Амвей» и хотя она и не дает реального преимущества, но постоянно привлекает новых предпринимателей и клиентов.
Бонусная прибыль в компании «Фаберлик» рассчитывается следующим образом: например, за месяц предприниматель-консультант (или люди, которые были зарегистрированы им) купили продукции на 350 баллов (причем, у предпринимателя лично не менее 50 баллов), значит, он находиться на 1 уровне, то есть ему положена 6% скидка (смотри бонусную таблицу компании). Баллы умножаются на процент бонуса-скидки:
350 баллов x 6%=21 балл
Затем данная цифра умножается на цену балла для консультанта:
21 балл x 15 руб.=315 руб.
Эту сумму консультанту в следующем месяце вычтут при заказе нового товара. Это небольшая сумма, но предполагается, что при покупке большего количества товара, она будет расти, и, соответственно, прибыль предпринимателя-консультанта тоже (разница между ценой каталога и ценой склада за счет объемной скидки увеличится).
Когда предприниматель достигнет уровня директора (объем личной группы должен быть 3000 баллов и выше) объемную скидку компания будет перечислять на его банковский счет.
«Фаберлик», как было описано выше позиционирует три способа заработка: во-первых, экономию при покупке своей продукции, во-вторых, продажу непосредственному потребителю, в третьих, – построение сети (рисунок 9) и, в четвертых, – систему бонусных скидок.
Рисунок 9. Схема сети многоуровневого маркетинга компании «Фаберлик»

Если сравнивать с «Амвей» то сущность прямых продаж практически не отличается, а вот система бонусов видоизменена. У «Фаберлик: больше бонусный процент, но само поощрение не выплачивается, а лишь компенсируется в счет будущей покупки товара. Авторский гонорар компании «Амвей» заменен системой директорских статусов и бонусами матеинства. В целом система поощрения и стимулирования «Фаберлик» более привлекательна с точки зрения пропаганды.
3. Перспективы развития многоуровневых систем маркетинга
Сетевой маркетинг не является свободным бизнесом в чистом виде, поскольку в нем предприниматель пользуется арсеналом средств, предоставленных ему в пользование компанией, и потому не создает того, что принято называть «своим делом». Поэтому, если традиционный бизнес мы называем свободным, то сетевой маркетинг следует называть партнерским. В этом смысле концепция сетевого маркетинга сходна с концепцией франчайзинга – и там, и там предприниматель становится партнером компании, у которой приобретает необходимый бизнес-инструментарий. (современный сетевой маркетинг можно рассматривать и как Интернет-франчайзинг).
Фундаментальный принцип экономики состоит в том, что любая экономическая активность представляет собой аккумуляцию человеческих ресурсов. Только человек способен создавать и потреблять добавочную стоимость – по этой причине он является источником и целью, объектом и субъектом экономической деятельности. В свободном бизнесе человеческий ресурс не всегда использован рационально и системно.
Многоуровневый маркетинг предложил новую форму процесса организации человеческих ресурсов. Если раньше нужно было нанимать работников для собственной фирмы и прибыль получать простым взиманием (или присваиванием), то в системе многоуровневого маркетинга можно вступить в партнерские отношения с уже существующей компанией-ядром и нанимать людей не для себя, а для нее, а доход получать в виде комиссионных через эту компанию. У компании как бы арендуется человеческий ресурс, который сам развивается при помощи средств, полученных от компании; и аренда эта взаимовыгодна. То есть, сетевой маркетинг представил процесс организации человеческих ресурсов таком виде, что теперь его можно запускать, не создавая и не контролируя новые предприятия. Этот важный производственный ресурс стал подконтролен и стабилен. То, что в традиционном бизнесе делается стихийно, требует больших вложений и особой стратегии, стало доступно широким слоям населения. Потому, что возник системный подход к человеческим ресурсам. В условиях экономической нестабильности и растущей безработицы данное достижение многоуровневого маркетинга очень актуально.
Маркетинг, реализация продукта или услуги – конечный и единственный смысл бизнеса. Пока продукт не продан, весь предыдущий экономический процесс, начиная от разработки и кончая упаковкой, убыточен. Но как только продукт реализован, весь процесс становится рентабельным, и более того – прибыльным, поскольку получена добавочная стоимость. Перспективным в системе многоуровневого маркетинга является укрепление независимых дистрибьюторов как единиц человеко-экономического потенциала предприятия, представленных в виде ячейки сети. Создавая новые ячейки «сетевого» маркетинга, можно увеличивать совокупный потенциал, без специальных технических и юридических инструментов. Получаемый же доход может быть неограниченным, поскольку многоуровневые планы позволяют считывать личное вознаграждение с целого участка образовавшейся сети, признавая таким образом за дистрибьютором его право на этот объем потенциала. Компании многоуровневого маркетинга – это не что иное, как однородно организованный человеко-экономический ресурс. Форма, в которой этот ресурс представлен, единообразна, способ отчисления вознаграждения задан единой формулой, процесс его отчисления автоматизирован.
Перспективы сетевого маркетинга заключаются еще и в том, что он представляет собой математически точную структуру организации, который легко управлять. Например, компания «Фаберлик» использует систему управленческого учета на основе ГААП США.
В пояснительной записке к финансовой отчетности не расшифровываются все строки отчетности, как того требует ГААП США. Вместо этого приводятся анализ тенденций изменений в структуре баланса, анализ источников финансирования деятельности компании, анализ динамики коэффициентов (ликвидности, оборачиваемости и т.д.), то есть в качестве пояснений к отчетности анализируется финансово-хозяйственная деятельность предприятия. Нет необходимости готовить и отчет об изменениях в собственном капитале.
Система управленческого учета компании базируется на первичных данных бухгалтерского учета, который ведется в программе «1С: Бухгалтерия», а также на информации торгово-складской программы. Данные управленческого учета собираются из этих двух систем в программе «GAAP для платформы 7.7» (надстройка к «1С: Бухгалтерия», разработанная московской фирмой «ПиБи»).
Бухучет ведется в разрезе контрагентов. Номенклатурный учет в бухгалтерии не осуществляется из-за риска перегрузки системы. Для управленческих целей учет реализации и себестоимости ведется в разрезе групп товаров. Для этого используются данные специальных отчетов торгово-складской системы.
Автоматизация процессами управления многоуровневого маркетинга выражается также в использовании специальных компьютерных программ, например, MLM Contact Manager. Данная программа расчитанна на независмых предпринимателей, агентов или консультантов. Она предусматривает автоматическое заполнение карточек потенциальных клиентов и новых дистрибьюторов, чем значительно экономит время пользователя. В главном окне программы выводится только самая нужная информация: Ф.И.О., дата рождения, контактные данные дистрибьютора, сведения о его семье, последняя встреча и ее результат.
Встроенный мастер отчетов позволит Вам не только создать отчет о проделанной работе, но и распечатать его.
В программу встроена предварительная сортировка знакомых, что позволит более эффективно использовать свое время и силы на работу с составленным списком. Мы всегда помним о том, что 80% времени мы должны уделять только самым перспективным нашим кандидатам.
Система обмена данными поможет Вам не только не потерять нужные данные, но и работать на нескольких компьютерах.
Другим видом программного обеспечения для предпринимателей «сетевого» бизнеса можно назвать MLM Office. Программа предназначена для организации бизнес-процесса в компаниях, работающих по многоуровневому маркетингу. Универсальность данной программы заключается в том, что она не только обрабатывает и структурирует базы данных организации, но и поддерживает все виды маркетинг-планов, рассчитывает налоги, поддерживает работу с филиалами и имеет систему защиты данных
Следующей стадией эволюции многоуровневого маркетинга станет дальнейшее развитие всемирной сети Интернет, которая придала сетевому маркетингу новый мощный импульс. Именно Интернет на технологическом уровне воплотил экономическую философию сетевого маркетинга. Концепции Интернета и сетевого маркетинга совпадают – объединять большие массы людей в единую среду, в которой и посредством которой свободно распространяются товары и услуги. Именно в этом состоит смысл сетевого маркетинга, и это же было достигнуто в виртуальном пространстве, что сделало Интернет и сетевой маркетинг явлениями родственными. В связи с чем возник новый термин – интересетовый бизнес, основанный на сочетании Интернет-технологий и многоуровневого маркетинга. По оценкам экономистов, через несколько десятков лет более 70% всего товарооборота будет идти через сетевые компании. В интерсетевой системе предприниматель инвестирует в бизнес определенную сумму и получает бизнес «под ключ» с развитой инфраструктурой – продукт, сервис, информационно-рекламное обеспечение.
У многоуровневого маркетинга и прямых продаж особенно хорошие перспективы в России. Ежегодно примерно 3 млн. россиян выступают в роли активных дистрибьюторов компаний «сетевого» маркетинга и объемы продаж, этих, компаний: как видно по приведенным выше данным, постоянно растут. Особо актуальными развитие прямых продаж и системы сетевого маркетинга являются для производителей парфюмерно-косметической продукции. По итогам исследования российского рынка за 2005 год в канал дистрибьюции лидируют универмаги, специализированные сети и прямые продажи (рисунок 10).
Рисунок 10. Удельный вес каналов дистрибуции на российском парфюмерно-косметическом рынке

Для потребителя преимуществом покупок в универмагах является возможность закупить в одном месте все необходимое – продукты, косметику, бытовую химию, в последнее время и одежду. Естественно, что речь идет о покупках сегмента масс-маркет.
Специалисты полагают что доля продаж на открытых рынках будет уменьшаться и дальше, что в результате может привести к падению продаж российских производителей, у которых нет денег на вход в розницу. Поскольку речь идет о самом нижнем ценовом сегменте, это соответствует общим тенденциям развития российского рынка парфюмерии и косметики. Эффективно заменить розничную торговлю может система многоуровневого маркетинга, не требующая больших затрат.
По оценке исследовательской компании Euromonitor, в настоящее время компании прямых продаж занимают 45% рынка декоративной косметики, 33% рынка средств по уходу за кожей, 16% рынка парфюмерии, около 8% сегмента средств для ванны и душа и 4% – средств для волос.
Даже не смотря на то, что российские компании изначально скептически отнеслись к «сетевому» маркетингу, они могут вернуться к нему вновь.
По моему мнению, наиболее оптимальным вариантом для отечественного производителя стало бы развитие многоуровневого маркетинга, сочетающего прямые личные продажи и розничную торговлю через Интернет.
Продажи косметики и парфюмерии on-line – наиболее динамично развивающийся канал сбыта. Рост продаж через интернет в 2005 году, по данным Национальной ассоциации участников электронной торговли, вырос на 1000% (с 0,8 до 8 млн долларов). В то же время в физическом выражении объем торговли косметики через интернет пока весьма незначителен – 0,8% всех продаваемых on-line товаров.
Достоинство этого канала сбыта заключается в том, что, продавая парфюмерию on-line, производители могут предложить большие скидки, благодаря чему растет лояльность покупателя к брэнду.
Интернет становится дополнительным мощным средством продаж косметики и гигиенических продуктов для таких компаний, как Avon и Oriflame. Однако по сравнению с традиционными каналами сбыта объем продаж в интернете незначителен. В Рунете – россиской части всемирной сети Инетрент уже сложился и достаточно перспективный рынок потенциальных дистрибьюторов. Не каждая сетевая компания может занять эту нишу. В связи с тем, что пользователи русскоязычной части Интернет, в подавляющем своем большинстве, имеют высшее образование и неплохую техническую подготовку, то и следует ожидать, что требования к предлагаемому бизнесу у них будут более высокие. Прежде всего, это связано с технологическим обеспечением бизнеса, предложением интеллектуальных продуктов и наличием современных бизнес-инструментов.
В то же время крупные российские продавцы косметики не рассматривают интернет как серьезный канал реализации косметики и парфюмерии. До недавнего времени этот сегмент розницы даже не замеряли.
Однако некоторые компании научились довольно успешно применять технологию розничной торговли через Интернет. Так компания «Грин Мама» распространяет свою продукцию исключительно через виртуальную сеть, при этом разработана целая бонусная система, заменяющая бонусную систему консультантов «сетевого» маркетинга.
Также можно применять ТV‑шоппинг: этот метод розничной торговли предполагает демонстрацию на телеэкране визуальной презентации. Для этой цели создаются видеоролики, а в 1980-х годах во многих развитых странах появляются специальные телевизионные каналы. Одной из проблем, связанных с предложением товаров по телевидению, является необходимость предоставления потребителю возможности игнорировать информацию о не интересующих его категориях товаров. Переход в будущем к цифровому телевидению и широкополосным услугам Интернета значительно облегчит пользование интерактивным ТV‑шоппингом.
Для того, чтобы реализовать эту смешанную стратегию «сетевого» маркетинга отечественным MLM компаниям необходимо преодолеть оставшиеся негативные ассоциации в сознании потребителей. Тень финансовых «пирамид» и всевозможных сект мешает нормальному развитию «сетевого» маркетинга, поэтому подробные материалы в СМИ, проливающие свет на сущность многоуровневого маркетинга – неотъемлемые мероприятия успешного «сетевого» бизнеса.
Заключение
По многоуровневой системе поощрений не обязательно строить все продажи в компании. Можно организовать временную акцию, направленную на продвижение конкретного товара или услуги в линейке предложений компании, чем с успехом пользуются многие компании. Например, использовал такую систему для продаж и продвижения лишь одной категории товаров. Клиент, купивший товар или получивший услугу, рекомендует друзьям и знакомым бесплатно получить такую же. За это он получает бонус виде дополнительного сервисного обслуживания, сопутствующих бесплатных товаров и услуг, и он участвует в системе накопления баллов. Чем больше новых людей приводит клиент, тем больше баллов он набирает. Накопленные баллы затем обмениваются на ценные призы или же на их денежный эквивалент. В свою очередь, друзья и знакомые, которых привел клиент, тоже могут стать участниками этой акции. При этом следует отметить, что производитель, единожды прорекламировав эту акцию, больше не тратит дополнительных средств на ее продвижение в СМИ. Сведения о ней распространяют между собой клиенты.
Наработки MLM-компаний можно с пользой применять не только в продажах и продвижении, но и в мотивации сотрудников. Большие перспективы для компании открывает введение градации и системы оценки персонала, опираясь на MLM: у каждого сотрудника фирмы намечается своя балльная оценка. В течение месяца работник набирает баллы не только за выполнение своих прямых должностных обязанностей, но и за рекомендации услуг компании потенциальным покупателям, независимо от его должности в компании. Однако в редких случаях такая система иногда может создать нездоровый климат в коллективе. В MLM-компаниях большое значение имеет элемент игры. Зачастую партнеры сетевых фирм получают условные статусы внутри клиентской иерархии – «золотой», «серебряный» и т.д., которые влекут за собой определенные бонусы и преимущества. Та же система накопления баллов – повторяет элемент игры и воздействует на психологическом уровне. В традиционном бизнесе элементы игры находят все большее распространение в построении корпоративной культуры. Это очень важно для сотрудников, которые приходят в компанию для самореализации. Ролевой аспект игры – довольно сильный механизм мотивации сотрудников, которые стремятся к признанию и хотят предстать в лучшем свете. Теми же элементами игры, перекочевавшими в корпоративную культуру линейных компаний из MLM-структур, можно назвать создание дополнительных статусов или преимуществ внутри коллектива. Предположим, набрав определенное количество баллов и подтвердив «золотой» статус, сотрудник получает ряд дополнительных возможностей – возможность уйти с работы на час раньше остальных, либо сделать перерыв в неустановленное время. Словом, поощрять сотрудников нужно и можно не только деньгами не только материально, используя опыт многоуровневого маркетинга.
Многоуровневый маркетинг может стать консолидирующим бизнесом, где тесно сотрудничают дистрибьюторы из разных стран, где нет расовых и политических разногласий.
Вполне вероятно, что в ближайшие десятилетия все компании и дистрибьюторы сетевого маркетинга будут объединены через интерактивное телевидение. Заказать любой продукт буде можно, включив телевизор, набрав код своей компании, выбрав желаемый продукт, проведя свою кредитную карточку через считывающее устройство, и продукт будет вам доставлен домой на следующий день.
Спонсирование будет осуществляться в интерактивном, виртуальном варианте, когда консультант одновременно занимается несколькими группами. Именно связь многоуровневого маркетинга с новыми прогрессивными кибертехнологиями делает его наиболее перспективной разновидностью маркетинговой системы предприятия.
Список литературы
1. Барбер Д. Сетевой маркетинг: Руководство для начинающих. – М.: Фаир-Пресс, 2001. – 192 с.
2. Всехсвятский С. Технология анализа маркетинг-плана сетевой компании. – М.: Хорошие новости, 2002. – 40 с.
3. Кардава А. Сетевой маркетинг – пирамида? Афера? Или … Система распространения товаров и услуг. – М.: PROMISInernational, 2002. – 304 с.
4. Катернюк А.В. Основы современного маркетинга. – М.: Феникс, 2008. – 672 с.
5. Кинг Ч., Робинсон Д. Новые профессионалы. Будущее сетевого маркетинга. – М.: Фаир-Пресс, 2003. – 240 с.
6. Клементс Л. Сетевой маркетинг изнутри. – М.: Фаир-Прес, 2002. – 400 с.
7. Клофер П. Многоуровневый маркетинг: Как преуспеть в сетевом бизнесе / Пер. с англ. К. Ткаченко. – М.: ФАИР-ПРЕСС, 2001. – 336 с.
8. По. Р. Четвертая волна или Сетевой маркетинг в ХII веке. – М.: Фаир-Пресс, 2001. – 416 с.
9. Попов С.Н. Русский путь в сетевом маркетинге. Стратегия и тактика победителя. – М.: Фаир-Пресс, 2006. – 272 с.
10. Рахимова Л. Мы начинаем MLM: сетевой маркетинг. – М.: 2003. – 208 с.
11. Сетевой маркетинг и прямые продажи в России. Справочник 2008 – М.: МИПЛ, 2008. – 20 с.
12. Синамати А. Обучение и развитие дистрибьюторов сетевой компании. – М.: Ффир, 2006. – 52 с.
13. Синамати. А. Что такое сетевой маркетинг. – М.: Фиар, 2006. – 96 с.
14. Ноздрева С.Б. Современные аспекты международного маркетинга. – М.: Российская политическая энциклопедия. – М.: 2004. – 280 с.
15. Фейлла Дон. Десять уроков на салфетках многоуровневый маркетинг. – М.: Экор, 1997. – 128 с.
Похожие рефераты:
Сетевой маркетинг как форма организации бизнеса
Учебное пособие по курсу всего маркетинга
Место электронного бизнеса в национальной экономике
Маркетинг физической культуры и спорта
Маркетинг - доктрина современного бизнеса
Теоретические основы маркетинга
Опыт и перспективы использования сети Интернет в коммерческих целях
Роль и место современных Интернет-технологий в развитии банковских услуг
Финансовый маркетинг и разработка ценовой стратегии предприятия (на примере АО "Таттуу")
Разработка методов определения эффективности торговых интернет систем
Маркетинг: культурные технологии развития бизнеса
Формирование службы маркетинга на предприятии
Реализация сетевых компьютерных технологий в системе международного маркетинга Интернет-Маркетинг
Стратегия управления сбытовой деятельностью организации (на примере ООО "Фармос")