| Похожие рефераты | Скачать .docx | Скачать .pdf |
Книга: Учебное пособие по курсу всего маркетинга
Введение 4
1. Основной текст 6
1.1. Сущность и цели маркетинга. Организация маркетинга 6
1.2. Окружающая среда маркетинга и сегментирование рынка 18
1.3. Разработка стратегии и плана маркетинга 31
1.4. Товарная политика маркетинга фирмы 46
1.5. Товарная политика маркетинга фирмы (продолжение) 57
1.6. Маркетинговое ценообразование 71
1.7. Товародвижение и дистрибьюция 85
1.8. Продвижение товаров. Рекламное дело 103
1.9. Маркетинговое исследование. Часть 1. Маркетинговая информация 117
1.10. Маркетинговое исследование. Часть 2.
Маркетинговый анализ и прогнозирование 129
Выводы 145
Решения тренировочных заданий 147
Итоговый тест 168
Толковый словарь 170
Рекомендуемая литература 176
Введение
Рынок - сложное явление, развивающееся в соответствии с экономическими законами и обладающее сложной иерархически построенной структурой. Рынок вовлекает в свою сферу миллионы юридических и физических лиц, вступающих в отношения купли-продажи. На рынке перемещается как в экономическом, так и в географическом пространстве огромная масса разнообразных товаров, обмениваемых на деньги. Для того чтобы разобраться в действии рыночного механизма, понять, что сулит предпринимателю рыночная ситуация - выгоду или разорение, необходимо обеспечить "прозрачность" (информативность) рынка и предсказуемость его развития. Предприниматель заинтересован в ограничении стихийности рыночных процессов, в том, чтобы рынок был упорядочен, а рыночные операции базировались на определенных научных принципах, которые позволили бы оптимизировать затраты и планировать соответствующую прибыль.
Еще в начале XX в. были разработаны основы науки, показывающей, каким образом надо управлять рыночной деятельностью, чтобы с меньшим риском добиться максимальных результатов, как регулировать некоторые рыночные процессы, чтобы обеспечить себе преимущество на рынке, и как, наконец, нужно изучать рынок, чтобы не действовать методом проб и ошибок, а представлять себе четкую перспективу действий. Эта наука и отрасль прикладной деятельности получили название маркетинга.
Маркетинг быстро завоевал прочные позиции во всем мире, где функционировала рыночная экономика. Существует большое число научно-практических публикаций по маркетингу, ведущие университеты всего мира выпускают тысячи специалистов по маркетингу. Существует множество маркетинговых служб, маркетинговых и консалтинговых фирм. На маркетинг ежегодно во всех развитых странах тратятся миллиарды долларов, большинство предпринимателей понимают, что экономия на маркетинге обернется неисчислимыми убытками. Основная масса предпринимателей и менеджеров считают, что маркетинг органически неотделим от бизнеса и незаменим в условиях конкуренции.
Маркетинг не противоречит стремлению к социальной справедливости, поскольку его основной принцип - ориентация на потребности. Маркетинг уважает и защищает права потребителя. Современный маркетинг (так называемый социально-этический) требует учитывать интересы всего общества, в частности в области охраны окружающей среды. Одновременно маркетинг является системой защиты продавца и покупателя, государственного поощрения производства и торговли.
Предлагаемое пособие исходит из тезиса, что знание основ маркетинга необходимо любому экономисту, менеджеру н предпринимателю в какой бы области бизнеса они ни работали. Знание маркетинга полезно и государственным чиновникам, контролирующим экономику. Пособие охватывает все основные проблемы маркетинга и подготавливает учащегося к практической деятельности в данной сфере. В пособии обобщен богатый опыт зарубежного и отечественного маркетинга, использован широкий перечень научно-практической литературы, а также собственные исследования авторов.
1. Основной текст
1.1. Сущность и цели маркетинга. Организация маркетинга
1.1.1. Сущность и понятие маркетинга
Теория маркетинга была создана в Америке в 10-е - 20-е гг. ХХ в. Маркетинг возник как реакция на негативные проявления бурно развивающегося "дикого" рынка: чрезмерную стихийность, непредсказуемость развития, неупорядоченную конкуренцию с тягой к вседозволенности, стремлением производителя диктовать свою волю потребителю тенденциями к росту монополизации и т.п., грозившими серьезными экономическими и социальными потрясениями. Создатели теории, получившей, название маркетинга, исходили из тезиса, что человечество не нашло лучшего механизма распределения, чем рынок. Необходимо найти способ смягчить отрицательные проявления действия рыночного механизма, подчинить производство и распределение интересам потребителя.
Маркетинг (от английского market - рынок) - система управленческой, регулирующей и исследовательской деятельности, направленной на эффективное, доведение товаров от сферы производства до сферы потребления. Цель маркетинга - удовлетворение потребностей покупателя и за счет этого получение прибыли продавцом. На цивилизованном рынке складывается механизм, который обусловливает получение прибыли удовлетворением спроса. Предприниматель, стремящийся увеличить свою прибыль, должен стимулировать спрос и привести производственно-сбытовую программу в соответствие с интересами потребителей.
Маркетинг - любая деятельность, направленная на доведение товара от сферы производства до сферы потребления, т.е. по удовлетворению потребностей в соответствии с покупательским спросом.
Маркетинг вписывается в рыночный механизм, позволяя оптимизировать взаимный поиск продавца и покупателя, стимулировать спрос, использовать в качестве регулятора рыночных процессов цену и другие рыночные инструменты, ориентировать производство на интересы рынка. Тем самым маркетинг снижает степень стихийности развития рынка. Он формирует систему изучения и прогнозирования рынка обеспечивая его ''прозрачность" и предсказуемость развития.
Современная концепция маркетинга заключается в ориентации предпринимателя на потребителя.
Производить и продавать все, что пользуется спросом и может быть продано, - вот главный принцип маркетинга.
Маркетинговая деятельность может быть представлена в форме постоянно возобновляющегося маркетингового цикла. Любая маркетинговая деятельность начинается с информационно-аналитического исследования, на основе которого осуществляется стратегическое и текущее планирование, разрабатывается программа создания и вывода на рынок нового товара, формируются каналы движения товара от производителя до потребителя с участием торговых посредников (дистрибьюторов), организуется рекламная кампания и осуществляются другие действия по продвижению товара на рынок, наконец, на заключительном этапе оценивается эффективность маркетинговых мероприятий (рис. 1.1).
Существует отраслевая дифференциация маркетинга, которая, сохраняя единство его целей и принципов, позволяет решать специфические задачи, присущие каждой отрасли экономики и сфере социальной жизни. Естественно, сказываются особенности продукта, создаваемого в отрасли, и форм его потребления.

Рис. 1.1. Этапы маркетингового цикла
Можно назвать следующие отраслевые виды маркетинга:
• производственный маркетинг (в том числе промышленный, строительный, аграрный), главными целями которого являются: поиск рынка сбыта, оценка его емкости, обоснование производственно-инвестиционной программы, разработка нового продукта, соответствующего по своим качественным признакам требованиям потребителей, самосертификация и оценка конкурентоспособности продукта;
• торгово-сбытовой маркетинг, к главным целям которого относятся: дистрибьюция и формирование канала товародвижения, организация сбыта и продажи товаров, перемещение и складирование товаров (логистика), изучение и прогнозирование покупательского спроса, создание системы торгового и послеторгового сервиса;
• маркетинг сферы услуг, где сочетаются цели производственного и торгового маркетинга (поскольку производство, продажа и потребление услуг концентрируются во времени и в пространстве), но в то же время имеется своя специфика (нематериальность услуг, неспособность услуг к хранению и т.п.);
• маркетинг интеллектуального продукта (в том числе маркетинг информационного продукта и информационных технологий), когда продукт может иметь нематериальную форму и используются особые формы его реализации и сервиса;
• международный маркетинг, предметом которого является внешнеэкономическая деятельность;
• маркетинг финансово-кредитного продукта и страхового дела, а также маркетинг ценных бумаг, продуктом которого являются различные формы биржевой и финансовой деятельности.
Кроме того, существует маркетинг некоторых специфических рынков, в частности рынка труда и рынка образования. Приемы и методы маркетинга распространяются и на нерыночные сферы, например политическую жизнь, социальные отношения, искусство и культуру и т.п.
Различаются три уровня маркетинга. Первый - микромаркетинг, т.е. рыночная деятельность отдельного предприятия (фирмы, компании), в том числе внутренний маркетинг - организация деятельности персонала собственной маркетинговой службы и внешний маркетинг - доведение товара до потребителя, организация связей с клиентами и торговыми посредниками, изучение рынка; второй - макромаркетинг, т.е. участие государственных учреждений, отраслевых и региональных структур в управленческой, регулирующей и исследовательской деятельности в рыночной сфере; третий - глобальный, или международный, маркетинг - деятельность на внешнем, мировом рынке, внешняя торговля (особая форма - мегамаркетинг, т.е. деятельность транснациональных компаний по проникновению на рынок какой-либо страны).
1.1.2. Цели маркетинга, его роль в бизнесе
Каковы цели маркетинга? Общая цель заключается в том, чтобы обеспечить удовлетворение спроса потребителей, предъявляемого на рынке, и за счет этого получить максимально возможную прибыль. К глобальным целям маркетинга как составной части рыночного механизма относятся следующие требования:
• сделать рынок упорядоченным (подчиняющимся определенным правилам), "прозрачным" (позволяющим оценивать его состояние, параметры и тенденции развития) и предсказуемым (обеспечивающим возможность прогнозировать его изменения);
• ограничить стихийность рынка путем регулирования некоторых рыночных процессов;
• сделать конкуренцию упорядоченной, подчиняющейся определенным ограничениям, исключить возможность недобросовестной конкуренции;
• подчинить производство и торговлю требованиям рынка, т.е. интересам потребителя;
• разработать и внедрить в рыночную деятельность принципы научно обоснованной технологии товародвижения и распределения (дистрибьюции);
• обеспечить высокую эффективность рекламной и другой маркетинговой деятельности по влиянию на рынок и формированию привлекательного образа товара в представлении потенциальных и фактических покупателей.
Каждая фирма, выступая на рынке, разрабатывает свою систему целей (древо целей), которая закладывается в основу маркетинговой стратегии. Выделяются конечные цели (обычно это или захват некоторой доли рынка, или сбыт какого-то объема товара, или получение определенной суммы прибыли), а также промежуточные цели. Достижение первых (как, вероятно, заметил читатель, связанных между собой) обусловливает развитие фирмы, ее коммерческий успех, место, которое она займет на рынке. Вторые - представляют собой средства, обеспечивающие возможность осуществления конечных целей.
Маркетинг - активная форма предпринимательской деятельности. Конечно, маркетинг предполагает, что предприниматель должен поступиться частицей своего рыночного суверенитета, но он снижает уровень риска, позволяет использовать коллективно накопленный опыт и, в конечном счете, дает определенные гарантии успеха.
Роль маркетинга в бизнесе показана на рис. 1.2.

Рис. 1.2. Место маркетинга в рыночных взаимоотношениях "предприниматель - клиент"
Роль маркетинга в бизнесе определяется тем, что маркетинг раскрывает потенциальные возможности производства и сбыта товара, разрабатывает оптимальную товарную политику, определяет направления конкурентной борьбы и завоевания рынка, предлагает набор инструментов для стимулирования спроса, создает эффективную систему товародвижения, позволяет изучить и спрогнозировать состояние и развитие рынка. Как известно, исторически, по мере концентрации и специализации производства, предприниматель все более отдалялся от потребителя и строил свою производственную программу не слишком эффективным методом проб и ошибок. Маркетинг поставил взаимоотношения производителя и потребителя на научную основу, играя роль звена, соединяющего предпринимателя и потребителя. В этом взаимоотношении обе стороны получают выгоду: предприниматель - прибыль, потребитель - товар, посредством которого он удовлетворяет свою потребность.
Маркетинг - наука, изучающая, какие товары и в каком количестве следует производить, как выгоднее и быстрее сбыть (продать) товар с меньшим риском, оптимальными затратами и максимально возможной прибылью.
Однако роль маркетинга в конкретном бизнесе и отношение к нему предпринимателя в немалой степени зависят оттого, на каком рынке выступает предприятие. Например, на рынке продавца, где предложение отстает от спроса и производитель осуществляет диктат чад потребителем, предприниматель заинтересован в маркетинге значительно меньше, чем на рынке покупателя, где предложение опережает спрос и продавец ищет покупателя.
1.1.3. Функции маркетинга и принципы его организации
Каким образом реализуются цели маркетинга? Маркетинг осуществляет определенный набор функций, которые позволяют фирме выполнять полный цикл маркетинговой деятельности. Функции маркетинга группируются по пяти блокам ( рис. 1.3).

Рис. 1.3. Блок-схема функций маркетинга
Блок 1. Планово-исследовательские, контрольные и организационные функции: 1.1 - маркетинговое исследование (сбор и анализ информации) прогнозирование рынка); 1.2 - разработка маркетинговой стратегии; 1.3 - составление плана и бюджета маркетинга, разработка оперативной программы маркетинговых мероприятий; 1.4 - маркетинговый контроллинг; 1.5 - организация маркетинга.
Блок 2. Функции формирования рынка и ценообразования: 2.1 - поиск и раздел рынка сбыта; 2.2 - сегментация рынка; 2.3 - разработка нового товара или модернизация старого; 2.4 - тестирование рынка, самосертификация товаров; 2.5 - разработка ЖЦТ; 2.6 - разработка и осуществление ценовой стратегии маркетинга; 2.7 - разработка и защита марки товара.
Блок 3. Функции регулирования рынка: 3.1 - стимулирование спроса и предложения; 3.2 - регулирование товарных запасов; 3.3 - регулирование цен.
Блок 4. Функции товародвижения и дистрибьюции: 4.1 - выбор дистрибьюторов (торговых посредников), формирование и эксплуатация каналов товародвижения; 4.2 - организация сбыта и продажи товаров; 4.3 - управление перемещением и складированием товаров (логистика); 4.4 - научная организация торгового процесса; 4.5 - организация франчайзинга, лизинга и факторинга.
Блок 5. Функции управления продвижением товаров: 5.1 - организация рекламной деятельности; 5.2 - организация каналов маркетинговых коммуникаций; 5.3 - организация конкурентной борьбы; 5.4 -научная организация сервиса.
Таким образом, можно сформулировать функциональное определение маркетинга, которое складывается из управленческой деятельности, процессов регулирования некоторых рыночных процессов и изучения рынка.
Маркетинг - система управления рыночной деятельностью, регулирования рыночных процессов и изучения рынка.
Важная роль в маркетинге принадлежит государственной деятельности и общественным формам воздействия. Государство выступает гарантом прав участников рыночного процесса, осуществляет арбитраж и судебную защиту, издает законы и другие акты, касающиеся рыночной деятельности, занимается макрорегулированием некоторых рыночных процессов, контролирует качество товаров и соблюдение правил торговли, обеспечивает экологическую защиту и т.д.
Потребители могут объединиться в общества защиты собственных прав. Это движение, получившее название консьюмеризма (от английского consumer - потребитель), обладает значительным влиянием. Его должно поддерживать государство (еще в 1985 г. ООН приняла резолюцию о защите интересов потребителей). В России действуют Закон о защите прав потребителей и другие акты, поддерживающие консьюмеристское движение. Формы его деятельности разнообразны: юридическая защита потребителей, консультации, публикации о случаях нарушений потребительских прав, независимая сертификация товаров, пикетирование магазинов и т.д.
Консьюмеризм - организованное движение населения, поддерживаемое государством, в защиту и за расширение прав потребителей.
Широкий набор функций маркетинга, многие из которых отличаются сложностью и трудоемкостью, предъявляет серьезные требования к организации маркетинговой службы. Анализ деятельности ряда зарубежных фирм доказывает, что встречающиеся неудачи на рынке в значительной мере обусловлены слабой организацией маркетинговых служб, отсутствием информационно-аналитической системы маркетингового исследования.
Маркетинговая служба - административно-управленческое подразделение фирмы, выполняющее полный или ограниченный набор маркетинговых функций.
В основе деятельности маркетинговой службы лежат следующие требования: научность, т.е. соблюдение требований теории маркетинга и теории менеджмента; мобильность, т.е. неотложное выполнение принятых решений; гибкость, т.е. способность оперативно менять тактику и стратегию маркетинга в соответствии с изменениями рыночной ситуации; маневренность, т.е. умение адекватно реагировать на неопределенность внешней среды, адаптироваться к изменчивости условий и действию случайных факторов, находить слабые места конкурентов, перераспределять собственные ресурсы, определять приоритеты и т.п.; настойчивость, т.е. неуклонное проведение в жизнь намеченных планов, доведение до конца начатых переговоров, умение отстаивать свою позицию; демократичность, т.е. сочетание дружеских благосклонных отношений между начальником и подчиненными с жесткой требовательностью, воспитание чувства лояльности к "своему" предприятию; исполнительская дисциплина, т.е. обязанность выполнять намеченную программу в установленные сроки.
Численность и состав маркетинговой службы, набор ее функций и степень автономности во многом зависят от типа и размера фирмы, ее специализации. Крупные предприятия, с широким ассортиментом продукции, многочисленными связями с поставщиками, торговыми посредниками и клиентами, финансовыми учреждениями и т.д. не могут обойтись без крупной, глубоко структурированной и иерархически построенной, маркетинговой службы. Средние предприятия создают более скромную по численности, но тоже достаточно жестко структурированную службу (хотя и допускают совмещение функций). Малые фирмы редко создают самостоятельную маркетинговую службу, обычно эти обязанности возлагаются на кого-либо из работников по совместительству. Зарубежный опыт подсказывает целесообразность объединения малых фирм в ассоциации, которые могли бы брать на себя и выполнение маркетинговых функций.
Однако не всегда даже крупным фирмам выгодно выполнять полный цикл маркетинговой деятельности, особенно разработку стратегии и выполнение маркетинговых исследований, а также проведение рекламной кампании, требующих использования особо квалифицированных специалистов, значительных затрат, специального оборудования и т.п. В зарубежном маркетинге широко распространена практика обращения к специализированным маркетинговым, консалтинговым и рекламным фирмам, работающим на коммерческой основе. Кроме того, необходимую им макроинформацию о рынке маркетинговые службы могут приобретать у некоторых государственных органов ( в частности у Госкомстата) и научных организаций.
Структурно маркетинговые подразделения создаются по одному из двух принципов: матричному или функциональному (иногда в их комбинации). Матричный - заключается в создании подразделений маркетинга по одному из трех признаков (или их комбинации): географическому, когда каждое подразделение осуществляет полный маркетинговый цикл в одном или нескольких регионах (географических зонах); рыночному, когда каждое из подразделений ведет работу среди определенных групп потребителей; товарному, когда каждое подразделение занимается доведением до потребителя одного определенного товара.
На рис. 1.4 показан пример матричной схемы организации маркетинга.

Рис. 1.4. Матричная комбинированная схема организации маркетинга
Организация маркетинга по функциональному признаку проявляется в создании единой службы маркетинга, каждое из подразделений которой отвечает за осуществление одной или нескольких функций маркетинга ( рис. 1.5).

Рис. 1.5. Функциональная схема организации маркетинга
Во главе службы маркетинга стоит ответственный руководитель (вице-президент фирмы по маркетингу, маркетинг-директор и т.п.), который координирует деятельность подразделений службы маркетинга между собой и другими службами фирмы, утверждает план и бюджет маркетинга, дает задания сотрудникам и контролирует их деятельность.
Хотя строгих стандартов организации маркетинга не существует, структуры маркетинговой службы бывают двух типов: жесткие (механистические) и мягкие (организмические). Круг обязанностей работников структуры жесткого типа четко определен контрактом, в мягких структурах обязанности работников определяются примерно и подчинены обстоятельствам.
Тренировочные задания |
Ответ/Решение |
| 1. Сформулируйте цели маркетинга промышленной, торговой или иной фирмы (по Вашему выбору), выступающей на рынке товара N (выберите наиболее известный Вам товар), и разработайте перечень конкретных задач маркетинга данной фирмы на определенную перспективу. Одновременно дайте краткую характеристику рынку (монопольный, конкурентный, рынок продавца или рынок покупателя), определите масштаб операций (объем товарооборота) и долю данной фирмы на этом рынке. 2. На основе блок-схемы функций маркетинга разработайте перечень конкретных функций каждого блока для определенной промышленной, торговой или иной фирмы (по Вашему выбору) в зависимости от выдвинутых Вами задач. Одновременно покажите взаимодействие маркетинга фирмы с государственными структурами и консьюмерист-ским движением. В какой форме реализуются права продавца и обеспечиваются (данной фирмой) права покупателя, соблюдаются ли фирмой принципы социально-этического маркетинга, связаны ли с этим дополнительные затраты? Каким образом они компенсируются? 3. Разработайте схему организации маркетинговой службы крупной или средней фирмы (любой отрасли) по одному из организационных типов (матричному, функциональному или комбинированному). Опишите функции каждого подразделения маркетинговой службы и функции ее руководителя по координации их деятельности (для выбранного Вами типа и размера фирмы и ее позиции на рынке). Составьте схему структуры фирмы, выделите маркетинговые подразделения, покажите их связи и потоки информации. |
Тест
Какое из определений маркетинга правильное ?
а) государственное управление производством и торговлей;
б) финансовый и экономический потенциал фирмы;
в) деятельность, направленная на удовлетворение потребности.
2. Что такое консьюмеризм ?
а) общественное движение в защиту прав потребителей;
б) государственные органы контроля за качеством товаров;
г) совокупность потребителей.
3. Входит ли в функции маркетинга (да, нет):
а) борьба с инфляцией;
б) разработка демографической политики;
в) реклама ?
В чем сущность концепции маркетинга ?
а) в ориентации на нужды и требования производства;
б) в ориентации на указания государственных органов;
в) в ориентации на требования рынка, т.е. нужды потребителя.
5. Матричный принцип организации маркетинга заключается:
а) в использовании математических матриц;
б) в построении подразделений маркетинга по ряду признаков;
в) в применений стратегических матриц маркетинга.
Какова главная цель производственного маркетинга ?
а) обоснование производственно-инновационной программы и
разработка нового продукта с учетом емкости рынка;
б) создание технологического проекта нового товара;
в) обеспечение сохранности товаров на фабричном складе.
В чем Вы видите роль маркетинга в бизнесе ?
а) в должности вице-президента по маркетингу;
б) в упорядочении рыночных отношений, снижении уровня стихийности рынка, обеспечении его "прозрачности" и предсказуемости;
в) в подчинении торговли интересам производства.
Что такое микромаркетинг ?
а) маркетинг в малом бизнесе;
б) отдельное подразделение маркетинговой службы;
в) маркетинговая деятельность отдельной фирмы.
В чем заключается роль государства в маркетинге ?
а) в существовании государственных предприятий;
б) в централизованном планировании экономики;
в) в издании законов, упорядочивающих и регулирующих рыночные отношения, в гарантиях прав продавцов и покупателей.
Что собой представляет маркетинговая фирма ?
а) фирма, которая на коммерческих основах выполняет для любого предприятия маркетинговые исследования и т.д.;
б) фирма, функционирующая на принципах маркетинга;
в) фирма, имеющая в своем составе маркетинговую службу.
1.2. Окружающая среда маркетинга и сегментирование рынка
1.2.1. Окружающая среда маркетинга
Маркетинг фирмы испытывает влияние комплекса сил и факторов, действие которых необходимо учитывать: к некоторым нужно адаптироваться, а другие - использовать в качестве инструментов регулирования некоторых рыночных процессов.
| Окружающая среда маркетинга - совокупность сил и факторов, оказывающих влияние на маркетинговую деятельность фирмы и ее результаты. |
Силы и факторы, воздействующие на маркетинг конкретной фирмы, можно подразделить на две группы. В первую входят силы, созданные самой фирмой и находящиеся под полным ее контролем, а также силы возникшие независимо от нее, но вступающие с ней в тесные отношения, в той или иной степени зависящие от нее и контролируемые ею. Этот комплекс сил и факторов носит название микросреды маркетинга. Она включает внутренние силы фирмы: контингент работников, организационную структуру, маркетинговую службу, а также внешние силы, непосредственно связанные с фирмой, - поставщиков, торговых посредников, клиентов (потребителей), конкурентов, финансово-кредитные учреждения, обслуживающие фирму, общества защиты прав потребителей (или общественное мнение как таковое).
Вторая группа, которая называется макросредой маркетинга, включает силы и факторы, которые носят глобальный характер, т.е. действуют на рынок в целом, в том числе на данную фирму. Они непосредственно с фирмой не связаны и потому относятся к категории неконтролируемых факторов. Однако фирме необходимо учитывать их влияние, часто достаточно сильное, к которому необходимо приспособиться, адаптироваться.
| Макросреда маркетинга - совокупность глобальных сил и факторов действующих в масштабах всего рынка и потому оказывающих влияние на отдельно взятую конкретную фирму. |
Макросреда охватывает социально-демографические факторы (в маркетинге товаров производственного назначения их соответственно замещают факторы численности, состава и размера или мощности предприятий-потребителей), экономические факторы, природно-экономические условия, уровень развития науки и техники, политико-правовые факторы, культурно-образовательный уровень населения, информационная среда (средства массовой информации).
Схема на рис. 2.1 отражает положение маркетинга фирмы относительно внешних сил и факторов.

Рис. 2.1. Окружающая среда маркетинга
Рассмотрим, каким образом факторы и силы микросреды и макросреды маркетинга влияют на маркетинговую деятельность и ее результаты. Определенные силы и факторы микросреды полностью контролируются фирмой. В первую очередь к ним относятся внутренние силы: структурно-функциональная организация фирмы и ее маркетинговой службы, человеческий фактор - квалификация наемных работников, их заинтересованность в успехе фирмы на рынке, образование, талант, опытность и деловые качества руководства фирмы (владельца, менеджера и т.д.). В число такого рода факторов входит и отношение руководства фирмы к маркетингу. Диапазон взглядов руководства на маркетинг велик: от придания маркетинговой службе статуса всего лишь консультанта до признания ее ведущей роли в определении политики и стратегии фирмы. Успех маркетинговых действий, как показывает опыт, во многом зависит от умения правильно сформировать маркетинговую службу, от подбора личного состава ее руководящих и исполнительных подразделений, координации их деятельности, формирования иерархических межличностных отношений соподчиненности и сотрудничества, налаживания постоянного обучения и переобучения кадров маркетинговых служб.
Необходимо обеспечить высокую корпоративную культуру маркетинга , т.е. систему духовных ценностей, норм и правил работы, чувство самостоятельности, инициативы и исполнительской ответственности. высокий кругозор, хорошее экономическое и специальное образование, владение методами моделирования и прогнозирования рыночных процессов, компьютерную грамотность, отсутствие проявлений "маркетинговой близорукости". Этим последним термином обычно называют ограниченные взгляды на маркетинг, непонимание его возможностей, ориентацию только на ближайшие цели, на кратковременную выгоду, упрощение ситуации на рынке, неумение видеть перспективу развития. Остальная часть сил и факторов микросреды маркетинга лишь до некоторой степени поддаются контролю со стороны фирмы, одни -сильнее, другие - слабее. В частности, выбор поставщиков и дистрибьюторов осуществляется на основе соблюдения интересов фирмы, хотя и поставщики и торговые посредники остаются вполне самостоятельными и независимыми. Правда, в заключаемых с ними контрактах могут быть предусмотрены некоторые формы взаимодействия с поставщиками и дистрибьюторами и контроля над ними (конвенциональные каналы товародвижения, вертикальные маркетинговые системы, см. раздел 1.7). От добросовестности поставщика сырья и материалов зависит ритмичная и качественная работа производственного предприятия, а следовательно, и его сбытовая маркетинговая деятельность. От равномерности поставки готовых товаров и соблюдения согласованного ассортимента зависит выполнение обязательств фирм-дистрибьюторов перед потребителями. Опыт и квалификация торгового посредника проявляются в умении найти подходящую клиентуру и полностью реализовать товар.
Наиболее независимо в маркетинговой микросреде ведет себя клиент. Он меньше других поддается контролю со стороны фирмы-производителя. Клиент платит деньги за товар в соответствии с согласованными условиями качества и цены. Однако в распоряжении фирмы-продавца существует набор инструментов прямого и косвенного воздействия на поведение клиента-потребителя
(см. раздел 1.3).
В известной степени фирма может влиять на общественное мнение и консьюмеристское движение, если идет им навстречу и удовлетворяет их требования. Практически вне контроля остаются конкуренты - важный элемент микросреды маркетинга. Фирма старается отслеживать и прогнозировать действия конкурента и, по возможности, упреждать их на основе антиконкурентной стратегии.
В отличие от микросреды практически все факторы и силы макросреды маркетинга относятся к числу неконтролируемых. Характер и сила их воздействия на маркетинг фирмы зависят от специфики деятельности фирмы и других конкретных обстоятельств. Необходимость адаптации к макросреде обусловливает задачи постоянного и глубокого изучения этих факторов.
На потребительском рынке исключительно важное значение имеет оценка влияния демографических факторов: численность населения и темпы его изменения определяют число и динамику потребителей; распределение населения по доходу активно влияет на процесс формирования спроса и его структуры; половозрастной состав населения связан с дифференциацией потребления. Число, состав, динамика и жизненный цикл семей оказывают влияние на формирование спроса на товары общесемейного потребления (мебель, аудио- и видеотехника, предметы хозяйственного и бытового назначения и т.п.). Спрос на эти товары зависит также от уровня урбанизации, обеспеченности населения жильем, типа и размера жилищ. Территориальное распределение спроса в значительной степени зависит от расселения жителей. На эти процессы воздействуют экономические факторы: цены, доход и т.д. Специфика макросреды маркетинга производственных и массовых потребителей заключается в том, что в качестве потребительской единицы выступает не отдельный индивид или семья, а производственное предприятие, государственная организация, учреждение социально-бытового или научно-учебного типа и т.д. Поэтому место демографической среды занимает совокупность предприятий и учреждений со своей численностью, отраслевой и организационной структурой, типом, размером, мощностью и т.п.
Формирование потребностей происходит под сильным влиянием факторов культурно-образовательной среды. Маркетинговые мероприятия должны учитывать исторические, религиозные, этнические традиции, а также культурно-образовательный уровень потребителей. В зависимости от реалий данной среды сильно различаются шкала моральных и материальных ценностей потребителей и иерархия потребностей.
Научно-техническая среда создает предпосылки для совершенствования производства и распределения товаров, обновления их потребительских свойств и появления качественно новых товаров. Кроме того, она влияет на территорию и практику маркетинга, позволяет внедрять прогрессивные методы сбыта и торговли, способствует полной компьютеризации маркетинговой деятельности, использованию экономико-математических методов моделирования и управления перемещением и складированием товаров (торгово-сбытовая логистика) и т.д.
Природно-географическая и климатическая среда определяет состояние и размещение сырьевого потенциала, доступность сырьевой базы, протяженность транспортных артерий, влияет на развитие сельского хозяйства, имеет косвенную связь с демографическими данными (расселение населения, его плотность, миграционные процессы). Расходы на сохранение и восстановление экологической среды влекут за собой удорожание товаров, но являются необходимым компонентом современного маркетинга.
Многие стороны маркетинговой деятельности зависят от политической среды: законодательной деятельности государства в рыночной сфере, от принципов и методов налогообложения, порядка ценообразования, государственной политики в области регулирования рыночных процессов, от развития системы государственной стандартизации и сертификации, контроля за качеством товаров и порядком торговли, от юридической защищенности бизнеса и потребителей.
Информативная среда оказывает значительное влияние на маркетинговые процессы. Она представляет общественное мнение, служит источником сведений, необходимых маркетингу, но в то же время является проводником рекламы. Факторы и силы окружающей среды маркетинга фирмы необходимо тщательно и глубоко изучать, устанавливать и моделировать характер и степень их влияния на рыночную деятельность. Это позволит регулировать действие одних факторов и адаптироваться к влиянию остальных с тем, чтобы максимально усилить позитивное и свести до минимума негативное влияние.
1.2.2. Цели и принципы сегментирования рынка
Рынок товаров характеризуется неоднородностью (гетерогенностью). Его отличают разнообразие экономических и социальных условий, структурные различия совокупности потребителей. Большинству предпринимателей невыгодно выступать на таком рынке, это приводит к деконцентрации маркетинговых усилий, распылению средств и ресурсов. Предприниматель приходит к выводу о желательности выделения на рынке более однородных (гомогенных), а главное - привлекательных участков рынка, которые называются сегментами.
| Сегмент рынка - однородная совокупность потребителей, одинаково реагирующих на потребительские свойства предлагаемого товара или на предпринимаемые маркетинговые усилия. |
В чем проявляется признак однородности сегмента? В реакции потребителей на. товар или на какое-то маркетинговое действие. Например, подростки охотно приобретают товары "молодежной", иногда экстравагантной моды, а зрелые покупатели предпочитают более солидную" одежду и другие товары. На рост цен по-разному реагируют бедные и обеспеченные слои населения и т.д.
Фирма выбирает тот сегмент рынка, где ожидает встретить менее ожесточенную конкуренцию или даже полное отсутствие конкурентов, а также лучшие условия продажи товара (например, прибыль превышает среднюю норму прибыли на рынке). Наиболее привлекательным считается сегмент, в котором сосредоточена примерно 1/5 часть потребителей, предъявляющих спрос на 4/5 товаров, предлагаемых фирмой (т.е. проявилось действие так называемого закона Парето , или правила 20-80).
| Сегментирование (сегментация) рынка - процесс разделения совокупности потребителей на однородные группы по заранее определенным критериям. |
К сегментация прибегают как крупные, так и средние фирмы. Малые фирмы обычно довольствуются более узкими участками рынка, называемыми рыночными нишами.
| Рыночная ниша - малый участок рынка, где небольшая фирма благодаря своему уникальному (оригинальному) товару или уникальной (оригинальной) форме обслуживания потребителей не имеет сильных конкурентов и может рассчитывать на коммерческий успех. |
Возможен вариант, когда более сильные потенциальные конкуренты сочли этот участок рынка неперспективным для себя и не стоящим внимания. В этом случае фирма занимает нишу беспрепятственно.
В процессе сегментации учитываются товарная специализация фирмы, ее размер и производственно-сбытовой (или торговый) потенциал, масштаб операций на рынке, конъюнктура рынка и т.п.
Известны три условия эффективной сегментации (их сформулировал известный английский экономист А.Хоскинг):
• измеримость, т.е. возможность измерить отличительные черты и границы выделяемой группы потребителей;
• доступность, т.е. возможность использовать собственный канал товародвижения (см. раздел 1.7) и применяемые фирмой методы продвижения товаров (см. раздел 1.8);
• выгодность, т.е. достаточно большой размер сегмента (его рыночная емкость) или наличие тенденций к росту (расширению) для того, чтобы обеспечить сбыт на текущий период и на длительную перспективу. оправдать расходы и гарантировать получение прибыли.
В процессе сегментации используются четыре признака: географический, демографический, психографический и поведенческий.
Географический заключается в том, что фирма выбирает для своей деятельности один или несколько регионов, где для нее складываются наиболее благоприятные условия. На выбор региона влияет ряд факторов: наличие развитой торговой инфраструктуры, расстояние от места производства иди складирования товаров, объем и структура спроса, уровень цен и инфляции, плотность заселения, природно-климатические условия и, естественно, наличие и мощность конкурентов.
Территория России, занимающая более 17 млн. км 2 делится на 9 крупных экономических районов, объединяющих 79 субъектов Федерации, которые включают 1863 административных района, 1086 городов и 2048 поселков городского типа, где на 1 января 1994 г. проживало 148 млн. чел., в том числе 73% в городских поселениях и 27% -в сельской местности.
Некоторое представление об экономических различиях регионов, которое может быть принято во внимание в процессе сегментирования, дает их распределение по размеру товарооборота на душу населения (табл. 2.1).
Таб лица 2.1 Распределение регионов РФ по товарообороту
на душу населения в 1993 г.
| Группы регионов по размеру товарооборота на душу населения (в процентах к среднему по РФ) |
Число регионов |
| Свыше 120 |
12 |
| От 120 до 100 |
12 |
| От 100 до 80 |
25 |
| От 80 до 60 |
21 |
| От 60 и менее |
3 |
| ИТОГО |
79 |
Источник: Российский статистический ежегодник. 1994: Статистический сборник / Госкомстат России. - М., 1994. - С. 542-544.
Демографический принцип сегментации заключается в том, что отбираются определенные половозрастные и социальные группы населения, на которые фирма предполагает ориентироваться: мужчины или женщины в определенном возрасте, принадлежащие к определенной группе населения по доходу и т.д. При сегментации по демографическому принципу можно также использовать другие признаки: размер, состав и возраст семьи, некоторые миграционные процессы, жилищные условия и т.д. Например, объем и структура спроса на товары индивидуального потребления (продукты питания, одежда, обувь и т.п.) зависят от численности населения, его половозрастного состава, а спрос на товары общесемейного потребления (мебель, телевизоры, электробытовые товары и т.п.) - от числа семей, их размера, типа жилья и т.д. Важной предпосылкой сегментации является анализ демографических данных. В качестве иллюстрации приведем табл. 2.2 и 2.3.
Таблица 2.2 Распределение населения РФ по возрасту в 1994 г.
| В % к итогу |
|
| Все население |
100,0 |
| В том числе в возрасте, лет: |
|
| 0-14 |
14,2 |
| 15-19 |
14,9 |
| 20-29 |
13,2 |
| 30-49 |
29,8 |
| 50-59 |
12,2 |
| 60-69 |
10,7 |
| 70 и старше |
6,5 |
Таблица 2.3 Распределение населения РФ по доходу в 1994 г.
| В % к итогу |
|
| Все население |
100,0 |
| В том числе со среднедушевым доходом в месяц, тыс. руб. |
|
| до 40,0 |
4,6 |
| 40,1-60,0 |
7,8 |
| 60,1-120,0 |
27,0 |
| 120,1-180,0 |
20,6 |
| 180,1-300,0 |
22,1 |
| 300,1-480,0 |
11,9 |
| 480,1 и выше |
6,2 |
Третьим принципом сегментации является психографический, согласно которому потребители группируются по следующим признакам: принадлежность к определенной социальной группе (классу), тип личности, образ жизни, моральные принципы и т.п. Например, у класса предпринимателей и менеджеров в иерархии потребностей первоочередное место занимают те, которые связаны с престижем, социальным статусом, с комфортными условиями работы и быта и т.д. От психологического типа личности зависит эффективность рекламы и методов стимулирования спроса. Моральный кодекс и уровень дохода предопределяют характер потребностей в сфере отдыха и развлечений.
Четвертым принципом сегментации является группировка потребителей по поведенческому признаку. Среди потребителей выявляются группы, определенным образом реагирующие на маркетинговые мероприятия. Например, разные группы населения в различные сроки признают новый товар. Неодинаково реагируют покупатели на цену и качество товара. Формируются когорты покупателей - приверженцев определенной фирмы или конкретной товарной марки. Для выявления подобных групп проводятся специальные выборочные обследования и опросы.
Иногда сегментация может быть комбинированной. Например, деление рынка по географическому принципу может сочетаться с демографическим, а в каждом таком субсегменте можно выделять группы по поведенческому и психографическому признакам, т.е. используется метод "матрешки". Приведем графический пример комбинации признаков (рис. 2.2).

Рис. 2.2. Комбинация признаков в сегментации (принцип "матрешки")
Таким образом, отказ от функционирования на всем рынке и выбор для сбыта / продажи своих товаров отдельного сегмента дает фирме следующие преимущества:
а) возможность сосредоточить свои ресурсы и маркетинговые усилия на сравнительно узком участке рынка и за счет этого обеспечить интенсивное воздействие на потребителей;
б) относительно слабая конкуренция в пределах сегмента позволяет фирме укрепиться на рынке и получить признание со стороны как потребителей, так и дистрибьюторов, что обеспечивает фирме определенный имидж;
в) коммерческий успех в сегменте способствует накапливанию ресурсов, в том числе инвестиционных фондов, за счет чего фирма может расширить свое присутствие на рынке и перейти от сегментацион-ной стратегии к стратегии множественной сегментации, т.е. выбора не одного, а нескольких сегментов.
Тренировочные задания
1. Какие географические сегменты выберут среднее предприятие с производственно-сбытовой мощностью в 3 млн. ед. в год и малое предприятие с мощностью в 500 тыс. ед.?
Параметры сегментов рынка
| Сегменты |
Емкость рынка, тыс. ед. |
Число конкурентов |
Их доля в |
Средняя норма прибыли (в % к затратам) |
Цена за ед., тыс. руб. |
| 1 2 3 4 |
8500 6000 4500 1000 |
5 6 2 1 |
90 80 40 50 |
50 48 55 42 |
100 95 98 80 |
2. Фирма планирует выпускать наручные часы. Для проведения сегментации рынка использованы четыре признака с двумя градациями каждый: возраст (дети, взрослые), пол (мужской, женский), доход (высокий, низкий), род занятий, точнее, тип труда (умственный, физический).
Определите число сегментов с учетом "стирания" границ между неразличимыми группами. 3. По данным следующей таблицы: Информация о сегментах рынка
| Характеристики сегмента |
Сегменты |
||
| 1 |
2 |
3 |
|
| Размер, тыс. ед. Интенсивность потребления (на одного потребителя) Доля рынка |
1000 3 1/30 |
1800 1 1/20 |
1300 1 1/10 |
маркетолог фирмы должен выбрать один из сегментов по критерию максимума размера сбыта. Примечание. Ожидаемый объем сбыта рассчитывается по формуле: размер рынка * интенсивность потребления * доля рынка.
Тест
1. Что такое сегментация рынка ?
а) группировка предприятий сферы производства по их размеру;
б) выделение квоты покупок на международном рынке;
в) разделение потребителей на однородные группы по демографическому. географическому, психографическому или поведенческому признаку.
Что собой представляет рыночная ниша ?
а) небольшой участок рынка с благоприятными для малого предприятия конкурентными условиями;
б) помещение на городском сельскохозяйственном рынке;
в) часть рынка, где проводится пробный маркетинг.
3. В чем проявляется однородность сегмента ? а) в отсутствии резких колебаний спроса; б) в равномерном распределении торговых предприятий по региону;
в) в одинаковой реакции потребителей на предлагаемый товар или на маркетинговые мероприятия.
4. Перечислите условия эффективности сегментации:
а) размер предприятия:
б) измеримость сегмента, его доступность и выгодность; в) применение статистических методов группировки.
Как малому предприятию завоевать рыночную нишу ?
а) выступить с уникальным товаром или уникальной формой
торгового обслуживания;
б) дать заявку в плановый орган;
в) выпустить товар, аналогичный товару конкурента.
Что такое окружающая среда маркетинга ?
а) совокупность сил и факторов, оказывающих влияние на маркетинговую деятельность фирмы и ее результаты;
б) торгово-сбытовая сеть фирмы, расположенная на периферии;
в) система коммуникационных связей с референтной группой.
7. Микросреда маркетинга - это:
а) силы и факторы, поддающиеся контролю фирмы;
б) малые предприятия, связанные с фирмой;
в) окружающая среда малой фирмы.
Макросреда маркетинга - это:
а) окружающая среда крупной фирмы;
б) силы и факторы, не поддающиеся контролю фирмы;
в) крупные поставщики, клиенты и конкуренты.
9 В чем проявляется маркетинговая близорукость ?
а) в отсутствии маркетинговой службы фирмы;
б) в ориентации маркетинга только на кратковременную выгоду:
в) в выборе поставщиков, территориально отдаленных от фирмы.
1 0. Возрастная структура потребителей относится:
а) к микросреде фирмы;
б) к макросреде фирмы;
в) вообще не относится к окружающей среде маркетинга.
1.3. Разработка стратегии и плана маркетинга
1.3.1. Принципы стратегии маркетинга
Маркетинг - плановый процесс. Вся деятельность маркетинговых служб осуществляется в соответствии с плановыми заданиями, разработанными на основе научных принципов планирования и соответствующего анализа состояния и развития рынка. Маркетинговое планирование базируется на стратегии фирмы, которая основывается на результатах маркетингового исследования и необходимости достижения поставленных целей.
| Стратегия маркетинга (от лат. s trategia) - комплекс базовых решений и принципов, вытекающих из оценки рыночной ситуации и собственных возможностей и направленных на достижение генеральной цели фирмы. |
Выдвижение целей - это сложный процесс, требующий увязки различных элементов маркетинга, четкого понимания границы между желаемым и возможным, уяснения последовательности действий. Для этого строится иерархическое и структурированное древо целей; в его основе - главная, генеральная цель, из которой выводятся цели второй и последующих очередей. Анализ древа целей позволяет выделить наиболее важные, приоритетные направления и сосредоточить на них основные силы маркетинга, чтобы не распылять силы и средства при достижении главной цели.
В древе целей заложены три принципа классификации: по повременным целям, т.е. долгосрочные цели являются основой выдвижения краткосрочных, а последние определяют набор краткосрочных оперативных целей; по функциональным целям, т.е. из целей фирмы (генеральной и основных) вытекают цели маркетинговых подразделений (частные); по сочетанию повременных и функциональных целей.
Обычно в качестве генеральной стратегической цели выдвигают: рост доли рынка данной фирмы или полный захват рынка (экспансионистские цели), выпуск и сбыт нового товара (инновационные цели), получение определенной прибыли (финансово-экономические цели).
Существует множество вариантов стратегического выбора. В разработке стратегии, конечно, очень важно использовать накопленный опыт, но не должно быть шаблона. Ограниченный размер пособия не позволяет дать полный обзор применявшихся стратегий, и мы отсылаем читателя к соответствующей литературе. Одной из распространенных стратегий маркетинга является стратегия роста фирмы. Она имеет два направления: интенсивного роста за счет приемов агрессивного маркетинга - захвата новых позиций на рынке в результате осуществления инновационной политики и политики совершенствования методов сбыта/торговли, сервиса, активной рекламы и т.д., и интеграционного роста - установления мягкого или жесткого контроля над поставщиками (регрессивная интеграция), дистрибьюторами (прогрессивная интеграция), конкурентами (горизонтальная интеграция). С) формах и методах интеграции подробнее будет рассказано далее, в теме, посвященной дистрибьюции.
Большинство фирм придерживаются сегментационной стратегии, т.е. концентрируют свои усилия на одном или нескольких сегментах рынка. Это позволяет выдвинуть некоторые приоритеты (новый товар, новые формы торговли и т.п.) и сконцентрировать на них свои усилия, избегая распыления средств. Сегментация сочетается со стратегией диверсификации, которая открывает перед фирмой возможность маневра, наиболее эффективного использования накопленного потенциала. .
| Диверсификация (от лат. diversus - разный и facere - делать) - отказ доминанты одного продукта в производстве и продаже (или одной формы распределения) и переход на широкую номенклатуру товаров (или множественность форм распределения). |
Диверсификация - антипод узкой специализации. Ориентация на диверсификацию производства и торговли ведет к образованию сложных комплексов, имеющих целью извлечение выгоды от комбинации различных производств и форм распределения. Отказываясь от принципа концентрации усилий на одном продукте или канале сбыта, диверсификационная стратегия снижает степень риска и непредсказуемость рыночной ситуации, способствует укреплению надежности фирмы, обеспечивает дополнительную гарантию стабильности развития. Именно поэтому диверсификация считается одной из наиболее перспективных тенденций в маркетинге. Однако фирма должна соблюдать чувство меры, поскольку чрезмерная и беспорядочная диверсификация ведет к распылению средств и ресурсов и ставит под угрозу состояние финансов фирмы.
Диверсификационный рост фирмы имеет три варианта:
концентрическая диверсификация: новый товар своим внешним видом напоминает прежнее изделие, однако обладает рядом новых свойств или вообще имеет иные характеристики;
горизонтальная диверсификация: на рынок выведены качественно новые товары, однако рассчитанные на прежних клиентов и на удовлетворение прежних потребностей, на более высоком уровне;
конгломератная диверсификация: фирма выходит на совершенно новый рынок, выпуская товар, который не имеет ничего общего со старым, либо переходит в другую отрасль, рассчитывает на новых клиентов.
Выбор той или иной стратегии зависит от размера фирмы. Если крупные фирмы придерживаются стратегии множественной сегментации и ориентируются на ту или иную форму диверсификации, то средние фирмы предпочитают одномерную (максимум двумерную) сегментацию и ориентируются на принцип специализации, а малые фирмы часто выбирают путь симбиоза с крупной фирмой. У средних и небольших фирм есть преимущество перед крупными: они более гибки и легче приспосабливаются к колебаниям рынка. Поэтому они охотно принимают концепцию пяти "пи" (от англ. - р), состоящую из пяти управленческих элементов: people (люди, человеческий фактор), product (товар), price (цена), place (место, т.е. товародвижение, распределение товара), promotion (продвижение, имеется в виду формирование образа товара в представлениях потребителя). Стратегия, базирующаяся на данной концепции, называется комплексным маркетингом, или маркетингом - микс. Ее суть заключается в том, что управленческий комплекс маркетинга состоит из пяти элементов. Небольшой фирме не обязательно использовать весь комплекс маркетинговых инструментов, она может сосредоточиться на одном или нескольких, имея возможность выбора и комбинации, концентрации на том направлении, на котором фирма располагает преимуществами. В табл. 3.1 перечислены основные характеристики каждого направления.
Итогом разработки товара должно быть его позиционирование на рынке, т.е. обеспечение ему конкурентоспособного места на рынке в соответствии с разработанной стратегией. Для этого используется весь комплекс мер по продвижению товара.
Таблица 3.1 Комплекс маркетинга
| Люди (кадры, клиенты) |
Продукт (товарная политика) |
Цена (ценовая политика) |
Место (дистрибьюция и товародвижение) |
Продвижение (информация и стимулирование рынка) |
| Кадровый состав фирмы и дистрибьюторов Имидж и квалификация менеджеров фирмы, дистри-бьюто-ров и конкурентов Клиентура (психографические и поведенческие характеристики) |
Свойства товара Качество и конкурентоспособность Упаковка Ассортимент Марка Сбыт и продажа Торговое и послепродажное обслуживание Товарная политика Разработка нового или модифицированного товара |
Ценовая политика Уровень и структура цены Динамика цены и уценка Наценки, скидки, бонусы, льготы |
Сегментация Диверсификация Дистрибьюция Формирование каналов товародвижения Интеграция Логистика: управление транспортировкой и складированием |
Позиционирование товара Реклама Коммуникационная система (прямой маркетинг и т.д.) Связи с общественностью (public relations, publicity) ФОССТИС Сервис |
1.3.2. Выбор стратегии маркетинга
Выбор стратегии маркетинга исходит из выдвинутых целей и опирается на изучение рыночной ситуации и объективную оценку собственных возможностей фирмы в сравнении с положением конкурента. Так, разработка стратегий регулирования спроса вытекает из характеристики сложившегося типа спроса. В табл. 3.2 приводится классификация стратегий регулирования спроса на разных этапах жизненного цикла товара (об этапах этого цикла подробнее на стр. 63 - 64).
Таблица 3.2 Стратегии регулирования спроса на этапах ЖЦТ
| Виды спроса |
Цели маркетинга |
Тип стратегии |
Инструменты маркетинга |
Этапы ЖЦТ |
|
| Потенциальный (скрытый) |
Развить в реальный, переориентировать со старого товара на новый |
Развивающий (креативный) маркетинг |
Интенсивная реклама, скидки с оптовой цены, льготные розничные цены, выставки-продажи, пробный маркетинг, презентации |
Выведения на рынок |
|
| Негативный |
Создать спрос заново, переубедить потребителей |
Конверсионный маркетинг |
Интенсивная реклама, пробный маркетинг, выставки-продажи, презентации, модернизация товара или его упаковки, совершенствование методов продажи, смена дистрибьютора |
Выведения на рынок |
|
| Отсутствующий |
Вызвать интерес к товару |
Стимулирующий маркетинг |
Интенсивная реклама, пробный маркетинг, выставки-продажи , презентации, совершенствование методов продажи, снижение цены, скидки, льготы |
Выведения на рынок |
|
| Цикличный (сезонный и рекреационный) |
Сбалансировать колебания спроса с предложением, сгладить колебания или адаптироваться к ним |
Синхромарке-тинг |
Сезонные и праздничные распродажи, гибкое изменение цены, специфический сервис, выездная и выносная торговля в местах отдыха и туризма, целенаправленные рекламные кампании, сезонная синхронизация поставок |
На всех этапах |
|
| Полноценный |
Стабилизировать спрос |
Поддерживающий маркетинг |
Мягкая, поддерживающая реклама, широкодоступная цена, оперативная реакция на неустойчивость рынка, распродажа неходовых товаров, постоянная оценка насыщенности рынка |
Зрелости (стабилизации) |
|
| Чрезмерный |
Ограничить, сократить спрос |
Демаркетинг |
Отсутствие рекламы, рост цены, френчайзинг марки, патентов, лицензий, ноу-хау и т.д. |
Роста |
|
| Сокращающийся |
Восстановить (реанимировать) спрос |
Ремаркетинг |
Интенсивная реклама, снижение цен, ценовые скидки и льготы, активный сервис, продажа в кредит, поиск новых сегментов |
Спада |
|
| Виды спроса |
Цели маркетинга |
Тип стратегии |
Инструменты маркетинга |
Этапы ЖЦТ |
| Иррациональный (его объект - табак, алкоголь) |
Ликвидировать или существенно ограничить спрос |
Контрмаркетинг |
Антиреклама, запрещение или ограничение продажи, уголовная ответственность за продажу, пропаганда здорового образа жизни |
На любом этапе |
| Престижный |
Ограничить круг клиентов |
Изощренная реклама, сверхвысокие цены, специфический круг товаров суперкласса, суперсервис |
На любом этапе |
В зависимости от типа спроса, выявленного в результате маркетингового исследования, и целей, выдвинутых в процессе разработки стратегии, выбирается соответствующая стратегия и определяются соответствующие инструменты маркетинга.
1.3.3. Стратегическое моделирование
Разработка маркетинговой стратегии - сложный процесс, требующий проведения глубоких исследований состояния и развития рынка, а также оценки позиции фирмы, которую она занимает на рынке. Решается вопрос о поведении фирмы на рынке: стратегия атаки
(расширение операций на рынке, увеличение своей доли на рынке, дополнительные инвестиции); стратегия обороны
(сохранение занятых позиций, отказ от дальнейших инвестиций); стратегия отступления
(сокращение операций на рынке, уход с рынка). Разрабатывается соответствующая модель поведения (маркетинговая матрица).
| Маркетинговая стратегическая матрица - пространственная модель выбора фирмой определенной стратегии, которая строится с помощью системы координат. |
Матрица, или стратегическая решетка, образуется по двум признакам (факторам) пересечением координат, которые выражают количественные или качественные характеристики признаков. В результате образуются поля (квадранты, стратегические сектора), отражающие положение фирмы на рынке и позволяющие адекватно выбрать стратегию.
Матричный метод был предложен в 50-х гг. американским экономистом
И. Ансоффом,
построившим матрицу возможностей по товарам/рынкам. в которой в качестве координат он использовал характеристики товара и рынка (старого или нового). В зависимости от комбинации характеристик факторов рекомендовалась стратегия: старый товар на старом рынке - стратегия проникновения на рынок,
новый товар на старом рынке - стратегия развития рынка,
старый товар на новом рынке - инновационная
стратегия, новый товар на новом рынке -стратегия диверсификации.
Метод получил широкое развитие. Пользуется известностью и матрица БКГ (Boston Consulting Group), построенная по двум факторам - темпам развития рынка (отрасли) и доле рынка, занимаемой фирмой. Фирма, имеющая значительную долю рынка и выступающая на перспективном, быстроразвивающемся рынке, занимает позицию под шифром "звезда", которая обеспечивает возможность наступательных операций на рынке; эта же фирма, попавшая в условия неперспективного рынка, старается сберечь свои ресурсы, сохранить место на рынке (позиция "дойная корова"); фирма, обладающая небольшой долей рынка, попадая на перспективный рынок (позиция "трудный ребенок"), имеет возможность сохранить свои позиции и обеспечить себя прибылью, а получив дополнительные ресурсы - перейти в позицию "звезды"; такая же фирма, попав на малоперспективный рынок (позиция "собака"), вынуждена будет уйти с рынка.
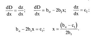
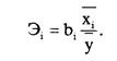
Матрица БКГ была принята за образец многими маркетологами. Она постоянно совершенствовалась и видоизменялась (в том числе и самой БКГ). В частности, увеличивалось число полей (обычно до 9-16), что позволило давать долее дифференцированные рекомендации. Так, в стратегии отступления выделялись: немедленный уход с рынка, медленный уход, обеспечивающий получение прибыли, сокращение доли на рынке до определенного минимума и т.д. В модель вводились другие факторы, наконец, была осуществлена идея построения матрицы не по отдельным, нередко не самым важным факторам, а по комплексу факторов. Для этой цели из характеристик комплексов определялась многомерная средняя. Чаще всего выводилась средняя балльная оценка значения каждого фактора (обычно экспертным путем):

где - средняя характеристика комплекса факторов;
Bi - балл, присваиваемый i-му фактору в соответствии с его конкретной количественной или качественной характеристикой;
Fi-ранг, или "вес", каждого i-го фактора по степени его действия на результат, присваиваемый экспертным путем.
Примерно такая методика использовалась консалтинговыми фирмами Шелл и Мак-Кинси (Shell & McKinsey). Приведем следующий алгоритм (схему) построения стратегической матрицы (рис. 3.1). Обозначим комплекс факторов рыночной ситуации символом А, а комплекс факторов собственных возможностей фирмы - В, стратегию атаки - С 1, стратегию обороны - С2, стратегию отступления - СЗ. Ограничимся двумя качественными характеристиками факторов: благоприятная/сильная (1) и неблагоприятная/слабая (2).

Рис. 3.1. Алгоритм построения стратегической матрицы
Фирма, попавшая по комбинации факторов в квадрант а, может использовать наступательную стратегию с низким уровнем риска (РН): фирмы, попавшие в квадранты b и с, могут придерживаться оборонительной стратегии; в квадранте d не остается ничего другого как выбирать стратегию отступления, так как продолжение операции связано с высоким уровнем риска (РВ).
Матричный способ является составной частью анализа хозяйственного портфеля фирмы (портфолио-анализ). В разработке маркетинговой стратегии фирмы находит также применение U-образная модель Портера, которая доказывает, что с помощью концентрированных маркетинговых усилий фирма, занимающая небольшую долю на рынке, может обеспечить себе не менее высокую эффективность инвестиций и текущих затрат, чем крупная фирма.
1.3.4. Основные принципы маркетингового планирования
План маркетинга - это схема маркетинговой деятельности на определенную перспективу, обладающая своей структурой и иерархи-ей, это ориентир, направляющий и координирующий рыночную деятельность всех подразделений фирмы.
| План маркетинга - документ, описывающий маркетинговые действия на определенную перспективу, увязывающий потенциал фирмы с конкретными задачами маркетинга и нацеленный на достижение стратегической цели. |
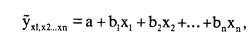
Периодичность плана бывает оперативной (краткосрочной), среднесрочной и долгосрочной (перспективной). При этом обязательна увязка долгосрочных планов с краткосрочными и оперативными. План маркетинга является составной частью бизнес-плана и должен быть с ним увязан. Малые фирмы часто вообще не составляют планов, ограничиваясь выдвижением целей своей деятельности. План маркетинга увязывается с хозяйственным портфелем фирмы, и в частности с портфелем заказов. Программа разработки товара, рассмотренная ранее, органично входит в план маркетинга. Планом предусматривается раздел "Опасности и возможности", включающий прогнозные оценки вариантов (сценариев) ситуаций, которые могут возникнуть на рынке при реализации товара. На основе плана разрабатывается конкретная программа маркетинговых действий, разделы которой доводятся до каждого конкретного исполнителя. В план маркетинга включаются контрольные цифры по каждому из ведущих показателей плана. К основным показателям плана маркетинга относятся: доля рынка, объем и структура сбыта/продажи товара (товарооборота), цены, количество и состав дистрибьюторов и клиентов, инвестиции и срок их окупаемости, издержки, валовая и чистая, прибыль, рентабельность и т.д.
Составление плана предусматривает следующую последовательность: ситуационный анализ, включающий моделирование и прогнозирование рыночных процессов и завершающийся выдвижением целей: маркетинговый синтез, включающий оценку выдвинутых целей и завершающийся принятием решений; стратегическое планирование, тактическое планирование, программа маркетинга. Кроме того, в план маркетинга входит его бюджет, т.е. совокупные расходы на осуществление маркетинговой деятельности. Бюджет маркетинга разрабатывается в целом по фирме и по каждому маркетинговому подразделению.
Существуют три подхода к маркетинговому планированию: снизу вверх, когда каждое подразделение маркетинговой службы самостоятельно разрабатывает план, а руководство сводит и координирует соответствующие разделы; сверху вниз, когда план разрабатывается централизованно и направляется конкретным исполнителям; цели -вниз, план - наверх, когда руководство разрабатывает и доводит до исполнителей только стратегические установки и глобальные цели, а исполнители самостоятельно готовят плановые мероприятия (за руководством остается функция сводки и координации).
Составным элементом маркетингового планирования является контроллинг.
Он включает как собственно контрольные функции (оценку и анализ уровня выполнения плана, аудиторские проверки маркетинговой деятельности и исполнения бюджета маркетинга, характеристику ее эффективности и т.д.), так и процесс постоянного отслеживания рыночной ситуации с целью гибкого внесения коррективов в первоначальную программу маркетинговых действий.
| Контроллинг (маркетинговый) - комплексная система оперативной оценки эффективности маркетинговой деятельности с целью корректирования первоначальных планов с учетом изменения рыночной ситуации. |
| Тренировочные задания |
Ответ/Решение |
| 1. На рынке выступают три крупные фирмы: фирма А специализируется на одном товаре. Конкурентов не имеет. Емкость рынка примерно соответствует производственно-сбытовому потенциалу фирмы. Прибыль стабильна и достаточна; фирма В выступает на двух рынках с различными товарами. Конкуренция умеренная. Дальнейшей перспективы расширения доли рынка не имеется. Портфель заказов заполнен на 2/3. За счет роста прибыли образовались значительные инвестиционные резервы; фирма С выступает на восьми сегментах с различными товарами. На четырех из них идет ожесточенная конкурентная борьба. Прибыль недостаточна для дальнейшего развития дела. Четыре сегмента приносят прибыль, а другие четыре -убыток. Оцените степень диверсификации в каждой фирме, внесите свои предложения по разработке стратегии каждой фирмы. 2. Тестирование параметров рыночной ситуации и собственных возможностей трех фирм дало следующие результаты: фирма 1 имеет недостаточный (слабый) потенциал и выступает на неперспективном рынке; фирма 2 обладает значительным (сильным) потенциалом, но также выступает на неперспективном рынке; фирма 3 обладает сильным потенциалом и выступает на развивающемся, перспективном рынке. На основе приведенных фактов с помощью стратегической матрицы покажите позицию фирм на рынке, оцените их риск и рекомендуйте каждой фирме соответствующую стратегию поведения на рынке. |
|
| Тренировочные задания |
Ответ/Решение |
3. Разработайте план чистой прибыли и рентабельности от реализации товаров на 6-й период времени. Используйте для этого следующие данные:
а) прогноз товарооборота и условно-постоянных издержек обращения (методом экстраполяции по линейной модели тренда y=a+bt). Исходные данные приведены в таблице, в млн. руб.
| Периоды (t) |
1 |
2 |
3 |
4 |
5 |
| Товарооборот Постоянные издержки |
100 4 |
118 6 |
142 7 |
160 11 |
185 12 |
б) переменные издержки обращения в среднем составляют 7% к товарообороту;
в) наценка (валовый доход, реализованное наложение) - 25% к товарообороту;
г) налоги и прочие платежи - 40% от суммы валовой прибыли.
Примечание. Для расчета целевой прибыли используйте формулы:
валовая прибыль=реализованное наложение - издержки; чистая прибыль=валовая прибыль - налоги и прочие платежи.
Тест
Стратегия маркетинга - это:
а) устав предприятия;
б) план и программа маркетинговой деятельности;
в) комплекс базовых решений и принципов, вытекающих из расстановки и соотношения сил.
Стратегия интенсивного роста фирмы заключается:
а) в расширении позиции на рынке за счет осуществления инновационной политики и совершенствования методов сбыта/продажи;
б) в узкой специализации деятельности фирмы;
в) в выдвижении древа целей.
Стратегия интеграционного роста фирмы состоит:
а) в увеличении объема продажи товаров;
б) в отказе от доминанты одного продукта в производстве;
в) в установлении мягкого или жесткого контроля над поставщиками, дистрибьюторами или конкурентами.
4. Стратегия диверсификации состоит:
а) в расширении номенклатуры товаров или форм распределения;
б) в применении методов агрессивного маркетинга;
в) в захвате новых позиций на рынке.
Комплексный маркетинг (маркетинг-микс) - это:
а) использование маркетингового исследования для обоснования стратегических решений;
б) объединение маркетинговых усилий производителя и дистрибьютора;
в) комбинация инструментов маркетинга и их концентрация на том направлении, на котором фирма располагает преимуществом.
Цель стратегии синхромаркетинга заключается:
а) в сбалансировании цикличных колебаний спроса/предложения;
б) в синхронизации времени поставки и розничной продажи;
в) в изучении времени товарного обращения.
Что собой представляет стратегическая матрица?
а) использование математического матричного метода;
б) пространственная графическая модель позиции фирмы на рынке;
в) графическую модель спроса и предложения.
8. Какая позиция в матрице БКГ соответствует стратегии атаки?
а) "дойной коровы"; б) "собаки"; в) "звезды".
9. Какая позиция в матрице БКГ соответствует стратегии отступления?
а) "звезды";
б) "собаки";
в) "трудного ребенка".
В чем суть маркетингового контроллинга?
а) в расчете контрольных цифр плана;
б) в анализе выполнения плана, коррекции плана в соответствии с изменениями рыночной ситуации, а также в организации аудиторских проверок;
в) в организации маркетинговой службы контроля.
Товарная политика маркетинга фирмы
1.4.1. Понятие товара
Объектом рыночной деятельности является товар. Главная цель продавца (производителя, торгового посредника) - продать товар, удовлетворить спрос покупателя и в результате получить прибыль. Главная цель потребителя - купить товар и в конечном результате удовлетворить собственные потребности. Товар - важнейшая категория маркетинга.
Товаром называется продукт человеческой или природной деятельности, а также услуга, обладающие полезными свойствами и предназначенные для продажи
Продуктом могут быть материально-вещественные предметы (изделие, сооружение, здание, земельный участок, природное сырье, представитель растительного и животного мира и т.д.), а также нематериальные формы результатов трудовой деятельности (интеллектуальный продукт - идея, научное и художественное произведение, патент, лицензия, информация и т.п., коммерческий продукт -предприятие, марка товара, наименование и доброе имя фирмы и т.п.).
Услуга представляет собой действие, направленное на удовлетворение определенных потребностей. Как правило, услуга не создает материальных ценностей, она неосязаема. Некоторое исключение - ремонтные работы, восстанавливающие первоначальный материальный товар, а также услуги индивидуального пошива. Услуга неосязаема, она неотделима от своего производителя и орудия ее создания. Услуга проявляется в виде какого-то эффекта, результата или выгоды, которые получает потребитель. Очень часто производство и потребление услуги неразделимы во времени и в пространстве.
Таким образом, товар имеет две характеристики: полезность и способность продаваться (обмениваться на деньги). Отсутствие хотя бы одного из признаков свидетельствует о том, что явление или процесс товаром не являются. Например, помощь при стихийных бедствиях вручение подарков являются не продажей, а безвозмездной передачей; соответствующие продукты и услуги - не относятся к категории товаров. Не является товаром продукт собственного труда, использованный для своих нужд. Например, потребление семьей картофеля, выращенного на личном огороде, относится к категории нетоварного.
Товарная масса состоит из товарных единиц , т.е. из обособленных величин, обладающих всеми признаками и свойствами товара. Это минимальная величина, на которую можно разделить товарную массу без потери присущих ей свойств. Кратким определением товара является артикул - символ, имя собственное (название - шифр) отдельной разновидности товара. Товарные единицы объединяются в товарные группы по признаку потребительской или технологической общности либо по характеру использованного сырья и отраслевому происхождению. Совокупность всех товарных групп, предлагаемых фирмой называется товарной номенклатурой.
Отдельный товар, единый по своему потребительскому назначению, имеет некоторое число видов, подвидов, разновидностей, отличающихся друг от друга незначительными потребительскими свойствами (конкретная модель, марка, размер, цвет, цена, и т.п.), каждый из которых носит название ассортиментной позиции, а их совокупность - ассортимента. Ассортиментной группой считается совокупность ассортиментных позиций, объединенных признаками идентичности принципов функционирования (например, ассортимент телевизоров) или общности продажи одним и тем же категориям потребителей (детская одежда), или продажей через одну и ту же группу торговых предприятий (аптечные товары), или торговлей в определенном диапазоне товаров (ассортимент дешевых товаров).
Широкий ассортимент представляет собой предпосылку дифференцированного покупательского выбора и, следовательно, является побудительным стимулом спроса. В практике маркетинга используются понятия основного ассортимента, т.е. той совокупности товаров, которая обеспечивает большую часть прибыли; дополнительного ассортимента, куда входят сопутствующие товары и товары, дополняющие основной ассортимент: углубленного ассортимента, включающего товары, удовлетворяющие уникальные желания потребителей, а также различные модификации основных товаров. Таким образом, номенклатура товаров представляет собой сложную, иерархически построенную структуру, а формирование ассортимента - маркетинговый управленческий процесс.
Ассортимент имеет несколько характеристик: широту (ширину) -численность ассортиментных групп; глубину - число вариантов каждого товара в рамках ассортиментной группы; гармоничность - степень близости между товарами различных ассортиментных групп с точки зрения общности конечного использования, требований производства и торговли; насыщенность - общее фактическое число товаров, представленное в товарной номенклатуре.
Существует множество товаров одинакового потребительского назначения и близких по внешнему виду, но выпускаемых различными конкурирующими фирмами. Необходим четкий опознавательный знак, позволяющий потребителю ориентироваться в мире товаров. Роль такого знака играет марка товара.
Марка (товарный знак) - это символ, термин, рисунок или их сочетание, предназначенные для идентификации товара.
В марке объединяются два самостоятельных элемента: фирменная эмблема, т.е. рисунок или окраска, позволяющие отличать одну марку от другой, и марочное название (логотип) - специально разработанное, оригинальное начертание слов, букв, представляющих полное или сокращенное название фирмы или товара, их девиз, т.е. ту часть марки, которую можно прочесть. Как правило, марка используется в рекламных целях. Покупатель связывает конкретную марку с определенной фирмой и рассматривает ее как гарантию высокого качества товара. Обычно цена фирменных (марочных) товаров на 15-20% выше, чем немарочных. Своеобразным дополнением (иногда - заменой) фирменной марки служит фирменная упаковка. Она отражает неординарность покупки, ее особое предназначение. Роскошная упаковка служит признаком престижности покупки, но в массе упаковка должна быть простой, без маркетинговых излишеств, поднимающих цену.
Различаются два вида марок: фабричная марка, или марка производителя, и торговая мрака (марка дистрибьютора или дилера). Марка товара сама может быть предметом купли-продажи или долгосрочной аренды, когда крупная, известная фирма продает право помещать свою марку на изделиях менее известной фирмы. Например, в 1994 г. марка компании "Кока-Кола" оценивалась почти в 36 млрд. долларов, а марка фирмы "Кодак" - в 10 млрд. долларов и т.д.
Марка товара регистрируется в государственных органах и получает юридическую защиту. Владельцу предоставляется право помечать свои товары знаком R в круге (в некоторых странах - ТМ), что подтверждает его регистрацию и международную правовую защиту. В Российской Федерации действует Закон "О товарных знаках, знаках обслуживания и наименованиях мест происхождения товаров", принятый в 1992 г.
1.4.2. Свойства и классификация товаров
Каждый товар обладает потребительской полезностью, т.е. может удовлетворять какую-либо потребность или несколько потребностей. Товары различаются наборами полезных свойств, однако и одноименные товары, выпускаемые разными фирмами, и различные модификации одного и того же товара имеют неодинаковый уровень качества. Естественно, это отражается на покупательском спросе. Поэтому одной из ведущих проблем маркетинга является управление качеством товара. Международный стандарт ИСО 8402-86 определяет качество товара следующим образом.
Качество - совокупность свойств и характеристик продукции или услуги, которые придают им способность удовлетворять обусловленные или предполагаемые потребности.
Существует определенное противоречие между понятием качества в глазах потребителя и в представлении производителя. Если для производителя главным является соблюдение технологических параметров и требований надежности, безопасности, срока безотказного функционирования и т.д., то для потребителя, наряду с чисто функциональными признаками качества, наиболее важным часто являются качества психологического и эстетического порядка. Цель маркетинга
- примирить оба этих подхода, обеспечивая примат требований потребителей.
На конкурентном рынке качества и свойства товара проявляются в форме конкурентоспособности.
Конкурентоспособность товара выражается возможностью товара быть проданным на рынке в присутствии конкурирующих товаров.
Чем выше качество товара, тем, как правило, выше его цена. Это явное противоречие. Некоторые расчеты показывают, что расходы на обеспечение необходимого качества должны составлять не менее 15-20% совокупных затрат. Маркетинг призван преодолеть это противоречие, или ограничивая набор качественных свойств и снижая цену, или же убеждая потребителя, что высокая цена окупается высоким качеством изделия.
Качество в известном смысле - мера полезности. В маркетинговой литературе распространена точка зрения, что продается не товар как таковой, а те полезные свойства, которые нужны потребителю. Например, продавая настольную лампу, мы продаем удобное освещение как элемент комфорта. Полезные свойства товара - инструмент маркетинга, с помощью которого можно регулировать спрос. Классификация полезных свойств представлена на рис. 4.1.

Рис. 4.1. Основные потребительские свойства товара
К физическим свойствам товара относятся материальные характеристики: форма, вес, объем, цвет, вкус, запах, прочность, надежность, срок службы, технологические параметры, материал, из которого изготовлен продукт. Часто форма товара обусловлена технологическим процессом или функциональным назначением товара. Однако некоторые физические свойства товара (форма, цвет, запах, вкус, фактура материала и т.д.) тесно связаны со следующей группой свойств - с эстетикой товара.
Эстетические свойства товара в известной мере субъективны, они зависят от уровня потребительской культуры, исторических, национальных, возрастных особенностей, воспитания, образа жизни. К этим свойствам относятся: дизайн - внешний облик продукта, его эстетическое совершенство и привлекательный вид, и стайлинг - художественное конструирование, соответствие изделия определенному стилю, какому-либо направлению в моде, отражающему пристрастия части потребителей, красота, изящество, отделка и т.д.
Товар должен привлекательно выглядеть, - гласит одна из главных заповедей маркетинга.
К этой же группе свойств относят тесно связанную с эстетикой эргономику, т.е. приспособленность товара к потребителю, удобство и безопасность в использовании. Эргономичность товара зависит, кроме того, от времени и сложности ухода за изделием в процессе его эксплуатации потребителем. Производитель стремится обеспечить низкий уровень его трудоемкости и до предела упростить уход за товаром. В этом случае на товаре или его упаковке проставляется фраза: "Легко ухаживать".
Товар должен быть безопасен и удобен в эксплуатации, - гласит другая заповедь маркетинга
Функциональные свойства обеспечивают удовлетворение единственной или нескольких потребностей и отражают предназначение товара, его полезность. Ради этих свойств товар приобретается потребителем. Как бы ни был удачно оформлен товар, если, он плохо выполняет свою главную функцию, он не будет пользоваться спросом. Например, безупречный по дизайну аудио-плеер вряд ли будет продан, если он плохо воспроизводит запись.
В отличие от функциональных, заложенных в товар производителем, символические качества выражают те свойства, которые им приписывает сам потребитель. Товар для данного покупателя имеет ценность не потому, что обладает действительно полезными потребительскими качества, а потому, что он придает потребителю определенный социальный статус, позволяет занять в собственных глазах или в общественном мнении более высокую ступень в социальной иерархии. Иначе говоря, товар обладает престижной ценностью, удовлетворяет потребность покупателя в самовыражении и самоуважении (занимает "верхние этажи" пирамиды потребностей; см. раздел 1.5). Например, г-н N приобретает дорогой полугоночный автомобиль не потому, что его привлекает скорость, а из-за того, что он "не по карману" людям, стоящим на ступень ниже его по социальному положению. Покупка призвана обозначить его социальный статус.
Экономические свойства охватывают его цену, экономичность (например, затраты энергии на единицу эффекта при его эксплуатации, экономия времени при использовании данного изделия по сравнению с аналогичным, но менее производительным изделием и т.п.). Именно на эти свойства товара ориентируется определенная группа потребителей (так называемые "экономные" покупатели). Некоторые из них готовы пожертвовать какими-то другими качествами в пользу данного. Поэтому в маркетинге часто практикуется параллельный выпуск эталонного товара - с полным набором свойств, но упрощенных видов, с сокращенным набором свойств и поэтому более дешевых.
Покупатель всегда прав - заповедь маркетинга.
К последней категории свойств товара относятся дополнительные. Их набор связан с понятием сервиса. В него входят обязательное предпродажное и послепродажное обслуживание: наличие инструкции к товару, гарантия безотказной работы в течение определенного времени, дополнительное оборудование и запасные части, продажа сопутствующих товаров, монтаж изделия, ремонт и т.д. К ним можно добавить манипуляцию товарами: обеспечение их сохранности, разделение товара на части (порции), удобные для потребления или приспособленные к конкретному способу транспортировки. Эти свойства служат средством привлечения к товару внимания потребителей.
Составным элементом товара является упаковка - средство или комплекс средств, обеспечивающих защиту товара от влияния внешней среды и связанных с этим потерь и повреждений, а также облегчающих процессы транспортировки, хранения и реализации. Кроме того, упаковка служит целям экологической охраны. Самостоятельным видом упаковки является тара - емкость для некоторого количества товарных единиц.
Товары могут быть классифицированы по ряду признаков. Наиболее употребительным является признак товарной специализации, который выводится из потребительского назначения товаров:
• продукты производственного назначения - сооружения, оборудование, сырье, материалы, полуфабрикаты, готовая продукция, включая отдельные виды материалов, комплектующие изделия, детали;
• услуги производственного назначения - услуги по эксплуатации и ремонту, монтаж и установка оборудования, транспортные, деловые, консалтинговые услуги (в том числе маркетинговые);
• продукты потребительского назначения
- продукты питания, в том числе
мясо - рыбные и молочные продукты и жиры (белковые продукты)
, сахар и хлебопродукты, включая крупяные изделия, и картофель (углеводные продукты)
, овощи, ягоды, фрукты, бахчевые (витаминозные продукты)
и прочие продовольственные товары; алкогольные напитки и табачные изделия (продукты иррационального спроса)
; непродовольственные товары, в том числе ткани, одежда, обувь (предметы гардероба)
, мебель, посуда, электробытовые товары, радио - телевизионные устройства и бытовая электроника, музыкальные инструменты, игрушки, книги и канцелярские изделия (предметы культурно-бытового назначения и домашнего обихода)
, автомобили, мотоциклы и велосипеды (транспортные средства)
, предметы гигиены и санитарии, парфюмерия, галантерея, топливо и строительные материалы, ювелирные изделия и прочие непродовольственные товары;
• услуги потребительского назначения - бытовые, жилищно-коммунальные, транспортные, медицинские и спортивно-оздоровительные, гостиничные, туристские, развлекательные, культурно-просветительские, образовательные, юридические и др.
У различных товаров неодинаков цикл потребления. Большинство продовольственных товаров относится к категории разового, или моментного, потребления. У них высокая частота возобновляемости спроса. Некоторые, такие как хлеб, приобретаются практически ежедневно. Другие, как например мясопродукты, приобретаются впрок: они закладываются в холодильные установки и расходуются постепенно в течение какого-то отрезка времени. Длительность этого промежутка зависит от размера семьи, ее покупательных возможностей, емкости холодильника, особенности продукта. Этот процесс должен учитываться маркетингом при планировании нагрузки на магазин. Какая-то часть потребителей с высоким достатком может позволить себе питаться экологически чистыми продуктами, не подвергавшимися замораживанию, и возобновлять покупки каждый день. Такие продукты называются товарами повседневного спроса, или товарами текущего спроса. Из них можно выделить товары немедленного потребления, к которым относится обеденная продукция ресторанной индустрии, а также некоторые услуги.
Непродовольственные товары, как правило, имеют более длительный цикл потребления и значительно меньшую частоту покупок. Из них можно выделить расходуемые изделия (парфюмерия, предметы гигиены, аптечные товары, фотоматериалы, аудио- и видеокассеты. галантерея и т.п.), а также мелкие предметы туалета, достаточно часто возобновляемые. Эти товары относят к категории товаров постоянного спроса. Мебель, посуда, большинство товаров культурно-бытового назначения используются длительное время, их называют товарами длительного пользования. Их возобновляемость зависит от факторов физического и морального износа и от дохода покупателей. Некоторые дорогостоящие или уникальные товары приобретаются единожды и относятся к категории товаров особого, или разового, спроса.
Товары можно еще классифицировать по их роли в маркетинге, в системе стимулирования спросом и управления ассортиментом. Так, выделяются товары-лидеры, обычно новинка, пользующиеся повышенным спросом. Они создают рекламу фирме в целом и, следовательно, способствуют расширению продажи остальных товаров. Продажа некоторых товаров влечет за собой спрос на сопутствующие товары (товары-спутники), например фотоаппаратура и фотопленка, фотобумага, другие фотоматериалы и т.д. Их называют товарами-локомотивами. Кроме основного ассортимента в магазине необходим дополнительный - менее важные, второстепенные товары. Их следует иметь для того, чтобы не вынуждать потребителя обращаться к другой фирме. Такие товары называются тактическими товарами (товарами поддержки, дополнительными товарами).
Особый интерес для тактики маркетинга представляют "зазывные" товары - особо дешевые товары (продаваемые иногда в убыток), рассчитанные на то, чтобы завлечь потенциального покупателя, у которого низкие цены на данный товар психологически ассоциируется со всем ассортиментом магазина. Как правило, покупатели не удерживаются от дополнительных покупок, достигающих, по некоторым подсчетам, 20-25% планируемых.
| Тренировочные задания |
Ответ/Решение |
| 1. Предложите мероприятия по разработке товара и выводу его на рынок; оцените качество товара (по Вашему выбору) экспертным путем с помощью десятибалльной шкалы. Примечание. Каждому свойству товара экспертным путем присвойте ранг, соответствующий значению данного свойства в принятии решения на покупку; сумма рангов должна быть приравнена к 1. 2. Оцените потребительскую привлекательность продукта (по Вашему выбору) по десятибалльной шкале исходя из следующих критериев: а) назначение (функциональность, многофункциональность) и степень полезности товара; б) качество материала, из которого изготовлен продукт (натуральный продукт, заменитель и т.д.); в) эстетичность и дизайн продукта; г) соответствие моде, престижность; д) удобство в использовании и уходе (хранении); е) соответствие цены качеству товара, доступность цены. 3. В фотомагазине состоялась выставка-продажа. Была предложена новинка - электронный фотоаппарат с устройством демонстрации снимков на экране телевизора. В широком ассортименте продавались обычные фотоаппараты, а также сменные фотообъективы, штативы, фотопленка, фотобумага и т.п. Была организована обработка пленок и печатание снимков со скидкой в 25°/о при предъявлении чека на купленный в магазине фотоаппарат. По низкой цене продавался фотоаппарат "для школьников младших классов". Укажите, какие товары относятся к классу товаров-лидеров, какие - к товарам-локомотивам, товарам поддержки, зазывным товарам. |
Тест
1. Дайте определение товара:
а) вещь, обеспечивающая комфортные условия существования;
б) продукт или действие, обладающие полезностью и предназначенные для продажи;
в) продукт собственного производства, потребленный в своем домашнем хозяйстве.
2. Что такое товарная марка?
а) почтовый знак;
б) денежная единица ФРГ;
в) средство индентификации товара.
3. Что такое логотип?
а) тип товара, который находится на витрине магазина;
б) составной элемент марки товара, который можно прочесть.
Разработка товара заключается:
а) в создании технологического проекта товара;
б) в принятии решения на выпуск товара, объединяющий технологические, экономические и маркетинговые действия;
в) в деятельности органов надзора за качеством товаров.
5. Что такое товарная единица?
а) способ подсчета на товарном чеке при покупке продуктов;
б) цена товара;
в) обособленная величина, обладающая всеми признаками и свойствами товара; минимальная величина, на которую можно разделить товарную массу без потери присущих ей свойств.
Что собой представляет ассортимент?
а) виды, подвиды, разновидности товара, отличающиеся друг от друга незначительными потребительскими свойствами;
б) список товаров, вывешиваемый в магазине;
в) перечень магазинов различной специализации.
7. Как понимать качество товара?
а) как свойство товара, установленное производителем;
б) как совокупность свойств и характеристик, которые придают товару способность удовлетворять потребности;
в) как символ товара.
8. В чем проявляется конкурентоспособность товара?
а) в низкой цене;
б) в красивой упаковке;
в) в способности быть проданным на конкурентном рынке.
9. Что такое услуга как товар?
а) сервис;
б) полезное действие, обмениваемое на деньги;
в) продукт, обмениваемый на деньги.
Что относится к нематериальной форме продукта?
а) интеллектуальный продукт (идея, патент, лицензия и т.п.);
б) ремонтные работы;
в) лечение.
1.5. Товарная политика маркетинга фирмы (продолжение)
1.5.1. Стимулирование покупательского спроса
Формирование спроса на товары, выдвижение потребителями определенных требований к количеству и качеству товаров, к их ассортиментной структуре - процесс очень сложный, уходящий корнями в возникновение потребностей.
Потребность - совокупность продуктов и услуг, необходимых потребителю для обеспечения его воспроизводства, существования (деятельности) и развития.
Различаются потребности: личные (индивидуальные, человеческие) - отдельных индивидов, семей (домохозяйств), всей массы потребителей и отдельных социальных групп; производственные - предприятий (объединений), обусловленные спецификой производственно - технологического или торгово-сбытового процесса; массовые - учреждений и организаций управленческой, социально-культурной, научно-образовательной сфер и других отраслей деятельности, не имеющей производственного характера.
Мотивация индивидуальных потребностей - предмет дискуссионный. Мы считаем, что часть потребностей возникает в подсознании, часть осознанно, в результате опыта, а часть - в форме общественного сознания, отражающего достигнутый уровень средств удовлетворения потребностей. Потребности дифференцированы в зависимости от половозрастных, физиологических и психологических особенностей и социального статуса индивида (семьи). Существует точка зрения, что цель удовлетворения потребностей заключается в ощущении довольства (релаксации). Мотивы, вызывающие к жизни личные потребности, в значительной части могут быть отнесены к разряду психологических, поскольку они связаны с типом личности, образом жизни, социальным положением, классовой дифференциацией и т.д. Однако определенный набор благ и услуг (пища, одежда, жилище и т.д.) физиологически необходим для поддержания жизненной способности и самого воспроизводства жизни. Эти первейшие (базовые) потребности проявляются в принципе инстинктивно как непосредственная реакция на чувство голода, холода и т.п.
Индивидуальные потребности многолики и разнообразны, они складываются под воздействием множества причин, в том числе и случайного характера. Поэтому совокупные потребности массы потребителей проявляются в форме стохастических (вероятностных) закономерностей, зависящих от комплекса факторов. В маркетинге рассматривается иерархия (пирамида) потребностей, фундаментом которой служат физиологические потребности. Далее следуют потребности, связанные с желанием обеспечить комфортные условия жизни, обусловленные социальным статусом (престижем), самооценкой, самоуважением и самовыражением.
Потребление - это процесс использования продукта или услуги для удовлетворения собственных потребностей.
Некоторая часть потребностей удовлетворяется за счет нетоварного (натурального) потребления. В сельской местности его доля в общем потреблении больше (за счет использования продуктов личного подсобного хозяйства), в городах - меньше. Основная часть продуктов и услуг попадают к потребителям через рынок. Однако на рынке не может быть непосредственно предъявлена потребность в форме желания иметь товар. Продавец требует, чтобы это желание было подкреплено деньгами, т.е. чтобы потребность была платежеспособной.
Спрос - представленная на рынке деньгами.
Потребность на рынке трансформируется в покупательский спрос. Спрос конкретизирует потребность, очерчивает ее границы, делает измеримой. Объем спроса выражается количеством продуктов и услуг, которое может быть приобретено потребителями за какой-то период при определенном уровне цен и дохода. Спрос - движущая сила рынка. Рыночный механизм приводит к сбалансированию спроса и предложения, важную регулирующую роль в этом процессе играет маркетинг. В основе маркетинговой системы регулирования лежит закон спроса, распределение товара между потребителями, по выражению "отца" теории экономике П. Самуэльсона, по их кошельку. Этот принцип заложен в основу товарной политики фирмы:
Производить и продавать товар, который пользуется спросом.
Используется следующая классификация спроса:
по формам образования: потенциальный (закрытый) - существующий на фазе разработки товара, когда товар еще не выведен на рынок, но уже сформировалась группа потребителей, готовых покупать его; формирующийся - возникающий на этапе выведения товара на рынок, когда складываются взгляды, мнения потребителей: сложившийся - когда у большинства потребителей сложилось устойчивое положительное отношение к товару, сезонный - постоянные, повторяющиеся колебания спроса; отложенный - спрос на дорогие товары, деньги на приобретение которых откладываются покупателями; панический (ажиотажный) - покупка любых товаров с целью истратить деньги (бегство от денег) в условиях инфляции или из опасения исчезновения товара (дефицит).
по тенденциям: растущий ( интенсивный), стабилизировавшийся, угасающий (сокращающийся, спад).
по покупательским намерениям: твердосформулированный (жесткий) когда покупатель намерен приобрести определенный вид или марку товара и отказывается от альтернативных предложений: альтернативный (мягкий, компромиссный) - когда покупатель согласен заменить один вид товара другим (эта категория покупателей очень восприимчива к рекламе и уговорам продавца); спонтанный (импульсивный) - спрос, возникающий неожиданно, в момент знакомства с товаром, в форме активной реакции на магазинную (витринную) демонстрацию товаров, хотя покупатель не планировал подобной покупки ( по некоторым подсчетам, так совершается 1/4 всех покупок).
по степени удовлетворения: удовлетворенный спрос, т.е. покупатели приобрели нужные им товары в необходимом количестве и ассортименте: условно удовлетворенный спрос - приобретен товар, не вполне отвечающий запросам покупателей (по качеству или ассортименту); неудовлетворенный спрос - товар не куплен из-за его отсутствия в продаже или же из-за низкого качества и оформления.
Спрос - явление чрезвычайно гибкое и изменчивое, эластичное. Его размер, структура, динамика, распределение по социальным группам потребителей зависят от комплекса социально - экономических, демографических, торгово-организационных, национальных и природно-климатических факторов, а также случайных, конъюнктурных воздействий.
Эластичность спроса - реакция потребителей на изменение какого-либо фактора, прежде всего цен и дохода. Она характеризуется процентным изменением спроса при увеличении факторного признака на один процент.
Регулирование спроса - процесс воздействия на потребителей с помощью системы маркетинговых рычагов. Иногда эту систему обозначают аббревиатурой ФОССТИС (Формирование Спроса и Стимулирование Сбыта ). Она включает:
• создание нового или диверсифицированного рынка путем выпуска нового, либо модифицированного товара (так называемый "технологический прорыв"), расширение и совершенствование ассортимента, повышение качества товара и привлекательности его дизайна;
• гибкие изменения цены товара ( в соответствия с рыночной конъюнктурой и стратегией фирмы, , этапом жизненного цикла товара, задачами конкурентной борьбы и т.п.), организация сезонных, рекламных и ситуационных распродаж товара по сниженным ценам;
• система скидок с цены, премий, бонусов и льгот для постоянных клиентов, продажа товара в кредит и по подписке; • формирование привлекательного образа товара: реклама, коммерческая пропаганда, пробные продажи (пробный маркетинг), выставки-продажи, презентации товара, разработка запоминающейся товарной марки и т.п.
• сервис (высококачественное обслуживание, комплекс предпродажных, сопутствующих и послепродажных услуг, дополнительных услуг и удобств для покупателя, экономия времени покупателя, предоставление гарантий качества, прием подержанных товаров и другие способы привлечения покупателей);
• совершенствование форм взаимоотношений с потребителями: диалог с покупателем, продажа по образцам, система заказов и посылочной торговли, продажа по каталогам (в том числе компьютерным);
• формирование и поддержание имиджа фирмы, ее доброго имени (goodwill), включая ее солидность, надежность, известность, кредитоспособность, привлекательность товаров, твердые гарантии качеств (в том числе бесплатный ремонт или возврат/обмен некачественного или непонравившегося товара, возмещение физического и морального ущерба), удобное и рациональное размещение торговой сети, коммуникабельность и приветливость работников, общающихся с клиентами, их высокая квалификация, авторитетность менеджера, отношение фирмы к консьюмеризму, ее экологическая позиция, спонсорство, благотворительность и т.д.
1.5 .2. Инновационная политика фирмы
Фирма, занимающаяся производством и сбытом товаров, должна иметь четкую целенаправленную товарную политику. В конечном счете рано или поздно большинство товаров устаревает. Проявляется действие научно-технического прогресса, изменений в общей культуре и культуре потребления, социальных установок, психологии потребителей и т.д. Ужесточаются экологические требования, совершенствуются государственные стандарты. Сильной побудительной причиной обновления товаров является конкуренция.
Товарная политика фирмы - это комплекс базовых решений и целенаправленных действий по выводу на рынок нового товара или сохранению старого, а так же по изменению ассортимента.
Инновационные процессы являются одной из самых действенных форм регулирования спроса. Фирма может поставить себе целью создать новый рынок путем выпуска качественно нового товара, вызвав новую потребность или существенно видоизменив старую. Фирма может ограничиться модернизацией, обновлением старого товара, если потребитель "устал" от его облика и нуждается в незначительном изменении его свойств. Выход на рынок нового товара - важное событие как для самой фирмы, так и для ее конкурентов. Он связан со значительным риском, так как успех нового товара выдвигает фирму в число лидеров, в то время как провал нового товара может оттеснить ее в ряды рыночных аутсайдеров.
Существуют разные степени новизны товара. Они определяются при его разработке и оцениваются путем выявления покупательских мнений, а также рыночного тестирования и экспертизы. Часто используется следующая классификация:
• принципиально новый товар (пионерный товар) - товар, не имеющий аналогов на рынке, созданный в результате принципиально новых открытий и изобретений с использованием достижений НТР; он удовлетворяет качественно новую потребность или поднимает старую на новую качественную ступень;
• кардинально усовершенствованный товар - товар, имеющий качественные отличия от аналогов, представленных на рынке; он раздвигает границы потребностей, расширяет и улучшает потребительские свойства товара;
• модифицированный товар - товар, представленный на рынке ранее, но подвергшийся непринципиальному, часто косметическому, усовершенствованию (иногда меняется только упаковка);
• товар рыночной новизны - товар, новый только для данного рынка; старый товар, нашедший новую сферу применения.
Процесс обновления товара носит название модернизации. Изменение свойств товара, придание ему новых называется модификацией. Если старый продукт не снят с производства и продажи, то появление нового или модернизированного называется дифференцированием товара.
Возможны различные варианты товарной политики в зависимости от конкретных условий и рыночной ситуации. Фирма не станет обновлять товар или его ассортимент, пока они пользуются устойчивым спросом или нет конкурентной угрозы. Фирма "косметически" обновляет товар, если потребителю по-прежнему нужны его свойства, но потребитель устал от товара, ему наскучил его образ, внешний вид. Качественно новый товар фирма разрабатывает, если прежний морально устарел, у конкурентов имеются или могут появиться новые, более прогрессивные разработки. Фирма также выпускает новый, пионерный товар, если ею разработан уникальный товар, который, безусловно, будет пользоваться спросом и не встретит серьезной конкуренции. Фирма может расширять или сужать товарный ассортимент в зависимости от состояния рынка сбыта, его специфики.
Важнейшим элементом товарной политики фирмы является разработка нового товара. Это комплексный процесс, включающий параллельное осуществление технологических, экономических и маркетинговых мероприятий, имеющих целью создание и вывод на рынок нового товара. При этом решаются три проблемы. Можно ли, в принципе, создать товар с заданными полезными свойствами и соответствующими техническими параметрами? Во что обойдется его создание, за какой срок окупятся вложения, на какую прибыль может рассчитывать фирма? Нужен ли товар потребителю, кто его будет покупать, сколько человек его купят?
Разработка товара начинается с поиска, оценки и отбора перспективных идей, их апробации. Технологическая разработка заключается в проектировании и конструировании самого товара, создании необходимого оборудования и производственных мощностей для его массового выпуска. Экономическая разработка сводится к обоснованию инвестиционных вложений и прогнозу их эффективности, расчету себестоимости и отпускной цены, прогнозу прибыли и рентабельности. Маркетинговая разработка начинается на этапе предварительного рассмотрения и отбора идей проведения исследования рынка, на основании которого определяется его емкость и прогнозируется спрос.
Изучение и прогнозирование основных параметров рынка позволяют вплотную приблизиться к принятию решения о выводе товара на рынок. Однако до этого необходимо провести ряд маркетинговых операций по сертификации товара и оценке его конкурентоспособности, осуществить дистрибьюцию товара, провести пробный маркетинг, развернуть рекламную кампанию и другие мероприятия по продвижению товара.
Взаимосвязи и единство во времени этих трех проектно-исследовательских процессов иллюстрируется схемой на рис. 5.1.

Рис. 5.1. Схема основных этапов разработки товара
Разработка товара идет одновременно на трех уровнях:
• по замыслу: какими свойствами он должен обладать, чтобы удовлетворять определенный набор потребностей, на какие типы потребителей он рассчитан;
• в реальном исполнении: имеет пять отличительных признаков (определенный уровень качества, установленный набор полезных свойств, оригинальное оформление, привлекающее потребителей, марочное название, специфическая упаковка);
• с подкреплением: надежность, срок службы, гарантии потребителю, набор продажных услуг, необходимых данному товару, комплектность, конкурентоспособность и т.д.
Нередко исследования рынка обнаруживают, что товар по своим качествам привлекает значительное число потенциальных покупателей, однако большую их часть отпугивает цена, соответствующая высокому уровню качества товара. Для того чтобы разрешить это противоречие, целесообразно разработать еще один уровень товара: упрощенный товар. Создаются варианты товара, отличающегося от эталонного меньшим набором свойств (обычно второстепенных, иногда упрощенной технологией изготовления, заменой натурального сырья искусственным т.п.), и поэтому с более низким уровнем цены.
Процесс разработки товара занимает определенное время. Чем быстрее товар проходит все стадии от замысла до появления на прилавке, тем эффективнее его реализация. Сокращение временного разрыва между появлением идеи и промышленным выпуском товара представляет важную совместную программу менеджмента и маркетинга.
1.5.3. Жизненный цикл товара
Подавляющая часть товаров имеет ограниченную продолжительность жизни (не путать со сроком службы конкретной товарной единицы). Речь идет о времени, начиная с выхода товара на рынок и кончая моментом его ухода с рынка. Этот период называется жизненным циклом товара (ЖЦТ).
Концепция ЖЦТ была разработана и опубликована в 1956 г. известным американским экономистом и маркетологом Т. Левиттом . Она исходит из того, что товару отведен определенный срок жизни, в течение которого он проходит ряд этапов (стадий, фаз). Цель маркетинга заключается в том, чтобы, по возможности, продлить срок пребывания на рынке. При этом следует некоторые этапы сокращать, а некоторые - затягивать, пользуясь инструментами регулирования спроса. Набор этих инструментов отражен в ранее рассмотренной табл. 3.2. Графическая модель ЖЦТ представляет собой кривую спроса (продажи, сбыта) товара, построенную или по данным измерения параметров рынка, или по прогнозным данным (рис. 5.2).

Рис. 5.2. Модель жизненного цикла товара
Иногда в модель ЖЦТ вводят кривые затрат и прибыли. Число этапов ЖЦТ может быть ограничено четырьмя, но иногда вводятся этапы разработки товара, насыщенности рынка и реанимации спроса.
Данная модель (ее называют "традиционный", или "идеальной") исходит из того, что выведенный на рынок товар сразу признан покупателями, со второго этапа покупателей -"новаторов" сменяет "раннее большинство" покупателей, что позволяет стабилизировать спрос и обеспечивает устойчивую продажу товара и прибыль. Однако по мере насыщения рынка продажа (спрос) становится неустойчивой, а на четвертом этапе она падает. Сокращается и прибыль. Перед фирмой альтернатива: или уходить с рынка, заменяя товар новым, или с помощью маркетинговых рычагов восстановить (реанимировать) спрос на какое-то время.
Для каждого этапа ЖЦТ на основе изучения рыночной конъюнктуры и прогнозной информации, разрабатываются адекватные маркетинговые мероприятия:
• 1-й этап - активная реклама, конкурентная борьба за рынок, использование монопольного преимущества, если товар уникален, управление ценой, продолжение мероприятий по продвижению товара;
• 2-й этап - переход к умеренной (информационной) рекламе, поиск новых сегментов рынка, в отдельных случаях меры по ограничению спроса;
• 3-й этап - постепенное снижение цен или внедрение удешевленных модификаций товара, борьба с усиливающейся конкуренцией, расширение сервиса, совершенствование рекламы, разработка нового товара;
• 4-й этап - вариант 1: уход с рынка, распродажа остатков по сниженным ценам, вывод на рынок нового товара; вариант 2: поддержка угасающего спроса путем снижения цен, активной рекламы, методов стимулирования спроса, переход к 5-му этапу;
• 5-й этап - поддержка рынка до тех пор, пока есть возможность получать прибыль, затем осуществляются мероприятия 1-го варианта 4-го этапа.
Существует множество вариантов ЖЦТ. Продолжительность и тенденции каждого этапа - результат влияния комплекса факторов и маркетинговых действий. Так, взлет спроса может сохраняться длительное время (кривая бума), а может смениться новым ростом (кривая увлечения). Периоды роста и спада сменяются новым ростом (кривая возобновления, или кривая ностальгии). Сезонная кривая может проявиться во всех случаях цикличного спроса. Товар может потерпеть поражение сразу после выхода на рынок (кривая провала).
Тренировочные задания
Классифицируйте степень новизны товара (по Вашему выбору) по следующим критериям:
а) товар удовлетворяет качественно новые потребности, является результатом НТП (пионерный товар);
б) у товара появились новые функции (модернизация);
в) свойства товара изменились незначительно, изменился внешний вид товара (модификация);
г) товар является новым только для данного рынка (товар рыночной новизны);
д) изменилась только упаковка (косметическое обновление).
2. По следующим данным рассчитайте базисные, цепные и средние темпы роста, а также составьте графическую и регрессионную модели, характеризующие реакцию спроса (продажи) на изменение цен (следует подобрать адекватную функцию). Кроме того, вычислите теоретический коэффициент эластичности спроса.
| Периоды |
1 |
2 |
3 |
4 |
5 |
| Продажа товара Q в расчете на душу населения, ед. |
250 |
230 |
160 |
150 |
100 |
| Цена, тыс. руб./ ед. |
10 |
11 |
12 |
13 |
14 |
Регрессионная модель выражается зависимостью Y = f(x),
а коэффициент эластичности - Э =
где Y - спрос (продажа на душу населения); х - цена; и - их среднемесячные значения; Y' - первая производная функции (в линейном уравнении равна коэффициенту регрессии b).
Разработайте программу маркетинговых мероприятий для каждого этапа жизненного цикла товара по следующей схеме:
| Жизненный цикл товара (этапы) |
||||
| Маркетинговые мероприятия |
вывода товара на рынок |
роста продажи |
стабильности спроса |
спада спроса |
Тест
Выберите одно из определений личной потребности:
а) совокупность благ, необходимых для воспроизводства жизни, обеспечения определенного уровня и образа жизни;
б) совокупность жизненных благ, потребленных людьми;
в) объем потребительских товаров, предназначенных для продажи.
Выберите одно из определений потребления:
а) объем товаров, проданных потребителям;
б) использование продукта или услуги для удовлетворения собственных потребностей;
в) сумма денежных средств, израсходованных потребителями на покупку товаров.
Выберите одно из определений спроса:
а) спрос - это совокупность жизненных благ;
б) спросом называется продажа товаров потребителям;
в) спрос - потребность, представленная на рынке деньгами.
Что такое эластичность спроса?
а) изменение спроса в динамике;
б) реакция потребителей на изменение какого-либо фактора;
в) покупка товаров в кредит.
Что собой представляет товарная политика фирмы?
а) комплекс решений по разработке и выводу на рынок товара;
б) план маркетинговых действий, который составляет фирма;
в) действия, направленные на продажу произведенных товаров.
Что такое модернизация товара?
а) выпуск кардинально нового товара;
б) разработка оформления товара, дизайн;
в) процесс обновления существующего товара.
Что собой представляет разработка нового товара?
а) цикл технологических действий по созданию товара;
б) отбор идей нового товара;
в) комплексный процесс, включающий параллельное осуществление технологических, экономических и маркетинговых действий, имеющих целью создание и вывод на рынок нового товара.
8. Что такое жизненный цикл товара?
а) кругооборот товара;
б) время годности товара;
в) время с выхода товара на рынок и до его ухода с рынка.
Как называется спрос, когда потенциальный покупатель откладывает деньги, чтобы купить дорогостоящий товар?
а) формирующийся;
б) отложенный;
в) спонтанный.
10. Какую цель преследует фирма, снижая цену?
а) стимулировать спрос;
б) упростить кассовые расчеты;
в) облагодетельствовать покупателей.
1.6. Маркетинговое ценообразование
1.6.1. Цена и факторы ее образования
Все этапы маркетингового цикла, все направления рыночной деятельности в той или иной мере связаны с процессами ценообразования, с регулированием цен. Само понятие товара, как было показано в разделе 1.4, неразрывно связано с понятием цены.
Цена - сумма денег, уплачиваемая за конкретный товар.
Цена - важнейший инструмент маркетинга, результат взаимодействия различных рыночных процессов. Ценовая политика маркетинга начинается с исследования рыночной конъюнктуры и продолжается на протяжении всего жизненного цикла товара. Цена - это одновременно индикатор рыночной ситуации и орудие воздействия на покупательский спрос.
С одной стороны, рост или снижение цен, степень их устойчивости - важные признаки рыночной ситуации (или, как иногда говорят, "здоровья" рынка). Так, например, если цена сильно колеблется в течение ограниченного отрезка времени, неожиданно падает или "подскакивает", это является признаком того, что рынок лихорадит, его равновесие нарушено и т.п. С другой стороны, с помощью цен можно воздействовать на рынок, что уже отмечалось, когда рассматривались стратегия маркетинга (см. табл. 3.1) и система стимулирования спроса (ФОССТИС) при разработке и проведении товарной политики фирмы.
Нельзя забывать и того, что цена - важный фактор эффективности маркетинга, так как при разработке цены в нее уже закладывается будущая прибыль.
Себестоимость продукта, лежащая в основе формирования цены продукта, уже отражена в цене, по которой товар продается дистрибьютору. При реализации через двухуровневый канал товародвижения структура конечной (розничной) цены товара выглядит следующим образом:
| Оптовая цена |
Торговая наценка |
Торговая наценка |
|||
| производителя |
оптовой торговли |
розничной торговли |
|||
| издержки |
прибыль |
издержки |
прибыль |
издержки |
прибыль |
Структура конкретной цены, соотношение ее элементов зависят от рыночной ситуации, вида товара, его себестоимости и издержкоемкости, а также транспортабельности, длины канала товародвижения (числа торговых посредников) и т.д. На процесс ценообразования сильно влияет налоговая политика государства.
Для ценовой политики современного маркетинга характерно явление гибкости цен. В зависимости от этапа жизненного цикла товара, от рыночной ситуации, сезонного или рекреационного периода и т.п. цена может повышаться и снижаться в значительных пределах.
Кроме того, цены на основной (эталонный) товар и его варианты могут значительно варьировать, чтобы соответствовать социально-демографической дифференциации спроса. Иногда цены устанавливаются на предельно низком уровне, чтобы завоевать рынок, обеспечить спрос, при котором возможно массовое производство, а следовательно, и снижение себестоимости, влекущее за собой рост прибыли.
Факторы, оказывающие влияние на процесс ценообразования можно сгруппировать по четырем блокам: производственному; спроса; конкурентности рынка; товарному. Между ними существует определенное противоречие, так как они конфликтуют между собой. В частности, затратное ценообразование нередко приходит в противоречие с запросами потребителей.
Производственные факторы
1. Себестоимость, определяющая тот уровень, ниже которого цены не должны снижаться (исключая демпинговую ценовую политику); фирма стремится минимизировать все издержки, чтобы расширить возможности ценового маневра;
2. Производственный потенциал фирмы, определяющий возможность назначения цены, доступной для широкого круга потребителей;
3. Финансовый потенциал фирмы (например, потребность в быстром обороте средств или в наличных деньгах), а также уровень деловой активности (период процветания или, наоборот, спада, депрессии и т.п.), влияющие на способность фирмы к ценовому риску.
Факторы спроса
1. Действие закона спроса, проявляющиеся в ценообразовании в форме стремления цены к равновесному уровню; цена зависит от соотношения спроса и предложения (однако по некоторым, особо важным для потребления, продуктам может иметь место парадокс: рост спроса в условиях роста цен);
2. Фактор ценовой эластичности спроса (см. раздел 1.5), используемый как инструмент регулирования спроса; однако возможности ценового маневра для неэластичных товаров ограниченны;
3. Ограниченность спроса, обусловленная ограниченностью дохода и потому препятствующая бесконечному повышению цены; продолжение роста цен в этих условиях, как правило, приводит к кризису сбыта; правда, в условиях инфляции рост цен влечет за собой повышение оплаты труда и пенсий (инфляционная спираль);
4. Сегментация рынка по степени чувствительности к цене, выявляющая потребителей, ориентированных на цену (экономные покупатели), персонифицированных потребителей, для которых образ товара более важен, чем цена, и апатичных потребителей, для которых на первом плане качество товара, его комфортный потенциал или престижность, а цена не имеет значения. Эта дифференциация спроса открывает для ценообразования фирмы возможность маневра.
Факторы конкурентности рынка
1. Возможность контролировать ценовую ситуацию, зависящая от степени монополизации и конкуренции на рынке; в отдельных случаях возможна ценовая конкуренция и даже ценовая война, но для современного маркетинга более характерна конкуренция товаров и их качества;
2. Ценовая ситуация, зависящая от конкуренции покупателей. Покупатель-монополист может диктовать цены или идти на соглашение с продавцом; множество покупателей означает совершенную конкуренцию, когда цена зависит от соотношения спроса и предложения.
Факторы характеристики товара (см. раздел 1.5) 1. Тип и степень новизны или уникальность товара (на модные, престижные или редкие товары устанавливается высокая цена в расчете на покупателей - "новаторов", или модников);
2. Стадия (этап) жизненного цикла товаров;
3. Качество продукта. Чем оно выше, тем выше цена (нередко в цене отражается представление покупателей о качестве товара; не замечая его реальных свойств, такой покупатель переносит на него несуществующие черты с субститутов).
Факторы канала товародвижения (см. раздел 1.7)
1. Неуправляемые каналы товародвижения, не позволяющие производителю контролировать ценообразование на всех этапах; торговый посредник, бесконтрольно меняя наценку, влияет тем самым на конечную политику предприятия-изготовителя;
2. Управляемые каналы (конвенциональные и вертикальные маркетинговые системы). Может быть достигнута договоренность об общей политике цен, или сильнейший участник канала контролирует цены на всех этапах товародвижения (обычно при этом имеется договоренность о квотах продажи и прибыли).
Государственное регулирование цен значительно сужает рамки свободного рыночного ценообразования. Проблема степени вмешательства государства в ценообразование продолжает оставаться остро дискуссионной. Большинство развитых стран с рыночной экономикой в период после второй мировой войны эволюционировали от жесткого административного порядка ценообразования к мягкому, косвенному, как правило, с помощью дифференцированной налоговой системы, или к полному невмешательству в ценообразование. Однако все страны рыночной ориентации имеют строгое антимонопольное законодательство, препятствующее предпринимателям устанавливать прямо или путем сговора завышенные монопольные цены. С другой стороны, как правило, запрещается демпинг и жесткая фиксация цен. Государство борется с недобросовестной ценовой рекламой (устанавливаются стандарты ценовой рекламы). В России в переходный период были установлены предельные наценки к розничной цене. Иногда вводятся фиксированные цены на продукцию государственных предприятий, что, естественно, сказывается на рыночных ценах.
1.6.2. Ценовые стратегии
Политика цен базируется на стратегии маркетинга и стратегических целях фирмы. В долгосрочной перспективе большинство фирм стремится обеспечить прибыль, достаточную для процветания фирмы, но не сопряженную со значительным риском (стратегия оптимизации прибыли). Каждой из них соответствует своя ценовая стратегия. Различаются следующие основные стратегии ценового маркетинга.
Стратегия "снятия сливок" - кратковременное конъюнктурное завышение цен с целью максимизации прибыли. Ее применение позволяет в краткий срок возместить маркетинговые расходы; однако это может вызвать отток клиентов к конкурентам, не давая времени фирме закрепиться на данном рынке. Если же рынок "принял" предложенную высокую цену, это сулит фирме радужные перспективы (она обладает пространством для ценового маневра на этапе насыщения рынка -имеет возможность снизить цену).
Стратегия "цены проникновения" - значительное занижение цены с целью захвата массового рынка. Применение этой стратегии приводит к падению привлекательности рынка для конкурентов, давая фирме преимущество во времени для закрепления на рынке, а также создает барьер для продуктов-подделок. В то же время рост спроса в результате снижения цены создает предпосылки использования концепции массового производства с сопутствующим снижением себестоимости и ростом прибыли. Разновидность данной стратегии является стратегия "цены вытеснения", т.е. установления такой низкой цены, которая вообще исключает появление конкурентов.
Стратегия "стабильности цен" - установление цен, неизменных при любом изменении рыночных ситуаций. Применяя данную стратегию, фирма должна располагать постоянным резервом для снижения издержек, по возможности сохраняя прежний уровень качества. Нередко удается поддерживать стандартные цены при неблагоприятной конъюнктуре сменой упаковки, расфасовки, незначительным ухудшением качества (за счет использования более дешевых ингредиентов товара или упрощения технологии производства). В некоторых случаях фирма может пойти на снижение доли прибыли в конечной цене товара. Зато фирма формирует контингент своих постоянных приверженцев, укрепляет имидж и при благоприятной конъюнктуре возмещает временные потери, возобновляет или расширяет финансовый резерв.
Стратегия "скользящей падающей цены", или "исчерпания", -стратегия, применяющаяся вслед за стратегией "снятия сливок" и соответствующая маркетинговой цели расширения или захвата рынка. Ступенчатым снижением цен после насыщения первоначально выбранного сегмента фирма добивается периодического расширения рынка сбыта и соответствующего увеличения продаж за счет покупателей со все более низким уровнем дохода.
Стратегия "роста проникающей цены". Она продолжает успешное применение стратегии "цены проникновения". Ее цель - использовать существующее положение (в частности, завоеванную долю рынка) для повышения рентабельности и возмещения прошлых затрат, связанных с выведением товара на рынок. Повышение цены может быть обосновано улучшением качества товара (использованием престижных материалов, отделки, изменением дизайна и стайлинга и т.п.). Повышение цены облегчается, если фирма предусмотрительно снабдила товар при выходе на рынок наклейкой "Скидка на новинку" .
Проиллюстрируем суть рассмотренных стратегий диаграммой на рис. 6.2.

1 -2 - стратегия "снятия сливок"
2-3 - стратегия "скользящей падающей цены"
4-5 - стратегия "цены проникновения"
5-6 - стратегия "роста проникающей цены"
Рис. 6.1. Ценовые стратегии маркетинга
Стратегия "преимущественной цены" - достижение преимущества по отношению к конкурентам с целью использования фирмой на рынке стратегии "атаки и обороны" (см. раздел 1.3). Различаются два варианта:
а) цена выше, чем у конкурента (компенсируется преимуществом по качеству);
б) цена более низкая, чем у конкурента (за счет более низких издержек).
Стратегия "дифференциации цен в рамках взаимосвязанных товаров". Она соответствует маркетинговой политике стимулирования спроса и побуждения потребителей к покупке. Различают два варианта этой стратегии:
а) высокая цена на самый ходовой товар восполняет затраты фирмы на занижение цен новых и ключевых товаров, а также затраты на расширение ассортимента;
б) низкая цена на основной товар в номенклатуре (например, бритвенный станок) компенсируется завышенной ценой дополняющих товаров (например, лезвий).
Стратегия "ценовой дискриминации" - продажа одного и того же товара различным клиентам по разным ценам (с целью внедрения в посреднические структуры или поощрения потенциальных покупателей). Различают два варианта такой стратегии:
а) льготы для постоянных покупателей, для известных лиц (например, популярных авторов), которые, используя товар, тем самым его рекламируют;
б) разные цены устанавливаются в зависимости от времени пользования, конечной цели потреблении, дифференциации потребителей и т.п., а также различные скидки с цены в зависимости от размера покупки, покупки набора, покупки по подписке и т.д.
Стратегия "ценовых линий". Устанавливаются резко дифференцированные цены на ассортиментные виды товара с целью подчеркнуть их различия в качестве. Выбранные для моделей цены являются порогами ценовой чувствительности покупателей, соответствующими их восприятию качества товара. В диапазоне между этими порогами спрос не меняется при изменении цены (психологическая неэластичность спроса). Поэтому, назначая наибольшую из цен интервала, продавец максимизирует выручку.
Стратегия "следования за конкурентом" - линия поведения фирмы, основанная на копировании ценового лидера. Различают два вида лидерства по ценам: доминирующее (мощное предприятие на фоне множества малых и средних) и барометрическое (группа равных конкурентов признает одного из них лидером).
1.6.3. Методы ценообразования
Разработанному стратегическому уровню цены (от высокого до низкого) необходимо придать конкретную количественную характеристику. Исходный уровень продажной цены устанавливается с помощью одного из методов, которые будут раскрыты далее. Выбор каждого из них осуществляется с учетом рыночных факторов, а также традиций конкретной отрасли. Различаются методы, ориентированные на затраты, спрос, конкурента, а также производные от них методы.
Затратные методы: цена исчисляется как сумма издержек и наценки на них (прогрессивная калькуляция). Как правило, хозяйственный портфель фирмы состоит из нескольких продуктов, что порождает проблему распределения постоянных издержек между ними. Существуют различные схемы установления продажной цены на каждый товар:
1) калькуляция на базе полных затрат - общие затраты Zo6in распределяются между продуктами в виде процентной надбавки Н к сумме единичных затрат 7ед по всем продуктам:

2) калькуляция на базе частичных затрат - общие затраты делятся по возможности отнесения к продукту, если цена покрывает затраты по производству продукта, то разница является вкладом в покрытие остальных затрат:
В = Zeд + Ппл,
где В - выручка;
Zeд - единичные (или переменные) затраты;
Ппл - покрытие (по плану);
3) метод обеспечения целевой прибыли определяет необходимый уровень цены при заданном размере прибыли с учетом возможного объема производства, взаимосвязи издержек и выручки:
В = Иобщ + Ичастн * Q + Ппл,
где В - выручка;
Иобщ - общие издержки;
Ичастн - частные издержки;
Q - объем производства (в стоимостном выражении);
Ппл - абсолютный размер плановой прибыли.
Методы , ориентированные на спрос: ценообразование учитывает рыночную ситуацию и предпочтения потребителей и базируется на опросах потребителей, экспертных оценках, эксперименте.
Метод опроса потребителей: осуществляется представительная выборка потребителей для опроса с целью выявить представление о правильной цене и потолке возможной цены, реакцию на изменение цен, возможность их дифференцирования. Этот процесс может быть смоделирован.
Выявлены зависимости:
х= ao - aip ;
р = bo - b1x ;
z = сo + с1x ,
D = px = bo x - b1 x2 ,
где x - объем спроса,
р - цена; z - затраты; D - доход.
Монополист получит максимум дохода в том случае, когда предельный доход равен предельным затратам:

Подставляя значения х в соответствующие уравнения, получим значение оптимума цены и соответствующие характеристики затрат, дохода п прибыли.
Метод аукциона, где различаются:
а.) конкуренция потребителей на повышение цены;
б) вайлинг (обратный аукцион) - максимальная цена спускается вниз и первый вызвавшийся получает товар;
в) аукцион с подачей заявок в конвертах.
Метод эксперимента (пробных продаж): в ходе пробного маркетинга цена устанавливается путем перебора разных вариантов цен и наблюдения за реакцией потребителей на небольшие изменения установленной цены, а также путем оптимизации сочетания "выручка - объем продаж". Следует учесть, что применению данного метода предшествует определение приемлемых границ цен.
Параметрический метод, или метод экспертных оценок, основан на сравнении экспертных балльных оценок основных параметров нового (а) и базового (Ь) товара.
Вводится экспертная оценка важности (ранг) каждого i-го параметра
![]()
где Wij - ранг важности, выставленный i-му параметру j-м экспертом; m - число экспертов.
Средняя экспертная оценка i-го параметра приобретает следующий вид:
![]()
Тогда балльная оценка i-го параметра каждого товара с учетом его важности будет выглядеть следующим образом:

где - сумма баллов, "набранных" новым товаром.
Методы, ориентированные на конкурентов. К ним относятся:
1) метод отслеживания конкурентных цен, который заключается в установлении собственной цены на уровне цены конкурента;
2) метод конкурса. Конкурс - вынужденная ценовая конкуренция (ценовая война) продавцов. Его требования: концентрация предложения и обозреваемость рынка. Условия: однородность продукта, возможность его четкого описания и отсутствие информации о предложении конкурентов. Цель: нахождение максимальной собственной цены, меньшей, чем цена конкурента. Эта задача сводится к оценке вероятности продажи товара (получения заказа) при различных ценах. На практике удовлетворяются оценкой вероятности назначения той или иной цены различными конкурентами путем сравнения с предыдущими ситуациями или интуитивно,
Производственные методы:
1) агрегативный метод определяет цену товара, состоящего из деталей (например, люстры), или комплексных изделий (например., мебельного гарнитура) как сумму цен их составляющих. Если несколько товаров имеют общий агрегат (например, миксер - кофемолка), то цена может определяться как сумма цены этого блока и надбавок за наличие отдельных элементов:
2) обратная калькуляция: продажная цена минус скидка равняется затратам. Данная формула служит для контроля реальной или планируемой цены с позиции затрат:
3) калькуляционное выравнивание применяется, если цена, покрывающая затраты, не будет принята рынком или, наоборот, цена спроса не покрывает затрат. Например) пены двух товаров (А и В) не были приняты рынком. Установлено, что эти товары будут пользоваться спросом по цене. ниже пороговой. Тогда, чтобы получить запланированную прибыль, первоначально рассчитанная цена товара В должна быть повышена:
О A пл * Р Афакг = W Афакт ; W Афакт - W Апл = WA ;
W A н B пл -W A и B = W т pe6 B ; W треб В : QВпл = РВрасч ,
где ОA пл и QВпл - плановый объем сбыта (продажи) соответственно товаров А и В:
Рафакг и РВрасч - цена товаров А и В соответственно фактическая и расчетная;
W пл - плановая выручка;
W требВ - требуемая выручка:
W - недопокрытие (разрыв между фактической и плановой выручкой).
Принципиально сформированный уровень цены необходимо адаптировать к реальной ситуации конкретного рынка. Для этого используются тактические методы корректировки цен:
а) тактика "убыточных цен на наводящий товар" , которая применяется с целью привлечь покупателей: цена одного товара снижена, а других -завышена;
б) "тактика ценовых градаций", т.е. выделение в магазине ценовых зон, предполагающих разные уровни качества; в) особое выставление цен в сопровождении надписи "по себестоимости" и с изображением молнии;
г) округление и дробление, так как округленные цены потребитель легче воспринимает, а неокругленные и "ломаные", т.е. меньше следующего десятка, создают впечатление дешевизны.
Окончательная цена товара может быть застрахована путем внесения в контракт условий изменения цены (например, в случае изменения на рынке цен на товар или изменения издержек, происшедших после подписания контракта).
Тренировочные задания
Традиционно применяя затратный метод ценообразования, владелец киоска получает 20 % прибыли к затратам. Закупочная цена товара А - 2 тыс. руб./ ед., товара Б - 20 тыс. руб./ кг. Объем закупок товара А - 2 тыс. шт., товара Б- 100 кг. Транспортные расходы - 2 млн. руб., стоимость аренды - 100 тыс. руб. в день, заработная плата продавца -300 тыс. руб. в неделю. Товар предполагается продать за неделю. Требуется определить продажные цены товаров.
Производственный потенциал предприятия - 100 тыс. ед. Себестоимость товара составила 10 тыс. руб./ ед. Предельный уровень рентабельности - 25 %. Обследование 100 тыс. потребителей показало, что 20 % из них ориентируются на качество товара и купят по 10 ед. Товара по максимальной цене, а для 50% потребителей предел цены -12 тыс. Руб. при покупке 5 ед. и 30 % потребителей купят 2 ед. при цене не выше 11 тыс. руб. Установите цену на товар исходя из максимальной прибыли.
На технически сложный товар Х необходимо назначить конкурентоспособную цену. Аналогичный товар Y основного конкурента успешно продается по цене 2 млн. руб./ед. Группа экспертов провела сравнительное тестирование основных свойств этих товаров, а также ранжировала их по важности для потребления, приняв за единицу наименее важное свойство:
| Свойства |
а |
b |
с |
d |
|
| Ранг важности (баллы) |
1 |
2 |
3 |
4 |
|
| Оценка товаров |
Х |
4 |
2 |
4 |
4 |
| в баллах |
Y |
4 |
4 |
3 |
5 |
Тест
1. Какие функции выполняет цена в роли индикатора рыночной коньюктуры?
а) орудия конкурентной борьбы;
б) инструмента управления эффективностью рынка;
в) характеристики соотношения спроса и предложения.
2. По какой цене одежда продается конечному потребителю?
а) по аукционной;
б) по биржевой;
в) по розничной.
Если покупатель при выборе товара основное внимание обращает на цену, к какой категории его можно отнести?
а) экономных покупателей;
б) апатичных покупателей;
в) персонифицированных покупателей.
Из каких элементов складывается розничная цена?
а) себестоимости, оптовой и розничной наценок;
б) скорости товарооборота и времени товарного обращения;
в) прибыли поставщика и дистрибьютора.
5. Какую цену назначают на этапе спада жизненного цикла товара?
а) повышенную;
б) стабильную;
в) пониженную.
6. Что составляет основу при применении стратегии "цены проникновения"?
а) завышение цен;
б) занижение цен;
в) модификация товара.
7. На каких покупателей рассчитана стратегия "стабильных цен"?
а) малообеспеченных покупателей;
б) индивидуальных заказчиков;
в) солидных клиентов.
8. В чем потенциальная опасность стратегии "снятия сливок"?
а) в высоких издержках обращения;
б) в привлечении конкурентов высокими ценами;
в) в условиях производства.
9. Для каких условий характерно параметрическое ценообразование?
а) для технически сложных товаров;
б) для продукт - комплектов;
в) для товара, имеющего много качественных свойств.
10. Что является основным ориентиром в процессе рыночного ценообразования?
а) соотношение спроса и предложения;
б) цены конкурентов;
в) издержки производства и обращения.
1.7. Товародвижение и дистрибьюция
1.7.1 Товародвижение и его каналы
Основой маркетинга является управление движением товара от производителя до потребителя. Этот процесс имеет экономическое содержание: переход товара от одного владельца к другому, переход прав собственности, обмен товара на деньги. Но при этом происходит и физическое перемещение товара - от места производства к месту потребления. Оба этих процесса взаимосвязаны и воплощаются в маркетинговом явлении - товародвижении.
Товародвижение - перемещение товаров в экономическом и географическом пространстве: передача прав собственности на товар от одного владельца к другому и транспортировка товара от места его создания или места хранения к месту конечного потребления.
Исторически сложилось положение, при котором производитель обособлен от потребителя и, как правило, удален от него территориально. По ряду причин, которые будут рассмотрены далее, в процессе оптовой продажи товара (поставки) между производителем и конечным потребителем появляются посреднические звенья. Условия транспортировки товара, в частности смена вида транспорта, смена направлений и т.п., часто требуют проведения операций по разгрузке и загрузке товара и временного размещения товара в складских помещениях (складирования). Продажа товара производителем (сбыт) начинается с его отпуска со склада (отгрузка). Рассмотрим обе формы товародвижения на схеме (рис. 7.1).
Отгрузка - начальный момент товародвижения, операция по передаче товара для транспортировки, которая ставит продавца и покупателя в положение грузоотправителя и грузополучателя.
Движение товара в экономическом пространстве воплощается в форме поставки.
Поставка - оптовая продажа товара, обмен крупных партий товара на деньги и доставка товара покупателю в условленное место и в согласованный срок.
Поставка осуществляется на основе заключенной сделки, оформленной договором (контрактом). Владелец товара (производитель или оптовое торгово-сбытовое предприятие) берет на себя обязательство доставить товар в определенном количестве и ассортименте в условленное место и в согласованные сроки. Покупатель обязуется принять товар и оплатить его по получении (или с предоплатой).

Рис. 7.1. Схема товародвижения
В процессе транспортировки товар рассматривается как груз со своими физическими характеристиками: вес, объем, форма, тара. В процессе перемещения товар получает дополнительное свойство - траспортабельность , т.е. степень годности и удобства для перевозки. Физическое перемещение товара может совпадать, а может и не совпадать с экономическим движением (куплей-продажей) во времени и в пространстве. Например, товар может быть несколько раз перепродан (в частности, на бирже), но при этом может оставаться на прифабричном складе. И наоборот, товар может быть перемещен владельцем в другой регион в расчете на последующую продажу.
Как уже отмечалось, экономическое движение товара начинается со сбыта. Он имеет целью возмещение расходов по созданию товара, его хранению, транспортировке и продаже (поставке), а также обеспечение прибыли. Сбыт как элемент товародвижения включает; поиск покупателя (клиента), которым может быть и потребитель и торговый посредник; операции по продвижению товара (реклама и т.д.); подготовку и совершение сделки (составление и подпись контракта); аккумуляцию товаров, т.е. накапливание партии товара, годной по размеру и ассортименту для транспортировки; отгрузку товара.
Известны три типа сбыта товара по принципу выбора клиентов. В табл. 7.1 приведены признаки и критерии выбора клиентов для каждого из типов сбыта.
Таблица 7.1
Типы сбыта товаров
| № п/п |
Тип сбыта |
Число покупателей |
Объем продажи |
Характер товара |
Особые условия |
| 1 |
Эксклюзивный (исключительный) |
Один (как правило, производственный потребитель) |
Ограниченный, малый |
Уникальный, малосерийный |
Монтаж оборудования и Другие услуги |
| 2 |
Селективный (избирательный) |
Несколько (ограниченный отбор) |
Значительный |
Требующий послепродажного обслуживания |
Контроль над продажей и подготовкой персонала |
| 3 |
Интенсивный (массовый) |
Любое |
Большой широкий ассортимент |
Массовый товар |
Нет |
Эксклюзивный тип сбыта характерен для поставки крупных и малосерийных, а также уникальных изделий, обычно выполненных по заказу. Поставщик, как правило, осуществляет монтаж изделия, его наладку и послепродажное обслуживание, включая ремонт и поставку запасных частей. Все эти операции отражены в продажной цене. Данная форма сбыта характерна и для лизинга, т.е. долгосрочный аренды изделия.
Селективный сбыт предполагает достаточно узкий круг клиентов (чаще всего постоянных). Он охватывает технически сложные изделия (в том числе товары потребительского назначения), требующие послепродажного обслуживания. Кроме того, продажа, хранение и обслуживание этих товаров требуют определенных технических знаний у продавца. Этими знаниями обладают не все потенциальные клиенты, что обусловливает необходимость выбора (селекции).
Подавляющая часть потребительских товаров и некоторая часть производственных в подобных ограничениях не нуждаются и могут быть поставлены любому клиенту, который пожелал бы их приобрести. В этом проявляется массовый характер интенсивного типа сбыта.
Управление физическим перемещением и складированием товаров представляет собой важную и ответственную задачу, от успешного решения которой во многом зависит экономическая эффективность товародвижения. В последнее десятилетие сформировалось самостоятельное направление, принимающее на себя эти функции, - логистика. К задачам торгово-сбытовой логистики относятся: оптимизация технических и технологических структур транспортировки товара, выбор оптимальных направлений движения товарной массы от поставщика к покупателю, построение эконометрических моделей транспортировки и складирования товаров, создание и функционирование компьютеризованной и механизированной складской сети. На этой основе, с учетом транспортных расстояний, формируются хозяйственные связи "поставщик - покупатель", определяются потребности в транспорте и последовательность перемещения и складирования товара, осуществляется управление товарными запасами и т.д.
Главным условием использования логистических систем в маркетинге является сплошная компьютеризация, применение эконометрических моделей, в частности базирующихся на теории массового обслуживания, линейного и динамического программирования, сетевого планирования и т.д. По зарубежным оценкам, применение методов логистики позволяет снизить уровень запасов на 30-50% и сократить время перемещения товаров на 25-45%.
Производитель, приступая к планированию сбыта своих товаров, выбирает оптимальный путь товародвижения. В ряде случаев он решает самостоятельно продавать товар и выступает на потребительском рынке. В этом случае производитель получает всю прибыль от реализации товара. Однако ему приходится инвестировать средства в создание и эксплуатацию собственных розничных торговых предприятий, нести торговые затраты (издержки обращения), заниматься не только производственным, но и торговым маркетингом. При продаже крупных и технически сложных товаров это может быть выгодно. Мировая практика подтверждает, что подобная тенденция имеет место.
В то же время имеется достаточно много аргументов в пользу выбора торговых посредников. Во-первых, производственный ассортимент не всегда совпадает с торговым, его надо формировать усилиями нескольких поставщиков-производителей; во-вторых, производитель не в состоянии создать столь разветвленную розничную торговую сеть, чтобы удовлетворить все запросы потребителей; в-третьих, производителю может быть выгодно поступиться частью возможной прибыли, но зато и избавиться от части финансового бремени по продвижению товара. Кроме того, посредник специализируется на обслуживании потребительского рынка, лучше ориентируется в сложной системе торговых отношений и имеет в этой среде прочные хозяйственные и личные связи.
Путь товара, который выбирает производитель, называется каналом товародвижения.
Канал товародвижения состоит из цепочки торговых посредников (дистрибьюторов), через которых проходит товар на пути от производителя к потребителю.
Посредники, или звенья, которые образуют канал, называются уровнями канала. При отсутствии посредников функционирует канал нулевого уровня, или прямого маркетинга, участие посредников образует каналы косвенного маркетинга. Звено, к которому первым переходит от производителя право собственности на товар, т.е. первый покупатель у производителя, ближайший к нему посредник, называется горизонтом покупателя. Число всех промежуточных звеньев (уровней) именуется длиной
зированной складской сети. На этой основе, с учетом транспортных расстояний, формируются хозяйственные связи "поставщик - покупатель", определяются потребности в транспорте и последовательность перемещения и складирования товара, осуществляется управление товарными запасами и т.д.
Главным условием использования логистических систем в маркетинге является сплошная компьютеризация, применение эконометрических моделей, в частности базирующихся на теории массового обслуживания, линейного и динамического программирования, сетевого планирования и т.д. По зарубежным оценкам, применение методов логистики позволяет снизить уровень запасов на 30-50% и сократить время перемещения товаров на 25-45%.
Производитель, приступая к планированию сбыта своих товаров, выбирает оптимальный путь товародвижения. В ряде случаев он решает самостоятельно продавать товар и выступает на потребительском рынке. В этом случае производитель получает всю прибыль от реализации товара. Однако ему приходится инвестировать средства в создание и эксплуатацию собственных розничных торговых предприятий, нести торговые затраты (издержки обращения), заниматься не только производственным, но и торговым маркетингом. При продаже крупных и технически сложных товаров это может быть выгодно. Мировая практика подтверждает, что подобная тенденция имеет место.
В то же время имеется достаточно много аргументов в пользу выбора торговых посредников. Во-первых, производственный ассортимент не всегда совпадает с торговым, его надо формировать усилиями нескольких поставщиков-производителей; во-вторых, производитель не в состоянии создать столь разветвленную розничную торговую сеть, чтобы удовлетворить все запросы потребителей; в-третьих, производителю может быть выгодно поступиться частью возможной прибыли, но зато и избавиться от части финансового бремени по продвижению товара. Кроме того, посредник специализируется на обслуживании потребительского рынка, лучше ориентируется в сложной системе торговых отношений и имеет в этой среде прочные хозяйственные и личные связи.
Путь товара, который выбирает производитель, называется каналом товародвижения.
Канал товародвижения состоит из цепочки торговых посредников (дистрибьюторов), через которых проходит товар на пути от производителя к потребителю.
Посредники, или звенья, которые образуют канал, называются уровнями канала. При отсутствии посредников функционирует канал нулевого уровня, или прямого маркетинга, участие посредников образует каналы косвенного маркетинга. Звено, к которому первым переходит от производителя право собственности на товар, т.е. первый покупатель у производителя, ближайший к нему посредник, называется горизонтом покупателя. Число всех промежуточных звеньев (уровней) именуется длиной (протяженностью) канала. Количество независимых участников на любом уровне канала (этапе товародвижения) называется шириной канала (например, общее число оптовых фирм, участвующих в реализации данного товара, или число розничных фирм и т.д.). При узком канале товар сбывается через одну или несколько фирм, при широком - через многие.
Типы каналов и особенности их формирования иллюстрирует рис. 7.2.

Имеется определенная тенденция к интеграции участников канала товародвижения. Какие преимущества видят предприниматели в интеграции канала?
Исследовательские - координация исследований и обмен информацией:
Стимулирующие маркетинг - объединение маркетинговых усилий, в частности создание единой системы рекламы и воздействия на потребителя;
Контактные - организация связей между производителями, поставщиками сырья и материалов, торговыми структурами, общественностью и т.п.;
Технические - доработка товаров, в том числе их модернизация, в соответствии с пожеланиями потребителей;
Договорные - соглашения по единой ценовой политике, затратной политике и т.д.;
Организационно-логистические - согласованная политика и методология транспортировки и складирования товаров.
Естественно, в основе интеграции должен лежать принцип взаимной выгоды и консенсуса на общие действия. Конечно, каждый должен поступиться частью своего рыночного суверенитета, но в итоге каждый из участников канала добивается лучших результатов, чем если бы он действовал изолированно. В интеграционных процессах, в согласованности действий участников канала товародвижения проявляется одна из главных целей маркетинга - упорядочение рынка, снижение уровня стихийности. Различаются две формы взаимного сотрудничества участников товародвижения.
Первая носит название конвенционального маркетингового канала, участники которого действуют по принципу симбиоза. Однако объект согласования обычно ограничивается объемом продажи. Каждый из участников такого канала ориентирован на получение собственной максимальной прибыли, даже если его действия наносят ущерб другим участникам и каналу в целом. Поэтому данную форму интеграции можно считать простейшей и малоперспективной.
Значительно более высокой степенью согласованности в интеграционной торгово-сбытовой политике обладает вторая форма - вертикальная маркетинговая система. Она представляет собой единый комплекс, обеспечивающий общие интересы и стремящийся к максимизации результатов товародвижения. В этой системе один из партнеров, обычно обладающий большей экономической мощью или большим опытом рыночной деятельности, принимает на себя функции лидера.
Существуют три типа вертикальных маркетинговых систем:
корпоративная, которая создается на базе общей собственности по всей длине канала товародвижения, например организация консорциума, холдинга, скупка акций более слабых партнеров, поглощение их, слияние и т.д.; когда производитель ставит под контроль дистрибьютора, система называется интеграцией вперед, если же наоборот, дистрибьютор контролирует поставщика-производителя, то система получает название интеграции назад;
административная, или управляемая, когда все участники добровольно признают лидерство и руководящую роль одного из участников канала, обычно наиболее экономически сильного;
договорная, когда все участники канала, остающиеся независимыми, заключают между собой соглашение, в котором оговариваются все условия товародвижения.
При выработке конвенциального или любого другого соглашения необходимо принимать во внимание четыре условия:
какую долю прибыли при данной цене получит каждый из участников;
какие ценовые гарантии (при определении ценовых наценок и скидок) могут быть даны участникам канала (обычно при внедрении на рынок нового товара);
заключение особых соглашений, учитывающих различия торговых наценок в розничной и оптовой цене и возможности стимулирования продажи с помощью скидок с продажной цены;
соглашения, предусматривающие последствия возможных изменений цен.
Вариантом маркетинговых систем, обеспечивающих согласованность действий участников канала товародвижения, являются горизонтальные маркетинговые системы. Несколько фирм, имеющих общие цели сбыта и продажи товара потребителям, но не обладающих порознь достаточными финансовыми ресурсами и маркетинговыми возможностями, объединяются в компанию (с общими капиталами, общей системой маркетинговых действий и т.д.) или совместно действуют на лицензионной основе. Горизонтальная интеграция иногда принимает форму экспансии, когда одна фирма (сильнейшая) поглощает (приобретает) другие.
1.7.2. Дистрибьюция и ее формы
Процесс товародвижения включает в себя дистрибьюцию, распределение (от англ. distribution). Под этим термином понимают выбор торговых посредников и их деятельность по движению товара от сферы производства до сферы потребления. Образно говоря, дистрибьюторы перенимают товар как эстафету у производителя, на них ложится забота об удовлетворении покупательского спроса. Именно дистрибьютор изучает потребительский рынок и предпринимает конкретные меры для выводы на него товара. Оттого, насколько удачно выбран дистрибьютор, во многом зависит судьба товара и отношение к нему потребителей. Дистрибьюция - ответственная функция маркетинга.
В качестве дистрибьюторов выступают оптовые предприятия, торгующие крупными партиями товаров с другими оптовиками, с розничной торговлей и производственными потребителями, и розничные предприятия, торгующие преимущественно с индивидуальными потребителями, населением. Существуют различные типы оптовых и розничных торговых посредников.
В узком смысле слова дистрибьютором является крупная оптовая фирма, располагающая собственной торгово-складской сетью. Она принимает на себя права собственности, покупая товар. В ее функции входит: активизация товарного предложения путем закупки товаров у производителей; перепродажа товаров другим торговым предприятиям, а также производственным и массовым потребителям; аккумулирование товарных запасов, их хранение и маневрирование ими; операции по контролю за качеством товаров, а в случае необходимости, доработка, упаковка, расфасовка, подсортировка и комплектация ассортимента; проведение маркетинговых исследований.
Многие оптовые фирмы осуществляют лизинговые операции, т.е. долгосрочную аренду технически сложных товаров и оборудования. Практикуется френчайзинг - лицензирование и сдача в аренду марки товара, наименования фирмы (логотипа) и других нематериальных продуктов. Среди оптовых предприятий распространены бартерные операции.
Особый тип посредников представляет джоббер - оптовая фирма (как правило, средних размеров), закупающая товары как у производителей, так и дистрибьюторов. Особенностью этой формы оптовой торговой деятельности является то, что джоббер не имеет складских помещений. Товары немедленно доставляются покупателю по принципу “just-in-time”, т.е. "поставка точно в срок, продажа с колес". Для отечественного маркетинга это новое и перспективное направление, связанное с внедрением принципов логистики.
Важная роль в дистрибьюции принадлежит брокерам, которые выступают в роли активного посредника, сводя продавца с покупателем и получая оплату на комиссионных началах. Иногда брокер выступает гарантом сделки или предоставляет кредит покупателю. Брокер не принимает на себя права собственности, а только организует торговый процесс.
Оптово-розничной деятельностью занимаются дилеры - фирмы, посредничающие непосредственно между производителем и потребителем. Дилер располагает собственными складскими и торговыми помещениями и соответствующим оборудованием (часто дилеры торгуют технически сложными товарами), занимается послепродажным обслуживанием. Иногда дилер посредничает между различными торговыми фирмами и клиентами.
В системе торгового посредничества важное место отводится институту агентов, т.е. юридических или физических лиц, совершающих определенные маркетинговые действия по поручению другого лица (принципала). Агенты не имеют прав собственности на товар. Различаются агенты по сбыту (агент производителя), ведущие с клиентом переговоры по ценам, кредитам, поставкам и другим условиям сбыта, и торговые агенты, работающие по договору и более независимые, чем агенты по сбыту (иногда они самостоятельно заключают сделки).
Существует несколько разновидностей торговых агентов: торговый агент с исключительными правами, за которым закрепляется определенная территория или круг предприятий, где только он уполномочен вести переговоры и заключать договоры от имени определенной фирмы-принципала; торговый агент - консигнатор, который осуществляет торговые операции с товарами фирмы-принципала, но через свои склады, причем в момент заключения сделки он обладает всеми полномочиями собственника товара - консигнанта, продавая товар от его имени и за его счет, получая за это комиссионное вознаграждение (по существу, агент-консигнатор является арендатором товара); торговый агент-делькредере, который принимает на себя функции гаранта сделки.
Самостоятельной формой торгово-комиссионных операций является факторинг. Компания, именуемая фактором, кредитует продавца, обычно оплачивая 70-80% суммы платежа клиента, т.е. приобретает дебиторскую задолженность и берет на себя взыскание долга с предприятия должника. Интерес фирмы, продавшей дебиторскую задолженность, в том, что она получает деньги немедленно и в свою очередь может рассчитаться со своими кредиторами. Удерживаемый процент представляет собой плату за риск.
Функции дистрибьюции осуществляются оптовой торговлей.
Оптовая торговля - отрасль товарного обращения, специализирующаяся на поставке товаров производственным потребителям, различным организациям и учреждениям (для их профессиональных нужд), другим оптовым предприятиям и розничной торговле.
Оптовая торговля осуществляет следующие функции: покупку товаров у производителей и других оптовых предприятий; хранение товаров и операции по их подработке, подсортировке, упаковке и т.п.; контроль качества товаров; рекламу; поставку товаров; организацию оптово-посреднических связей; ценообразование: изучение рынка; стимулирование сбыта и т.д.
Розничная торговля - отрасль товарного обращения, специализирующаяся на продаже товаров индивидуальным потребителям (населению).
К основным функциям розничной торговли относятся: закупка товаров у производителей и оптовой торговли; хранение товаров и их подготовка к розничной продаже; продажа товаров населению и операции с наличными деньгами; организация сервиса; изучение потребительского рынка; ценообразование; стимулирование покупательского спроса и т.д.
Розничная торговля выполняет исключительно важную функцию в системе распределения товаров (дистрибьюции). Она представляет собой заключительный этап товародвижения, продавая товар конечным потребителям - населению. Особая форма розничной торговли - ресторанная индустрия (общественное питание), предприятия которой соединяют функции производства, торговли и обслуживания процесса потребления.
По итогам первой Всероссийской переписи оптовой торговли на 1 мая 1995 г. насчитывалось около 42 тыс. предприятий оптовой торговли, в которых работали 664тыс. работников. По данным Всероссийской переписи розничной торговли и общественного питания на долю розницы и ресторанной индустрии в 1994 г. приходилось 11% валового внутреннего продукта (в США. Франции, Италии - 15-18%). В этом же году функционировали 85 тыс. предприятий розничной торговли и 10 тыс. предприятий ресторанной индустрии с общим числом занятых 3,9 млн. человек.
1.7.3. Методы конкурентной борьбы в товародвижении
Осуществляя товародвижение, фирма часто сталкивается с соперничеством других фирм, выпускающих и продающих аналогичные товары. Каждая из них, как правило, стремится занять лидирующее положение на рынке, захватить максимально возможную долю рынка.
Конкуренция (лат. concurrere — сталкивать) - механизм соперничества, состязательности участников рынка за право найти своего покупателя, за возможность продать товар на наиболее выгодных условиях, захватить большую долю рынка и получить соответствующую прибыль.
Существование независимых конкурентов заставляет предпринимателя с большим уважением относиться к запросам потребителей из опасения, что они станут клиентами конкурентов. В маркетинге конкуренция понимается как борьба за потребителя, борьба за право данной фирмы наиболее полно удовлетворять спрос потребителя. Конкуренция выступает в роли своеобразного раздражителя, побуждающего участников рынка совершенствовать и обновлять свои товары, повышать их качество, снижать цены, улучшать систему торгово-сбытового обслуживания. Конкурентная борьба проявляется не только в товародвижении, когда товар уже меняет владельца, но и в сфере продвижения, когда каждая фирма стремится придать своей рекламе более изощренный характер, чем у конкурента.
Конкурент - физическое или юридическое лицо, которое конкурирует с кем-либо, оспаривает его место на рынке, старается продать свой товар вместо товара другого участника рыночного процесса, старается оттеснить последнего на задний план или вообще вытеснить с рынка.
В методах конкурентной борьбы существуют два основных направления:
ценовое, когда цены на товар фирмы устанавливаются ниже, чем на товар конкурента с примерно одинаковыми свойствами и того же качества (например, скрытая ценовая конкуренция, когда товар фирмы, обладающий лучшими, чем у конкурента, свойствами и качеством, продается по цене, одинаковой с конкурирующим товаром);
неценовое, осуществляемое за счет более высокого качества товара или лучшей организации сбыта, торговли, сервиса, рекламы, имиджа фирмы и других методов продвижения товара.
В странах с развитой рыночной экономикой ценовая конкуренция уступает место неценовой. Ценовые войны слишком разрушительны по свои макро- и микроэкономическим последствиям. Однако цены продолжают в ряде случаев оставаться орудием обеспечения конкурентоспособности товара. Продажа нового товара по цене, близкой к себестоимости, - повсеместная и достаточно распространенная практика. Сохранилась и такая разновидность ценовой конкуренции, как скрытая, когда новый товар, превосходящий по своим качествам и себестоимости товар конкурента, продается по цене конкурирующей фирмы.
В неценовой конкуренции видное место принадлежит бенч-маркетингу, где главным фактором конкурентной привлекательности выступает качество товара. В неценовой конкуренции проявляется связь между качеством товара и той прибылью, которую получает фирма, сумевшая продвинуть данный товар. Потребитель, как правило, согласен платить дороже за высококачественный, подходящий ему по своим свойствам товар, но есть некоторый предел удорожания, за которым круг покупателей начинает сужаться, объем продажи проявляет тенденцию к падению, а рост прибыли соответственно замедляется.
Конкурентная среда - рынок, на котором независимые продавцы свободно соперничают за право продать свой товар независимому покупателю.
Одной из важнейших функций маркетинга является организация конкурентной борьбы. Если фирма не борется с конкурентами, она обречена на отставание и поражение. Формы конкурентной борьбы разнообразны и зависят от сложившихся условий, времени и места, но суть конкурентной борьбы - стремление продать товаров больше, чем конкурент, отобрать у конкурента часть потенциальных клиентов и, в конечном счете, получить ту прибыль (или часть ее), на которую рассчитывал конкурент, - остается одной и той же.
Конкурентная борьба - деятельность фирмы, направленная на приобретение конкурентных преимуществ, на завоевание прочных позиций на рынке и на вытеснение с рынка конкурента.
Цель конкурентной борьбы - достигнуть конкурентного преимущества, т.е. занять более прочную конкурентную позицию на рынке (что проявляется, как правило, в захвате большей доли рынка) за счет предложения товаров более высокого качества либо более простых и дешевых или же за счет более высокого уровня обслуживания потребителей. Иногда в целях обеспечения конкурентного преимущества и вытеснения конкурента с рынка практикуется снижение цен на товары высокого качества, пионерные товары и т.п. (см. стратегию ценообразования).
Конкурентная позиция - сравнительная характеристика II основных параметров фирмы относительно конкурента.
Американский маркетолог А. Литтл следующим образом распределил конкурентные позиции: доминирующая, сильная, благоприятная, надежная, слабая, нежизнеспособная. Инструментами конкурентной борьбы являются сегментирование рынка, методы стимулирования сбыта и продажи, гибкое регулирование цен, сервис, технологическое, экономическое и маркетинговое обеспечение конкурентоспособности товара.
В конкурентную борьбу вовлекаются не только продавцы, но и покупатели. По существу, конкурентным процессом является дистрибьюция, когда предпочтение отдается торговому посреднику, предлагающему наиболее выгодные условия реализации товара. Покупатели вступают между собой в конкурентную борьбу, если объект покупки ограничен и достается покупателю, предлагающему максимально высокую цену. Такая конкуренция наблюдается на аукционах, торгах, тендерах. Конкурентная борьба ведется между различными каналами товародвижения за рынок сбыта, но она не исключена и в пределах одного канала, когда участники канала (даже организованного -конвенционального) стремятся получить максимальную прибыль, несмотря на то, что их действия наносят вред другим участникам канала. Только вертикальные и горизонтальные маркетинговые системы превращают участников канала товародвижения из потенциальных конкурентов в сотрудничающие на основе взаимной выгоды стороны.
Известный американский маркетолог И. Портер в своей матрице конкуренции рассматривает в качестве конкурентных сил не только производителей и торговцев конкурирующего товара-аналога, но и поставщиков и даже покупателей, выдвигающих свои требования при подготовке сделки, а также отмечает конкурентную угрозу со стороны товаров-субститутов. Различаются видовая конкурентная борьба - между разновидностями товара, в принципе, удовлетворяющими одну и ту же потребность, функциональная - между товарами-аналогами различных фирм и предметная - между разными марками одного и того же товара, выпускаемого разными фирмами.
Важным моментом конкурентной борьбы является система обеспечения конкурентоспособности. Исходная цель заключается в том, чтобы правильно определить потребность в товаре (объем, ассортимент, качество, доступную равновесную цену) и сроки его массового производства и сбыта с учетом жизненного цикла. Для того чтобы отстаивать или расширять свое место на рынке, фирма должна располагать определенным набором технологических, финансово-кредитных, маркетинговых и торгово-организационных достоинств и преимуществ по сравнению с конкурентами.
Конкурентоспособность фирмы определяется ее производственным, финансово-коммерческим потенциалом, достаточным, чтобы удержать или расширить занимаемую долю рынка в условиях конкурентной борьбы.
Конкурентоспособность - явление комплексное, оно включает в свою сферу и производственный, и торгово-сбытовой потенциал фирмы. Уровень конкурентоспособности зависит от наличия или отсутствия плодотворных идей и разработок, способности быстро воплотить их в жизнь, эффективности маркетинговой службы, действенности методов продвижения товара, экономического и финансового потенциала и, наконец, от ее имиджа. Важную роль в обеспечении конкурентоспособности фирмы играет ее интеллектуальный и научный потенциал. Одним из перспективных путей повышения конкурентоспособности является создание наукоемкой продукции за счет роста научно-технического уровня производства, внедрения методов логистики, а также сокращения времени производства и обращения, соблюдения дисциплины поставок. Поскольку для малых фирм большие вложения в НИОКР часто недоступны, им в целях выживания, на конкурентном рынке рекомендуется стратегия следования за лидером, использования возможностей френчайзинга т.п.
Известны различные формы и методы конкурентной борьбы. Предметная конкуренция, или межфирменная (внутриотраслевая), ведется между фирмами, предлагающими потребителю аналогичные товары, рассчитанные на удовлетворение одних и тех же потребностей. Однако эти товары обладают неодинаковым качеством, ассортиментным составом и ценой. Борьба ведется путем повышения уровня конкурентоспособности товара или/и улучшения способа его реализации.
Другой вид конкуренции - функциональной (межотраслевой) - проявляется в борьбе между фирмами и отдельными отраслями, производящими и продающими различные по своему потребительскому назначению товары. По существу, это борьба за место в структуре покупательского спроса, за деньги покупателей.
Конкурировать между собой могут и монополии (монополистическая конкуренция). Монополисты - производители товара соперничают между собой за более выгодные условия сбыта продукции. Как правило, инструментом этого вида конкурентной борьбы является качество товара и тактика маркетинговой деятельности.
Особой формой предметной конкуренции является олигополистическая конкуренция крупных производителей за лучшие, более выгодные условия производства и продажи товара. Важную роль здесь играет переговорный процесс с целью устранить возможность ценовой войны. Обычно достигается договоренность о единых ценах и квотах продаж. Конкуренция проявляется в форме укрепления марки товара, дифференциации потребительских свойств товара, организации сбыта и поставки, сервиса и т.п.
Когда же на рынке выступает большое число предприятий, предлагающих массовую продукцию с однородными свойствами (зерно, нефтепродукты, некоторые виды сырья и т.п.), их соперничество принимает вид чистой (простой) конкуренции, где отсутствуют явные конкурентные преимущества. Важным фактором конкурентной борьбы становится устойчивая, надежная репутация фирмы, сложившаяся в результате неизменно высокого качества и надежности товара, строго выдерживаемых сроков и условий поставки, системы сбытовых льгот и т.п.
Цивилизованный рынок требует упорядочения конкуренции, ограничения некоторых ее проявлений законодательными актами, запрещения недобросовестной конкуренции. Большинство государств с рыночной экономикой имеют комплекс антимонопольных законов и законов, регулирующих конкуренцию и рекламу. Парижская конвенция по охране промышленной собственности считает недобросовестной конкуренцией всякое действие, противоречащее "честным обычаям в промышленных и торговых делах".
Законы, направленные против недобросовестной конкуренции, приняты и в России. К недобросовестной конкуренции относится распространение ложной и искажающей информации о себе и конкуренте (в частности, приписывание в рекламе собственному товару свойств, которыми он на самом деле не обладает). Запрещается публикация информации, порочащей честь и достоинство конкурента, дискредитирующей его фирменный знак и т.п., наносящей ему коммерческий или моральный ущерб. К недобросовестной конкуренции также относятся: демпинг - продажа товара по цене ниже себестоимости, если она имеет целью подорвать позиции конкурента на рынке; установление контроля за деятельностью конкурента с целью его устранения с рынка; злоупотребление господствующим положением на рынке; тайный сговор на торгах и создание тайных картелей; установление дискриминационных цен или коммерческих условий; навязывание клиентам при поставке товаров каких-либо ограничений в производстве и распределении товаров. Преследуется законом самовольное использование торговой марки, названия чужой фирмы, имитация или копирование чужих товаров (особенно исполненных на низком качественном уровне и продаваемых по заниженным ценам), нарушение качества, стандартов и условий поставки. Проявлением недобросовестной конкуренции является получение, использование, разглашение научно-технической, производственной или торговой информации, в том числе коммерческой тайны, без согласия ее владельца, а также все виды коммерческого шпионажа.
В заключение следует сказать, что единственным рыночным арбитром в конкурентном споре фирм и товаров является потребитель, который своим кошельком голосует за тот или иной товар/фирму.
Тренировочные задания
Примите решение по выбору канала товародвижения, пользуясь критерием эффективности (затратоотдачи); расчеты в млрд. руб.:
канал нулевого уровня - расходы, связанные с содержанием и эксплуатацией собственной розничной торговой сети, - 150: издержки обращения (оптово-сбытовые и розничные) - 100; прибыль от реализации товаров - 500;
одноуровневый канал (прямые связи с розничной торговлей) - издержки обращения (оптово-сбытовые, транзитные) - 60; прибыль - 300;
двухуровневый канал (производитель продает товар оптовому посреднику) - издержки обращения (сбытовые) - 40; прибыль - 120.
Производственное предприятие продало товары крупной оптовой фирме (дистрибьютору) и оптовой фирме-джобберу. Те в свою очередь продали товары 12 розничным фирмам. Укажите тип канала, определите длину и ширину канала.
Производственное предприятие выпускает новый технически сложный и требующий значительных затрат на перевозку товар на сумму около 500 млрд. руб., а также транспортабельный товар повседневного спроса на сумму около 80 млрд. руб. Какие из трех фирм Вы выберете в качестве дистрибьютора? Известны следующие характеристики фирм:
| Характеристики |
Названия фирм |
||
| "Ирина" |
"Иванов & К"" |
"Быстрота" |
|
| Оборот (годовой), млрд.руб. |
500 |
250 |
100 |
| Образована в году |
1990 |
1992 |
1995 |
| Рейтинг известности (по 10 балльной шкале) |
9 |
6 |
4 |
| Кредитоспособность |
Высокая |
Средняя |
Факторинг джоббер |
| Наличие складов |
|||
| а) современных |
Да, 50% |
Да, 20% |
Нет |
| б) устаревших |
Да, 50% |
Да, 80% |
Нет |
| Наличие |
|||
| службы изучения спроса |
Да |
Нет |
Да |
| послеторгового обслуживания |
Да |
Да |
Нет |
Тест
1. Что такое товародвижение?
а) перевозка товаров по железной дороге;
б) сфера товарного обращения;
в) перемещение товаров в экономическом и географическом пространстве.
2. Что такое торгово-сбытовая логистика?
а) управление транспортировкой и складированием товаров на основе эконометрического моделирования и компьютеризации;
б) отрасль логики;
в) отрасль математики.
3. Что собой представляет отгрузка?
а) операция по отпуску товара для транспортировки;
б) размещение товара на складе;
в) перевозка товара.
4. Что является каналом товародвижения?
а) водный путь перевозки товара:
б) цепочка торговых посредников, через которых проходит товар;
в) маршрут движения товара в географическом пространстве.
5. Канал нулевого уровня включает:
а) только оптовых посредников;
б) только розничных посредников;
в) исключает участие посредников.
6. Канал косвенного маркетинга:
а) предусматривает участие посредников;
б) не предусматривает участия посредников;
в) предусматривает отсутствие отношений купли-продажи.
7. Оптовые торговые предприятия - это:
а) торговые посредники, занимающиеся куплей-продажей крупных партий товаров;
б) крупные магазины, продающие товар населению;
в) сеть складских помещений.
8. Кто такие дилеры?
а) лица, занимающиеся техническим обслуживанием автомобилей;
б) физические или юридические лица, закупающие товар у производителя и продающие его потребителю, а также занимающиеся послеторговым обслуживанием;
в) агенты производителя.
9. Что такое френчайзинг?
а) продажа или сдача в аренду лицензий, патентов, марок и логотипов и других нематериальных товаров;
б) продажа технически сложных товаров;
в) бартерная торговля.
10. Что такое факторинг?
а) анализ факторов, влияющих на дистрибьюцию;
б) сбор фактов о купле-продаже товара;
в) приобретение дебиторской задолженности фирмы-продавца.
1.8. Продвижение товаров. Рекламное дело 1.8.1. Понятие продвижения товаров, его формы
Продвижение товаров (англ. - promotion) представляет собой маркетинговую деятельность, обеспечивающую создание благоприятного образа товара и самой фирмы в представлении потребителей и, в конечном счете, покупку товара. Продвижение товаров должно возбуждать у потребителей желание сделать первую покупку и совершать все последующие.
Продвижение - это любая форма сообщений, используемых фирмой для информации, убеждения или напоминания потребителям о своих товарах и их достоинствах.
Цель продвижения - создать устойчивый или растущий спрос на товар данной фирмы. Существуют следующие формы продвижения, которые используются самостоятельно и в комплексе:
• реклама - любая оплачиваемая конкретным заказчиком (фирмой) форма неперсональной презентации товара или стимулирующего воздействия на потребителя (по своим целям различается информационная, побудительная и напоминающая реклама);
паблисити (англ. - publicity, известность, популярность) - формирование общественного мнения (презентации, инспирированные публикации, интервью руководителей фирмы и т.п.);
паблик рилейшнз (англ. public relations, связи с общественностью) -формирование благоприятного образа (имиджа) фирмы, т.е. поддержание репутации надежности, солидности, обязательности; доброжелательный диалог с потребителями, торговыми посредниками, поставщиками; формирование у собственных работников и персонала дистрибьюторов чувства заинтересованности в результатах маркетинга;
персональная (личная) продажа, прямой маркетинг (англ. direct-marketing) - личные беседы с клиентами; передача предложений о покупке, условиях сделки по телефону, компьютерным сетям и т.д.;
стимулирование продажи - система мер, включая сервис, направленная на создание у покупателя заинтересованности в покупке товаров и ее увеличении.
Рассмотрим иерархическую модель продвижения товара (рис. 8.1).

Инструментом продвижения товара служат коммуникативные системы маркетинга.
Под коммуникацией в маркетинге понимаются методы и формы подачи информации и воздействия на определенную (целевую) аудиторию.
Целевая аудитория - это совокупность потребителей, принимающих покупательские решения, а также силы, оказывающие на них влияние (общественное мнение, СМИ, торговые посредники). Цель формирования маркетинговых коммуникаций - воздействие на покупательские решения. Выявляется стадия покупательской готовности, определяется ответная реакция на различные способы маркетингового воздействия, создаются коммуникативные каналы.
Коммуникативный канал - это направление и способ движения информации.
Одной из форм коммуникации служит реклама товара. 1.8.2. Рекламная деятельность в маркетинге
Реклама - средство маркетинговой коммуникации между производителем, дистрибьютором и потребителем, это диалог, посредством которого продавец выражает свои намерения продать товар, а покупатель - заинтересованность в его приобретении. В широком смысле в понятие рекламной деятельности входят:
исследование необходимости и целесообразности использования рекламы в тех или иных формах в конкретных маркетинговых целях;
производство рекламной продукции и проведение рекламных мероприятии;
анализ продвижения рекламы по различным каналам и изучение специфики ее восприятия отдельными группами потребителей;
оценка эффективности рекламы и затрат на нее.
Основные задачи рекламы можно сгруппировать следующим образом: престижные, которые проявляются в формировании образа товара и имиджа фирмы; коммерческие, к которым относятся стимулирование продажи (сбыта), поиск выгодных партнеров.
Основные функции рекламы: информативная - сообщение о существовании товара, ознакомление с его основными свойствами, параметрами, особенностями, сведения, где и в какое время продается товар; психологическая - воздействие на чувства самооценки, престижа, взгляды и предпочтения потребителей, их устремления; стимулирующая - напоминание, побуждение к покупке, установление контактов и т.д.
Реклама - творческий процесс, требующий не только коммерческих знаний, но и художественного вкуса, соответствующего образования.
Реклама - не только наука, но и искусство.
Рекламный процесс - совокупность фаз движения рекламной информации от рекламодателя к рекламополучателю - состоит из четырех блоков:
| Рекламодатель |
Рекламное агентство |
Средства распространения рекламы |
Рекламополучатель |
| Определение перечня товаров, нуждающихся в рекламе. Подписание договора с рекламным агентством. Подготовка исходных материалов. Утверждение плана рекламной кампании, макетов и т.п. |
Творческие и технические функции, связанные с производством рекламной продукции. Проведение рекламной кампании. Взаимодействие с производственной базой рекламы. Предоставление рекламодателю исследовательских и других услуг. |
Доведение до рекламополучателя рекламной информации через СМИ, по почте, компьютерным сетям, в печатных изданиях, в форме аудио- и видеопродукции, в виде рекламных сувениров, наружной и устной рекламы и т.д. |
Получение рекламной информации, ее усвоение и запоминание. Формирование психологических установок на покупку. Выбор рекламной информации в соответствии с запросами и в зависимости от уровня и образа жизни. |
| Совместные функции |
|||
| Оценка необходимости использования различных форм и видов рекламы, целесообразности разработки фирменного знака, стиля и т.п. Формирование плана рекламной кампании. Разработка бюджета рекламной кампании как части бюджета маркетинга. Обмен информацией в ходе рекламной кампании. Оценка эффективности рекламной кампании. |
|||
Рекламная кампания (РК) - комплекс рекламных мероприятий, объединенных одной целью и направленных на какой-либо сегмент рынка.
Подготовка и проведение РК включает ряд последовательных этапов, охватывающих определенный период времени.
Исследования - изучение объекта, на который направлено рекламное воздействие; использование материалов маркетингового исследования (см. разд. 1.9 и 1.10).
Стратегическое планирование - формирование основных идей и целей РК, выдвижение гипотез ее конечных результатов; планирование бюджета РК; творческие разработки форм и видов рекламной информации; разработка планов использования рекламных средств.
Тактические решения - составление сметы расходов; выбор конкретных СМИ и других средств распространения рекламы; определение сроков и длительности рекламных мероприятий; организация системы текущего контроля за проведением РК в рамках маркетингового контроллинга.
Производство рекламной продукции и проведение РК - подготовка макетов, художественного оформления, написание текстов и т.п.; публикация, трансляция, тиражирование, распространение рекламной информации; проведение контроля за осуществлением рекламных мероприятий и расходованием средств.
Подведение итогов РК - комплексная оценка выполнения плана РК; анализ правильности выбора референтных (целевых) групп; оценка экономической эффективности РК.
Рекламная кампания классифицируется по следующим признакам:
по интенсивности рекламною воздействия: если интенсивность рекламного воздействия не меняется, то РК считается ровной, если она растет (например, увеличивается объем вложений в рекламу), то РК считается нарастающей и если - уменьшается, то - нисходящей;
по направленности: когда реклама рассчитана на определенную группу потребителей, РК называется целевой; когда потенциальными рекламополучателями могут быть практически все слои населения, РК называется общественно-направленной;
по срокам проведения: если РК рассчитана на период, меньший года, она считается краткосрочной, если более одного года - долгосрочной;
по территориально-географическим признакам: РК, проводимая на территории одного поселения (города, района), называется местной, на территории отдельного региона - региональной и на территории всей страны - национальной (выходящая за рамки страны - международной);
по степени охвата рынка: при охвате одного сегмента РК считается сегментированной, двух и более - агрегированной и всех сегментов -тотальной;
по диапазону использования различных видов рекламной деятельности: если рекламодатель использует лишь один вид рекламной деятельности, то РК является специализированной, если два и более - то комбинированной, а если все виды - то комплексной.
1.8.3. Основные формы рекламы
Реклама имеет следующие формы. По признаку каналов передачи информации: печатная реклама, реклама в прессе, аудиовизуальная реклама, радио- и телереклама, компьютерная реклама. По признаку видов рекламных материалов (мероприятий): наружная реклама, почтовая реклама, рекламные сувениры, устная реклама.
Печатная реклама
Информационное письмо выполняется на фирменном бланке, адресуется конкретному лицу и содержит информацию о фирме или товаре.
Коммерческое предложение имеет меньшую рекламную направленность и большую маркетинговую, содержит условия сделки.
Информационный лист аналогичен информационному письму, но не имеет адресных атрибутов, как правило, содержит данные о ценах, скидках, льготах и т.п.
Рекламный листок содержит чисто рекламную информацию, более "броско" оформлен.
Буклет - небольшой по объему, но качественно оформленный рекламный материал.
Рекламный проспект объемнее буклета, содержит множество цветных фотографий и рисунков, обычно включает материалы, формирующие имидж фирмы, часто выпускается к юбилейным датам.
Каталог - перечень предлагаемых товаров, иллюстрированный их описанием и фотографиями, как правило, имеет форму брошюры.
Пресс-релиз - рекламный материал, ориентированный на представителей прессы.
Реклама в прессе
Это наиболее распространенный вид рекламы. Она доступна, дешевле радио- и телерекламы, удобна из-за особой редакционной обработки (например, выделяются рубрики типа "продам", "куплю" и т.п.), популярна по причине традиционно большего доверия к печатному слову. Этапы подготовки рекламного сообщения в прессе включают: - выбор его формы и вида; - выбор конкретного издания;
- выбор определенного размера, формата, объема и т.п. рекламного сообщения;
- анализ рекламных сообщений конкурентов;
- составление текста и макета рекламного сообщения;
- сдача текста и макета в редакцию выбранного издания.
Классификация рекламы в прессе
| В зависимости от вида рекламных сообщений |
В зависимости от характера рекламных сообщений |
В зависимости от места размещения рекламных сообщений |
В зависимости от способа подготовки рекламных сообщений |
| Рекламные объявления Рекламные статьи или иные формы размещения рекламной информации |
Товарная реклама Престижная реклама |
Публикация в общественно-политических и художественных изданиях (газеты, журналы, еженедельники) Публикации в специализированных изданиях |
Собственная подготовка рекламодателем текста и макета рекламы Использование услуг рекламного агенства |
В целях привлечения внимания читателей используются следующие элементы теории массовой коммуникации:
Интенсивность - параметр публикации и психологический прием, основанный на выделении крупных, заметных заголовков (читатель обычно начинает восприятие текста с заголовка);
Уникальность - принцип отличия образной, художественной формы публикации или элементов ее текста от аналогичных (важнейшая грань уникальности - новизна);
Динамика - применение всевозможных "нестатичных" изображений, создающих иллюзию движения, обладающих элементами необычного ракурса;
Повторяемость - увеличение силы рекламного воздействия путем многократного размещения рекламных сообщений одного и того же вида с заданной периодичностью (простая повторяемость) или различных по деталям, но одинаковых по фирменным константам сообщений типа "сериала" (сложная повторяемость);
Контрастность - прием акцентирования внимания на собственном "Я" фирмы или ее продукта, их выделяемости, отличительности;
Размер - внешний атрибут и визуальный способ привлечения внимания покупателей (крупные по размеру, т.е. по газетно-журнальной площади и шрифту, сообщения быстрее бросаются в глаза и говорят о больших финансовых возможностях фирмы).
Радио- и телереклама
Это наиболее дорогостоящие виды рекламы, но зато и наиболее массовые, охватывающие широкие слои населения. Они отличаются высокой оперативностью. Кроме того, высока сила их психологического и эмоционального воздействия (в их восприятии участвует сигнальная система человеческого слуха, а в телерекламе - еще и зрительное восприятие, эффект сопереживания). К достоинствам этих видов рекламы следует отнести то, что рекламное воздействие не мешает человеку заниматься другой деятельностью, воспринимать рекламу коллективно. Их недостаток заключается в том, что реклама может пройти мимо тех, кому она адресована (не включена радио- и телеаппаратура, отвлечено внимание), не всегда есть возможность зафиксировать информацию (адрес, телефон и т.п.).
Рекламодатель выбирает канал радио- и телевещания, а также конкретную передачу, заказывает время выхода в эфир и момент передачи сообщения, кроме того, совместно со специалистами решает вопрос о форме, продолжительности и повторяемости рекламного сообщения. Используются следующие виды радио- и телерекламы:
| Радиореклама |
Телереклама |
| Радиообъявление Радиоролик Радиорепортаж Радиопередача |
Телеобъявление Телевставка Телеролик Телерепортаж Телепередача |
Аудиовизуальная реклама
Используются в качестве носителей информации фото-, кино-, видеопленки, слайды, магнитные ленты, лазерные диски и другие носители, которые могут прослушиваться и просматриваться индивидуально и коллективно, а также транслироваться на радио и телевидении.
Компьютеризованная реклама
Носителем информации являются дискеты и магнитные ленты. Сочетаются текст, рисунок (чертеж), звук. Большие перспективы открывает перед рекламой использование компьютерной графики. Ее главное достоинство состоит в том, что она может находиться в компьютерной памяти практически любой срок, а стоимость подключения к компьютерной сети и размещение рекламы сравнительно невысока. Компьютерная реклама особенно эффективна для продукции, связанной с производством вычислительной техники и информационного продукта, с новейшими информационными технологиями. В ряде стран широко используются потребителями электронные каталоги товаров. Наиболее известной компьютерной сетью, выполняющей функции распространения рекламной информации, является ИНТЕРНЕТ.
Наружная реклама
Применяется чаще всего в виде плакатов на щитах, размещаемых обычно в местах скопления людей, в транспортных узлах (на станциях и остановках), вдоль магистралей. Основной тип плаката - крупногабаритный (104 на 234 дюйма). Перенос плаката с места на место называется ротацией. Другой тип наружной рекламы - электрифицированные или газосветные вывески и табло. К наружной рекламе также относится реклама на транспорте и на упаковке потребительских товаров.
Рекламные сувениры
Это эффективное средство популяризации той организации, которая их вручает. Они подчеркивают солидность рекламодателя, позволяют осуществлять рекламные контакты с окружением того лица, которому вручен сувенир (коллеги, семья, знакомые). Выбираемые для подарка сувениры должны соответствовать потребностям, вкусам, привычкам деловых партнеров, а иногда уровню и образу их жизни. На сувенире должна присутствовать фирменная символика и адресные данные фирмы-дарителя. В законодательстве некоторых стран содержатся положения, регулирующие порядок и стоимость подарков.
Многие фирмы в рекламных целях и целях стимулирования сбыта практикуют вручение сувениров покупателям (сделавшим крупную покупку, постоянным покупателям, юбилейным посетителям и т.п.).
Прямая почтовая реклама (dire c t mail)
Кроме безадресной почтовой рассылки рекламы (всем жителям дома, микрорайона и т.д.) практикуется почтовая рассылка рекламной информации на основе продуманного выбора адресов. Это вариант прямого маркетинга (direct marketing). К ним относится оперативный отклик на запросы, уточнение потребностей заказчиков, информация о возможностях фирмы и т.п.
Выставочная реклама
Ярмарки, выставки-продажи, показы моды, презентации, помимо своих основных функций, выполняют функцию рекламы. Выставочные стенды, экспонаты, оформление выставочных залов, специальные издания, посвященные выставочному мероприятию, и т.д. - все это тоже элементы выставочной рекламы.
Устная реклама
Осуществляется путем оглашения рекламной информации, как правило, в местах скопления людей (транспортных переходах, в магазинах, на ярмарках и т.д.). Ею часто пользуются розничные и мелкорозничные продавцы. Инструментом подобной рекламы служит голос и различные приспособления для усиления звука.
1.8.4. Оценка эффективности рекламных мероприятий
Реклама должна быть эффективной, иначе она не имеет смысла. Оценка эффективности рекламы состоит в сопоставлении данных, характеризующих "мощность" проведенных рекламных мероприятий, затрат на рекламную кампанию с маркетинговыми результатами: ростом продаж, прибыли, доли рынка, поддержанием благоприятной конъюнктуры и т.д.
В оценке эффективности рекламы видное место отводится методу целевых альтернатив, который состоит в сопоставлении планируемых и фактических параметров, оцениваемых как результат вложения средств в рекламную кампанию.
Например, планируются вложения в рекламу 200 млн. руб. , за счет этого объем продаж должен вырасти на 1,6 млрд. руб. , а прибыль на 600 млн. руб. Фактически прибыль увеличилась на 500 млн. руб.
Выводы:
стимулирование сбыта принесло фирме 300 млн. руб. прибыли (500-200);
прогнозируемый эффект не был достигнут, так как фактическая прибыль на 100 млн. руб. меньше плановой (600-500);
ничем не доказано, что рост продажи и прибыли обусловлены рекламой (необходима дополнительная информация);
на складе осталось непроданной рекламируемой продукции на 3 млрд. руб. , следовательно, с этой позиции реклама оказалась неэффективной;
целевая альтернатива была реализована лишь на 75%.
![]()
Другой метод характеристики эффективности рекламы состоит в оценке соотношений затрат на рекламу и числа запросов на рекламируемую продукцию (рассмотрим пример в табл. 8.1).
Таблица 8.1 Расчет стоимости одного рекламного контакта
| Вид рекламы |
Затраты) млн. руб. |
Число запросов от рекламополучателей |
Стоимость рекламного контакта, тыс. руб. |
| Рекламное объявление в прессе |
35 |
4000 |
8,75 |
| Рекламный ролик по ТУ |
200 |
12500 |
16,00 |
| Прямая почтовая реклама |
15 |
1500 |
10,00 |
| ИТОГО |
250 |
18000 |
13,89 |
При сохранении показанной в табл. 8.1 структуры затрат на рекламу прирост в 1000 покупателей можно обеспечить за счет дополнительных расходов на рекламу примерно в 13 млн. руб. (13,89 тыс. руб. / чел. x 1000 чел. = 13,89 млн. руб.).
В литературе описаны и другие методы оценки эффективности рекламы, в том числе регрессионные, адаптивные и иные модели.
Тренировочные задания
1. Разработайте программу использования конкретных средств продвижения товаров для воздействия на потребителей с целью побудить их принять решение на покупку. Выделите следующие этапы:
а) осознание потребности;
б) узнавание товара;
в) формирование благожелательного отношения к товару;
г) появление предпочтения товара по сравнению с другими;
д) возникновение убеждения в необходимости покупки;
е) процесс покупки.
2. По следующим данным определите эффективность рекламы (т.е. отдачу от 1 руб., вложенного в рекламу) при условии, что прирост прибыли компании составил 825 млн. руб. Расходы на рекламу сложились следующим образом. Рекламное объявление в прессе: тариф на 1 см2 газетной площади - 250 тыс. руб.; объявления общей площадью 140 см2. Телевизионная реклама: тариф за 1 мин демонстрации по ТУ - 8 млн. руб.; пять дней показа по 5 мин. Прямая почтовая реклама: разослано 100 тыс. рекламных листовок; изготовление - 100 руб. /шт.; рассылка - 5 тыс. руб. /шт.
3. Разработайте сценарий проведения рекламной кампании (РК) фирмы:
а) обоснуйте основные направления ее деятельности и предмет рекламы (по Вашему выбору);
б) сформулируйте цели и задачи РК, выделите группу целевого воздействия;
в) обоснуйте выбор использованных форм и видов рекламы;
г) разработайте несколько вариантов рекламного слогана;
д) составьте план РК (6-8 мероприятий); е) на основе условных данных охарактеризуйте результат РК и оцените эффективность затрат на рекламу.
Тест
1. Что Вы понимаете под продвижением товаров?
а) транспортировку товаров;
б) продажу товаров на потребительском рынке других регионов;
в) форму сообщений для информации, убеждения или напоминания потребителям о товарах.
2. К основным функциям рекламы относятся:
а) коммерческие; б) стимулирующие; в) престижная; г) информативная; д) психологическая.
3. К основным задачам рекламы относятся:
а) некоммерческие; б) национальные: в) специализированные; г) коммерческие; д) престижные.
4. Фирменный блок (логотип) - это:
а) оригинальное изображение, символ, обозначающий фирму; б) графическая композиция, состоящая из товарного знака в сочетании с фирменным названием.
в) единый художественно-графический подход к оформлению всей совокупности рекламных материалов.
5. Использование в газетной рекламе такого элемента теории массовой коммуникации, как "динамика" предполагает:
а) многократное размещение рекламных сообщений одного и того же вида с заданной периодичностью;
б) соблюдение принципа выделения крупных, заметных заголовков;
в) применение изображений, создающих иллюзию движения, содержащих элементы необычного ракурса, "смазанности".
6. По территориально-географическим признакам рекламные кампании подразделяются на: а) ровные; б) местные; в) сегментированные; г) национальные: д) целевые; е) международные; ж) региональные.
7. Группа целевого воздействия - это:
а) совокупность сотрудников рекламного агентства, принимающих участие в проведении рекламной кампании;
б) фактические потребители рекламной продукции;
в) лица, на которых направлена рекламная информация.
8. Этапу принятия решений при проведении рекламной кампании предшествуют этапы:
а) производства рекламной продукции:
б) исследований;
в) подведения итогов РК.
9. К достоинствам журнальной рекламы относятся:
а) высокая оперативность;
б) легкость распространения среди групп целевого воздействия;
в) наличие аудитории "вторичных" читателей.
10. В рекламу было вложено 3 млрд. руб. Эти затраты должны были обеспечить прирост прибыли в 8 млрд. руб. Фактически после проведения РК прирост прибыли составил 9 млрд. руб. Укажите, как была реализована целевая альтернатива:
а) на 83,3%;
б) на 112,5%;
в) на 120,0%.
1.9. Маркетинговое исследование. Часть 1. Маркетинговая информация
1.9.1. Понятие маркетингового исследования
Обеспечение "прозрачности" рынка, т.е. получение полной и достоверной информации о его состоянии и развитии, является одной из главных целей маркетинга, дополненных требованием обеспечения предсказуемости его дальнейшего развития, иначе научно обоснованного предсказания, прогноза. Нельзя осуществлять маркетинговую управленческую деятельность, не зная сложившейся рыночной ситуации, без выявления тенденций и закономерностей функционирования рыночного механизма немыслимо регулирование рыночных процессов или адаптация к его действию.
Вспомним методологию разработки нового товара, какую важную роль играют в ней исследовательские операции, прогнозирование спроса. Плановая деятельность, формирование стратегии поведения фирмы на рынке целиком базируется на оценке и анализе конъюнктуры рынка, характеристике собственных возможностей фирмы, ее конкурентоспособности и т.д. Маркетинговый контроллинг включает в себя элементы маркетингового исследования, занимается отслеживанием параметров рынка и осуществляет оценку уровня выполнения плана и бюджета маркетинга, определяя его эффективность. Эти примеры можно продолжать, но уже ясен вывод, что маркетинговая деятельность по доведению товара от сферы производства до сферы потребления нуждается в информационно-аналитическом обеспечении. Маркетинговое исследование, которое призвано решать эти задачи, неотъемлемая составная часть маркетинга, оно проводится в интересах маркетинга и по его заказу. Маркетинговое исследование осуществляется или самой маркетинговой службой или, по ее заказу, на коммерческой основе специализированной маркетинговой (консалтинговой) фирмой, научным/учебным учреждением, государственной организацией и т.п.
Маркетинговое исследование - любая исследовательская деятельность, направленная на удовлетворение потребностей маркетинга.
Каждой фирме, выступающей на рынке в качестве продавца или покупателя, необходимо иметь, как минимум, следующие сведения:
а) емкость рынка и доля, которую на нем занимает сама фирма, позиция и возможности конкурента;
б) ситуация на рынке;
в) собственный рыночный потенциал и своя конкурентоспособность;
г) реакцию рынка на те или иные маркетинговые действия фирмы.
Уже отмечалось, что фирма действует в окружающей маркетинговой среде, фирме полезно знать формы и силу влияния микро- и макросреды на свою деятельность и ее результаты с тем, чтобы оптимально приспособиться к этим воздействиям. Следовательно, изучение сил и факторов окружающей среды маркетинга - важная исследовательская задача.
В маркетинговом исследовании выделяются пять этапов:
Выбор цели (заказ маркетинга), выдвижение гипотез, постановка задач;
Разработка методики конкретного исследования (формирование статистического банка, т.е. набора методов наблюдения и анализа);
Сбор, обработка и хранение информации (формирование информационного банка);
Анализ, моделирование и прогнозирование данных (формирование банка моделей), составление выводов и рекомендаций;
Оценка эффективности маркетинговых исследований.
Известна следующая типология маркетинговых исследований: разведочные исследования, предшествующие разработке программы основного исследования, они предпринимаются для сбора предварительной информации, позволяющей выдвинуть гипотезы и выбрать соответствующую методику анализа; описательное (дескриптивное) исследование, имеющее целью констатацию реальных фактов, событий, показателей, полученных в результате сбора информации; казуальное исследование, проводимое для проверки гипотез связей маркетинга с факторами окружающей седы.
Маркетинговое исследование представляет собой обособившееся научное направление, сложившееся на стыке ряда наук. Маркетинговое исследование имеет достаточно сложную методологию, представляющую собой сплав статистических1 , эконометрических 2, социометрических3, квалиметрических4, бихевиористических5 и собственно маркетинговых методов. Сбор информации целиком подчиняется правилам статистического наблюдения, статистические методы используются в оценках динамики, вариации, структуры рыночных явлений, выявлении тенденций и закономерностей; эконометрические приемы применяются при моделировании, имитации и прогнозировании рыночных процессов, оценке риска; без знания социометрии трудно изучать поведение потребителей, проводить их анкетирование; необходимость комплексной оценки качества и конкурентоспособности заставляет использовать методы квалиметрии. Бихевиоризм помогает разобраться в процессах формирования и изменения отношения потребителей к товару, в реакциях спроса на свойства товара, на процессы его старения и обновления.
1 Статистика - наука, изучающая массовые явления и процессы, поддающиеся количественному измерению.
2 Эконометрия - применение экономико-математических методов анализа, измерение параметров математических выражений, характеризующих определенную социально-экономическую концепцию.
3 Социометрия - характеристика структуры и функционирования определенных человеческих групп с помощью количественных оценок.
4 Квалкметрия - методология количественных оценок качества товаров. 5 Бихевиоризм - наука о вкусах и предпочтениях людей.
К маркетинговому исследованию предъявляются следующие требования: научность, т.е. объяснение и предсказание изучаемых явлений и процессов на основе научных принципов и объективно полученных данных, выявление закономерностей развития; комплексность, т.е. изучение явлений и процессов в их взаимосвязи и развитии, анализ структуры, выявление иерархии и подчиненности элементов; достоверность, т.е. обеспечение научных принципов сбора и обработки данных, исключение тенденциозности в оценках, тщательный контроль, использование ЭВМ; эффективность, т.е. достижение выдвинутых целей, соизмерение результатов с затратами.
В теории маркетингового исследования существуют две школы (два направления): сторонников формализации исследования, т.е. использования количественных оценок, применения статистических и эконометрических моделей и т.д., и сторонников неформального анализа, качественных оценок. У каждого из этих направлений свои достоинства и свои недостатки. Так, формализация дает точные оценки, обеспечивает учет множества факторов, позволяет прогнозировать развитие на перспективу и т.д., но достаточно трудоемка, требует специальных знаний, использования ПЭВМ, нуждается в сборе статистической информации. Неформальный подход оперативен, нередко дает вполне надежные оценки, не нуждается в использовании математического аппарата, однако не обладает высокой степенью точности, не всегда объективен, требует большого опыта и высокой квалификации работников. Нам представляется желательным сочетание этих направлений в зависимости от целей и конкретной обстановки.
Перед маркетинговым исследованием стоят следующие задачи:
Сбор, обработка, сводка и хранение информации;
Оценка и анализ конъюнктуры рынка, расчет емкости рынка, характеристика и прогнозирование спроса, анализ его эластичности;
Оценка собственных возможностей фирмы, ее потенциала и конкурентоспособности;
Оценка возможностей конкурента;
Анализ раздела рынка сбыта, оценка его доли, захваченной фирмой, территориальный анализ рынка сбыта;
Сертификация и тестирование качества товара и его конкурентоспособности, изучение реакции потребителей на новый или модифицированный товар;
Изучение товарной номенклатуры и ассортимента, сдвигов в их структуре;
Информационно-аналитическое обоснование сегментации рынка (группировка потребителей);
Информационно-аналитическое обеспечение разработки товара и регулирование его жизненного цикла;
Информационно-аналитическое обеспечение разработки стратегии маркетинга и маркетингового планирования;
Информационно-аналитическое обеспечение контроллинга;
Информационно-аналитическое обеспечение ценообразования и регулирования цен;
Учет и анализ товарооборота, товарных запасов, издержек обращения и прибыли в целом и по этапам ЖЦТ;
Характеристика эффективности маркетинга и маркетингового исследования.
1.9.2. Маркетинговая информация
Сбор, обработка и сводка информации представляют собой составную часть общего информационно-аналитического процесса маркетинга. Получение информации подчинено задачам управления и имеет целью обеспечить оценку и анализ рыночных процессов для принятия правильных маркетинговых решений.
Маркетинговая информация - это цифры, факты, сведения и другие данные, необходимые для анализа и прогнозирования маркетинговой деятельности. __________________
Информация собирается среди ее носителей, т.е. юридических и физических лиц, обладающих некоторыми сведениями и занимающихся определенной рыночной деятельностью (как активной, так и пассивной). Кто же на потребительском рынке выступает в качестве носителя, обладателя информации? Во-первых, индивидуальные потребители (население) , у которых собираются сведения, характеризующие их спрос, поведение на рынке, принадлежность к социальным и демографическим группам и другая информация, необходимая для маркетинга; во-вторых, производители, обладающие сведениями о качественных и количественных характеристиках товара, потенциале производства и возможностях НТП, перспективах модернизации товара и создании качественно новых товаров, себестоимости товара и т.д.; в-третьих, дистрибьюторы (торговые посредники), располагающие информацией о спросе потребителей, конъюнктуре потребительского рынка, торговых конкурентах, эффективности рекламы и т.д. Как правило, участники канала товародвижения, особенно конвенционального, или вертикальной маркетинговой системы охотно обмениваются информацией, имеющей взаимный интерес. Нередко ими проводятся совместные маркетинговые исследования. Информационная система маркетингового исследования отличается сложностью и многообразием. Сбор, обработка и анализ информации требуют от сотрудников маркетинговых служб специальной квалификации и высокой информационной культуры.
Информационная культура - это знания, умение и навыки эффективного пользования маркетинговой информацией в условиях компьютеризации.
На оптовом рынке в качестве носителей информации выступают производственные и другие массовые потребители.
Существуют различные типы маркетинговой информации. Прежде всего, она делится на внутреннюю и внешнюю. К внутренней относится любая информация, собираемая самой фирмой или по ее заказу; к внешней - информация, собираемая за пределами фирмы, но используемая фирмой в маркетинговых целях. К ней относятся: информация, собираемая и разрабатываемая Госкомстатом РФ и его местными органами, а также другими государственными и общественными организациями, в том числе официальные публикации: информация, собираемая и разрабатываемая научными учреждениями и учебными заведениями: информация, публикуемая в СМИ: информация рекламного и коммерческого характера других фирм, в том числе бюллетени, регистры, справочники и т.п.
В свою очередь внутренняя информация делится на первичную и вторичную. Вторичная информация собирается фирмой не для маркетинговых нужд, а для других целей (например, бухгалтерский учет, оперативная информация, обязательная отчетность для органов государственной статистики, налоговой службы и т.д.). Однако эти данные могут быть использованы маркетинговой службой в своих целях. Первичная информация собирается специально для конкретных маркетинговых потребностей (обследования, опросы и т.п.). Иногда информация в маркетинге делится на кабинетные исследования (desk research) , т.е. работа с уже кем-то собранными материалами, и на полевые исследования (field research), т.е. первичный сбор материала для конкретного маркетингового исследования.
Особое место в маркетинговом исследовании занимает маркетинговая разведка (marketing intelligence) - сбор текущей информации о микросреде маркетинга (клиентах, торговых посредниках и конкурентах). Здесь существуют два направления: первое - использование информации, которую эти силы окружающей среды маркетинга предоставляют сами (обмен информацией между участниками канала товародвижения и информация о себе рекламного характера для акционеров, потенциальных инвесторов или клиентов и т.п.); второе - получение конфиденциальной или полуконфиденциальной информации, иногда с применением методов экономического шпионажа, сбора слухов, отслеживания публикаций.
Оценка рыночных явлений и процессов дается с помощью индикаторов маркетинга, т.е. показателей, характеризующих основные параметры рынка, их состояние и изменения, таких как продажа, цены, ассортимент, товарные запасы, спрос, предложение, заказы, число и состав участников рыночного процесса, затраты, прибыль и рентабельность.
1.9.3. Источники маркетинговой информации
В источники маркетинговой информации входят:
- публикации (цифровые, фактографические, теоретические) в средствах массовой информации, в официальных справочных изданиях, в научной или публицистической литературе (в некоторых странах существуют специальные бюро вырезок, собирающие досье по интересующему фирму вопросу по заказу маркетинговой службы на коммерческой основе);
- ИНФОРМАЦИЯ, приобретаемая фирмой на коммерческих началах у Госкомстата РФ или альтернативных статистических служб (демографические данные, данные о ценах, доходах и расходах населения, другие социально-экономические показатели);
- внутрифирменные учет и отчетность, в том числе бухгалтерская (данные о производстве и сбыте товара, ассортименте поставки и отгрузки, об оптовом и розничном товарообороте, себестоимости и . цене, инвестициях, затратах и прибылях, материально-технической базе и т.д.);
- обмен информацией между участниками канала товародвижения:
- данные специальных обследований, в частности замеры параметров рынка в опорных пунктах Обычно фирменных магазинах производственного предприятия, иногда в форме мониторинга, т.е. постоянно ведущегося наблюдения по заранее разработанной программе);
- информация торговых корреспондентов - торговых работников (обычно продавцов), за особую плату регулярно сообщающих о своих наблюдениях за спросом и торговой конъюнктурой, а также информация, собираемая коммивояжерами и торговыми агентами:
- различного рода экспертные оценки и прогнозы (Дельфи-метод, метод мозгового штурма и другие);
- непосредственное наблюдение (например, регистрация времени, затрачиваемого на покупку и т.д.);
- опросы потребителей (в том числе интервьюирование и анкетирование);
- панели потребителей - разовые или постоянные выборочные обследования семей потребителей, которые за специальную плату ведут учет своих доходов и расходов, регистрируют свои покупки, а также отвечают на вопросы, интересующие фирму (а частности о своих мнениях и предпочтениях, поведении на рынке и т.д.); обычно панель формируется крупной специализированной маркетинговой или консалтинговой фирмой; государственная статистика семейных бюджетов располагает собственной крупной панелью (более 60 тыс. семей) потребителей:
- эксперимент (присный маркетинг): полевой - оценка и моделирование результатов продажи небольших партий товаров, изучение реакции потребителей на изменение факторов (условий продажи); лабораторный - построение по данным полевых наблюдений имитационной модели типа:
Е=f(х1 , y1 ),
где Е - результат действия системы, в которой хi ( - управляемые параметры (последовательно изменяемые исследователем), у, - неуправляемые параметры.
Сущность Дельфи-метода экспертной оценки заключается в анонимном опросе группы высококвалифицированных экспертов по заранее подготовленной программе. Результаты ранжируются, строится кривая распределения, исчисляются ее параметры: медиана выражает групповое мнение экспертов, межквартильное расстояние - поле согласованное'» и ответов (чем ближе ответы друг к другу, тем точнее оценка). Ответы, оставшихся за пределами 1-го и 2-го квартилей отбрасываются. На втором этапе каждого эксперта знакомят с ответами других экспертов и разрешают изменить мнение. Повторяется прежняя процедура обработки ответов. Обычно межквартильное расстояние при этом сужается, следовательно, повышается степень надежности оценки. В случае необходимости процесс повторяется еще несколько раз. Чем ближе дисперсия оценок к нулю, тем точнее оценка.
Упрощенным вариантом экспертной оценки является конъюнктурное совещание. Руководящие работники фирмы, а также ведущие специалисты собираются на совещание и поочередно высказывают собственные оценки ситуации. В ходе обсуждения сценки сближаются и вырабатывается единая точка зрения.
В зарубежной практике распространен метод логико-смыслового моделирования проблем. Руководители и ведущие специалисты маркетинговой службы на совещании приглашаются выдвинуть и оценить основные проблемы (как стимулирующие, так и сдерживающие маркетинг фирмы), составляется каталог проблем, из которого выводится рейтинг проблем. Проблемы ранжируются, выявляется их приоритетность и важность.
Продуктивным методом экспертных оценок считается мозговой штурм. Формируется коллектив квалифицированных специалистов. которые разделяются на две группы. Группа А генерирует или концентрирует идеи или оценки, группа Б их анализирует и критикует. Происходит свободный обмен мнениями. Процесс координируется и направляется председателем. Оценка, получившая максимальную поддержку, считается надежной.
Выборочные опросы - наиболее распространенная форма получения информации о мнениях, потребностях, поведении потребителей. Различаются индивидуальные интервью - опросы по заранее подготовленной программе (их вариант телефонные интервью) и групповые интервью - свободная беседа в непринужденной обстановке. которую направляет интервьюер, подсказывая темы обсуждения. Выявляется психология потребителей, мотивация их потребностей и т.д. К особому виду опроса относятся тесты, проводящиеся по научно разрабатываемой программе. Успех опроса зависит от разработки программы и квалификации интервьюера, часто опросы проводятся во время выставок-продаж или сочетаются с пробным маркетингом. Самостоятельной и наиболее распространенной формой опроса является анкетирование.
Анкета - таблица с перечнем вопросов, на которые должен ответить респондент. Анкетирование - опрос с помощью анкеты.
Анкета представляет собой вопросник, на который отвечает опрашиваемое лица (респондент). Составление анкеты - сложная исследовательская работа, включающая постановку целей, выдвижение гипотез, формулирование вопросов, разработку выборки, определение способа анкетирования и т.д. Анкетный опрос может быть осуществлен в устной форме, когда регистратор сам заполняет бланк со слов респондента (экспедиционный способ). Другая форма - письменная (метод саморегистрации), когда респондент заполняет анкету собственноручно, а анкета рассылается по почте (корреспондентский способ). Недостатком этого (более дешевого) метода является определенный процент неправильно заполненных анкет. Кроме того, часть анкет вообще не возвращается. Иногда даже проводятся контрольные выборочные обходы опрашиваемых. Метод анкетирования применяется также при организации панелей, работе с торговыми корреспондентами. Анкеты заполняются экспертами, специалистами и т.д. Обычно анкета имеет форму таблицы с напечатанными вопросами и свободным местом для ответа (анкета может быть многостраничной). Традиционная схема включает:
- введение (цель опроса, сведения об опрашивающих: название, характеристика, адрес), гарантия анонимности опроса и доверительность ответов;
- перечень вопросов, характеризующих предмет опроса;
- сведения об опрашиваемых.
Количество вопросов должно быть оптимальным, т.е. обеспечивающим полноту информации, но не чрезмерным, что удорожает обследование (необходим разумный компромисс). Вопросы должны быть составлены в тактичной форме, чтобы не обидеть или не встревожить респондентов и не вызвать негативной реакции с их стороны.
Вопросы анкеты классифицируются по степени свободы, характеру ответов и форме вопросов. Они подразделяются на открытые, когда ответ дается в свободной форме, без ограничений, и закрытые, когда предлагается перечень вариантов ответов, из которых выбирается один или несколько (веер ответов). Часто даются альтернативные вопросы, на которые отвечают: да, нет, не знаю. Важную роль в опросе играют вопросы о намерениях и мнениях, в ответах на них допускается большая степень свободы, чем в вопросах о фактах и действиях. Иногда задаются фильтрующие вопросы, которые имеют целью отсечь часть опрашиваемых, например, если на вопрос "имеется ли у Вас какое-то изделие" респондент отвечает "нет", то вопросы об оценке его свойств излишни. И, наконец, в любой анкете содержатся контрольные вопросы, используемые для оценки достоверности ответов. Формулировка запросов - трудоемкая исследовательская работа, требующая высокой квалификации и эрудиции, знания основ социометрии. Это творческая деятельность, не допускающая механического копирования. Вопросник должен быть увязан с планом разработки анкеты, макетами таблиц, вариантами моделей. В разработке анкет используются статистические методы (группировки, корреляционно-регрессионный анализ и т.д.).
В процессе анкетирования можно выделить определенную последовательность действий, показанную на рис. 9.1.

Тренировочные задания
1. Составьте план маркетингового исследования спроса на товар (по Вашему выбору). План должен предусматривать следующие требования:
- постановку задачи (оценку спроса или его прогноз); должны быть выдвинуты обоснованные гипотезы развития спроса (рост, стабильность, спад), оценки интенсивности изменения, о типе рынка (продавца или покупателя);
- выбор метода сбора информации;
- выбор метода моделирования и прогнозирования.
2. Из числа Ваших знакомых составьте экспертную группу для краткосрочного прогноза (месячного) цен на три товара по Вашему выбору и на выбранном Вами типе рынка (муниципальном, частном, городском сельскохозяйственном и т.д.). Присвойте каждому эксперту балл компетентности (знания рынка) и выведите средний балл (по формуле простой средней арифметической). Попросите их ответить на поставленный вопрос письменно и анонимно (не ознакомляя других экспертов). Ответы (по каждому товару) ранжируйте. Постройте ряд распределения и исчислите его характеристики: квартили, моду, медиану. Отбросьте ответы, попавшие за пределы 1-го и 3-го квартилей, а экспертов, попавших в межквартильное расстояние, ознакомьте со всеми ответами. Разрешите им изменить мнение и проведите 2-й тур. Повторите все операции и исчислите среднюю величину ответов межквартильного расстояния, которая и будет считаться прогнозом. Через месяц проверьте его правильность.
3. Разработайте анкету опроса мнения потребителей о качестве какого-либо товара (или качестве обслуживания в магазине). Попросите друзей заполнить анкету.
Тест
1. Что такое маркетинговое исследование? а) изучение теории маркетинга; б) деятельность маркетинговой службы;
в) любая исследовательская деятельность, направленная на удовлетворение потребностей маркетинга.
2. Что такое маркетинговая информация? а) цифры, факты, сведения и другие данные, необходимые для
оценки и прогноза маркетинговой деятельности; б) динамические ряды, характеризующие развитие экономики; в) статистический банк маркетинга.
3. Что входит во внутреннюю маркетинговую информацию?
а) информация, собираемая фирмой; б) любая информация, которой располагает фирма; в) государственная информация, которую приобрела фирма.
4. Данные опроса потребителей об их намерениях на рынке являются: а) внешней информацией; б) внутренней первичной информацией; в) внутренней вторичной информацией.
5. Дельфи-метод является: а) полевым методом исследования; б) методом экспертных оценок; в) методом статистического моделирования.
6. Мозговой штурм является: а) психологической моделью; б) методом экспертных оценок; в) стратегией маркетинга.
7. Кто такие торговые корреспонденты?
а) торговые партнеры;
б) лица, присылающие в торговые организации жалобы; в) торговые работники, за особую плату представляющие фирме конъюнктурную и другую маркетинговую информацию.
8. Панель потребителей - это: а) часть мостовой; б) деревянная обивка стены; в) выборочная совокупность семей потребителей, представляющих фирме информацию о доходах, расходах, покупках и т.д.
9. Анкета в маркетинге - это: а) таблица (опросный лист) с перечнем вопросов, на которые должен ответить респондент (опрашиваемое лицо); б) листок по учету кадров: в) бухгалтерская ведомость.
10. Что такое полевой маркетинговый эксперимент? а) изучение реакции потребителей на изменение условий пробной продажи небольших партий товаров (пробный маркетинг); б) экспертная оценка рыночной конъюнктуры; в) математическая модель маркетинга.
1.10. Маркетинговое исследование. Часть 2. Маркетинговый анализ и прогнозирование
Маркетинговый анализ представляет собой процесс получения выводов из собранной и надлежащим образом сгруппированной информации. Анализ имеет две ступени:
констатационные оценки состояния и развития рынка и
объяснение сложившейся ситуации, выявление и моделирование причинно-следственных связей, научное прогнозирование дальнейшего развития. Маркетинговый анализ служит целям разработки маркетинговой стратегии, принятия конкретных маркетинговых решений и обеспечения эффективности маркетинговой деятельности фирмы.
Маркетинговый анализ - оценка, объяснение и прогноз рыночной ситуации, процесса товародвижения и собственного потенциала фирмы с помощью статистических, эконометрических и других методов исследования.
Методология маркетингового анализа включает: статистические методы - абсолютные, средние, относительные величины, группировки. индексы, вариационный анализ, корреляционно-регрессионный и многомерный анализ, графический метод, трендовые модели: эконометрическое моделирование - линейное и динамическое программирование. модели, базирующиеся на теории массового обслуживания (теория очереди) и теории принятия решений (теория риска), логистические модели; квалиметрические методы; использование стратегических матриц (решеток) и т.д. Маркетинговый анализ должен быть системным, т. е. охватывать весь рынок и рыночные процессы в их структурной иерархии, в динамическом развитии и во взаимосвязи. Он включает:
- ситуационный (конъюнктурный) анализ;
- анализ потенциала собственной фирмы;
- анализ возможностей конкурента.
1.10.1. Анализ и прогноз рыночной конъюнктуры
Любое маркетинговое мероприятие (решение на выпуск нового товара, заключение контракта на сбыт, уход с рынка, изменение цены и т.д.) осуществляется с учетом рыночной ситуации. Поэтому конъюнктурный анализ - необходимый компонент маркетингового исследования.
Конъюнктура (от лат. conjungo - соединяю, связываю) рынка - конкретная ситуация, сложившаяся на рынке на данный момент или ограниченный отрезок времени, а также совокупность условий, которая эту ситуацию определяет.
Что понимается под рыночной ситуацией, или состоянием рынка?
Степень сбалансированности рынка (соотношение спроса и предложения).
Тип рынка (конкурентный, монополистический и т.д.).
Тенденции развития рынка (изменения, их векторы, скорость и интенсивность).
Масштабы и степень деловой активности (заполненность хозяйственного портфеля фирмы, число и размер заказов, объем сделок и т.п.).
Устойчивость/колеблемость главных параметров рынка.
Уровень риска.
Тенденции рынка определяются на основе анализа изменения основных параметров рынка (продажи, цен, товарных запасов). Визуально рассматриваются динамические ряды темпов роста или их графические изображения (диаграммы). Более надежный вывод базируется на трендовых моделях (статистическом выравнивании), которые не только определяют вектор и скорость развития, но и его характер: ускорение (степенная и показательная кривая, парабола), рост с замедлением (полулогарифмическая кривая), спад с замедлением (гипербола), равномерное развитие (прямая) и т.д. В табл. 10.1 приведены их формулы.
Как видно из рисунков приведенных в таблице, трендовые модели отражают определенные различия в характере и скорости развития рынка. Так, уравнение прямой отражает равномерное развитие, без замедления или ускорения. Уравнения: показательной и степенной кривых, а также параболы 2-го порядка показывают наличие ускоренного развития с различной степенью интенсивности. Следует иметь в виду, что уравнения прямой и параболы, сменив знак "+" на "-" , могут показать зеркально обратный процесс сокращения, падения. Обратное, регрессивное развитие рынка, происходящее с некоторым замедлением, характеризуется уравнением гиперболы. И наконец, уравнение полулогарифмической кривой отражает постепенно затухающий рост рыночных процессов. Кроме названных, в маркетинге применяются и другие, более сложные модели рыночного развития. Однако, используя прикладные программы и ПЭВМ, легко построить любую трендовую модель, отражающую тенденции развития рыночных процессов.
Таблица 10.1 Кривые трендовых уравнений

Трендовые модели используются также для краткосрочных прогнозов, когда есть вероятность инерционного развития рынка. Исходят из того, что сложившиеся в прошлом тенденции можно распространять (экстраполировать) на прогнозируемый период. В формулу уравнения подставляется номер последующего (прогнозируемого n-го периода - tn ). Для долгосрочного периода, когда меняются условия рынка, этот метод мало подходит.
Важным этапом конъюнктурного анализа является характеристика устойчивости развития рынка. Чем больше размах колебаний, тем выше уровень риска, менее надежны прогнозы. Колеблемость рынка проявляется в отклонениях фактических уровней от линии тренда, выражающей тенденцию развития. Визуально определить степень устойчивости рынка можно по графическому изображению, а более точно - с помощью следующей формулы:

n - число уровней динамического ряда.
В зависимости от полученных характеристик даются оценки развития и состояния рынка:
сильный (развивающийся) рынок;
устойчиво развивающийся рынок;
неустойчиво развивающийся рынок;
стабильный рынок (при высокой активности торговли);
стагнирующий рынок (при низкой активности торговли);
спад рыночной активности;
сокращение рынка.
Количественно оценить покупательский спрос на локальном рынке какого-то товара не представляется возможным. Могут быть даны только косвенные, качественные (атрибутивные) оценки на основе наблюдения за изменениями продажи, цен, товарных запасов, поступления товаров (поставки). Эти показатели называются индексами деловой активности. При их анализе исходят из следующих предпосылок: если рост поставки сопровождается ростом продажи, стабильностью или снижением цен и сокращением запасов, то спрос растет (повышенный спрос); если при увеличении поставки продажа неизменна или падает, цены снижаются, а запасы растут, то спрос ограничен или снижается и т.д. Для характеристики рыночной ситуации составляется конъюнктурная таблица (табл. 10.2).
Таблица 10.2 Оценка конъюнктуры рынка
| Индикаторы рынка |
Характеристика рынка |
|||||||||||
| Поставка |
Продажа |
Запасы |
Цены |
|||||||||
| Р о с т |
с т а б. |
с п а д |
Р о с т |
с т а б. |
с п а д |
Р о с т |
с т а б. |
с п а д |
Р о с т |
с т а б. |
с п а Д |
|
| + |
+ |
+ |
+ |
+ |
Стагниру-ющий рынок |
|||||||
| + |
+ |
+ |
+ |
+ |
Развивающийся рынок |
|||||||
| + |
+ |
+ |
+ |
+ |
+ |
Стабильный рынок |
||||||
| + |
+ |
+ |
+ |
Дефицитный рынок |
||||||||
Анализ дополняется сопоставлением темпов роста продажи и запасов, указывающим на сбалансированность или разбалансированность рынка:

Существует ряд других приемов конъюнктурного анализа, но их суть неизменна - сопоставление между собой индикаторов рынка и индексов деловой активности, оценка спроса и предложения. Следует принимать во внимание, что в подобной оценке состояния рынка всегда содержится элемент субъектизма. Поэтому в маркетинге давно делались попытки создать экономический барометр - многофакторную модель, включающую все или основные параметры рынка. Оказалось, однако, что это связано с большими методологическими трудностями, часто непреодолимыми. В связи с этим исследовательская мысль пошла по иному пути - пути создания многомерной количественной (балльной) оценки основных параметров. Каждому параметру (безразлично как охарактеризованному - количественно, качественно, атрибутивно или альтернативно) в соответствии с данной характеристикой экспертным путем присваивается балл Bi , а также вес Wi , который отражает роль i-го параметра в формировании рыночной ситуации.
Затем по формуле средней арифметической взвешенной рассчитывается средний балл, который служит интегрированной оценкой состояния и развития рынка. Иногда его называют стратегическим индексом или индексом рыночной ситуации (I рын.сит.):

Чем больше этот индекс, тем благоприятнее конъюнктура, перспективнее данный рынок. Метод расчета таких индексов иногда используют в стратегических матрицах (см. раздел 1.3).
Важное место в конъюнктурном анализе занимает определение емкости рынка.
Емкость рынка - количество товаров, которое рынок способен поглотить (приобрести) за некоторый срок и при определенных условиях.
Принципиальная формула расчета емкости рынка такова:

Необходимость выделения групп потребителей связана с дифференциацией спроса по социальному и половозрастному признакам. Эти различия определяются с помощью специальных обследований (в частности по данным панельных обследований или государственной статистики семейных бюджетов). Введение поправки на изменение цен и доходов обусловлено тем, что спрос крайне эластичен, он гибко изменяется при колебаниях цен и дохода.
Она измеряется коэффициентом, определяемым по формуле

При Э<1 проявляется явление инфраэластичности, товар считается неэластичным, и спрос не поддается регулированию;
при Э=1 спрос считается унитарным или слабоэластичным, его регулирование не имеет смысла;
при Э<1 проявляется явление ультраэластичности, спрос поддается регулированию путем изменения цен или дохода.
У приведенной формулы (ее называют эмпирическим коэффициентом эластичности), несмотря на ее простоту и доступность, имеется существенный недостаток: она отражает влияние на спрос одного фактора, при этом подразумевается, что изменение целиком обусловлено действием данного фактора, хотя на самом деле это не так. На спрос одновременно влияет комплекс факторов, что можно отразить с помощью многофакторной модели спроса:
![]()
где у - спрос;
bi , - коэффициенты регрессии, отражающие влияние соответствующего i-го фактора; xi - факторы; n - число i-х факторов.
По параметрам многофакторного уравнения регрессии можно построить "чистые" коэффициенты эластичности (их называют "теоретическими"), освобожденные от влияния других факторов:

Многофакторная модель спроса используется также в целях прогнозирования. В этом случае она строится по данным динамических рядов и в нее дополнительно вводится фактор времени (1). Она учитывает все изменения факторов, но для этого надо знать их прогнозные значения (можно заменять фактические данные гипотезами: если такие-то факторы будут на данном уровне, то спрос составит определенную величину, если факторы будут иными, то спрос будет иметь другое значение). Напомним, что прогноз может быть достаточно надежно осуществлен методами экспертных оценок. Иногда развернутый прогноз дается в форме сценария, где сочетаются различные методики, а точечный прогноз заменяется многовариантным. Используются методы описательного анализа собственных действий, строятся предположения о встречных действиях конкурентов.
1.10.2. Анализ качества продукта
Важным моментом оценки собственных возможностей фирмы является самосертификация: характеристика уровня качества и конкурентоспособности товара. Чаще других используются квалиметрические балльные оценки отдельных свойств товара. Осуществляются замеры технических (жестких) параметров и их сопоставление со стандартами или соответствующими параметрами товара-конкурента. Эстетические (мягкие) параметры оцениваются экспертным путем. По полученным данным исчисляются так называемые частные и сводные параметрические индексы. Сводные показатели исчисляются как средние арифметические из выставленных параметрам баллов. В качестве весов используются ранги значимости каждого параметра, выводимые экспертным путем. Интегрированный показатель качества определяется по следующей формуле:

где В - интегрированный показатель качества товара;
Bi - уровень качества отдельного i-го параметра (параметрический индекс);
Fi - вес (ранг) значимости i-го параметра (его роли в потреблении).
Вариантом рассмотренной модели служат оценки товара потребителями, которые рассматриваются как индикаторы предпочтений потребителей, а также характеристика важности отдельных свойств товара, с точки зрения, потребителей. Они выводятся по результатам опроса (анкетирования) потребителей.
На основе опроса потребителей или экспертов строятся модели восприятия товара: "продукт - рынок". Используется метод многомерного шкалирования, суть которого заключается в том, что потребитель определяет место продукта (одной из марок) на шкале, отражающей определенную характеристику. Впоследствии они статистически обрабатываются (исчисляются средние, модельные величины и т.д.). Модель отражает место товара на рынке ( рис. 10.1).
Аналогичным образом можно оценить факторы и критерии положения фирмы (как собственной, так и конкурирующей), выявить имидж торговой марки, охарактеризовать конкурентоспособность товаров и фирм и т.д.

Рис. 10.1. Модель рынка N-го товара (12 марок)
В маркетинговом анализе диверсификации (см. раздел 1.3) часто используется так называемый АВС- анализ. Его цель - выявить перспективность ассортиментной политики (см. разделы 1.4 и 1.5). Для этого строится кривая концентрации Лоренца, по оси абсцисс располагаются ассортиментные группы, расположенные в порядке убывания их доли в общем объеме продажи, а по оси ординат - размер товарооборота. Ассортиментные группы подразделяются на три блока по выбранным критериям (продажа, прибыль издержки). Блоки А, В, С соответствуют большому вкладу в общий сбыт (ассортиментные группы 1-4), среднему вкладу (5-7) и небольшому вкладу (8-20). Выявив подобные ассортиментные блоки, фирма должна проводить политику сокращения или исключения блока С, чтобы уменьшить малопроизводительные затраты и диверсифицировать блок А, уменьшая риск оказаться в зависимости от результатов продвижения небольшого числа товаров (рис. 10.2).
В аналитическом обеспечении разработки маркетинговой стратегии фирмы широко применяются методы портфолио-анализа, в частности построение стратегических матриц (решеток), которые позволяют охарактеризовать позицию (рейтинг) фирмы на рынке, отражающую комбинацию сложившейся рыночной ситуации и достигнутого потенциала фирмы (см. разд. 1.3). .
1.10.3. Методы оценки риска
Маркетинг призван уменьшить степень риска, который обусловлен неопределенностью достижения желаемого результата в условиях действия множества факторов, в том числе и случайных. Задача маркетингового исследования - определить вероятность риска и измерить его интенсивность, выделишь факторы риска, поддающиеся и не поддающиеся воздействию.

Рис. 10.2. Пример АВС-анализа
(см.: Дихтль Е., Хершген X. Практический маркетинг / Пер. с нем. - М.: Высшая школа, 1995. - С.71)
Коммерческий риск - это вероятная опасность потерпеть поражение на рынке (не продать товар, не получить запланированную прибыль или понести убытки, быть вытесненным с рынка и т.д.).
Устранить риск совершенно, застраховать себя на 100 % практически невозможно. Однако следует установить, является ли риск допустимым или чрезмерным, недопустимым. Известны несколько методов прогнозирования риска. Это экспертные оценки (иногда, особенно в малом бизнесе, используются интуитивные оценки риска, основанные на опыте и таланте коммерсанта); оценки вероятности риска с помощью статистических и вероятностных методов, базирующихся на теории принятия решений; балльные оценки риска (к ним относится метод использования стратегических матриц, описанный в разделе 1.5)
Суть балльного метода в следующем: каждый риск R описывается определенным числом n i-x факторов (критериев риска). Значения каждого из них экспертным путем ранжируются по вероятности наступления риска и нормируются, т.е. каждому присваивается определенный балл Bi , как правило от 1 до 10. Экспертным путем определяется вклад каждого фактора в совокупный риск Wi . Сумма весов обычно приравнивается к 1.
![]()
Чем ближе R к 1, тем меньше риск, а к 10- тем он выше.
1.10.4. Моделирование потребительского поведения на рынке
Для разработки маркетинговой стратегии и конкретных маркетинговых мероприятий огромное значение имеет моделирование поведения потребителей на рынке, выявление их мнений и предпочтений, мотивации покупок. Это необходимая предпосылка формирования системы стимулирования спроса. Информационной базой этого анализа служат опросы потребителей, включая анкетирование и панели.
Изучается реакция покупателей на товарное предложение и определенные маркетинговые мероприятия, устанавливаются побудительные причины покупки, степень удовлетворенности покупателей свойствами товара, в том числе его ценой, изучается психологическое отождествление качества товара и его цены.
В анализе поведения потребителей используются, как правило, три статистических метода: ряды распределения потребителей по одному из признаков (например, распределение потребителей по времени признания товара); структурные и аналитические группировки, в том числе комбинированные, позволяющие охарактеризовать состав покупателей и зависимость выбора товара от каких-либо причин, например от социального статуса семьи и ее типа, психологических факторов и т.п.; многофакторные регрессионные модели, которые выявляют обусловленность покупки набором каких-либо факторов, например, демографических, экономических и т.д.
В виде примера приведем в табл. 10.3 одну из моделей (цифры условные).
Таблица 10.3 Модель покупательских предпочтений
| Группы покупателей с денежным доходом |
Цена товара |
Распределение покупателей (в %) |
|||
| по цене покупки |
по времени признания товара |
||||
| раннее |
среднее |
позднее |
|||
| Низким Высоким |
Низкая Высокая Низкая Высокая |
90 10 20 80 |
60 50 |
30 10 30 40 |
10 90 70 10 |
1.10.5. Анализ поведения конкурентов на рынке
Анализ конкуренции и конкурентов представляет одну из самых сложных проблем в маркетинговом исследовании. Основные трудности, как уже говорилось, связаны со сбором достоверной и полной информации о конкурентах. Главное препятствие на этом пути - коммерческая тайна и непредсказуемость поведения конкурента. Однако косвенная информация, экспертные оценки и логически обоснованные гипотезы позволяют получить определенное представление о стратегии конкурентов. Конкурент может засекретить свои намерения, но свои действия ему скрыть трудно.
Первой задачей маркетингового анализа является определение круга и состава конкурентов. Для этой цели пригодны регистры и данные непосредственного наблюдения. Затем используется следующая схема характеристики конкурентов:
Размер конкурирующих фирм (размер предприятий по используемой площади, числу работающих, объему продаж, финансово-кредитному потенциалу и т.п.), ассортимент их товарооборота, их доля на рынке, контингент клиентов;
Тенденции сбыта/продажи товаров, изменение доли на рынке, т.е. характер развития конкурентов (рост, стабильность, спад);
Цены конкурентов (по сопоставимому кругу товаров): их уровень по отношению к средним ценам рынка и ценам на товары Вашей фирмы, динамика цен на товары конкурентов по отношению к ценам рынка и ценам Вашей фирмы, экспертный прогноз поведения конкурента;
Инновационная политика конкурентов (по их заявлениям, косвенной информации, пробному маркетингу и т.п.): наличие нового товара, его свойства и конкурентоспособность, вероятная цена, время вывода на рынок;
Коммерческая политика конкурентов: методы сбыта/продажи товаров, формы и качество обслуживания клиентуры;
Стратегия конкурентных действий: а) жесткая конкуренция - мягкая конкуренция; б) ценовая - неценовая; в) наступательная, оборонительная, отступательная;
Сегментационная и диверсификационная политика конкурентов: на каких сегментах и рынках выступают конкуренты (выясняется, какую угрозу они представляют интересам Вашей фирмы);
Реакция конкурента на реальные или маскирующие маркетинговые мероприятия фирмы (эластичность реакции как процентное отношение изменений фирмы, предпринимающей действие, к изменениям реагирующей фирмы): близкая к 0 - отсутствие реакции; в пределах 0,2-0,8 - частичная адаптация; в пределах 0, 8 - 1 подготовка к отпору; свыше 1 - эскалация действий конкурентов;
Экспертная оценка сильных и слабых сторон конкурента, психологический портрет менеджера конкурирующего предприятия.
Совокупность этих оценок послужит базой разработки стратегии Зашей фирмы. Допустимо определять количественную интегральную оценку на основе экспертных балльных оценок каждой конкурентной позиции. На этой основе определяется конкурентное преимущество.
Тренировочные задания
1. По данным конъюнктурной карты дайте оценку состояния покупательского спроса: ограниченный спрос, стабильный спрос, растущий спрос.
| Производство (предложение) |
Продажа (сбыт, товарооборот) |
Товарные запасы |
||||||
| рост |
без изменения |
снижение |
рост |
без изменения |
снижение |
рост |
без изменения |
снижение |
| + |
+ |
+ |
+ |
|||||
2. Рассчитайте емкость рынка некоего товара по следующим данным: численность потребителей в сегменте - 875 тыс. чел.; уровень потребления в базисном году составил 80 ед. в год; поправка на эластичность спроса составляет сокращение в 2 ед. на 1% роста цен (по прогнозу в текущем году цена вырастет на 3%); по данным обследования у населения имеется 10 млн. ед., причем физический износ составляет в среднем 40% наличия, а моральный - 10%. Известно, что нетоварное потребление этого товара достигает 25 млн. ед.
3. Построен динамический ряд продажи товара (в млрд. руб., в сопоставимых ценах):
| Месяцы |
1 |
2 |
3 |
4 |
5 |
6 |
7 |
8 |
9 |
10 |
11 |
12 |
| Продажа |
10 |
8 |
14 |
15 |
12 |
20 |
17 |
23 |
23 |
27 |
25 |
32 |
По приведенным данным:
Определите основную тенденцию продажи товара;
Определите устойчивость (колеблемость) спроса;
Выполните прогноз (экстраполяцию) спроса (продажи) на два последующих месяца.
Тест
1. В чем заключается роль маркетингового анализа? а) он позволяет изучить рынок и дать прогноз его развития; б) он позволяет организовывать учет и разработать отчетность; в) он позволяет сформировать статистический банк маркетинга.
2. Что такое емкость рынка?
а) вместительность складских помещений и магазинов; б) объем (количество) товаров, который может поглотить рынок при определенных условиях и за определенное время; в) количество товаров, купленное в предшествующем периоде.
3. Что такое коэффициент эластичности спроса? а) количество товара, которое можно купить за определенную
сумму денег, равную розничной цене; б) часть денежного дохода, предназначенная для покупки; в) процентное изменение спроса (продажи), являющееся результатом роста факторного признака на один процент.
4. В чем заключается прогнозирование спроса? а) в планировании объема продажи на последующий период; б) в научном предсказании развития спроса с помощью статистического моделирования или экспертных оценок; в) в разработке стратегической матрицы (решетки).
5. Что такое ситуационный анализ?
а) характеристика структуры маркетинговой службы фирмы; б) оценка политической ситуации; в) анализ состояния и развития рыночной конъюнктуры.
6. Как определить уровень рыночного риска?
а) обратиться к астрологам; б) экспертным путем рассчитать средний балл риска; в) рассчитать отношение товарооборота к товарному запасу.
7. Что такое степень сбалансированности рынка? а) соотношение спроса и предложения: б) соотношение прибыли и затрат; в) баланс товарных ресурсов.
8. Для какой цели строится трендовая модель? а) чтобы отразить тенденции рынка и экстраполировать их; б) чтобы измерить силу влияния цен на спрос; в) чтобы получить характеристику качества товаров.
9. Как определить устойчивость рынка? а) с помощью оценки поведения конкурентов; б) с помощью коэффициентов вариации (в статике) и коэффициентов апроксимизации (в динамике) основных параметров рынка; в) с помощью коэффициентов эластичности.
10. Как исчислить интегрированный показатель качества товара?
а) по продолжительности его службы; б) по тому, как он пользуется спросом; в) с помощью квалиметрических балльных оценок параметров товара и расчета средневзвешенного балла качества.
2. Выводы
Маркетинг возник как объективная потребность в упорядочении рыночной деятельности, снижении уровня стихийности рынка, обеспечении его "прозрачности" и предсказуемости развития. Под маркетингом понимают любую деятельность на рынке, направленную на удовлетворение потребностей, т.е. деятельность по доведению товаров от производителя до потребителя.
Концепция маркетинга основывается на теории приоритета потребителя и заключается в ориентации на интересы рынка. Ее естественным продолжением стала концепция социально-этического маркетинга, которая исходит из требования не только удовлетворения конкретных потребностей, но и обеспечения интересов общества в целом (в частности экологической безопасности). Общественное влияние в маркетинге проявляется в форме консьюмеризма - движения в защиту прав потребителей.
Функции маркетинга складываются из пяти блоков: планово-информационного, инновационно-сбытового и ценообразования, регулирования рынка, товародвижения и дистрибьюции, управления продвижением товаров.
Маркетинг конкретной фирмы испытывает воздействие окружающей среды, т.е. комплекса сил и факторов, часть которых контролируется фирмой (факторы микросреды), а к влиянию другой части -неконтролируемых факторов (макросреды) - фирме приходится адаптироваться. В рамках маркетинга фирмы формируется система регулирования (стимулирования) спроса.
Конкретная программа маркетинговых действий фирмы разрабатывается на основе оперативных и перспективных планов, где координируются различные направления, выделяются приоритеты, разрабатываются контрольные цифры. План маркетинга базируется на разработке соответствующей стратегии - составной части маркетингового процесса. Учитываются факторы сбалансированности спроса и предложения, этап ЖЦТ, качество товара, массовость или уникальность товара, мода, престижность и т.д. Цена как инструмент стимулирования спроса используется для управления запасами (распродажей товаров). Требование маркетинга - гибкость цен.
Используются различные методы ценообразования: затратный, ориентации на спрос (на мнения и предпочтения потребителей), метод аукциона, метод эксперимента (по результатам пробного маркетинга), параметрический метод (по данным экспертных оценок), методы ориентации на конкурента, методы калькуляции (производственные методы).
Вся маркетинговая деятельность в той или иной форме связана с главным рыночным процессом - товародвижением, которое имеет две стороны: физическое перемещение товаров в географическом пространстве и движение товаров в экономическом пространстве (переход права собственности на товар от одного владельца к другому). Формируется канал товародвижения - экономический путь товара, цепочка участников, по которой товар последовательно переходит от одного уровня к другому, пока не достигнет потребителя. Решается проблема участия в этом процессе торгового посредника - дистрибьютора. Существуют варианты при которых производителю выгоднее продавать товар потребителю без посредников (канал нулевого уровня), однако в большинстве случаев необходимо участие посредников различного типа. Часто происходит взаимовыгодная интеграция всех участников канала в вертикальную маркетинговую систему, которую отличает высокая согласованность действий как производителя, так и дистрибьюторов.
Сбыт товаров на конкурентном рынке требует значительных усилий по продвижению товара, т.е. комплекса мероприятий по формированию привлекательного образа товара и продающей его фирмы в представлении потребителя. Ведущая роль в этом процессе принадлежит рекламе. Одновременно используются различные формы деловых связей (паблисити), связи с общественностью (паблик рилейшнз), система стимулирования заинтересованности в покупке и привлечения покупателей за счет высокого качества обслуживания (сервиса).
Исключительно важную роль в маркетинге играет информационно-аналитическое обеспечение его управленческих и других потребностей. Маркетинговое исследование складывается из сбора и обработки информации, ее анализа и прогнозирования, получения выводов и составления рекомендаций. В методологии маркетингового исследования ведущее место занимает статистический метод.
В маркетинговой информации различаются первичная информация, собираемая фирмой специально для маркетинговых целей (опросы, анкетирование, данные панельных обследований, экспертные и экспериментальные оценки и т.д.), и вторичная информация, собираемая для других целей, но используемая также и для маркетинга фирмы (разного рода публикации, данные государственных ведомств, научные источники и т.д.).
Маркетинговый анализ охватывает оценки рыночной конъюнктуры, прогнозы спроса, расчет емкости рынка, оценки риска, характеристику собственных возможностей фирмы и качества ее товаров, оценки потенциала конкурентов, изучение поведения, мнений и предпочтений потребителей, анализ эффективности маркетинга.
В маркетинговом анализе используются методы как неформального анализа (описательного, базирующегося на качественных, атрибутивных оценках и т.п.), так и формализованного анализа (основанного на количественных оценках, моделировании рыночных процессов и явлений и т.п.).
Самостоятельное и очень важное место занимает прогнозирование тенденций и пропорций рынка. Для этой цели применяются как сравнительно простые методы экстраполяции трендов, так и более сложные - многофакторные прогнозные модели. Все шире внедряются многовариантные сценарии развития рынка, где используется комбинация различных методов, в том числе Дельфи-метода экспертных оценок.
1. Сформулируйте цели маркетинга промышленной, торговой или иной фирмы (по Вашему выбору), выступающей на рынке товара N (выберите наиболее известный Вам товар), и разработайте перечень конкретных задач маркетинга данной фирмы на определенную перспективу. Одновременно дайте краткую характеристику рынку (монопольный, конкурентный, рынок продавца или рынок покупателя), определите масштаб операций (объем товарооборота) и долю данной фирмы на этом рынке.
2. На основе блок-схемы функций маркетинга разработайте перечень конкретных функций каждого блока для определенной промышленной, торговой или иной фирмы (по Вашему выбору) в зависимости от выдвинутых Вами задач. Одновременно покажите взаимодействие маркетинга фирмы с государственными структурами и консьюмеристским движением. В какой форме реализуются права продавца и обеспечиваются (данной фирмой) права покупателя, соблюдаются ли фирмой принципы социально-этического маркетинга, связаны ли с этим дополнительные затраты? Каким образом они компенсируются?
1. Пример. Задачи фирмы, занимающейся производством и сбытом детской верхней одежды в одном из регионов:
1) выделить сегменты по региональному (географическому) и демографическому (половозрастному и антропометрическому) признакам;
2) определить емкость рынка каждого сегмента;
3) разработать по договору со школами новый вид школьной одежды, дифференцированный по возрасту и стоимости;
4) выявить возможности конкурентов и оценить их потенциальную долю рынка;
5) организовать пробный маркетинг;
6) найти подходящих дистрибьюторов или организовать прямой маркетинг (нулевой канал товародвижения);
7) заключить контракты.
Рынок - конкурентный, на нем действуют, кроме нашей, еще 5 фирм. Объем розничного товарооборота (масштаб, размер рынка) - 50 млрд. руб., доля нашей фирмы - 10%. Предложение превышает спрос, т.е. имеем рынок покупателя.
2. Можно разработать следующий перечень функций:
осуществить оценку рыночной конъюнктуры, составить прогноз спроса, оценить собственный потенциал и возможности конкурентов;
разработать стратегию наступления на рынке, создать систему стимулирования сбыта и ценовую политику, подготовить план и программу маркетинговых действий по разработке конкурентоспособного товара и вывода его на рынок;
заключить договоры с поставщиками сырья и оборудования и дистрибьюторами;
развернуть рекламную кампанию.
Тренировочные задания к разделу 1.1
3. Разработайте схему организации маркетинговой службы крупной или средней фирмы (любой отрасли) по одному из организационных типов (матричному, функциональному или комбинированному). Опишите функции каждого подразделения маркетинговой службы и функции ее руководителя по координации их деятельности (для выбранного Вами типа и размера фирмы и ее позиции на рынке). Составьте схему структуры фирмы, выделите маркетинговые подразделения, покажите их связи и потоки информации.
Ответ/Решение
3. Используем комбинированную схему организации маркетинговой службы фирмы, выпускающей детскую одежду, положив в основу матричную систему выделения региональных подразделений и создав в каждом из них по две секции по возрастному признаку (младших и старших школьников). В секциях распределим обязанности между работниками по функциональному признаку. Во главе маркетинговой службы поставим маркетинг-директора на правах первого заместителя менеджера фирмы.
Тренировочные задания к разделу 1.2
1. Какие географические сегменты выберут среднее предприятие с производственно-сбытовой мощностью в 3 млн. ед. в год и малое предприятие с мощностью в 500 тыс. ед.?
Параметры сегментов рынка
| Сегменты |
Емкость рынка, тыс. ед. |
Число конкурентов |
Их доля в сегменте, % |
Средняя норма прибыли (в % к затратам) |
Цена за ед., тыс. руб. |
| 1 2 3 4 |
8500 6000 4500 1000 |
5 6 2 1 |
90 80 40 50 |
50 48 55 42 |
100 95 98 80 |
2. Фирма планирует выпускать наручные часы. Для проведения сегментации рынка использованы четыре признака с двумя градациями каждый: возраст (дети, взрослые), пол (мужской, женский), доход (высокий, низкий), род занятий, точнее, тип труда (умственный, физический).
Определите число сегментов с учетом "стирания" границ между неразличимыми группами.
1. Малое предприятие выбирает сегмент 4, а более крупное - сегмент 3.
2. Выделяются две однородные группы: взрослые (число вариантов 2х2х2=8, так как род специфических занятий может повлиять на выбор вида часов, например для военных, спортсменов и т.д.) и дети (число вариантов 2х2=4, так как сказываются главным образом факторы пола и дохода семьи). Следовательно, имеется 12 вариантов, что может привести к распылению средств. Рекомендуется среднему предприятию ограничиться 2-3 сегментами, где ниже уровень конкуренции.
3. По данным следующей таблицы:
Информация о сегментах рынка
| Характеристики сегмента |
Сегменты |
||
| 1 |
2 |
3 |
|
| Размер, тыс.ед. Интенсивность потребления (на одного потребителя) Доля рынка |
1000 3 1/30 |
1800 1 1/20 |
1300 1 1/10 |
Маркетолог фирмы должен выбрать один из сегментов по критерию максимума размера сбыта.
Примечание. Ожидаемый объем сбыта рассчитывается по формуле: размер рынка х интенсивность потребления х доля рынка.
3. Объем сбыта рассчитывается по формуле
Q=N x w x d, где Q - объем сбыта; N - размер рынка; w - интенсивность потребления; d - доля рынка. Q1
=100; Q2
=90; Q3
=130. Следовательно, предпочтительнее третий сегмент.
Тренировочные задания к разделу 1.3
1. На рынке выступают три крупные фирмы:
фирма А специализируется на одном товаре. Конкурентов не имеет. Емкость рынка примерно соответствует производственно-сбытовому потенциалу фирмы. Прибыль стабильна и достаточна;
фирма В выступает на двух рынках с различными товарами. Конкуренция умеренная. Дальнейшей перспективы расширения доли рынка не имеется. Портфель заказов заполнен на 2/3. За счет роста прибыли образовались значительные инвестиционные резервы;
фирма С выступает на восьми сегментах с различными товарами. На четырех из них идет ожесточенная конкурентная борьба. Прибыль недостаточна для дальнейшего развития дела. Четыре сегмента приносят прибыль, а другие четыре - убыток.
Оцените степень диверсификации в каждой фирме, внесите свои предложения по разработке стратегии каждой фирмы.
Ответ/Решение
1. Фирма А не применяет стратегии диверсификации (категория так называемых "гордых львов").
Фирма В - умеренная диверсификация, выбран дополнительный сегмент для пополнения портфеля заказов (категория "мощные слоны").
Фирма С - чрезмерная диверсификация (категория "неповоротливые бегемоты"), приведшая к распылению средств. Рекомендуется уйти из сегментов с высокой конкуренцией, приносящих убыток, и поддержать оставшиеся 4 сегмента, приносящие прибыль.
2. Тестирование параметров рыночной ситуации и собственных возможностей трех фирм дало следующие результаты:
фирма 1 имеет недостаточный (слабый) потенциал и выступает на неперспективном рынке;
фирма 2 обладает значительным (сильным) потенциалом, но также выступает на неперспективном рынке;
фирма 3 обладает сильным потенциалом и выступает на развивающемся, перспективном рынке.
На основе приведенных фактов с помощью стратегической матрицы покажите позицию фирм на рынке, оцените их риск и рекомендуйте каждой фирме соответствующую стратегию поведения на рынке.
2. Строится матрица: Рыночная ситуация

Фирме 3 рекомендуется стратегия атаки (расширения доли рынка); фирме 2 - стратегия обороны (ресурсосберегающая стратегия сохранения прежних позиций); фирме 1 - стратегия отступления (ухода с рынка).
3. Разработайте план чистой прибыли и рентабельности от реализации товаров на 6-й период времени. Используйте для этого следующие данные:
а) прогноз товарооборота и условно-постоянных издержек обращения (методом экстраполяции по линейной модели тренда y=a+bt). Исходные данные приведены в таблице, в млн. руб.
| Периоды (t) |
1 |
2 |
3 |
4 |
5 |
| Товарооборот Постоянные издержки |
100 4 |
118 6 |
142 7 |
160 11 |
185 12 |
б) переменные издержки обращения в средне составляют 7% к товарообороту;
в) наценка (валовый доход, реализованное наложение) - 25% к товарообороту;
г) налоги и прочие платежи - 40% от суммы валовой прибыли. Примечание. Для расчета целевой прибыли используйте формулы: валовая прибыль=реализованное наложение - издержки; чистая прибыль=валовая прибыль - налоги и прочие платежи.
З. Тренды: товарооборота - yi =77,4+21,2t; издержек - yt =2,2+l,8t.
Прогнозы (экстраполяция): товарооборота 77,4+21,2х6=204,6; постоянных издержек 2,2+1,8х6=13,0. Переменные издержки составили 204,6х0,07= 14,3, общая сумма издержек 13,0+14,3=27,3. Валовый доход 204,3х0,25=51,1. Валовая прибыль 51,1-27,3=23,8. Чистая прибыль 23,8-(23,8х0,4)=14,3. Рентабельность: прибыль в процентах к товарообороту

1. Предложите мероприятия по разработке товара и выводу его на рынок; оцените качество товара (по Вашему выбору) экспертным путем с помощью десятибалльной шкалы. Примечание. Каждому свойству товара экспертным путем присвойте ранг, соответствующий значению данного свойства в принятии решения на покупку; сумма рангов должна быть приравнена к 1.
1 . Мероприятия:
1) выявить емкость рынка, оценить степень дифференциация потенциальных потребителей (методом группировки), вы' брать сегмент по одному или комбинации признаков;
2) провести выборочный опрос (анкетирование) или осуществить пробную продажу с целью выявить отношения потребителей к товару;
3) на основе выборочного обследования смоделировать жизненный цикл товара по признаку времени признания товара потребителями;
4) скалькулировать себестоимость и стартовую цену товара;
5) спланировать (спрогнозировать) затраты и прибыль;
6) найти дистрибьюторов и заключить с ними контракты на поставку товара;
7) организовать рекламную кампанию и провести другие мероприятия по продвижению товара на рынок.
Пример упрощенного расчета интегрального показателя качества телевизора приводится в следующей таблице:
2 . Оцените потребительскую привлекательность продукта (по Вашему выбору) по десятибалльной шкале исходя из следующих критериев:
а) назначение (функциональность, многофункциональность) и степень полезности товара;
б) качество материала, из которого изготовлен продукт (натуральный продукт, заменитель и т.д.); в) эстетичность и дизайн продукта; г) соответствие моде, престижность; д) удобство в использовании и уходе (хранении); е) соответствие цены качеству товара, доступность цены.
| № п/п |
Параметры |
Баллы |
Ранг |
Произведение |
||
| эталон |
факт |
эталон |
факт |
|||
| 1 |
Качестов изображения |
10 |
10 |
10 |
100 |
100 |
| 2 |
Яркость |
10 |
9 |
10 |
100 |
90 |
| 3 |
Цвет- |
10 |
9 |
10 |
100 |
90 |
| 4 |
Качество звука |
10 |
8 |
10 |
100 |
80 |
| 5 |
Удобство управления |
10 |
4 |
7 |
70 |
28 |
| 6 |
Дизайн |
10 |
7 |
8 |
80 |
56 |
| 7 |
Наличие таймера |
10 |
0 |
5 |
50 |
0 |
| ИТОГО |
- |
- |
60 |
600 |
444 |
|
![]()
Таким образом, качество товара недостаточно высокое: на 36% ниже эталонных требований (7,4: 10х100=74%).
2. Куртка из кожзаменителя, элегантная и модная, но выгорает на солнце, требует тщательного ухода, цена высокая. Баллы привлекательности: а) 7; б) 5; в) 10; г) 9; д) 4; е) 3. В=38: 6=6,3 балла, т.е. средняя привлекательность.
3. В фотомагазине состоялась выставка-продажа. Была предложена новинка - электронный фотоаппарат с устройством демонстрации снимков на экране телевизора. В широком ассортименте продавались обычные фотоаппараты, а также сменные фотообъективы, штативы, фотопленка, фотобумага и т.п. Была организована обработка пленок и печатание» снимков со скидкой в 25% при предъявлении чека на купленный в магазине фотоаппарат. По низкой цене продавался фотоаппарат "для школьников младших классов". Укажите, какие товары относятся к классу товаров-лидеров, какие - к товарам-локомотивам, товарам поддержки, зазывным товарам.
3. Товар-лидер - электронный фотоаппарат; товар-локомотив -обычный фотоаппарат; товары поддержки - объективы, пленка, фотобумага и т.д.; зазывной товар - фотоаппарат для школьников.
I. Классифицируйте степень новизны товара (по Вашему выбору) по следующим критериям:
а) товар удовлетворяет качественно новые потребности, является результатом НТП (пионерный товар);
б) у товара появились новые функции (модернизация);
в) свойства товара изменились незначительно, изменился внешний вид товара (модификация);
г) товар является новым только для данного рынка (товар рыночной новизны);
д) изменилась только упаковка (косметическое обновление).
1. Пример. Пионерный товар (в свое время) - цветной телевизор; у телевизора появляются таймер, часы, телетекст, календарь, калькулятор; новый дизайн телевизора (отказ от деревянного полированного корпуса); появление в 70-х гг. цветного телевизора было новым для отечественного рынка, так как в США он продавался десятилетие до этого момента.
2. По следующим данным рассчитайте базисные, цепные и средние темпы роста, а также составьте графическую и регрессионную модели, характеризующие реакцию спроса (продажи) на изменение цен (следует подобрать адекватную функцию). Кроме того, вычислите теоретический коэффициент эластичности спроса.
| Периоды |
1 |
2 |
3 |
4 |
5 |
| Продажа товара Q в расчете на душу населения, ед. |
250 |
230 |
160 |
150 |
100 |
| Цена, тыс. руб. / ед. |
10 |
11 |
12 |
13 |
14 |
Регрессионная модель выражается зависимостью:
![]()
где Y - спрос (продажа на душу населения); х - цена; -х- и -у- их среднемесячные значения; Y' - первая производная функции (в линейном уравнении равна коэффициенту регрессии b).
3. Разработайте программу маркетинговых мероприятий для каждого этапа жизненного цикла товара по следующей схеме:
| Маркетинговые мероприятия |
Жизненный цикл товара (этапы) |
|||
| вывода товара на рынок |
роста продажи |
стабильности спроса |
спада спроса |
|
2. Модель сокращения товарооборота ух=634-38х; коэффициент аппроксимации составил Ка=6,3. Темп роста товарооборота за 5 лет Т=0,4, т.е. товарооборот сократился на 60%, в то время как цены выросли в 1,4 раза. Средний темп снижения товарооборота за период составил 9,7%. Средний темп прироста цены за период равен 7%. Коэффициент эластичности спроса от цены составил:
![]()
Имеет место ультраэластичность.
3. Общий набор мероприятий: изменение цены, наличие и интенсивность рекламы, пробный маркетинг, сервис, формы продажи, распродажа, модернизация товара, привлечение торгового посредника.
Тренировочные задания к разделу 1.6
1. Традиционно применяя затратный метод ценообразования, владелец киоска получает 20% прибыли к затратам. Закупочная цена товара А - 2 тыс. руб. / ед., товара Б - 20 тыс. руб. / кг. Объем закупок товара А - 2 тыс. шт., товара Б- 100кг. Транспортные расходы -2 млн. руб., стоимость аренды - 100 тыс. руб. в день, заработная плата продавца - 300 тыс. руб. в неделю. Товар предполагается продать за неделю. Требуется определить продажные цены товаров.
2. Производственный потенциал предприятия - 100 тыс. ед. Себестоимость товара составила 10 тыс. руб. / ед. Предельный уровень рентабельности - 25%. Обследование 100 тыс. потребителей показало, что 20% из них ориентируются 'на качество товара и купят по 10 ед. товара по максимальной цене, а для 50% потребителей предел цены - 12 тыс. руб. при покупке 5 ед. и 30% потребителей купят ' 2ед. при цене не выше 11 тыс.руб. Установите цену на товар, исходя из максимальной прибыли.
1. Цена товара А - 3,6 тыс. руб., Б - 36 тыс. руб.
2. По цене 13,3 тыс. руб. выручка составит: 13,3х10х20=2660; по цене 12 тыс. руб.: (12х50х5)+(12х20х10)=3000+2400=5400; по цене 11 тыс руб.: (11 х30х2)+(1 I x50x5)+(10 x20x 11)=660+2750+2200=5610. Следовательно, выгодно назначить наиболее низкую цену -11 тыс. руб., при которой в оборот вовлечены все три группы покупателей.
3. На технически сложный товар Х необходимо назначит конкурентоспособную цену. Аналогичный товар Y основного конкурента успешно продается по цене 2 млн. руб./ед. Группа экспертов провела сравнительное тестирование основных свойств этих товаров, а также ранжировала их по важности для потребления, приняв за единицу наименее важное свойство:
| Свойства |
а |
b |
с |
d |
|
| Ранг важности (баллы) |
1 |
2 |
3 |
4 |
|
| Оценка товаров в баллах |
Х |
4 |
2 |
4 |
4 |
| Y |
4 |
4 |
3 |
5 |
|
3. Балльная оценка товара Х - 4х1+2х2+4х3+4х4=36; товара Y - 4х1+4х2+3х3+5х4=41.
Цена одного балла, товара Y - 2 млн. руб.:41=48780,5 руб. /балл; цена товара Х - 48780,5 руб. /балл х Зб баллов= 1756097 руб., или округленно 1756,1 тыс. руб.
1. Примите решение по выбору канала товародвижения, пользуясь критерием эффективности (затратоотдачи); расчеты в млрд. руб.:
канал нулевого уровня - расходы, связанные с содержанием и эксплуатацией собственной розничной торговой сети - 150; издержки обращения (оптово-сбытовые и розничные) - 100; прибыль от реализации товаров - 500;
одноуровневый канал (прямые связи с розничной торговлей) -издержки обращения (оптово-сбытовые, транзитные) - 60; прибыль - 300;
двухуровневый канал (производитель продает товар оптовому посреднику) -
издержки обращения (сбытовые) - 40; прибыль - 120.
2. Производственное предприятие продало товары крупной оптовой фирме (дистрибьютору) и оптовой фирме-джобберу. Те в свою очередь продали товары 12 розничным фирмам. Укажите тип канала, определите длину и ширину канала.
1. Двухуровневый канал.
2. Двухуровневый канал (длина); ширина при оптовой прод-2, при розничной-12.
3. Производственное предприятие выпускает новый технически сложный и требующий значительных затрат на перевозку товар на сумму около 500 млрд. руб., а также транспортабельный товар повседневного спроса на сумму около 80 млрд. руб. Какие из трех фирм Вы выберете в качестве дистрибьютора? Известны следующие характеристики фирм:
| Названия фирм |
|||
| Характеристики |
"Ирина" |
"Иванов & Кo |
"Быстрота" |
| Оборот (годовой), млрд.руб. Образована в году |
500 1990 |
250 1992 |
100 1995 |
| Рейтинг известности по 10-балльной шкале) Кредитоспособность |
9 Высокая |
6 Средняя |
4 Факторинг джоббер |
| Наличие складов а) современных б) устаревших |
Да, 50% Да, 50% |
Да, 20% Да, 80% |
Нет Нет |
| Наличие службы изучения спроса послеторгового обслуживания |
Да Да |
Нет Нет |
Да Нет |
3. Для сложного товара следует выбрать дистрибьютором фирму "Ирина", для товара повседневного спроса - фирму "Быстрота".
I. Разработайте программу использования конкретных средств продвижения товаров для воздействия на потребителей с целью побудить их принять решение на покупку. Выделите следующие этапы: а) осознание потребности; б) узнавание товара;
в) формирование благожелательного отношения к товару; г) появление предпочтения товара по сравнению с другими; д) возникновение убеждения в необходимости покупки; е) процесс покупки.
2. По следующим данным определите эффективность рекламы (т.е. отдачу от 1 руб., вложенного в рекламу) при условии, что прирост прибыли компании составил 825 млн. руб. Расходы на рекламу сложились следующим образом. Рекламное объявление в прессе: тариф на 1 см2 газетной площади - 250 тыс. руб.; объявления общей площадью 140 см2 . Телевизионная реклама: тариф за 1 мин демонстрации по TV - 8 млн. руб. пять дней показа по 5 мин. Прямая почтовая реклама: разослано 100 тыс. рекламных листовок: изготовление - 100 руб. /шт.: рассылка - 5 тыс. руб. /штука.
1. Ответ см. в разделе 1.8.1.
2. Расходы: (250 тыс. руб. /см2 х 140 см2 ) + (8000 тыс. руб. /мин. х х 5 дней х 5 мин) + (0,1 тыс. /шт. х 100000 шт.) + + (5 тыс. руб./шт. х 100000 шт.) = 35 млн. руб. + 200 млн. руб. + + 0,01 млн. руб. + 0.5 тыс. руб. = 235,51 млн. руб.
![]()
3. Разработайте сценарий проведения рекламной кампании (РК) фирмы:
а) обоснуйте основные направления ее деятельности и предмет рекламы (по Вашему выбору):
б) сформулируйте цели и задачи РК, выделите группу целевого воздействия;
в) обоснуйте выбор использованных форм и видов рекламы; г) разработайте несколько вариантов рекламного слогана; д) составьте план РК (6-8 мероприятий);
е) на основе условных данных охарактеризуйте результат РК и оцените эффективность затрат на рекламу.
3. Ответ см. в разделе 1.8.3.
1. Составьте план маркетингового исследования спроса на товар (по Вашему выбору). План должен предусматривать следующие требования:
- постановку задачи (оценку спроса или его прогноз); должны быть выдвинуты обоснованные гипотезы развития спроса (рост, стабильность, спад), оценки интенсивности изменения, типа рынка (продавца или покупателя);
- выбор метода сбора информации;
- выбор метода моделирования и прогнозирования.
2. Из числа Ваших знакомых составьте экспертную группу для краткосрочного прогноза (месячного) цен да три товара по Вашему выбору и на выбранном Вами типе рынка (муниципальном, частном, городском сельскохозяйственном и т.д.). Присвойте каждому эксперту балл компетентности (знания рынка) и выведите средний балл (по формуле простой средней арифметической). Попросите их ответить на поставленный вопрос письменно и анонимно (не ознакомляя других экспертов). Ответы (по каждому товару) ранжируйте. Постройте ряд распределения и исчислите его характеристики: квартили, моду, медиану. Отбросьте ответы, попавшие за пределы 1-го и 3-го квартилей, а экспертов, попавших в межквартильное расстояние, ознакомьте со всеми ответами. Разрешите им изменить мнение и проведите 2-й тур. Повторите все операции и исчислите среднюю величину ответов межквартильного расстояния, которая и будет считаться прогнозом. Через месяц проверьте его правильность.
3. Разработайте анкету опроса мнения потребителей о качестве какого-либо товара (или качестве обслуживания в магазине). Попросите друзей заполнить анкету.
1. Например, проводится исследование спроса на импортную электробритву марки X. Цель - выявить численность привер-женцев данной марки. Гипотеза: модель улучшенного качества по льготной цене будет пользоваться возрастающим спросом по мере того, как потребители убедятся в ее превосходстве над другими моделями. Конкурентный рынок покупателя. Выбирается метод интервьюирования покупателей, посе-щающих специализированные магазины. Для прогноза строится регрессионная модель по фактору до-хода.
2. Сравните экспертную оценку с фактическими данными Ошибка не должна превышать ± 5%.
3. По данным анкеты рассчитайте средние характеристики и составьте группировки.
1. Поданным конъюнктурной карты дайте оценку состояния покупательского спроса: ограниченный спрос, стабильный спрос, растущий спрос.
| Производство (предложение) |
Продажа (сбыт, товарооборот) |
Товарные запасы |
||||||
| рост |
без изменения |
снижение |
рост |
без изменения |
снижение |
рост |
без изменения |
снижение |
| + |
+ |
+ |
+ |
|||||
Объясните сделанный вывод.
2. Рассчитайте емкость рынка некоего товара по следующим данным: численность потребителей в сегменте - 875 тыс. чел.; уровень потребления в базисном году составил 80 ед. в год; поправка на эластичность спроса составляет сокращение в 2 ед. на 1 % роста цен (по прогнозу в текущем году цена вырастет на 3°о), по данным обследования у населения имеется 10 млн. ед., причем физический износ составляет в среднем 40% наличия, а моральный - 10%. Известно. что нетоварное потребление этого товара достигает 25 млн. ед.
1. Рост спроса - развивающийся рынок.
2. Е = [875 х (80-2х3)]- (10000-4000-1000) - 25000 = 64750 -- 5000 - 25000 = 34750 тыс. ед.
3. Построен динамический ряд продажи товара (в млрд. руб., в сопоставимых ценах):
| Месяцы |
1 |
2 |
3 |
4 |
5 |
6 |
7 |
8 |
9 |
10 |
11 |
12 |
| Продажа |
10 |
8 |
14 |
15 |
12 |
20 |
17 |
23 |
23 |
27 |
25 |
32 |
По приведенным данным:
1. Определите основную тенденцию продажи товара;
2. Определите устойчивость (колеблемость) спроса;
3. Выполните прогноз (экстраполяцию) спроса (продажи) на два последующих месяца.
3. Тенденция роста продажи: уt=6,197+1,994t. Прогнозы: y13=6, 197+1,994x 13=32,1 19; y14=6,197+l,994х14=34,113.
4. Итоговый тест
1. В чем Вы видите основную (глобальную) цель маркетинга?
2. В чем заключается сущность концепции маркетинга?
3. Входит ли в функции маркетинга разработка стратегии поведения фирмы на рынке?
4. Какова основная цель сегментации рынка?
5. Надо ли изучать факторы макросреды, с какой целью?
6. Поддается ли регулированию со стороны фирмы покупательский спрос на ее товары?
7. В чем состоят главные задачи стратегического маркетингового планирования?
8. Противоречит ли концепция комплексного маркетинга (маркетинга-микс) концепции маркетинга? Дайте объяснение своему ответу.
9. Противоречат ли друг другу стратегические цели плана маркетинга: захват определенной доли рынка, сбыт некоторого количества товара и получение запланированной прибыли?
10. Может ли результат интеллектуального труда, не имеющий материальной формы, стать товаром? Объясните свою точку зрения.
11. Что относится к символическим свойствам товара?
12. Что собой представляет товар-лидер?
13. В каком случае фирма принимает решение о модификации (обновлении) товара?
14. Является ли отсутствие конкуренции фактором отказа фирмы от выпуска нового товара? Объясните свой ответ.
15. Связан ли размер прибыли и уровень рентабельности с определенным этапом жизненного цикла товара и его продолжительностью? Обоснуйте свой ответ.
16. В чем состоит ценовая стратегия фирмы?
17. Является ли розничная цена суммой оптовых цен предприятия и торговли?
18. В чем суть затратного метода ценообразования?.
19. В чем заключается цель дистрибьюции?
20. В чем заключается преимущество вертикальных маркетинговых систем?
21. Принимает ли на себя права собственности агент по сбыту, ведущий переговоры и заключающий контракт на поставку товаров?
22. Что такое коммуникативный канал в системе продвижения товаров?
23. Что такое рекламная кампания?
24. В чем заключается эффективность рекламы?
25. В чем заключается обеспечение "прозрачности" и предсказуемости развития рынка?
26. Являются ли демографические данные, разработанные Госкомстатом РФ и используемые в маркетинге конкретной фирмы, первичной информацией маркетингового исследования этой фирмы? Обоснуйте ответ.
27. Кто проводит конъюнктурные совещания и с какой целью?
28. Что такое эластичность спроса и как она измеряется?
29. Что собой представляет тренд спроса?
30. Что такое панель в маркетинговом исследовании?
5. Толковый словарь
| Агент |
физическое или юридическое лицо, выполняющее рыночные операции по поручению фирмы-принципала, но не принимающее на себя прав собственности. |
||||
| Ассортимент |
перечень товарных видов и подвидов. |
||||
| Брокер |
физическое или юридическое лицо, выполняющее в маркетинге посреднические функции: сводит продавца и покупателя, иногда выступает гарантом сделки. |
||||
| Джоббер |
оптовая фирма, не имеющая складов и осуществляющая поставки "с колес". |
||||
| Диверсификация |
одна из стратегий маркетинга, проявляющаяся в отказе от ориентации на единственный продукт или одну форму распределения и переходе на широкую номенклатуру товаров или множественность форм распределения. |
||||
| Дилер |
оптово-розничные фирмы, посредничающие между производителем и потребителем; как правило, осуществляют послеторговое обслуживание технически сложных товаров. |
||||
| Дистрибьютор |
см. торговый посредник, в узком смысле Д. - крупная оптовая фирма, занимающаяся посредническими операциями на рынке. |
||||
| Длина (протяженность) канала товародвижения |
число всех уровней (звеньев). |
||||
| Жизненный цикл товара |
модель, отражающая время пребывания товара на рынке, отдельные этапы его реализации и тенденции продажи, прибыли и затрат на каждом из них; изображается в виде кривой. |
||||
| Канал товародвижения |
цепочка торговых посредников (дистрибьюторов), через которых проходит товар на пути от производителя к потребителю. |
||||
| Качество товара |
совокупность свойств, обеспечивающих возможность удовлетворить комплекс потребностей. |
||||
| Коммерция |
• 1) любая предпринимательская деятельность, направленная на извлечение прибыли; 2) торговля. |
||||
| Конкурентоспособность товара |
способность товара быть проданным и приносить прибыль в присутствии на рынке аналогичного конкурирующего товара. |
||||
| Консьюмеризм (от англ. consumer - потребитель) |
организованное общественностью и поддерживаемое государством движение в защиту прав потребителей. |
||||
| Контроллинг в маркетинге |
комплексная система оперативной оценки эффективности маркетинговой деятельности с целью корректировки плана маркетинга в зависимости от меняющейся рыночной ситуации. |
||||
| Конъюнктура рынка |
конкретная ситуация, сложившаяся на рынке на данный момент или определенный промежуток времени под воздействием комплекса сил и факторов; характеризуется соотношением спроса и предложения, уровнем, тенденциями и устойчивостью продажи, цен, запасов, деловой активности. |
||||
| Логистика |
направление маркетинга, система оптимизации управления транспортировкой и складированием товара на основе использования экономико-математических моделей, компьютеризации и автоматизации складов и транспортных средств. |
||||
| Логотип |
специально разработанное, оригинальное начертание полного или сокращенного названия фирмы или товара. |
||||
| Макромаркетинг |
1. участие государства в управлении рыночной деятельностью, государственное регулирование рыночных процессов, изучение рынка государственными учреждениями; 2. рыночная деятельность сверхкрупных корпораций, отраслевых подразделений. |
||||
| Макросреда маркетинга |
совокупность глобальных социально-демографических, экономических, политических, научно-технических, природно-географических сил и факторов, оказывающих влияние на рынок в целом, в том числе на маркетинг конкретной фирмы. |
||||
| Марка товара |
имя, термин, знак, символ или их сочетание, предназначенные для идентификации и рекламы товара. |
||||
| Маркетинг (от англ. -market - рынок) |
1. деятельность, направленная на доведение товара от производителя до потребителя, а следовательно, на удовлетворение потребностей; 2. управление рыночной деятельностью, регулирование некоторых рыночных процессов, изучение рынка. |
||||
| Маркетинг-менеджмент (англ. marketing-managment) |
управление маркетинговой деятельностью фирмы (иногда - управление маркетингом). |
||||
| Маркетинг-микс, или комплексный маркетинг |
комплекс из пяти элементов: человеческого фактора, товарной политики, ценового фактора, инструментов товародвижения, продвижения товара. |
||||
| Маркетинговая служба |
административно-управленческое подразделение фирмы, осуществляющее полный или частичный набор функций маркетинга; строится по матричному или функциональному принципу. |
||||
| Маркетинговое исследование |
любая форма информационно-аналитической деятельности, удовлетворяющей потребности маркетинга. |
||||
| Матрица (стратегическая) маркетинговая |
пространственная модель выбора фирмой определенной стратегии маркетинговых действий в зависимости от двух факторов (или комплекса факторов, чаще всего ситуации на рынке и потенциала фирмы): строится с помощью системы координат. |
||||
| Микромаркетинг |
маркетинговая деятельность на уровне предприятия, фирмы. |
||||
| Микросреда маркетинга |
силы и факторы, непосредственно связанные с маркетинговой деятельностью фирмы и контролируемые ею. |
||||
| Окружающая среда маркетинга |
совокупность сил и факторов, оказывающих влияние на маркетинг фирмы и его результаты; различаются макросреда и микросреда маркетинга. |
||||
| Оптовая торговля |
отрасль торговли, занимающаяся закупкой товаров у производителя и продажей крупных партий товаров другим оптовым торговцам, производственным и массовым потребителям. |
||||
| Отгрузка |
отпуск товара с прифабричного или оптового склада. |
||||
| План маркетинга |
документ, определяющий маркетинговые действия фирмы на определенную перспективу, увязывающий потенциал фирмы с конкретными целями; базируется на стратегии маркетинга. |
||||
| Поставка |
оптовая продажа товара. |
||||
| Потребность |
совокупность жизненных благ, необходимых потребителю для обеспечения его существования и развития. |
||||
| Предложение |
объем товаров, предназначенных для продажи и представленных на рынке в течение какого-то времени. |
||||
| Продвижение товара (англ. promotion) |
любая форма сообщений, используемых фирмой для информации, убеждения или напоминания потребителям о своих товарах и их достоинствах; формирование привлекательного образа товара в представлении потребителей. |
||||
| Реклама |
совокупность специальных средств привлечения внимания потребителей к товару; специфический способ стимулирования спроса; метод информирования потребителей о товаре и фирме. |
||||
| Рекламная продукция |
информация, убеждение, предложение и т.п. в форме устного заявления, текста или изображения в печати, на радио и телевидении, по компьютерной сети, в форме уличного плаката, листовки, письма, а также оформления витрин и стеллажей. |
||||
| Розничная торговля |
отрасль торговли, занимающаяся покупкой товаров у производителя или оптовой торговли и продажей их в небольших количествах индивидуальным потребителям, т.е. населению. |
||||
| Рыночная ниша |
узкий участок рынка, где сложились благоприятные конкурсные условия для малой или средней фирмы. |
||||
| Сбыт |
продажа товара его владельцем (производителем). |
||||
| Сегмент рынка |
однородная совокупность потребителей, адекватно реагирующих на предлагаемый товар или на определенные маркетинговые мероприятия: участок рынка с наиболее выгодными условиями для реализации товара. |
||||
| Сегментирование (сегментация) |
процесс разделения рынка (совокупности потребителей) на однородные группы. |
||||
| рынка |
|||||
| Спрос (покупательский) |
потребность, представленная на рынке деньгами. |
||||
| Стратегия маркетинга |
комплекс базовых решений и принципов, вытекающих из расстановки и соотношения сил на рынке и направленных на достижение генеральной цели фирмы. |
||||
| Товар |
продукт человеческой или природной деятельности, а также действие (услуга), обладающие полезными свойствами и предназначенные для продажи (обмена на деньги). |
||||
| Товародвижение |
перемещение товаров в экономическом и географическом пространстве: передача прав собственности от одного владельца к другому и транспортировка товара от места его создания к месту хранения и месту конечного потребления. |
||||
| Товарооборот |
1. процесс обмена товаров на деньги; 2. стоимость проданных товаров. |
||||
| Товарная политика фирмы |
комплекс решений по инновационной деятельности, выводу товара на рынок и уходу с него. |
||||
| Товарные запасы |
товары, находящиеся у производителя, в процессе перемещения, в торговле и ожидающие момента продажи; размер товарных запасов зависит от объема товарооборота, периодичности и равномерности завоза товаров, степени сбалансированности спроса и предложения. |
||||
| Торговля |
1) купля-продажа товаров; 2) отрасль, специализирующаяся на купле-продаже товаров, торговый посредник. |
||||
| Торговый посредник (дистрибьютор) |
предприятия оптовой или розничной торговли, покупающие товар у производителя и перепродающие их другим покупателям; Т.П. входит в канал товародвижения в качестве его уровня. |
||||
| Уровень канала товародвижения |
торговый посредник (звено канала товародвижения). |
||||
| Цена |
сумма денег, уплачиваемая за единицу товара. |
||||
| Ценовая политика маркетинга |
осуществление ценообразования с учетом целей маркетинга, рыночной ситуации, этапов жизненного цикла товара, конкуренции, требования гибкости цен. |
||||
| Ценовая стратегия маркетинга |
комплекс действий, направленных на достижение целей маркетинга с помощью цен. |
||||
| Ширина канала товародвижении |
число независимых участников каждого уровня канала товародвижения (например, число участвующих в канале оптовых или розничных фирм). |
||||
Похожие рефераты:
Маркетинг - доктрина современного бизнеса
Маркетинг физической культуры и спорта
Теоретические основы маркетинга
Методы сбора маркетинговой информации в системе международного маркетинга
Управление сбытовой деятельностью другой фирмы
Коммерческая деятельность по оптовым продажам и пути её совершенствования
Повышение эффективности маркетинговой деятельности компании (на примере ТОО "Гелиос")