| Похожие рефераты | Скачать .docx | Скачать .pdf |
Курсовая работа: Производство йогурта резервуарным и термостатным способами
КУРСОВАЯ РАБОТА
На тему: «Производство йогурта резервуарным и термостатным способами»
Реферат
Тема данной работы: «Оборудование технологической линии производства йогурта резервуарным и термостатным способами».
Цель работы: описать и изучить предназначение, строение и принцип действия оборудования, которое входит в технологическую линию производства йогурта; ознакомиться с правилами эксплуатации и техникой безопасности, а также выполнить расчеты оборудования данной технологической линии и необходимые чертежи.
Объем курсовой работы:
Чертежи – 2
Разделов – 7
Дополнений – 3
Перечень ключевых слов: сепаратор-сливкоотделитель, резервуар, гомогенизатор, насос центробежный, термостатная камера.
Работа состоит из следующих разделов:
1. Введение
2. Описание технологической схемы производства йогурта
3. Сравнительная характеристика технологического оборудования
4. Инженерные расчеты
5. Правила эксплуатации
6. Список использованной литературы
Дополнения
Содержание
1. Введение
2. Описание технологической схемы производства
3. Сравнительная характеристика технологического оборудования
4. Инженерные расчеты
5. Правила эксплуатации
6. Список использованной литературы
7. Дополнения
1. Введение
Молочная промышленность является одной из важнейших отраслей агропромышленного комплекса по обеспечению населения продовольствием. Она представляет собой широко разветвленную сеть перерабатывающих предприятий и включает важнейшие отрасли: цельномолочное производство, маслоделие, сыроделие, производство консервов сгущенных и сухих молочных продуктов, мороженого, производство продуктов детского питания, заменителей цельного молока для молодняка сельскохозяйственных животных. Каждая из подотраслей имеет свои специфические особенности.
На основе мирового опыта предусматривается вывести мясо–молочную перерабатывающую отрасль на качественно новый уровень, что обеспе-чивает возобновление объемов продукции, которая производится, повыше-ние ее качества, существенное увеличение ассортимента и глубины перера-ботки сырья. Для решения поставленных задач необходимо выполнить техническое переоборудование мясоперерабатывающих предприятий и молокозаводов, а также значительно повысить технологический уровень оборудования, которое используется на перерабатывающих предприятиях малой мощности.
На сегодняшний день состояние молочной промышленности характеризуется функционированием предприятий, которые перерабатывают от 3 до 500 т молока за смену.
Промышленная переработка молока – это сложный комплекс взаимосвязанных химических, физико-химических, микробиологических, биохимических, биотехнических, теплофизических и других специфических технологических процессов.
В производстве питьевого молока и кисломолочных продуктов используются все компоненты молока. Производство сливок, сметаны, кисломолочного сыра, масла, сыра основывается на переработке отдельных компонентов молока. Производство молочных консервов связано с сохранностью всех сухих веществ молока после удаления с него влаги.
Предприятие молочной промышленности оборудованы современной перерабатывающей техникой. Рациональное использование технологического оборудования требует глубоких знаний его особенностей. При этом важно максимально сберечь пищевую и биологическую ценность компонентов сырья в молочных продуктах, которые производятся.
В то же время выполняется техническое переоборудование предприятий, устанавливаются новые технологические линии и отдельные виды оборудования разной мощности, разных разрядов механизации и автоматизации.
Технологические процессы производства молочных продуктов состоят из отдельных технологических операций, которые выполняются на разных машинах и аппаратах, которые комплектуются в технологические линии.
На предприятиях молочной промышленности множество типичных технологических операций – приемка молока, очистка, тепловая обработка – выполняются с помощью однотипного технологического оборудования, для разных типов производства.
Украина имеет одни из наилучших условий в мире для производства молока и молочных продуктов, но проблему насыщенности ими рынка не удалось в полной мере решить даже в сопутствующие для развития молочной отрасли годы.
2. Описание технологической схемы
Йогурт – это кисломолочный напиток, вырабатываемый из пастеризованного нормализованного по массовой доле жира и сухих веществ молока с добавлением или без добавления сахара, плодово-ягодных наполнителей, ароматизаторов, витамина С, стабилизаторов, растительного белка и сквашенный закваской, приготовленной на чистых культурах молочнокислых стрептококков термофильных рас и болгарской палочки. В зависимости от применяемых вкусовых и ароматических добавок йогурт выпускают следующих видов: йогурт, йогурт сладкий, плодово-ягодный с витамином С, плодово-ягодный диабетический.
Йогурт вырабатывают резервуарным и термостатным (плодово-ягодный только термостатным) способами с различными оригинальными названия-ми. Йогурт по внешнему виду и консистенции представляет собой однород-ную сметанообразную массу с нарушенным (при резервуарном способе) или ненарушенным (при термостатном способе) сгустком, а у плодово-ягодных – с добавлением кусочков фруктов и ягод. Цвет йогурта молочно-серый а у плодово-ягодного обусловлен добавленными сиропами.
Технологический процесс производства йогурта резервуарным способом (рис. 1) состоит из следующих операций: приемка и подготовка сырья и материалов, нормализация по жиру и сухим веществам, очистка, гомогенизация смеси, пастеризация, охлаждение, заквашивание, внесение наполнителей и красителей, сквашивание, перемешивание, охлаждение, розлив, упаковывание, маркирование и хранение.
Молоко, отобранное по качеству, нормализуют по массовой доле жира и сухих веществ. По жиру молоко нормализуют либо в потоке, применяя сепаратор – нормализатор, либо добавлением к обезжиренному молоку цельного молока или сливок. По сухим веществам молоко нормализуют добавлением сухого молока, которое восстанавливают в соответствии с действующей нормативной документацией. Кроме того, нормализацию по сухим вещест-вам проводят выпариванием пастеризованного и гомогенизированного молока при температуре 55-60 ° С.
При производстве сладкого йогурта нормализованное молоко подогревают до 43±2 ° С, вносят сахар, предварительно растворенный в части нормализованного молока при той же температуре в соотношении 1:4. Смесь очищают на сепараторах – молокоочистителях, гомогенизируют при давлении 15±2,5 МПа и температуре 45-85 ° С. Допускается гомогенизация и при температуре пастеризации. В смесь вводят подготовленный стабилизатор. Очищенную и гомогенизированную смесь пастеризуют при 92±2 ° С с выдержкой 2-8 мин или при 87±2 ° С с выдержкой 10-15 мин и охлаждают до температуры заквашивания 40±2 ° С. Смесь заквашивают сразу после её охлаждения подобранными заквасками (например, приготовленными на чистых культурах термофильного стрептококка, болгарской палочки и типа КД в пример-ном соотношении 7:1:7 с последующим уточнением этого соотношения при микро-скопировании препарата). Количество вносимой закваски составляет 3-5% объема заквашиваемой смеси, а закваски, приготовленной на стерилизованном молоке – 1-3%. Если применяют симбиотическую закваску, то её вносят в количестве 1-3%, а бактериальный концентрат добавляют в соответствии с Инструкцией по применению сухого бактериального концентрата. Закваску вносят в молоко в резервуар для кисломолочных продуктов при включенной мешалке. После заполнения резервуара всю смесь дополнительно перемешивают в течении 15 минут. Закваску можно вносить и перед заполнением резервуара молоком.
При производстве витаминизированного йогурта аскорбиновую кислоту (витамин С или аскорбинат натрия) добавляют в нормализованную смесь за 30-40 мин до сквашивания, перемешивают 10-15 мин и выдерживают в течении 30 мин. Количество витамина С составляет 180 г на 1000 кг, аскорбината натрия – 210 г на 1000 кг продукта. Ароматические и вкусовые наполнители вносят в нормализованную смесь перед сквашиванием.
Окончание сквашивания определяют по образованию прочного сгустка кислотностью 95-100 ° Т. Сгусток охлаждают в течение 10-30 мин и переме-шивают в целях получения однородной консистенции молочного сгустка и избежания отделения сыворотки. Сгусток, охлажденный до 16-20 ° С, направ-ляют на розлив, упаковывание, маркирование и доохлаждение в холодильных камерах до температуры 4±2 ° С. После этого технологический процесс считают законченным, продукт готов к реализации.
Технологический процесс производства йогурта термостатным способом (рис. 2) состоит из следующих операций: приемка и подготовка сырья и материалов, нормализация по жиру и сухим веществам, очистка, гомогенизация смеси, пастеризация и охлаждение смеси, заквашивание, розлив, упаковывание, маркирование, сквашивание и охлаждение. Все технологические операции до внесения плодово-ягодных наполнителей осуществляют так же, как при резервуарном способе производства йогурта.
Наполнители вносят в охлажденную до температуры сквашивания смесь при постоянном перемешивании, которое заканчивают через 15 мин после их внесения. Заквашивание проводят так же, как и при резервуарном способе. Заквашенную смесь разливают в стеклянную тару вместимостью 200, 250, 400 и 500 см3 , а также в стаканчики, пакеты и коробочки аналогичной вместимости. После розлива продукт направляют в термостатную камеру с температурой 40±2 ° С для сквашивания в течение 3–4 ч в зависимости от активности закваски. После сквашивания продукт должен иметь прочный сгусток кислотностью 95–100 ° Т. После окончания сквашивания продукт транспортируют в холодильную камеру для охлаждения до 6 ° С. Продолжительность хранения продукта при 6 ° С составляет не более 4 сут с момента окончания технологического процесса.


Рис. 2. Схема технологичекой линии производства йогурта термостатным способом
3. Сравнительная характеристика технологического оборудования
Технологическая линия производства йогурта (Дополнение 1) состоит из следующего наименования оборудования:
1. Двухслойный резервуар 3000 л из пищевой нержавеющей стали с перемешивающим устройством рамного типа, крышкой 1/3 с ТЭН-ми 60 кВт
2. Молочный насос
3. Сепаратор-сливкоотделитель и нормализатор
4. Буферная емкость для сливок, 2-х слойный резервуар с перемеши-вающим устройством якорного типа, крышкой 1/3 ВДП-2000
5. Гомогенизатор
6. Проточный охладитель
7. Эмульгатор 100 л с перемешивающим устройством «фреза»
8. Заквасочник 2000 л
9. Фасовочный аппарат
10. Запорная и трубопроводная арматура
11. Пульт управления, включая пускатели ТЭНов, насосов, гомоге-низатора, перемешивающих устройств с тепловыми реле, ТСМ и ТРМ.
Рассмотрим устройство и принцип действия основного оборудования данной линии, и дадим ему сравнительную характеристику по отношению к аналогичному технологическому оборудованию.
Резервуары (танки).
Резервуары изготовляют: горизонтальные РМГ и вертикальные РМВ. Форма резервуаров по требованию заказчика может быть цилиндрической или прямоугольной. Рабочая емкость 2000, 4000, 6000, 10000, 20000 и 30000 л. Резервуары емкостью 20000 и 30000 л изготавливают только гори-зонтальные.
Корпус резервуара покрывают теплоизоляцией и защитным стальным кожухом. Теплоизоляция резервуара должна предотвращать повышение температуры молока более чем на 1° в течение 12 ч при разнице темпе-ратуры молока и температуры окружающего воздуха 20 град.
Резервуары снабжают механическими мешалками, которые должны в течение не более 10 мин обеспечивать равномерное распределение по всей массе молока жира, отстоявшегося в нем в результате хранения в спокойном состоянии в течение 4 ч.
Рабочий корпус резервуара должен быть испытан на герметичность гидравлически при избыточном давлении 0,5 атм не менее 10 мин, а арматура и соединительные части трубопроводов должны быть испытаны в соответствии с требованиями действующего ГОСТа.
Вертикальные резервуары РМВЦ-2 и РМВЦ-6. Резервуар РМВЦ-2 состоит из сварного алюминиевого вертикально расположенного цилин-дрического сосуда с двумя сферическими днищами – верхним выпуклым и нижним вогнутым. Наружная поверхность резервуара изолирована древесноволокнистой плитой, которая снабжена защитным стальным кожухом толщиной 1,5 мм. В резервуаре имеется люк с крышкой на шарнире, на которой укреплен привод мешалки, состоящий из электродвигателя и цилиндрического редуктора, соединенного с валом мешалки.
Резервуар снабжен смотровым окном со светильником, трубой для на-полнения, термометром в оправе, лабораторным краном, сливным краном, тремя подставками – ножками, уровнемером и устройством для санитарной
обработки рабочей емкости.
Резервуар РМВЦ-2 устанавливают ножками на фундаментные подстав-ки диаметром 150 мм без крепления болтами.
Резервуар РМВЦ-6 предназначен для хранения молока при температуре 4-6 ° С на молочных заводах.
Резервуар представляет собой сварной алюминиевый рабочий сосуд цилиндрической формы с двумя сферическими днищами. Толщина нижнего днища 8 мм, а верхнего и обечайки – 6мм. Снаружи резервуар покрыт те-плоизоляционным материалом – древесноволокнистыми плитами, облицо-ванными листовой сталью толщиной 1,5 мм.
Резервуар снабжен люком с шарнирно укрепленной крышкой, на кото-рой установлена мешалка с приводом; указателем уровня молока; светиль-ником со смотровым окном; термометром; трубой для наполнения; лабора-торным и сливным кранами; моющим устройством и указателем уровня молока.
Резервуар устанавливают тремя лапами на опорах фундамента. Техническая характеристика резервуаров типа РМВЦ.
| Показатели | Резервуары | |
| РМВЦ-2 | РМВЦ-6 | |
Емкость, л геометрическая рабочая |
2173 2000 |
6400 6000 |
| Точность показания уровнемера, % | До 1 | 0,7 |
| Материал рабочего сосуда | Алюминий | |
Диаметр, мм рабочего сосуда наполнительной трубы сливного крана |
1300 50 50 |
1800 50 50 |
Теплоизоляция материал толщина слоя, мм |
Древесноволокнистая плита 37,5 37,5 |
|
Электродвигатель привода мешалки тип мощность, кВт скорость вращения, об/мин напряжение, В |
АОЛ 21-4 0,27 1500 220/380 |
|
| Напряжение лампочки светильника, В | 24 | |
| Скорость вращения мешалки, об/мин | 336 | 336 |
Редуктор привода мешалки тип передаточное отношение |
Цилиндрический 4,17 |
|
| Напор воды или раствора в моющей магистрали, кг/см3 | 25,3-3 | |
Габариты, мм длина |
1648 |
2150 |
ширина высота |
1650 2260 |
2150 3134 |
| Вес (масса), кг | 544 | 958 |
Насосы для молока и молочных продуктов.
Насосы, применяемые на предприятиях молочной промышленности, по принципу действия и основным конструктивным признакам разделяют на две группы: центробежные и объемные.
Центробежные насосы применяют в молочной промышленности для подачи маловязких продуктов: цельного и обезжиренного молока, пахты и сыворотки, сливок и других продуктов, температурой не выше 90°С. Их также используют для питания технологического оборудования (пластинчатых, трубчатых и барабанных теплообменников, фильтров, сепараторов, линий розлива и т.д.)
По конструкции центробежные насосы выпускают в соответствии с требованиями действующего ГОСТа.
Преимущества центробежных насосов: равномерная подача жидкости, несложная регулировка производительности (краном, установленным на нагнетательном трубопроводе); компактность; небольшой вес и габариты; бесфундаментная установка; простота конструкции; быстрая и легкая сборка и разборка для санитарной обработки; надежность в работе и долговечность; удобство присоединения к трубопроводам; простота привода – (непосредственное соединение рабочего колеса с валом электро-двигателя).
Недостаток насосов – необходимость работы под залив (для чего насос устанавливают ниже емкости, из которой перекачивают жидкость).
Центробежный насос состоит из следующих основных частей: рабочего колеса (или диска) с лопатками, изогнутыми в сторону, противоположную направлению вращения колеса; вала (электродвигателя), на котором непод-вижно укреплено колесо; корпуса с нагнетательным патрубком; крышки с центральным всасывающим патрубком и уплотнительного устройства. Принцип его действия состоит в том, что при вращении рабочего колеса на-ходящаяся в нем жидкость приобретает вращательное движение и под действием центробежной силы отбрасывается к периферии корпуса.
НАСОС ЦЕНТРОБЕЖНЫЙ ИПКС-017-ОНЦ-2,0/20
Назначение: предназначен для перекачивания молока, воды, моющих, дезинфицирующих и других жидкостей

Особенности:
- все детали насоса, соприкосающиеся с перекачиваемым продуктом, выполнены из пищевой нержавеющей стали
- при снижении давления в магистрали производительность насоса су-щественно увеличивается
Технические характеристики:
| Производительность, куб.м/ч | 2,0 | |
| Рабочее давление, кгс/кв.см | 2 | |
| Диаметр патрубка: | ||
| – нагнетающего, мм | 20 | |
| – всасывающего, мм | 35 | |
| Установленная мощность, кВт | 0,8 | |
| Габаритные размеры, мм | 500х250х350 | |
| Масса, кг | 11 | |
Сепараторы относятся к оборудованию для разделения гетерогенных систем. Физическая сущность процесса сепарирования молока, как и любой гетерогенной системы, заключается в осаждении дисперсной фазы в поле действия гравитационных и центробежных сил.
Молочные сепараторы по назначению делятся на сливкоотделители, нормализаторы, сепараторы для получения высокожирных сливок, молокоочистители универсальные со сменными барабанами. По способу подачи молока и отвода продуктов сепарирования различаются открытые, полузакрытые и закрытые.
В полузакрытых подача молока осуществляется открытым способом, а отвод продуктов – закрытым, под напором, создаваемым барабаном сепаратора. Производительность 0,5-1,0 кг/с.
В зависимости от типа привода сепараторы могут быть с ручным приводом через повышающий обороты редуктор и с электроприводом.
Одним из основных технологических параметров, характеризующих работу сепаратора, является температура сепарируемого или очищаемого продукта.Сепараторы для холодной очистки молока служат для работы с продуктом температурой 4-10 ºС.
Основными узлами сепаратора любого типа являются: станина, состоящая из корпуса и чаши, барабан, приемно-выводное устройство и приводной механизм, включающий в себя вертикальный вал (веретено) и горизонтальный вал с зубчатым колесом.
В корпусе станины размещается приводной механизм, на вертикальном валу которого устанавливается барабан. Чаша станины закрыта крышкой, служащей для размещения приемно-выводного устройства.
Сепаратор полузакрытого типа имеет более сложную конструкцию приемно-выводного устройства. Устройство состоит из одного (для молокоочистителей) или двух (для сливкоотделителей) напорных дисков. Напорный диск выполнен в виде двух плоских кружков, между которыми расположено несколько спиральных каналов для жидкости. С помощью концентрично расположенных патрубков каналы дисков соединены с отводными трубками, на концах которых находятся регулировочные вентили-дроссели.
По оси приемно-выводного устройства установлена центральная трубка, по которой молоко поступает в барабан. Трубка может быть соединена непосредственно с трубопроводом подачи молока или с поплавковой камерой, регулирующей подачу молока в сепаратор.
При работе сепаратора поступающее в барабан молоко вытесняет продукты сепарирования в напорные камеры. Вращаясь вместе с этими камерами, сливки, обрат или очищенное цельное молоко, захватываются спиральными каналами неподвижных дисков. С помощью этого давления сливки и обрат перемещаются по трубопроводам в теплообменные аппараты или емкости для хранения.
В герметичном сепараторе молоко на сепарирование подается в барабан снизу, через полувертикальный вал, который нижним концом выходит под станину. На конце вала закреплены диски насосного устройства, которое вращаясь вместе с валом, играет роль насосного колеса и нагнетает молоко в барабан. Молоко попадает под тарелкодержатель, а затем по вертикальным каналам, образованным отверстиями в тарелках, распределяется по их пакету. Сливки в таком барабане собираются в центральной трубке тарелкодержателя и выводятся из барабана за счет давления, создаваемого на входе сепаратора насосным устройством.
В сепараторах молокоочистителях полузакрытого типа для отвода очищенного молока служит одна напорная камера вместо двух у сепаратора сливкоотделителя.
Приводной механизм сепаратора служит для передачи вращения от электропривода к барабану.


Гомогенизаторы
Гомогенизаторы предназначены для дробления и равномерного распределения жировых шариков в молоке и жидких молочных продуктах. Гомогенизаторы представляют собой многоплунжерные насосы высокого давления с гомогенизирующей головкой. Привод их осуществляется от электродвигателей с помощью клиноременной передачи.
Гомогенизация осуществляется путем прохода продукта под высоким давлением с большой скоростью через гомогенизирующую головку, представляющую собой две ступени – щели между притертыми клапаном и седлом, соединенные между собой каналом. Давление в гомогенизаторе регулируется вращением винтов, изменяющих размер щели между клапаном и седлом. При этом на первой ступени устанавливают ѕ необходимого для конкретного продукта давления гомогенизации, на второй – рабочее давление.
Гомогенизаторы состоят из следующих основных узлов: кривошипно-шатунного механизма с системой смазки и охлаждения, плунжерного блока с гомогенизирующей и манометрической головками и предохранительным клапаном, станины с приводом. Привод гомогенизатора осуществляется от электродвигателя с помощью клиноременной передачи.


Рис.5. Габаритный чертеж гомогенизатора марки А1-ОГМ: 1 - станина; 2 - предохранительный клапан; 3 - манометрическая головка; 4 – плунжер-ный блок; 5 - манометр системы смазки; В - амперметр; 7 – гомогенизирую-щая головка
Кривошипно-шатунный механизм гомогенизатора предназначен для преобразования вращательного движения, передаваемого клиноременной передачей от электродвигателя, в возвратно-поступательное движение плунжеров, которые посредством манжетных уплотнений входят в рабочие камеры плунжерного блока и, совершая всасывающие и нагнетательные ходы, создают в нем необходимое давление гомогенизирующей жидкости.
Кривошипно-шатунный механизм состоит из корпуса; коленчатого вала, установленного на двух конических роликоподшипниках; крышек подшипников; шатунов с крышками и вкладышами; ползунов, шарнирно-соединенных с шатунами при помощи пальцев; стаканов; уплотнений; крышки корпуса и ведомого шкива, консольно закрепленного на конце коленчатого вала. Внутренняя полость корпуса кривошипно-шатунного механизма является масляной ванной. В задней стенке корпуса смонтированы маспоуказатель и сливная пробка.
Гомогенизаторы марки А1-ОГМ-2,5 имеют принудительную систему смазки наиболее нагруженных трущихся пар, которая применяется в сочетании с разбрызгиванием масла внутри корпуса, что увеличивает теплоотдачу. Охлаждение масла у этих гомогенизаторов производится водопроводной водой посредством змеевика, охлаждающего устройства, уложенного на дне корпуса, а плунжеры охлаждаются водопроводной водой, попадающей на них через отверстия в трубе. В системе охлаждения установлено реле протока, предназначенное для контроля за протеканием воды.
В состав принудительной системы смазки входят сетчатый фильтр, маслонасос с индивидуальным приводом, распределительная коробка, предохранительный клапан и манометр для контроля давления в масляной системе.
К корпусу кривошипно-шатунного механизма при помощи двух шпилек крепится плунжерный блок, который предназначен для всасывания продукта из подающей магистрали и нагнетания его под высоким давлением в гомогенизирующую головку. Плунжерный блок включает в себя блок, плунжеры, манжетные уплотнения, нижние, верхние и передние крышки, гайки, всасывающие и нагнетательные клапаны, седла клапанов, прокладки, втулки, пружины, фланец, штуцер и фильтр, который устанавливается во всасывающем канапе блока, К торцовой плоскости плунжерного блока крепится гомогенизирующая головка, предназначенная для выполнения двухступенчатой гомогенизации продукта за счет прохода его под высоким давлением через щель между клапаном и седлом клапана в каждой ступени.
Гомогенизирующая головка представляет собой две одноступенчатые головки аналогичной конструкции, соединенные вместе и связанные кана-лом, позволяющим продукту переходить последовательно от первой ступе-ни ко второй. Каждая из ступеней двухступенчатой гомогенизирующей головки состоит из корпуса, клапана, седла клапана и нажимного устрой-ства, включающего стакан, шток, пружину и нажимной винт с рукояткой.
Регулировка давления гомогенизации производится вращением винтов. При установлении режима гомогенизации продукта на первой ступени устанавливают 3/4 необходимого давления гомогенизации, а затем на второй ступени вращением нажимного винта повышают давление до рабочего.
На верхней плоскости плунжерного блока крепится манометрическая головка, которая предназначена для осуществления контроля давления гомогенизации, т.е. давления на нагнетательном коллекторе плунжерного блока. Манометрическая головка имеет дросселирующее устройство, дающее возможность эффективно уменьшить амплитуду колебания стрелки манометра. Манометрическая головка состоит из корпуса, иглы, уплотнения, гайки, поджимающей уплотнение, шайбы и манометра с мембранным разделителем. К торцовой плоскости плунжерного блока со стороны, противоположной креплению гомогенизирующей головки, крепится предохранительный клапан, который предотвращает повышение давления гомогенизации выше номинального.
Предохранительный клапан состоит из винта, контргайки, пяты, пру-жины, клапана и седла клапана. На максимальное давление гомогенизации предохранительный клапан настраивается вращением нажимного винта, который передает усилие нажатия на клапан посредством пружины.
Станина представляет собой сварную конструкцию из швеллеров, обшитых листовой сталью. На верхней плоскости станины устанавливается кривошипно-шатунный механизм. Внутри станины на двух кронштейнах шарнирно крепится плита, на которой устанавливается электродвигатель. С другой стороны плита поддерживается винтами, регулирующими натяже-ние клиновых ремней.
Станина гомогенизаторов марки А1-ОГМ-2,5 устанавливается на че-тырех регулируемых по высоте опорах. Боковые окна станины закрываются съемными крышками. Верхняя часть станины закрыта кожухом, предназна-ченным для ограждения механизмов от повреждений и придания гомогени-затору необходимой эстетической формы.
Молоко или молочный продукт подается при помощи насоса во всасы-вающий канал плунжерного блока. Из рабочей полости блока продукт под давлением подается через нагнетательный канал в гомогенизирующую го-ловку и с большой скоростью проходит через кольцевой зазор, образую-щийся между притертыми поверхностями гомогенизирующего клапана и его седла. При этом происходит диспергирование жировой фазы продукта.
В дальнейшем продукт из гомогенизирующей головки направляется по трубопроводу на дальнейшую обработку или хранение.
4. Инженерные расчеты
Оборудование для транспортирования и хранения продуктов.
Изменение температуры продукта в цистернах, танках, ваннах и баках можна определить по формуле:
t2 =2k*Ft (tc –t1 ) + 2МСt1 /2МС + kFt , К (1.1)
где k - коефициент теплопередачи. Вт/(м2 *К); t - продолжительность пребывания продукта в резервуаре, ч; М - количество продукта, кг; С - теплоемкость продукту, Дж/(кг*К); t1 , t2 - соответственно начальная и ко-нечная температура продукта, К; tc - температура окружающей среды, К; F - площадь поверхности резервуара, м2 .
Расчет сепараторов
Для выделения из молока молочного жира используют явление естественного отстоя, когда в спокойно стоящем сосуде с молоком жировые шарики всплывают к поверхности сосуда, образуя слой сливок.
Скорость всплытия, м/с
(2.1)
где g –ускорение свободного падения, м/с2 ; τ – фактор разделения, с.
Значение τ определяется по формуле:
(2.2)
где ρп , ρж – плотности плазмы и жира, кг/м3; r – радиус жирового шарика, м; ηп – вязкость, Па⋅с.
Медленный процесс отстоя резко убыстряется в молочных сепарато-рах. Определим производительность сепаратора-сливкоотделителя по Г.И. Бремеру. Схема движения молока в межтарелочном пространстве показана на рис. 6
Разделяемый поток молока, состоящий из частиц плазмы плотностью ρп и жировых шариков плотностью ρж , направляется во вращающийся барабан сепаратора, где возникает поле действия центробежных сил и происходит отстойное центрифугирование. При этом на каждую взвешен-ную частицу действует центробежная сила F ц , отбрасывающая частицу от центра к периферии со скоростью vc , равной скорости осаждения (отстоя).

Рис. 6. Движение молока в межтарелочном пространстве барабана сепаратора: а – выделение жирового шарика; б – токи обрата и сливок; в – план скоростей.
Для оценки эффективности отстоя в центробежных устройствах срав-ним центробежную силу F
ц
с силой тяжести P
, действующих в поле грави-тации при естественном отстое по соотношению F
ц
/P
=m
ω 2
R
/mg
=ω 2
R
/g
.
Откуда
(2.3)
где τ = ω2 R g – фактор разделения, показывающий во сколько раз дей-ствие центробежной силы превосходит силу тяжести (чем больше фактор разделения, тем выше разделяющая способность сепаратора); R – радиус барабана, м.
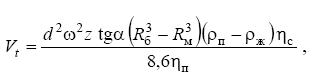
Формула для расчета производительности Vt
(м/с) сепаратора:
(2.4)
где ηс – КПД сепаратора (ηс = 0,5…0,7).
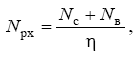
Пусковая мощность сепаратора:
(2.5)
где η = 0,8...0,85 – КПД сепаратора.
Мощность холостого хода:
(2.6)
Мощность рабочего хода сепаратора:
(2.7)
где N c – мощность, потребная для преодоления гидравлических сопро-тивлений в барабане и сообщение кинетической энергии выбрасываемой жидкости, кВт.
Об орудование для гомоген изац ии.
Эффективность гомогенизаци в зависимости от давления (от 30 до 200*105 Па) определяют по формуле:
d = 3,8/√∆p(3.1)
где d – диаметр жирового шарика в молоке после гомогенизации, мкм; ∆p– перепад давления, Мпа.
Продуктивность гомогенизатора определяют по формул, м3 /с,
М=πd2 /4*SnZφ, (3.2)
где d- диаметр плунжера насоса, м; S - ход плунжера, м; n – скорость вращения коленчатого вала, об/с; Z – количество плунжеров; φ – объемный коефициент полезного действия (для молока (φ= 0,85).
Мощность, необходимую для работы гомогенизатора определяют по формуле, Вт:
N=МР0 /ή,(3.3)
где Р0 - давление перед клапаном гомогенизатора. Па; ή-механический коефициент полезного действия гомогенизатора (ή= 0,75).
Повышение температуры продукта:
Δt = Nή/MρC,(3.4)
где р – плотность продукта, кг/м3 ; С - массовая теплоемкость продукта, Дж/(кг*К).
5.Правила эксплуатации
Эксплуатация автоцистерн и техника безопасности
Перед наполнением цистерны продуктом ее секции, шланги и сливные патрубки обязательно подвергают санитарной обработке, используя чистые корешковые и волосяные щетки, а также хлопчатобумажную ткань. Запре-щается чистить рабочую поверхность секций металлическими щетками, песком и другим абразивным материалом.
Систематически следует проверять исправность обратного клапана, устраняющего попадание паров бензина в секции цистерны, и не реже 1 раза в десять дней – предохранительного клапана, предупреждающего обра-зование вакуума в рабочих секциях свыше 340 мм рт. ст.
Для предотвращения продольного смещения цистерны необходимо через каждые 1000 км пробега проверять затяжку гаек, поясов и хомутов, крепление продольных брусьев к лонжеронам шасси автомобиля, не до-пускать резкого торможения, особенно при частично заполненных секциях.
После наполнения цистерны молоком следует тщательно проверять затяжку крышек люка, перекрытие пробковых кранов воздухопроводов и клапанных кранов молокопроводов, установку заглушек на выпускных штуцерах и наличие пломб. Необходимо периодически контролировать чистку сетки, установленной в штуцере коллектора двигателя автомобиля, при загрязнении промывать ее в бензине или керосине; строго следить за чистотой ящиков для шланга и арматуры.
Эксплуатация насосов и техника безопасности.
Полученные с завода-изготовителя насосы необходимо разобрать и осмотреть, убедиться в исправности деталей и отсутствии посторонних предметов. Детали насоса очищают от смазки, консервации и моют горячей водой и щелочноым раствором в соответствии с инструкцией по мойке молочного оборудования. Затем насосы собирают и присоединяют к трубопроводу. При монтаже тщательно проверяют сносность валов электродвигателя и рабочего колеса или ротора. Это особенно важно для насосов неконсольно-моноблочного типа, имеющих общую плиту с приводом. Необходимо правильно установить резиновое уплотнительное кольцо в паз корпуса.
Крышки к корпусу следует прижимать равномерно по окружности, не допуская перекоса. В противном случае нарушается работа насоса.
Электродвигатель присоединяют к электросети за выведенные концы обмотки статора в зависимости от напряжения по схеме, указанной на табличке (треугольник или звезда). При неправильном направлении вращения следует поменять местами две присоединительные фазы сети.
Вращать насос вхолостую свыше 3-4 мин не рекомендуется, так как его трущиеся части смазываются только перекачиваемым продуктом. Нарушение этого правила может привести к перегреву уплотнительного устройства и даже выходу его из строя.
Всасывающая труба должна быть короткой, прямой и герметичной. Нагнетательный и всасывающий трубопроводы должны свободно без перекосов присоединяться к патрубкам насосов.
Для пуска центробежного насоса необходимо открыть кран на всасывающей линии, включить электродвигатель и открыть кран на нагнетательной, для пуска объемных – открыть запорные краны на нагнетательной линии, включить электродвигатель и открыть кран на всасывающей.
Во время работы насоса надо систематически следить за сальником вала – при неудовлетворительном состоянии сальникового устройства появляется течь перекачиваемой жидкости. Это обнаруживается визуально с помощью специального отверстия во фланце насоса, через которое вытекает просачиваемая жидкость.
Перед остановкой насоса необходимо постепенно отключить подачу продукта и на ходу машины промыть блок цилиндра горячей водой.
Эксплуатация сепараторов и техника безопасности.
Сепараторы – центробежные машины с высокой скоростью вращения. По этому во время их эксплуатации необходимо очень строго выполнять правила техники безопасности и рекомендации инструкции, прилагаемой к каждой машине.
Сепараторы, электродвигатели и пусковая аппаратура должны быть тщательно заземлены. Систематически следует проверять исправность заземляющих устройств.
Работа на сепараторе с неудовлетворительно сбалансированным барабаном или с нарушенной балансировкой его категорически запрещается.
При замене тарелок и посуды барабана необходимо произвести балансировку заново.
Разбирать сепаратор можно только после остановки барана. Работать на сепараторе при снятых ограждениях и защитных кожухах воспрещается. Барабан после отключения электродвигателя не рекомендуется тормозить.
Категорически запрещается пользоваться во время сборки и разборки сепаратора случайными инструментами.
Работать на сепараторе со скоростью вращения барабана выше указанной в паспорте запрещается.
Обслуживать сепаратор может только специалист, изучивший машину, принцип ее работы и инструкцию по эксплуатации, а также сдавший техминимум.
Перед пуском машины необходимо вывести стопорные винты из пазов барабана и поставить тормоза в нерабочее положение. Обязательно надо проверить уровень масла в ванне. Барабан сепаратора должен вращаться по часовой стрелке, если смотреть сверху.
После работы барабана, не останавливая, надо промыть, пропустив вначале небольшое количество обезжиренного молока или воды, затем холодную воду для охлаждения барабана. Далее, остановив барабан, разбирают машину, тщательно чистят и моют все детали, а затем просушивают.
Эксплуатация гомогенизаторов и техника безопасности.
Электродвигатели, гомогенизаторы и пусковая аппаратура должны быть тщательно заземлены; необходимо систематически проверять состояние заземляющих устройств.
Во время эксплуатации у приводов должны быть защитные кожухи. Запрещается проводить ремонт, смазку, чистку и мойку на ходу машины.
Исправность предохранительного клапана и его регулирование на максимально допустимое рабочее давление надо обязательно проверять каждый раз перед работой.
Рабочее давление в нагнетательной камеры регулируют штурвалом гомогенизирующей головки. Оно не должно превышать паспортного значе-ния.
У пусковой кнопки электродвигателя привода гомогенизатора обяза-тельно должна быть вывешена табличка с надписью «Перед включением электродвигателя пусти воду на охлаждение плунжеров».
Останавливать машину только после разжатия до отказа пружины гомогенизирующей головки. При несоблюдении этого требования диафрагмы манометров выходит из строя.
После работы блок цилиндра промывают на ходу машины, пропуская через него сначала теплую, затем горячую воду до тех пор, пока вода не будет выходить чистой. Затем разбирают гомогенизирующую часть и хорошо промывают в горячей воде, сушат и собирают блок.
6. Список использованной литературы
1.Антипов С.Т. Ученик ХХІ век «Машини и аппараты пищевых производств» - М. «Высшая школа», 2001 г.
2.Барабанщиков Н.В. «Молочное дело», - М. «Колос» 1983 г.
3.Бредихин С.А., Космодемгенский Ю. В., Юрин В.Н. «Технология и техника переработки молока» - М. «Колос» 2003 г.
4.Гальперин Д. М. «Оборудование молочних предприятий, монтаж, накладка, ремонт» - М. «Агропромиздат» 1990 г.
5.Власенко В.В. «Технологія виробництва і переробки молока і молочних продуктів» - В. 2000г.
6.Гончаров Н.Н. Справочник механика молочной промышленности – М. 1959 г.
7.Золотин Ю.П., Френклах М.Б., Ламутина М.Г. «Оборудование предприятий молочной промышленности» -М. Агропромиздат 1985 г., 270с.
8.Иванов В.И. «Технологическое оборудование предприятий молочной промышленности».
9.Ковалевская Л.П. «Технология пищевых производств» -М. «Колос» 1997г.
10.Кравців Р.І., Хоменко В.І., Островський Я.Р. «Молочна справа».
11.Крусь Т.Н. «Технология молочных продуктов».
12.Кугенев П.В., Барабанщиков Н.В. Практикум по молочному делу –М. «Колос» 1978г.
13.Сурков В.Д., Липатов Н.Н., Золотин Ю.П. «Технологическое оборудование молочных предприятий» -М. «Легкая пищевая промышленность» 1983г.
14.Золотин Ю.П., Френклах М.В., Ламутина М.Г. «Оборудование предприятий молочной промышленности» - М. «Агропромиздат» 1985г.
15.Шалыгина Г.А. «Технология молока и молочних продуктов» -М. 1973г.
16.Барановский Н. В. «Пластинчатые теплообменники в пищевой промышленности». «Машгиз», 1962.
17.Вайнберг А. Я.,БрусиловскийЛ. П. «Автоматизация технологических процессов в молочной промышленности». Изд-во «Пищевая промышленность », 1964.
18.Дезент Г. М., Боушев Т. А. «Оборудование и поточные линии для производства мороженого». «Госиздат», 1961.
19.3олотнии Ю. П. «Циркуляционная мойка молочного оборудования». «Пищепромиздат», 1963.
20.Крупин Г. В., Лукьянов К. Я., Тарасов Ф.М., Боушев Т. А , Шувалов В. Н. Васильев П. В. «Технологическое оборудование предприятий молочной промышленности» . М., изд-во «Машиностроение», 1964.
Дополнение 1.
![]()

Дополнение 2.
Сепаратор Ж5-ОМЕ-С
Сепаратор-молокоочиститель Ж5-ОМЕ-С с центробежной автоматической периодической выгрузкой осадка предназначен для очистки молока от загрязнений и механических примесей, работает в линии с пастеризационной установкой производительностью не менее 15000 дм3 /ч.
ТЕХНИЧЕСКИЕ ХАРАКТЕРИСТИКИ:
| Производительность, дм3 /ч | 15000 |
| Частота вращения барабана, об/мин | 5000 |
| Мощность, кВт | 15 |
| Температура сепарирования, C° | 35-40 |
| Давление на выходе очищенного молока, атм не менее | 3 |
| Давление буферной жидкости, атм, не менее | 2,5 |
| Габаритные размеры, мм | 1170x1040x1580 |
| Масса, кг | 1418 |
Дополнение 3.
Компания Frautech более 90 лет производит машины и линии для пищевой промышленности, в частности для молочной отрасли.
Центробежные сепараторы : автоматические и ручные, для обезжиривания, титрования и очистки молока, обезжиривания сыворотки, для разделения жидкостей и жидкой/твердой фаз различных видов жидких продуктов пищевых и непищевых: вина, масла, фруктовых соков, сточных вод и т.д.
Оборудование для пастеризации : с пластинчатыми теплообменниками с электронными и пневматическими системами контроля, для молока, молочных продуктов и других жидких пищевых продуктов.
• Уже многие десятилетия марка «Frautech» ассоциируется с безупречной работой центробежных сепараторов, применяемых в молочной промышленности, и сепараторы серии «Freedom» яркое тому подтверждение.
• Технологический цикл данной модели сепараторов всегда считался отличительной чертой компании«Frau»,а аккуратное техническое исполнение каждой детали и использование современных электронных сис-тем для контроля за работой всей установки позволили снизить из-держки до минимума (например, расходы на техническое обслу-живание и энергопотребление).
Frautech (Фраутек) основана в 1913 г. и без малого сто лет производит оборудование для молочной промышленности, основанное на принципе центробежного разделения. Технический отдел Фраутек постоянно работает в направлении технического совершенствования и повышении эффективности своего оборудования, опираясь на самые современные достижения электроники и учитывая потребности молочной индустрии.
Похожие рефераты:
Оборудование для переработки молока
Технологическая линия по производству кефира
Характеристика технологического оборудования поточной линии производства сухого обезжиренного молока
Установки погружных центробежных насосов (УЭЦН)
Технология производства молока на предприятии АО "ЛC" г. Кишинева
Технология молока и молочных продуктов
Производство пастеризованного молока
Отчет о практике специальности Разработка и эксплуатация нефтегазовых месторождений
Ветеринарно-санитарные свойства молока, используемого в сыроделии
Производство сычужного сыра "Российского"
Совершенствование маркетинговой деятельности на примере ОАО "Березовский сыродельный комбинат"
Проектное решение по разработке месторождения
Южно-Ягунское нефтяное месторождение
Установки погружных центробежных насосов для добычи нефти из скважин