| Похожие рефераты | Скачать .docx |
Дипломная работа: Установки погружных центробежных насосов для добычи нефти из скважин
Содержание
Введение
1. Эксплуатация скважин центробежными погружными насосами
1.1. Установки погружных центробежных насосов (УЭЦН) для добычи нефти из скважин
1.2 Насосы погружные центробежные модульные типа ЭЦНД
1.3 Газосепараторы типа МНГБ
2. Эксплуатация скважин погружными центробежными электронасосами
2.1 Общая схема установки погружного центробежного электронасоса
2.2 Погружной насосный агрегат
2.3 Элементы электрооборудования установки
2.4 Установка ПЦЭН специального назначения
2.5 Определение глубины подвески ПЦЭН
3. Подбор погружного центробежного насоса
4. Охрана труда
Заключение
Список литературы
Введение
В состав любой скважины входят два типа машин: машины - орудия (насосы) и машины - двигатели (турбины).
Насосами в широком смысле называют машины для сообщения энергии рабочей среде. В зависимости от рода рабочего тела, различают насосы для капельных жидкостей (насосы в узком смысле) и насосы для газов (газодувки и компрессоры). В газодувках происходит незначительное изменение статического давления, и изменением плотности среды можно пренебречь. В компрессорах при значительных изменениях статического давления проявляется сжимаемость среды.
Остановимся подробнее на насосах в узком смысле этого слова -насосах для жидкости. Преобразуя механическую энергию приводного двигателя в механическую энергию движущейся жидкости, насосы поднимают жидкость на определенную высоту, подают ее на необходимое расстояние в горизонтальной плоскости или заставляют циркулировать в какой-либо замкнутой системе. По принципу действия насосы подразделяют на динамические и объемные.
В динамических насосах жидкость движется под силовым воздействием в камере постоянного объема, сообщающейся с подводящими и отводящими устройствами.
В объемных насосах движение жидкости происходит путем всасывания и вытеснения жидкости за счет циклического изменения объема в рабочих полостях при движении поршней, диафрагм, пластин.
Основными элементами центробежного насоса являются рабочее колесо (РК) и отвод. Задачей РК является повышение кинетической и потенциальной энергии потока жидкости за счет его разгона в лопаточном аппарате колеса центробежного насоса и повышения давления. Основной функцией отвода являются отбор жидкости от рабочего колеса, снижение скорости потока жидкости с одновременным превращением кинетической энергии в потенциальную (повышение давления), передача потока жидкости к следующему рабочему колесу или в нагнетательный патрубок.
Из-за малых габаритных размеров в установках центробежных насосов для добычи нефти отводы всегда выполняются в виде лопаточных направляющих аппаратов (НА). Конструкция РК и НА, а также характеристика насоса зависит от планируемой подачи и напора ступени. В свою очередь подача и напор ступени зависят от безразмерных коэффициентов: коэффициент напора, коэффициент подачи, коэффициент быстроходности (используется наиболее часто).
В зависимости от коэффициента быстроходности меняются конструкция и геометрические параметры рабочего колеса и направляющего аппарата, а также характеристика самого насоса.
Для тихоходных центробежных насосов (малые значения коэффициента быстроходности - до 60-90) характерным является монотонно снижающаяся линия напорной характеристики и постоянно увеличивающаяся мощность насоса при увеличении подачи. При увеличении коэффициента быстроходности (диагональные рабочие колеса, коэффициент быстроходности составляет более 250-300) характеристика насоса теряет свою монотонность и получает провалы и горбы (линии напора и мощности). Из-за этого для быстроходных центробежных насосов обычно не применяется регулирование подачи с помощью дросселирования (установки штуцера).
1. Эксплуатация скважин центробежными погружными насосами
1.1. Установки погружных центробежных насосов (УЭЦН) для добычи нефти из скважин
Компания «Борец» производит полнокомплектные установки погружных электроцентробежных насосов (УЭЦН) для добычи нефти:
- в габарите 5"- насос с наружным диаметром корпуса 92 мм, для обсадных колонн с внутренним диаметром 121,7 мм
- в габарите 5А- насос с наружным диаметром корпуса 103 мм, для обсадных колонн с внутренним диаметром 130 мм
- в габарите 6"- насос с наружным диаметром корпуса 114 мм, для обсадных колонн с внутренним диаметром 144,3 мм
«Борец» предлагает различные варианты комплектации УЭЦН в зависимости от условий эксплуатации и требований потребителей.
Высококвалифицированные специалисты завода «Борец» произведут для Вас подбор комплектации УЭЦН для каждой конкретной скважины, обеспечивающий оптимальное функционирование системы «скважина – насос».
Стандартная комплектация УЭЦН:
- погружной центробежный насос;
- модуль входной или газостабилизирующий модуль (газосепаратор, диспергатор, газосепаратор-диспергатор);
- погружной электродвигатель с гидрозащитой (2,3,4) кабель и кабельный удлинитель;
- станция управления погружным электродвигателем.
Указанные изделия выпускаются в широкой номенклатуре параметров и имеют исполнения для обычных и осложненных условий эксплуатации.
Компания «Борец» выпускает погружные центробежные насосы на подачи от 15 до 1000 м3 /сут., напором от 500 до 3500 м, следующих типов:
- Погружные центробежные двухопорные насосы с рабочими ступенями из высокопрочного нирезиста (типа ЭЦНД) - предназначены для эксплуатации в любых условиях, в том числе в осложненных: с повышенным содержанием мехпримесей, газосодержания и температуры перекачиваемой жидкости.
- Погружные центробежные насосы в модульном исполнении (типа ЭЦНМ) - предназначены преимущественно для обычных условий эксплуатации.
- Погружные центробежные двухопорные насосы с рабочими ступенями из высокопрочных коррозионностоиких порошковых материалов (типа ЭЦНДП) - рекомендуются для скважин с высоким газовым фактором и нестабильным динамическим уровнем, успешно противостоят отложению солей.
1.2 Насосы погружные центробежные модульные типа ЭЦНД
Насосы типа ЭЦНМ предназначены преимущественно для обычных условий эксплуатации. Ступени одноопорной конструкции, материал ступеней - высокопрочный легированный модифицированный серый перлитный чугун, обладающий повышенной износо- и коррозионной стойкостью в пластовых средах с содержанием механических примесей до 0,2 г/л и относительно невысокой интенсивностью агрессивности рабочей среды.
Основным отличием насосов ЭЦНД является ступень двухопорной конструкции из чугуна марки нирезист. Стойкость нирезиста к коррозии, износу в парах трения, гидроабразивному износу позволяет использовать насосы ЭЦНД в скважинах с осложненными условиями эксплуатации.
Применение двухопорных ступеней существенно улучшает эксплуатационные характеристики насоса, повышает продольную и поперечную устойчивость вала и снижает вибрационные нагрузки. Повышается надежность работы насоса и его ресурс.
Преимущества ступеней двухопорной конструкции:
- повышенный ресурс нижних осевых опор рабочего колеса
- более надежная изоляция вала от абразивной и коррозионноагрессивной жидкости
- увеличенный ресурс работы и радиальная устойчивость вала насоса из-за увеличенной длины межступенных уплотнений
Для осложненных условий эксплуатации в этих насосах, как правило, устанавливаются промежуточные радиальные и осевые керамические подшипники.
Насосы ЭЦНМ имеют напорную характеристику постоянно падающей формы, исключающей возникновение неустойчивых режимов работы, приводящих к повышенной вибрации насоса и снижающей вероятность отказов оборудования.
Применение двухопорных ступеней, изготовление опор вала из карбида кремния, соединение секций насоса по типу "корпус-фланец" болтами с мелкой резьбой класса прочности 10.9 повышают надежность работы УЭЦН и снижают вероятность отказов оборудования.
Условия эксплуатации приведены в таблице 1.
Таблица 1. Условия эксплуатации
| Водородный показатель | 6,0-8,5 рН |
| Концентрация твердых частиц в пластовой жидкости | 0,5 г/л |
| Микротвердость частиц по шкале Мооса | не более 7 баллов |
| Максимальное содержание свободного газа на приеме насоса по объему | 25% |
| - с применением газосепаратора или диспергатора | 55% |
| - с применением "газосепаратора-диспергатора" | 68% |
| Температура откачиваемой жидкости | не более 135°С |
В месте подвески насоса с газосепаратором, протектором, электродвигателем и компенсатором кривизна ствола скважины не должна превышать численных значений а, определяемых по формуле:
а = 2 arcsin * 40S/(4S2 +L2 ), градусов на 10 м
где S - зазор между внутренним диаметром обсадной колонны и максимальным диаметральным габаритом погружного агрегата, м,
L - длина погружного агрегата, м.
Допускаемый темп набора кривизны ствола скважины не должен превышать 2° на 10 м.
Угол отклонения оси ствола скважины от вертикали в зоне работы погружного агрегата не должен быть более 60°. Технические характеристики приведены в таблице 2.
Таблица 2. Технические характеристики
| Группа насоса | Номинальная подача, м3/сут | Напор насоса, м | КПД % | |
| min | max | |||
| 5 | 30 | 1000 | 2800 | 33,0 |
| 50 | 1000 | 43,0 | ||
| 80 | 900 | 51,0 | ||
| 125 | 750 | 52,0 | ||
| 5.11 | 200 | 850 | 2000 | 48,5 |
| 5А | 35 | 100 | 2700 | 35,0 |
| 60 | 1250 | 2700 | 50,0 | |
| 100 | 1100 | 2650 | 54,0 | |
| 160</A< td> | 1250 | 2100 | 58,0 | |
| 250 | 1000 | 2450 | 57,0 | |
| 320 | 800 | 2200 | 55,0 | |
| 400 | 850 | 2000 | 61,0 | |
| 5002 | 800 | 1200 | 54,5 | |
| 7003 | 800 | 1600 | 64,0 | |
1 - насосы с валом D20 мм.
2 - ступени из «нирезиста» одноопорной конструкции с удлиненной ступицей рабочего колеса
3 - ступени из «нирезиста» одноопорной конструкции с удлиненной ступицей рабочего колеса, разгруженные
Структура условного обозначения насосов типа ЭЦНД по ТУ 3665-004-00217780-98 представлена на рисунке 1.

Рисунок 1. Структура условного обозначения насосов типа ЭЦНД по ТУ 3665-004-00217780-98:
X - Конструктивное исполнение насосов
ЭЦН - электроцентробежный насос
Д - двухопорный
(К)- насосы в коррозионностойком исполнении
(И)- насосы в износостойком исполнении
(ИК) - насосы в износокоррозионностойком исполнении
(П) - рабочие органы изготовлены методом порошковой металлургии
5(5А,6) - габаритная группа насоса
XXX - номинальная подача, м3 /сут
ХХХХ - номинальный напор, м
где Х: - цифра не проставляется для модульного исполнения без промежуточных подшипников
1 - модульное исполнение с промежуточными подшипниками
2 - встроенный входной модуль и без промежуточных подшипников
3 - встроенный входной модуль и с промежуточными подшипниками
4 - встроенный газосепаратор и без промежуточных подшипников
5 - встроенный газосепаратор и с промежуточными подшипниками
6 - насосы в односекционном исполнении с длиной корпуса более 5 м
8 - насосы с компрессионно-диспергирующими ступенями и без промежуточных подшипников
9 - насосы с компрессионно-диспергирующими ступенями и с промежуточными подшипниками
10 - насосы без осевой опоры вала, с опорой на вал гидрозащиты
10.1- насосы без осевой опоры вала, с опорой на вал гидрозащиты и с промежуточными подшипниками
Примеры условного обозначение насосов различных конструктивных исполнений:
ЭЦНД5А-35-1450 по ТУ 3665-004-00217780-98
Электроцентробежный двухопорный насос 5А-габарита без промежуточных подшипников, производительностью 35 м3 /сут., напором 1450 м
1ЭЦНД5-80-1450 по ТУ 3665-004-00217780-98
Электроцентробежный двухопорный насос 5-го габарита в модульном исполнении с промежуточными подшипниками, производительностью 80 м3 /сут, напором 1450 м
6ЭЦНД5А-35-1100 по ТУ 3665-004-00217780-98
Электроцентробежный двухопорный насос 5А - габарита в односекционном исполнении производительностью 35м3 /сут, напором 1100 м
1.3 Газосепараторы типа МНГБ
Газосепараторы устанавливаются на входе насоса вместо входного модуля и предназначены для уменьшения количества свободного газа в пластовой жидкости, поступающего на вход погружного центробежного насоса. Газосепараторы снабжены защитной гильзой, предохраняющей корпус газосепаратора от гидрообразивного износа.
Все газосепараторы, за исключением исполнения ЗМНГБ, выпускаются с осевыми опорами вала из керамики.

Рисунок 2. Газосепаратор типа МНГБ
В газосепараторах исполнения ЗМНГБ осевая опора вала не устанавливается, а вал газосепаратора опирается на вал гидрозащиты.
Газосепараторы с буквой "К" в обозначении выпускаются в коррозионностойком исполнении. Технические характеристики газосепораторов приведены в таблице 3.
Таблица 3. Технические характеристики
| Без промежуточных опор вала | ||||||
| Типоразмер насоса | Подача макс, однофазной жидкости м3/сут. | Макс, доп. Мощ ность на валу, кВт |
Диаметр корпуса, мм |
Диаметр вала, мм |
Масса, кг |
Длина, мм |
| МНГ Б5 | 250 | 76 | 92 | 17 | 27,5 | 717 |
ЗМНГ Б5 |
300 | 27 | 848 | |||
| ЗМНГБ5-02 | 95 | 20 | 27,5 | 848 | ||
МНГ Б5А |
500 | 135(180 с плавным пуском и валом К-онель) |
103 | 22 | 28,5 | 752 |
МНГ Б5А-К |
||||||
МНГ Б5А |
33 | 848 | ||||
| С промежуточными опорами вала | ||||||
МНД Б5-04 |
250 | 76 | 92 | 17 | 28 | 717 |
2. Эксплуатация скважин погружными центробежными электронасосами
2.1 Общая схема установки погружного центробежного электронасоса
Центробежные насосы для откачки жидкости из скважины принципиально не отличаются от обычных центробежных насосов, используемых для перекачки жидкостей на поверхности земли. Однако малые радиальные размеры, обусловленные диаметром обсадных колонн, в которые спускаются центробежные насосы, практически неограниченные осевые размеры, необходимость преодоления высоких напоров и работа насоса в погруженном состоянии привели к созданию центробежных насосных агрегатов специфического конструктивного исполнения. Внешне они ничем не отличаются от трубы, но внутренняя полость такой трубы содержит большое число сложных деталей, требующих совершенной технологии изготовления.
Погружные центробежные электронасосы (ГГЦЭН) - это многоступенчатые центробежные насосы с числом ступеней в одном блоке до 120, приводимые во вращение погружным электродвигателем специальной конструкции (ПЭД). Электродвигатель питается с поверхности электроэнергией, подводимой по кабелю от повышающего автотрансформатора или трансформатора через станцию управления, в которой сосредоточена вся контрольно-измерительная аппаратура и автоматика. ПЦЭН опускается в скважину под расчетный динамический уровень обычно на 150 - 300 м. Жидкость подается по НКТ, к внешней стороне которых прикреплен специальными поясками электрокабель. В насосном агрегате между самим насосом и электродвигателем имеется промежуточное звено, называемое протектором или гидрозащитой. Установка ПЦЭН (рисунок 3) включает маслозаполненный электродвигатель ПЭД 1; звено гидрозащиты или протектор 2; приемную сетку насоса для забора жидкости 3; многоступенчатый центробежный насос ПЦЭН 4; НКТ 5; бронированный трехжильный электрокабель 6; пояски для крепления кабеля к НКТ 7; устьевую арматуру 8; барабан для намотки кабеля при спуско-подъемных работах и хранения некоторого запаса кабеля 9; трансформатор или автотрансформатор 10; станцию управления с автоматикой 11 и компенсатор 12.

Рисунок 3. Общая схема оборудования скважины установкой погружного центробежного насоса
Насос, протектор и электродвигатель являются отдельными узлами, соединяемыми болтовыми шпильками. Концы валов имеют шлицевые соединения, которые стыкуются при сборке всей установки.
При необходимости подъема жидкости с больших глубин секции ПЦЭН соединяются друг с другом так, что общее число ступеней достигает 400. Всасываемая насосом жидкость последовательно проходит все ступени и покидает насос с напором, равным внешнему гидравлическому сопротивлению. УПЦЭН отличаются малой металлоемкостью, широким диапазоном рабочих характеристик, как по напору, так и по расходу, достаточно высоким к. п. д., возможностью откачки больших количеств жидкости и большим межремонтным периодом. Следует напомнить, что средняя по России подача по жидкости одной УПЦЭН составляет 114,7 т/сут, а УШСН - 14,1 т/сут.
Все насосы делятся на две основные группы; обычного и износостойкого исполнения. Подавляющая часть действующего фонда насосов (около 95 %) - обычного исполнения (рисунок 4).
Насосы износостойкого исполнения предназначены для работы в скважинах, в продукции которых имеется небольшое количество песка и других механических примесей (до 1 % по массе). По поперечным размерам все насосы делятся на 3 условные группы: 5; 5А и 6, что означает номинальный диаметр обсадной колонны, (в дюймах), в которую может быть спущен данный насос.

Рисунок 4. Типичная характеристика погружного центробежного насоса
Группа 5 имеет наружный диаметр корпуса 92 мм, группа 5А - 103 мм и группа б - 114 мм.
Частота вращения вала насосов соответствует частоте переменного тока в электросети. В России это частота - 50 Гц, что дает синхронную скорость (для двухполюсной машины) 3000 мин". В шифре ПЦЭН заложены их основные номинальные параметры, такие как подача и напор при работе на оптимальном режиме. Например, ЭЦН5-40-950 означает центробежный электронасос группы 5 с подачей 40 м3 /сут (по воде) и напором 950 м. ЭЦН5А-360-600 означает насос группы 5А с подачей 360 м3 /сут и напором 600 м.
В шифре насосов износостойкого исполнения имеется буква И, означающая износостойкость. В них рабочие колеса изготовляются не из металла, а из полиамидной смолы (П-68). В корпусе насоса примерно через каждые 20 ступеней устанавливаются промежуточные резино-металлические центрирующие вал подшипники, в результате чего насос износостойкого исполнения имеет меньше ступеней и соответственно напор.
Торцовые опоры рабочих колес не чугунные, а в виде запрессованных колец из закаленной стали 40Х. Вместо текстолитовых опорных шайб между рабочими колесами и направляющими аппаратами применяются шайбы из маслостойкой резины.
Все типы насосов имеют паспортную рабочую характеристику в виде кривых зависимостей H(Q) (напор, подача), η(Q) (к. п. д., подача), N(Q) (потребляемая мощность, подача). Обычно эти зависимости даются в диапазоне рабочих значений расходов или в несколько большем интервале (рисунок 4).
Всякий центробежный насос, в том числе и ПЦЭН, может работать при закрытой выкидной задвижке (точка A: Q = 0; Н = Нmах ) и без противодавления на выкиде (точка В: Q = Qmax ; H = 0). Поскольку полезная работа насоса пропорциональна произведению подачи на напор, то для этих двух крайних режимов работы насоса полезная работа будет равна нулю, а следовательно, и к. п. д. будет равен нулю. При определенном соотношении (Q и Н, обусловленном минимальными внутренними потерями насоса, к. п. д. достигает максимального значения, равного примерно 0,5 - 0,6. Обычно насосы с малой подачей и малым диаметром рабочих колес, а также с большим числом ступеней имеют пониженный к. п. д. Подача и напор, соответствующие максимальному к. п. д., называются оптимальным режимом работы насоса. Зависимость η(Q) около своего максимума уменьшается плавно, поэтому вполне допустима работа ПЦЭН при режимах, отличающихся от оптимального в ту и другую сторону некоторую величину. Пределы этих отклонений завесят от конкретной характеристики ПЦЭН и должны соответствовать разумному снижению к. п. Д. насоса (на 3 - 5 %). Это обусловливает целую область возможных режимов работы ПЦЭН, который называется рекомендованной областью.
Подбор насоса к скважинам по существу сводится к выбору такого типоразмера ПЦЭН, чтобы он, будучи спущен в скважин работал в условиях оптимального или рекомендованного режима при откачке заданного дебита скважины с данной глубины.
Выпускаемые в настоящее время насосы рассчитаны на номинальные расходы от 40 (ЭЦН5-40-950) до 500 м3 /сут (ЭЦН6-501 750) и напоры от 450 м (ЭЦН6-500-450) до 1500 м (ЭЦН6-100-1500). Кроме того, имеются насосы специального назначения, например для закачки воды в пласты. Эти насосы имеют подачу до 3000 м3 /сут и напоры до 1200 м.
Напор, который может преодолеть насос, прямо пропорционален числу ступеней. Развиваемый одной ступенью при оптимальном режиме работы, он зависит, в частности, от размеров рабочего колеса, которые зависят в свою очередь с радиальных габаритов насоса. При внешнем диаметре корпуса насоса 92 мм средний напор, развиваемый одной ступенью (при работе на воде), равен 3,86 м при колебаниях от 3,69 до 4,2 м. При внешнем диаметре 114 мм средний напор 5,76 м при колебания от 5,03 до 6,84 м.
2.2 Погружной насосный агрегат
Насосный агрегат (рисунок 5) состоит из насоса, узла гидрозащиты, погружного электродвигателя ПЭД, компенсатора, присоединяемого к нижней части ПЭДа.
Насос состоит из следующих деталей: головки 1 с шаровым обратным клапаном для предупреждения слива жидкости и НКТ при остановках; верхней опорной пяты скольжения 2, воспринимающей частично осевую нагрузку из-за разности давлений навходе и выходе насоса; верхнего подшипника скольжения 3, центрирующего верхний конец вала; корпуса насоса 4 направляющих аппаратов 5, которые опираются друг на друга и удерживаются от вращения общей стяжкой в корпусе 4; рабочих колес 6; вала насоса 7, имеющего продольную шпонку, на которой насаживаются рабочие колеса со скользящей посадкой. Ваг проходит и через направляющий аппарат каждой ступени и центрируется в нем втулкой рабочего колеса, как в подшипнике нижнего подшипника скольжения 8; основания 9, закрытого приемной сеткой и имеющего в верхней части круглые наклонные отверстия для подвода жидкости к нижнему рабочему колесу; концевого подшипника скольжения 10. В насосах ранних конструкций, имеющихся еще в эксплуатации, устройство нижней части иное. На всей длине основания 9 размещается сальник и: свинцово-графитовых колец, разделяющий приемную часть насоса и внутренние полости двигателя и гидрозащиты. Ниже сальника смонтирован трехрядный радиалыно-упорный шариковый подшипник, смазываемый густым маслом, находящимся под избыточным, по отношению к внешнему, некоторым давлением (0,01 - 0,2 МПа).

Рисунок 5. Устройство погружного центробежного агрегата
а - центробежный насос; б - узел гидрозащиты; в - погружной электродвигатель; г – компенсатор.
В современных конструкциях ЭЦН в узле гидрозащиты не имеется избыточного давления, поэтому утечки жидкого трансформаторного масла, которым заполнен ПЭД, меньше, и необходимость в свинцово-графитовом сальнике отпала.
Полости двигателя и приемной части разделяет простым торцовым уплотнением, давления по обе стороны которого одинаковые. Длина корпуса насоса обычно не превышает 5,5 м. Когда же нужное число ступеней (в насосах, развивающих большие напоры) разместить в одном корпусе не удается, их размещают в два или три отдельных корпуса, составляющих самостоятельные секции одного насоса, которые состыковываются вместе при спуске насоса в скважину.
Узел гидрозащиты - самостоятельный узел, присоединяемый к ПЦЭН болтовым соединением (на рисунок узел, как и сам ПЦЭН, показан с транспортировочными заглушками, герметизирующими торцы узлов).
Верхний конец вала 1 соединяется шлицевой муфтой с нижним концом вала насоса. Легкое торцевое уплотнение 2 разделяет верхнюю полость, в которой может быть скважинная жидкость, от полости ниже уплотнения, которая заполнена трансформаторным маслом, находящимся, как и скважинная жидкость, под давлением, равным давлению на глубине погружения насоса. Ниже торцевого уплотнения 2 располагается подшипник скользящего трения, а еще ниже - узел 3 - опорная пята, воспринимающая осевое усилие вала насоса. Опорная пята скольжения 3 работает в жидком трансформаторном масле.
Ниже размещается второе торцевое уплотнение 4 для более надежной герметизации двигателя. Оно конструктивно не отличается от первого. Под ним располагается резиновый мешок 5 в корпусе 6. Мешок герметично разделяет две полости: внутреннюю полость мешка, заполненного трансформаторным маслом, и полость между корпусом 6 и самим мешком, в которую имеет доступ внешняя скважинная жидкость через обратный клапан 7.
Скважинная жидкость через клапан 7 проникает в полость корпуса 6 и сжимает резиновый мешок с маслом до давления, равного внешнему. Жидкое масло по зазорам вдоль вала проникает к торцевым уплотнениям и вниз к ПЭДу.
Разработаны две конструкции устройств гидрозащиты. Гидрозащита ГД отличается от описанной гидрозащиты Т наличием на валу малой турбинки, создающей повышенное давление жидкого масла во внутренней полости резинового мешка 5.
Внешняя полость между корпусом 6 и мешком 5 заполняется густым маслом, питающим шариковый радиально-упорный подшипник ПЦЭН прежней конструкции. Таким образом, узел гидрозащиты ГД усовершенствованной конструкции пригоден для использования в комплекте с широко распространенными на промыслах ПЦЭН прежних типов. Ранее применялась гидрозащита, так называемый протектор поршневого типа, в которой избыточное давление на масло создавалось подпружиненным поршнем. Новые конструкции ГД и Г оказались более надежными и долговечными. Температурные изменения объема масла при его нагревании или охлаждении компенсируются с помощью присоединения к нижней части ПЭДа резинового мешка - компенсатора (рисунок 5).
Для привода ПЦЭН служат специальные вертикальные асинхронные маслозаполненные двухполюсные электродвигатели (ПЭД). Электродвигатели насоса делятся на 3 группы: 5; 5А и 6.
Поскольку вдоль корпуса электродвигателя, в отличие от насоса, электрокабель не проходит, диаметральные размеры ПЭДов названных групп несколько больше, чем у насосов, а именно: группа 5 имеет максимальный диаметр 103 мм, группа 5А - 117 мм и группа 6 - 123 мм.
В маркировку ПЭД входит номинальная мощность (кВт) и диаметр; например, ПЭД65-117 означает: погружной электродвигатель мощностью 65 кВт с диаметром корпуса 117 мм, т. е. входящий в группу 5А.
Малые допустимые диаметры и большие мощности (до 125 кВт) вынуждают делать двигатели большой длины - до 8 м, а иногда и больше. Верхняя часть ПЭДа соединяется с нижней частью узла гидрозащиты с помощью болтовых шпилек. Валы стыкуются шлицевыми муфтами.
Верхний конец вала ПЭДа (рисунок ) подвешен на пяте скольжения 1, работающей в масле. Ниже размещается узел кабельного ввода 2. Обычно этот узел представляет собой штекерный кабельный разъем. Это одно из самых уязвимых мест в насосе, из-за нарушения изоляции которого установки выходят из строя и требуют подъема; 3 - выводные провода обмотки статора; 4 - верхний радиальный подшипник скользящего трения; 5 - разрез торцевых концов обмотки статора; 6 - секция статора, набранная из штампованных пластин трансформаторного железа с пазами для продергивания проводов статора. Секции статора разделены друг от друга немагнитными пакетами, в которых укрепляются радиальные подшипники 7 вала электродвигателя 8. Нижний конец вала 8 центрируется нижним радиальным подшипником скользящего трения 9. Ротор ПЭДа также состоит из секций, собранных на валу двигателя из штампованных пластин трансформаторного железа. В пазы ротора типа беличьего колеса вставлены алюминиевые стержни, закороченные токопроводящими кольцами, с обеих сторон секции. Между секциями вал двигателя центрируется в подшипниках 7. Через всю длину вала двигателя проходит отверстие диаметром 6 - 8 мм для прохождения масла из нижней полости в верхнюю. Вдоль всего статора также имеется паз, через который может циркулировать масло. Ротор вращается в жидком трансформаторном масле с высокими изолирующими свойствами. В нижней части ПЭДа имеется сетчатый масляный фильтр 10. Головка 1 компенсатора (см. рисунок , г), присоединяется к нижнему концу ПЭДа; перепускной клапан 2 служит для заполнения системы маслом. Защитный кожух 4 в нижней части имеет отверстия для передачи внешнего давления жидкости на эластичный элемент 3. При охлаждении масла его объем уменьшается и скважинная жидкость через отверстия заходит в пространство между мешком 3 и кожухом 4. При нагревании мешок расширяется, и жидкость через те же отверстия выходит из кожуха.
ПЭДы, применяемые для эксплуатации нефтедобывающих скважин, имеют мощности обычно от 10 до 125 кВт.
Для поддержания пластового давления применяются специальные погружные насосные агрегаты, укомплектованные ПЭДами мощностью 500 кВт. Напряжение питающего тока в ПЭДах колеблется от 350 до 2000 В. При высоких напряжениях удается пропорционально уменьшить ток при передаче той же мощности, а это позволяет уменьшить сечение токопроводящих жил кабеля, а следовательно, поперечные габариты установки. Это особенно важно при больших мощностях электродвигателя. Скольжение ротора ПЭДа номинальное - от 4 до 8,5 %, к. п. д. - от 73 до 84 %, допустимые температуры окружающей среды - до 100 °С.
При работе ПЭДа выделяется много теплоты, поэтому для нормальной работы двигателя требуется охлаждение. Такое охлаждение создается за счет непрерывного протекания пластовой жидкости по кольцевому зазору между корпусом электродвигателя и обсадной колонной. По этой причине отложения парафина в НКТ при работе насосов всегда значительно меньше, чем при других способах эксплуатации.
В производственных условиях случается временное обесточивание силовых линий из-за грозы, обрыва проводов, из-за их обледенения и пр. Это вызывает остановку УПЦЭН. При этом под влиянием стекающего из НКТ через насос столба жидкости вал насоса и статор начинают вращаться в обратном направлении. Если в этот момент подача электроэнергии будет восстановлена, то ПЭД начнет вращаться в прямом направлении, преодолевая силу инерции столба жидкости и вращающихся масс.
Пусковые токи при этом могут превысить допустимые пределы, и установка выйдет из строя. Чтобы этого не случилось, в выкидной части ПЦЭН устанавливается шаровой обратный клапан, препятствующий сливу жидкости из НКТ.
Обратный клапан обычно размещается в головке насоса. Наличие обратного клапана осложняет подъем НКТ при ремонтных работах, так как в этом случае трубы поднимают и развинчивают с жидкостью. Кроме того, это опасно в пожарном отношении. Для предотвращения таких явлений выше обратного клапана в специальной муфте делается сливной клапан. В принципе сливной клапан - это муфта, в боковую стенку которой вставлена горизонтально короткая бронзовая трубка, запаянная с внутреннего конца. Перед подъемом в НКТ бросается металлический короткий дротик. От удара дротика бронзовая трубка отламывается, в результате чего боковое отверстие в муфте открывается и жидкость из НКТ сливается.
Разработаны и другие приспособления для слива жидкости, устанавливаемые над обратным клапаном ПЦЭН. К ним относятся так называемые суфлеры, позволяющие измерять межтрубное давление на глубине спуска насоса скважинным манометром, спускаемым в НКТ, и устанавливающие сообщение межтрубного пространства с измерительной полостью манометра.
Следует заметить, что двигатели чувствительны к системе охлаждения, которая создается потоком жидкости между обсадной колонной и корпусом ПЭДа. Скорость этого потока и качество жидкости влияют на температурный режим ПЭДа. Известно, что вода имеет теплоемкость 4,1868 кДж/кг-°С, тогда как чистая нефть 1,675 кДж/кг-°С. Поэтому при откачке обводненной продукции скважины условия охлаждения ПЭДа лучше, чем при откачке чистой нефти, а его перегрев приводит к нарушению изоляции и выходу двигателя из строя. Поэтому изоляционные качества применяемых материалов влияют на длительность работы установки. Известно, что термостойкость некоторой изоляции, применяемой для обмоток двигателя, доведена уже до 180 °С, а рабочие температуры до 150 °С. Для контроля за температурой разработаны простые электрические температурные датчики, передающие на станцию управления информацию о температуре ПЭДа по силовому электрическому кабелю без применения дополнительной жилы. Аналогичные устройства имеются для передачи на поверхность постоянной информации о давлении на приеме насоса. При аварийных состояниях станция управления автоматически отключает ПЭД.
2.3 Элементы электрооборудования установки
ПЭД питается электроэнергией по трехжильному кабелю, спускаемому в скважину параллельно с НКТ. Кабель крепится к внешней поверхности НКТ металлическими поясками по два на каждую трубу. Кабель работает в тяжелых условиях. Верхняя его часть находится в газовой среде, иногда под значительным давлением, нижняя - в нефти и подвергается еще большему давлению. При спуске и подъеме насоса, особенно в искривленных скважинах, кабель подвергается сильным механическим воздействиям (прижимы, трение, заклинивание между колонной и НКТ и т. д.). По кабелю передается электроэнергия при высоких напряжениях. Использование высоковольтных двигателей позволяет уменьшить ток и, следовательно, диаметр кабеля. Однако кабель для питания высоковольтного ПЭДа должен обладать и более надежной, а иногда и более толстой изоляцией. Все кабели, применяемые для УПЦЭН, сверху покрыты эластичной стальной оцинкованной лентой для защиты от механических повреждений. Необходимость размещения кабеля по наружной поверхности ПЦЭН уменьшает габариты последнего. Поэтому вдоль насоса укладывается плоский кабель, имеющий толщину примерно в 2 раза меньше, чем диаметр круглого, при одинаковых сечениях токопроводящих жил.
Все кабели, применяемые для УПЦЭН, делятся на круглые и плоские. Круглые кабели имеют резиновую (нефтестойкая резина) или полиэтиленовую изоляцию, что отображено в шифре: КРБК означает кабель резиновый бронированный круглый или КРБП - кабель резиновый бронированный плоский. При использовании полиэтиленовой изоляции в шифре вместо буквы пишется П: КПБК - для круглого кабеля и КПБП - для плоского.
Круглый кабель крепится к НКТ, а плоский - только к нижним трубам колонны НКТ и к насосу. Переход от круглого кабеля к плоскому сращивается методом горячей вулканизации в специальных прессформах и при недоброкачественном выполнении такой сростки может служить источником нарушения изоляции и отказов. В последнее время переходят только плоским кабелям, идущим от ПЭДа вдоль колонны НКТ до станции управления. Однако изготовление таких кабелей сложнее, чем круглых (табл. 3).
Имеются еще некоторые разновидности кабелей с полиэтиленовой изоляцией, не упомянутые в таблице. Кабели с полиэтиленовой изоляцией на 26 - 35 % легче кабелей с резиновой изоляцией. Кабели с резиновой изоляцией предназначены дл) использования при номинальном напряжении электрического тока не более 1100 В, при температурах окружающей среды до 90 °С и давлении до 1 МПа. Кабели с полиэтиленовой изоляцией могут работать при напряжении до 2300 В, температуре до 120 °С и давлении до 2 МПа. Эти кабели обладают большей устойчивостью против воздействия газа и высокого давления.
Все кабели имеют броню из волнистой оцинкованной стальной ленты, что придает им нужную прочность. Характеристика кабелей приведена в таблице 4.
Кабели обладают активным и реактивным сопротивлением. Активное сопротивление зависит от сечения кабеля и частично от температуры.
Сечение, мм .......................................... 16 25 35
Активное сопротивление, Ом/км .......... 1,32 0,84 0,6
Реактивное сопротивление зависит от cos 9 и при его значении 0,86 - 0,9 (как это имеет место у ПЭДов) составляет примерно 0,1 Ом/км.
Таблица 4. Характеристика кабелей, применяемых для УПЦЭН
| Кабель | Число жил и площадь сечения, мм2 | Наружный диаметр, мм | Наружные размеры плоской части, мм | Масса, кг/км |
| НРБ К | 3 х 10 | 27,5 | - | 1280 |
| 3 х 16 | 29,3 | - | 1650 | |
| 3 x 25 | 32,1 | - | 2140 | |
| 3 x 35 | 34,7 | - | 2680 | |
| КРБП | 3 х 10 | - | 12,6 x 30,7 | 1050 |
| 3 х 16 | - | 13,6 x 33,8 | 1250 | |
| 3 x 25 | - | 14,9 x 37,7 | 1600 | |
| КПБК | 3 х 10 | 27,0 | 1016 | |
| 3 х 16 | 29,6 | - | 1269 | |
| 32,4 | - | 1622 | ||
| 3 x 35 | 34,8 | - | 1961 | |
| КПБП | 3 x 4 | - | 8,8 х 17,3 | 380 |
| 3 x 6 | - | 9,5 х 18,4 | 466 | |
| 3 х 10 | - | 12,4 х 26,0 | 738 | |
| 3 х 16 | - | 13,6 x 29,6 | 958 | |
| 3 x 25 | - | 14,9 x 33,6 | 1282 |
В кабеле происходит потеря электрической мощности, обычно от 3 до 15 % общих потерь в установке. Потеря мощности связана с потерей напряжения в кабеле. Эти потери напряжения, зависящие от тока, температуры кабеля, его сечения и пр., вычисляются по обычным формулам электротехники. Они составляют примерно от 25 до 125 В/км. Поэтому на устье скважины напряжение, подаваемое к кабелю, всегда должно быть выше на величину потерь по сравнению с номинальным напряжением ПЭДа. Возможности такого повышения напряжения предусмотрены в автотрансформаторах или трансформаторах, имеющих для этой цели в обмотках несколько дополнительных отводов.
Первичные обмотки трехфазных трансформаторов и автотрансформаторов всегда рассчитаны на напряжение промысловой электросети, т. е. на 380 В, к которой они и подсоединяются через станции управления. Вторичные обмотки рассчитаны на рабочее напряжение соответствующего двигателя, с которым они связаны кабелем. Эти рабочие напряжения в различных ПЭДах изменяются от 350В (ПЭД10-103) до 2000 В (ПЭД65-117; ПЭД125-138). Для компенсации падения напряжения в кабеле от вторичной обмотки делается 6 отводов (в одном типе трансформатора 8 отводов), позволяющих регулировать напряжение на концах вторичной обмотки с помощью перестановки перемычек. Перестановка перемычки на одну ступень повышает напряжение на 30 - 60 В в зависимости от типа трансформатора.
Все трансформаторы и автотрансформаторы немаслозаполненные с воздушным охлаждением закрыты металлическим кожухом и предназначены для установки в укрытом месте. Они комплектуются с подземной установкой, поэтому их параметры соответствуют данному ПЭДу.
В последнее время трансформаторы находят более широкое распространение, так как это позволяет непрерывно контролировать сопротивление вторичной обмотки трансформатора, кабеля и статорной обмотки ПЭДа. При уменьшении сопротивления изоляции до установленной величины (30 кОм) установка автоматически отключается.
При автотрансформаторах, имеющих прямую электрическую связь между первичной и вторичной обмотками, такого контроля изоляции осуществлять нельзя.
Трансформаторы и автотрансформаторы имеют к. п. д. около 98 - 98,5 %. Масса их в зависимости от мощности колеблется от 280 до 1240 кг, габариты от 1060 х 420 х 800 до 1550 х 690 х 1200 мм.
Работа УПЦЭН управляется станцией управления ПГХ5071 или ПГХ5072. Причем станция управления ПГХ5071 применяется при автотрансформаторном питании ПЭДа, а ПГХ5072 - при трансформаторном. Станции ПГХ5071 обеспечивают мгновенное отключение установки при замыкании токоведущих элементов на землю. Обе станции управления обеспечивают следующие возможности контроля и управления работой УПЦЭН.
1. Ручное и автоматическое (дистанционное) включение и отключение установки.
2. Автоматическое включение установки в режиме самозапуска после восстановления подачи напряжения в промысловой сети.
3. Автоматическую работу установки на периодическом режиме (откачка, накопление) по установленной программе с суммарным временем 24 ч.
4. Автоматическое включение и отключение установки в зависимости от давления в выкидном коллекторе при автоматизированных системах группового сбора нефти и газа.
5. Мгновенное отключение установки при коротких замыканиях и при перегрузках по силе тока на 40%, превышающих нормальный рабочий ток.
6. Кратковременное отключение на время до 20 с при перегрузках ПЭДа на 20 % от номинала.
7. Кратковременное (20 с) отключение при срыве подачи жидкости в насос.
Двери шкафа станции управления имеют механическую блокировку с блоком рубильников. Имеется тенденция к переходу на бесконтактные, герметически закрытые станции управления с полупроводниковыми элементами, которые, как показал опыт их эксплуатации, более надежны, не подвержены воздействию пыли, влаги и осадков.
Станции управления предназначены для установки в помещениях сарайного типа или под навесом (в южных районах) при температуре окружающей среды от - 35 до +40 °С.
Масса станции около 160 кг. Габариты 1300 х 850 х 400 мм. В комплект поставки УПЦЭН входит барабан с кабелем, длина которого определяется заказчиком.
Во время эксплуатации скважины по технологическим причинам глубину подвески насоса приходится изменять. Чтобы не рубить и не наращивать кабель при таких изменениях подвески, длина кабеля берется по максимальной глубине подвески данного насоса и при меньших глубинах его излишек оставляется на барабане. Этот же барабан используется для намотки кабеля при подъеме ПЦЭН из скважин.
При постоянстве глубины подвески и стабильных условиях работы насоса конец кабеля заправляется в соединительную коробку, и необходимость в барабане отпадает. В таких случаях при ремонтах используют специальный барабан на транспортной тележке или на металлических санях с механическим приводом для постоянного и равномерного подтягивания извлекаемого из скважины кабеля и намотки его на барабан. При спуске насоса с такого барабана равномерно подается кабель. Барабан приводится в движение электроприводом с реверсом и фрикционом для предупреждения опасных натяжений. На нефтедобывающих предприятиях с большим числом УЭЦН используют специальный транспортировочный агрегат АТЭ-6 на базе грузового вездехода КаАЗ-255Б для перевозки кабельного барабана и другого электрооборудования, в том числе трансформатора, насоса, двигателя и узла гидрозащиты.
Для погрузки и разгрузки барабана агрегат снабжен откидными направлениями для накатывания барабана на платформу и лебедкой с тяговым усилием на канате 70 кН. На платформе имеется также гидрокран грузоподъемностью 7,5 кН при вылете стрелы 2,5 м. Кабель спущенного насосного агрегата пропускают через сальниковые уплотнения устья и герметизируют в нем с помощью специального разъемного герметизирующего фланца в устьевой крестовине. Типичная арматура устья скважины, оборудованной для эксплуатации ПЦЭН (рисунок 6), состоит из крестовины 1, которая навинчивается на обсадную колонну.

Рисунок 6. Арматура устья скважины, оборудованной ПЦЭН
В крестовине имеется разъемный вкладыш 2, воспринимающий нагрузку от НКТ. На вкладыш накладывается уплотнение из нефтестойкой резины 3, которое прижимается разъемным фланцем 5. Фланец 5 прижимается болтами к фланцу крестовины и герметизирует вывод кабеля 4.
Арматура предусматривает отвод затрубного газа через трубу 6 и обратный клапан 7. Арматура собирается из унифицированных узлов и запорных кранов. Она сравнительно просто перестраивается для оборудования устья при эксплуатации штанговыми насосами.
2.4 Установка ПЦЭН специального назначения
Погружные центробежные насосы применяются не только для эксплуатации добывающих скважин. Они находят применение.
1. В водозаборных и артезианских скважинах для снабжения технической водой систем ППД и для бытовых целей. Обычно это насосы с большими подачами, но с малыми напорами.
2. В системах ППД при использовании пластовых высоко напорных вод (альб-сеноманские пластовые воды в Тюменской области) при оборудовании водозаборных скважин с непосредственной закачкой воды в соседние нагнетательные скважины (подземные кустовые насосные станции). Для этих целей используются насосы с внешним диаметром 375 мм, подачей до 3000 м3 /сут и напором до 2000 м.
3. Для внутрипластовых систем поддержания пластового давления при закачке воды из нижнего водоносного пласта верхний нефтяной или из верхнего водоносного в нижний нефтяной через одну скважину. Для этой цели используются та называемые перевернутые насосные установки, у которых в верхней части двигатель, затем гидрозащита и в самом низу саг центробежный насос. Такая компоновка приводит к значительным конструктивным изменениям, но оказывается необходимой m технологическим причинам.
4. Специальные компоновки насоса в корпусах и с каналами перетока для одновременной, но раздельной эксплуатации двух и более пластов одной скважиной. Такие конструкции по существу являются приспособлениями известных элементов стандартной установки погружного насоса для работы в скважине в сочетании с другим оборудованием (газлифт, ШСН, фонтан ПЦЭН и т. д.).
5. Специальные установки погружных центробежных насосов на кабель-канате. Стремление увеличить радиальные габариты ЭЦЭН и улучшить его технические характеристики, а также стремление упростить спуско-подъемные работы при замене ЭЦЭН привели к созданию установок, спускаемых в скважину на специальном кабель-канате. Кабель-канат выдерживает нагрузку 100 кН. Он имеет сплошную двухслойную (крест накрест) наружную оплетку из прочных стальных проволок, обвитых вокруг электрического трехжильного кабеля, с помощью которого осуществляется питание ПЭДа.
Область применения ПЦЭН на кабель-канате как по напорам, так и по подаче шире, чем насосов, спускаемых на трубах, так как увеличение за счет устранения бокового кабеля радиальных габаритов двигателя и насоса при тех же размерах колонн, позволяют существенно улучшить технические характеристики агрегатов. Вместе с тем использование ПЦЭН на кабель-канате по схеме беструбной эксплуатации вызывает и некоторые трудности, связанные с отложениями парафина на стенках обсадной колонны.
К преимуществам этих насосов, имеющих шифр ЭЦНБ, что означает беструбный (Б) (например, ЭЦНБ5-160-1100; ЭЦНБ5А-250-1050; ЭЦНБ6-250-800 и др.) следует отнести следующие.
1. Более полное использование поперечного сечения обсадной колонны.
2. Практически полное исключение гидравлических потерь напора на трение в подъемных трубах из-за их отсутствия.
3. Увеличенный диаметр насоса и электродвигателя позволяет повысить напор, подачу и к. п. д. агрегата.
4. Возможность полной механизации и удешевления работ по подземному ремонту скважин при смене насоса.
5. Снижение металлоемкости установки и стоимости оборудования из-за исключения НКТ, благодаря чему масса оборудования, спускаемого в скважину, уменьшается с 14 - 18 до 6 - 6,5 т.
6. Снижение вероятности повреждения кабеля при спуско-подъемных операциях.
Наряду с этим необходимо отметить и недостатки беструбных установок ПЦЭН.
1. Более тяжелые условия работы оборудования, находящегося под давлением выкида насоса.
2. Кабель-канат по всей длине находится в жидкости, откачиваемой из скважины.
3. Узел гидрозащиты, ПЭД и кабель-канат подвержены не давлению приема, как в обычных установках, а давлению выкида насоса, которое значительно превышает давление приема.
4. Поскольку подъем жидкости на поверхность происходит по обсадной колонне, то при отложении парафина на стенках колонны и на кабеле возникают трудности с ликвидацией этих отложений.

Рисунок 7. Установка погружного центробежного насоса на кабель-канате: 1 - шлипсовый пакер; 2 - приемная сетка; 3 - клапан; 4 - посадочные кольца; 5 - обратный клапан, 6 - насос; 7 -ПЭД; 8 - штекер; 9 - гайка; 10 - кабель; 11 - оплетка кабеля; 12 - отверстие
Несмотря на это установки на кабель-канате применяются, и существует несколько типоразмеров таких насосов (рисунок 7).
На расчетную глубину предварительно спускается и закрепляется на внутренних стенках колонны шлипсовый пакер 1, воспринимающий вес столба жидкостей над ним и вес погружного агрегата. Насосный агрегат в сборе на кабель-канате опускается в скважину, сажается на пакер и уплотняется в нем. Одновременно патрубок с приемной сеткой 2 проходит через пакер и открывает обратный клапан 3 тарельчатого типа, имеющийся в нижней части пакера.
При посадке агрегата на пакер герметизация достигается за счет касания посадочных колец 4. Выше посадочных колец, в верхней части всасывающего патрубка находится обратный клапан 5. Над клапаном размещается насос 6, затем узел гидрозащиты и ПЭД 7. В верхней части двигателя имеется специальный трехполюсный коаксиальный штекер 8, на который плотно насаживается и закрепляется накидной гайкой 9 присоединительный наконечник кабеля 10. В наконечнике заправлены грузонесущая проволочная оплетка кабеля 11 и электрические жилы, подсоединенные к контактным кольцам состыковочного штекерного устройства.
Жидкость, подаваемая ПЦЭН, выбрасывается через отверстия 12 в межтрубное пространство, частично охлаждая ПЭД.
На устье скважины кабель-канат герметизируется в устьевом сальнике арматуры и конец его присоединяется через обычную станцию управления к трансформатору.
Спускают и поднимают установку с помощью кабельного барабана, расположенного на шасси специально оборудованного тяжелого автомобиля-вездехода (агрегат АПБЭ-1,2 / 8А).
Время спуска установки на глубину 1000 м - 30 мин, подъема - 45 мин.
При подъеме насосного агрегата из скважины всасывающий патрубок выходит из пакера и дает возможность захлопнуться тарельчатому клапану. Это позволяет в фонтанных и полуфонтанных скважинах спускать и поднимать насосный агрегат без предварительного глушения скважины.
Число ступеней в насосах 123 (УЭЦНБ5А-250-1050), 95 (УЭЦНБ6-250-800) и 165 (УЭЦНБ5-160-1100).
Таким образом, за счет увеличения диаметра рабочих колес напор, развиваемый одной ступенью, составляет 8,54; 8,42 и 6,7 м. Это почти в два раза больше, чем у насосов обычной компоновки. Мощности двигателей 46 кВт. Максимальный к. п. д. насосов - 0,65.
В качестве примера на рисунке 8 приведены рабочие характеристики насоса УЭЦНБ5А-250-1050. Для этого насоса рекомендуется рабочая область: подача Q = 180 - 300 м3 /сут, напор Н = 1150 - 780 м. Масса насоса в сборе (без кабеля) 860 кг.

Рисунок 8. Рабочие характеристики погружного центробежного насоса ЭЦНБ5А 250-1050, спускаемого на кабеле канате: Н - напорная характеристика; N - потребляемая мощность; η - коэффициент полезного действия
2.5 Определение глубины подвески ПЦЭН
Глубина подвески насоса определяется:
1) глубиной динамического уровня жидкости в скважине Нд при отборе заданного количества жидкости;
2) глубиной погружения ПЦЭН под динамический уровень Нп , минимально необходимой для обеспечения нормальной работы насоса;
3) противодавлением на устье скважины Ру , которое необходимо преодолеть;
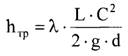
4) потерями напора на преодоление сил трения в НКТ при движении потока hтр ;
5) работой выделяющегося из жидкости газа Нг , уменьшающего необходимый суммарный напор. Таким образом, можно записать:
(1)
По существу все слагаемые в (1) зависят от отбора жидкости из скважины.
Глубина динамического уровня определяется из уравнения притока или по индикаторной кривой.
Если уравнение притока известно
(2)
то, решая его относительно давления на забое Рс и приведя это давление в столб жидкости получим:
(3)
(4)
Или.
(5)
Откуда.
(6)
где рср - средняя плотность столба жидкости в скважине от забоя до уровня; h - высота столба жидкости от забоя до динамического уровня по вертикали.
Вычитая h из глубины скважины (до середины интервала перфорации) Нс , получим глубину динамического уровня Нд от устья
(7)
Если скважины наклонны и φ1 - средний угол наклона относительно вертикали на участке от забоя до уровня, а φ2 - средний угол наклона относительно вертикали на участке от уровня до устья, то необходимо внести поправки на кривизну скважины.
С учетом кривизны искомое Нд будет равно
(8)
Здесь Нс - глубина скважины, измеренная вдоль ее оси.
Величина Нп - погружение под динамический уровень, при наличии газа определяется сложно. Об этом будет сказано несколько дальше. Как правило, Нп принимается таким, чтобы на приеме ПЦЭН обеспечить за счет давления столба жидкости газосодержание β потока, не превышающее 0,15 - 0,25. В большинстве случаев это соответствует 150 - 300 м.
Величина Py /ρg есть устьевое давление, выраженное в метрах столба жидкости плотностью ρ. Если продукция скважины обводнена и n - доля воды в единице объема продукции скважины, то плотность жидкости определяется как средневзвешенная
(9)
Здесь ρн , ρн - плотности нефти и воды.
Величина Ру зависит от системы нефтегазосбора, удаленности данной скважины от сепарационных пунктов и в некоторых случаях может составлять значительную величину.
Величина hтр рассчитывается по обычной формуле трубной гидравлики
(10)
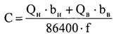
где С - линейная скорость потока, м/с,
(11)
Здесь QH и QB - дебит товарной нефти и воды, м3 /сут; bН и bВ - объемные коэффициенты нефти и воды для средних термодинамических условий, существующих в НКТ; f - площадь сечения нкт.
Как правило, hтр - малая величина и составляет примерно 20 - 40 м.
Величину Нг можно определить достаточно точно. Однако такой расчет сложный и, как правило, проводится на ЭВМ.
Приведем упрощенный расчет процесса движения ГЖС в НКТ. На выкиде насоса жидкость содержит в себе растворенный газ. При снижении давления газ выделяется и способствует подъему жидкости, снижая тем самым необходимый напор на величину Нг . По этой причине в уравнение Нг входит с отрицательным знаком.
Величину Нг можно приближенно определить по формуле, следующей из термодинамики идеальных газов, подобно тому, как это может быть сделано при учете работы газа в НКТ в скважине, оборудованной ШСН.
Однако, при работе ПЦЭН для учета большей производительности по сравнению с ШСН и меньших потерь скольжения можно рекомендовать более высокие значения коэффициента полезного действия для оценки эффективности работы газа.
- при добыче чистой нефти η = 0,8;
- при обводненной нефти 0,2 < n < 0,5 η = 0,65;
- при сильно обводненной нефти 0,5 < n < 0,9 η = 0,5;
При наличии фактических замеров давления на выкиде ЭЦН величина η может быть уточнена.
Для согласования H(Q) характеристики ЭЦН с условиями скважины строится так называемая напорная характеристика скважины (рисунок 9) в зависимости от ее дебита.
(12)
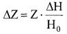
На рисунке 9 показаны кривые изменения слагаемых в уравнении от дебита скважины и определяющих результирующую напорную характеристику скважины Нскв (2).

Рисунок 9. Напорные характеристики скважины:
1 - глубина (от устья) динамического уровня, 2 - необходимый напор с учетом давления на устье, 3 - необходимый напор с учетом сил трения, 4 - результирующий напор с учетом «газлифтного эффекта»
Линия 1 - зависимость Нд (2), определяемая по формулам, приведённым выше и строится по точкам для различных произвольно выбранных Q. Очевидно, при Q = 0 НД = НСТ , т. е. динамический уровень совпадает со статическим. Прибавляя к Нд величину буферного давления, выраженного в м столба жидкости (Py /ρg), получим линию 2 - зависимость этих двух слагаемых от дебита скважины. Вычисляя по формуле для разных Q величину hТР и прибавляя вычисленные hТР к ординатам линии 2 получим линию 3 - зависимость первых трех слагаемых от дебита скважины. Вычисляя по формуле величину Нг и вычитая ее значение от ординат линии 3, получим результирующую линию 4, называемую напорной характеристикой скважины. На напорную характеристику скважины накладывается H(Q) - характеристика насоса для отыскания точки их пересечения, определяющей такой дебит скважины, который будет равен подаче. ПЦЭН при совместной работе насоса и скважины (рисунок 10).
Точка А - пересечение характеристик скважины (рисунок 11, кривая 1) и ПЦЭН (рисунок 11, кривая 2). Абсцисса точки А дает дебит скважины при совместной работе скважины и насоса, а ордината - напор Н, развиваемый насосом.

Рисунок 10. Согласование напорной характеристики скважины (1) с H(Q), характеристикой ПЦЭН (2), 3 - линия к. п. д.

Рисунок 11. Согласование напорной характеристики скважины и ПЦЭН путем снятия ступеней
В некоторых случаях для согласования характеристики скважины и ПЦЭН повышают противодавление на устье скважины с помощью штуцера или снимают лишние рабочие ступени в насосе и заменяют их направляющими вкладышами (рисунок 12).
Как видим, точка А пересечения характеристик получилась в этом случае за пределами заштрихованной области. Желая обеспечить работу насоса на режиме ηmax (точка Д), находим подачу насоса (дебит скважины) QCKB , соответствующую этому режиму. Напор, развиваемый насосом при подаче QCKB на режиме ηmax , определяется точкой В. В действительности при этих условиях работы необходимый напор определится точкой С.
Разница ВС = ΔН есть избыточный напор. В этом случае можно повысить давление на устье скважины на ΔР = ΔH · p · g установкой штуцера или снять часть рабочих ступеней насоса и заменить их вкладышами. Число снимаемых ступеней насоса определяется из простого соотношения:
(13)
Здесь Zo - общее число ступеней в насосе; Но - напор, развиваемый насосом при полном числе ступеней.
С энергетической точки зрения штудирование на устье для согласования характеристик невыгодно, так как приводит к пропорциональному снижению к. п. д. установки. Снятие ступеней позволяет сохранить к. п. д. на прежнем уровне или даже несколько повысить его. Однако разобрать насос и заменить рабочие ступени вкладышами можно лишь в специализированных цехах.
При описанном выше согласовании характеристик скважины насоса необходимо, чтобы H(Q) характеристика ПЦЭН соответствовала действительной характеристике при его работе на скважинной жидкости определенной вязкости и при определенном газосодержании на приеме. Паспортная характеристика H(Q) определяется при работе насоса на воде и, как правило, является завышенной. Поэтому важно иметь действительную характеристику ПЦЭН, прежде чем согласовывать её с характеристикой скважины. Наиболее надежный метод получения действительной характеристики насоса - это его стендовые испытания на скважинной жидкости при заданном проценте обводненности.
Определение глубины подвески ПЦЭН с помощью кривых распределения давления.
Глубина подвески насоса и условия работы ЭЦЭН как на приеме, так и на его выкиде довольно просто определяется с помощью кривых распределения давления вдоль ствола скважины и НКТ. Предполагается, что методы построения кривых распределения давления Р(х) уже известны из общей теории движения газожидкостных смесей в НКТ.
Если дебит задан, то из формулы (или по индикаторной линии) определяется забойное давление Рс , соответствующее этому дебиту. От точки Р = Рс строится график распределения давления (по шагам) Р(х) по схеме «снизу вверх». Кривая Р(х) строится для заданного дебита Q, газового фактора Го и прочих данных, таких как плотность жидкости, газа, растворимость газа, температура, вязкость жидкости и др., учитывая при этом, что от забоя газожидкостная смесь движется по всему сечению обсадной колонны.

Рисунок 12. Определение глубины подвески ПЦЭН и условий его работы с помощью построения кривых распределения давления: 1 - Р(х) - построенная от точки Рс; 2 - р(х) - кривая распределения газосодержания; 3 - Р(х), построенная от точки Ру; ΔР - перепад давлений, развиваемый ПЦЭН
На рисунке 12 показана линия распределения давления Р(х) (линия 7), построенная снизу вверх от точки с координатами Рс , Н.
В процессе вычисления по шагам значений Р и х в качестве промежуточной величины для каждого шага получаются значения расходной газонасыщенности р. По этим данным, начиная с забоя, можно построить новую кривую р(х) (рисунок 12, кривая 2). При забойном давлении, превышающем давление насыщения Рс > Рнас , линия β(х) будет иметь своим началом точку, лежащую на оси ординат выше забоя, т. е. на той глубине, где давление в стволе скважины будет равно или меньше Рнас .
При Рс < Рнас свободный газ будет присутствовать на забое и поэтому функция β(х) при х = Н уже будет иметь некоторое положительное значение. Абсцисса точки А будет соответствовать начальной газонасыщенности β на забое (х = Н).
При уменьшении х β будет возрастать в результате уменьшения давления.
Построение кривой Р(х) должно быть продолжено до пересечения этой линии 1 с осью ординат (точка б).
Выполнив описанные построения, т. е. построив линии 1 и 2 от забоя скважины, приступают к построению кривой распределения давления Р(х) в НКТ от устья скважины, начиная от точки х = 0 Р = Ру , по схеме «сверху вниз» по шагам по любой методике и в частности по методике, описанной в общей теории движения газожидкостных смесей в трубах (глава 7) Вычисление производится для заданного дебита Q, того же газового фактора Го и других данных, необходимых для расчета.
Однако в этом случае кривая Р(х) рассчитывается для движения ГЖС по НКТ, а не по обсадной колонне, как и предыдущем случае.
На рисунке 12 функция Р(х) для НКТ, построенная сверху вниз, показана линией 3. Линия 3 должна быть продолжена вниз либо до забоя, либо до таких значений х, при которых газонасыщенность β становится достаточно малой (4 - 5%) или даже равной нулю.
Поле, лежащее между линиями 1 и 3 и ограниченное горизонтальными линиями I - I и II - II, определяет область возможных условий работы ПЦЭН и глубины его подвески. Расстояние по горизонтали между линиями 1 и 3 в определенное масштабе определяет перепад давлений ΔР, который должен сообщить потоку насос, чтобы скважина работала с заданным дебитом Q, забойным давлением Рс и устьевым давлением Ру .
Кривые на рисунке 12 могут быть дополнены кривыми распределения температур t(x) от забоя до глубины подвески насоса и от устья также до насоса с учетом скачка температуры (расстояние в - е) на глубине подвески ПЦЭН, происходящего от тепловой энергии, выделяемой двигателем и насосом. Этот температурный скачок можно определить, приравнивая потери механической энергии в насосе и электродвигателе к приращению тепловой энергии потока. Полагая, что переход механической энергии в тепловую совершается без потерь в окружающую среду, можно определить приращение температуры жидкости в насосном агрегате.
(14)
Здесь с - удельная массовая теплоемкость жидкости, Дж/кг-°С; ηн и ηд - к. п .д. насоса и двигателя соответственно. Тогда температура жидкости, покидающей насос, будет равна
t = tпр + ΔР (15)
где tпр - температура жидкости на приеме насоса.
При отклонении режима работы ПЦЭН от оптимального к. п. д. будет уменьшаться и нагрев жидкости будет увеличиваться.
Для того чтобы выбрать типоразмер ПЦЭН, необходимо знать дебит и напор.
При построении кривых Р(х) (рисунок ) дебит должен быть задан. Перепад давлений на выкиде и приеме насоса при любой глубине его спуска определяется как расстояние по горизонтали от линии 1 до линии 3. Этот перепад давлений необходимо перевести в напор, зная среднюю плотность жидкости ρ в насосе. Тогда напор будет
(16)
Плотность жидкости ρ при обводненной продукции скважины определяется как средневзвешенная с учетом плотностей нефти и воды при термодинамических условиях насоса.
По данным испытаний ПЦЭН при работе на газированной жидкости установлено, что при газосодержании на приеме насоса 0 < βпр < 5 - 7% напорная характеристика практически не изменяется. При βпр > 5 - 7 % напорные характеристики ухудшаются и в расчетный напор необходимо вносить поправки. При βпр , доходящих до 25 - 30%, происходит срыв подачи насоса. Вспомогательная кривая Р(х) (рисунок 12, линия 2) позволяет сразу определять газосодержание на приеме насоса при различной глубине его спуска.
Определенные по графикам подача и необходимый напор должны соответствовать выбранному типоразмеру ПЦЭН при работе его на оптимальном или рекомендованных режимах.
3. Подбор погружного центробежного насоса
Подобрать погружной центробежный насос для форсированного отбора жидкости.
Глубина скважины Нскв = 450 м.
Статический уровень считается от устья hs = 195 м.
Допустимый период давления ΔР = 15 атм.
Коэффициент продуктивности К = 80 м2 /сут атм.
Жидкость состоит из воды с 27 % нефти γж = 1.
Показатель степени в уравнение притока жидкости n = 1.
Диаметр обводной колонны 300 мм.
Свободного газа в откачиваемой скважине нет, так как он отбирается из межтрубного пространства вакуумом.
Решение:
Определим расстояние от устья скважины до динамического уровня. Перепад давления, выраженный в метрах столба жидкости
ΔР = 15 атм = 15 х 10 = 150 м.
Расстояние динамического уровня:
hα = hs + ΔР = 195 + 150 = 345 м (17)
Найдём требующуюся производительность насоса из давления притока:
Q = КΔР = 80 х 15 – 1200 м3 /сут (18)
Для лучшей работы насоса будем эксплуатировать его с некоторым периодом подбора насоса на 20 м под динамический уровень жидкости.
Ввиду значительного дебита принимаем диаметр подъёмных труб и выкидной линии равным 100 мм (4'').
Напор насоса в рабочей области характеристики должен обеспечить следующее условие:
НН ≥ НО + hT + h'Т (19)
где: НН – требующийся напор насоса в м;
НО – расстояние от устья скважины до динамического уровня, т.е. высота подъёма жидкости в м;
hT - потери напора на трение в насосных трубах, в м;
h'Т – напор, требуемый на преодоление сопротивлений в выкидной линии на поверхности, в м.
Вывод диаметра трубопровода считается правильным, если напора по всей его длине от насоса до приёмного резервуара не превышает 6-8 % от общего напора. Общая длина трубопровода
L = H0 +1=345 + 55 = 400 м (20)
Потерю напора для трубопровода рассчитывается по формуле:
hT
+ h'Т
= λ
/dv2
/2g (21)
где: λ ≈ 0,035 – коэффициент сопротивления
g = 9,81 м/сек - ускорение силы тяжести
V = Q/F = 1200 х 4/86400 х 3,14 х 0,1052 = 1,61 м/сек скорость движения жидкости
F = π/4 х d2 = 3,14/4 х 0,1052 – площадь сечения 100 мм трубы.
Отсюда:
hT + h'Т = 0,035 х 400/0,105 х 1,61/2 х 9,8 = 17,6 м. (22)
Потребный напор насоса
НН = НО + hT + h'Т = 345 + 17,6 = 363 м (23)
Проверим правильность выбора 100 мм (4'') труб.
hT + h'Т / НН х 100 = 17,6 х 100/363 = 48 % < 6 % (24)
Условие относительно диаметра трубопровода соблюдается, следовательно, 100 мм трубы выбраны правильно.
По напору и производительности подбираем подходящий насос. Наиболее удовлетворяющим является агрегат под маркой 18-К-10, что означает: насос состоит из 18 ступеней, мотор его имеет мощность 10х20 = 200 л.с. = 135,4 кВт.
При питании током (60 периодов в секунду) ротор мотора на стенде даёт n1 = 3600 об/мин и насос развивает производительность до Q = 1420 м3 /сут.
Пересчитываем параметры выбранного агрегата 18-К-10 на нестандартную частоту переменного тока – 50 периодов в минуту: n = 3600 х 50/60 = 300 об/мин.
Для центробежных насосов производительности относятся как числа оборотов Q = n/n1 , Q = 3000/3600 х 1420 = 1183 м3 /сут.
Далее выбираем номера агрегата 18-К-10, обеспечивающий напор Н = 427 м.
Так как напоры относятся как квадраты чисел оборотов, то при n = 3000 об/мин насос обеспечит напор.
Н'Н = n2 /n1 х 427 = 3000/3600 х 427 = 297 м (25)
Чтобы получить требуемый номер НН = 363 м, надо увеличить число ступеней насоса.
Напор, развиваемый одной ступенью насоса равен n = 297/18 = 16,5 м. Чтобы иметь напор НН = 363 м, требуется ступеней х = 363/16,5 = 22 ступеней. С небольшим запасом возьмём 23 ступеней, тогда марка нашего насоса будет 23-К-10.
Напор приспособления насосов к индивидуальным условиям в каждой скважине рекомендуется инструкцией.
Рабочая мочка с производительностью 1200 м3 /сутки находится на пересечении наружной кривой и кривой характеристики трубопровода. Продолжив перпендикуляр вверх, найдём значение КПД агрегата η = 0,44 : cosφ = 0,83 электромотора. По этим значениям проверим мощность, потребляемую электродвигателем агрегата из сети переменного тока N = Q НН х 1000/86400 х 102 η х cosφ = 1200 х 363 х 1000/86400 х 102 х 0,44 х 0,83 = 135,4 кВт. Иначе говоря, электродвигатель агрегата будет мощностью загружен.
4. Охрана труда
На предприятиях составляется и утверждается главным инженером график проведения проверки герметичности фланцевых соединений, арматуры и других источников возможных выделений сероводорода.
Для перекачки сероводородсодержащих сред должны использоваться насосы с двойным торцовым уплотнением или с электромагнитными муфтами.
Сточные воды установок подготовки нефти, газа и газоконденсата должны подвергаться очистке, а при содержании сероводорода и других вредных веществ выше ПДК – нейтрализации.
До вскрытия и разгерметизации технологического оборудования необходимо осуществлять мероприятия по дезактивации пирофорных отложений.
Перед осмотром и ремонтом, ёмкости и аппараты должны быть пропарены и промыты водой для предотвращения самовозгорания природных отложений. По дезактивации пирофорных соединений должны осуществляться мероприятия с применением пенных систем на основе ПАВ либо других методов, отмывающих системы аппаратов от этих соединений.
Во избежание самовозгорания природных отложений, при ремонтных работах, все узлы и детали технологического оборудования должны быть смочены техническими моющими составами (ТМС).
При наличии на объектах добычи газо- и продукта с большим геометрическим объёмом, необходимо секционировать их путём автоматических задвижек, обеспечивающих наличие в каждой секции при нормальном рабочем режиме не более 2000 – 4000 м3 сероводорода.
На установках в помещениях и на промплощадках, где возможно выделение сероводорода в воздух рабочей зоны, должен осуществляться постоянный контроль воздушной среды и сигнализации опасных концентраций сероводорода.
Место установки датчиков стационарных автоматических газосигнализаторов определяется проектом обустройства месторождения с учётом плотности газов, параметров изменяемого оборудования, его размещения и рекомендации поставщиков.
Контроль за состоянием воздушной среды на территории промысловых объектов должен быть автоматическим с выводом датчиков на диспетчерский пункт.
Замеры концентрации сероводорода газоанализаторами на объекте должны проводиться по графику предприятия, а в аварийных ситуациях – газоспасательной службой с занесением результатов в журнал.
Заключение
Установки погружных центробежных насосов (УЭЦН) для добычи нефти из скважин нашли широкое применение на скважинах с большим дебитом, так насос и электродвигатель подобрать под любую большую производительность не представляет большего труда.
Промышленность России выпускает насосы с широким диапозоном производительности, тем более что, производительность и высоту подъёма жидкости от забоя на поверхность можно регулировать меняя число секций насоса.
Использование центробежных насосов возможно при различных величинах подач и напоров по причине «гибкости» характеристики, однако практически подача насоса должна находиться внутри «рабочей части» или «рабочей зоны» характеристики насоса. Эти рабочие части характеристики должны обеспечивать наиболее экономичные режимы эксплуатации установок и минимальный износ деталей насосов.
Компания «Борец» производит полнокомплектные установки погружных электроцентробежных насосов различных вариантов комплектации, отвечающие мировым стандартам, предназначенные для эксплуатации в любых условиях, в том числе в осложнённых с повышенным содержанием мехпримесей, газосодержания и температуры перекачиваемой жидкости, рекомендуется для скважин с высоким газовым фактором и нестабильным динамическим уровнем, успешно противостоят отложению солей.
Список литературы
1. Абдулин Ф.С. Добыча нефти и газа: - М.: Недра, 1983. - С.140
2. Актабиев Э.В., Атаев О.А. Сооружения компрессорных и нефтеперекачивающих станций магистральных трубопроводов: - М.: Недра, 1989. – С.290
3. Алиев Б.М. Машины и механизмы для добычи нефти: - М.: Недра, 1989. – С.232
4. Алиева Л. Г., Алдашкин Ф. И. Бухгалтерский учет в нефтяной и газовой промышленности: - М.: Тема, 2003. – С.134
5. Березин В.Л., Бобрицкий Н.В. и др. Сооружение и ремонт газонефтепроводов: - М.: Недра, 1992. – С.321
6. Бородавкин П.П., Зинкевич А.М. Капитальный ремонт магистральных трубопроводов: - М.: Недра, 1998. – С.149
7. Бухаленко Е.И. и др. Монтаж и обслуживание нефтепромыслового оборудования: - М.: Недра, 1994. – С.195
8. Бухаленко Е.И. Нефтепромышленное оборудование: - М.: Недра, 1990. – С.200
9. Бухаленко Е.И. Справочник по нефтепромысловому оборудованию: - М.: Недра, 1990. – С.120
10. Вирнавский А.С. Вопросы эксплуатации нефтяных скважин: - М.: Недра, 1997. - С.248
11. Марицкий Е.Е., Миталев И.А. Нефтяное оборудование. Т. 2: – М.: Гипронефтемаш, 1990. – С.103
12. Марков А.А. Справочник по добыче нефти и газа: - М.: Недра, 1989. – С.119
13. Махмудов С.А. Монтаж, эксплуатация и ремонт скважных насосных установок: - М.: Недра, 1987. – С.126
14. Михайлов К.Ф. Справочник механика нефтепромыслов: - М.: Гостехиздание, 1995. – С.178
15. Мищенко Р.И. Нефтепромысловые машины и механизмы: - М.: Гостехиздание, 1984. - С.254
16. Молчанов А.Г. Нефтепромысловые машины и механизмы: - М.: Недра, 1985. – С.184
17. Муравьёв В.М. Эксплуатация нефтяных и газовых скважин: - М.: Недра, 1989. - С. 260
18. Овчинников В.А. Нефтяное оборудование, т.II: - М.: ВННи нефтемашин, 1993. – С.213
19. Раабен А.А. Ремонт и монтаж нефтепромыслового оборудования: - М.: Недра, 1987. - С.180
20. Руденко М.Ф. Разработка и эксплуатация нефтяных месторождений: - М.: Труды МИНХ и ГТ, 1995. – С.136
Похожие рефераты:
Ремонт и обслуживание скважин и оборудования для бурения
Южно-Ягунское нефтяное месторождение
Установки погружных центробежных насосов (УЭЦН)
Проектное решение по разработке месторождения
Анализ режима работы скважин оборудованных УЭЦН на примере ОАО "Сибнефть"
Отчет о практике специальности Разработка и эксплуатация нефтегазовых месторождений
Подготовки добываемой газо-водонефтяной эмульсии
Насосы, применяемые в нефтедобыче
Электроснабжение и электроборудование куста с внедрением СУ "Электон-06"
Применение в скважинах бесштанговых насосов
Эксплуатационные скважины для освоения месторождений Западной Сибири
Пуск в работу питательного электронасоса после ремонта
Бурение и оборудование скважин при подземном выщелачивании полезных ископаемых
Продвижение прогрессивных систем энергосбережения в Украине в сегменте (ТН) тепловых насосов
Проектирование техологии бурения наклонно-направленной скважины глубиной 1773 м
Проект реконструкции цеха первичной переработки нефти и получения битума на ОАО «Сургутнефтегаз»