| Похожие рефераты | Скачать .docx |
Курсовая работа: Электромеханические элементы
Курсовая работа
на тему:
"Электромеханические элементы"
1. Общие сведения об электромеханических системах
На основе электромеханических элементов создавались устройства релейной защиты и автоматики первого поколения. Начиная с 60-х годов электромеханическая элементная база стала заменяться полупроводниковой, а затем микропроцессорной. Однако и сейчас в устройствах релейной защиты и автоматики систем электроснабжения используют электромеханические реле: электромагнитные, индукционные, магнитоэлектрические. По назначению они делятся на измерительные и логические. Под электромеханическим реле, согласно ГОСТ 16022—83, понимают электрическое реле, работа которого основана на использовании относительного перемещения его механических элементов под воздействием электрического тока, протекающего по его обмотке.
На основе электромеханических систем можно создать измерительные реле с одной воздействующей величиной и более, реагирующие элементы схем сравнения, а также реле для логической части автоматических устройств. Как и прежде, широко применяются электромагнитные и индукционные измерительные реле, причем в первом случае осуществляется сравнение величин по абсолютному значению, а во втором — их сравнение по фазе. Реле логической части обычно являются электромагнитными. Магнитоэлектрические и поляризованные реле используют в качестве реагирующих элементов схем сравнения.
2. Принцип действия и выполнение электромагнитных реле
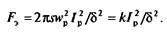
Для построения электромагнитных реле обычно используют следующие электромеханические системы: с втягивающимся якорем; с поворотным якорем; с поперечным движением якоря. Действие таких реле основано на взаимодействии между ферромагнитным якорем 2 и магнитным полем обмотки 6, обтекаемой током /р . Реле косвенного действия имеет контактную систему, которая состоит из неподвижной 3 и подвижной 4 частей. Подвижная часть связана с якорем реле. При отсутствии тока в обмотке 6 якорь удерживается в исходном положении противодействующей пружиной 5 с усилием Fn , при этом контакт реле разомкнут.

При прохождении по обмотке реле тока возникает магнитный поток Ф, замыкающийся через магнитопровод электромагнита, воздушный зазор и якорь. При этом создается электромагнитная сила F3 , стремящаяся притянуть якорь реле к электромагниту — обусловить действие реле:
![]()
где
— магнитная проводимость; / — длина силовой магнитной линии, м; wp
— число витков обмотки, реле.
Выражение является общим для всех конструкций электромагнитных реле. У реле с поворотным якорем магнитное поле в воздушном зазоре практически можно считать равномерным. При этом магнитную проводимость, которую в основном определяют длиной воздушного зазора
и площадью его сечения s, с достаточной точностью можно принять равной
Так как при движении якоря сокращается зазор, то
при этом
![]()
Подставляя в выражение, можно найти
![]()
Для действия реле необходимо, чтобы на всем пути перемещения якоря от начального положения в конечное положение выполнялось условие
![]()
где Fw — сила трения, Н.
Минимальное значение тока /р
, при котором соблюдается условие, является током действия реле /др
. Отпускание якоря, т. е. возврат реле в начальное состояние, может произойти, если на всем пути от
до
сохраняется условие![]()
На рис. 2 изображены совмещенно механические характеристики реле с поворотным якорем с учетом сил трения при действии FMJl и при отпускании FM 0 и соответственно электромагнитные характеристики F3 Ji и F3 B , построенные для тока действия /д „ и тока отпускания /0р — максимального тока в обмотке реле, при котором оно переходит в начальное состояние.
Отношение тока отпускания к току действия характеризуется коэффициентом отпускания
![]()
Исходя из требований чувствительности измерительных органов желательно иметь k0 = 1.
Электромагнитные характеристики построены при условии, что ток /р при перемещении якоря и уменьшении зазора 8, несмотря на возрастание индуктивного сопротивления обмотки реле, остается неизменным. Это справедливо для реле тока, у которых ток не зависит от параметров электромагнита, а определяется источником тока, каковым является измерительный трансформатор тока. Если обмотка реле подключается к измерительному трансформатору напряжения, являющемуся источником ЭДС, то вместе с изменением индуктивного сопротивления обмотки изменяется и ток /р , а электромагнитная сила Fa остается практически неизменной, так как изменение зазора 8 компенсируется соответствующим изменением тока. Действие реле не осуществляется, поэтому обмотка реле напряжения выполняется с преобладанием активного сопротивления или последовательно с обмоткой включается резистор с относительно большим сопротивлением. При этом ток в обмотке реле при движении якоря практически не изменяется, а электромагнитная сила возрастает и действие реле обеспечивается.
В качестве измерительных реле обычно применяются максимальные реле тока и напряжения и минимальные реле напряжения. Действие или отпускание реле, при котором оно выполняет предназначенные ему функции в автоматическом устройстве, называется срабатыванием реле. Максимальные реле выполняют свои функции при возрастании тока или напряжения. Поэтому их срабатывание совпадает с действием, ток или напряжение действия соответственно называют током /ср или напряжением Ucp срабатывания реле, а коэффициент отпускания — коэффициентом возврата который всегда меньше единицы.

Минимальное реле напряжения выполняет свою функцию в автоматическом устройстве при снижении напряжения, поэтому его срабатывание совпадает с отпусканием. Напряжение срабатывания минимального реле равно напряжению отпускания, а напряжение возврата равно напряжению действия. Поэтому значение коэффициента возврата минимального реле напряжения равно обратному значению коэффициента возврата максимального реле и всегда больше единицы.
После притягивания якоря реле к электромагниту в связи с различным характером изменения электромагнитной и механической характеристик на подвижную часть реле действует избыточная сила F^. Значение къ тем существеннее отличается от единицы, чем больше избыточная сила. С другой стороны, с ростом избыточной силы повышается надежность работы замыкающих контактов реле. Поэтому избыточная сила должна быть достаточной для надежной работы контактов, но не слишком большой, чтобы не влиять на коэффициент возврата. Эти условия удовлетворяются при использовании П-образной магнитной системы с поперечным движением якоря. На ее основе отечественной промышленностью выпускаются измерительные реле тока и реле напряжения типа РТ40 и РН53.
Для выполнения логических реле используют одну из электромеханических систем: с поворотным или с втягивающимся якорем. Система с втягивающимся якорем используется также у измерительных реле тока и напряжения РТМ, РТВ и РН, РНВ.
Из следует, что электромагнитный принцип можно использовать для выполнения реле постоянного и реле переменного тока, так как мгновенное значение электромагнитной силы F3
i
пропорционально квадрату тока и, следовательно, не зависит от его знака. При линейной зависимости между потоком Ф и током /р
значение /Lпропорционально квадрату мгновенного значения потока Ф„ т. е.
. Для синусоидального тока
![]()
С учетом того, что
получается
![]()
Таким образом, мгновенное значение электромагнитной силы состоит из постоянной и переменной составляющих. В результате их сложения получается электромагнитная сила F3 „ изменяющаяся во времени с двойной частотой. При этом в некоторые моменты времени она становится меньше противодействующей силы FM , что вызывает вибрацию якоря. Для устранения вибрации необходимо, чтобы результирующая электромагнитная сила F3 i при изменении тока во времени оставалась все время больше противодействующей силы FM .

Этого можно достичь, например, при наличии двух электромагнитных сил
и F^, смещенных друг относительно друга по фазе. Результирующая электромагнитная сила
, равная их сумме, изменяется во времени незначительно, оставаясь все время больше противодействующей силы![]()
Для получения двух электромагнитных сил необходимо иметь два магнитных потока Ф. При этом магнитный поток Ф, отстает от потока Ф2
на угол
.
Для выполнения измерительного органа с двумя электрическими величинами можно использовать так называемую балансную электромагнитную систему с двумя катушками и подвижным якорем в виде коромысла. Эта система производит сравнение квадратов абсолютных значений токов /, и /2 . На подвижную систему действуют в противоположные стороны электромагнитные силы
![]()
Реле срабатывает, если F,, > F^,. В комплексной плоскости Wграничная линия определяется условием
и имеет вид окружности. Зона действия реле располагается вне окружности.

Для релейной защиты и автоматики важными параметрами являются время срабатывания и время возврата реле, под которыми понимают время от момента, когда входная воздействующая величина принимает в заданных условиях определенное значение, до момента, когда реле завершает срабатывание или возврат. У электромагнитных реле время срабатывания складывается из двух составляющих:
![]()
где t„ — время от момента достижения воздействующей величиной значения срабатывания до момента начала движения якоря, с; tn — время от начала движения якоря до момента завершения срабатывания реле, с.
Время tH зависит от скорости нарастания тока в обмотке реле, а время tR — от хода якоря и скорости его перемещения. У обычных электромагнитных реле без специальных дополнительных устройств время срабатывания составляет fcp = 0,02...0,I с.
Для релейной зашиты и автоматики требуются также реле, замыкающие или размыкающие контакты с некоторым замедлением, у промежуточных реле это замедление обычно получают за счет увеличения времени t„, а у реле времени — за счет увеличения времени /я . Для увеличения времени /н , а следовательно, и времени срабатывания реле необходимо замедлить нарастание магнитного потока при включении.
Замедления нарастания магнитного потока в реле можно достичь с помощью медной втулки, располагаемой концентрически с основной обмоткой на общем магнитопроводе. При этом удается получить время срабатывания реле около /, с1 , = 0,1...0,5 с. Применение медной втулки для замедления возврата реле более эффективно в связи с тем, что магнитный поток затухает при малом воздушном зазоре, т. е. при большой индуктивности цепи обмотки реле. Время возврата реле удается получить около нескольких секунд. Реле с медной втулкой получили название реле с магнитным демпфированием. Они используются в цепях постоянного тока и при включении их через выпрямители могут быть применены в схемах переменного тока.
Реле времени, у которых выдержка времени создается путем увеличения составляющей tR , называются реле с механическим демпфированием. Их можно разделить на две группы: реле с замедленным движением якоря и реле с часовым механизмом. Реле с замедленным движением якоря обычно имеют зависимую характеристику выдержки времени. Для получения замедленного движения якоря в конструкциях реле применяют, как правило, жидкостные или воздушные демпферы и используют торможение вихревыми токами. С помощью часового механизма выполняют реле как с независимой, так и с ограниченно зависимой характеристикой выдержки времени.
3. Электромагнитные измерительные реле
Электромагнитные измерительные реле, как и другие, в зависимости от их включения в защищаемую цепь делят на первичные и вторичные. По способу воздействия на выключатель защищаемого объекта различают измерительные реле прямого и косвенного действия.
Первичные реле прямого действия. Эти реле напрямую подключаются к главной электрической цепи и непосредственно воздействуют на механическое исполнительное устройство выключателя. В связи с этим они не требуют ни первичных измерительных преобразователей, ни источников оперативного тока. В системах электроснабжения первичные реле прямого действия применяются сравнительно редко. Исключение составляют электроустановки постоянного тока, в частности тяговые сети электрифицированного транспорта. Что касается систем переменного тока, здесь еще можно встретить такие реле, называемые расцепи-телями. Они являются составной частью автоматического выключателя АВМ-10, используемого в электроустановках напряжением до 1 кВ.
Для выполнения защиты, надежно и селективно действующей при коротком замыкании и перегрузках, максимальные расцепители снабжают элементами выдержки времени в виде часовых механизмов.
При этом обеспечиваются необходимая выдержка времени срабатывания расцепителя при малых токах и мгновенное отключение автоматического выключателя при больших токах. Такой максимальный расцепитель имеет две уставки тока срабатывания: замедленного срабатывания и мгновенного срабатывания. В ряде случаев такой расцепитель не обеспечивает селективного действия при коротких замыканиях. Для получения селективного действия не только при перегрузках, но при всех допустимых для данных автоматических выключателей токах КЗ возникает необходимость ввести некоторое небольшое замедление в действие максимального расцепителя при коротком замыкании. Автоматические выключатели с такими расцепителями называют селективными.
На рис. 5 дана характеристика выдержки времени максимального расцепителя АВМ. При наличии замедлителя расцепления выдержка времени в независимой части может устанавливаться в пределах tc = 0,25...0,4 с или /ср = 0,4...0,6с.
Таким образом, с помощью максимальных расцепителей в установках напряжением до 1 кВ можно выполнить двухступенчатую токовую защиту: максимальную токовую защиту и токовую отсечку без выдержки или с выдержкой времени.


В системах постоянного тока, например на тяговых подстанциях и постах секционирования тяговой сети, в качестве коммутационных аппаратов используют быстродействующие поляризованные автоматические выключатели АБ2/3, АБ2/4, ВАБ-2 и др.. Они конструктивно выполнены так, что сами без специальных расцепителей выполняют и функции защиты, т. е. являются коммутационным аппаратом и первичным реле прямого действия одновременно. Конструктивная схема магнитной системы выключателя показана на рис. 6. Она состоит из сложного магнитопровода 4, подвижного якоря 2 и обмоток 5, б и 7. С якорем связаны главные контакты выключателя, обмотка 7 включается непосредственно в главную цепь защищаемого элемента. Поэтому ток в обмотке определяется режимом работы электроустановки. Он создает магнитный поток Фр , замыкающийся через полюсы магнитопровода. Обмотка б яв ляется включающей. Оперативное напряжение UB подводится к ней кратковременно только в момент включения выключателя. Во включенном положении выключатель удерживается за счет магнитного потока Фд1 , являющегося частью магнитного потока Фд , создаваемого током в держащей обмотке 5. Вторая часть Фй этого потока замыкается через левый полюс магнитопровода. Обмотки 5 и 7 включены так, что магнитные потоки Фр и Фд1 в правом полюсе направлены противоположно, а магнитные потоки Фр и Ф^ в левом полюсе направлены согласно. В зависимости от соотношения результирующих магнитных потоков в полюсах якорь 2 может быть притянутым к одному или другому полюсу. В нормальном режиме работы, когда ток в обмотке 7 является током нагрузки, результирующий магнитный поток в правом полюсе превосходит результирующий магнитный поток в левом полюсе. Поэтому якорь 2 после включения вы ключателя остается притянутым к правому полюсу, удерживая контакты замкнутыми. При КЗ ток в защищаемом элементе, а следовательно, и в обмотке 7 резко возрастает. В связи с этим результирующий магнитный поток в правом полюсе уменьшается, а в левом полюсе увеличивается и якорь 2 притягивается к левому полюсу, отключая выключатель. Этому способствует также пружина 3. Полное время отключения, включая и время гашения дуги, составляет не более 0,08 с. При изменении направления тока в обмотке 7 изменит направление магнитный поток Фр и начнет действовать согласно с магнитным потоком Фд1 . В этом случае выключатель отключиться не сможет при любых значениях тока в обмотке 7. Таким образом, выключатель является поляризованным, т. е. реагирующим на ток определенного направления, и выполняет функции токовой направленной защиты. Ток срабатывания зависит от величины воздушного зазора между левым полюсом и винтом 8 и регулируется этим винтом. На ток срабатывания оказывает влияние также магнитный шунт 1.

Обычно параллельно обмотке 7 подключают индуктивный шунт. Ток между ними распределяется обратно пропорционально их сопротивлениям. При плавном изменении тока, что имеет место в нормальном режиме работы, сопротивление шунта практически не меняется. Оно увеличивается за счет индуктивной составляющей при бросках тока КЗ. При этом доля тока в обмотке 7 резко возрастает и тем самым повышается чувствительность к коротким замыканиям. Таким образом, при наличии индуктивного шунта выключатель реагирует не только на значение и направление тока, но и на скорость его изменения. Выпускаются и находятся в эксплуатации также неполяризованные выключатели. Они выполняют только функции коммутационного аппарата.
Первичные реле косвенного действия. В системах электроснабжения эти реле применяются относительно редко. Они, в частности, используются в защите тяговой сети постоянного тока вместе с неполяризованными быстродействующими выключателями. При срабатывании контакты реле размыкают цепь держащей катушки 5 и выключатель отключается. Распространение получило электромагнитное реле РДШ. Оно использует электромеханическую систему с поворотным якорем На полюсах магнитопровода расположены обмотки 2 и 3. Одна из них выполнена токопрово-дом меньшего сечения, обладающим индуктивностью L, благодаря надетым на него пакетам трансформаторной стали. Обмотки соединены параллельно так, что токи /, и /2 наводят в магнитопроводе потоки Ф,,, и Фд , направленные противоположно. В нормальном режиме результирующий магнитный поток Ф = Ф и реле напряжения АГК прямого действия с втягивающимся якорем. Они различаются некоторыми конструктивными деталями и параметрами. Реле устанавливаются непосредственно в пружинные и грузовые приводы выключателей, например ППМ-10, ПП-67, ПРБА, ВМПП, ВК, ВЭ. Их обмотки включаются в цепь через первичные измерительные преобразователи. Это дает возможность расширить область использования реле и частично исключить недостатки, присущие первичным реле.
С помощью вторичных реле прямого действия можно выполнять защиты в установках напряжением до 35 кВ.
Максимальное реле тока с ограниченно зависимой выдержкой времени показано на рис. 8, а. Выдержка времени создается с помощью часового механизма 1 и может устанавливаться в независимой части в пределах до /с р = 4 с рычагом 2, который с помощью пластины 3 связан с установочным винтом 4. Выдержка времени в зависимой части характеристики определяется уставкой реле в независимой части. Для установки тока срабатывания обмотка реле 11 имеет ответвления, выведенные на переключатель б.
Подвижная система реле состоит из сердечника 12 и ударника 10. Ударник жестко связан с часовым механизмом тягой 5. Связь сердечника с ударником, а следовательно, и с часовым механизмом осуществляется пружиной 7, которая одним концом соединена с сердечником, а другим упирается в стопорное кольцо £ ударника. В зависимости оттока в обмотке реле эта связь может быть жесткой или гибкой.
При прохождении по обмотке реле тока, равного или превышающего ток срабатывания, сердечник 12 стремится притянуться к неподвижному полюсу 9, увлекая за собой ударник. При токах, меньших трехкратного тока срабатывания, электромагнитная сила, действующая на сердечник, оказывается меньше противодействующей силы пружины; пружина не сжимается и действует как жесткая связь.

При этом скорости перемещения сердечника и ударника одинаковы и определяются электромагнитной силой и часовым механизмом, поэтому с увеличением тока выдержка времени реле уменьшается, образуя зависимую часть характеристики.
При токах, больших трехкратного тока срабатывания, сердечник мгновенно притягивается к неподвижному полюсу и сжимает пружину. При этом скорость движения ударника вверх не зависит от электромагнитной силы и определяется только часовым механизмом. Реле работает в независимой части характеристики.
По заводским данным, реле РТВ имеет погрешность в выдержке времени Д/ср = ±0,3 с при работе в независимой части характеристики, которая возрастает в два-три раза при работе реле в зависимой части характеристики и при токе срабатывания достигает нескольких секунд. Реле РТВ имеет сравнительно низкий коэффициент возврата, изменяющийся в зависимости от положения сердечника в пределах 0,4 £ кв < 0,8. В расчетах рекомендуется принимать кя = 0,65.
Максимальное реле тока мгновенного действия конструктивно отличается от реле РТВ тем, что не имеет часового механизма. Реле изготовляют на различные токи срабатывания. Например, реле, встроенное в привод выключателя типа ПРБА, позволяет установить ток срабатывания /ср = 5...15 А. Время срабатывания реле РТМ зависит от кратности тока. При кратностях около 2—3 время срабатывания tc р < 0,02 с.
Следует отметить, что как реле РТВ, так и реле РТМ имеют сложную систему установки тока срабатывания. Переключатель витков сложен по своей конструкции и мало надежен в эксплуатации. В связи с этим созданы реле РТМ с обмотками без ответвлений. При этом установка тока срабатывания осуществляется путем аксиального перемещения сердечника специальным винтом. В конструкции реле РТМ Рижского опытного завода Латвэнерго использовались оба способа установки тока срабатывания. Благодаря этому, несмотря на расширенные пределы установки тока срабатывания до /с р < 260 А, максимальная потребляемая мощность не превышает 600 В ■ А. Тем не менее, и данная конструкция не может считаться удовлетворительной, так как большинство трансформаторов тока не обеспечивают такой большой мощности.
Таким образом, конструкция реле РТВ и РТМ нуждается в улучшении. Желательным является снижение погрешностей реле, уменьшение потребляемой мощности и расширение шкалы тока и времени.
Минимальное реле напряжения с ограниченно зависимой выдержкой времени, как и реле РТВ, имеет часовой механизм. В нормальном режиме, когда к обмотке реле подводится номинальное напряжение, реле находится в заведенном состоянии. Его сердечник притянут. При снижении напряжения до Up < 0,65J7HOM сердечник под действием собственного веса начинает опускаться с некоторой выдержкой времени. Его быстрому падению препятствует часовой механизм.
Выдержка времени устанавливается, как и у реле типа РТВ, в пределах 0 < /ср < 4 с. Она позволяет отстраивать защиту от кратковременных снижений напряжения. Однако реле имеет устойчивую выдержку времени лишь при напряжении Up < 0,35£/нотг Недостатками реле являются также отсутствие устройства установки напряжения срабатывания и сравнительно большая потребляемая мощность.
Минимальное реле напряжения мгновенного действия РН не имеет часового механизма, поэтому при срабатывании реле его сердечник перемещается без замедления. У реле РН напряжения срабатывания и возврата не могут изменяться и находятся в пределах £/ср = £/ном и ^ = Ц«».
Вторичные реле тока и напряжения косвенного действия получили большое распространение благодаря следующим достоинствам: эти реле изготовляют для включения в цепь через первичные измерительные преобразователи, поэтому их параметры не зависят от параметров защищаемого элемента, при этом они могут быть выполнены достаточно чувствительными с незначительными погрешностями и относительно малым потреблением мощности при срабатывании; их можно настраивать без отключения элемента системы электроснабжения; реле можно устанавливать в любом удобном для работы и эксплуатации устройства месте; они позволяют создать логическую часть схемы и выполнить в случае необходимости релейную защиту и автоматику любой сложности.
Вместе с тем эти реле имеют недостатки, присущие электромеханическим системам: значительные потребляемые мощности, сравнительно большие размеры, недостаточная надежность из-за наличия подвижной системы и контактов. Кроме того, реле можно использовать только при наличии источников оперативного тока.
Реле тока РТ-40 используют П-образную магнитную систему с поперечным движением якоря. На полюсах магнитопровода 7 расположены две обмотки реле 9, которые можно соединить между собой последовательно или параллельно. Подвижная система реле состоит из Г-образного стального якоря 6, подвижного контакта 2 и механического гасителя вибрации якоря 1.

Положение якоря фиксируется упорами 8. В качестве противодействующей служит спиральная пружина 5, одним концом связанная с осью подвижной системы, а вторым — с указателем уставки 4. Изменяя положение указателя уставки, можно непрерывно изменять натяжение пружины, ее противодействующую силу и ток срабатывания реле. При прохождении тока по обмотке реле электромагнитная сила F3 стремится притянуть якорь к полюсам электромагнита, этому препятствует противодействующая сила FM , обусловленная силой пружины F„ и силой трения Fr При токе, равном или большем тока срабатывания, сила F3 превышает силу FM , якорь реле 6 поворачивается и связанный с ним подвижной контакт 2 замыкает управляемую электрическую цепь. Подвижная система реле возвращается в начальное положение при токе возврата; коэффициент возврата = 0,8.
При перемещении указателя уставки 4 из начального положения, отмеченного на шкале 3, в конечное ток срабатывания увеличивается в два раза. Шкала отградуирована в амперах для схемы последовательного соединения обмоток реле. Переключение обмоток реле с последовательного соединения на параллельное увеличивает токи срабатывания, указанные на шкале 3, в два раза. Потребляемая мощность реле разной чувствительности при минимальной уставке находится в пределах Р^р = 0.2...8 В - А.
Прохождение по обмотке реле несинусоидальных токов, возникающих, например, вследствие насыщения трансформаторов тока при коротком замыкании, приводит к усиленной вибрации подвижной системы реле и его отказу. Для снижения вибрации у реле тока наряду с механическим гасителем применяется магнитопровод с насыщающимися участками, которые делаются суженными.
Реле напряжения РН-50 по конструкции мало отличается от реле РТ-40. Обмотки реле напряжения включаются в схему через двух-полупериодный выпрямитель, в цепь которого вводится один или два добавочных резистора. Выпрямленный ток имеет пульсирующий характер, однако индуктивность обмотки реле уменьшает пульсацию тока и электромагнитной силы, поэтому вибрация якоря практически отсутствует. В отличие от реле тока реле напряжения не имеет механического гасителя вибрации якоря. Шкала реле проградиурована при включении одного резистора. Чтобы получить шкалу уставок, вдвое большую, необходимо включить оба резистора. Потребляемая мощность для всех реле Ptp < 5 В - А.
Коэффициент возврата для максимальных реле не менее 0,8, а для минимальных не более 1,25.
На основе реле РН-50 и резисторно-конденсаторных фильтров напряжения прямой и обратной последовательности отечественной промышленностью выпускаются реле напряжения прямой последовательности РНФ-2 и реле напряжения обратной последовательности РНФ-1М.
Дифференциальные реле т о к а. В дифференциальных защитах систем электроснабжения широко применяются дифференциальные реле тока РНТ и ДЗТ.

Основными элементами реле являются рассмотренные в 1.5 насыщающиеся трансформаторы тока, к вторичной обмотке которых подключаются реле РТ-40. Реле РНТ используют насыщающиеся трансформаторы тока без тормозных обмоток, а реле ДЗТ— с тормозными обмотками. Насыщающиеся трансформаторы тока, применяемые в реле, отличаются от рассмотренных НТТ числом первичных обмоток. Так, на магнигопроводе НТТ реле РНТ кроме основной рабочей обмотки wpa 6 размещены дополнительные обмотки. У реле РНТ-565 они используются как уравнительные м^, и Wyp,, при неравенстве сравниваемых токов. Обмотки и>ра6 , и>№ , и Wyp,, выполнены секционированными с отводами для возможности дискретного изменения параметров реле. Такие же уравнительные обмотки имеются и у дифференциального реле с торможением ДЗТ-11. Во всех обмотках НТТ, кроме вторичной w2 , предусмотрено переключение чисел витков для изменения уставок срабатывания реле. Промышленностью выпускаются также реле с несколькими тормозными обмотками. У реле ДЗТ ток срабатывания зависит не только от значения тормозного тока, но и от угла между рабочим и тормозным током. Тормозная характеристика реле, представляющая собой зависимость МДС срабатывания F^ от изменения МДС торможения F^, показана на рис. 10, в. Здесь цифрой / обозначена зона срабатывания реле, цифрой // — зона срабатывания или торможения в зависимости от угла между током в рабочей обмотке wpa 6 и током в тормозной обмотке м^, цифрой /// — зона торможения.
4. Электромагнитные логические реле
Реле времени являются логическими реле с нормируемым временем срабатывания. Они предназначены для создания выдержек времени при передаче сигналов к другим реле логической части устройств релейной защиты и автоматики. В зависимости от оперативного тока различают реле времени постоянного и переменного тока.

Реле времени постоянного тока использует обычно электромагнитную систему с втягивающимся якорем. Выдержка времени создается часовым механизмом.
На рис. 11 изображено одно из таких реле типа РВ-100 в отключенном состоянии. При этом ведущая пружина 1 растянута. Она стремится привести во вращение сектор 6, однако этому препятствует палец 8, упирающийся в верхнюю часть якоря 13. При подаче напряжения на обмотку реле 14, достаточного для срабатывания реле, якорь 13, преодолевая противодействие пружины 12, втягивается и убирает препятствие на пути движения пальца 8 и жестко связанного с ним сектора 6, который под действием ведущей пружины 1 начинает вращаться. Это вращение через шестерню 5 передается на валик с укрепленной на нем подвижной частью контакта 4. Начало вращения валика сопровождается сцеплением его с ведущей шестерней 17 посредством фрикционного сцепления 18. Ведущая шестерня 17 через трибку 16 и промежуточные шестерни 15 и 7 связана с часовым механизмом. Время срабатывания реле зависит от расстояния между начальными положениями подвижного 4 и неподвижного 3 контактов. Это расстояние изменяется путем перемещения неподвижного контакта по шкале 2, на которой указаны выдержки времени реле в секундах.
Реле времени имеет также переключающие контакты. При снятии напряжения с реле возвратная пружина 12 благодаря проскальзыванию фрикционного устройства мгновенно возвращает якорь, часовой механизм и контакты 4 и 9 в исходное положение.
Реле времени выпускают на напряжения UHOU = 24, 48, ПО, 220 В с минимальной выдержкой времени tcpmin = 0,lс и максимальной выдержкой времени /сртах = 20 с. Они четко срабатывают при напряжении не менее Up = 0,7UHmt . При этом минимальный разброс по времени срабатывания не превышает нескольких процентов максимальной уставки. Мощность, потребляемая обмоткой реле при номинальном напряжении, составляет Рр = 30 Вт.
Реле времени переменного тока используются в основном трех разновидностей. Одной из них является реле времени с часовым механизмом и электромагнитным заводом рабочей пружины в момент пуска реле. По принципу действия оно аналогично рассмотренному реле постоянного тока. Отличия определяются параметрами обмотки, рассчитанной на переменное напряжение. Основным недостатком этого реле является значительная потребляемая мощность, а также возможность отказа в действии, так как при коротком замыкании напряжение оперативного переменного тока может оказаться меньшим напряжения срабатывания. Обмотка другой разновидности реле времени переменного тока в нормальных условиях находится под напряжением, а якорь — в притянутом состоянии. При снижении или исчезновении напряжения якорь реле отпускается, при этом пускается заторможенный часовой механизм и через заданный промежуток времени реле срабатывает. Недостатком реле является возможность ложного пуска из-за значительного снижения напряжения. Поэтому преимущественное распространение получили реле с синхронным микроэлектродвигателем РВМ-12 и РВМ-13. Эти реле включаются непосредственно в цепи первичных преобразователей тока.
Реле РВМ имеет синхронный микродвигатель со статор-ной обмоткой wи втягивающимся ротором, два насыщающихся трансформатора ТЫ aTL2 и контактную систему КТ.1— КТ.З. Первичные обмотки насыщающихся трансформаторов включаются во вторичные цепи измерительных трансформаторов тока двух фаз. Реле приходит в действие при замыкании цепи статорной обмотки между выводами 11—9 или 11—13. Для правильной работы реле схема устройства защиты выполняется так, чтобы при срабатывании защиты во всех случаях осуществлялось замыкание только одной цепи.
Для снижения гармонических составляющих в напряжении и токе, подводимых к обмотке электродвигателя, и для снижения пиков напряжения, опасных для изоляции, параллельно вторичной обмотке каждого насыщающегося трансформатора присоединены конденсатор С и резистор R. Реле имеет три контакта, из них два импульсных. Максимальная выдержка времени составляет /сртах = 4 с у реле РВМ-12 и/ортах =Ю с у реле РВМ-13.
В зависимости от соединения секций первичной обмотки насыщающихся трансформаторов реле четко срабатывает при токах /ср = 2,5...5 А. Мощность, потребляемая реле при двукратном токе срабатывания, не превышает Рр — 10 В-А.
Конструкция реле РВМ показана на рис. 12, б. При запуске реле обмотка электродвигателя / подключается к вторичной обмотке одного из насыщающихся трансформаторов, ротор 2 втягивается в межполюсное пространство статора и трибка 3 на оси ротора входит в зацепление с замедляющим трехступенчатым редуктором, через который вращение ротора передается рамке 4 с контактными цилиндрами. Контакты замыкаются с заданной выдержкой времени. При исчезновении тока вращение ротора прекращается и он выходит из межполюсного пространства, расцепляя трибку с редуктором.

Промежуточные реле. Для выполнения промежуточных реле обычно используют электромагнитную систему с поворотным якорем. Промежуточные реле выполняют с одной или несколькими обмотками, которые могут включаться на полное напряжение источника оперативного тока или последовательно с обмоткой какого-либо реле или аппарата. Промежуточные реле выполняются с минимальным потреблением мощности обмотками напряжения, чтобы облегчить условия работы контактов в их цепи, а также снизить мощность источника оперативного тока. Промежуточные реле с обмотками напряжения должны надежно срабатывать при напряжениях Up — 0,8£/ном .
Потребляемая мощность обмотки тока промежуточного реле определяется из условия ограничения падения напряжения на ней не более 5—10% от номинального напряжения источника оперативного тока. Это необходимо для надежного действия реле или аппарата, последовательно с обмотками которых включена обмотка тока промежуточного реле.
Промежуточные реле имеют низкий коэффициент возврата кв = = 0,1...0,4. Однако для них, как и для реле времени, это не имеет значения, так как по условиям работы отпускание реле происходит после отключения от источника питания. К большей части промежуточных реле предъявляется требование быстродействия: их время срабатывания не должно превышать tQp < 0,01...0,03 с.

Промежуточное реле постоянного тока РП-23.
Под действием возвратной пружины 5 шток 4 с подвижными контактами 3 находится в крайнем верхнем положении. При этом замыкающие контакты разомкнуты, а размыкающий контакт 3 замкнут. Якорь 2, упирающийся в шток 4, оттянут вверх. При подключении обмотки реле к напряжению, превышающему напряжение его- срабатывания, якорь 2, притягиваясь к полюсу электромагнита /, воздействует на шток 4, перемещая его вниз и переключая контакты. После отключения обмотки реле возврат подвижной системы в начальное состояние происходит под действием возвратной пружины 5. Реле монтируется на цоколе 6.
Эти реле изготовляют на номинальные напряжения UHOU = 24, 48, 110, 220 В постоянного тока; они четко срабатывают при напряжении 0,8£/ном . Время замыкания контактов при номинальном напряжении /ср < 0,06 с, а потребляемая обмоткой реле мощность Рр ~ 6 Вт.
Промежуточное реле переменного тока выполняется с использованием шихтованного магнитопровода, состоящего из набора отдельных штампованных листов электротехнической стали. Такая конструкция магнитопровода необходима для уменьшения потерь на вихревые токи. Кроме того, полюс магнитной системы снабжается экраном для получения электромагнитной силы, незначительно изменяющейся во времени.
Одним из таких реле является реле РП-25, устройство и действие которого аналогичны реле постоянного тока. Оно предназначено для питания от измерительного трансформатора напряжения. Его недостатки: возможность отказа в действии при коротких замыканиях и снижении напряжения; значительная мощность, потребляемая при срабатывании. В этом отношении более совершенны промежуточные реле РП-321 и РП-341, подключаемые к измерительным трансформаторам тока.
На рис. 13, б показана схема внутренних соединений реле РП-341. В схеме используется электромагнитное реле постоянного тока, обмотка w которого подключается к двухполупериодному выпрямителю VS, благодаря чему снижается мощность, потребляемая реле при срабатывании, и улучшается работа контактов. Выпрямитель подключается к вторичной обмотке насыщающегося трансформатора TL, первичная обмотка которого имеет две секции, выведенные на зажимы 8—12 и 10—14. В зависимости от схемы соединения этих секций реле имеет два. номинальных тока срабатывания: /с р = 2,5 А при последовательном соединении и /ср = 5 А при параллельном. Секции могут соединяться и на разность токов. Насыщающийся трансформатор ограничивает ток и напряжение во вторичной цепи, при этом облегчаются условия работы контактов реле, управляющих работой РП-341, и условия работы диодов выпрямителя. Кроме того, ограничивается потребление мощности реле при больших кратностях тока. Параллельно выпрямителю к вторичной обмотке насыщающегося трансформатора подключается конденсатор С, который предназначен для сглаживания перенапряжений, обусловленных наличием высших гармонических в ЭДС насыщающегося трансформатора. Конденсатор снижает также потребление мощности реле.
Реле РП-341 имеет два переключающих контакта: KL.1 обычного исполнения и KL.2, переключающий без разрыва цепи. Для повышения коммутационной способности размыкающий контакт помещается внутри магнитопровода, представляющего собой рамку с воздушным зазором в боковой части. Таким образом осуществляется магнитное дутье и облегчаются условия гашения дуги. При этом контакты способны коммутировать ток до 150 А При токе /р = 2/с реле потребляет мощность Рр = 10 ВА, а время срабатывания /ср = 0,04 с.
Электромагнитные реле с герметизированными магнитоуправляемыми контактами. Значительными недостатками электромеханических реле, в том числе и промежуточных, являются наличие открытых ненадежных контактов, подверженных влиянию окружающей среды, а также относительно большое время срабатывания из-за значительной массы подвижного якоря. Попытка ослабить эти недостатки привела к созданию герконовых реле. Основной элемент этого реле — герметизированный магнитоуправляемый контакт. Это заполненная инертным газом стеклянная колба 1 с впаянными в нее пружинящими пластинами из ферромагнитного материала 2 и обмоткой 3. Пластины одновременно являются магнитопроводом, подвижными частями реле и контактными пружинами.

В нормальном режиме пластины разомкнуты и цепь управления разорвана. Ток в обмотке вызывает магнитный поток Ф, проходящий по пластинам. Он создает электромагнитную силу, стремящуюся притянуть пластины друг к другу. Пластины смыкаются и замыкают управляемую цепь, если электромагнитная сила превышает механические силы упругости пластины. Геркон имеет малые размеры, его длина /= 30...50 мм, диаметр стеклянной колбы D~ 3...5 мм, а зазор между пластинами — десятые доли миллиметра.
В связи с малой инерционностью пластин герконовое реле может следовать за изменением синусоидального напряжения и в течение периода срабатывать дважды, поэтому, как правило, реле выполняют для работы на выпрямленном или постоянном напряжении.
Создано множество различных конструкций герконовых реле и с одним, и с несколькими герметизироваными контактами. У многоконтактных реле внутри обмотки расположено несколько герконов. В логической части устройств релейной защиты применяются многоконтактные реле РПГ-2 и РПГ-5. Имеются предложения по использованию герконов в качестве измерительных органов, например токовой защиты. Конструктивные особенности герконового реле обеспечивают высокую надежность коммутации, малое время срабатывания, длительный срок службы.
Указательные реле. Для получения информации о срабатывании, возврате, действии или отпускании различных аппаратов в схемах защиты и автоматики служат указательные реле с последовательным и параллельным включением обмоток. Наиболее распространены реле с последовательным включением обмоток. Их обмотки включаются последовательно с обмотками реле или других аппаратов, действие которых контролируется. Промышленность выпускает электромагнитные указательные реле типа РУ-21 с поворотным якорем для включения в цепь постоянного тока. Они могут быть использованы и в схемах защиты и автоматики на переменном оперативном токе.
Конструкция указательного реле отличается от промежуточного наличием на якоре сигнального флажка, смотрового окна и конструкцией контактов. При появлении тока в обмотке реле якорь снимает упор с флажка, который выпадает в смотровом окне. Одновременно поворачивается изоляционный барабанчик с контактами, которые в зависимости от исполнения реле замыкают или размыкают сигнальную электрическую цепь. При исчезновении тока в обмотке реле якорь под действием пружины возвращается в начальное состояние, а флажок и контакты реле остаются в положении после срабатывания. Этим достигается длительная фиксация срабатывания защиты и автоматики. Возврат флажка и контактов производится вручную.
5. Принцип действия и выполнение индукционных реле
На индукционном принципе выполняют измерительные реле тока и реле направления мощности. В системах электроснабжения можно еще встретить реле сопротивления и реле частоты, уже снятые с производства.
Работа индукционных реле основана на взаимодействии переменных магнитных полей неподвижных обмоток, обтекаемых подведенными извне токами с токами, индуцированными этими полями в подвижном элементе. Поэтому на индукционном принципе могут выполняться лишь реле переменного тока.
Мгновенное значение силы взаимодействия между потоком Ф, и током I при расположении проводника с током длиной
в плоскости, перпендикулярной оси потока,
При наличии только одного магнитного потока выполнить реле невозможно, так как известно, что сила
от взаимодействия тока с потоком, благодаря которому ток возникает, равна нулю. Непременным условием получения вращающего момента на подвижном элементе индукционной системы является наличие не менее двух магнитных потоков, сдвинутых в пространстве. Возникающий при этом вращающий момент
Таким образом, для получения вращающего момента необходим также сдвиг по фазе между потоками на угол
. Два магнитных потока, смещенных пространственно и по фазе, можно получить, в частности, с помощью короткозамкнутого витка /, надеваемого на часть магнитопровода. Потоки Ф1 и Ф2
обусловлены током /р
в обмотке реле; в ненасыщенной магнитной системе они пропорциональны току. Так как угол
при изменении тока не изменяется, то вращающий момент

![]()
![]()

В неподвижном диске индуцируются только ЭДС трансформации £, и Е2
, которые и обусловливают вращающий момент Мвр
. Во вращающемся диске наряду с ЭДС трансформации появляются также ЭДС резания, вызванные пересечением магнитных потоков Ф, и Ф2
вращающимся диском. Эти ЭДС создают в диске токи, которые при взаимодействии с вызвавшими их потоками обусловливают появление тормозных моментов
, где
а — угол поворота подвижной части. Тормозные моменты пропорциональны частоте вращения диска и зависят от магнитных потоков. На подвижную часть реле действуют также тормозной момент пружины Ма
и момент инерции![]()
При этом движение диска без учета момента трения определяется условием
![]()
или
![]()
Анализ выражения показывает, что индукционные системы позволяют выполнить как быстродействующие, так и медленнодействующие реле. Подвижная часть быстродействующих реле за время срабатывания не успевает развить больших окружных скоростей, поэтому можно принять = 0; тогда
, откуда
![]()
Из выражения следует, что для уменьшения времени срабатывания реле необходимо: угол поворота а принять минимальным; иметь минимальный момент инерции / подвижной части; получить максимальный избыточный момент.
Для реле замедленного действия влияние момента инерции А/ин
на общее время срабатывания незначительно, поэтому можно принять Мин
= 0; тогда
откуда
![]()
Таким образом, для получения реле замедленного действия необходимо иметь максимальные значения а и ка . В существующих конструкциях реле это достигается тем, что их снабжают постоянными магнитами, а подвижную часть выполняют в виде диска. При вращении диск пересекает поле постоянного магнита, в результате чего возникает дополнительный тормозной момент. Такие реле имеют ограниченно зависимую от тока характеристику выдержки времени. В ее независимой части удается получить выдержки времени /ср > 10 с.
6. Индукционные измерительные реле
Реле тока серии РТ-80 и РТ-90. Эти реле являются комбинированными и состоят из двух элементов: индукционного с диском, создающего ограниченно зависимую выдержку времени, и электромагнитного мгновенного действия, срабатывающего при больших кратно-стях тока в обмотке реле. Оба элемента используют одну общую магнитную систему. Реле предназначены для защиты электрических машин, трансформаторов и линий электропередачи при перегрузке и коротких замыканиях.
Индукционный элемент реле состоит из электромагнита / с короткозамкнутыми витками 2 на полюсах. Обмотка 3 электромагнита имеет ответвления для изменения тока срабатывания. Ответвления подведены к гнездам штепсельного мостика 4 и переключаются винтами 5. Между полюсами электромагнита расположен алюминиевый диск 16, ось которого укреплена на подвижной рамке 13, которая имеет неподвижную ось вращения 14. При токах в обмотках реле, меньших тока срабатывания индукционного элемента, рамка 13 оттянута пружиной 18 в крайнее положение, при этом червяк //, насаженный на ось диска, не сцеплен с зубчатым сегментом 12, имеющим неподвижную ось вращения и способным свободно перемещаться вверх и вниз. Нижнее положение сегмента фиксируется устройством, с помощью которого устанавливается выдержка времени. Это устройство состоит из регулировочного винта 8 и движка 19. При перемещении вверх сегмент 12 рычагом поднимает коромысло 10.

Диск вращается при токе /р = /ср срабатывания индукционного элемента. При этом вращение диска не приводит к замыканию контактов. На вращающийся диск действуют сила FK , вызывающая вращение диска, и противодействующая F^, препятствующая его вращению. Противодействующая сила возникает в связи с пересечением вращающимся диском магнитного потока постоянного магнита 75 и пропорциональна частоте вращения диска. Поэтому при увеличении тока в обмотке реле наряду с ростом силы F„ возрастает сила F^. Установившаяся частота вращения диска определяется равновесием этих сил. Их равнодействующая сила F' стремится повернуть диск вместе с рамкой 13 вокруг оси рамки. Этому препятствует сила пружины F„.
Током срабатывания индукционного элемента называется такой минимальный ток, при котором сила F' преодолеет силу пружины F„ и рамка 13 вместе с диском поворачивается, произведя сцепление червяка 11 с зубчатым сегментом 12. При этом благодаря вращению диска червяк /] поднимает зубчатый сегмент 12. Его рычаг в конце пути соприкасается с коромыслом 10 якоря 6, поднимая его вверх, и якорь 6 поворачивается на оси так, что воздушный зазор между электромагнитом 1 и правым концом якоря 6 уменьшается. Якорь быстро притягивается к электромагниту, замыкая контакты 9 с помощью «оромысла 10. Реле позволяет установить ток срабатывания не более 10 А.
В процессе работы индукционного элемента при наличии сцепления между червяком и сегментом на вращающийся диск кроме сил FK и F^ действует также сила, обусловленная трением в червячной передаче и собственной массой сегмента. Эта сила возникает при зацеплении червяка с сегментом. При этом частота вращения диска и результирующая сила F' уменьшаются, что может привести к расцеплению червячной передачи. Для предотвращения этого служит стальная скоба 17, которая за счет потоков рассеяния обеспечивает дополнительное усилие, удерживающее подвижную рамку в притянутом положении.
Время от момента сцепления червяка с зубчатым сегментом до момента замыкания контактов является временем срабатывания реле — выдержкой времени. Это время при заданной уставке зависит только от скорости подъема сегмента. Скорость подъема сегмента определяется частотой вращения диска, т. е. зависит от тока. Чем больше ток, тем больше частота вращения диска и скорость подъема сегмента и тем меньше выдержка времени реле.
Магнитная система реле РТ-80 выполнена так, что примерно при семикратном токе срабатывания она насыщается. Дальнейшее увеличение тока не приводит к росту магнитного потока, поэтому остаются постоянными вращающий момент, частота вращения диска и выдержка времени. Таким образом, реле РТ-80 имеет ограниченно зависимую характеристику выдержки времени.
Выдержка времени реле зависит также от длины перемещения сегмента 12, определяемой его начальным положением, которое может изменяться при перемещении движка 19 по винту 8. Благодаря этому можно получить серию характеристик выдержек времени. Необходимо иметь в виду, что на шкале 20 указаны пределы установки выдержки времени в независимой части характеристики. Так, у реле РТ-81 минимальная уставка равна 0,5 с, а максимальная — 4 с. Реле РТ-82 имеет иные пределы регулирования уставок: минимальная уставка равна 2 с, а максимальная — 16 с.
Наряду с реле РТ-80 отечественная промышленность выпускает реле РТ-90. У них диапазон регулирования уставки такой же, как у реле РТ-81, но сами характеристики мало зависят от кратности тока в обмотке реле.
Электромагнитный элемент реле использует электромагнит / индукционной системы. Подвижной частью является якорь 6 с коромыслом 10. Ток срабатывания электромагнитного элемента устанавливается винтом 7 путем изменения воздушного зазора между электромагнитом / и правым концом якоря 6. На головке винта имеются метки с цифрами 2—8. Они соответствуют кратностям тока срабатывания отсечки, т. е. отношению тока срабатывания отсечки к току срабатывания индукционного элемента. Таким образом, с помощью винта устанавливается не ток срабатывания отсечки, а его кратность по отношению к установленному на реле току срабатывания индукционного элемента. При срабатывании электромагнитного элемента реле действует без выдержки времени. Поэтому реле РТ-80 имеет комбинированную характеристику выдержки времени. Для уменьшения вибрации якоря при срабатывании на часть его правого конца насажен короткозамкнутый виток. Реле РТ-80 выполняют на разные пределы тока срабатывания, с различной контактной системой. Например, реле РТ-85, предназначенное для защиты на оперативном переменном токе, имеет усиленный переходный контакт, который способен коммутировать ток до 150 А. Реле РТ-83, РТ-84 имеют два контакта: один для индукционного элемента, действующего на сигнал и один для электромагнитного элемента, действующего на отключение.
Использование в одном реле индукционного и электромагнитного принципов, а также применение в индукционном элементе сцепления червяка с сегментом и постоянного магнита для создания противодействующей силы позволяют выполнить реле с надежной контактной системой, с коэффициентом возврата индукционного элемента не менее А:в = 0,8 и с малой инерционной ошибкой. К достоинствам реле относится то, что с помощью одного реле можно выполнить быстродействующую защиту от коротких замыканий и защиту с выдержкой времени, действующую при перегрузке. Недостатком реле является его сложность, а также значительная потребляемая мошность при срабатывании. При токе, равном току уставки, потребляемая мощность реле РТ-80 около 10 В • А, а реле РТ-90 достигает 30 В • А и более. При срабатывании реле потребляемая мощность увеличивается на 15%.

Реле направления мощности РБМ. Реле направления мощности является измерительным органом с двумя воздействующими электрическими величинами, сравниваемыми по фазе. Реле выполнено на основе четырехполюсной магнитной системы /.
Для уменьшения магнитного сопротивления системы между полюсами магнитопровода помещают неподвижный цилиндрический сердечник 2. Подвижным элементом системы является выполненный из алюминия полый цилиндрический ротор 3, боковые стенки которого расположены в зазоре между стальным сердечником 2 и полюсами магнитной системы. Ротор укреплен на оси, связанной с подвижным контактом 4. Начальное положение ротора зафиксировано пружиной.
Реле имеет две обмотки — тока и напряжения. Обмотка тока размещается на двух противоположных полюсах, а обмотка напряжения — на двух других полюсах или непосредственно на магнитопроводе. При этом магнитный поток Ф,, созданный током /р , проходящим по обмотке тока, и магнитный поток Фц, обусловленный напряжением Up на зажимах обмотки напряжения, сдвинуты между собой в пространстве на угол тс/2.
При построении векторной диаграммы реле за исходные величины приняты напряжение Up и отстающий от него на угол <рр ток /р . Ток в обмотке напряжения [и сдвинут по фазе относительно напряжения Up , на угол у^.
У реле РБМ сопротивление обмотки напряжения таково, что угол
обычно составляет
Угол а дополняет его до![]()
Если пренебречь потерями в стали и размагничивающим действием тока ротора, то магнитные потоки Ф 7
и Ф v
совпадают по фазе с вызвавшими их токами, соответственно /„ и 1и
. Вращающий момент индукционного реле, согласно,
Для ненасыщенной магнитной системы Ф7
~ /р
и
, поэтому
По векторной диаграмме
и
![]()
Выражение определяет вращающий момент реле смешанного типа. Из него следует, что при
момент положительный, а при
— отрицательный. Максимальное значение положительного момента наступает при
, т. е. при
Угол
при котором положительный вращающий момент максимален, называется углом максимальной чувствительности
Таким образом, угол
всегда равен и противоположен по знаку углу
т. е.![]()
Реле с различными углами а и соответственно с различными углами максимальной чувствительности получаются путем изменения угла уи . Для этого последовательно с обмоткой напряжения реле включаются добавочные активное и емкостное сопротивления.
При угле
угол
и вращающий момент
![]()
Такое реле получило название косинусного. Если угол, то угол
и вращающий момент![]()
![]()
Реле с таким выражением вращающего момента называется синусным. Положительный знак момента по достигается изменением полярности выводов одной из обмоток.
Направление тока в обмотке изменится, если поменять местами ее начала и конец в схеме включения реле, поэтому, принимая начало одной из обмоток произвольно, началом второй считают тот вывод, которому соответствует положительный вращающий момент при указанном угле максимальной чувствительности. Начало обмоток обозначают точками.
Конструкция реле направления мощности РБМ с одним контактом приведена на рис. 17, в. Выпускается и реле двустороннего действия. Оно имеет два разомкнутых контакта: один из них замыкается при положительном вращающем моменте, а второй — при отрицательном.
Работа реле направления мощности определяется его характеристиками: угловой, представляющей собой зависимость мощности срабатывания от угла <рр
т. е.
, или напряжения срабатывания от угла при заданном токе, т. е.
соответственно; вольт-амперной, представляющей собой зависимость напряжения срабатывания от тока при угле максимальной чувствительности, т. е.
при
. Характеристики зависят от типа реле и его выполнения.
Угловая характеристика. В реальных реле на подвижную часть наряду с вращающим моментом действуют силы трения и удерживающей пружины. Для их преодоления при срабатывании реле необходим минимальный вращающий момент AfBpmin . Для срабатывания реле направления мощности со смешанной характеристикой должно выполняться условие

Так как Af„pmin
/fe— величина постоянная, то 5ср
изменяется с изменением угла
принимая минимальное значение ■S,
c
.pni
in
, при котором
т. е.![]()

С учетом этого выражение принимает вид
![]()
В соответствии с выражением на рис. 18, а построена угловая характеристика в прямоугольной системе координат. Мощность срабатывания, как указывалось, принимает минимальное значение 5cpmin
при
По мере уменьшения
мощность Sc
р
возрастает и становится бесконечной при
что наблюдается при углах
![]()
Угловую характеристику реле можно построить в полярной системе координат. При этом угол
отсчитывается от положительной оси против часовой стрелки при его положительных значениях. Мощность срабатывания принимает минимальное значение
при угле
С изменением угла
мощность срабатывания увеличивается так, что конец радиуса-вектора 5ср
скользит по прямой, перпендикулярной радиусу-вектору
Эта прямая является угловой характеристикой реле в полярной системе координат или в комплексной плоскости мощностей. Реле направления мощности срабатывает, если конец вектора полной мощности S— Щ находится в пределах заштрихованной области комплексной плоскости или касается угловой характеристики. Аналогично строят угловые характеристики синусного и косинусного реле.
У идеальных реле силы трения и удерживающей пружины отсутствуют, поэтому Scpain = 0, в связи с чем их идеальные угловые характеристики отличаются от рассмотренных тем, что проходят через начало координат.
При анализе работы реле направления мощности часто пользуются его идеальной угловой характеристикой. При этом в ряде случаев целесообразно считать фиксированным вектор напряжения Up
и относительно него производить отсчет углов
сдвига фаз между Up
и /р
. Следует иметь в виду, что угол
считается положительным при отстающем по фазе токе и отрицательным — при опережающем.
Прямая, проведенная под углом
к вектору Цр
является линией максимальной чувствительности. Зона работы реле ограничивается линией нулевой чувствительности, проведенной перпендикулярно линии максимальной чувствительности. С вектором напряжения Цр
она образует утлы
и
при которых
и вращающий момент Мт
= 0. Таким образом, зона работы реле ограничивается углами
, отсчитанными от вектора напряжения Цр
. При расположении вектора тока /р
в этой зоне, т. е. слева от линии нулевой чувствительности, реле мощности срабатывает.
Вольт-амперная характеристика. Для построения вольт-амперной характеристики
при
используется выражение. На рис. 18, ж кривая / — расчетная вольт-амперная характеристика
а кривая 2 — характеристика, полученная экспериментально; она показывает, что начиная с некоторого значения тока /р
напряжение Ucp
перестает уменьшаться. Это объясняется насыщением магнитной системы реле. Таким образом, экспериментальная вольт-амперная характеристика дает возможность определить минимальное напряжение
необходимое для срабатывания реле. Насыщение магнитной системы снижает чувствительность реле, так как при
и росте тока увеличивается![]()
Таким образом, если при коротком замыкании к реле подводится напряжение Up < t/cpmin , то оно не сможет сработать. В таких случаях считают, что реле имеет мертвую зону.
7. Электромеханические реле с постоянным магнитом
Электромеханические реле с постоянным магнитом разделяют на магнитоэлектрические и поляризованные реле. Как те, так и другие имеют малое потребление мощности и являются высокочувствительными и быстродействующими реле; благодаря постоянному магниту они реагируют на направление постоянного тока в обмотке. Поэтому эти реле применяются, например, в качестве реагирующих элементов полупроводниковых схем сравнения.
Поляризованные реле. Поляризованным называется электрическое реле постоянного тока, действие которого основано на взаимодействии магнитного поля обмотки и вспомогательного поляризующего магнитного поля, и изменение состояния которого зависит от полярности его входной воздействующей величины. На подвижную систему реле действуют два независимых магнитных потока: один — рабочий поток, другой Ф„ поляризующий. Первый создается постоянным током, проходящим по обмотке реле, второй — в большинстве случаев постоянным магнитом. На рис. 19, а, б схематически изображены возможные конструкции таких реле.
В дифференциальной системе весь рабочий магнитный поток замыкается через воздушный зазор и имеет одно направление. Поляризующий поток Ф„ распределяется на два потока: Фп , и Фп2 . Они в общем случае не равны и в воздушном зазоре имеют противоположные направления. В мостовой системе поляризующий поток в зазоре имеет одно направление, а составляющие рабочего потока направлены в противоположные стороны. Более проста дифференциальная система. Однако мостовая система в связи с характером распределения потоков позволяет осуществить более чувствительные реле.
Если предположить, что все магнитное сопротивление дифференциальной системы сосредоточено в воздушном зазоре, то поляризующие магнитные потоки Фп1
и Фп2
обратно пропорциональны магнитным сопротивлениям соответствующих частей
воздушного зазора,
Магнитное сопротивление пропорционально длине воздушного промежутка, поэтому, согласно рис. 19, в, ![]()

Так как Фп = Фп , + Фп2 , то
![]()
При прохождении по обмотке реле постоянного тока появляется рабочий магнитный поток Фра6 , направление которого зависит от полярности тока. В воздушных зазорах 6, и 62 создаются результирующие магнитные потоки соответственно
![]()
На якорь реле действует электромагнитная сила
стремящаяся
притянуть его к правому полюсу. После подстановки в выражение для F3 значений потоков Ф, и Ф2 и соответствующих преобразований получим
![]()
В условиях срабатывания
. Левая часть равенства — постоянная величина, а правая зависит от
При движении якоря она уменьшается до нуля, а затем изменяет знак и увеличивается. Поэтому электромагнитная сила F3
по мере движения якоря при срабатывании реле нарастает. Якорь остается в крайнем правом положении и после отключения обмотки реле. Для возвращения его в крайнее левое положение необходимо подать в обмотку ток противоположного направления. Таким образом, поляризованное реле обладает направленностью действия.
Как следует из выражения, электромагнитная сила F3 линейно зависит от рабочего потока Фра6 , т. е. от подведенной к обмотке реле электрической величины. Поэтому диапазон ее изменения от минимального до возможного максимального значения относительно невелик. Это позволяет обеспечить надежную работу реле при малых значениях подведенной электрической величины, а при ее больших значениях избежать вибрации и ударов подвижной части реле. В этом одно из преимуществ поляризованного реле перед другими электромагнитными реле, у которых сила F3 является квадратичной функцией подведенной электрической величины. Другими преимуществами реле являются его высокая чувствительность и быстродействие. Оно имеет значительно меньшее потребление мощности при срабатывании, чем другие электромагнитные реле. Время срабатывания реле составляет /с р = 2...3 мс.
Магнитоэлектрические реле. Действие магнитоэлектрического реле основано на взаимодействии магнитного поля постоянного магнита и тока в обмотке, расположенной на подвижной рамке в поле постоянного магнита. При этом сила, действующая на подвижную рамку,
![]()
где В — индукция в воздушном зазоре, обусловленная постоянным магнитом, Тл; /р — ток в обмотке реле, A; w— число витков обмотки; / — активная длина витка обмотки, м.
Как и у поляризованного реле, сила Fимеет линейную зависимость от тока в обмотке. С изменением направления постоянного тока изменяется направление силы, т. е. реле обладает направленностью действия. Наличие поля постоянного магнита обеспечивает очень высокую чувствительность реле. Потребляемая мощность при срабатывании может составлять Рр = 10-'° Вт.
Похожие рефераты:
Оборудование летательных аппаратов
Основные приборы и механизмы тягового электровоза
Схемы управления электродвигателями
Разработка логической схемы управления двустворчатых ворот судоходного шлюза
Проектирование Ш-образного электромагнита для автоматического выключателя
Конструирование электропривода
Основное электрооборудование подстанций
Безопасность жизнедеятельности
Синхронные машины. Машины постоянного тока
Оборудование участка железной дороги перегонными устройствами автоматики и телемеханики
Реконструкция подстанции "Гежская" 110/6 кВ
Разработать лабораторный стенд для испытания устройств защиты судовых генераторов