| Похожие рефераты | Скачать .docx | Скачать .pdf |
Курсовая работа: Гидрометеорологическое обеспечение мореплавания
Введение
Умение тщательно и правильно планировать маршрут перехода, а также ориентироваться в любых погодных условиях и в полной мере использовать гидрометеорологическую информацию от метеорологических служб различных стран, позволяет не только обеспечивать безопасность экипажа – судна - груза, но и в значительной мере сократить время перехода судна из одного порта в другой.
Для достижения всех этих целей судоводитель обязан:
- разбираться в физических процессах и явлениях, происходящих в атмосфере, морях и океанах;
- правильно оценивать влияние тех или иных погодных и гидрологических условий на судно;
- производить судовые гидрометеорологические наблюдения, их кодирование для передачи в подразделения Службы погоды;
- использовать в навигационной практике факсимильные карты погоды, штормовые предупреждения, прогнозы погоды, передаваемые метеорологическими центрами разных стран;
- учитывать местные признаки погоды (наблюдаемые с судна) для уточнения официальных прогнозов погоды;
- грамотно оценивать рекомендации по выбору наиболее выгодного пути плавания в зависимости от гидрометеорологических условий.
Все эти задачи рассмотрены и использованы в курсовой работе, что лишний раз доказывает ее актуальность.
Данные о переходе
Порт отхода – Кастеллон, расположен в Валенси́йском зали́ве (исп. Golfo de Valencia) - заливе на западе Средиземного моря, часть Балеарского моря, омывающий восточные берега Испании. Географические координаты 39⁰59’С и 001⁰01’В.
Покидая порт Кастеллон, судно будет двигаться в восточных направлениях, пересекая юго-западную часть Средиземного моря. По пути следования расположены Балеарские острова: Минорка и Мальорка, а также остров Сардиния. Расстояния между портом отхода, Балеарскими островами и островом Сардиния примерно сутки хода со средней скоростью в 7 узлов. Эти географически удобно расположенные острова будут исполнять роль убежищ в случае непогоды.
Далее, пройдя траверз о. Сардиния, судно войдет в Тирренское море. Пройдя западную часть Тирренского моря, судно будет следовать вдоль северного берега о. Сицилия или же, если будут штормовые ветра северных направлений, Туниским проливом вдоль южного берега о. Сицилия.
Войдя в Ионическое море судно согласно своим ограничениям по району плавания – 200 миль между местами-убежищами, будет двигаться в направлении северо-востока, вдоль берегов Италии. После чего ляжет на курсовые углы SE и будет следовать вдоль берегов Греции.
Изрезанные бухтами берега Греции представляют собой прекрасные места-укрытия, как в Ионическом, так и в Эгейском море.
Общее расстояние между портами Кастеллон и Пирей -1350 миль.
Расчетное время следования, при средней скорости 7 узлов – 9.5суток.
Груз: Сульфат соды в мешках 2997.5 м.т.
Данные о судне
Тип судна: "Сормовский".
Cтальное, однопалубное, двухвинтовое грузовое судно без седловатости, с двойным дном и двойными бортами, с баком и ютом, с машинным отделением и рубкой, расположенной в корме.
Предназначено в основном, для перевозки генеральных грузов, насыпных не смещающихся грузов и леса. Перевозка сыпучих грузов должна осуществляться в строгом соответствии с существующими правилами.
Район плавания: судно смешанного "река-море" плавания предназначено для плавания по внутренним водным путям, а также в морских районах на волнении не более 6-ти баллов при высоте волны не более 5 м. с удалением от места укрытия:
в открытых морях - Северном, Баренцевом, Средиземном, Адриатическом, Эгейском, Охотском, Японском - до 50 миль;
в закрытых морях - Белом, Балтийском, Азовском, Каспийском и Черном - до 100 миль;
допустимое расстояние между местами укрытия - не более 200 миль.
Год постройки – 1981
Средняя скорость -7 узлов.
1. Гидрометеорологическая характеристика перехода по многолетним данным
1.1 Перечень материалов подобранных для «Оценки перехода»
Для выполнения предстоящей курсовой работы были использованы как издания ГУНИО МО РФ №7207, так и адмиралтейские источники. Согласно Каталогу карт и книг для данного района плавания нужны пособия, показанные в таблице 1. и карты.
Таблица 1
| Номер № |
НАЗВАНИЕ |
|
| 1251 1250 1248 1247 3008 3212 6245 6246 6003 9002 NP 282 NP283-1 NP 284 NP 285 NP286-3 |
Лоция северо-западной части Средиземного моря; Лоция Тирренского и Лигурийского морей и островов Сардиния и Корсика; Лоция Ионического моря и острова Сицилия; Лоция Эгейского моря; Расписание факсимильных гидрометеорологических передач; Расписание передач навигационных предупреждений и гидрометеорологических сообщений Азовского, Черного, Средиземного морей и южной части Атлантического океана; Атлас океанографической изученности Средиземного моря; Гидрометеорологические карты Эгейского моря; Таблицы приливов. Том III. Зарубежные воды. Северный Ледовитый, Атлантический и Индийский океаны; Морской астрологический ежегодник. 2010 год. Radio Aids to Navigation, Satellite Navigation Systems, Legal Time, Radio Time Signals and Electronic Position Fixing System Maritime Safety Information Services.Europe, Africa and Asia (excluding the Far East) Meteorological Observation Stations Global Maritime Distress and Safety System (GMDSS) Admiralty List of Radio Signals vol 6 (3). Mediterranean and Africa (including Persian Gulf) |
|
| № карты |
примечание |
|
| 39344 32344 32361 32362 31037 31038 31034 32353 32318 32319 32320 33338 32313 32312 31028 32212 32213 32214 33238 32215 32210 33230 38237 |
План п. Кастеллон Путевая путевая путевая путевая путевая путевая путевая путевая путевая путевая пролив Мессина путевая путевая путевая путевая путевая путевая пролив Китира путевая путевая подходная п. Пирей план п. Пирей |
|
Другие источники информации, которые были использованы в курсовой работе, показаны в «Списке литературы».
1.2 Атмосферное давление, ветер
Общие сведения
Условия общей циркуляции атмосферы складываются в результате взаимодействия барических систем: Азорского максимума, отрога Азиатского максимума и местных депрессий, образующихся над Средиземным морем.
Климат Средиземное море определяется его положением в субтропическом поясе и отличается большой спецификой, которая выделяет его в самостоятельный средиземноморский тип климата, характеризующийся мягкой влажной зимой и жарким сухим летом. Зимой над морем устанавливается ложбина пониженного давления атмосферы, что определяет неустойчивую погоду с частыми штормами и обильными осадками; холодные северные ветры понижают температуру воздуха. Развиваются местные ветры: мистраль в районе Лионского залив и бора на В. Адриатического моря. Летом большую часть Средиземное море охватывает гребень Азорского антициклона, что определяет преобладание ясной погоды с небольшой облачностью и малым количеством осадков. В летние месяцы наблюдаются сухие туманы и пыльная мгла, выносимая из Африки южным ветром сирокко. В Восточном бассейне развиваются устойчивые северные ветры - этезии.
Обширная акватория и извилистость береговой линии Средиземного моря создают разнообразие ветровых условий в его районе. В прибрежных водах наблюдается большое число местных ветров.
Лоция №1251 С-З части Средиземного моря
В октябре к югу от параллели 40⁰ сев. шир. и к западу от меридиана острова Сардиния преобладают ветра от ЮЗ и З, из ветров других направлений – ветра от СВ и С. На остальной акватории западной части Средиземного моря чаще дуют ветры от С до З.
Штормы наиболее вероятны к северу от параллели 40⁰С и к западу от острова Сардиния (в среднем 1-3 раза в месяц).
В начале октября погода обычно хорошая, с редкими дождями. Облачность увеличивается по сравнению с летними месяцами. Видимость 10 миль и более.
В целом, погодные условия в октябре месяца в северо-западной части Средиземного моря, считаются переходными от сезона к сезону. Поэтому ветры и погода в октябре ни имеют ярко выраженных особенностей.
Средняя скорость ветра в описываемом районе составляет 3 - 6 м/с. Штили здесь отмечаются нередко, повторяемость за месяц 15 - 35%. Штормы по району распределяются неравномерно. Среднегодовое число дней с ними 10 - 27. Штормы в этом районе связаны главным образом с прохождением циклонов.
Лоция №1250 Тирренского и Лигурийского морей и островов Сардиния и Корсика;
На большей части Тирренского моря летом преобладают ветры от NW. Из ветров других направлений чаще всего наблюдаются ветры от SЕ. Осенью к северу от параллели 41° сев. шир. господствующими являются также ветры от NЕ (до 20-25%), а к югу от этой параллели, как правило, преобладают ветры от N и NW (в сумме до 65%).
Повторяемость штилей в описываемом районе распределяется очень неравномерно.
Cреднее месячное число дней со штормами, как правило, не превышает 2. Преобладающее направление штормовых ветров от NЕ, N и NW.
Лоция №1248 Ионического моря и острова Сицилия;
Ветры:
В открытом море в течение года преобладают ветры от NW и W, кроме того, часты ветры от N и SW. Скорость ветра почти во всем районе с ноября по апрель больше, чем с мая по октябрь. С мая по октябрь скорость ветра составляет 2-5 м/с, штормы в описываемом районе нечасты. В открытом море повторяемость штормов не превышает 5%. Иногда штормы бывают жестокими, переходя даже в ураганы, и сопровождаются ливнями.
Штормовые ветры в открытом море наблюдаются преимущественно от SW, W и NW; у берегов направление их обычно меняется.Нередки шквалы, сопровождающиеся ливнями и градом, при которых значительно ухудшается видимость.
Ветер, подобный боре, но обычно слабее ее, известен под местным названием «борино». Он наблюдается и с мая по Ноябрь.
Сирокко - жаркий ветер от S и SE в теплый период года и умеренно теплый в холодный период - в западной части описываемого района наблюдается почти весь год, но наиболее часто - с марта по май.
Этезии - устойчивый ветер северных направлений - наблюдается обычно с середины мая до середины сентября в районе западного берега Греции.
Таранта - сильный ветер от NW. Таранта может длиться непрерывно даже сутки, с июня по Ноябрь
Лоция № 1247 Эгейского моря
Для осеннего периода характерна погода с преобладанием циклонов, проходящими над южной частью моря, преобладают ветры от SE и SW, продолжаются до2-3 дней, иногда усиливаются до штормовой силы. По мере продвижения циклонов к острову Кипр и далее на северо-восток наблюдаются ветры от W, которые сменяются ветрами от NW; часто достигающих штормовой силы.
Средняя месячная скорость ветра в открытом море и на островах центральной его части в ноябре составляет 6-7м/с. Штили в открытом море редки: в течение года повторяемость их колеблется от 2 до 10%.
В Эгейском море штормы от N и S обычно начинаются внезапно. Штормы от S отмечаются только зимой, продолжительность редко превышает 1-2 суток, как правило, отмечается большая облачность и падение давления.
1.3 Видимость, водный режим атмосферы
Общие сведения
Отдаленные предметы видны хуже, чем близкие, не только потому, что уменьшаются их видимые размеры. Даже и очень большие предметы на том или ином расстоянии от наблюдателя становятся плохо различимыми вследствие мутности атмосферы, сквозь которую они видны. Эта мутность обусловлена рассеянием света в атмосфере. Понятно, что она увеличивается при возрастании аэрозольных примесей в воздухе.
Для многих целей очень существенно знать, на каком расстоянии перестают различаться очертания предметов за воздушной завесой. Это расстояние называют дальностью видимости, или просто видимостью. Дальность видимости чаще всего определяется на глаз по определенным, заранее выбранным объектам (темным на фоне неба), расстояние до которых известно. Но имеется и ряд фотометрических приборов для определения видимости. В очень чистом воздухе, например арктического происхождения, дальность видимости может достигать сотен километров. Рассеяние света в таком воздухе производится преимущественно молекулами атмосферных газов. В воздухе, содержащем много пыли или продуктов конденсации, дальность видимости может понижаться до нескольких километров и даже до метров. Так, при слабом тумане дальность видимости составляет 500–1000 м, а при сильном тумане или сильной песчаной буре может снижаться до десятков и даже нескольких метров.
Различают геометрическую, оптическую и метеорологическую дальность видимости. Геометрическая дальность видимости определяется кривизной Земли и светового луча и зависит от высоты наблюдателя и наблюдаемого объекта. Оптическая дальность видимости – это расстояние, на котором реальный объект при данных условиям погоды, освещения и наблюдения находится на границе восприятия зрением. Она зависит от прозрачности атмосферы, остроты зрения наблюдателя, свойств наблюдаемого объекта и фона, на котором наблюдается объект. Все указанные факторы весьма изменчивы, поэтому оптическую дальность видимости затруднительно применять в практических целях в качестве метеорологического элемента.
В значительной части района в течение всего года преобладает видимость 10 миль и более повторяемость ее 60-85%. В прибрежной зоне и на островах в отдельные месяцы она составляет 30-55%. Повторяемость видимости от 5 до 10 миль в большей части района колеблется от 10 до 35%, а в прибрежной зоне и на островах она может достигать 40-70%. Значительное влияние на видимость оказывают ветры. Так, при сирокко видимость резко снижается (иногда до 0,5 мили и менее), а при боре, наоборот, увеличивается (до 10 миль и более).
Туманы в описываемом районе крайне редки. На большей части побережья и островов среднее годовое число дней с туманами, как правило, не более 3. Дымка в описываемом районе наблюдается чаще, чем туманы
Средняя месячная облачность колеблется от 4 до 6 баллов с октября по май. На побережье и островах среднее годовое число ясных дней составляет 120 - 150. Среднегодовое число пасмурных дней колеблется от 27 до 62. Осадков в большей части района выпадает в среднем 500 - 800 мм. Среднегодовое число дней с осадками изменяется от 56 до 87. Осадки ливневы. Снегопады наблюдаются очень редко.
Отсутствие летних дождей на юге происходит оттого, что С. море находится летом под влиянием тропического антициклона (области высокого барометрического давления) в восточной части Атлантического океана, который в связи с пониженной областью давления над южной Сахарой и Персидским заливом подчиняет Средиземное море господству сухих северных ветров - этезий.
При высоком давлении над самым морем летом также часты совершенно штилевые дни. К зиме тропический антициклон Атлантического океана перемещается несколько на юг и в то же время к северо-востоку от Средиземного моря устанавливается азиатский антициклон, Средиземное же море занимает тогда промежуточную область между обоими антициклонами и подпадает часто, особенно в конце осени, влиянию североатлантической циклонической области; тогда появляются циклоны из Бискайского залива, Ла-Манша или Немецкого моря и, прокладывая себе путь через Германию, Италию и южную Грецию к Малой Азии, несут за собой бурную, шквалистую погоду, сопровождаемую дождем и оканчивающуюся прояснением, при сухом северном ветре. Подобные же условия бывают и ранней весной. В середине зимы область высокого давления вторгается часто в среднюю Европу и причиняет на северном побережье Средиземного моря опять северный ветер - мистраль в южной Франции и трамонтана в Италии. Известное явление боры (сильный северо-восточный ветер) на берегу Адриатического моря происходит при вышеуказанных условиях распределения атмосферного давления, только местные условия, а именно особенное расположение гор, способствует необыкновенной силе этого явления. В это же время значительный запас тепла в толще вод Средиземного моря служит причиной несколько пониженного давления над ним и источником периода зимних дождей в более южных областях моря. Господство северных ветров, приносящих сухой воздух, объясняют нам, почему на прибрежьях Средиземного моря летний жар не так тягостен, как в других приморских странах. В частности, климат различных мест Средиземного моря зависит много от местных условий, а эти последние, благодаря чрезвычайному разнообразию профиля местности, столь различны, что часто можно встретить рядом климаты, существенно отличающиеся от типичного средиземноморского
Абсолютная и относительная влажность
Абсолютная влажность - количество влаги, содержащейся в одном кубическом метре воздуха. Из-за малой величины обычно измеряют в г/м³. Но в связи с тем, что при определённой температуре воздуха в воздухе может максимально содержаться только определённое количество влаги (с увеличением температуры это максимально возможное количество влаги увеличивается, с уменьшением температуры воздуха максимальное возможное количество влаги уменьшается) ввели понятие относительной влажности
Относительная влажность - отношение парциального давления паров воды в газе (в первую очередь, в воздухе) к равновесному давлению насыщенных паров при данной температуре.
Эквивалентное определение - отношение массовой доли водяного пара в воздухе к максимально возможной при данной температуре. Измеряется в процентах и определяется по формуле:
![]()
где:
относительная влажность рассматриваемой смеси (воздуха)
; - парциальное давление паров воды в смеси;
- равновесное давление насыщенного пара.
Давление насыщенных паров воды сильно растёт при увеличении температуры. Поэтому при изобарическом (то есть, при постоянном давлении) охлаждении воздуха с постоянной концентрацией пара наступает момент (точка росы), когда пар насыщается. При этом «лишний» пар конденсируется в виде тумана или кристалликов льда. Процессы насыщения и конденсации водяного пара играют огромную роль в физике атмосферы: процессы образования облаков и образование атмосферных фронтов в значительной части определяются процессами насыщения и конденсации, теплота, выделяющаяся при конденсации атмосферного водяного пара обеспечивает энергетический механизм возникновения и развития тропических циклонов (ураганов).
Испарение с поверхности Средиземное море достигает 1250 мм в год (3130 км3). Относительная влажность воздуха изменяется от 50-65% летом до 65-80% зимой. Облачность летом 0-3 балла, зимой около 6 баллов. Среднее годовое количество осадков 400 мм (около 1000 км3), оно изменяется от 1100-1300 мм на С.-З. до 50-100 мм на Ю.-В., минимум - в июле - августе, максимум - в декабре. Характерны миражи, которые часто наблюдаются в Мессинском пролив (т. н. фата-моргана).
Лоция №1250 Тирренского и Лигурийского морей и островов Сардиния и Корсика;
Облачность и осадки:
Наибольшие значения облачности отмечаются на севере района, где средняя месячная облачность осенью составляет 3-5 баллов.
Осенью в южных районах в среднем бывает до 25 ясных дней в месяц, а в северных - не более 15.
Осадков больше всего выпадает на восточном побережье: средняя годовая сумма их составляет 800-1450 мм.
В открытом море в продолжение всего года преобладает видимость более 10 миль, причем в теплый период года повторяемость такой видимости больше, чем в другие сезоны. Весной видимость увеличивается, а летом повсеместно преобладает видимость более 5 миль.
Относительная влажность воздуха имеет сравнительно хорошо выраженный годовой ход. В большинстве пунктов наибольшая влажность 70-80% наблюдается с декабря по февраль, а наименьшая 55-65% - в июле и августе.
Лоция №1248 Ионического моря и острова Сицилия
Облачность и осадки:
Средняя месячная облачность в описываемом районе колеблется в основном от 4 до 6 баллов с октября по май. В мае повторяемость ясного неба увеличивается до 55-60%, а пасмурного - уменьшается до 20-25%.
Осадков в большей части района выпадает в среднем 500-800 мм в год.
Видимость:
В значительной части района в течение всего года преобладает видимость 10 миль и более повторяемость ее 60-85%. В прибрежной зоне и на островах в отдельные месяцы она составляет 30-55%. Повторяемость видимости от 5 до 10 миль в большей части района колеблется от 10 до 35%, а в прибрежной зоне и на островах она может достигать 40-70%. Значительное влияние на видимость оказывают ветры. Так, при сирокко видимость резко снижается (иногда до 0,5 мили и менее), а при боре, наоборот, увеличивается (до 10 миль и более).
Относительная влажность воздуха в большинстве пунктов в среднем составляет 50-80%. Суточный ход относительной влажности ярко выражен, особенно с мая по ноябрь.
Лоция № 1247 Эгейского моря
Облачность и осадки:
Наибольшая облачность в районе Эгейского моря наблюдается в холодный период года.
В открытой части моря с октября по апрель одинаково вероятно пасмурное(8-10 баллов), так и ясное(0-2 балла) небо. Повторяемость как того так и другого составляет 20-40%
Над побережьем Эгейского моря с октября по май преобладает средняя месячная облачность 4-6, местами 7-8 баллов.
С октября по май среднее месячное число ясных и пасмурных дней почти одинаково и составляет в среднем по 3-10.
Видимость хорошая, так в открытой части Эгейского моря повторяемость видимости 5 миль и более составляет 90-95%, а повторяемость видимости мене 5 миль не более 5-10%. Также наблюдается большая облачность в районе Эгейского моря до 8-10 баллов.
1.4 Тепловой режим атмосферы
Климат средиземноморского побережья представляет многие особенности, зависящие в значительной степени от того, что это побережье защищено горами от холодных ветров с севера. Теплая зима, с температурой января обыкновенно от 8 до 13° Ц., отсутствие сильных морозов, теплое лето со средней температурой от 23 до 28°, годовая амплитуда от 11 до 20°, малая облачность, особенно летом, ярко-синий цвет неба и вообще яркий свет, дожди - преимущественно зимой, полное отсутствие летних дождей на юге и обложных продолжительных летом на севере - вот главные черты средиземноморского климата. Снег падает редко, исключительно с декабря по март и редко лежит 1-2 дня, морозы случаются редко и большей частью ночью, чаще всего от местного лучеиспускания.
Радиационный баланс во все сезоны года положительный, что обеспечивает продолжительный (свыше 200 сут) вегетационный период с суммами активных температур свыше 3000°.
Средиземноморский климат, с долгим сухим летом и короткой дождливой зимой. Среднегодовое колебание температуры от 10 °С в Декабре до 35 °С в Августе. Уровень выпадения осадков в году составляет в среднем 500 мм. Температура Средиземного моря у берега держится на уровне 28 °С, и не опускается ниже 16 °С зимой.
Средняя характеристика погодных условий на переходе Кастеллон-Пирей
МЕСЯЦ ОКЯБРЬ
Макс. Средняя температура дня в ⁰ С24
Средняя температура Ночи в ⁰ С 8
Среднее число солнечных часов в сутки8
Температура воды в море в ⁰ С22
Влажность в %64
Кол-во дождливых дней 3
1.5 Опасные (особые) явления погоды
Особые метеорологические явления. Грозы в северо-западной части Средиземного моря чаще наблюдаются к северу от параллели 40° сев. шир., где среднее годовое число дней с ними колеблется от 16 до 31, В годовом ходе они наиболее вероятны с мая по сентябрь - октябрь; в это время в среднем бывает до 3 - 7 дней с грозами в месяц.
К югу от параллели 40° сев. шир. отмечается в среднем 1 - 2 дня с грозами в год, лишь в районе порта Валенсия, Балеарских островов и Гибралтарского пролива число дней с ними увеличивается до 8-14 в год.
Грозы бывают как фронтального, так и местного происхождения.
Смерчи - нечастое явление, но возможны они в любое время года (наиболее вероятны весной и осенью). Смерч представляет собой сильный вихрь с приблизительно вертикальной, но часто изогнутой осью диаметром в несколько десятков метров. Давление воздуха в смерче понижено. Смерч имеет вид темного облачного столба; часто он опускается в виде воронки из нижнего основания кучево-дождевого облака, а навстречу ей с поверхности земли поднимается другая воронка из брызг и пыли. Наиболее узкая часть столба - в середине, в месте соединения воронок. Из одного грозового облака может опускаться одновременно несколько смерчей; в этом случае их воронки имеют небольшой диаметр. Скорость ветра в смерче достигает 50 - 100 м/сек. Нередко смерчи вызывают катастрофические разрушения, иногда бывают человеческие жертвы. Вращательное движение в смерче может происходить как по часовой стрелке, так и против нее. Сопровождаются смерчи дождями, грозами и шквалами. Наступлению смерча предшествует обычно штилевая погода или легкие переменные ветры.
Лоция №1251 С-З части Средиземного моря
Смерчи в рассматриваемом районе наиболее вероятны у Балеарских островов, в Гибралтарском проливе и у наиболее выступающих мысов, как например, в районе мысов Гата, Сан-Антонио и Креус.
В ночное время о близости смерча можно узнать по производимому им шуму.
Изменение направления ветра во время шторма от восточного к западному служит верным признаком улучшения погоды. Восточные ветры обычно предвещают штормовую погоду.
Лоция №1250 Тирренского и Лигурийского морей и островов Сардиния и Корсика;
Туманы:
Туманы бывают нечасто. Среднее годовое число дней с ними не превышает 10, а среднее месячное, как правило, не более 1. Исключением являются отдельные пункты в северной части района.
Cреднее месячное число дней со штормами, как правило, не превышает 2. Преобладающее направление штормовых ветров от NЕ, N и NW.
Лоция №1248 Ионического моря и острова Сицилия;
Штормовые ветры в открытом море наблюдаются преимущественно от SW, W и NW; у берегов направление их обычно меняется.Нередки шквалы, сопровождающиеся ливнями и градом, при которых значительно ухудшается видимость.
Ветер, подобный боре, но обычно слабее ее, известен под местным названием «борино». Он наблюдается и с мая по Ноябрь.
Сирокко - жаркий ветер от S и SE в теплый период года и умеренно теплый в холодный период - в западной части описываемого района наблюдается почти весь год, но наиболее часто - с марта по май.
Этезии - устойчивый ветер северных направлений - наблюдается обычно с середины мая до середины сентября в районе западного берега Греции.
Таранта - сильный ветер от NW. Таранта может длиться непрерывно даже сутки, с июня по Ноябрь.
Туманы:
Туманы в описываемом районе крайне редки. На большей части побережья и островов среднее годовое число дней с туманами, как правило, не более 3. Дымка в описываемом районе наблюдается чаще, чем туманы.
Лоция № 1247 Эгейского моря
Штормы в открытом море отмечаются в течение всего года, но наиболее вероятны они с ноября по март, когда повторяемость их 3-10%.
В районе Эгейского моря наблюдаются местные ветры: мелтем, нисходящие ветры, белые шквалы и сирокко.
Мелтем - устойчивые ветры северных направлений. Они обычно бывают в теплый период года.
В Эгейском море, особенно в его южной части, часто наблюдаются ветры, известные под названием белых шквалов. Белые шквалы возникают обычно при ясном небе и бывают иногда очень сильными, но продолжительность их в большинстве случаев невелика.
Сухой сирокко - это жаркий и очень сухой южный ветер, который наблюдается в Эгейском море в любое время года и распространяется иногда на обширные пространства.
Туманы:
Туманы в открытом море редки, особенно в теплый период года. Повторяемость их в течение года не превышает 2%.
Туманы образуются преимущественно ночью и утром; продолжительность их незначительна.
1.6 Океанографическая характеристика района плавания.
гидрометеорологический переход синоптический условие
Гидрологический режим Средиземное море формируется под влиянием большого испарения и общих климатических условий. Преобладание расхода пресной воды над приходом ведёт к понижению уровня, что является причиной постоянного притока поверхностных менее солёных вод из Атлантического океана и Чёрного моря. В глубинных слоях проливов происходит отток высокосолёных вод, вызванный разностью плотности воды на уровне порогов проливов. Основной водообмен происходит через Гибралтарский пролив (верхнее течение приносит 42,32 тыс. км3 в год атлантические воды, а нижнее - выносит 40, 80 тыс. км3 средиземноморской); через Дарданеллы втекает и вытекает соответственно 350 и 180 км3 воды в год.
Большое испарение ведёт к сильному повышению солёности. Её значения увеличиваются с З. на В. от 36‰ до 39,5‰. Плотность воды на поверхности изменяется от 1,023-1,027 г/см3 летом до 1,027-1,029 г/см3 зимой. В период зимнего охлаждения в районах с повышенной плотностью развивается интенсивное конвективное перемешивание, которое приводит к формированию высокосолёных и тёплых промежуточных вод в Восточном бассейне и глубинных вод на С. Западного бассейна, в Адриатическом и Эгейском морях. По придонным температуре и солёности Средиземное море является одним из самых тёплых и солёных морей Мирового океана (12,6-13,4°С и 38,4-38,7‰ соответственно). Относительная прозрачность воды до 50-60 м, цвет - интенсивно синий. Приливы в основном полусуточные, их величина менее 1 м, но в отдельных пунктах в сочетании с ветровыми нагонами колебания уровня могут достигать 4 м (Генуэзский залив, у северного берега острова Корсика и др.) В узких проливах наблюдаются сильные приливные течения (Мессинский пролив). Максимальное волнение наблюдается зимой (высота волн достигает 6-8 метров).
Скорости установившихся течений в открытой части моря 0,5-1,0 км/ч, в некоторых проливах - 2-4 км/ч. Средняя температура воды на поверхности в феврале понижается с С. на Ю. от 8-12 до 17 °С в вост. и центр. частях и от 11 до 15 °С на 3. В августе средняя температура воды изменяется от 19 до 25°С. - на крайнем В. она повышается до 27-30 °С. Большое испарение ведёт к сильному повышению солёности. Её значения увеличиваются с 3. на В. от 36 до - 39,5. Плотность воды на поверхности изменяется от 1,023-1,027 г/см³ летом - до 1,027-1,029 г/см³ зимой. В период зимнего охлаждения в р-нах с повышенной плотностью развивается интенсивное конвективное. перемешивание, которое приводит к формированию высокосолёных и тёплых промежуточных вод в Вост. бассейне и глубинных вод на С. западного бассейна, в Адриатическом и Эгейском морях. По придонным температуре и солёности Средиземное море является одним из самых тёплых и соленых морей Мирового ок. (12,6-13,4°С и 38,4-38,7 соответственно). Относит. прозрачность воды до 50-60 м, цвет - интенсивно синий
Волнение
В течение года на всем море преобладают высоты волн 1-2 м; повторяемость их 40-50%. С марта по ноябрь почти повсеместно наряду с высотами волн 1-2 м. сравнительно часты высоты волн 1 м; повторяемость их 25 – 35% в западной части моря и 20-25% в восточной части. Высоты волн 2-3 м. наиболее вероятны в восточной части моря, где повторяемость их с декабря по февраль достигает 25-30%, в остальное время года она равна 20%. В западной части моря повторяемость
Высот волн 2-3 м. составляет 15-20% в продолжение года. Высоты волн 3 м. и блее повсеместно чаще отмечаются с декабря по февраль.
Направление распространения волн в основном от NW, W и SW, лишь местами от NO и O.
Течения
Течения Средиземного моря формируются в основном под влиянием разности плотностей вод в различных его районах.
В связи с тем, что плотность волн в Средиземном море больше плотности воды в Атлантическом океане и Черном море, уровень воды в Средиземном море значительно ниже, чем прилегающих к нему районах. Поэтому на поверхности Средиземного моря наблюдаются довольно сильные стоковые течения, идущие из Атлантического океана и Черного моря, а в придонных слоях, наоборот, идущие в Атлантический океан и Черное море.
Общая схема постоянных течений в Средиземном море выглядит следующим образом. Основной поток постоянного течения, идущего из Атлантического океана через Гибралтарский пролив, следует вдоль берегов Африки с запада на восток.
От основного потока отделяются три ветви. Одна ветвь отходит у мыса Трес-Форкас и направляется на запад вдоль берегов Марокко. Другая ветвь отходит от основного потока юго-западнее острова Сардиния и, следуя вдоль северного берега острова Сицилия к западному берегу Италии и затем вдоль южного берега Франции и восточного берега Испании, образует в западной части моря круговорот вод против часовой стрелки. Третья ветвь отделяется на подходах к Тунисскому проливу и направляется в Тирренское море.
Основной же поток продолжает идти на восток вдоль берегов Африки, а затем движется на север вдоль восточного берега моря и далее к острову Родос, где делиться на две ветви. Одна ветвь идет на запад в Ионическое море, другая - на север и северо-запад в Эгейское море, где сливается с течением этого моря.
Объединенный поток следует к полуострову Пелопоннес, где соединяется с ветвью, идущей в Ионическое море, и направляется вдоль берегов Греции в Адриатическое море. Совершив в нем круговорот против часовой стрелки, течение выходит из Адриатического моря, направляется вдоль берега Апеннинского полуострова и восточного берега Сицилия и замыкает круговорот вод восточной части Средиземного моря.
Следует отметить, что на подходах к меридиану 20⁰ восточной долготы от основного потока, идущего вдоль берегов Африки, отделяется ветвь, которая направляется вначале на юг, а затем на северо-запад, образуя вдоль побережья Африки на участке между меридианами 10⁰ и 20⁰ восточной долготы круговорот по направлению движения часовой стрелки.
Средняя скорость постоянного течения в большей части Средиземного моря менее 0,5 узлов, местами 0,6 – 1 узла.
Описанная схема постоянных течений может значительно изменяться под влиянием ветра. Сильные и устойчивые ветры могут не только увеличить или уменьшить скорость постоянного течения, но даже изменить его направление в отдельных случаях на 180⁰.
Приливы
Приливы в основном полусуточные, их величина менее 1 м, но в отдельных пунктах в сочетании с ветровыми нагонами колебания уровня могут достигать 4 м (Генуэзский зал., у сев. берега о. Корсика и др.). В узких проливах наблюдаются сильные приливные течения (Мессинский пролив).
После изучения всех доступных источников информации можно сделать следующие выводы:
Расстояние между портами -1350 миль
Расчетное время перехода со средней скоростью 7 узлов – 9.5 суток.
Погода, в целом, в этот период благоприятная. Остерегаться следует только открытые участки морей. Благодаря современным системам извещения мореплавателей, а также учитывая, что расстояния до ближайших мест убежищ не превышает сутки пути можно, заблаговременно позаботится о мерах безопасности плавания.
Поэтому можно сказать, что выбранный нами путь является в данное время года выгодным как с точки зрения экономической эффективности, так и метеорологического обеспечения безопасности плавания.
2. Гидрометеорологическое обеспечение судна на переходе
2.1 Краткая теоретическая характеристика поступающей гидрометеорологической информации
Сведения о погоде и состоянии моря, необходимые для решения вопроса о выборе курса следования или производстве работ в море, могут быть получены из различных источников. Выбор источника определяется полнотой и точностью помещенных в нем сведений, удобством и целями его использования, а также возможностей получения требуемых данных.
В настоящее время сложилась и регулярно действует мировая система гидрометеорологического обслуживания мореплавания организованная усилиями метеорологических служб стран - членов Всемирной метеорологической организации (ВМО). Текущей и режимной гидрометеорологической информацией судна обеспечивается не только в пределах своих прибрежных вод, но и по обширной акватории Мирового океана. Вся акватория Мирового океана разделена на зоны ответственности стран - членов ВМО за обеспечение гидрометеорологической информации судов, плавающих в океанах и морях.
Каждый региональный радиогидрометеорологический центр ведет передачи информации согласно расписанию, об изменениях которого регулярно оповещается путем публикация коррективов в извещениях мореплавателям.
На суда гидрометеорологическая информация может поступать в различном виде:
В виде климатических гидрометеорологических пособий. По принципу использования гидрометеорологические пособия можно разделить на справочные и расчетные.
Справочные пособия содержат общие режимные сведения о гидрометеорологических параметрах, их повторяемости и вероятности наблюдения тех или иных значений. К таким пособиям можно отнести гидрометеорологические очерки лоций, гидрометеорологические карты и атласы физико-географических данных, атласы отдельных гидрометеорологических параметров (льда, температуры, суммарных и постоянных течений, ураганов и т.п.), атласы гидрометеорологических условий плавания судов морского флота, специальные пособия (типа "Океанские пути мира"), гидрометеорологические обзоры.
Расчетные пособия позволяют определить или рассчитать по конкретным условиям и месту на определенный момент или период времени значение необходимых параметров. Это таблицы и атласы приливных колебаний уровня и течений, расчетные таблицы волнения.
В виде метеорологических и морских бюллетеней. Составными частями этих бюллетеней являются:
Часть I. Штормовые предупреждения;
Часть 2. Обзор основных элементов приземной карты погода;
Часть 3. Прогнозы;
Часть 4. Анализы или прогнозы погоды международным кодом;
Часть 5. Выборочные судовые сводки;
Часть 6. Выборочные сводки с береговых станций.
Бюллетени чаще содержат первые три части, являющиеся, обязательными для передающих радиогидрометеорологических центров. Дополнительные части 4-6 метеорологического или морского бюллетеня могут в него включаться; но, если они включены в бюллетень, то их не обязательно включать в том порядке, как это указано выше, они могут выпускаться и отдельно.
В виде сообщений с других судов о фактической гидрометеорологической обстановке в районе плавания (РДО) и собственных наблюдений за погодой и состоянием моря.
В виде специализированного обслуживания транспортных судов (обслуживания судов по запросу и плавания судов по наивыгоднейшим в гидрометеорологическом отношении путям).
В виде штормового предупреждения. Штормовые предупреждения передаются полным текстом на языке страны, составившей его, по-английски, или кодом.
Штормовые предупреждения содержат информацию о предстоящих в ближайшее время усилениях ветра и волнения до опасных для судоходства значений и передаются гидрометеорологическими центрами не реже, чем через каждые 12 ч.
Информация о тропических циклонах передается каждые 2-3 ч. В некоторых странах Европы, Северной Америки, в Японии и Австралии предупреждения передаются радиостанциями незамедлительно по получении текста от метеорологической службы.
В тех случаях, когда в обслуживаемом районе шторма не ожидается, об этом сообщается в соответствующей части Метеорологического бюллетеня.
В виде факсимильных передач различных карт. Этот вид гидрометеорологической информации является наиболее информативным. Он характеризуется большим разнообразием, оперативность и наглядностью.
В настоящее время региональные гидрометеорологические центры составляют и передают в эфир большое количество самых разнообразных карт. Ниже приводится список карт, наиболее информативных для нужд мореплавания.
• Приземный анализ погоды. Карта составляется на основе приземных метеорологических наблюдений в основные сроки.
• Приземный прогноз погоды. Показывает ожидаемую погоду в указанном районе через 12, 24, 36 и 48 ч.
• Приземный прогноз малой заблаговременности. Приводится ожидаемое положение барической системы (циклонов, антициклонов, фронтов) в приземном слое на последующие 3-5 дней.
• Карта абсолютной топографии АТ500. На ней изогипсами представлены барическое и ветровое поля на высоте около 5,5 км. Составляются как фактические, так и прогностические карты на срок от 12 до 72 ч.
• Анализ поля волнения. Эта карта дает характеристику поля волнения по району (направление распространения волн, их высоту и период).
• Прогноз поля волнения. Показывает прогнозируемое поле волнения на 24 и 48 ч. (Направление волнения и высоту преобладающих волн)
• Карты анализа и прогноза температуры воды. На этих картах дан анализ и прогноз поля температуры поверхности моря за определенный период осреднения (пятидневки, декады).
• Карта относительной топографии OT 500. На этой карте изогипсами представлено поле температуры воздуха на высоте около 5,5 км.
• Карта ледовых условий. Показана ледовая обстановка в данном, районе (сплоченность, кромка льда, полыньи и другие характеристики) и положение айсбергов.
• В последние годы в мореплавании все шире используются факсимильные карты нефелометрического анализа (карты погоды по данным спутников).
Все гидрометеорологические карты можно разделить на два основных класса: оперативные и режимные.
К оперативным относятся карты, которые содержат данные на конкретный момент времени: синоптические, ледовые, гидрологические и некоторые другие.
Режимными являются климатические карты, содержащие многолетние средние или экстремальные гидрометеорологические параметры за какой-либо период (месяц, год и т.д.). Гидрометеорологические режимные карты часто называют гидрометеорологическими картами или, более правильно, климатическими (климатологическими) картами, а синоптические - картами погоды.
Карты погоды подразделяются на фактические и прогностические, приземные и высотные.
Карты приземного анализа содержат данные о фактической погоде в нижних слоях атмосферы. Барическое поле на этих картах представлено изобарами на уровне моря. Основные приземные карты составляют в сроки 00, 06, 12 и 18 ч. СГВ, кольцевые - за дополнительные сроки 03, 09, 15 и 21 ч.
Высотные карты, карты барической топографии, являются картами топографии стандартах изобарических поверхностей 850, 700, 500, 300,... гПа. Они подразделяются на карты абсолютной (AT) и относительной (ОТ) топографии. Все высотные карты составляются в сроки 00 и 12 ч СГВ. 14 Они могут составляться на различные сроки: l2, 24, 36, 48, 72 ч. На приземных прогностических картах, дается предполагаемое барическое поле, указывается положение центра циклонов и антициклонов л фронтальных разделов.
На высотных прогностических картах указывается предполагаемое, будущее, высотное барическое (AT) и термическое (ОТ) поля.
Вспомогательные карты погоды, на которые наносятся сведения об отдельных гидрометеорологических величинах или явлениях (карты волнения, температуры воды, ледовые карты и др.), могут составляться как за основные и дополнительные стандартные, так и за любые другие сроки наблюдения.
Карты погоды являются оперативными картами и служат основным средством анализа и прогноза гидрометеорологической обстановки. Действенное использование этих карт возможно только при достаточно высокой гидрометеорологической квалификации судоводителя.
Для построения бланков карт обычно используется стереографическая проекция с главным масштабом по параллели 60. Могут быть использованы также бланки меркаторской проекции (например, в метеорологическом центре (МЦ) Пёрл-Харбора).
Масштабы бланков синоптических карт:
− для основных карт, охватывающих территорию, соизмеримую с, континентами и океанами – 1: 15 000 000;
− для карт полушарий и тропической зоны – 1: 30 000 000;
− для дополнительных карт - кольцовок – 1: 5 000 000 или 1:2 500 000.
Вспомогательные карты могут составляться на картах различного масштаба.
2.2 Станции, обеспечивающие судно гидрометеорологической информацией
На протяжении всего перехода судно будет получать метеорологическую информацию по NAVTEX. Список станции, передающих метеорологическую информацию по NAVTEX показан в таблице (см. приложения).
NAVTEX (навигационный телекс) – международная автоматизированная система передачи навигационных и метеорологических предупреждений и срочной информации в режиме узкополосного буквопечатания. Служба использует частоту 518 кГц в режиме излучения F1B (частотная телеграфия), информация передается на английском языке. Прием информации обеспечивается в радиусе от 250 до 400 миль от береговой радиостанции.
В каждом районе NAVAREA создана цепочка радиостанций со своим буквенным идентификатором. Распределение буквенных идентификаторов произведено так, чтобы максимально удалить друг от друга радиостанции, имеющие одинаковые идентификаторы в соседних районах NAVAREA. В настоящее время в эксплуатации находится более 130 радиостанций службы NAVTEX и более 10 должны войти в строй.
Передача сообщений NAVTEX береговыми станциями осуществляется по расписанию.
Приемники NAVTEX осуществляют круглосуточный автоматический прием сообщений по заданной программе без участия человека.
Передача сообщений NAVTEX происходит блоками информации, первый и последний из которых можно условно представить следующим образом (ФС – фазирующий сигнал; ВК – возврат каретки; ПС – перевод строки; КС – конец связи; ВА – выключение аппаратуры):
| ФС ≥ 10 с |
ZCZC |
1 пробел |
ВК+ПС |
TEXT, NNNN |
ВК+2ПС |
} |
|||||||||||
| В1В2В3В4 |
|||||||||||||||||
| } |
|||||||||||||||||
| } |
ФС ≥ 5 с |
ZCZC |
1 пробел |
В1В2В3В4 |
ВК+ПС |
TEXT, NNNN |
ВК+ 2ПС |
КС |
ВА ≥ 2 с |
||||||||
| } |
|||||||||||||||||
где ZCZC – группа символов, обозначающая конец фазирования и начало сообщения;
В1В2В3В4 – определитель сообщения, причем
В1 – идентификатор передающей станции (буквы от А до Z);
В2 – тип сообщения, включающий
| Буква |
Тип сообщений |
Цифра |
| *A |
Навигационные предупреждения |
1 |
| *B |
Метеорологические предупреждения |
2 |
| C |
Ледовый обзор |
3 |
| *D |
Информация по поиску и спасанию |
4 |
| E |
Прогноз погоды |
5 |
| F |
Сообщения лоцманской службы |
6 |
| G |
Сообщения системы ДЕККА |
7 |
| H |
Сообщения системы ЛОРАН |
8 |
| I |
Сообщения системы ОМЕГА |
9 |
| J |
Сообщения спутниковой навигационной системы |
10 |
| K |
Сообщения других средств электронной навигации |
11 |
| *L |
Навигационные сообщения (дополнительно к букве А) |
12 |
| M-Y |
Символы зарезервированы, подлежат дальнейшему определению |
13-25 |
| Z |
Нет сообщений |
26 |
Кроме того, типы сообщений в разных приемниках обозначаются как буквенными индексами, так и цифровыми; помеченные звездочкой в любом случае обязательны к приему судовым приемником NAVTEX и не могут быть исключены;
В3В4 – порядковый номер сообщения. Каждому сообщению NAVTEX в группе информации одного вида присваивается порядковый номер от 01 до 99, при достижении 99 нумерация возобновляется или по истечении 60÷72 часов вновь пришедшее сообщение стирает самое старое, но порядковые номера еще действующих сообщений не используются. Номер 00 присваивается только для жизненно важных сообщений, таких как первоначальное сообщение о бедствии. Сообщения с таким номером будут всегда распечатываться, и сработает звуковая и световая сигнализация.
NNNN – группа символов, обозначающие «конец телексного сообщения» (если число ошибочно принятых символов-звездочек будет более 4% от всего количества символов в сообщении, то определитель сообщения не запоминается приемником (печатается NNN), и при повторной передаче сообщение с этим же определителем будет снова принято).
Особенности передачи штормовых предупреждений о тропических циклонах .
Информация о тропических циклонах передается каждые 2–3 ч. Первое предупреждение о тропическом циклоне или шторме ураганной силы передается независимо от расписания и содержит следующие сведения:
1. Международный позывной сигнал (ТТТ).
2. Указание о виде предупреждения.
3. Время в предупреждениях указывается по СГВ.
4. Тип тропического возмущения указывается согласно классификации, указанной в Таблице 2.2.3.
5. Положение возмущения. Местоположение центра дается в градусах (иногда, если возможно, и в десятых долях) широты и долготы, причем широта и долгота указываются словами; далее следует информация о степени достоверности положения центра возмущения.
6. Направление и скорость движения возмущения (обычно его центра) дается в узлах, направление – до ближайшего из 16 румбов компаса либо в градусах (до ближайшего десятка градусов).
7. Размеры возмущения.
8. Скорость и направление ветра в различных секторах возмущения, причем скорость ветра дается на различных расстояниях от центра по секторам. Скорость ветра указывается в узлах, расстояние – в морских милях.
9. Дополнительные сведения.
Пример комментария к тропическому циклону:
− Стадия развития тропического циклона – T (тайфун);
− национальный номер;
− имя тайфуна (TINGTING);
− международный номер (восьмой циклон 2004 года);
− давление в центре 942 гПа.;
− координаты центра 56.2° N 142.6° E. Координаты определены с точностью до 30 морских миль (PSN GOOD). Для указания точности определении координат центра циклона используются следующие обозначения:
− PSN GOOD – точность до 30 морских миль;
− PSN FAIR – точность 30 - 60 морских миль;
− PSN POOR – точность хуже 60 морских миль;
− движется на NORTH со скоростью 13 узлов;
− максимальная скорость ветра 75 узлов вблизи центра;
− ожидаемая максимальная скорость ветра 85 узлов на следующие 24 часа;
− графическое представление ветровых зон циклона:
2.3 Синоптические условия перехода
Начало перехода. 01.10.2010
Ознакомившись с барическим полем, предоставленным на факсимильной карте погоды за 00ч. 01 октября 2010 года (см.приложение), можно сказать, что погодные условия над западной частью Средиземного моря формируются наличием центров повышенного давления над Северной Африкой и центральной Европой. Над северной частью Апеннинского полуострова находится область низкого давления, замкнутая изобарой 1015 гПа. А над Францией расположен малоподвижный фронт.
На маршруте перехода ожидается благоприятная погода. Давление 1016.4 гПа. Ветер слабый. Высота волн не более 0.5 м. Видимость хорошая. Облачность 4-5 баллов. Судно будет следовать согласно плану перехода, выдерживая временной график.
02.10.10
Барическое поле существенно не изменилось. Синоптические условия на маршруте перехода по-прежнему благоприятны. Маловетренная погода. Высота волн 0.25 м. Видимость хорошая. Судно следует по графику.
03.10.10
Барическое поле характеризуется многоцентровой депрессией над северо-восточной Атлантикой. На маршруте перехода давление 1016,4 гПа.
Ветер северо-восточных направлений до 5 м\с. Высота волн не более 0.75 м.
Видимость хорошая, 8 миль. Температура +17С⁰. Характеристика барической тенденции указывает, что давление падает. Судно следует по графику.
04.10.10
Барическое поле на маршруте перехода по-прежнему сформировано под влиянием многоцентровой депрессии над северо-восточной Атлантикой.
Атмосферное давление 1001 гПа. Ветер юго-восточных направлений 4-6 м\с.
Волнение не более 1 м. Облачность 2-3 балла. Видимость хорошая 8-10 миль. Температура +24С⁰. Барическая тенденция указывает, что за последние 3 часа давлении сначала росло, а затем имело ровный ход. 05.10.10
Атмосферное давление 1016 гПа. Ветер юго-западный до 5 м\с.
Волнение до 0.75 м. Облачность 6-7 баллов, плотные высококучевые и высокослоистые облака. Видимость плохая до 1 мили. Морось. Влажность 100%. Судно следует по графику движения.
06.10.10
Маршрут перехода находится в области повышенного давления.
Атмосферное давление 1017.5 гПа. Ветер юго-западный 2-3 м\с. Волнение не более 0.5 м. Облачность 2-3 балла. Видимость более 8 миль. Температура +24С⁰. Судно следует по графику.
07.10.10
Погода на маршруте перехода характеризуется прохождением окклюдированного фронта.
Давление перед фронтом и вовремя прохождения падает. После прохождения растет. Ветер усиливается, иногда становится шквалистым. Волнение до 3 метров. Видимость из-за обложных осадков плохая.
Из-за встречного ветра и волнения судно выйдет из графика движения.
08.10.10
Судно следует в погодных условиях, обусловленных холодным фронтом.
Давление 1016 гПа. Ветер встречный – юго-восточный 9-10 м\с. Волнение до 3м. Мощные кучевые облака. Видимость до 4 миль. В зоне дождя до 1 мили.
Температура 21С. Возможны грозы с градом.
09.10.10
Погода в западной части Эгейского моря находиться под влиянием антициклона, расположенного на северо-востоке Европы. Метеорологические условия благоприятны. Атмосферное давление 1021 гПа. Ветер юго-западный до 5м\с. Волнение до 1 м. Облачность 4 балла. Видимость до 8 миль
2.4 Гидрометеорологические наблюдения на судне
Судовые гидрометеорологические наблюдения представляют собой комплекс измерений и наблюдений за состоянием погоды и поверхности моря (океана); они являются существенным дополнением к гидрометеорологической информации, собираемой с наземных метеорологических, аэрологических станций, береговых гидрометеорологических станций и с искусственных спутников Земли.
Результаты судовых наблюдений используют:
- прогностические подразделения отечественных и зарубежных гидрометеорологических служб для составления гидрометеорологических прогнозов разной заблаговременности с целью обеспечения безопасности мореплавания, рыбного промысла в морях и океанах, разведки и эксплуатации нефтяных и газовых месторождений, нормального функционирования портов и других видов работ, проводимых в море, океане и в прибрежной зоне;
- УГМС и ВНИИГМИ-МЦД для создания и ведения банков данных с целью дальнейшего их обобщения и получения режимной (климатической) информации, используемой для составления климатических справочников, атласов, карт, лоций, а также с целью выполнения запросов (заявок) разных ведомств и организаций о гидрометеорологических условиях акваторий морей (океанов). Поступившие для накопления во ВНИИГМИ-МЦД данные судовых гидрометеорологических наблюдений заносятся на технические носители и архивируются в Государственном фонде гидрометеорологической информации в УГМС.
Гидрометеорологические наблюдения могут быть организованы на добровольной основе на всех типах судов, имеющих средства связи и условия, приемлемые для установки приборов, их эксплуатации и обслуживания.
На судах водоизмещением 600 т и более, плавающих в морях и океанах, организуются судовые гидрометеорологические станции (СГМС).
СГМС организуются силами территориальных морских при наличии согласия капитана, штурманского состава и радиооператоров судов производить добровольные попутные гидрометеорологические наблюдения по программе, определенной для каждого судна портовым метеорологом УГМС, и передавать через имеющиеся средства связи результаты наблюдений в береговые отечественные и зарубежные радиоцентры (РЦ).
Наблюдения производятся вахтенным штурманом. В отдельных случаях наблюдения могут быть выполнены по распоряжению капитана другим членом экипажа, однако за своевременное производство наблюдений и их качество отвечает вахтенный штурман.
Ответственным штурманом-наблюдателем является, как правило, третий помощник капитана.
Сроки производства наблюдений
Наблюдения производятся на судах по маршруту их плавания вне пределов акваторий порта 4 раза в сутки по всемирному координированному времени (UТС) (эквивалентно среднему гринвичскому времени СГВ) в сроки наблюдений 00, 06, 12, 18 ч; первое наблюдение (после выхода судна за пределы акватории порта) производится в ближайший к одному из указанных выше сроков, а последнее - в срок, который наиболее близок ко времени прибытия судна в пределы акватории порта назначения. Наблюдения за гидрометеорологическими явлениями производятся с момента их обнаружения и до полного прекращения (исчезновения).
Наблюдения не производятся при сложной навигационной обстановке, при стоянке судов в портах у причала, при прохождении узкостей, при коротких (не более 4 ч) переходах судна из порта в порт.
Состав и порядок производства наблюдений.
В каждый из установленных сроков производятся наблюдения за следующими гидрометеорологическими величинами: облачностью (количеством, формой облаков и высотой их нижней границы), метеорологической дальностью видимости (МДВ), направлением и скоростью ветра, температурой воздуха и поверхностного слоя воды, атмосферным давлением, значением и характеристикой барической тенденции, направлением перемещения зыби, периодом и высотой ветровых волн и зыби, гидрометеорологическими явлениями, обледенением судна и морскими льдами.
Наблюдения начинаются за 30 мин до срока наблюдений в соответствии с рекомендуемым порядком. Непосредственно в срок наблюдений должны быть измерены атмосферное давление, значение барической тенденции и определена ее характеристика.
Объем гидрометеорологических наблюдений и порядок их выполнения на судне определяются Наставлением гидрометеорологическим станциям и постам, вып. 9, часть III "Гидрометеорологические наблюдения, производимые штурманским составом на морских судах".
Допускается сдвиг производства наблюдений от начала срока на более раннее время, но не более чем на 30 мин, в случаях привлечения вахтенного штурмана на подвахты (сразу же после вахты) и если часы радиовахты не позволяют передавать радиограмму в течение 20 мин после срока наблюдений.
При резких ухудшениях погодных условий между сроками наблюдений, приводящих к возникновению стихийных гидрометеорологических явлений - СГЯ (при достижении критических значений скорости ветра, высот волн, МДВ, скорости обледенения судна, а также при сжатии судна во льдах, появлении шквалов, смерчей, стоячих волн), производятся дополнительные наблюдения за этими явлениями в соответствии с требованиями, а также по указанию УГМС.
Рекомендуется наблюдения за облаками, МДВ, гидрометеорологическими явлениями, волнением, ветром и морскими льдами производить с пеленгаторной палубы; температуру воздуха измерять с левого или правого (наветренного) борта ходового мостика; температуру поверхностного слоя воды измерять с наиболее низкой части открытой палубы наветренного борта, атмосферное давление и его характеристики - в штурманской рубке.
Если на судне установлены дистанционные метеорологические приборы или судовая автоматическая гидрометеорологическая станция (САГМС), производство наблюдений осуществляется из штурманской рубки за теми гидрометеорологическими величинами, которые входят в программу измерений дистанционных приборов или САГМС.
Перечень основных метеорологических элементов и наименование приборов, с помощью которых они измеряются
| Измеряемый элемент |
Приборы, применяемые для измерения (регистрации) |
| Температура воздуха и воды |
Термометры различных типов термографы, психрометры |
| Влажность воздуха |
Психрометры, гигрометры, гигрографы |
| Атмосферное давление |
Барометры, барографы |
| Скорость и направление ветра |
Анеморумбометры, анемометры, флюгер, анеморумбографы |
| Количество и интенсивность атмосферных осадков |
Осадкомеры, плювиографы |
| Дальность видимости |
Измерители и регистраторы метеорологической дальности видимости |
| Количество и форма облаков |
Визуально, аппаратура метеорологических спутников, радиолокаторы |
| Высота нижней границы облаков |
Измерители и регистраторы высоты облаков, шары-пилоты |
| Туман |
Визуально |
| Грозы |
Грозорегистраторы, грозопеленгаторы |
Производство наблюдений за СГЯ на судне.
Наблюдения за СГЯ включают:
- определение вида СГЯ в соответствии с перечнем, представленным в 6.11.1 и дополнительными указаниями УГМС;
- измерение значения и оценку интенсивности СГЯ (если интенсивность является одной из характеристик, описывающих это явление);
- определение времени начала, усиления и окончания СГЯ. Практически за всеми СГЯ, перечисленными в 6.11.1, на СГМС производятся наблюдения по конкретным методикам выполнения измерений (МВИ), представленными в настоящем Наставлении.
Поэтому при обнаружении СГЯ (в дополнение к требованиям МВИ) необходимо:
- зафиксировать время и место (координаты) обнаружения СГЯ;
- установить непрерывное и тщательное наблюдение за его развитием;
- обеспечить бесперебойную работу всех средств измерений, по которым в результате измерений оценивается интенсивность СГЯ или определяется наличие явления;
- сфотографировать редко встречающиеся явления (если есть такая возможность) или зарисовать и подробно описать;
- при наличии экономического ущерба (при потере шлюпок, приборов, разрушений палуб судна, береговых построек) необходимо описать причиненный ущерб.
При обнаружении СГЯ необходимо информацию о нем включить в радиограмму и сразу же под индексом ШТОРМ передать в Гидрометцентр России, а также в адреса, представленные судовладельцем.
При составлении радиограммы о СГЯ необходимо руководствоваться следующими положениями действующего кода KH-01c:
- радиограмма составляется открытым текстом, четко и полно, без сокращений и лишних слов;
- в радиограмме сообщается время начала явления по UTC;
координаты судна во время обнаружения СГЯ; название явления и его интенсивность; информация о сопутствующих СГЯ гидрометеорологических величинах (направление и скорость истинного ветра, состояние моря, при обледенении - температура воздуха и воды и т. д.).
По окончании СГЯ сделать подробное его описание в таблице „Дополнительные сведения о СГЯ" журнала КГМ-15.
Примеры - Радиограммы с индексом ШТОРМ
1. ШТОРМ UMAY 1300 1832 СШ 13940 ВД ВЕТЕР ВОСТОЧНЫЙ МАКСИМАЛЬНАЯ 35 М/С ДАВЛЕНИЕ 998 ГПА ТЕНДЕНЦИЯ РОСТ 1,2 ГПА.
2. ШТОРМ UMAY 0030 1602 СШ 14500 ВД ТУМАН ВИДИМОСТЬ 50 М.
3. ШТОРМ UMAY 1015 4905 СШ 15000 ВД СКОРОСТЬ ОБЛЕДЕНЕНИЯ 1 СМ/Ч МОРОСЬ МОРСКИЕ БРЫЗГИ ТЕМПЕРАТУРА ВОЗДУХА 2 НИЖЕ НУЛЯ ВОДЫ 2 НИЖЕ НУЛЯ ВЕТЕР СЕВЕРО-ВОСТОЧНЫЙ 15 М/С.
Барограф - прибор, ведущий непрерывную запись атмосферного давления на специальной бумажной ленте - барограмме (рис. 110). Он удобен тем, что позволяет судить oб изменении атмосферного давления во времени, или, как говорят, о барометрической (барической) тенденции. Барабан, на который надевается барограмма, имеет часовой механизм с заводом, при котором лента совершает полный оборот в течение недели. Барограмма имеет сетку, на которой нанесены по горизонтали временные интервалы - часы и сутки, а по вертикали - давление в миллибарах.
Меняют ленту раз в неделю. При этом на обороте новой барограммы необходимо записывать дату, время начала записи (с точностью до минуты) и координаты яхты. Начало записи должно точно соответствовать моменту записи по судовым часам. В это же время заводят часовой механизм барографа. Держать барограф можно на отдельной полочке или прямо на штурманском столе. В обоих случаях прибор нужно страховать от падения при крене или на волнении. Ставить барограф следует на амортизирующую прокладку (поролон или губчатую резину).
Барометрическую тенденцию определяют по характеру кривой на барограмме, как правило, за последние три часа
Кривая выпуклостью вверх: при падении давления - значительное ухудшение погоды, при повышении - к улучшению погоды. Кривая выпуклостью вниз: при падении давления - ослабление ветра, некоторое улучшение погоды; при повышении - может усилиться ветер.
В суточном ходе атмосферного давления имеется два максимума - около 10 и 22 часов и два минимума - около 4 и 16 часов.
Показания барометра обычно записывают в судовой журнал при смене вахт, а при неустойчивой погоде - не реже чем через 2 часа. В последнем случае давление надо наблюдать чаще и при резком изменении его падения запись делается сразу же.
На справочных или синоптических картах точки с одинаковым атмосферным давлением соединены сплошными линиями - изобарами. Все нанесенные на карту изобары составляют барическое поле данного района. Отдельные участки барического поля, отличающиеся своей конфигурацией и типичной разностью давлений, называют барическими системами - областями с замкнутыми или незамкнутыми изобарами, с повышенным или пониженным атмосферным давлением.
Различают две замкнутые (основные) барические системы:
циклон (барический минимум) - область, ограниченная концентрически замкнутыми изобарами, давление в которой понижается от периферии к центру, где наблюдается самое низкое давление (в умеренных широтах - 990-1005 мбар);
антициклон (барический максимум) - область, также ограниченная изобарами, но отличающаяся от циклона тем, что высокое атмосферное давление в центре антициклона уменьшается к его периферии.
Незамкнутые изобары складываются в три барические системы:
ложбина - область низкого давления, отходящая от циклона;
гребень - область высокого давления, отходящая от антициклона;
седловина - барическая система, расположенная крестообразно между соседними двумя циклонами и двумя антициклонами
Наблюдения за ветром и волнением
Визуальные наблюдения за волнением. Для определения высоты волны целесообразно пользоваться следующим проверенным многолетней практикой приемом (см. Наставление гидрометеорологическим станциям и постам, вып. 9, ч. 3.- Л.: Гидрометеоиздат, 1971): при сильном волнении (отдельные крупные гребни проектируются на линии горизонта) наблюдателю следует по возможности расположиться на такой высоте, с которой, находясь в ложбине, он видит гребни на одной линии с горизонтом. В этом случае высота волны будет равна высоте глаза наблюдателя над ватерлинией.
Сопоставление синхронных визуальных наблюдений за волнением с инструментальными измерениями с помощью волнографов позволило определить достоверность наблюдений, выполняемых с различных судов. Естественно, что с судов различного размера неодинаково оценивают одно и то же волнение. При наблюдениях с малых судов, яхт, катеров и т п. моряки, как правило верно определяют волнение высотой до 4-5 м.
Более сильное волнение обычно завышается, и это не удивительно, так как на малом судне наблюдатель находится на высоте от 2 до 4 м над уровнем моря.
Период волны следует определять по колебаниям на волнах какого-либо предмета, пятна пены или птицы (если за гребнями волн этот предмет не скрывается) или по колебаниям самой яхты, лежащей в дрейфе. Когда предмет или яхта находятся на гребне волны, включают секундомер. После того как пройдет 11-й гребень последовательно идущих волн, секундомер выключают и зафиксированное значение времени делят на 10. Полученное число будет соответствовать среднему периоду волны.
Измерения ветра. На метеостанциях в соответствии с действующими наставлениями значения скорости ветра усредняются за 10 минут. Однако на некоторых судах скорость ветра измеряется ручным анемометром в течение 1 минуты или 100 секунд. При визуальном определении силы ветра по состоянию поверхности моря (в баллах шкалы Бофорта) оценивается ветер на некоторой достаточно большой площади, при этом время осреднения составляет от одной до нескольких минут. В некоторых зарубежных бюллетенях и справочниках приводятся данные по скоростям ветра, осредненным за 1 час.
Результаты статистической обработки данных измерений скоростей ветра в различных районах Мирового океана показали, что чем меньше время осреднения ветра, тем больше значение его скорости. Так, по данным Межправительственной морской консультативной организации (ИМКО) отношение скорости ветра, осредненной за 1 минуту и скорости ветра, осредненной за 10 минут, к скорости ветра осредненной за 1 час, равно соответственно 1,18 и 1,06.
Измерения ветра производятся на высоте 10 м над поверхностью суши независимо от высоты расположения метеостанции над уровнем моря. На судах измерения обычно производятся на высоте мостика или на высоте топа мачты, следовательно, в зависимости от типа и размеров судна на высотах от 2 до 40 м. Соотношение между скоростями ветра, измеренными на разных высотах (так называемый профиль ветра), зависит от абсолютной скорости ветра и стратификации атмосферы, которая в свою очередь может быть определена по разности между температурой поверхности воды и температурой воздуха над ней. Данные рис. 63 позволяют перейти от скорости ветра, измеренного на высоте z, к скорости ветра на стандартной высоте 10 м или на любой другой высоте.
Например, ветер на высоте 25 м будет в 1,08-1,12 раза больше, чем на высоте 10 м. В некоторых работах имеются подробные таблицы, по которым можно более точно (с учетом стратификации атмосферы) перевести ветер, измеренный на некоторой высоте, к другой высоте. Кривые на рис. 63 построены для нейтральной стратификации атмосферы; при неустойчивой (температура воды выше температуры воздуха) и устойчивой (температура воды ниже температуры воздуха) стратификации зависимость v_z / v_10 от z ненамного отличается от зависимости, показанной на рис. 1.

Рис. 1 - Зависимость отношения скорости ветра, измеренной на высоте z, к скорости ветра, измеренной на стандартной высоте 10 м, от высоты измерения: 1 - штормовой ветер (более 40 узлов), 2 - слабый и умеренный ветер (менее 15 узлов)
Как правило, скорость ветра, измеренная над сушей (v_c), меньше скорости ветра, измеренной в море (v_m). Различия объясняются неодинаковым коэффициентом шероховатости над сушей и над морем и другими причинами. Только в последние годы были выполнены специализированные синхронные измерения ветра на суше и на море (с судов, автономных буев и буровых платформ), которые позволили обосновать переход от v_c к v_m. Отношение v_м к v_с изменяется от 1,1 до 1,7, а для слабых ветров - до 2,0 и более. Для ориентировочных расчетов можно пользоваться данными рис. 64. Из рисунка видно, что отношение v_м к v_c тем больше, чем меньше скорость ветра. При скоростях ветра 20 узлов и более оно не превышает 1,1.
Данных по соотношению между ветром на море и на суше в зависимости от направления гораздо меньше. Однако можно считать, что наибольшие различия наблюдаются при ветре вдоль берега - отношение v_м к v_c в среднем достигает 1,7, при ветре с моря или с суши это отношение, как правило, не превышает 1,6 и в среднем равно 1,3.
При сопоставлении синхронных наблюдений на суше и на море следует иметь в виду, что в некоторых случаях возможны отклонения от приведенных соотношений и даже их противоположный ход - ветер над сушей больше, чем в море. Такие расхождения могут быть связаны с прохождением фронтов или с бризовыми эффектами. Наиболее четко бризы проявляются при отсутствии сильных ветров. При бризах различие между ветром на море и на суше ночью несколько больше, чем днем (рис. 2).

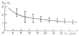
Рис. 2 - Соотношение между скоростью ветра, измеренной на береговой станции (v_c), и скоростью ветра, измеренной в море (v_м)
Отрезками прямых показаны значения среднего квадратического отклонения данных наблюдений.
Скорость ветра на картах погоды (в соответствии с международным синоптическим кодом КН-01) указывается стрелкой, идущей к центру кружка (кружком обозначается место проведения наблюдений) по направлению ветра. Скорость ветра представляется в виде оперения, наносимого у конца стрелки ветра. Одно большое перо на стрелке соответствует скорости ветра 10 узлов малое - 5 узлов, треугольник - 50 узлов. Если данные о скорости ветра отсутствуют, на конце стрелки ветра вместо оперения наносят крестик. Если данные о направлении ветра отсутствуют, ветер не наносят. При штиле кружок станции обводят другим кружком.
Приземные синоптические карты делятся на карты фактической погоды и прогностические карты. Приземная синоптическая карта фактической погоды является главной при составлении прогноза погоды.
Название "приземная" не означает, что эта карта отражает только свойства атмосферы у поверхности земли, а указывает, что данные, нанесенные на карту, получены путём наблюдений на "наземных" метеорологических станциях.
а) Приземные карты фактической погоды (анализ приземный)
Приземные карты фактической погоды передастся за основные сроки наблюдений: за 3,9,15 и 21 час московского времени или за 0,6,12 и 18 часов гринвичского времени. На этой карте показывается большой комплекс метеорологические элементов в соответствии с международным кодом КН-01, поэтому приземные карты фактической погоды часто называют комплексными картами погоды.
При чтении приземной синоптической карты фактической погоды необходимо иметь в виду, что значения метеорологических элементов и явлений наносятся цифрами или символами (значками) в строго определенном месте относительно центра, за который принимается место пункта наблюдения.
dd - направление ветра у поверхности Земли в десятках градусов по шкале 00-36, изображается стрелкой, идущей к центру кружка по направлению ветра;
ff - скорость ветра в метрах в секунду, изображается в виде оперения у конца стрелки направления ветра под углом к ней примерно 120 градусов и черного треугольника;
dd - направление ветра у поверхности Земли в десятках градусов по шкале 00-36, изображается стрелкой, идущей к центру кружка по направлению ветра;
ff - скорость ветра в метрах в секунду, изображается в виде оперения у конца стрелки направления ветра под углом к ней примерно 120 градусов и черного треугольника;
Направление ветра наносится стрелкой, направленной к центру станции.
Скорость ветра обозначается кругом с перьями на этих рисунках слева направо:
ОПРЕДЕЛЕНИЕ СКОРОСТИ ВЕТРА ПО КАРТЕ ПРИЗЕМНОГО БАРИЧЕСКОГО ПОЛЯ
Скорость ветра над морем может быть рассчитана по формуле для скорости геострофического ветра(1): (1) Ветер, направленный вдоль прямолинейных изобар выше уровня трения, называется геострофическим.
![]()
где wо - угловая скорость вращения Земли, р - плотность воздуха, cp - географическая широта и (dp/dn)- горизонтальный барический градиент. Введем числовые значения со = 7,29-10-5 с-1 в миллибарах на градус и р = 1,276*10-3 г/см3, тогда, взяв широты, получим скорость геострофического ветра в метрах в секунду.

Однако практика показала, что удобнее и быстрее скорость геострофического ветра определять с помощью градиентной линейки (рис. 3).

Рис. 3 - Градиентная линейка. Расстояние между изобарами, градусы меридиана
Для этого необходимо выполнить следующие операции:
а) определить барический градиент (dp/dn) измеряя расстояние между соседними изобарами (по нормали к ним) в искомой точке, и выразить его в градусах меридиана;
б) полученное таким образом значение барического градиента находим на оси абсцисс градиентной линейки;
в) из найденной точки восстанавливаем перпендикуляр до пересечения с наклонной линией соответствующей широты места, для которого мы хотим определить скорость геострофического ветра; промежуточные значения широты находим путем интерполяции;
г) из точки пересечения проводим прямую линию, параллельную оси абсцисс, до пересечения с осью ординат, на которой снимаем искомое значение скорости геострофического ветра.
Полученная скорость геострофического ветра будет больше скорости ветра, дующего вблизи поверхности моря (на высоте 10 м). Поэтому для перехода к последнему необходимо полученную скорость геострофического ветра умножить на коэффициент, учитывающий стратификацию приводного слоя атмосферы.
Геострофический ветер - это теоретический ветер, который является результатом полного баланса между силой Кориолиса и барическим градиентом. Такие условия называются геострофическим балансом. Геострофический ветер направлен параллельно изобарам (линиям постоянного атмосферного давления на определённой высоте). В природе такой баланс встречается редко. Реальный ветер почти всегда отклоняется от геострофического за счёт действия других сил (трение о поверхность Земли, центробежная сила). Таким образом реальный ветер будет равен геострофическому если отсутствует трение и изобары являются идеальными прямыми. Несмотря на практическую недостижимость таких условий, рассмотрение ветра как геострофического является хорошим первым приближением для атмосферы вне тропической зоны.
Геострофический баланс в Северном полушарии. Окружностями показаны изобары. Н - область низкого давления, В - область высокого давления
Происхождение
Воздух движется из областей с высоким давлением в область с низким давлением благодаря существованию барического градиента. Однако как только воздух приходит в движение, начинает действовать и сила Кориолиса, которая отклоняет поток вправо в Северном полушарии и влево в Южном полушарии. С увеличением скорости ветра увеличивается и отклонение под влиянием силы Кориолиса. Отклонение увеличивается до тех пор пока сила Кориолиса и сила барического градиента не сбалансируют друг друга, в результате чего ветер движется уже не от области высокого давления в область низкого давления, а вдоль изобары, линии равного давления. Геострофическим балансом объясняется почему системы низкого давления (в частности циклоны) вращаются против часовой стрелки а системы высокого давления (в частности антициклоны) по часовой стрелке в Северном полушарии (и наоборот в Южном полушарии).
Геострофические течения
Многие течения в океане тоже геострофические. Как и многочисленные измерения метеозондов, собирающих информацию об атмосферном давлении на разных высотах в атмосфере, используются для того чтобы определить поле атмосферного давления и вывести геострофический ветер, измерения плотности по глубине в океане используются для вывода геострофических течений. Спутниковые альтиметры также используются для измерения аномали высоты морской поверхности, которая позволяет вести расчёт геострофических течений на поверхности. Геострофическое течение в воде или в воздухе - это внутренняя волна нулевой частоты.
Ограничения геострофического приближения
Эффект трения между воздухом и земной поверхностью нарушает геострофический баланс. Трение замедляет поток, уменьшая эффект от силы Кориолиса. В результате сила барического градиента имеет больший эффект, и воздух всё-таки движется от высокого атмосферного давления к низкому атмосферному давлению, хоть и с большим отклонением. Это объясняет почему ветра в системах высокого давления (антициклонах) расходятся от центра системы, тогда как ветра в системах низкого давления (циклонах) спирально закручиваются к центру системы.
При расчёте геострофического ветра пренебрегают силой трения, что обычно является хорошим допущением для мгновенного потока в средней тропосфере умеренных широт. Но несмотря на то, что агеострофические члены относительно малы, они вносят значительный вклад в развитие потоков и в частности играют большую роль в усилении и ослаблении ураганов.
Как и ожидалось погода в этот период времени является переходной от сезона до сезона. Благоприятная погода чередовалась штормовой.
Маршрут, проложенный вдоль берегов в Ионическом море опровдал отклонение от пересечения Ионического моря по прямой линии.
Поэтому можно сказать, что выбранный нами путь является в данное время года выгодным как с точки зрения экономической эффективности, так и метеорологического обеспечения безопасности плавания.
Заключение
Гидрометеорологическое обеспечение перехода судна играет важную роль в безопасности плавания. Непрерывное наблюдение за погодными условиями, а также анализ, поступающей на судно гидрометеоинформации это залог успеха морского перехода.
На примере данной курсовой работы видно, что гидрометеорологическое обеспечение мореплавания состоит в обеспечении судоводителей всеми видами справочных и расчетных климатических гидрометеопособий, в передаче для них по радио метеорологических бюллетеней и факсимильных карт (фактических и прогностических) погоды и состояния моря, а также наблюдении погодных явлений непосредственно на судне самими судоводителями.
Важнейшую роль в обеспечении безопасности на море исполняют штормовые извещения и бюллетени. Благодаря им, судоводитель заранее может ввести коррективы в план перехода, обеспечив тем самым безопасность судна.
На практике видно, что эффективность метеопрогнозов составляет 80%. Чем долгосрочный прогноз, тем менее он точен. Наиболее точными прогнозами являются суточные.
Список использованной литературы
1. Гордиенко А.И., Дремлюг В.В. Гидрометеорологическое обеспечение судовождения. – М; Транспорт. 1986.
2. Стехновский Д.И., Зубков А.Е. Навигационная гидрометеорология. - М.; Транспорт. 1977.
3. Океанские пути мира. М.; Транспорт. 1980.
4. Admiralty list of radio signals vol. 3 (1).
5. Бурханов М.В. Справочная книжка штурмана. Транспорт 1986.
6. Admiral Distance Tables, Atlantic Ocean – North Atlantic Ocean, South Atlantic Ocean, North-West Europe, Mediterranean.
7. Admiralty List of Radio Signals. Volume 5. Global Marine Distress Safety System.
8. Admiralty List of Radio Signals. Volume 3. Part 1. Maritime Safety Information Services: Europe, Africa and Asia.
9. Admiralty List of Radio Signals. Volume 1. Part 1. Coast Radiostation: Europe, Africa and Asia (excluding Far East).
Похожие рефераты:
Запуск теплоходного судна "Cтолетов"
Навигационный проект перехода Малага - Неаполь т/х "Пархоменко"
Навигационный проект перехода судна типа "Десна" по маршруту порт Керчь – порт Кальяри
Экологическое состояние морей России
Навигационный проект перехода судна типа "Сормовский" по маршруту "Евпатория – Алжир"
Навигационный проект перехода судна типа "Сормовский" по маршруту порт Ялта – порт Неаполь
Навигационный проект перехода судна типа "Сормовский" по маршруту порт Ялта – порт Бриндизи
Навигационный проект перехода судна типа УПС "Святая Ольга", по маршруту порт Туапсе – порт Дуресс
Разработка перехода между портами Фамагуста - Мессина
Навигационный проект перехода Окха - Латакия
Навигационное планирование перехода Алжир - Сплит
Проектирование гидрографических исследований восточной части острова Крит