| Похожие рефераты | Скачать .zip |
Реферат: Сущность и классификация прогнозов
СОДЕРЖАНИЕ
1. Введение: ст.1-2.
Сущность и классификация прогнозов: ст.3 – 5.
Методические основы прогнозирования: ст.5-10.
Организация прогнозирования: ст.10-13.
Введение:
Человека всегда интересовали события и время, следующие за настоящим. Собственно, любой вид знания рассматривался как основа для правильного понимания будущего. Обычно будущее мыслится людьми как естественное продолжение настоящего, но с учётом субъективного опыта каждого: для одного оно может быть лучше, а для другого – хуже настоящего. Иногда в образе будущего проявляется идеализация существующего положения вещей: оно воспринимается как настоящее с исправленными недостатками. Такого рода неточности предвидения связаны с особенностями человеческой психики и мышления. Однако действительное будущее может существенно отличатся от привычного о нём представления человека.
И это отличие, как правило, бывает связано с качественными преобразованиями явлений. Могло ли например население СССР в 80-х годах предпологать, в каком обществе ему придётся жить уже через 10 лет?
Как же избежать неточностей при формировании образа будущего? Как показать опыт, только поняв законы развития и овладев знанием методологии научного предвидения. Понимание будущего, основанное на закономерностях развития природы, общества и мышления, связано с прогнозированием.
Объективность в формировании образа будущего зависит от знания этих закономерностей и правильного их использования. Так, прогнозируя будущее, можно уменьшить неточности при его определении, но полностью избавиться от них почти невозможно. Во – первых нельзя считать достаточным уровень развития знаний о законах природы, общества и мышления. Во – вторых, в восприятии законов слишком велика роль субъективизма. В – третьих один человек не имеет возможности охватить массу разнообразной информации.
Неточное формирование образа будущего обычно ведёт к утопии, для которой характерно представление о желаемом будующем, а не об объективно достижимом.
Представление о будующем называется предвидением. Научное предвидение – это опережающее отображение действительности, основанное на познании законов природы, общества и мышления. Научное предвидение может иметь форму: предсказания, которому присущ описательный характер, или форму предуказания, когда указываются необходимые действия для достижения цели.
Формой предсказания является прогноз, т.е. научное исследование, направленное на определение перспиктивы развития явления.
Прогнозируются те явления, на которые человек не может оказать влияние или оно бывает слабым. Например, разрабатываются прогнозы погоды, урожая, моды, спроса на товары, рождаемости смертности. Понятно, что эти явления невозможно предсказать с высокой точностью, а тем более запланировать.
Предуказание, в отличие от предсказания, связано с решением проблемы. Здесь обязательно присутствует волевое решение человека (группы людей) по достижению намеченной цели. Предуказание может быть в форме планирования, програмирования или проектирования. В экономической жизни чаще применяются первые две формы.
В
ниже приведённом
рисунке представлена
структура
экономического
предвидения.
Структура экономического предвидения
Планирование – это проекция в будущее для достижения поставленной цели при определённых условиях и возможностях.
Программирование – это установление основных положений, которые в дальнейшем могут быть конкретизированны в виде планов.
Прогноз и план как производные экономического предвидения имеют в своей природе много общего, хотя план рассматривается как более сложная категория. Отметим три особенности прогноза и плана.
Прогноз связан с объективным течением жизни и исходит из её диалектического понимания, когда необходимость пробивает себе дорогу среди случайностей; план же включает решение, волю и ответственность лиц, его принявших, с целью преобразования действительности.
Для прогноза характерно вероятностное наступление события; план рассматривает это событие как цель деятельности.
Для прогноза характерны альтернативные пути и сроки достижения события; для плана характерно решение о системе, сроки и средства достижения нужного события.
Т![]()
аким
образом, прогноз
и план, имея
много общего,
имеют и различия.
Последние
заключаются,
во – первых,
способе оперирования
информацией
о будущем: прогноз-
это вероятность,
план – это решение;
во- вторых, в
количественной
оценке будущего:
прогноз – это
диапазон(интервал)
значения, план
– конкретная
величина;
в – третьих, в
отношении к
свободе: прогноз
– это необязательность
действий, план
– обязательность
исполнения.
В ниже приведённых
главах я пытался
дать детальную
характеристику,
сущности, видам
и классификации
прогнозов.
- СУЩНОСТЬ И КЛАССИФИКАЦИЯ ПРОГНОЗОВ
Научное познание и использование законов развития общества тесно связано с прогнозами. Прогноз в переводе с греческого означает «вперёд, узнавание».
Прогноз – это научно обоснованное суждение о возможных состояниях объекта в будущем, альтернативных путях и сроках их осуществления.
Чтобы дать общую характеристику прогноза, рассмотрим его основные особенности.
Прогноз является следствием действительности как единого целого, а будущее, отражённое в прогнозе, - это результат сложного комплекса причин и условий. В прогнозе отражаются реальные условия и противоречия, обуславливающие изменение прогнозируемого явления. Прогноз – это итог выводов, эмпирических данных и обоснованных предположений; представляет аргументированное заключение о направлениях развития в будущем.
Вероятность возникновения будущего как следствия реальных событий имеет элемент случайности. Случайность рассматривается как внутренняя закономерность явлений. Поэтому прогноз должен иметь оценку степени вероятности наступления события.
Прогноз, обладающий потенциалом будущего, испытывает влияние различных признаков действительности или моделирует эти признаки. При отсутствии изученных закономерностей развития для прогноза используется гипотеза о закономерностях.
Для составления прогноза необходимы научные исследования количественного и качественного характера, исключая количественную оценку на будущее.
Прогноз является ориентиром для планирования; обуславливает исследовательскую основу для подготовки плана.
Прогноз носит вариантный характер и является многовариантным.
Временные и пространственные горизонты прогноза зависят от сущности рассматриваемого явления; он удобен как итеративный, т.е. повторяющийся и непрерывный процесс.
При разработке прогноза не ставятся конкретные задачи и исключаются детализация.
Точность прогноза проверяется временем.
- При разработке прогноза от специалиста требуется соблюдение объективности и научная добросовестность и не допускается субъективизм в оценке прошлого, настоящего и будущего.
Исследованием закономерностей разработки прогнозов занимается научная дисциплина прогностика. Процесс разработки прогноза называется прогнозированием.
Приступая к изучению экономических прогнозов, надо помнить, что экономику следует рассматривать как стоимостное следствие жизнедеятельности общества, а объяснения тех или иных показателей и явлений, связанных с деятельностью общества, дают такие науки, как психология, социология, политика, технология и др.
Поэтому экономические прогнозы, например прогноз спроса на отдельный товар, тесно связаны с иными прогнозами, в частности, демографическими, социально-медицинскими, потребительскими, учёт которых, безусловно, повышает надёжность экономического прогноза.
Таким образом, экономическое прогнозирование следует рассматривать как систему научных исследований количественного и качественного характера, направленных на выяснение тенденций развития экономических отношений и поиск оптимальных решений по достижению целей этого развития.
Экономическое прогнозирование имеет больше общего с природой плана, чем с прогнозом вообще. Экономический прогноз не просто интерпретирует закономерности и внешние условия развития, а используется для поиска нужных решений. Он может рассматриваться как начальная стадия планирования, определяющая выбор путей достижение целей этого плана.
Соответственно, экономический прогноз – это итог экономического прогнозирования. Хотя он и носит вероятностный характер, но всё же обладает определённой степенью достоверности.
На практике экономический прогноз – это документ, фиксирующий возможную степень достижения тех или иных целей субъекта хозяйствования в зависимости от способа будущих действий.
В дополнение к ранее указанным общим характеристикам прогноза, отметим, что экономический прогноз позволяет;
оценить состояние и осуществить поиск возможных вариантов управленческих решений;
определить очертания области и возможности для изменения будущих событий;
выявить проблемы, слабо выраженные в настоящем, но возможные в будущем;
осуществить поиск вариантов активного воздействия на объективные факторы будущего;
моделировать варианты событий при учёте ведущих факторов.
Назначение экономического прогноза выражается в его функциях. К основным функциям экономического прогноза относят:
анализ социально-экономических и научно-технических процессов и тенденций, объективных причинно-следственных связей этих явлений в конкретных условиях, в том числе оценку сложившейся ситуации и выявление проблемм хозяйственного развития;
оценку этих тенденций в будущем; предвидение новых экономических условий и проблем, требующих разрешения;
выявление альтернативы развития в перспективе; накопление экономической информации и расчётов для обоснования выбора и принятия оптимального управленческого решения, в том числе в плане.
Экономический прогноз представляет собой средство достижения поставленных целей хозяйствования в рамках экономических отношений. Он не является самоцелью, а служит задачам достижения эффективного хозяйствования, которое осуществляется по законам рыночной экономики.
Экономические законы изучаются теорией, названной «экономикс». Поэтому по отношению к экономической теории экономическое прогнозирование носит вспомогательный характер.
В прогнозировании выделяют понятия «объект» и «прогнозный фон». К объекту прогнозирования относятся процессы, явления и события, на которые направлена познавательная и практическая деятельность человека.
Прогнозным фоном называется совокупность внешних по отношению к объекту условий, существенных для обоснованности прогноза.
Сложилась определённая классификация экономических прогнозов, т.е. система их деления на классы согласно определённым признакам (критериям). Типовая классификация экономических прогнозов предусматривает их деление с учётом следующих критериев:
- В соответствии с проблемно-целевым критерием различают прогнозы: поисковый и нормативный. Этот критерий даёт ответ на вопрос: «Для чего разрабатывается прогноз?»
Поисковый прогноз (или: исследовательский, трендовый, генетический) – это прогноз определения возможных состояний явления в будущем. Он отвечает на вопрос: что вероятнее всего произойдёт при условии сохранения действующих тенденций. Примерами такого прогноза являются прогнозы урожайности сельскохозяйственных культур числа браков или разводов в обществе.
Основным методом прогнозирования является экстраполяция. Нормативный прогноз (или: програмный, целевой)выполняется с целью определения путей и сроков достижения возможных состояний объекта прогнозирования в будущем, принимаемых в качестве цели. Например, составляется прогноз динамики потребления мясопродуктов населением региона при имеющихся физиологических нормах потребления. Основным методом прогнозирования является интерполяция.
По критерию природы объекта выделяют прогнозы социальные ( в том числе демографические); ресурсные (природные, материальные, трудовые, финансовые); научно-технические (перспективы развития науки и техники и влияния этих достижений на экономику); общественных и личных потребностей ( спрос, потребление отдельных товаров, потребности в объектах образования, здравоохранения, правопорядка, культуры и др.)
- По критерию времени выделяют прогнозы: оперативные, краткосрочные, среднесрочные, долгосрочные, дальнесрочные.
Оперативный прогноз составляется на период до 1 месяца; краткосрочный – от 2 месяцев до 1 года; среднесрочный – от 1 года до 5 лет; долгосрочный – от 5 до 15 лет; дальнесрочный – на период свыше 15 лет.
По критерию сложности различают прогнозы: сверхпростой, простой, сложный, сверхсложный. Эти прогнозы различаются наличием взаимосвязанных переменных в их описании: в сверхпростом прогнозе отсутствуют существенные взаимосвязи, в сверхсложном прогнозе – взаимосвязи тесные (с коэффициентом корреляции близким к 1).
По степени детерминированности объекта прогнозы могут быть: детерминированными, т.е. без существенных потерь информации в описании условий, стахостическими, в которых требуется учёт случайных величин, смешанными, включающими характеристики двух вышеуказанных прогнозов.
По критерию характера развития объекта во времени различаются прогнозы: дискретные, для которых характерен трен со скачкообразными изменениями в фиксированные периоды времени, апериодические, для которых характерна периодическая функция времени.
По критерию количественной оценки различаются прогнозы: интервальные, точечные. Интервальный прогноз представлен результатом в виде доверительного интервала. Точечный прогноз представлен результатом в виде единственного значения характеристики объекта в будущем.
По критерию масштабности объекта различают прогнозы: сублокальные, локальные, суперлокальные (субглобальные), глобальные.
Понятно, что для отдельной фирмы или объединения предприятий речь, как правило, может идти о первых трёх видах, а для региона или страны ( нескольких стран) более характерны три последних вида прогноза.
- МЕТОДИЧЕСКИЕ ОСНОВЫ ПРОГНОЗИРОВАНИЯ.
Для изучения любой науки необходимо знать её методологию. Методология научного экономического предвидения включает совокупность принципов, методов и показателей, применяемых в процессе прогнозирования и планирования.
Принцип прогнозирования характеризует основное исходное положение или идею теории. К основным принципам прогнозирования относятся: системность, согласованность, вариантность, непрерывность, верифицируемость, т.е. определение достоверности, и эффективность.
Системность в прогнозировании означает требование взаимосвязанности и соподчинённости объекта, фона и элементов прогнозирования. Согласованность в прогнозировании означает необходимость согласования поисковых и нормативных прогнозов различной природы (признаков) и различного срока упреждения времени.
Вариантность в прогнозировании означает требование разработки вариантов прогнозов, исходя из вариантов прогнозного фона. Принцип непрерывности заставляет производить корректировку прогноза по мере поступления новой информации об объекте прогнозирования. Верифицируемость означает потребность в достоверности, точности и обоснованности прогноза. Эффективность (или рентабельность) прогнозирования определяет необходимость превышения экономического эффекта от использования прогноза над затратами по его разработке.
Основные исходные положения теории прогнозирования не исчерпываются указанными принципами. Определённые требования предъявляются и к разработке отдельных элементов прогноза. Так, один из элементов прогнозирования – анализ – должен проводиться с учётом таких принципов, как природная специфичность, оптимизация описания объекта прогнозирования, аналогичность и др.
В прогнозировании большое значение имеет выбранный метод, а также приём. Приём прогнозирования – это одна или несколько математических или логических операций, направленных на получение конкретного результата при прогнозировании. В качестве примеров таких приёмов можно назвать сглаживание или выравнивание динамического ряда, расчёт средневзвешанного значения величин.
Метод прогнозирования – это способ исследования объекта прогнозирования, направленный на разработку прогноза. Совокупность специальных правил, приёмов и методов составляет методику прогнозирования.
К наиболее распространенным методам прогнозирования относятся: экстраполяция, нормативные расчёты, в том числе интерполяция, экспертные оценки, аналогия, математическое моделирование.
Экстраполяция – это метод, при котором прогнозируемые показатели рассчитываются как продолжение динамического рода на будущее по выявленной закономерности развития. По сути экстраполяция является переносом закономерностей и тенденций прошлого на будущее на основе взаимосвязей показателей одного ряда.
Метод позволяет найти уровень ряда за его пределами, в будущем. Экстраполяция эффективна для краткосрочных прогнозов, если данные динамического ряда выражены ярко и устойчиво.
Рассмотрим несложные примеры экстраполяции в экономическом прогнозировании.
Пример 1. Составить прогноз продажи хлебобулочных изделий в магазине на 11-день его работы.
Известно, что за прошедшие 10 дней работы объём продажи хлебобулочных изделий в магазине составил (в тоннах):
|
1-й день |
2-й день |
3-й день |
4-й день |
5-й день |
6-й день |
7-й день |
8-й день |
9-й день |
10-й день |
|
2,5 |
2,8 |
2,0 |
2,4 |
2,3 |
2,9 |
2,7 |
2,2 |
2,3 |
2,8 |
Расчёт. Учитывая определённую стабильность потребления товара, составим прогноз продажи на основе его среднего объёма реализации за день, т.е. по формуле средней арифметической:
_ Q1 + Q2 + Q3 + …+Qn ,
Q = n
где Q1,2,3…,n – объём продажи хлебобулочных изделий за каждый день работы, т;
n – число дней периода.
Тогда
Q = (2,5+2,8+2,0+2,4+2,3+2,9+2,7+2,2+2,3++2,8):10 = 2,49 (т или около 2,5 т в день).
Таким образом, экстраполяция продажи хлебобулочных изделий в магазине показала, что на 11 – й день работы, равно как и на 12-й и 13-й дни работы, продажа товара может составить 2,5 т.
Можно рассчитать среднюю ошибку прогноза по формуле
= √ 2 / n ;
где - средняя ошибка; - дисперсия, определяемая по формуле
= ∑ ( - ) 2 / n;
Средняя ошибка прогноза составит 0,625 кг.
Вывод. Прогноз ежедневной продажи составляет 2,5 т и при неизменности формирующих спрос данных может иметь отклонение 0,625 кг.
Понятно, что такой прогноз будет справедлив, если в ближайшем будущем не закроется на ремонт соседняя булочная или не будет введён в эксплуатацию недалеко от магазина новый многоэтажный дом.
Пример 2. Составить прогноз объёма платных услуг в фирме на 2002 и 2003 гг. Известно, что в 1995 г. объём платных услуг в фирме составлял 207 денежных единиц ( д. ед.), а в 2001 г. – 228 д. ед. в сопоставимых ценах. Сложившиеся условия работы фирмы существенно не изменяется.
Расчёт. Для определения прогноза методом экстраполяции по сложившемуся приросту объёма услуг надо определить его среднегодовой рост за прошедшие годы и экстраполировать на будущие периоды. Рассчитаем среднегодовой темп роста (коэффициент) по формуле
k = √/l,
где k – среднегодовой темп роста;
- число периодов динамического ряда;
- объём платных услуг в отчётном году, д. ед.;
l – объём платных услуг в базисном году, д. ед.
Среднегодовой темп роста спроса на платные услуги фирмы составит:
k = 6√228 : 207 = 1,0244, или 102,44 %.
Соответственно прогноз объёма услуг составит :
на 2002 г. 228 Х 1,0244 = 233,6 д.ед.;
на 2003 г. 233,6 Х 1,0244 = 239,3 д.ед.
Вывод. Прогноз объёма в фирме составит: на 2002 г. – 233,6 д.ед., на 2003 г. – 239,3 д.ед.
Приведённые примеры использования метода экстраполяции в прогнозировании далеко не исчерпывают его обширные возможности. Если предполагается сохранение прошлых и настоящих тенденций развития на будущее, то говорят о формальной экстраполяции.
Если же фактическое развитие увязывается с гипотезами о динамике процесса развития с учётом физической и логической сущности, то говорят о прогнозной экстраполяции. Прогнозная экстраполяция может быть в виде тренда, огибающих кривых, корреляционных и регрессивных зависимостей, может быть основана на факторном анализе и др. Экстраполяция сложного порядка может перерасти в моделирование.
Для такого вида экстраполяции характерно нахождение плавной линии, отражающей закономерности развития во времени. Тренд обычно применяется как основная составляющая прогнозируемого временного ряда, на которую накладываются другие составляющие, например сезонные колебания. Экстраполяция на основе тренда включает:
сбор информации эмпирического ряда показателя за прошлые периоды;
выбор оптимального вида функции, описывающей указанный ряд с учётом его сглаживания и выравнивания;
расчёт параметров выбранной экстраполяционной функции;
расчёт прогноза на будущее по выбранной функции.
Экстраполяция на основе тренда показана в примере 3.
Пример 3. Составить прогноз спроса на кожаную обувь на 2001 г., используя метод экстраполяции динамического ряда. Известны данные о продаже населению товара за последние 5 лет (в денежных единицах):
1995 г. – 179,3 1998 г. – 216,9
1996 г. – 193,3 1999 г. – 226,6
1997 г. – 206,0
Расчёт. Построим график продажи кожаной обуви в регионе за последние 5 лет (рис.1).
Линия объёма продажи по годам близка к линейной зависимости, которая выражается как

у
= а + bx,
Рис. 1. Динамика товарооборота кожаной обуви в регионе
за 5 лет
где у – объём товарооборота (спрос);
х – годы;
а – параметр, характеризующий влияние основных факторов на продажу кожанной обуви (цены, денежных доходов населения, товарного обеспечения и др.);
b – параметр, характеризующий влияние вспомогательных факторов на продажу кожаной обуви, (погоды, моды, сезонности, режима работы предприятий торговли, квалификации торговых работников и др.).
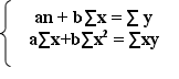
Для нахождения параметров надо решить систему уравнений, например, способом наименьших квадратов:
Д
ля
этого необходимо
провести
дополнительные
расчёты, которые
приведены в
табл.1.
Таблица 1
Данные о продаже кожаной обуви в регионе
для нахождения параметров прямой спроса
-
Годы х
Спрос у
ху
х2
1-й
179,3
179,3
1
2-й
193,3
386,6
4
3-й
206,0
618,0
9
4-й
216,9
867,6
16
5-й
226,6
1133,0
25
Итого 15
1022,1
3184,5
55

a = 168,96, b = 11,82
у = 168,96 + 11,82 x.
По найденному уравнению можно провести расчёты тренда, т.е. определить выровненные значения спроса за прошлые годы и рассчитать прогноз на будущее. Так, для прогноза на 7-й год необходимо в полученное уравнение подставить очередной год – 7 :
у = 168,96 + 11,82 * 7 = 251,7 (д. ед.).
Вывод. Спрос на кожаную обувь в 2001 г. может составить 251,7 д. ед. ( в ценах 1999 г.).
При нормативном методе прогнозирования определяются пути и сроки достижения возможных состояний явления, принимаемых в качестве цели. Речь идёт прогнозировании достижения желательных состояний явления на основе заранее заданных норм, идеалов, стимулов и целей.
Такой прогноз отвечает на вопрос: какими путями можно достичь желаемого?
Нормативный метод чаще применяется для программных или целевых прогнозов. Используются как количественное выражение норматива, так и определённая шкала возможностей оценочной функции.
В случае использования количественного выражения например физиологических и рациональных норм потребления отдельных продовольственных и непродовольственных товаров, разработанных специалистами для различных групп населения, можно определить уровень потребления этих товаров на годы, предшествующие достижению указанной нормы.
Такие методы называют интерполяцией. Интерполяция – это способ вычисления показателей, недостающих в динамическом ряду явления, на основе установленной взаимосвязи.
Принимая фактическое значение показателя и значения его нормативов за крайние члены динамического ряда, можно определить величины значений внутри этого ряда. Поэтому интерполяцию считают нормативным методом. Ранее приведённая формула : k = √/l,используемая в экстраполяции, может применяться в интерполяции, где уn будет характеризовать уже не фактические данные, а норматив показателя.
Нормативный метод прогнозирования помогает выработать рекомендации по повышению уровня объективности, следовательно, эффективности решений.
Метод экспертных оценок используется преимущественно в долгосрочных прогнозах.
Прогнозирование осуществляется на основе суждения эксперта (группы экспертов) относительно поставленной задачи. Экспертом выступает квалифицированный специалист по конкретной проблеме, который может сделать достоверный вывод об объекте прогнозирования.
Метод экспертных оценок чаще используется в тех случаях, когда трудно количественно оценить прогнозный фон, и специалисты делают это на основе понимания своего вопроса. По существу мнения специалиста – это результат мысленного анализа и обобщения процессов, относящихся к прошлому, настоящему и будущему, на основании собственного опыта, квалификации и интуиции.
Метод экспертных оценок имеет несколько видов:
индивидуальная экспертная оценка;
коллективная экспертная оценка;
метод психоинтеллектуальной генерации идей;
аналитический метод;
метод интервью;
метод экспертных комиссий;
дельфийский метод;
метод коллективной генерации идей;
метод управляемой генерации идей;
синоптический метод и др.
Таким образом, существуют различные типовые методы прогнозирования. Задача прогнозиста – выбрать такой метод, который в наибольшей мере соответствовал бы задачам и принципам прогнозирования данного явления (объекта). При соответствии методов прогнозирования заданным принципам можно говорить о создании прогнозируемой системы объекта.
3.ОРГАНИЗАЦИЯ ПРОГНОЗИРОВАНИЯ
Организация прогнозирования включает следующие элементы:
организацию системы (проекта);
порядок и последовательность работы;
систему привлекаемой информации;
- исполнителей;
В зависимости от масштаба и целей прогнозирования различаются следующие организации системы (проекта):
мирохозяйственная система;
государственная система;
отраслевая система;
региональная система;
внутрифирменная система;
межфирменный проект;
прогнозирование отдельной сферы деятельности, явления, процесса развития, параметра или показателя.
Деятельность системы связана с периодической разработкой прогнозов и их корректировками. Безусловно прогнозирование масштабной системы отличается от прогнозирования на уровне фирмы, а прогнозирование системы – от прогнозирования проекта, когда определяется не система взаимосвязанных показателей, а лишь один показатель или несколько.
Организация системы включает следующие составляющие, которые призваны оптимально обеспечить решение задач прогнозирования:
коллектив специалистов отдельного учреждения, фирмы, лаборатории, отдела, службы;
технические и математические средства;
методы, алгоритмы и эвристические программы;
организационные мероприятия.
Коллектив специалистов, т.е. исполнителей работы, может включать специалистов в сфере экономики, финансов, маркетинга, менеджмента, социологии, технологии и ряда других областей знаний. Их усилиями выполняется работа в соответствии с действующей методологией прогнозирования.
Прогностическое исследование крупного масштаба обычно начинается с разработки задания на прогноз, т.е. документа, определяющего объект прогнозирования, его цели, задачи и порядок разработки.
Таким образом, в задании на прогноз содержится основание для разработки прогноза. Задание составляется с участием заказчика и исполнителя. В случае значительного количества исполнителей может составляться координационный план, утверждаемый заказчиком. В нём содержится перечень участвующих организаций (служб), порядок их взаимодействия, задачи каждого соисполнителя и сроки их выполнения, порядок передачи результатов, стоимость работ и порядок финансирования.
Порядок и последовательность работы как элемент организации прогнозирования определяется в зависимости от применяемого метода прогнозирования. Обычно эта работа выполняется в несколько этапов.
1-й этап – прогнозная ретроспекция, т.е. установление объекта прогнозирования и прогнозного фона. Работа на первом этапе выполняется в такой последовательности:
формирование описания объекта в прошлом, что включает предпрогнозный анализ объекта, оценку его параметров, их значимости и взаимных связей;
определение и оценка источников информации, порядка и организации работы с ними, сбор и размещение ретроспективной информации;
постановка задач исследования.
Выполняя задачи прогнозной ретроспекции, прогнозисты исследуют историю развития объекта и прогнозного фона с целью получения их систематизированного описания.
2-й этап – прогнозный диагноз, в ходе которого исследуется систематизированное описание объекта прогнозирования и прогнозного фона с целью выявления тенденций их развития и выбора моделей и методов прогнозирования. Работа выполняется в такой последовательности:
разработка модели объекта прогноза, в том числе формализованное описание объекта, проверка степени адекватности модели объекту;
выбор методов прогнозирования (основного и вспомогательных), разработка алгоритма и рабочих программ.
3-й этап – проспекция, т.е. процесс обширной разработки прогноза, в том числе: 1) расчёт прогнозируемых параметров на заданный период упреждения; 2) синтез отдельных составляющих прогноза.
4-й этап оценка прогноза, в том числе его верификация, т.е. определение степени достоверности, точности и обоснованности.
В ходе проспекции и оценки на основании предыдущих этапов решаются задачи прогноза и его оценка.
Указанная этапность является примерной и зависит от основного метода прогнозирования. Так, в случае применения экспертного метода состав этапов может меняться.
Каждый этап прогнозирования отличается своими задачами, методами и результатами. Деление на этапы связано со спецификой описания объекта, сбором данных прогнозного фона, построением поисковой и нормативной модели, верификацией прогноза. Особое место занимает предпрогнозная ориентация, которая служит задачам целеполагания, программирования планирования, проектирования, т.е. управления полученными прогнозными данными.
Результаты прогноза оформляются в виде справки, доклада или иного материала и предоставляется заказчику.
При прогнозировании может использоваться следующая информация:
фактографическая, т.е содержащая фактические данные;
экспертная, т.е. содержащая экспертные оценки для достижения задач прогноза;
научно-техническая;
по переменной объекта прогнозирования, т.е. содержащаяся в значениях переменной.
Информация прогнозного фона должна учитывать происходящие сдвиги в окружающей среде, в том числе: социально-экономические, технические, технологические, политические, а также факторы, оказывающие влияние на развитие объекта.
Необходимо учитывать тенденции развития науки и техники, вводить информацию о её возможных достижениях. Это позволяет уменьшить риск устаревания прогноза.
В настоящее время в России сложилась определённая организационная структура прогнозирования и планирования государства, включающая различные учреждения и организации, из которых основными являются:
Министерство экономического развития и торговли Российской Федерации;
Министерство финансов Российской Федерации;
Центральный банк Российской Федерации;
- Росстатагенство, которое занимается статистическим мониторингом итогов социально-экономического развития страны, что позволяет оценить качество прогнозов состоявшимися событиями и создать информационный массив для следующих прогнозов.
В организационную структуру прогнозирования и планирования государства входят также научно-исследовательские учреждения и организации, в том числе:
Информационно – аналитическое управление Аппарата Совета Федерации Федеративного Собрания РФ;
Институт макроэкономических исследований при Министерстве экономики РФ;
Институт экономики РАН, в том числе центр социально-экономических проблем федерализма ИЭ РАН;
Институт международных экономических и политических исследований РАН;
Совет по размещению производительных сил и экономическому сотрудничеству и др.
Указанные учреждения и организации работают в условиях формирования и финансирования заказов на научное исследование. В таком заказе выбор исполнителей определяется, как правило, на конкурсной основе независимо от ведомственной подчинённости. Оплата работы производится по полученным результатам. Схема использования экономических прогнозов в экономической политике России показана на рис.2.
Таким образом, можно констатировать, что в стране сложилась некоторая начальная практика формирования прогнозных систем, адекватных рыночной экономике, задачей которой является скоординированное методологическое и аналитическое обеспечение многоаспектных и масштабных задач экономического развития страны.
СХЕМА ИСПОЛЬЗОВАНИЯ ЭКОНОМИЧЕСКИХ ПРОГНОЗОВ И ЭКОНОМИЧЕСКОЙ ПОЛИТИКЕ РОССИЙСКОЙ ФЕДЕРАЦИИ
Рис.2.

ЛИТЕРАТУРА
Авдулов П.В., Гойзман Э.И., Кутузов В.А. и др. Экономико – математические методы и модели для руководителя. М.: Экономика 1998 г.
Агафонов В.А. Анализ стратегий и разработка комплексных программ. М.: Наука, 1997 г.
Липсиц И.В. Бизнес-план – основа успеха. М.: Машиностроение, 1999 г.
Математические методы в планировании отраслей и предприятий / Под ред. И.Г. Попова. М.: Экономика, 1997 г.
Уткин Э.А., Кочеткова А.И. Бизнес план: как развернуть собственное дело. М.: ЭКМОС, 2000 г.
- Л.П. Владимирова. Прогнозирование и планирование в условиях рынка.,учебное пособие (второе издание). М.: 2001 г.
Похожие рефераты:
Емкость рынка: понятие, факторы, методы расчета
Финансовое планирование в ОАО "Белкард"
Анализ структуры ассортимента мужской кожаной обуви
Планирование и прогнозирование доходов бюджетов органов местного самоуправления
Планирование и прогнозирование расходной и доходной части бюджета
Методы прогноза лавинной опасности
Формирование системы управления рынком бытовых услуг на муниципальном уровне
Эволюция социального прогнозирования
Механизм прогнозирования как инструмент управления устойчивым развитием
Демографическое прогнозирование
Социальное прогнозирование в сфере демографических процессов
Опыт краткосрочного прогноза времени, места и силы камчатских землетрясений 1996-2000 гг.
Прогнозирование показателей социально-экономического развития Московской области
Прогнозирование развития образования (на примере Новосибирской области)