| Похожие рефераты | Скачать .docx |
Дипломная работа: Оптимизация работы предприятия ООО "Техсервис" по критерию прибыли за счет инноваций технологии и экономии ресурсов
Тема дипломной работы: "Оптимизация работы предприятия ООО "Техсервис" по критерию прибыли за счет инноваций технологии и экономии ресурсов"
РЕФЕРАТ
Пояснительная записка: 143 с., 3 рисунка, 11 таблиц, 4 приложения, 17 источников.
Объект разработки – это прибыль от произведенной и проданной продукции ООО "Техсервис".
Цель дипломного проекта – максимизировать прибыль предприятия за счет внедрения инновационных технологий и экономии ресурсов.
Метод исследования и аппаратура. Для исследования данной предметной области используются аналитический метод, в основе которого положено изучение основных правил и специфики действия экономических законов в условиях конкретного предприятия и присущих ему закономерностей развития. В основу алгоритмов обработки данных положены методы математической статистики и оптимизационные модели. Для проектирования и реализации автоматизированной информационной системы используется персональный компьютер на базе процессора Intel Pentium 4 HT.
В первом разделе предоставлены характеристика объекта исследования, организационная структура предприятия, финансово – экономический анализ и постановка задачи исследования.
Во втором разделе работы разработаны сетевые модели оптимизации работы предприятия за счет внедрения новых технологий, расчет и уменьшение себестоимости произведенной продукции и анализ спроса объемов продаж предприятия ООО "Техсервис", прогноз продаж будущих периодов.
В третьем разделе дипломного проекта разработана информационно – управляющая система, позволяющая рассчитывать себестоимость продукции и проводит анализ спроса проданной продукции.
И четвертый раздел – это охрана труда при эксплуатации электронно – вычислительных машин.
Новизна проектных решений основывается на внедрении в предприятии автоматизированной информационной системы для расчета себестоимости продукции с использованием математической модели, а также рекомендации по выбору оптимального решения.
Также новизна работы состоит в том, что разработанные методы позволяют найти критический и наикратчайший пути сетевого графика без перебора всех возможных вариантов, что даёт: во-первых – высокую скорость разработки оптимальных сетевых графиков, а во-вторых – возможность точного ответа на вопрос об оптимальности уже готового сетевого графика и высокую степень оптимизации сетевых графиков по длительности в случае их неоптимальности.
Практическое значение дипломного проекта основывается на повышении эффективности работы ООО "Техсервис" и получение наиболее высокой прибыли.
Разработанная АИС предназначена для использования практически всем предприятием ООО "Техсервис".
АВТОМАТИЗИРОВАННАЯ ИНФОРМАЦИОННАЯ СИСТЕМА (АИС), БАЗА ДАННЫХ (БД), АРМ, УПРАВЛЕНИЕ, ЭКОНОМИЧЕСКАЯ ЭФФЕКТИВНОСТЬ, ПРЕДМЕТНАЯ ОБЛАСТЬ, ПРОЕКТНЫЕ РЕШЕНИЯ, ФИНАНСОВЫЕ РЕСУРСЫ ПРЕДПРИЯТИЯ, ПРИБЫЛЬ, ЗАТРАТЫ, ИНФОРМАЦИЯ, ИНФОРМАЦИОННОЕ ОБЕСПЕЧЕНИЕ, ТЕХНИЧЕСКОЕ ОБЕСПЕЧЕНИЕ, ОРГАНИЗАЦИОННОЕ ОБЕСПЕЧЕНИЕ, ПРОГРАММНОЕ ОБЕСПЕЧЕНИЕ, ТЕХНИЧЕСКИЕ СРЕДСТВА, СЕТЕВОЙ ГРАФИК, АНАЛИЗ ОПТИМАЛЬНОСТИ СЕТЕВЫХ ГРАФИКОВ, РАЦИОНАЛЬНЫЕ МЕТОДИКИ ПОИСКА ОСОБЫХ ПУТЕЙ СЕТЕВЫХ ГРАФИКОВ
СОДЕРЖАНИЕ
Реферат
Введение
1. Характеристика объекта ООО "Техсервис" и постановка задачи исследования
1.1 Характеристика предприятия
1.2 Организационная структура предприятия
1.3 Финансово – экономический анализ работы предприятия
1.4 Постановка задачи исследования
2. Построение модели организации технологических операций
2.1 Сетевой график
2.1.1. Расчет сетевого графика
2.1.2 Анализ и оптимизация сетевого графика
2.1.3 Экономическая часть
2.2 Анализ спроса и прогноз
2.2.1 Место прогнозирования в системе
2.2.2 Задачи и виды прогнозирования
2.2.3 Статистические методы прогнозирования
2.2.4 Метод экспертных оценок
2.2.5 Метод составления сценариев
2.2.6 Методы прогнозирования временных рядов
2.2.7 Определение вида прогнозной модели. Линеаризация тренда
2.2.8 Предварительная обработка прогнозной информации
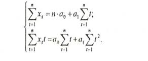
2.2.9 Обработка временных рядов методом наименьших квадратов
2.2.10 Обработка временных рядов методом наименьших квадратов с весами
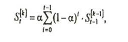
2.2.11 Прогнозирование временных рядов методом экспоненциального сглаживания
2.2.12 Прогнозирование временных рядов с использованием метода авторегрессии
2.2.13 Прогнозирование временных рядов методов огибающих кривых
2.2.14 Выбор метода прогнозирования
3. Информационно – управляющая система
3.1 Информационное обеспечение
3.2 Организационное обеспечение
3.3 Техническое обеспечение
3.4Программное обеспечение
3.5 Контрольный пример
4. Охрана труда
4.1 Общие положения
4.2 Требования к производственным помещениям
4.2.1 Требования к освещению
4.2.2 Требования к уровням шума и вибрации
4.2.3 Требования к вентиляции, отоплению, кондиционированию и микроклимату
4.2.4 Требования относительно уровня неионизирующих электромагнитных излучений, электростатических и магнитных полей
4.2.5 Требования электробезопасности
4.3 Требования к организации рабочего места пользователя
4.3.1 Требования к оборудованию
4.3.2 Требования к размещению оборудования
4.3.3 Требования к размещению рабочих мест
4.4 Требования безопасности во время эксплуатации ЭВМ
4.4.1 Требования безопасности перед началом работы
4.4.2 Требования безопасности во время выполнения работ
4.4.3 Требования безопасности после окончания работ
4.4.4 Требования безопасности в аварийных ситуациях
4.5 Режим труда и отдыха
4.6 Требования к персоналу
Заключение
Список использованных источников
Приложения
ВВЕДЕНИЕ
Современный этап развития экономики характеризуется переходом предприятий на новые условия хозяйствования, необходимостью развития перспективных направлений науки и техники и увеличением эффективности производства с целью получения максимальных финансовых ресурсов. Основным источником формирования финансовых ресурсов предприятий является прибыль, которая выступает важнейшим обобщающим показателем эффективности работы предприятия, источником финансирования расширения производства и социального развития коллектива.
Основным источником получения прибыли предприятием является реализация продукции основной деятельности (работ, услуг). Наряду с прибылью от реализации продукции, руководство предприятия должно анализировать балансовую прибыль, которая включает в себя прибыль от реализации основных фондов, нематериальных активов ценных бумаг, валютных ценностей, прибыль от лизинговых и внереализационных операций и прибыль от нереализационных операций, которая связана с получением дохода от операций непосредственно не связанных с реализацией продукции основного производства - реализация основных фондов, материальных ценностей и нематериальных активов, продукции обслуживающего и вспомогательного производства, от сдачи имущества в аренду, дивиденды от облигации и других ценных бумаг, доходы от коммерческого кредита и т.д.
Для практической реализации предоставленной предприятиям самостоятельности с целью получения максимальной прибыли, предприятию (в лице руководителей подразделений и администрации) постоянно требуется оперативная, достоверная, доступная и обширная информация по потребляемости всех видов продукции, обеспеченности ее изготовления всеми видами ресурсов, ценах на продукцию и материалы, фактическом состоянии производства и др.
Прибыль предприятия зависит от многих факторов работы данного предприятия. Поэтому и целью дипломного проекта является оптимизировать работу предприятия, именно, по критерию прибыли. В диплом проекте будут предложен сетевой график работ по сборке телеги, оптимизация и улучшения сетевого графика, изменение некоторых событий; экономия ресурсов за счет инновации технологий, экономия материалоемкости выпускаемой продукции и анализ спроса объмов продаж и прогноз.
1 Характеристика предприятия объекта ООО "Техсервис" и постановка задачи исследования
1.1 Характеристика предприятия ООО НПП "Техсервис"
Организация "Техсервис" существует 14 лет и относится к категории малых машиностроительных предприятий. Основным видом деятельности является производство оборудования для мясопереработки и выпуска колбасной и рыбной продукции. История развития предприятия начиналась с осуществления разработок и изготовления микропроцессорных систем управления термической обработкой колбасных изделий в коптильно-варочных установках, а также проектирование изготовления электронных и цифровых измерительных и регулирующих приборов для регистрации и поддержания таких физических параметров, как температура и влажность.
Несколько позже специалисты предприятия начали заниматься проектированием систем пневмо- и электроавтоматики, которые совместно с микропроцессорными контроллерами полностью автоматизировали процессы термообработки колбасной и рыбной продукции, осуществляемые в универсальных коптильно-варочных установках.
Опыт внедрения разрабатываемого оборудования на многих объектах пищевой промышленности позволил конструкторам и технологам предприятия не только в совершенстве разобраться с процессами термообработки, но и приступить к конструированию и производству высококачественных конкурентоспособных коптильно-варочных установок.
В 1996г. была изготовлена и введена в эксплуатацию первая установка, которая успешно функционирует до настоящего времени. Ее конструкции и узлы изготавливались на нескольких подрядных организациях. За это время предприятие "Техсервис" создало собственную производственную базу, на которой без услуг сторонних организаций было произведено несколько сотен единиц оборудования, по своим характеристикам не уступающим ведущим зарубежным аналогам.
В коптильно-варочных установках происходит сушка, копчение, варка, обжарка, созревание колбасных и рыбных изделий.
Изготавливается эта установка из нержавеющего металла. Камеры оснащены дымогенераторами, датчиками температуры и влажности, телегами, на которых происходит загрузка колбасной либо рыбной продукции в камеру. Также установка оснащена системой автоматической мойки. Камеры подразделяются на типы в зависимости от загрузки. В таблице 1.1 приведены типы коптильно-варочных установок.
Таблица 1.1 – типы коптильно-варочных установок
| Наименование установок | Установочные размеры, мм ширина, высота, глубина | Мощность КВт | Загрузка условная, кг | Количество телег |
| Термикс - 150 | 1840х3000х1400 | 25 | 150 | 1 |
| Термикс - 200 | 2000х3600х1500 | 27 | 200 | 1 |
| Термикс - 300 | 1840х3000х2500 | 50 | 300 | 2 |
| Термикс - 400 | 2000х3600х2700 | 55 | 400 | 2 |
| Термикс - 500 | 1840х3000х3600 | 75 | 500 | 3 |
| Термикс - 600 | 2000х3600х3900 | 80 | 600 | 3 |
| Термикс - 800 | 2000х3600х5100 | 105 | 800 | 4 |
ООО НПП "Техсервис" - частная организация, успешно сотрудничает с ведущими предприятиями России и СНГ.
Общество является юридическим лицом и действует на основании законодательства Украины и Устава.
Основной целью общества является получение прибыли и эффективное ее использование для экономического и социального развития предприятия.
ООО НПП "Техсервис" имеет в собственности обособленное имущество, учитываемое на его самостоятельном балансе, может от своего имени приобретать и осуществлять имущественные и личные неимущественные права, нести обязанности, быть истцом и ответчиком в суде. Является собственником принадлежащего ему на правах собственности имущества. Общество является собственником средств, полученных им от продажи.
ООО НПП "Техсервис" имеет расчетный и иные счета в гривнах и иностранной валюте, круглую печать со своим наименованием, штампы, бланки, а также эмблемы и товарные знаки, регистрируемые в установленном порядке.
Прибыль предприятия подлежит налогообложению в порядке, предусмотренном действующим законодательством. Прибыль, остающаяся у предприятия после уплаты налогов и иных обязательных платежей (чистая прибыль), поступает в полное его распоряжение и используется Обществом самостоятельно.
Технология производства продукции
Доставка материалов производится автотранспортом на склад предприятия "Техсервис". На складе производится выгрузка, сортировка по номенклатуре и входной контроль получаемых материалов.
Основными получаемыми материалами являются:
- листовой металлопрокат (марка стали 08Х18Н10Т ГОСТ 5582-75);
- трубы;
- метизная продукция;
- покупные изделия (ТЭНы, шкаф управления изделием Т-200, Т-400, Т-600, Т-800).
На территории нашей страны в наше время существует очень много фирм-производителей нержавеющей стали, труб и метизной продукции. Предприятие "Техсервис" приобретает металлопрокат у следующих фирм:
- ООО "Энергосталь", г. Киев;
- ООО "Вега – С", г. Днепропетровск;
- ДК "Сетаб-Украина", г. Днепропетровск.
Метизная продукция:
- ЗАО "Солди – Днепр", г. Днепропетровск;
- ООО "Днепро – Метиз", г. Днепропетровск.
Покупные изделия:
- "Электрокомплект", г. Днепропетровск;
- ООО "Агробуд", г. Днепропетровск.
Металл и покупная продукция хранятся на складах предприятия.
Входной контроль металлопроката осуществляется следующим образом: геометрические размеры проверяются при помощи измерительных инструментов (линейка, рулетка, штангенциркуль, микрометр); химический состав определяется при помощи контрольного прибора "Стилоскоп". Металл со склада поступает на заготовительный участок. На этом участке производится рубка металла на ножницах. Трубы и сортовой прокат режут на ножовочном станке 8Б72.
На ножницах кривошипных для резки листового металла типа ScTP 6,3х3150 производится рубка листа толщиной от 1 до 5 мм согласно карт раскроя. После рубки и резки металла листовые заготовки сортируются по типу заготовки: часть заготовок поступает на штамповочный участок, остальные заготовки, не требующие механической обработки, на сборочно-сварочный участок. На штамповочном участке производится гибка профилей при помощи механического кантовочного пресса РКХА 100*400, пробивка отверстий на гидравлическом одностоечном прессе усилием 10 т. с. модели П 6320.
Трубы и сортовой прокат с заготовительного участка поступают на участок механической обработки. С помощью токарно-винторезных (16К20), вертикально - фрезерных (6Р13), вертикально - сверлильных (2Н135) и радиально – сверлильных (2А554) станков изготавливаются детали согласно чертежей. После участка механической обработки детали поступают на сборочно - сварочный участок.
Сборка термокамеры производится по отдельным узлам (корпус камеры, дымогенератор и силовая стойка). Узлы собираются в кондукторах. Сварка узлов производится аргонно-дуговой сваркой, используются сварочные аппараты марки УДГУ 251 и ПДГ 151. Общая сборка камеры производится на сборочно-сварочном столе. После этого камера поступает на монтажный участок, где происходит установка комплектующих, навесного и электрооборудования. Готовое изделие поступает на склад готовой продукции.
Технологический процесс на рубку металла на ножницах кривошипных для резки листового металла типа ScTP 6,3х3150.
Уложить лист на разметочный стол, нанести разметку согласно карты раскроя. Выставить технологический упор на ножницы на размер соответствующий размеру деталей. Взять лист, уложить на станину ножниц, подать до упора и нажать на педаль пуска. Затем взять готовую деталь, при помощи линейки (рулетки) проверить размеры согласно чертежа и передать на последующую операцию (место складирования).
Техпроцесс на гибку металла на механическом кантовочном прессе РКХА 100*400.
Уложить лист на разметочный стол, нанести разметку согласно карты раскроя. Выставить технологический упор на ножницы на размер, соответствующий размеру деталей. Взять лист, уложить на станину пресса, подать до упора и нажать на педаль пуска. Затем взять готовую деталь, при помощи угломера (шаблона) проверить размеры согласно чертежу и передать на последующую операцию (место складирования).
Техпроцесс сборочно-сварочной операции.
Сварные детали укладываются на сборочно-сварочный стол (приспособление), фиксируются неподвижно (струбцины, прижимы) друг относительно друга согласно размерам чертежа. Прихватываются между собой сварочным аппаратом. Освобождаются от прижимов и обвариваются. Проверяются после сварки геометрические параметры свариваемых швов, отсутствие пор и проваров, подрезов, прожогов. Отсутствие трещин. Вышеперечисленные дефекты не допустимы, а если они есть, то должны быть устранены. Проверяются размеры сварного узла. При необходимости производят рихтовку изделия.
1.2 Организационная структура предприятия
Руководство предприятием осуществляет директор, назначаемый Собранием учредителей.
Структурно предприятие делится на администативно-управленческий персонал и производственный участок. К административно-управленческому персоналу относятся: технический директор, главный бухгалтер, бухгалтер-кассир, заместитель директора по эксплуатации, экономист, отдел менеджмента и секретарь.
Технический директор осуществляет координацию деятельности всех технических и производственных служб предприятия, контроль за обеспечением производства сырьем, поставками и материалами, необходимый инструмент, а также эксплуатацией и обновлением станочного парка.
Главный бухгалтер осуществляет расчеты с поставщиками, ведет бухгалтерский учет, проводит взаимодействия с налоговыми и другими контролирующими органами и фондами.
Заместитель директора по эксплуатации согласовывает планирование, размещение оборудования на объектах монтажа, перечень необходимых мероприятий (работ), проводимых заказчиком по подводу коммуникаций к месту эксплуатации, а также формированию бригад наладчиков для проведения монтажных и пуско-наладочных работ, гарантийного и послегарантийного обслуживания.
Сотрудники экономического отдела производят расчет себестоимости продукции производимой продукции с учетом норм расходов материалов и рабочего времени на каждую единицу реализуемой продукции, а также расчеты планируемой прибыли предприятия.
На производственном участке изготавливается коптильно-варочные установки. Производственная структура включает в себя следующие подразделения: производственные участки, складские помещения и отделы.
Характеристика участков:
1) Заготовительный участок - на этом участке производится рубка металла на ножницах кривошипных для резки листового металла типа ScTP 6,3х3150, трубы и сортовой прокат режут на ножовочном станке 8Б72, гибка металла осуществляется на механическом кантовочном прессе РКХА 100*400.
2) Участок механической обработки - токарная и фрезерная обработка металла, а также сверловка.
3) Сборочно – сварочный участок – сборка узлов с помощью аргонно-дуговой сварки.
4) Участок главной сборки – на изделия устанавливают двери, трубы, пневмо- и электроаппаратуру, покупные изделия.
Характеристика складов:
- склад металла;
- склад покупных изделий и комплектующих;
- склад готовой продукции.
Характеристика отделов:
- отдел снабжения – обеспечивает поставку всех необходимых
материалов для качественной работы предприятия;
- экономический отдел – производит расчет экономических показателей,
себестоимости продукции, экономию ресурсов;
- конструкторское бюро – конструктора разрабатывают новые технологии
и нововведения, сокращают нормы времени и затраты предприятия.
Административно-управленческий персонал работает по пятидневной рабочей системе с 9.00 до 17.30 и имеет 2 выходных дня (суббота и воскресение). Производственные участок работает посменно. Первая смена с 7.00 до 15.00, вторая смена – с 15.00 до 23.00.
Сейчас по штатному расписанию на предприятии трудятся 41 человек.
Организационная структура предприятия "Техсервис" в данном дипломном проекте представлена на рисунке 1.1
рис.1.1 - организационная структура предприятия ООО НПП "Техсервис"
1.3 Финансово-экономическ ий анализ работы предприятия
Анализ финансово-экономической деятельности - это научно - разработанная система методов и приемов, посредством которых изучается экономика предприятия, выявляются резервы производства на основе учетных и отчетных данных, разрабатываются пути их наиболее эффективного использования [1]
Источниками анализа являются стандартные формы статистической и бухгалтерской отчетности.
Исходными материалами для анализа служат месячные и квартальные планы, суточные и сменные задания, акты ревизии.
Методы экономического анализа отличаются большим разнообразием, но для них характерны следующие общие черты: оценка деятельности предприятия с позиции роста эффективности производства, определение влияния отдельных факторов на конечные результаты деятельности.
Финансовое состояние предприятия характеризуется системой показателей, отражающих наличие, размещение, использование финансовых ресурсов предприятия и всей производственно-хозяйственной деятельности предприятия.
Основной формой при анализе финансового состояния является баланс. Согласно действующим нормативным документам баланс в настоящее время составл яется в оценке нетто (учет основных средств и МБП по остаточной стоимости без учета износа). Итог баланса даёт ориентировочную оценку суммы средств, находящихся в распоряжении предприятия. Исследовать структуру и динамику финансового состояния предприятияудобно при помощи сравнительного аналитического баланса.
Баланс предприятия ООО НПП "Техсервис" предоставлен в приложении А.
Сохранять сильные рыночные позиции в условиях конкурентного рынка возможно только на основании надежного, объективного проведения финансового анализа как одной из главных функций руководства в рыночной экономике.
Результаты такого анализа необходимы, прежде всего, владельцам, а также кредиторам, инвесторам, поставщикам, менеджерам.
Главная цель данной работы – проанализировать финансовое состояние предприятия, определить основные проблемы финансовой деятельности и обосновать возможные резервы улучшения финансового состояния предприятия.
Исходя из основной цели сформулированы следующие задачи, решенные в данной курсовой работе:
-анализ основных финансово – экономических показателей деятельности предприятия,
-анализ ликвидности баланса,
-оценка финансового состояния,
-оценка состава и структуры источников средств,
-оценка угрозы банкротства,
-разработка мероприятий по улучшению финансово – хозяйственной деятельности, что обеспечивает рост рентабельности, финансовой устойчивости и платежеспособности.
Информационной базой для решения перечисленных задач это данные бухгалтерской отчетности, а именно:
-баланс предприятия
-отчет о финансовых результатах.
Экспресс-анализ финансового состояния – это предварительная оценка финансового состояния предприятия и финансовых результатов.
Таблица 1.2
Экспресс-анализ финансового состояния
| Показатели | Начало периода +,- % |
Конец периода | Отклонен. | Расчет | |
| +,- | % | ||||
| 1. Состояние и динамика экономического потенциала | |||||
| 1.1. Имущественное состояние: | |||||
| - сумма хозяйственных средств в распоряжении предприятия, тыс. грн. | 113,4 | 117,8 | 4,4 | 3,88 | ф.1 280 |
| -стоимость основных фондов, тыс. грн. | 41,2 | 90,7 | 49,5 | 120,15 | ф.1 031 |
| - коэффициент износа основных фондов | 0,5 | 0,32 | -0,18 | -36 | ф.1 032/031 |
| 1.2. Финансовое состояние: | |||||
| -сумма собственных средств, тыс. грн. | 17,6 | -3,2 | -20,8 | -81,82 | ф.1 380-080 |
-коэффициент соотношения заемных и собственных средств |
1,95 | 0,82 | -1,13 | -57,9 | ф.1 480+620/380 |
| - коэффициент покрытия | 1,23 | 2,96 | 1,73 | 140,65 | ф.1 260/620 |
| 2. Результативность финансово-хозяйственной деятельности | |||||
| 2.1. Оценка прибыльности: | |||||
| - затраты на производство, тыс.грн | 716,9 | 482,5 | -234,4 | -32,7 | Ф.2 040 |
| - коммерческие затраты, тыс.грн. | |||||
| - прибыль, тыс.грн. | 35,9 | 12,1 | -23,8 | -66,3 | Ф.2 050 |
| - рентабельность продаж % | 3,9 | 2,04 | -1,86 | -47,7 | 050 ф.2/010 |
| - рентабельность основной деятельности, % | 5 | 2,51 | -2,49 | -49,8 | 050 ф.2/040 |
| - рентабельность инвестированного капитала, % | 31,66 | 10,27 | -21,39 | -67,56 | 050 ф.2/640 |
| - рентабельность собственного капитала | 93,5 | 18,67 | -74,83 | -80 | 050 ф.2/380 |
| - рентабельность заемного капитала, % | 47,87 | 22,83 | -25,04 | -52,3 | 050/480+620 |
| 2.2. Оценка динамичности: | |||||
| темпы роста выручки от реализации | 752,8 | 494,6 | -258,2 | -34,3 | 035 ф.2 |
| темпы роста прибыли | 26,4 | 7,0 | -19,4 | -73,5 | 220 ф.2 |
| 2.3. Экономический потенциал: | |||||
| - выручка от реализации, тыс.грн. | 903,3 | 593,5 | -309,8 | -34,3 | 010 ф.2 |
| - рентабельность активов, % | 93,5 | 18,67 | -74,83 | -80 | 050ф.2 /ф.1 380 |
| -оборачиваемость оборотных средств, дни | 37 | 30 | -7 | -18,9 | 360/(010 ф.2 /260+270) |
| - оборачиваемость основного капитала, дни | 15,3 | 39,3 | 24 | 156,87 | 360/(010 ф.2/380) |
- оборачиваемость дебиторской задолженности, дни |
34 | 20,6 | -13,4 | -39,4 | 360/(010 ф.2 /160+..+210) |
- оборачиваемость кредиторской задолженности, дни |
30 | 10,2 | -19,8 | 66 | 360/(010 ф.2/620) |
| - оборачиваемость запасов и затрат, дни | 1,55 | 2,43 | 0,88 | - 56,78 | 360/(010ф.2/ /100+…+140ф.1+140ф.2) |
Увеличение суммы хозяйственных средств в распоряжении предприятия является положительным фактором, т.к. это свидетельствует об увеличении имущественного потенциала.
Снижение коэффициент износа также является положительный фактор, тем более что износ не превышает 50% , и это значит что оборудование не требует замены и еще будет работать на протяжении ближайшего времени Сумма собственных средств уменьшилась на 82%, это свидетельствует что положение предприятие нестабильно и оно зависимо от заемных средств, несмотря на то, что собственные средства превышает заемные.
Отсутствие на предприятии убытков говорит о том, что производство окупает себя.
Коэффициент покрытия в положительной динамике (увеличился в 2 раза) это свидетельствует, что финансовая устойчивость предприятия в этих периодах увеличивается.
Анализируя уменьшение затрат можно увидеть, что и прибыль предприятия сократилась, это говорит о том, что у предприятия за этот период времени были снижено производство продукции, что повлекло за собой снижение продаж и получение более высокой прибыли.
Рентабельность падает в том случае, когда оборачиваемость запасов и дебиторской задолженности, исчисляемая в днях, увеличивается. Предприятие не эффективно использует заемные средства. Предприятию необходимо увеличивать кредиторскую задолженность. Предприятие всегда заинтересовано в уменьшении оборачиваемости запасов и дебиторской задолженности в днях, и увеличение коэффициента оборачиваемости [2]
Горизонтальный анализ баланса.
Задача горизонтального баланса заключается в расчете изменений по анализируемым периодам каждой статье баланса и установление причин изменений.
Таблица 1.3
Горизонтальный и вертикальный анализ баланса
| Наименование статьи | Код строки | Начало периода | Конец периода | Изменения | ||||
| Абсол. вел-ы | Относ. вел-ы |
Абсол. вел-ы | Относ. вел-ы |
Абсо- лютные |
В ст- рукту-ре |
Темпы роста | ||
| 1 | 2 | 3 | 4 | 5 | 6 | 7 | 8 | 9 |
| АКТИВ | ||||||||
| 1.Необоротные активы | ||||||||
| 1.1.Основные средства и нематериальные активы | 010+020+030 | 20,8 | 18,34 | 62,0 | 52,63 | 41,2 | 0,66 | 298,1 |
| 1.2.Долгосрочн. финансовые инвестиции | 40+ …+ 60 |
0 | 0 | 6,0 | 5,09 | 6,0 | 5,09 | 100 |
| 1.3.Другие необоротные активы | 70 | 0 | 0 | 0 | 0 | 0 | 0 | 0 |
| Всего по разд.1 | 80 | 20,8 | 18,34 | 68,0 | 57,72 | 47,2 | 5,75 | 226,9 |
| 2. Оборотные активы | ||||||||
| 2.1. Запасы | 100+ …+ 140 |
3,9 | 3,44 | 4 | 3,4 | 0,1 | -0,44 | 102,6 |
2.2. Дебиторская задолженность |
150+…+ 210 |
85,6 | 75,49 | 33,9 | 28,78 | -51,7 | -46,71 | -60,4 |
2.3. денежные средства и их эквиваленты |
230+ 240 |
0 | 0 | 9,2 | 7,81 | 9,2 | 7,81 | 100 |
| 2.4. другие оборотные активы | 250 | 3,1 | 2,73 | 2,7 | 2,29 | -0,2 | 0,17 | -12,9 |
| Всего по разд. 2 | 260 | 92,6 | 81,66 | 49,8 | 42,28 | -42,8 | -39,38 | -46,2 |
| 3. Затраты будущих периодов | 270 | 0 | 0 | 0 | 0 | 0 | 0 | 0 |
| Баланс | 280 | 113,4 | 117,8 | 4,6 | 103,9 | |||
| ПАССИВ | ||||||||
| 1.Собственнй капитал | ||||||||
| 1.1.Уставной капитал | 300 | 9,4 | 8,29 | 9,4 | 8 | 0 | -0,29 | 100 |
| 1.2. Прочий дополнит. Капитал | 330 | 0 | 0 | 0 | 0 | 0 | 0 | 0 |
| 1.3. Резервный капитал | 340 | 0 | 0 | 0 | 0 | 0 | 0 | 0 |
1.4. Нераспределён. Прибыль |
350 | 29 | 25,57 | 55,4 | 47,01 | 26,4 | 21,46 | 91,03 |
| Всего по разд.1 | 380 | 38,4 | 33,86 | 64,8 | 55,01 | 26,4 | 21,17 | 68,75 |
2. Обеспечение послед. затрат и платежей |
430 | 0 | 0 | 0 | 0 | 0 | 0 | 0 |
3. Долгосрочные обязательства |
480 | 0 | 0 | 36,2 | 30,73 | 36,4 | 30,73 | 100 |
| 4. Текущие обязательства | ||||||||
| 4.1. Краткосрочные кредиты банков | 500 | 0 | 0 | 0 | 0 | 0 | 0 | 0 |
4.2. Текущая задолженность по долгосрочным обязательствам |
510 | 0 | 0 | 0 | 0 | 0 | 0 | 0 |
4.3. Кредиторская задолженность за товары и услуги |
520+ +530 |
59,4 | 52,38 | 0 | 0 | -59,4 | -52,38 | 0 |
| 4.4. Текущие обязательства по расчетам | 540+..+610 | 15,6 | 13,76 | 16,8 | 14,26 | 1,2 | 0,5 | 7,69 |
| Всего по разд. 4 | 620 | 75 | 66,14 | 16,8 | 14,26 | -58,2 | -51,88 | -77,6 |
| 5. Доходы будущих периодов | 630 | 0 | 0 | 0 | 0 | 0 | 0 | 0 |
| Баланс | 640 | 113,4 | 117,8 | 4,6 | 103,9 | |||
Сравнив валюту баланса за конец и начало периода, у нас есть возможность определить общую тенденцию изменения баланса. Валюта баланса незначительно увеличилась – это оценивается положительно, и свидетельствует, как правило, о увеличении производственных возможностей предприятия и его более интенсивной работе.
Валюта баланса уменьшилась главным образом за счет того что предприятие избавилось от избыточного количества производственных запасов, что в сою очередь негативно влияло на ликвидность (Коэф. общ. ликвидности превышал вначале периода норму в 2 раза), и замедляло оборачиваемость средств. Даже можно предположить, что снижение валюты баланса за счет избавления от излишних запасов повысило оборачиваемость и тем самым увеличило размер валовой прибыли.
Позитивным фактором является превышение собственного капитала предприятия над заёмным, и увеличение темпов его роста в сравнении с темпами роста заёмного капитала. А увеличение темпов роста дебиторской задолженности за товары, работы и услуги является отрицательным и может повлечь за собой финансовые трудности.
Темп роста денежных средств составляет 473,1%. При этом эта сумма является незначительной по сравнению с другими показателями. Эти денежные средства могут служить источниками нереализованных доходов (например, под % в банк, приобретение ценных бумаг), и их рост с последующим разумным размещением может положительно повлиять на повышение собственного капитала, однако их переизбыток н является негативным фактором.
Как итог можно сказать, что результат деятельности предприятия в целом оценивается как позитивный, положительным является необходимое снижение запасов на складах, что повысило выручку от реализации.
Анализ ликвидности баланса
Таблица 1.4 - анализ ликвидности баланса
| Показатели актива баланса | Значения, тыс. грн. | Показатели пассива баланса | Значения, тыс. грн. | Платёжный излишек (недостаток), тыс. грн. |
|||
| 1-й период | 2–й период | 1-й период | 2–й период | 1-й период | 2–й период | ||
| 1.Наиболее ликвидные активы (А1) | 0 | 9,2 | 1.Наиболее срочные пассивы (П1) |
59,4 | 0 | -59,4 | 9,2 |
2.Быстро реализованные активы (А2) |
85,6 | 33,9 | 2.Кратко-срочные пассивы (П2) |
15,6 | 16,8 | 70,0 | 17,1 |
| 3.Медленно реализованные активы (А3) | 7,0 | 6,7 | 3.Долгосроч-ные пассивы (П3) | 0 | 36,2 | 7,0 | -29,5 |
| 4.Трудно реализованные активы (А4) | 20,8 | 68,0 | 4.Постоян-ные пассивы (П4) | 38,4 | 64,8 | -17,6 | 3,2 |
| Всего | 113,4 | 117,8 | Всего | 113,4 | 117,8 | 0 | 0 |
Сравнение абсолютно ликвидного баланса с фактическим
Таблица 1.5 - сравнение абсолютно ликвидного баланса с фактическим
| Абсолютно ликвидный баланс | Соотношение активов и пассивов фактического баланса | |
| 1 – й период | 2 – й период | |
| А1≥П1 | А1<П1 | А1>П1 |
| А2≥П2 | А2>П2 | А2>П2 |
| А3≥П3 | А3>П3 | А3<П3 |
| А4≤П4 | А4<П4 | А4>П4 |
Расчет коэффициентов, определяющих уровень ликвидности
Таблица 1.6 - расчет коэффициентов, определяющих уровень ликвидности
| Наименование | Расчет | Рекомендуемое | Значение | |
| значение | 1-й период | 2-й период | ||
| Коэффициент общей ликвидности | (А1+А2+А3)/(П1+П2) | 1- 2 | 1,23 | 2,96 |
| Коэффициент срочной ликвидности | (А1+А2)/(П1+П2) | 0,7-0,8 | 1,14 | 2.57 |
| Коэффициент абсолютной ликвидности | А1/(П1+П2) | 0,2-0,35 | 0 | 0,55 |
| Коэффициент перспективной ликвидности | А1/П1 | 0 | 0 | |
Сравнение абсолютно ликвидного баланса с фактическим показывает что фактический баланс можно было бы считать абсолютно ликвидным если бы наиболее ликвидные активы превысили наиболее срочные пассивы, т.к. остальные соотношения активов и пассивов совпадают с соотношениями в абсолютно ликвидном балансе.
В начале периода наблюдается отклонение ликвидности баланса от оптимального варианта по трем показателям, в конце – отклонение по двум. Сопоставление наиболее ликвидных активов с наиболее срочными обязательствами позволяет определить текущую ликвидность и платежеспособность. На предприятии, как на начало периода так и на конец, сложилась неблагоприятная ситуация, т.е. по соотношению активов и пассивов фактического баланса в абсолютно ликвидном балансе наиболее ликвидные активы должны быть больше чем наиболее срочные обязательства. Это свидетельствует о высоком финансовом риске, потому что предприятие не в состоянии оплатить свои счета.
Для оценки способности предприятия выполнять обязательства мы рассчитали показатели ликвидности, т.е. способности превращения любой части активов в денежные средства. Положительным фактором для предприятия является то, что постоянные пассивы намного больше трудно реализуемых активов.
Коэффициент общей ликвидности на начало периода находится превышает рекомендуемое значение, и это свидетельствует о переизбытке средств и медленно реализуемых активов. Для понижения данного показателя необходимо избавляться от запасов и дебиторской задолженности. К концу периода он значительно уменьшился (почти на 50%), что свидетельствует о возможном повышении оборачиваемости средств, вложенных в запасы.
Оценка угрозы банкротства
Результаты расчета индекса кретитоспособности (Z)
Таблица 1.7 - результаты расчета индекса кретитоспособности
| Обозначения | Расчет | 1–й период | 2–й период |
| К1 | 050 ф2/280 ф1 | 0,32 | 0,086 |
| К2 | 035ф2/280ф1 | 6,64 | 4,20 |
| К3 | 380ф1/(640-380(ф1)) | 0,51 | 1,22 |
| К4 | 350ф1/640ф1 | 0,26 | 0,47 |
| К5 | (380ф1-80ф1)/280ф1 | 0,15 | -0,027 |
| Z | 3,3К1 +К2 +0,6К3 +1,4К4 +1,2К 5 | 9,72 | 5,84 |
| К Б | (220+260)ф2/(480+620)ф1 | 2,25 | 1,94 |
К1 – уровень доходности активов;
К2 – коэффициент оборачиваемости активов;
К3 – коэффициент финансового риска;
К4 – отношение нераспределенной прибыли к сумме всех активов;
К5 – соотношение собственного оборотного капитала и суммы всех активов предприятия;
Z – интегральный коэффициент (показатель) уровня угрозы банкротства;
К Б – коэффициент Биллера.
Банкротство - это финансовое состояние предприятия при котором оно не может рассчитаться имеющимися средствами за оказанные работы, услуги, выданные кредиты.
В том случае, если использовать предложенную модель оценки возможного банкротства вероятность наступления банкротства анализируемого предприятия очень низка, т.к. и на начало и на конец периода значение индекса Z значительно выше установленного, равного 3.
Рассматривая данный взятый период значение индекса Z уменьшилось к концу периода и это является негативным фактором.
Рассматривая расчет данного индекса нужно у читывать некоторые факторы которые влияют на его объективность: во-первых, при оценке банкротства необходимо рассматривать более длительный период времени (12-24 календарных периода), с тем, чтобы проследить динамику, т.к.. этот показатель рассчитывается на перспективу, во-вторых, данную модель расчета при определении рыночной стоимости собственного капитала нельзя считать подходящей для всех предприятий в нашей стране.
Результаты расчета коэффициента Биллера отражают негативную тенденцию – в начале периода его значение составляет 2,25 в конце - 1,94, что отображает нежелательное сокращение чистой прибыли, которая направляется на развитие производства и свидетельствует о формировании неудовлетворительной структуры баланса. В таком случае существует незначительная вероятность того, что предприятие начнет работать в долг.
Для улучшения ситуации по предприятию, возможно, будет целесообразным увеличение собственного капитала через расширение производства, привлечение долгосрочных займов, улучшение финансовых результатов операционной деятельности предприятия.
Оценка финансового состояния предприятия
Таблица 1.8 - оценка финансового состояния предприятия
| Показатели финансовой устойчивости и платежеспособности | 2005г. | 2006г. |
| 1.ПОКАЗАТЕЛИ ФИНАНСОВОЙ УСТОЙЧИВОСТИ | ||
| 1.1.коэффициент автономии | 0,34 | 0,55 |
| 1.2.коэффициент маневренности собственных средств | 0,46 | -0,05 |
| 1.3 коэффициент обеспеченности собственными средствами | 0,19 | -0,06 |
| 1.4 коэффициент обеспеченности запасов и товаров собственными оборотными средствами | 4,51 | -0,80 |
| 1.5.Отношение реального основного капитала к итогу баланса | 0,18 | 0,53 |
| 1.6.Отношение суммы начисленной амортизации к первоначальной стоимости основного капитала | 1,98 | 1,46 |
| 1.7.отношение чистых мобильных средств к итогу мобильных средств | 0,19 | 0,66 |
| 1.8.коэффициент финансовой устойчивости | 0,34 | 0,86 |
| 1.9 коэффициент задолженности | 0,66 | 0,45 |
| 1.10 коэффициент инвестирования | 0,54 | 1,05 |
| 2. ПОКАЗАТЕЛИ ПЛАТЕЖЕСПОСОБНОСТИ | ||
| 2.1.Коэффициент покрытия | 1,19 | 2,80 |
| в том числе | 2,38 | 4,98 |
| 2.1.1.покрытие денежными средствами, абсолютной ликвидности | 0,00 | 0,55 |
| 2.1.2.дебиторской задолженностью | 1,14 | 2,02 |
| 2.1.3.товарно-материальными ценностями | 0,05 | 0,24 |
| 2.2.коэффициент промежуточной (расчетной) ликвидности | 1,18 | 2,73 |
| 2.3 коэффициент финансовой независимости | 0,51 | 1,22 |
| 2.4.коэффициент платежеспособности | 1,19 | 2,80 |
| 2.5.коэффициент привлечения | 0,66 | 0,45 |
| 2.6.соотношение заемных и собственных средств | 1,95 | 0,82 |
| 3.ПРОЧИЕ ПОКАЗАТЕЛИ | ||
| Коэффициент деловой активности | 6,64 | 4,20 |
| Коэффициент эффективности использования финансовых ресурсов | 0,23 | 0,06 |
| Коэффициент оборачиваемости оборотных средств | 8,13 | 9,93 |
| Продолжительность одного оборота оборотных средств | 44,28 | 36,25 |
| Наличие собственных оборотных средств | 18 | -3 |
| Дебиторская задолженность | 86 | 34 |
| Кредиторская задолженность | 75 | 17 |
| Превышение кредиторской задолженности над дебиторской | -11 | -17 |
| Оборачиваемость дебиторской задолженности | 8,8 | 14,6 |
| Средний срок погашения дебиторской задолженности (дней) | 40,9 | 24,7 |
| Коэффициент оборачиваемости кредиторской задолженности | 0,1 | - |
| Продолжительность погашения кредиторской задолженности | 548,08 | - |
| Фондоотдача основных фондов | 18,3 | 5,5 |
| Коэффициент отдачи необоротных активов | 36,192 | 7,3 |
| Коэффициент отдачи оборотных активов | 8,1 | 9,9 |
| Коэффициент отдачи всех активов | 6,6 | 4,2 |
| 4. ПОКАЗАТЕЛИ РЕНТАБЕЛЬНОСТИ | ||
| Коэффициент эффективности (рентабельности) использования всех активов (ROA) | 0,2 | 0,1 |
| Коэффициент эффективности (рентабельности) использования собственного капитала (ROE) | 0,7 | 0,1 |
| Коэффициент эффективности (рентабельности) использования собственного и заемного капитала (ROCE) | 0,7 | 0,1 |
| Коэффициент валовой прибыли | 0,05 | 0,02 |
| Прибыльность операционной деятельности | - | 1,52 |
| Рентабельность предприятия | 0,05 | 0,02 |
| Коэффициент накопления | 0,26 | 0,47 |
| Коэффициент рентабельности продаж | 0,04 | 0,01 |
| Коэффициент эффективности использования всех активов | 0,23 | 0,06 |
Анализ имущественного состояния предприятия.
Коэффициент износа основных средств уменьшается и это положительный фактор, однако в процентном выражении износ равный более 50% говорит об необходимости замены оборудования из за его устаревания.
Анализ ликвидности предприятия.
Коэффициент покрытия уменьшился в два раза и почти вошел в норму (за счет необходимого уменьшения производственных запасов). Как на конец так и на начало периода он соответствовал значению большему чем единица.
Коэффициент быстрой ликвидности на конец и начала периода превышает нормативное значение.
Коэффициент срочной ликвидности и в начале, и в конце периода превышает рекомендуемое значение. Однако в развитых странах он может достигать значения 1.5. Данный показатель помогает оценить возможность погашения предприятием краткосрочных обязательств в случае его критического положения.
Коэффициент абсолютной ликвидности ниже рекомендуемого значения на протяжении всего периода, т.е. в течение ближайшего времени предприятие практически не может погасить краткосрочную задолженность. Следует принять меры для увеличения данного показателя, т.к. в противном случае поставщики сырья и материалов могут отказаться от дальнейшей работы с данным предприятием.
Чистый оборотный капитал уменьшился почти в два раза. Это произошло за счет значительного снижения оборотных активов, и это является негативным. Однако он выше чем 0.
Анализ платежеспособности (финансовой устойчивости) предприятия.
Коэффициент платежеспособности (автономии) на конец периода равен 0,84, это не значительно ниже чем на начало. Соотношение средств предприятия к общей сумме средств авансированных в деятельность свидетельствует о достаточно устойчивом финансовом положении предприятия.
Анализируя коэффициент финансирования в данный период деятельности предприятия увеличился (с 0,13 до 0,18), это свидетельствует, что финансовая зависимость от внешних инвесторов и кредиторов увеличилась. Однако существенного влияния на работу не оказывает, так как его критическое значение равно 1.
Коэффициент обеспеченности собственными оборотными средствами уменьшился более чем в два раза и это негативно влияет на возможность предприятия покрывать краткосрочные займы и его дальнейшее уменьшение может пошатнуть финансовую устойчивость. Рассматривая коэффициент маневренности собственного капитала можно сказать что его снижение говорит о том что уменьшалась часть собственного капитала которая позволяет маневрировать этими средствами, и соответственно увеличилась капитализированная часть.
Анализ деловой активности предприятия.
За этот период произошло повышение коэффициента оборачиваемости активов за счет увеличения доходов от реализации что положительно повлияло на деятельность.
Так же положительно увеличение коэффициента оборотности кредиторской задолженности. Оборотность дебиторской задолженности увеличилось за счет роста дебиторской задолженности и роста чистого дохода от реализации. Фондоотдача увеличилась что безусловно является хорошим признаком.
Анализ рентабельности предприятия.
Все показатели рентабельности на конец периода незначительно снизились за счет того что снизилась и чистая прибыль. Однако все они отличны от 0 что само по себе говорит об окупаемости производства и от том что оно рентабельно.
Выводы
На основании проведенного анализа финансового - экономического состояния предприятия видно, что чистая прибыль уменьшилась на 26,4%. Поэтому задачей дипломного проекта является оптимизация работы предприятия по критерию прибыли, т.е. необходимо предложить некоторые события и мероприятия по улучшения работы предприятия и увеличения экономической эффективности. Определить прогноз объемов продаж для будущих периодов с целью эффективной работы предприятия. Снизить материалоемкость производимой продукции для увеличения прибыли.
Как итог можно отметить что финансовое состояние является важнейшей характеристикой деятельности предприятия. Оно определяет конкурентоспособность предприятия и его потенциал в деловом сотрудничестве, является гарантом эффективной реализации экономических интересов всех участников финансовых отношений: как самого предприятия, так и его партнеров.
1.4 Постановка задачи исследования
Как правило, экономисту-проектировщику не представляется сложным построить, с первого раза, оптимальный по структуре сетевой график, когда будет обеспечена максимальная параллельность исполнения отдельных работ. Всё зависит от понимания им сущности и содержания каждой работы, входящей в состав сетевого графика.
Труднее обстоит дело с распределением трудовых ресурсов по отдельным видам работ, от которого зависит оптимальность сетевого графика по длительности. Проблема в том, что практически невозможно предугадать, как отразится на длительности всего проекта и соотношении длительностей различных путей его сетевого графика, перенос трудовых ресурсов с одних работ на другие, в результате которого, при неизменной трудоемкости работ, происходит увеличение длительности первых и уменьшение длительности вторых. В таких условиях остаётся только один способ оптимизации сетевого графика по длительности. Этот способ основан на методе проб и ошибок, когда первостепенную важность играет задача проверки и анализа оптимальности уже готового, полностью рассчитанного сетевого графика, с целью выявления ошибок в распределении трудовых ресурсов. Рассмотрим эту задачу и связанные с ней трудности подробнее.
Для сетевого графика существуют понятия пути и его продолжительности. Под путем понимается любая цепочка непрерывно следующих, друг за другом, последовательных во времени работ, от начала проекта до его завершения. Под длительностью пути понимается суммарная длительность всех, входящих в него, последовательных работ. Более понятными данные определения станут при рассмотрении следующего раздела. Сейчас же важно другое, что каждый сетевой график имеет в своём составе два особых пути: критический и наикратчайший. Критическим путём является путь, имеющий наибольшую продолжительность среди других возможных путей сетевого графика. Наикратчайшим путём является путь, который, в отличие от критического пути, имеет наименьшую продолжительность во всём сетевом графике. На понятиях этих двух путей основан наиболее простой и распространенный критерий оптимальности сетевого графика, формализуемый следующим образом:
, (1.
1)
– коэффициент напряжённости наикратчайшего пути;
– длительность наикратчайшего пути,
;
– длительность критического пути,
.
Из критерия (1.1) следует, что некоторый рассматриваемый сетевой график принимается оптимальным, если отношение длительности его наикратчайшего пути к длительности его критического пути не менее 0.7, или, что тоже самое, если длительность наикратчайшего пути отличается от длительности критического пути не более чем на 30%.
Забегая вперёд, можно сказать, что длительность критического пути легко найти путём расчёта некоторых принятых параметров сетевого графика, которые будут подробно рассмотрены в следующем разделе. Длительность же наикратчайшего пути в общем случае не известна и для её нахождения требуется суммировать длительности всех входящих в него работ.
Теперь появляется проблема, – а как найти работы, принадлежащие наикратчайшему пути, чтобы иметь возможность просуммировать их длительности? Решить данную проблему для человека интуитивно или простым перебором вариантов, очень проблематично, особенно при большой, сильно разветвленной структуре сетевого графика. Зачастую и ЭВМ справиться с этой задачей не может в силу того, что её быстродействие ограничено, а число всех возможных вариантов путей сетевого графика, уже при 100-х событиях, может достигать миллионов или даже сотен миллионов.
Так вот, оказывается, эта проблема решаема, причём без перебора вариантов и сравнительно быстро даже для человека, не говоря уже об ЭВМ. Основной целью данного дипломного проекта как раз и является цель показать, а точнее доказать рациональные методики поиска особых путей сетевого графика, которые не только дают возможность проверки его оптимальности, но и позволяют рационально выполнить его оптимизацию по длительности. Последнее заключается в том, что если экономист-проектировщик будет знать, как проходят особые пути сетевого графика, то он сможет, в целях оптимизации, правильно перераспределить трудовые ресурсы, а именно – перенести ресурсы с работ, принадлежащих наикратчайшему пути, на работы, принадлежащие критическому пути, и тем самым уравнять длительности этих путей, для обеспечения выполнения критерия оптимальности (1.1).
Также в этом дипломном проекте необходимо рассчитать и уменьшить металлоемкость конструкции, чем снизить ее себестоимость для получения наиболее высокой прибыли.
Второй этап дипломного проекта – это прогнозирование спроса объемов продаж производства.
Прогнозирование– это получение информации о будущем; это предвидение, которое делится на научное и ненаучное (интуитивное, каждодневное и религиозное– псевдопредвидение).
Научное предвидение базируется на знаниях закономерностей развития природы, общества и мышления; интуитивное– на так называемом жизненном опыте, связанными с аналогиями, приметами и т. д.; религиозное предвидение ещё называют пророчеством, то есть верой в надприродные силы, предрассудки и др.
Прогнозирование– это предвидение, которое базируется на специальном научном исследовании. Какие же бывают прогнозы? Поисковый– это определение возможного положения явления в будущем; нормативный– определение путей и сроков достижения возможного положения явления, которое принято за цель. Целевой прогноз отвечает на вопрос: что именно желательно и почему? Программный прогноз отвечает на вопрос: что конкретно необходимо сделать, чтобы достичь желаемого?
За отрезком времени, на который они рассчитаны, различают краткосрочные, среднесрочные, долгосрочные и длительносрочные (за пределами долгосрочных) прогнозы.
Понятие срока относительно– например, в некоторых научно-технических прогнозах период может измеряться днями (в бурении газовых скважина), а собственно говоря в геологии– миллионами лет. В сфере политики диапазон между кратко- и долгосрочностью сужается к ближайшему десятилетию, а в городостроение– на целые столетия.
Основные сферы прогнозирования– гидрометеорология, геология, медицина, география, экология, наука и техника, экономика и социология и др.
Прогнозирование имеет два конкретных аспекта: предсказывать и предвидеть. В зависимости от того, какой результат необходимо получить или, что необходимо спрогнозировать, преимущество предоставляется то одному, то другому аспекту.
Прогнозирование необходимо, потому что будущее необычно и эффект многих решений, принимаемых сегодня, на протяжении определённого времени не ощущаются. Поэтому точное предвидение будущего повышает эффективность процесса принятия решения.
2 Построение модели организации технологических операций
2.1 Сетевые графики
Прежде, чем преступать к обоснованию рациональных методик поиска особых путей сетевого графика, необходимо напомнить, что вообще собой представляет сетевой график, и какими основными параметрами он характеризуется.
Итак, сетевой график – есть математическая модель упорядочивания проектных работ типа "Сигнальный граф" (см. пример на рис.2.1). Любой сигнальный граф состоит только из двух элементов: дуг и вершин. В контексте сетевого планирования, дугами являются отдельные работы, изображаемые на сетевом графике в виде стрелок так, что начала стрелок, соответствует началам выполнения работ, концы стрелок – их завершению. Вершинами сигнального графа являются так называемые события, которые изображаются на сетевом графике в виде кружков, с порядковыми номерами в нижних квадрантах. Как раз события сетевого графика и служат для целей упорядочивания проектных работ, которое заключается в том, что исходящая из некоторого события работа не может начаться, пока не завершаться все входящие в него работы.
Существует масса правил, узаконенных стандартом, придерживаться которых необходимо при построении сетевых графиков. Наиболее важные из них:
− Любой сетевой график должен иметь начальное событие, работы из которого только исходят, и конечное событие, в которое они только входят;
− Любой путь сетевого графика должен быть полным. То есть, любая цепочка, непрерывно следующих друг за другом, последовательных во времени работ, должна начинаться в исходном событии сетевого графика, а заканчиваться в конечном;
− Сетевой график не должен иметь замкнутых петель. То есть, недопустимо, чтобы конец некоторой работы являлся бы началом другой работы, предшествующей первой по времени.
Имея только структуру сетевого графика, невозможно разрешить вопрос о его оптимальности. Требуется проводить расчеты еще целого ряда, принятых параметров. К этим параметрам относятся:
ранние и поздние сроки наступления событий;
− ранние и поздние сроки начала и окончания работ;
− резервы времени работ и событий.
Ранний срок наступления события – это минимально возможный срок, необходимый для выполнения всех работ, предшествующих данному событию. Расчёт ранних сроков наступления событий ведут в порядке – от начального события проекта (с номером 0) до завершающего. При расчёте принимают, что ранний срок наступления начального события равен 0. Для определения раннего срока наступления
-го события пользуются правилом, математически записываемым так:
, (2.
1)
где
–ранний срок наступления рассматриваемого события,
;
– номер рассматриваемого события;
– номера предшествующих событий, соединенных с рассматриваемыми работами;
– ранний срок наступления
-го предшествующего события,
;
– длительность работы, соединяющей
-е предшествующее событие с рассматриваемым,
.
Таким образом, ранний срок наступления
-го события – есть максимально возможная сумма из сумм ранних сроков наступления предшествующих событий и длительностей работ соединяющих предшествующие события с рассматриваемым. Забегая вперёд, надо сказать, что эти суммы равны ранним срокам окончания соответствующих работ. Тогда, ранний срок свершения события – есть максимальный из ранних сроков окончания, входящих в него работ.
Поздний срок наступления события – это максимально допустимый срок наступления рассматриваемого события, определяемый из условия, что после наступления этого события в свой поздний срок остаётся достаточно времени, чтобы выполнить следующие за ним работы. Расчёт поздних сроков наступлений событий ведут в обратном порядке – от завершающего события проекта до начального (с номером 0). При расчёте принимают, что поздний срок наступления завершающего события совпадает с его ранним сроком наступления. Для расчёта позднего срока наступления
-го события пользуются правилом, математически записываемым так:
, (2.
2)
где
– поздний срок наступления рассматриваемого события,
;
– номер рассматриваемого события;
– номера последующих событий, соединённых с рассматриваемым работами;
– поздний срок наступления
-го последующего события,
;
– длительность работы, соединяющей
-е последующее событие с рассматриваемым, ![]()
Таким образом, поздний срок наступления
-го события – есть минимально возможная разность из разностей поздних сроков наступления последующих событий и длительностей работ, соединяющих последующие события с рассматриваемым. Забегая вперёд, необходимо сказать, что эти разности равны поздним срокам начала соответствующих работ. Тогда, поздний срок свершения события – есть минимальный среди поздних сроков начала, исходящих из него работ.
Зная ранний и поздний сроки наступления события, можно определить резерв времени события:
, (2.3)
где
– резерв времени рассматриваемого события,
.
Резерв времени события показывает насколько можно отсрочить наступление события по сравнению с его ранним сроком наступления без изменения общей продолжительности всего проекта.
Ранний срок начала работы совпадает с ранним сроком наступления её начального события, а ранний срок окончания работы превышает его на величину продолжительности этой работы:
; (2.4)
, (2.5)
где
– ранний срок начала работы, исходящей из
-го события и входящей в
-е событие,
;
– ранний срок окончания данной работы,
;
– длительность этой работы,
;
– раннее начало события, из которого исходит рассматриваемая работа,
;
Поздний срок окончания работы совпадает с поздним сроком наступления её конечного события, а поздний срок начала работы меньше на величину продолжительности этой работы:
; (2.6)
, (2.7)
– поздний срок окончания работы, исходящей из
-го события и входящей в
-е событие,
;
– поздний срок начала данной работы,
;
– длительность этой работы,
;
– позднее окончание события, в которое входит рассматриваемая работа,
.
Полный резерв времени некоторой работы – это максимальное время, на которое можно отсрочить её начало или увеличить продолжительность, не изменяя директивного срока наступления завершающего события сетевого графика:
, (2.
8)
где
– полный резерв времени работы, исходящей из
-го события и входящей в
-е событие,
.
Свободный резерв времени некоторой работы – максимальное время, на которое можно отсрочить её начало или увеличить её продолжительность при условии, что все события наступают в свои ранние сроки:
, (2.9)
где
– свободный резерв времени работы, исходящей из
-го события и входящей в
-е событие,
.
В качестве примера, который потребуется и в дальнейшем, основные рассмотренные параметры сетевого графика рассчитаны для случая, представленного на рисунке 2.1. Здесь, длительности работ, являющиеся исходными данными для расчёта, выбраны произвольным образом. Параметры работ обозначены соответствующими символами возле стрелок. Параметры событий отражены в трёх квадрантах соответствующих кружков. В левых квадрантах отражены значения ранних сроков свершения событий. В правых – значения поздних сроков свершения событий. В верхних – значения резервов времени событий.
Как говорилось в предыдущем разделе, длительность критического пути легко найти из расчёта параметров сетевого графика. Теперь можно сказать, чему она равна, – она равна сроку свершения завершающего события сетевого графика и, соответственно, определяет длительность выполнения всех проектных работ. Последнее заключается в том, что проектные работы не могут завершиться в срок, меньший, чем длительность критического пути, и в тоже время, если все проектные работы выполняются вовремя, то срок их завершения равен длительности критического пути.
Обоснование рациональных методик поиска особых путей сетевых график ов
Обоснование рациональных методик поиска особых путей сетевого графика основано на смысле полного резерва времени работы, который показывает, на сколько можно отсрочить начало или увеличить продолжительность работы без изменения продолжительности всего проекта. Надо сказать, что этот смысл вытекает из правил расчёта сетевого графика и давно известен, поэтому сейчас он не требуется в специальном рассмотрении. Важно другое – из смысла полного резерва времени работы следует истинность следующего утверждения, на котором основаны некоторые, приводимые ниже доказательства, – полный резерв времени работы может появиться только за счёт существования другого более длительного пути, нежели путь, в состав которого входит рассматриваемая работа. Это утверждение становится очевидным, если подумать – за счёт чего, у некоторой работы, может появиться возможность отсрочить начало её выполнения или увеличить её продолжительность без изменения срока свершения завершающего события сетевого графика? Естественно, только за счёт того, что этот срок свершения определяется другим, более продолжительным путём.
Начнём с доказательства методики поиска критического пути сетевого графика. Для этого рассмотрим ряд вспомогательных теорем.
Теорема 3.1 – Для того, чтобы некоторый путь сетевого графика был бы критическим, необходимо и достаточно, чтобы полные резервы времени всех входящих в него работ были бы равны нулю.
Необходимость – Если некоторый путь является критическим, то полные резервы времени всех входящих в него работ равны нулю.
Докажем это утверждение методом от противного.
Пусть известно, что некоторый рассматриваемый путь заведомо критический. Теперь предположим противное – на нём лежит хотя бы одна работа с ненулевым резервом времени. Это означает, что есть другой путь, с большей продолжительностью, чем рассматриваемый, за счёт чего и получается данный резерв времени. Но, раз имеется более продолжительный путь, то рассматриваемый путь уже не может быть критическим. Полученное противоречие доказывает невозможность существования на критическом пути работы с ненулевым полным резервом времени, так как в противном случае, он уже не будет являться критическим. Тогда, для любой работы критического пути остаётся другая возможная ситуация – её полный резерв времени равен нулю. Утверждение доказано.
Поскольку любой сетевой график имеет критический путь, то есть путь с наибольшей продолжительностью, то, на основании только что доказанного, в любом сетевом графике можно найти путь, работы которого имеют только нулевые полные резервы времени.
Достаточность – Если все работы некоторого пути имеют нулевые полные резервы времени, то этот путь обязательно является критическим.
Если некоторый путь имеет работы только с нулевыми полными резервами времени, то это означает, что ни одну работу, указанного пути, нельзя увеличить по длительности без изменения срока свершения завершающего события сетевого графика. Это возможно, только когда сумма длительностей работ, рассматриваемого пути равна сроку свершения завершающего события, то есть длительности критического пути. Тогда, рассматриваемый путь и является критическим, в силу того, что он равен критическому пути по длительности. Утверждение доказано.
Теорема 3.2 – Если в некоторое событие сетевого графика входит работа с нулевым полным резервом времени, то среди всех исходящих из данного события работ, обязательно найдётся хотя бы одна, имеющая также нулевой резерв времени. То есть, работы с нулевыми резервами времени следуют друг за другом непрерывно.
Для доказательства данной теоремы рассмотрим обобщенный пример на рисунке 2.2, где, в целях удобства, событиям присвоены условные номера.
Докажем теорему методом от противного.
Пусть для работы, входящеё в событие 2, полный резерв времени
. Предположим противное – среди всех работ, исходящих из события 2, нет ни одной работы с нулевым полным резервом времени.
Для начала найдём, чему равен поздний срок свершения события 2. Он, в соответствии с формулой (2.2), определяется как минимальное время позднего начала работы среди всех работ, исходящих из рассматриваемого события. Пусть поздний срок свершения события 2 равен позднему началу работы, входящей, например, в событие 4:
![]()
,
или, в соответствии с выражением (2.8) для полного резерва времени,
.(2.
10)
Теперь рассмотрим, какое может иметь значение полный резерв времени работы, исходящей из события 1 и входящей в событие 2. В соответствии с формулой (2.8):
Из формулы (2.11) видно, что минимально возможное значение полного резерва времени работы, исходящей из события 1 и входящей в событие 2, достигается тогда, когда величина
достигает своего максимального значения. Из правила определения раннего срока свершения события, задаваемого формулой (2.1), следует, что максимальное значение этой величины может быть равно только раннему сроку свершения события 2, когда ранний срок окончания рассматриваемой работы самый большой из всех ранних сроков окончания работ, входящих в событие 2. Тогда, минимально возможное значение полного резерва времени работы, исходящей из события 1 и входящей в событие 2 равно:
,
или, исходя из формулы (2.11):
(2.13)
Поскольку мы предположили от противного, что среди всех исходящих из события 2 работ нет работ с нулевым полным резервом времени, то отсюда сразу вытекает, что и работа, исходящая из события 1 и входящая в событие 2, также не может иметь нулевой полный резерв времени, уж если его минимальное значение заведомо неравно нулю, в соответствии с полученным равенством. Последнее противоречит условию теоремы. Из этого противоречия следует то, что невозможна ситуация, когда при нулевом резерве времени работы, входящей в событие 2, все исходящие из этого события работы имели бы ненулевые резервы времени. Если бы это имело место, то в соответствии с приведённым доказательством, работа, входящая в событие 2 также бы имела ненулевой полный резерв времени. Но ведь это не так по условию теоремы. Тогда для работ, исходящих из события 2 остаётся другая возможная ситуация – хотя бы одна из них имеет также нулевой полный резерв времени. Теорема доказана.
Из доказанных выше теорем, непосредственно, следует методика поиска критического пути, приводимая ниже.
Рациональная методика поиска критического пути сетевого графика:
1 Просмотр сетевого графика ведётся от его начального события к конечному;
2 При рассмотрении начального события сетевого графика, в качестве работы, лежащей на критическом пути, выбирается та, которая имеет нулевой полный резерв времени. В соответствии с теоремой 3.1 (утверждение-необходимость), такая работа обязательно будет существовать;
3 При рассмотрении работ, исходящих из события, к которому привила работа с нулевым полным резервом времени, выбирается работа, также имеющая нулевой полный резерв времени. В соответствии с теоремой 3.2, такая работа существует;
4 Если, среди исходящих из некоторого события работ, есть несколько работ с нулевыми полными резервами времени, то выбирается любая. При этом, согласно теореме 3.2, процесс построения критического пути в тупик зайти не может, и рано или поздно дойдет до завершающего события сетевого графика.
Реализация указанных правил даёт путь, состоящий только из работ с нулевыми полными резервами времени. Тогда, на основании теоремы 3.1 (утверждение-достаточность), этот путь и будет являться критическим.
В целях проверки, доказанная методика применена для сетевого графика, представленного на рисунке 2.1 . Здесь, найденные критические пути, выделены жирными стрелками. Как видно, таких путей два, благодаря тому, что среди работ, исходящих из события 0, есть две работы с нулевыми полными резервами времени. Проверить то, что найденные пути являются критическими легко, просуммировав длительности принадлежащих им работ. Суммы окажутся: во-первых, равными между собой, а во-вторых, наибольшими среди аналогичных сумм других возможных путей.
Теперь рассмотрим вопрос поиска наикратчайшего пути сетевого графика. Оказывается, для его поиска можно применять, методику поиска критического пути, если использовать идею, высказываемую в следующей теореме.
Теорема 3.3 – Если произвести расчёт параметров заданного сетевого графика по установленным правилам, но заменяя известные длительности работ на те же значения с отрицательным знаком (длительности всех работ будут меньше нуля), то наикратчайший путь сетевого графика станет подчиняться всем свойствам критического пути.
Эту теорему легко доказать, используя правило сравнения отрицательных чисел. Данное правило заключается в том, что одно отрицательное число считается большим другого, если абсолютное значение первого меньше абсолютного значения второго. Поскольку длительность наикратчайшего пути, по абсолютному значению наименьшая, среди длительностей всех других путей сетевого графика, то, на основании указанного правила, отрицательная длительность наикратчайшего пути будет наибольшей среди отрицательных длительностей остальных путей. Тогда, наикратчайший путь, состоящий из работ с отрицательными длительностями, будет критическим, при условии, что все остальные пути, также состоят из работ с отрицательными длительностями. Теорема доказана.
Для проверки доказанной теоремы, параметры сетевого графика на рисунке 2.1 пересчитаны заново, при отрицательных значениях длительностей работ, и представлены на рисунке 2.3. Как видно, сетевой график на рисунке2.3 содержит путь, работы которого имеют только нулевые полные резервы времени. Данный путь выделен жирными стрелками. Этот путь, являясь критическим для сетевого графика на рисунке 2.3, в тоже время является наикратчайшим путем для сетевого графика на рисунке 2.1 . Последнее можно проверить простым суммированием длительностей его работ. Полученная сумма должна быть наименьшей по абсолютному значению, среди аналогичных сумм других путей сетевого графика на рисунке 2.1 .
Вообще говоря, для нахождения продолжительности наикратчайшего пути, необходимой при анализе оптимальности сетевого графика по критерию (1.1), не обязательно суммировать длительности всех, принадлежащих ему работ. Она уже известна из рассчитанных, при отрицательных длительностях работ, параметров сетевого графика, и равна, как и для любого критического пути, сроку свершения завершающего события. Естественно, что данный срок свершения имеет отрицательное значение, и поэтому, для нахождения фактической длительности наикратчайшего пути, требуется менять это значение на противоположное.
![]()
Необходимо сказать, что можно поставить и решить общую задачу поиска пути заданной продолжительности. Но данная задача принципиальной важности, при анализе сетевого графика, не несёт. Для анализа оптимальности сетевого графика и осуществления его оптимизации, достаточно знать лишь, как проходят особые пути, и какова их продолжительность.
Рынок технических устройств аналогичного характера представлен: частными фирмами, конструкторскими бюро, лабораториями, организованными на базе НИИ, НПО, занимающимися передовыми и прибыльными разработками на уровне мировых стандартов.
Данная группа производителей способна разрабатывать и выпускать любые партии изделий высокого качества, использую передовые технологии и материальную базу. Эта группа активно отслеживает конъюнктуру рынка и гибко реагирует на его потребности.
Другая группа производителей - это иностранные фирмы, имеющие свои представительства в нашей стране. Их продукцию отличает высокое качество, надёжность и потребительские характеристики. Цены иностранных производителей всегда выше отечественных, а вследствие постоянного падения курса отечественной валюты, цена будет постоянно расти. Такие фирмы не могут конкурировать с другими группами рынка из-за слишком высокой цены на свою продукцию.
Спрос на устройства аналогичной группы достаточно высок. По способу использования аппаратуры он разделяется на коммерческий и бытовой. Спрос на аппаратуру для коммерческого использования прежде всего определяется качеством продукта, поэтому производителями являются фирмы, обладающие высокотехнологичным производством и современным исследовательским комплексом. Спрос на аппаратуру для бытового использования в основном определяется ценой.
Прогнозируя развитие рынка сбыта на будущее, можно предположить переключение спроса с дорогой импортной аппаратуры на аппаратуру отечественного производства того же класса. Ситуация усугубляется предполагаемой высокой инфляцией. Прогнозируемый объём продаж составит до нескольких тысяч штук в год.
Для обеспечения прогнозируемого сбыта разрабатываемого устройства необходимо проведение ряда мер:
1) маркетинговые мероприятия, то есть проведение рекламной деятельности по сбыту: участие в специализированных выставках, издание рекламной литературы для специалистов и физических лиц, установление контактов с потребителями;
2) калькуляция затрат для получения возможности снижения цены путём сокращения определённых статей расходов, повышая этим конкурентоспособность;
3) послепродажное обслуживание, т. е. организация центров гарантийного и послегарантийного обслуживания.
Многие крупные проекты, такие как строительство дома, изготовление станка, разработка автоматизированной системы бухгалтерского учета и т.д., можно разбить на большое количество различных операций (работ). Некоторые из этих операций могут выполняться одновременно, другие — только последовательно: одна операция после окончания другой. Например, при строительстве дома можно совместить во времени внутренние отделочные работы и работы по благоустройству территории, однако возводить стены можно только после того, как будет готов фундамент.
Задачи планирования работ по осуществлению некоторого проекта состоят в определении времени возможного окончания как всего проекта в целом, так и отдельных работ, образующих проект; в определении резервов времени для выполнения отдельных работ; в определении критических работ, то есть таких работ, задержка в выполнении которых ведет к задержке выполнения всего проекта в целом; в управлении ресурсами, если таковые имеются и т.п.
Для организации разработки большое распространение получил метод сетевого планирования и управления.
Для выполнения работ по заданной теме сетевая модель разбивается на отдельные чётко определенные работы и отражает логическую взаимосвязь и параметры всех работ и событий разработки.
Планирование работ с применением сетевого метода осуществляется в следующей последовательности:
1) составление перечня всех работ,
2) определение продолжительности работ,
3) составление сетевого графика,
4) расчёт основных параметров сетевого графика,
5) определение критического пути,
6) анализ сетевого графика и его оптимизация.
Для построения сетевого графика необходимо составить таблицу с перечнем всех событий и работ. Для оценки продолжительности работ применяется вероятностный принцип, при этом ответственный представитель по каждой работе делает две оценки и, на основе этих оценок, определяет ожидаемое время по формуле:
(2.13)
tmin – минимальная продолжительность работы при благоприятных условиях;
tmax – максимальная продолжительность работы при неблагоприятных условиях.
2.1.1 Расчет сетевого графика для производства телеги
Предприятия "Техсервис" производит много разнообразной продукции: коптильно-варочные установки, телеги, микропроцессорные системы и т.д. В данном дипломном проекте поставлена задача оптимизировать сборку телеги, а также выявить экономический эффект за счет инноваций технологии и экономии ресурсов.
Рассмотрим основные составляющие телеги:
- Полка ТМ.201.01.03 – 24 шт. – Лист Б-О-ПН-2,0 ГОСТ 19903-74/12Х18Н10Т ГОСТ 5582-75;
- Заглушка ТМ.201.01.09 – 2 шт. - Лист Б-О-ПН-2,0 ГОСТ 19903-74/12Х18Н10Т ГОСТ 5582-75;
- Стенка ТМ.200.10.06 – 4 шт. - Лист Б-О-ПН-2,0 ГОСТ 19903-74/12Х18Н10Т ГОСТ 5582-75;
- Балка ТМ.200.10.01 – 2 шт. - Лист Б-О-ПН-3,0 ГОСТ 19903-74/12Х18Н10Т ГОСТ 5582-75;
- Кронштейн ТКМ.150.10.06-07 – 12 шт. - Лист Б-О-ПН-3,0 ГОСТ 19903-74/12Х18Н10Т ГОСТ 5582-75;
- Косынка ТМ.201.01.12-05 – 6 шт. - Лист Б-О-ПН-5,0 ГОСТ 19903-74/12Х18Н10Т ГОСТ 5582-75;
- Шайба ТМ.150.00.03 – 12 шт. - Лист Б-О-ПН-3,0 ГОСТ 19903-74/12Х18Н10Т ГОСТ 5582-75;
- Стойка ТМ.201.01.02 – 2 шт. - Труба 40х60х1,5/12Х18Н10Т ГОСТ 9941-81;
- Поперечина ТМ.201.01.06 – 2 шт. - Лист Б-О-ПН-2,0 ГОСТ 19903-74/12Х18Н10Т ГОСТ 5582-75;
- Боковина ТМ.203.01.01 – 4 шт. - Труба 40х60х1,5/12Х18Н10Т ГОСТ 9941-81.
Покупные изделия:
- Колесо – 6 шт.
- Винт М12х70 ГОСТ 11738-72 – 6 шт.;
- Гайка М12 ГОСТ 77ГОСТ 5927-70 – 6 шт.
Внешний вид и сборочный чертеж телеги предоставлен в приложении Б.
Перечень событий и работ, а также результаты расчета по формуле (2.13) приведены в таблице 2.1
Таблица 2.1.
Перечень событий и работ
| № | Наименование | Код | Наименование | Продолжительность | ||
| событий | работы | работы | (минут) | |||
| 1 | 2 | 3 | 4 | 5 | 6 | 7 |
| 0 | Утвержден план сборки телеги | 0 - 1 | Анализ сборки и составление плана-графика разработки | 2 | 3 | 2 |
| 1 | Изготовление узла 1 | 1 - 2 | Изготовление одной балки | 40 | 45 | 42 |
| 1 - 3 | Изготовление 6-ти кронштейнов | 20 | 23 | 22 | ||
| 1 - 4 | Изготовление 2-х стенок | 23 | 25 | 24 | ||
| 2 - 5 | Сварка балки с 6 кронштейнами | 26 | 30 | 28 | ||
| 5- 6 | Приварка 2-х стенок к балке | 25 | 30 | 27 | ||
| 2 | Изготовление узла 2 | 1 – 7 | Изготовление второй балки | 30 | 35 | 42 |
| 1 – 8 | Изготовление 6-ти кронштейнов | 20 | 23 | 22 | ||
| 1 – 9 | Изготовление 2-х стенок | 23 | 25 | 24 | ||
| 7 – 10 | Сварка балки с 6 кронштейнами | 26 | 30 | 28 | ||
| 2 – 11 | Приварка 2-х стенок к балке | 25 | 30 | 27 | ||
| 3 | Изготовление узла 3 | 1 – 12 | Изготавливаем стойки – 2 шт. | 30 | 35 | 33 |
1 – 13 |
Изготавливаем заглушки - 2 шт. | 27 | 30 | 28 | ||
| 1 – 14 | Изготавливаем поперечины – 2 шт. | 25 | 28 | 27 | ||
| 12 – 15 | Сварка стоек и поперечин | 19 | 22 | 21 | ||
| 4 | Изготовление узла 4 | 1– 16 | Изготовление косынок – 6 шт. | 20 | 30 | 25 |
| 6 – 17 | Сварка узла 1 с узлом 3 | 24 | 26 | 25 | ||
| 11 – 17 | Сварка узла 2 с узлом 3 | 24 | 26 | 25 | ||
17 – 18 |
Приварка косынок к балкам и заглушек к стойкам | 28 | 30 | 29 | ||
| 5 | Завершающая сборка телеги | 1 –19 | Изготовление полок – 24 | 700 | 740 | 720 |
| 1 – 20 | Изготовление боковин – 4 шт. | 30 | 35 | 33 | ||
| 1 – 21 | Изготовление ручек – 4 шт. | 20 | 24 | 22 | ||
| 18 – 22 | Разметка узла 4 | 40 | 50 | 45 | ||
| 22 – 23 | Сварка полок с узлом 4 | 460 | 500 | 480 | ||
| 23 – 24 | Приварка боковин | 22 | 25 | 23 | ||
| 24 – 25 | Приварка ручек | 27 | 33 | 31 | ||
| 6 | Окончательная сборка телеги | 1 – 26 | Доставка колес, гаек и винтов по 6 шт. | 12 | 14 | 13 |
| 25 – 27 | Установка колес и комплектующих | 15 | 17 | 16 | ||
| 7 | Контроль качества сборки | 27– 28 | Просмотр телеги на наличие дефектов | 11 | 15 | 13 |
| 28 – 29 | Маркировка | 16 | 18 | 17 | ||
| 8 | Отгрузка | 29 –30 | Отгрузка произведенной продукции на склад предприятия | 15 | 17 | 16 |
После построения графика и сбора необходимых исходных данных рассчитывают параметры сети: сроки совершения событий, резервы времени, продолжительность критического пути. Для описания сети в "терминах событий" используются понятия, которые рассчитаны по формулам: (2.1), (2.2), (2.3) и (2.4).
Результаты расчета параметров сетевого графика приведены в таблице 2.2
Таблица 2.2 Параметры сетевого графика
| Код | ранний срок | поздний срок | резервы | ||||
| работы | |||||||
| 1 | 2 | 3 | 4 | 5 | 6 | 7 | 8 |
| 0 - 1 | 2 | 0 | 2 | 0 | 2 | 0 | 0 |
| 1 - 2 | 42 | 40 | 700 | 45 | 720 | 5 | 20 |
| 1 - 3 | 22 | 20 | 700 | 25 | 720 | 5 | 20 |
| 1 - 4 | 24 | 20 | 700 | 30 | 720 | 10 | 20 |
| 2 - 5 | 28 | 27 | 700 | 35 | 720 | 8 | 20 |
| 5- 6 | 27 | 25 | 700 | 32 | 720 | 7 | 20 |
| 1 – 7 | 42 | 40 | 700 | 45 | 720 | 5 | 20 |
| 1 – 8 | 22 | 20 | 700 | 23 | 720 | 1 | 20 |
| 1 – 9 | 24 | 22 | 700 | 25 | 720 | 3 | 20 |
| 7 – 10 | 28 | 23 | 700 | 30 | 720 | 7 | 20 |
| 2 – 11 | 27 | 25 | 700 | 30 | 720 | 5 | 20 |
| 1 – 12 | 33 | 30 | 700 | 34 | 720 | 1 | 20 |
| 1 – 13 | 28 | 26 | 700 | 30 | 720 | 4 | 20 |
| 1 – 14 | 27 | 25 | 700 | 30 | 720 | 5 | 20 |
| 12 – 15 | 21 | 20 | 700 | 25 | 720 | 5 | 20 |
| 1– 16 | 25 | 22 | 700 | 35 | 720 | 13 | 20 |
| 6 – 17 | 25 | 22 | 700 | 32 | 720 | 10 | 20 |
| 11 – 17 | 25 | 20 | 700 | 35 | 720 | 15 | 20 |
| 17 – 18 | 29 | 23 | 700 | 30 | 720 | 7 | 20 |
| 1 –19 | 720 | 0 | 720 | 0 | 720 | 0 | 0 |
| 1 – 20 | 33 | 30 | 700 | 35 | 720 | 5 | 20 |
| 1 – 21 | 22 | 20 | 700 | 25 | 720 | 5 | 20 |
| 18 – 22 | 45 | 720 | 765 | 720 | 765 | 0 | 0 |
| 22 – 23 | 480 | 765 | 1245 | 765 | 1245 | 0 | 0 |
| 23 – 24 | 23 | 1245 | 1268 | 1245 | 1268 | 0 | 0 |
| 24 – 25 | 31 | 1268 | 1299 | 1268 | 1299 | 0 | 0 |
| 25 – 26 | 13 | 1299 | 1312 | 1299 | 1312 | 0 | 20 |
| 26 – 27 | 16 | 1312 | 1328 | 1312 | 1328 | 0 | 0 |
| 27– 28 | 13 | 1328 | 1341 | 1328 | 1341 | 0 | 0 |
| 28 – 29 | 17 | 1341 | 1358 | 1341 | 1358 | 0 | 0 |
| 29 –30 | 16 | 1358 | 1374 | 1358 | 1374 | 0 | 0 |
Пусть Ткр = 0-1-19-22-23-24-25-26-27-28-29-30 является критическим. Его продолжительность равна 1374 минуты. Сетевой график приведен на рис.
2.1.2 Анализ и оптимизация сетевого графика
Проведем анализ сетевого графика на основе рассчитанных выше временных характеристик.
Прежде всего, необходимо проверить не превышает ли длина критического пути продолжительности заданного директивного срока. Если это так, то необходимо принять меры по уплотнению графика работ. В рассматриваемом случае директивный срок выполнения
= 1200 минут, а продолжительность критического пути
= 1374 минут, т.е. превышает директивного срока.
![]()
рис. 2.4 – сетевой график производства телеги
По данным видно, что сетевой график требует оптимизации для уменьшения срока изготовления телеги.
В процесс изготовления телеги входит такая операция, как фрезеровка отверстий, на которую и требуется больше всего времени.
Краткое описание процесса фрезеровки отверстий:
Берется заготовка полки ТМ 201.01.03 в количестве 3 шт., каждая устанавливается в специальное приспособление, фиксируется и производится фрезеровка отверстий с помощью токарно-фрезерного станка. Норма времени изготовленияна 2-х полок (16 отверстий) составляет 1 нормо/час.
Так как фрезеровка отверстий – это длительный процесс, было предложено этот процесс перевести на более удобный и экономичный по времени. Процесс штамповки рубит сразу 8 отверстий на механическом прессе, который уже является имуществом предприятия. Заготовка вставляется в приспособление и одновременно производится вырубка 8 отверстий (1 полка). Норма времени 1 полки – 10 минут. Поэтому в процесс производства и сборки телеги было внедрено специальное приспособление – оснастку, которая уменьшит по срокам изготовление полок в 3 раза.
Таким образом, не меняя последовательность и процесс производства и сборки телеги критический путь стал составлять Т = 1374 – 720 + ( 720 * 1/3) = 1134 минуты, что уже является менее директивного срока.
2.1.3 Экономическая часть
Величину затрат на НИР определим на основе метода калькуляции.
Договорная цена разработки определяется как сумма стоимости темы и прибыли, и считается по следующим статьям калькуляции:
- основные материалы, покупные изделия;
- основная заработная плата производственного персонала;
- дополнительная заработная плата;
- отчисления на социальные нужды;
- оплата работ, выполняемые сторонними организациями;
- накладные расходы.
Расчет металлоемкости на 1 телегу, исходя из следующих данных:
- Лист Б-О-ПН-2,0 ГОСТ 19903-74/12Х18Н10Т ГОСТ 5582-75 за 1 кг составляет 22,25 грн.
- Лист Б-О-ПН-3,0 ГОСТ 19903-74/12Х18Н10Т ГОСТ 5582-75 за 1 кг составляет 22,2 грн.
- Лист Б-О-ПН-5,0 ГОСТ 19903-74/12Х18Н10Т ГОСТ 5582-75 за 1 кг составляет 21 грн.
- Труба 40х60х1,5/12Х18Н10Т ГОСТ 9941-81 за 1 кг – 22,6 грн.
Расчет металлоемкости производится по массе изделия. В таблице 2.3 указана масса каждого изделия и также стоимость этого изделия.
Таблица 2.3
Расчет металлоемкости телеги
| Наименование | Масса, кг | Цена за 1 кг | Стоимость, грн. |
| Полка | 17,70 | 22,25 | 393,83 |
| Заглушка | 0,60 | 22,25 | 13,35 |
| Поперечина | 8,23 | 22,25 | 183,12 |
| Косынка | 6,00 | 21,00 | 126,00 |
| Стенка | 0,17 | 22,25 | 3,78 |
| Балка | 7,47 | 22,20 | 165,83 |
| Кронштейн | 4,13 | 22,20 | 91,77 |
| Шайба | 0,26 | 22,20 | 5,77 |
| Стойка | 8,09 | 22,60 | 182,80 |
| Боковина | 7,44 | 22,60 | 168,04 |
| Итого: | 1334,29 | ||
При расчете себестоимости выпускаемой продукции, учитываются следующие статьи расходов:
- покупка сырья (в данном случае – это металл);
- покупные изделия;
- заработная плата основных рабочих, которая рассчитывается за каждый отработанный час в размере 5,50 грн;
- заработная плата вспомогательных рабочих, которая составляет 15 % от заработной платы основных рабочих;
- накладные расходы – начисления на заработную плату, аренда, коммунальные услуги, транспорт и т.д. – 217 % от заработной платы основных рабочих (устанавливается размер накладных отчислений на каждом предприятии по-разному);
- электроэнергия.
В таблице 2.4 приведена изначальная себестоимость продукции (телеги) до каких - либо изменений.
Таблица 2.4
Первоначальная себестоимость телеги
| Материалы: | Кол-во, шт. | Цена, грн. | Стоимость, грн |
|
| Металл 45 кг | 1334,29 | |||
| Сварочные материалы | ||||
| (аргон, вольфрам, сварочная проволока) | 40,00 | |||
| Покупные изделия: | ||||
| Колеса | 6 | 15 | 90,00 | |
| Винт н/ж | 6 | 1,5 | 9,00 | |
| Гайка | 6 | 1,2 | 7,20 | |
| Всего материалов: | 1480,49 | |||
| Зарплата основных рабочих | 20 | 5,5 | 110,00 | |
| Зарплата вспомогательных рабочих | 16,50 | |||
| Электроэнергия | 3,00 | |||
| Накладные расходы ( аренда, начисления | 238,70 | |||
| на з/плату, коммунальные услуги и т.д.) | ||||
| Итого: | 1848,69 | |||
| Прибыль для предприятия 30% | 554,61 | |||
| Цена изделия | 2403,30 | |||
| НДС 20% | 480,66 | |||
| Отпускная цена | 2883,96 | |||
Технологические мероприятия
Конструкторами предприятия были проведены исследования, которые показали, что можно уменьшить металлоемкость выпускаемой продукции, что уменьшит себестоимость телеги, а также ее вес.
К этим изделиям относятся:
- Полка ТМ.201.01.03 – 24 шт. – Лист Б-О-ПН-2,0 ГОСТ 19903-74/12Х18Н10Т ГОСТ 5582-75;
- Заглушка ТМ.201.01.09 – 2 шт. - Лист Б-О-ПН-2,0 ГОСТ 19903-74/12Х18Н10Т ГОСТ 5582-75;
- Стенка ТМ.200.10.06 – 4 шт. - Лист Б-О-ПН-2,0 ГОСТ 19903-74/12Х18Н10Т ГОСТ 5582-75;
- Косынка ТМ.201.01.12-05 – 6 шт. - Лист Б-О-ПН-5,0 ГОСТ 19903-74/12Х18Н10Т ГОСТ 5582-75;
- Поперечина ТМ.201.01.06 – 2 шт. - Лист Б-О-ПН-2,0 ГОСТ 19903-74/12Х18Н10Т ГОСТ 5582-75;
Для полки, стенки и заглушки будут теперь использоваться листы нержавеющей стали толщиной 1,5 мм, для косынки – листы нержавеющей стали толщиной 3 мм и для поперечины будет использоваться труба толщиной 1,5 мм. Этим уменьшается вес изделий, снижается себестоимость готового изделия и, как результат, увеличивается прибыль предприятия, так как отпускную цену предприятие оставляет прежнюю.
В таблице 2.5 приведен расчет металлоемкости с измененными параметрами.
Таблица 2.5
Расчет металлоемкости с измененными параметрами
| Наименование | Масса, кг | Цена за 1 кг | Стоимость, грн. |
| Полка | 13,30 | 22,60 | 300,58 |
| Заглушка | 0,50 | 22,60 | 11,30 |
| Поперечина | 5,60 | 22,60 | 126,56 |
| Косынка | 3,60 | 22,60 | 81,36 |
| Стенка | 0,15 | 22,60 | 3,39 |
| Балка | 7,47 | 22,20 | 165,83 |
| Кронштейн | 4,13 | 22,20 | 91,77 |
| Шайба | 0,26 | 22,20 | 5,77 |
| Стойка | 8,09 | 22,60 | 182,80 |
| Боковина | 7,44 | 22,60 | 168,04 |
| Итого: | 1137,41 | ||
Расход металлоемкости стал меньше на 196, 90 грн. на 1 телегу. Если учитывать, что в месяц предприятие "Техсервис" изготавливает 30 телег, то получается экономия ресурсов на 5906, 55 грн., что и будет составлять больший процент прибыли предприятия.
В таблице 2.6 представлен расчет себестоимости телеги со снижением металлоемкости.
Таблица 2.6
Калькуляция себестоимости со снижением металлоемкости
| Материалы: | Кол-во, шт. | Цена, грн. | Стоимость, грн | ||||||
| Металл 45 кг | 1137,41 | ||||||||
| Сварочные материалы | |||||||||
| (аргон, вольфрам, сварочная проволока) | 40,00 | ||||||||
| Покупные изделия: | |||||||||
| Колеса | 6 | 15 | 90,00 | ||||||
| Винт н/ж | 6 | 1,5 | 9,00 | ||||||
| Гайка | 6 | 1,2 | 7,20 | ||||||
| Всего материалов: | 1283,61 | ||||||||
| Зарплата основных рабочих | 20 | 5,5 | 110,00 | ||||||
| Зарплата вспомогательных рабочих | 16,50 | ||||||||
| Электроэнергия | 3,00 | ||||||||
| Накладные расходы | 238,70 | ||||||||
| Итого: | 1651,81 | ||||||||
| Прибыль для предприятия 45% | 751,49 | ||||||||
| Цена изделия | 2403,30 | ||||||||
| НДС 20% | 480,66 | ||||||||
| Отпускная цена | 2883,96 | ||||||||
Прибыль предприятия увеличилась на 15% за счет уменьшения металлоемкости телеги.
И, последнее мероприятия, как было сказано уже выше – это замена процесса фрезеровки отверстий на штамповку. Он эффективен как по продолжительности работ, так и по трудозатратам предприятия ООО "Техсервис".
Всего телега состоит из 24 полок. Если мы используем процесс фрезеровки, то фрезеровка всех отверстий у нас составляет 12 норма/часов, если в эксплуатацию мы внедрим специальную оснастку, то время вырубки отверстий у нас займет 4 часа, что в 3 раза быстрее, чем было ранее. Каждый норма/час оплачивается в размере 5,50 грн., то мы получаем:
o ранее 20 * 5,50 = 110 грн.
o сейчас 12 * 5,50 = 66 грн.
Экономия на 1 телеги - 44 грн. В среднем предприятие в месяц изготавливает 30 телег, 1320 грн. – экономия за счет изменения технологического процесса. Но в этом случае необходимо приобрести оснастку стоимостью 3000 грн. В таблице 2.7 приведен расчет себестоимости продукции, учитывая все изменения, которые были предложены.
Таблица 2.7
Себестоимость продукции с учетом всех приведенных изменений
| Материалы: | Кол-во, шт. | Цена, грн. | Стоимость, грн |
||
| Металл 45 кг | 1137,41 | ||||
| Сварочные материалы | |||||
| (аргон, вольфрам, сварочная проволока) | 40,00 | ||||
| Покупные изделия: | |||||
| Колеса | 6 | 15 | 90,00 | ||
| Винт н/ж | 6 | 1,5 | 9,00 | ||
| Гайка | 6 | 1,2 | 7,20 | ||
| Всего материалов: | 1283,61 | ||||
| Зарплата основных рабочих | 12 | 5,5 | 66,00 | ||
| Зарплата вспомогательных рабочих | 9,90 | ||||
| Электроэнергия | 3,00 | ||||
| Накладные расходы | 143,22 | ||||
| Итого: | 1505,73 | ||||
| Прибыль для предприятия 60% | 897,57 | ||||
| Цена изделия | 2403,30 | ||||
| НДС 20% | 480,66 | ||||
| Отпускная цена | 2883,96 | ||||
По данным таблицы видно, что прибыль предприятия была увеличена до 60%, что является хорошим показателем в процветании бизнеса в нашей стране. Поэтому приобретение оснастки, для вырубки отверстий не понесет за собой каких-либо убытков, а, наоборот, принесет только более высокую прибыль предприятию.
Прибыль в размере 60% - это высокий показатель, и, для увеличения спроса продажи телег было бы более целесообразно уменьшить отпускную стоимость телеги.
2.2 Анализ спроса и прогноз
Процесс управления предприятием представляет собой непрерывную разработку управленческих решений и применение их на практике. От эффективности разработки этих решений в значительной степени зависит успех дела. И прежде чем начинать какое-либо дело, необходимо определить цель своих действий. В процессе производства руководителям предприятия очень часто приходится сталкиваться с критическими проблемами, и от того, на сколько оптимально принятое решение, будет зависеть конечный финансовый результат деятельности предприятия.
Потребность в решении возникает только при наличии проблемы, которая в общем, виде характеризуется двумя состояниями– заданным (желаемым) и фактическим (прогнозируемым), и именно прогнозирование будет отправной точкой в процессе принятия управленческого решения. Рассогласование между этими состояниями предопределяет необходимость выработки– управленческого решения и контроля за его реализацией.
Цель данного раздела — изложить в систематизированном виде методы прогнозирования объема продаж, наиболее часто применяемые в экономической практике. Главное внимание в работе обращено на прикладное значение рассматриваемых методов, на экономическое истолкование и интерпретацию получаемых результатов, а не на объяснение математико-статистического аппарата, который подробно освещается в специальной литературе.
Чтобы прогнозирование было наиболее эффективным, цели должны быть конкретными и измеримыми. То есть для каждой цели должны существовать критерии, которые позволили бы оценить степень достижения цели. Без этих критериев не возможна реализация одной из основных функций управления– контроля. Исходя из этого, можно сделать вывод, что цель, степень достижения которой можно количественно измерить, будет всегда лучше цели, сформулированной лишь словесно (вербально).
Прогноз (от греч. prognosis) — вероятностное суждение о будущем на основе специальных исследовательских методов.
Экономический прогноз — система научных исследований о возможных направлениях будущего развита экономики и отдельных се сфер.
Прогнозирование — разработка прогнозов. В более узком толковании — специальные научные исследования конкретных перспектив развития какого-либо явления. Прогнозирование находится в тесной взаимосвязи с планированием, разработкой программ, проектированием, управлением, являясь в своей сущности одним из этапов системы планирования, которое, в свою очередь, является одной из функций управления.
В общественных науках выделяют этапы прогнозирования: краткосрочное — на 1 - 2 года, среднесрочное - на 5 - 10 лет, долгосрочное — на 15 - 20 лет и сверхдолгосрочное - на 50 - 100 лет.
2.2.1 Место прогнозирования в системе подготовки и принятия решений
Управление как процесс воздействия на организационную систему в целях приведения ее в желаемое состояние укрупнено можно представить состоящим из системы взаимосвязанных функций:
![]()
Эти функции управления взаимосвязаны, взаимообусловлены и представляют собой единый процесс, единую систему.
Планирование (в том числе прогнозирование) как функция управления является информационным процессом. Особенности этого процесса — в наличии временного сдвига информации выхода по отношению к информации входа
При планировании и прогнозировании входными являются в основном потоки информации о прошлом (ретроспективная информация), выходными — потоки информации о будущем (перспективная информация).
Наряду с ретроспективной информацией при принятии решений используется информация о состоянии объекта прогнозирования и планирования, среды и фона в момент разработки прогнозов и планов, т. е. информация о настоящем. По отношению к прогнозному и плановому периодам эта информация также является информацией о прошлом, поэтому ее условно можно отнести к ретроспективной информации (условно ретроспективная информация).
Величина временного сдвига информационных потоков входа и выхода при принятии решений зависит от времени упреждения прогнозирования и планирования по отношению к ретроспективному периоду.
Глубиной прогнозирования (планирования) называется промежуток времени в будущем, на который разрабатывается прогноз или план. С увеличением времени упреждения возрастает необходимая глубина ретроспекции, а следовательно, и временной сдвиг информации входа и выхода процесса прогнозирования и планирования.
Глубиной ретроспекции называется промежуток времени функционирования объекта в прошлом (от горизонта ретроспекции до настоящего момента), по которому имеется необходимая и достаточная ретроспективная информация.
Горизонтом ретроспекции называется самая дальняя в прошлом точка на шкале времени, о которой имеется необходимая и достаточная информация.
Стратегическое планирование в отличие от приведенной системы планов ориентировано на сроки достижения поставленной стратегической дали ОС и промежуточных целен этапов - подцелей, которые совершенно не обязательно во времени должны совпадать с вышеприведенными стандартизированными временными отрезками.
Второй аспект в подходе к рассмотрению прогнозирования – прогнозирование используется в качестве механизма прогноза показателей для решения задач планирования.
Принципиальным отличием прогнозирования от планирования является характер выходной информации: директивность плановой информации (план-директива) и ориентирующий характер прогнозной информации (прогноз-ориентация). Эти отличия характеризуются значительным уменьшением точности и достоверности вырабатываемой информации о будущем при увеличении глубины прогнозирования и планирования.
2.2.2 Задачи и виды прогнозирования. Систематизация методов прогнозирования
Чтобы получить информацию о будущем, нужно изучить законы развития народного хозяйства, определить, причины, движущие силы его развития — это основная задача прогнозирования.
В качестве основных движущих сил развития производства выступают социальные потребности, технические возможности и экономическая целесообразность.
В соответствии с этим можно указать на четыре основные задачи прогнозирования:
• установление целей развития хозяйства;
• поиск оптимальных путей и средств их достижения;
• определение ресурсов, необходимых для достижения поставленных целей;
• расчет прогнозных значений показателей, используемых в системе планирования.
В такой интерпретации прогнозирование в определенной степени предвосхищает постановку основных задач стратегического планирования.
Классификации методов прогнозирования
К настоящему времени известно более ста различных методов прогнозирования. По некоторым признакам большинство из них можно объединить в группы, в частности по глубине прогнозов:
• краткосрочные прогнозы (1 - 3 года);
• среднесрочные прогнозы (3 - 5 лет);
• долгосрочные прогнозы (более 7 лет).
Можно представить совокупность всех методов прогнозирования в виде иерархического дерева (но своему составу далеко не полного) (рис. 2.5)

Таблица 2.8
Классификация методов прогнозирования
| Класс методов прогнозирования | Методы прогнозирования | Область применения |
| Качественные методы прогнозирования | 1. Методы анкетирования: | Прогнозирование технического прогресса и некоторых показателей при стратегическом, долгосрочном, перспективном и текущем планировании. Возможно применение при прогнозировании ТЭП с достаточно малой степенью надежности. |
| а) экспертные оценки; | ||
| б) метод Дельфи | ||
| 2.Морфологический метод | ||
| 3. Метод мозговой атаки | ||
| 4. Методы упорядочения | ||
| Экономико-статистическое моделирование | 1.Методы анализа временных рядов: | Прогнозирование научно-технического прогресса и технико-экономических показателей при стратегическом, перспективном и текущем планировании. |
| а) прогноз трендов; | ||
| б) прогноз случайной компоненты | ||
| 2.Методы многомерного статистического анализа: | ||
| а) парная и множественная корреляция; | ||
| б) производственные функции; | ||
| в) методы факторного анализа; | ||
| г) методы кластерного анализа (теории распознавания образов) | ||
| Имитационное моделирование | 1.Метод статистических испытаний (Монте-Карло) | Прогнозирование случайных величин и поведения сложных систем |
| 2.Имитационноые модели организационных систем | ||
| Нормативный метод | 1.Динамическое программирование | 1. Прогнозирование и выбор вариантов возможных путей достижения целей. 2. В совокупности с другими методами прогнозирования. |
| 2.Разработка целевых программ в задачах программного управления | ||
| 3.Задание нормативов для некоторых параметров прогнозируемых процессов |
Возможно деление методов прогнозирования по виду исходной информации. Можно говорим, о так называемых количественных и качественных методах (табл.2.8).
Под количественными понимаются методы, исходной информацией для которых, как правило, служат динамические ряды.
В зависимости от того, какая задача решается в первую очередь, различают два вида количественного прогнозирования: исследовательское (поисковое) и нормативное.
Исследовательское прогнозирование основано на экстраполяции тенденций ретроспекции на перспективу "от прошлого — через — настоящее к будущему"..
Формализуемые методами исследовательского прогнозирования прогнозные экономико-математические модели используют для расчета прогнозных значений соответствующих показателей в системах планирования.
С исследовательским прогнозированием смыкается задача адаптационного управления:
(2.14)
где
(t) — вектор состояний ОС, рассматриваемых как следствия предшествующих состояний;
— глубина ретроспекция.
Нормативное прогнозирование основано на определении наиболее рационального пути достижения перспективной цели, сформулированной как норматив, которого предписано достичь. В процессе нормативного прогнозирования при поиске путей достижения нормативной цели кроме количественных методов используют также эвристические. Поэтому метод нормативного прогнозирования может быть также отнесен к комбинированным методам. К качественным относятся методы, в которых исходной информацией являются некоторые качественные характеристики исследуемого фактора или процесса. Такой качественной характеристикой может служить мнение специалистов об этом процессе. Качественные методы иногда называют эвристическими, поскольку они базируются на интуиции и опыте специалистов, на литературных источниках и других видах информации.
Качественные методы предполагают нахождение определенных качественных характеристик процесса, количественные позволяют дать численные оценки прогнозируемых параметров, фактора или процесса.
2.2.3 Статистические методы прогнозирования
Статистические методы прогнозирования основаны на использовании количественной информации о состоянии и поведении исследуемого объекта. Эта информация является ретроспективной, т. е. она описывает состояние и поведение объекта в прошлые моменты времени. Исследователь, анализируя эту информацию, выявляет качественную картину поведения объекта в прошлом, определяет тенденцию его развития. После анализа условий возникновения выявленной тенденции исследователь делает вывод о правомочности продолжения (экстраполяции) этой тенденции на будущие состояния объекта, после чего производит соответствующие количественные расчеты, позволяющие установить численные характеристики прогнозного состояния объекта. В случае предполагаемых изменений условий функционирования объекта в будущем следует прибегать к экспертным методам прогнозирования для оценки влияния изменившихся условий на поведение объекта в прогнозном периоде.
Таблица 2.9 Характеристика количественных методов прогнозирования временных рядов
| Вид прогноза | Метод, глубина прогноза | Характеристика информации | Глубина надежности прогноза | Область применения | Основные трудности метода |
| Прогноз трендов | 1. Метод наименьших квадратов (МНК) кратко- и среднесрочный (КС,СС) |
Гладкая, детерминирован-ная n >10 - 15 |
Ряды с устойчивой динамикой | Выбор правильной модели | |
| 2.МНК с весами (КС) | Детерминирован-ная n >10 |
То же | Выбор весов, выбор типа модели | ||
| 3.Скользящая средняя (КС, СС) | То же | " | Выбор числа точек осреднения |
||
| 4.Экспоненци-альное сглаживание (КС,СС) | " | " | Выбор параметра сглаживания | ||
| 5. Гармонические веса (КС,СС) | Детерминирован-ная n >10 - 15 |
" | Выбор числа точек построения прямых | ||
| 6. Огибающие кривые | Детерминированная n >20 - 30 |
По числу кривых | " | Построение огибающей прямой | |
Прогноз случайной компонен-ты |
7. Авторегрессия (КС) | Случайный процесс, n >10 - 15 |
Стационарность процесса | Выбор порядка модели | |
| 8. Спектральный метод | Любая, n >30 - 50 |
Ряды с устойчивой динамикой | Выбор модели разложения | ||
| 9.Вероятностный прогноз (статистичес-кие испытания) (КС) | Любая, n >30 - 50 |
Устойчивость распределения | Выбор начального закона распределения | ||
| Примечание: n — число точек исходной информации (число реализаций на ретроспективном интервале); |
|||||
Области применения различных статистических количественных методов укрупнено систематизированы в табл. 2.9, которую можно представить так же, как классификацию методов прогнозирования.
В общем виде схема расчета прогноза с помощью статистических методов приведена на рис. 2.6
Первый этап — "Сбор информации" — включает в себя сбор статистических данных, описывающих объект управления в проявлениях, интересующих исследователя. Если, например, изучается горное предприятие как экономическая система с целью оценки его возможностей при разработке плана производства продукции, необходимо выявить тенденции изменения таких показателей, как производительность труда, себестоимость продукции, производительность и состояние техники, фондоотдача, фондоемкость, прибыль, рентабельность и т. п.
возникнуть необходимость знать изменения в динамике таких показателей, как уровень удовлетворения социально-бытовых нужд рабочих, уровень организации труда на рабочем месте, уровень текучести кадров и др.
На этом этапе в случае необходимости проводится математико-статистический анализ полученных статистических совокупностей с целью выявления вида и параметров закона распределения изучаемых показателей, установления корреляционных связей между ними и т. п.
Второй этап — "Анализ информации" — является необходимым предварительным этапом в прогнозировании. Прогнозирование статистическими методами основано на формальной математической экстраполяции выявленных тенденций развития объекта прогнозирования в будущие моменты времени. Однако такая экстра полиция тенденций без учета условий функционирования объекта может дать значительную ошибку. Например, при протезировании производительности труда или себестоимости продукции необходимо учитывал., что в следующем году предприятие может получить новую, более производительную технику, которая резко изменит сложившиеся тенденции в динамике изучаемых показаний. Такое качественное изменение условий необходимо учитывать в прогнозировании (блоки 3 и 4, рис. 6.5).

Другим примером качественного изменения условий функционирования объекта ОС может служить разработанный на предприятии план организационно-технических мероприятий, направленных на изменение нежелательных для предприятия имеющихся тенденций. Например, при снижении производительности труда или повышении себестоимости продукции руководством шахты или объединения на следующий год намечается ряд мер, призванных исправить это положение. Было бы ошибкой не учитывать последствия намеченных мер при прогнозировании этих показателей.
На следующем — "расчетном" — этапе на основе количественного анализа полученной на предыдущих этапах информации выявляются тенденции изменения прогнозируемых показателей, представляемые в конкретном численном виде — в виде функций, таблиц или графиков. С помощью полученных зависимостей, в которые подставляют численные значения параметров, влияющих на исследуемый показатель, рассчитывается прогноз.
Необходимость четвертого этапа — "Верификация прогноза" (бл. 6) —- обусловлена тем, что всякий прогноз есть вероятностное суждение о будущем. Процедура верификации (от англ. verification — проверка) призвана оценить, насколько велика вероятность совпадения в будущем прогнозных значений показателя с фактическими. В случае если расчетные значения надежности удовлетворяют принятому нормативному уровню надежности, прогноз принимается; в противном случае пересматриваются исходные условия прогнозирования или прогноз вычисляется другим методом до получения удовлетворительных оценок надежности.
Нормативный уровень надежности обычно принимается экспертным путем, исходя из практических соображений. Статистические методы прогнозирования включают в себя три основные Группы методов: методы прогнозирования временных рядов, методы факторного анализа — регрессионного, главных компонент, производственных функций — и методы имитационного моделирования.
2.2.4 Методы экспертных оценок
Эта группа методов прогнозирования предполагает учет субъективного мнения экспертов о будущем состоянии дел. Для экспертных оценок характерно предсказание будущего на основе как рациональных доводов, так и интуитивного знания. Методы экспертных оценок, как правило, имеют качественный характер. Экспертные оценки разделяют на индивидуальные и коллективные.
К индивидуальным экспертным оценкам относят:
· сценарии;
· метод "интервью"
· аналитические докладные записки.
Метод "интервью" предполагает беседу организатора прогнозной деятельности с прогнозистом-экспертом, в которой ставятся вопросы о будущем состоянии фирмы и ее среды.
Метод аналитических докладных записок означает самостоятельную работу эксперта над анализом деловой ситуации и возможных путей ее развития.
Коллективные экспертные оценки можно назвать комплексными методами прогнозирования, поскольку они включают:
· подготовку и сбор индивидуальных экспертных оценок;
· статистические методы обработки полученных материалов.
Коллективные экспертные оценки включают:
· метод "комиссий"
· метод "мозговых атак";
· метод Дельфи.
Метод "комиссий" может означать организацию "круглого стола" и других подобных мероприятий, в рамках которых происходит согласование мнений экспертов.
Для метода "мозговых атак" характерны:
· коллективная генерация идей
· творческое решение проблем.
Мозговая атака представляет собой свободный, неструктурированный процесс генерирования любых идей по избранной теме, которые спонтанно высказываются участниками встречи. Оптимальное число участников -6-12 человек, желательно, чтобы это были люди, имеющие различные профессии и специализации.
Метод Дельфи был разработан известным экспертом из исследовательской корпорации "РЭНД" Олафом Хельмером, математиком по образованию. Может быть, поэтому в методе Дельфи сочетаются творческий подход к решению проблемы и достаточная точность прогноза.
Свое название метод получил по древнегреческому городу Дельфи, прославившемуся своими предсказателями.
Суть метода Дельфи состоит в проведении анкетных опросов специалистов выбранной области знаний (наиболее часто этот метод используется в технологическом прогнозировании, при предсказании открытий и нововведений в области технологии). Полученные анкетные данные подвергаются статистической обработке, в результате которой формируется диапазон мнений экспертов, отражающий их коллективное мнение по избранной проблеме.
Обычно после первого опроса наблюдается значительный разброс мнений. Поэтому процедура осуществления метода Дельфи предполагает проведение еще трех-четырех опросов, в преддверии которых каждого из экспертов знакомят с итогами предыдущего опроса, но не для того, чтобы оказать на него давление, а для того, чтобы эксперт мог получить дополнительную информацию о предмете опроса. Идеально опрос повторяется до совпадения мнений экспертов, реально– до получения наиболее узкого диапазона мнений.
Из всех перечисленных методов экспертных оценок очень высокую популярность в последние десятилетия получил метод составления сценариев. Рассмотрим его более подробно.
2.2.5 Метод составления сценариев
Впервые термин "сценарий" был употреблен в 1960г. футурологом Х.Каном при разработке картин будущего, необходимых для решения стратегических вопросов в военной области.
Сценарий– это описание (картина) будущего, составленное с учетом правдоподобных предположений. Как правило, для прогноза ситуации характерно существование определенного количества вероятных вариантов развития. Поэтому прогноз обычно включает в себя несколько сценариев (рис. 2.7). В большинстве случаев это три сценария:
· оптимистический;
· пессимистический;
· средний (наиболее вероятный, ожидаемый).

Рис.2.7 - Так изобразил модель сценариев немецкий исследователь X.Гешка
Сценарии разрабатываются для определения рамок будущего развития:
· технологии;
· рыночных сегментов;
· стран или регионов и т.д.
Экономическая организация со смежной структурой и разнообразием направлений деятельности меньше поддается прогнозированию в рамках сценария.
В целом сценарий подчинен стратегической функции фирмы и разрабатывается в процессе долгосрочного планирования. Широкий временной охват предполагает усиление неопределенности среди бизнеса, и поэтому для сценария, как правило, характерны некоторая недостоверность и повышенное количество ошибок. Поскольку определение количественных параметров будущего затруднено (так, трудно точно определить величину продаж фирмы через 5 лет), при составлении сценариев чаще всего используются качественные методы и интервальные прогнозы показателей.
Вместе с тем сценарий предполагает комплексный подход для его разработки, помимо качественных могут использоваться количественные методы:
· экономико-математические;
· моделирование;
· анализ перекрестного влияния;
· корреляционный анализ и т.д.
Составление сценария обычно включает в себя несколько этапов.
Первый этап. Структурирование и формулировка вопроса.
Вопрос, выбранный для анализа, должен быть определен так точно, как это возможно. На данном этапе должна быть собрана и проанализирована базовая информация. Поставленная задача должна быть согласована со всеми участниками проекта.
Необходимо осветить структурные характеристики и внутренние проблемы проекта.
Второй этап. Определение и группировка сфер влияния.
Для осуществления второго этапа необходимо выделить критические точки среды бизнеса и оценить их влияние на будущее организации.
Третий этап. Установление показателей будущего развития критически важных факторов среды организации.
После того, как основные сферы влияния обозначены, необходимо определить их возможное состояние в будущем, исходя из намеченных фирмой целей.
Показатели будущего состояния не должны быть чрезмерно благополучными, амбициозными.
Для сфер, развитие которых может включать несколько вариантов, будущее состояние должно быть описано при помощи нескольких альтернативных показателей (например, фирму устраивает. чтобы численность населения в регионе увеличилась на 2,3 или 5%).
Четвертый этап. Формирование и отбор согласующихся наборов предположений.
Если на третьем этапе фирма определяла будущее состояние среды и ее влияние на фирму, исходя из собственных целей, то на четвертом этапе возможное развитие сфер влияния определяется исходя из их сегодняшнего состояния и всевозможных изменений.
Различные альтернативные предположения о будущем состоянии наиболее значимых компонентов среды комбинируются в наборы. Формирование наборов обычно осуществляется при помощи компьютерных программ. Из полученных наборов отбираются, как правило, три набора. Отбор осуществляется исходя из следующих критериев:
· высокая сочетаемость предположений, входящих в набор;
· наличие большого числа значимых переменных;
· высокая вероятность событий, относящихся к набору предположений.
Пятый этап. Сопоставление намеченных показателей будущего состояния сфер влияния с предположениями об их развитии.
На этом этапе сопоставляются результаты третьего и четвертого этапов. Повышенные или заниженные показатели состояния среды корректируются при помощи данных, полученных на четвертом этапе.
Так, если фирма на третьем этапе прогнозировала увеличение рождаемости в регионе в 2003 г. на 5%, а анализ на четвертом этапе показал, что произойдет ухудшение экономической конъюнктуры, экологической обстановки, возможны политические и социальные коллизии, то на пятом этапе показатель 5% должен быть изменен в сторону его уменьшения, например до 3%.
Для более точного прогноза необходимо сокращать интервал между сегодняшним днем и конечным временем прогнозирования. Так, если прогноз составляется в 1997 г для 2003 г., то период прогнозирования нужно разделить на два этапа по три года: сначала разработать сценарий для 2000 года, а уже затем для 2003 года.
Шестой этап. Введение в анализ разрушительных событий.
Разрушительное событие– это внезапно случившийся инцидент, который не был ранее спрогнозирован и который может изменить направление тенденции.
Разрушительные события могут иметь как отрицательный характер (наводнения, землетрясения, аварии атомных реакторов и т.д.), так и положительный (технологические взрывы, политические примирения между бывшими противниками и т.д.).
Из возможных разрушительных событий нужно выделить те, которые способны оказать наиболее сильное воздействие, и учесть их при составлении сценариев (например, на состояние рождаемости в регионе могут повлиять: во-первых, авария на атомной станции; во-вторых, вероятность локального конфликта; в-третьих, открытие нового месторождения полезных ископаемых. Однако реальное воздействие возможно только первого из событий).
Седьмой этап. Установление последствий.
На этом этапе сопоставляются стратегические проблемы фирмы (например, возможность роста за счет более широкого освоения рынка) и выбранные варианты развития среды. Определяются характер и степень воздействия тех или иных вариантов развития на стратегические области действий фирмы.
Восьмой этап. Принятие мер.
В узком смысле этот этап уже не относится к анализу. Однако он естественно вытекает из предыдущих этапов.
2.2.6 Методы прогнозирования временных рядов
При прогнозировании изменения во времени какого-либо производственного показателя применяются методы анализа и прогнозирования временных рядов, основанные на исследовании случайных процессов.
Случайным процессом называется функция от времени, значения которой в любой момент времени являются случайными величинами.
Реализацией случайного процесса называется последовательность наблюдений i-гo показателя xi1 , xi2 , …, xin случайного процесса в моменты времени t1 , t2 , …, tn .
Временным рядом называется последовательность наблюдений случайного процесса, полученных в равноотстоящие моменты времени. Временной ряд называют также динамическим рядом или рядом динамики.
Наблюдение временною ряда xit в любой момент времени t называется уровнем временного ряда.
Любой уровень временного ряда хt можно условно представить в виде суммы систематической составляющей и случайной компоненты:
,
где хt - уровень временною ряда в t-й момент времени;
f(t) — систематическая (детерминированная) составляющая временного ряда — функция от времени;
— случайная величина с параметрами
,
где
— математическое ожидание
;
— среднеквадратическое отклонение.
Таблица 2.10
Временной ряд xit
| tk | 1 | 2 | 3 | 4 | 5 | 6 | 7 | 8 | 9 | 10 |
| xit | 2 | 1 | 4 | 4 | 6 | 1 | 7 | 9 | 12 | 11 |
Функция f(t) выражает влияние на хt различных постоянно, систематически действующих факторов, обусловленных внутренней структурой изучаемого процесса, хорошо изученными проявлениями внешней среды и т. п.
Функция f(t) называется трендом и показывает тенденцию изменения во времени изучаемого показателя.
Случайная компонента
обусловлена бессистемным, случайным влиянием на хt
каких-либо случайных факторов.
Временной ряд представляется в табличном или графическом виде. В табл. 2.10 представлен временной ряд изменения некоторого показателя xit
в фиксированные равноотстоящие моменты времени tk
,k =
.
Табл. 2.10 читается так: "В первый момент времени t = 1 показатель хt , принял значение, равное 2; при t=2 хt =1; при t=3 хt =4 и т.д.

рис.2.8 – Графическое представление временного ряда
Этот же временной ряд представлен в виде графика изменения xi во времени (рис. 2.8).
Из рис. 2.8 видно, что с течением времени значение ряда xit
увеличивается, хотя в отдельных случаях (t2
, t7
, t10
) соответствующие уровни ряда xi2
xi7
xi10
меньше, чем в предшествующие моменты времени: xi2<
xi1 ,
xi7 <
xi6
и т. д. В этих случаях говорят, что наблюдается тенденция увеличения значений ряда со временем (пунктирная линия), а отдельные отклонения
от тенденции f(t) носят случайный характер.
Выявление тенденции изменения показателя является основной операцией при расчете прогноза.
Однако недостаточно установить только факт увеличения (уменьшения) показателя во времени; необходимо вычислить, как он изменяется во времени, т. с. выявить вид функции f(t).
2.2.7 Определение вида прогнозной модели. Линеаризация тренда
Зависимость f(t) выявляется с помощью процедуры экстраполяции тенденций исследуемого процесса, заключающейся в подборе теоретической кривой, адекватно описывающей процесс изменения показателя.
Экстраполяция ряда выполняется с помощью математических функций, которые подбираются под эмпирическую совокупность статистических данных. Эта функция позволяет получить расчетные значения уровней ряда, т. е. значения, которые наблюдались бы при полном совпадении теоретической кривой с фактическими значениями ряда.
Экстраполяция тенденции временного ряда осуществляется в два этапа:
•выбор типа кривой, форма которой соответствует характеру тенденции временного ряда;
•определение численных значений параметров кривой.
Выбор типа кривой (основной этап при экстраполяции тенденций ряда. Это достаточно трудоемкий процесс, ибо перебор различных видов функциональных зависимостей осуществляется в обширном классе аналитических функций. В практике экстраполяции тенденции временных рядов наиболее часто встречаются следующие зависимости (рис.2.9):
1)линейная функция: х = a + bt;
2)парабола: х = а + bt + ct2 ;
3)полином третьей степени: х = а + bt + ct2 + dt3 ;
4)гипербола: х = а + ![]()
5)степенная функция: х = аtb
6) экспоненциальная функция: х = аеbt ;
7) модифицированная экспонента: x=k - аеbt ;
8)экспоненциально-степенная функция: х = eat tb ;
9)логистическая (S – образная ) функция: x = k (1+be-at ) ;
10)функция Гомпертца: x = kabt ;
11)квадратная логистическая функция:
;
12)логарифмическая функция: x = b lgt.
При экстраполяции тенденций ряда задача состоит в том, чтобы определить параметры выбранной функции a0 , a1 , а2 и т. д. Для определения этих параметров применяют метод наименьших квадратов.


рис. 2.9. – Общий вид некоторых прогнозных кривых
2.2.8 Предварительная обработка прогнозной информации
При значительном разбросе значении исходного ряда для облегчения процедуры выбора типа кривой и уменьшения трудоемкости се математического описания осуществляют предварительную обработку исходного числового ряда путем его сглаживания и выравнивания.
Процедуру сглаживания применяют в целях уменьшения случайных отклонений единичных значений числового ряда, как правило, методом скользящей средней. Для этого определяют средние значения групп точек исходного ряда, при этом группы выбирают как бы скользящими от начала к концу ряда. Так, к примеру, при сглаживании группы по пяти значениям, имеем группы:


…
Остающиеся крайние точки (х1 , х2 и xn-1 , xn ) сглаживают по специальным формулам.
Для сглаживания по трем точкам применяют формулы:
;
;
,
где х0
,
— исходное и сглаженное значения средней точки в скользящей группе; х-1
,
— исходное и сглаженное значения в левой от средней точке; х+1
,
— исходное и сглаженное значения в правой от средней точке.
Для средней точки скользящей группы из т = 2к +1 точек в общем виде формула имеет вид

При большом числе точек исходного ряда используют рекуррентную формулу:

При наличии в исходном ряде значительных случайных отклонений единичных реализаций от групповых средних процедура сглаживания дает хорошие результаты, способствуя выявлению тенденции ряда. При необходимости сглаживание может быть выполнено повторно по уже сглаженному ряду значений. Однако эффективность многократного сглаживания быстро уменьшается и более одного — трех раз его выполнять нецелесообразно.
Метод наименьших квадратов дает наиболее точные результаты при аппроксимации линейных зависимостей. Достаточно успешно его применяют также для определения параметров парабол, кубических полиномов и гипербол. Чтобы получить параметры других аппроксимирующих зависимостей, прибегают к процедуре выравнивания тренда путем его линеаризации. То есть эмпирическую зависимость вида x = f(t) приводят к виду
X=A+BT.
Коэффициенты А и В линеаризованной зависимости определяют методом наименьших квадратов, после чего осуществляют обратный переход от вычисленных значений А и В к исходным a и b произвольной функции x = f(t).
2.2.9 Обработка временных рядов методом наименьших квадратов
Сущность метода наименьших квадратов (МНК) заключается в минимизации суммы квадратов случайных отклонений
, фактических значений временного ряда от тренда f(t):
(2.15)
Минимизируется сумма квадратов отклонений, а не самих отклонений по той причине, что эти отклонения могут иметь как положительное, так и отрицательное значения и при суммировании взаимно погашаются. Отсюда название метода.
МНК дает наиболее точные результаты в случае, когда f(t) имеет линейный вид. Однако на практике этим методом пользуются и при определении параметров функций, описываемых параболической и гиперболической зависимостями; погрешность МНК в этом случае для практических целей не существенна. Рассмотрим МНК для определения параметров следующих зависимостей:
f(t)= a0 + a1 t - линейная зависимость;
f(t)= a0 + a1 t + a2 t2 – парабола;
- гипербола.
Для линейной зависимости условие (2.15) запишется в виде
(2.16)
Для краткости обозначим сумму
через Q.
Тогда задача определения тренда формулируется так: найти такие значения коэффициентов а0 и а1 , чтобы Q = min Q.
Необходимым условием осуществления минимума функции является равенство нулю частных производных этой функции по параметрам а0 и а1 :
![]()
![]()
После преобразования получим систему так называемых нормальных уравнений:

Решив эту систему относительно а0 и а1 , получим параметры функции f(t)= a0 + a1 t.
2.2.10 Обработка временных рядов методом наименьших квадратов с весами
Экстраполяция выполненной с помощью МНК тенденции изменений показателя на прогнозный период предполагает, что вес наблюдения (уровни временного ряда) равнозначны для прогноза. Однако информация об изменении показателя в период времени, непосредственно примыкающий к моменту прогноза, "ценнее" для прогнозирования, чем в более удаленный. Но и более удаленные от момента прогноза наблюдения временною ряда также несут значительную информацию о процессе, поэтому пренебрегать этими наблюдениями при расчете прогноза не следует.
Для учета различной "ценности", или, как это принято в терминологии прогнозирования и информатики, "веса" информации в различные моменты времени применяют метод наименьших квадратов с весами (МНКВ) и метод экспоненциального сглаживания.
Рассмотрим метод наименьших квадратов с весами.
Суть метода заключается в том, что каждому отклонению
, придается вес βt
<1, причем веса возрастают для точек, находящихся ближе к моменту прогнозирования. Следовательно, чем дальше наблюдение (уровень) стоит от момента прогноза, тем меньший вес оно имеет, тем меньшее влияние оказывает на формирование уровня прогнозного значения показателя.
Для определения веса βt , удобно использовать выражение
βt = λn-(t-1) (2.17)
где λ — некоторое число, меньшее единицы;
п — число наблюдений.
Чем меньше величина λ, тем меньше ранние наблюдения влияют на прогноз.
Условие (2.17) для МНКВ запишется в виде

Система нормальных уравнений для МНКВ имеет вид

2.2.11 Прогнозирование временных рядов методом экспоненциального сглаживания
Идея метода заключается в том, что временной ряд сглаживается с помощью взвешенной скользящей средней, веса которой подчиняются экспоненциальному закону, причем чем дальше от момента прогноза отстоит точка ряда, тем меньшее участие принимает она в формировании прогнозного значения.
В общем виде скользящая средняя St временного ряда по т наблюдениям при длине ряда п определяется по формуле
(2.18)
С помощью скользящей средней можно прогнозировать временные ряды, однако на практике этот метод используется редко из-за грубых результатов.
Прогноз временных рядов методом экспоненциального сглаживания (в дальнейшем ЭС) основывается на вычислении экспоненциальной средней k-гo порядка для ряда хі :
(2.19)
где
— экспоненциальная средняя k-го порядка для t-го наблюдения временного ряда;
— экспоненциальная средняя [k-1]-го порядка для [t-1]-го наблюдения временного ряда;
k — порядок средней, характеризующий уровень ряда в зависимости от степени прогнозирующего полинома;
t — точка ряда, для которой вычисляется средняя;
i-номера точек, для которых вычисляется средняя,
;
α — параметр сглаживания.
Экспоненциальная средняя
для t-й точки временного ряда равняется некоторой доле экспоненциальной средней
[k-1]-го порядка для предыдущей точки временного ряда.
Эта доля определяется коэффициентом α, называемым параметром сглаживания.
Физический смысл параметра α заключается в том, что он показывает вес t-го наблюдения в прогнозе.
Для рядов, описываемых линейной зависимостью, вычисляются дне экспоненциальные средние: первого и второго порядков:
и
; для рядов, описываемых квадратичной зависимостью, вычисляются три средние: первого, второго и третьего порядков:
,
,
. Вообще для ряда ![]()

порядок k изменяется в пределах от 1 до n+1.
Экспоненциальную среднюю первого порядка
вычисляют по формуле
(2.20)
В практических вычислениях вместо формул (2.19) и (2.20) удобно использовать рекуррентное соотношение
(2.21)
Экспоненциальная средняя
равняется сумме долей экспоненциальных средних
и
. Величина этих долей определяется параметром сглаживания α.
Для прогноза методом ЭС необходимо коэффициенты уравнения тренда, например коэффициенты ад и а} для линейного тренда хt =а0 +а1 t, выразить через экспоненциальные средние по следующим формулам:
![]()

Тогда величина прогноза ряда хt =а0 +а1 t для точки t+τ,
,
где l — глубина прогноза, рассчитывается по формуле
(2.22)
Для случая, когда тренд описывается квадратичном полиномом хt
= a0
+ a1
t + 1/2a2
t2
, коэффициенты
,
и
выражаются через экспоненциальные средние следующим образом:
![]()


Прогнозные значения в этом случае рассчитываются по формуле

Для вычисления экспоненциальных средних линейной и квадратичной моделей необходимо задать значения параметра сглаживания α и так называемые начальные условия -
,
,
, которые подставляются в рекуррентную формулу (7.33) при вычислении
,
,
для t = 1.
Параметр α подсчитывается приближенно по формуле
,
где т — число наблюдений, входящих в интервал сглаживания.
Начальные условия подсчитываются по формулам:

В этих формулах коэффициенты а0 , а1 и а2 вычисляются методом наименьших квадратов.
Суммарный вес С последних т наблюдений при α, определяемой по (2.22), вычисляется по формуле
(2.24)
В общем виде последовательность расчетов при прогнозировании методом ЭС можно изобразим, в виде блок-схемы, представленной на рис. 2.10.
![]()
Рис. 2.10. Схема расчета прогноза методом экспоненциального сглаживания
2.2.12 Прогнозирование временных рядов с использованием метода авторегрессии
При сглаживании и прогнозировании временных рядов рассмотренными выше методами для расчета прогноза использовался только тренд, т. е. детерминированная составляющая процесса. Однако для решения практических задач невозможно получить такой тренд, который позволил бы добиться максимального совпадения расчетных и фактических значений показателей, т. е. нет возможности получить такие значения коэффициентов аi , которые обратили бы в нуль сумму Q или придали бы ей значение, близкое к нулю.
Уровень погрешности можно снизить путем прогнозирования случайной компоненты εt . Тогда прогноз показателя будет суммой прогнозов детерминированной и случайной составляющих:
xt = f(t) + ε* t + ut (2.25)
Здесь xt — временной ряд;
f(t) — тренд временного ряда;
ε* t — прогноз отклонения случайной компоненты εt ;
ut — ошибка протезирования εt .
Если случайная величина εt распределена по нормальному закону, для ее прогнозирования применяют метод авторегрессии.
Процессом авторегрессии называется процесс, значения которого в последующие моменты времени зависят от его значений в предшествующие моменты времени:
(2.26)
где коэффициенты β1 , β2 , …, βр-1 , βр — коэффициенты уравнения авторегрессии; иt — ошибка авторегрессии.
Расчет коэффициентов авторегрессии β1 , β2 , …, βр-1 , βр производится методом наименьших квадратов из условия минимума дисперсии склонений в фиксированной выборке из п наблюдений:

Это условие приводит к системе нормальных уравнений:



Число переменных, входящих в модель авторегрессии, называется порядком авторегрессии. В (2.26) приведена модель авторегрессии р-ro порядка.
Определение порядка авторегрессии является одним из наиболее ответственных этапов построения авторегрессионной модели. Для этого привлекают довольно громоздкий математический аппарат. Но в практических расчетах порядок авторегрессии обычно определяют эмпирическим путем. Построив несколько моделей разного порядка, проверяют точность прогноза на ретроспективных данных и на основе анализа полученных результатов делают вывод о порядке авторегрессии.
2.2.13 Прогнозирование временных рядов методов огибающих кривых
Многие динамические ряды при существенном изменении независимой переменной — времени — проявляют тенденцию к насыщению, т. е. при росте t зависимый показатель приближается к некоторой асимптоте — своему предельному значению. Такое поведение динамического ряда имеет вполне определенный физический смысл: происходит стабилизация прогнозируемого признака. В историческом аспекте насыщение динамического ряда означает подготовку смены технических и технологических формаций.
Традиционный подход к прогнозированию насыщающихся процессов основываемся на предположении, что экспериментальный динамический ряд насыщающегося процесса описывается по закону логистической кривой. Уравнение логистической кривой имеет вид
П(t) = k(1+be-ct ), (2.27)
где П(t) — прогнозируемый показатель; t — время протекания процесса, характеризующегося показателем П(t) ; k, b, c — коэффициенты;
П(t)

рис.2.11Кривая насыщения П(t)
е — основание натуральных логарифмов; Пmax — предельное значение (асимптота) функции П(t).
Логистическая кривая описывает изменение главного признака на одном из исторических этапов. Таких этапов может быть несколько, при этом для каждого из них существует своя логистическая или близкая к ней (рис. 2.11) кривая насыщения. Можно ожидать, что огибающие кривые будут принимать форму большой S-образной кривой, описанной вокруг малых 5-образных кривых, характеризующих конкретные этапы (рис. 2.12).

рис. 2.12 Огибающая По(t) семейства логистических кривых насыщения П(t)
2.2.14 Выбор метода прогнозирования
Прогнозирование на основе анализа временных рядов предполагает, что происходившие изменения в объемах продаж могут быть использованы для определения этого показателя в последующие периоды времени. Временные ряды, подобные тем, что приведены в таблице 2.11, обычно служат для расчета четырех различных типов изменений в показателях: трендовых, сезонных, циклических и случайных.
Таблица 2.11
Ежемесячное производство телег, шт
| Месяц | 2004 | 2005 | 2006 | 2007 |
| Январь | 9 | 30 | 28 | 29 |
| Февраль | 10 | 28 | 30 | 35 |
| Март | 15 | 25 | 29 | 30 |
| Апрель | 13 | 32 | 27 | 28 |
| Май | 19 | 34 | 26 | 22 |
| Июнь | 20 | 27 | 25 | 26 |
| Июль | 13 | 28 | 30 | 32 |
| Август | 20 | 30 | 31 | 25 |
| Сентябрь | 25 | 29 | 32 | 29 |
| Октябрь | 26 | 32 | 33 | 30 |
| Ноябрь | 28 | 31 | 26 | 30 |
| Декабрь | 32 | 33 | 28 | 30 |
Тренд– это изменение, определяющее общее направление развития, основную тенденцию временных рядов. Выявление основной тенденции развития (тренда) называется выравниванием временного ряда, а методы выявления основной тенденции– методами выравнивания.
Один из наиболее простых приемов обнаружения общей тенденции развития явления– укрупнение интервала динамического ряда. Смысл этого приема заключается в том, что первоначальный ряд динамики преобразуется и заменяется другим, уровни которого относятся к большим по продолжительности периодам времени. Так, например, месячные данные таб.2.11 могут быть преобразованы в ряд годовых данных. График ежегодного производства, приведенный на рис.2.13, показывает, что потребление возрастает из года в год в течение исследуемого периода. Тренд в потреблении является характеристикой относительно стабильного темпа роста показателя за период.

Рис. 2.13 Ежемесячное потребление телег в 2006—2008 гг.
Выявление основной тенденции может быть осуществлено также методом скользящей средней. Для определения скользящей средней формируются укрупненные интервалы, состоящие из одинакового числа уровней. Каждый последующий интервал получаем, постепенно передвигаясь от начального уровня динамического ряда на одно значение. По сформированным укрупненным данным рассчитываем скользящие средние, которые относятся к середине укрупненного интервала.
Прогнозирование на основе анализа временных рядов предполагает, что происходившие изменения в объемах продаж могут быть использованы для определения этого показателя в последующие периоды времени. Временные ряды, подобные тем, что приведены в таблице 2.11, обычно служат для расчета четырех различных типов изменений в показателях.
Выявление основной тенденции может быть осуществлено также методом скользящей средней. Для определения скользящей средней формируются укрупненные интервалы, состоящие из одинакового числа уровней. Каждый последующий интервал получаем, постепенно передвигаясь от начального уровня динамического ряда на одно значение. По сформированным укрупненным данным рассчитываем скользящие средние, которые относятся к середине укрупненного интервала.
Порядок расчета скользящих средних по потреблению телег в 2006-2008 гг. приведен в таблице2.12.
Таблица 2.12 Расчет скользящих средних по данным за 2004-2007 гг
| t | Месяц | Количество | Скользящее среднее |
| 1 | Июнь 2004 | 9 | #Н/Д |
| 2 | Июль 2004 | 10 | #Н/Д |
| 3 | Август 2004 | 15 | 11,33 |
| 4 | Сентябрь 2004 | 13 | 12,67 |
| 5 | Октябрь 2004 | 19 | 15,67 |
| 6 | Ноябрь 2004 | 20 | 17,33 |
| 7 | Декабрь 2004 | 13 | 17,33 |
| 8 | Январь 2005 | 20 | 17,67 |
| 9 | Февраль 2005 | 25 | 19,33 |
| 10 | Март 2005 | 26 | 23,67 |
| 11 | Апрель 2005 | 28 | 26,33 |
| 12 | Май 2005 | 32 | 28,67 |
| 13 | Июнь 2005 | 30 | 30,00 |
| 14 | Июль 2005 | 28 | 30,00 |
| 15 | Август 2005 | 25 | 27,67 |
| 16 | Сентябрь 2005 | 32 | 28,33 |
| 17 | Октябрь 2005 | 34 | 30,33 |
| 18 | Ноябрь 2005 | 27 | 31,00 |
| 19 | Декабрь 2005 | 28 | 29,67 |
| 20 | Январь 2006 | 30 | 28,33 |
| 21 | Февраль 2006 | 29 | 29,00 |
| 22 | Март 2006 | 32 | 30,33 |
| 23 | Апрель 2006 | 31 | 30,67 |
| 24 | Май 2006 | 33 | 32,00 |
| 25 | Июнь 2006 | 28 | 30,67 |
| 26 | Июль 2006 | 30 | 30,33 |
| 27 | Август 2006 | 29 | 29,00 |
| 28 | Сентябрь 2006 | 27 | 28,67 |
| 29 | Октябрь 2006 | 26 | 27,33 |
| 30 | Ноябрь 2006 | 25 | 26,00 |
| 31 | Декабрь 2006 | 30 | 27,00 |
| 32 | Январь 2007 | 31 | 28,67 |
| 33 | Февраль 2007 | 32 | 31,00 |
| 34 | Март 2007 | 33 | 32,00 |
| 35 | Апрель 2007 | 26 | 30,33 |
| 36 | Май 2007 | 28 | 29,00 |
| 37 | Июнь 2007 | 29 | 27,67 |
| 38 | Июль 2007 | 35 | 30,67 |
| 39 | Август 2007 | 30 | 31,33 |
| 40 | Сентябрь 2007 | 28 | 31,00 |
| 41 | Октябрь 2007 | 22 | 26,67 |
| 42 | Ноябрь 2007 | 26 | 25,33 |
| 43 | Декабрь 2007 | 32 | 26,67 |
| 44 | Январь 2008 | 25 | 27,67 |
| 45 | Февраль 2008 | 29 | 28,67 |
| 46 | Март 2008 | 30 | 28,00 |
| 47 | Апрель 2008 | 30 | 29,67 |
| 48 | Май 2008 | 30 | 30,00 |
Изучение основной тенденции развития методом скользящей средней является эмпирическим приемом предварительного анализа. Для того чтобы дать количественную модель изменений динамического ряда, используется метод аналитического выравнивания. В этом случае фактические уровни ряда заменяются теоретическими, рассчитанными по определенной кривой, отражающей общую тенденцию изменения показателей во времени. Таким образом, уровни динамического ряда рассматриваются как функция времени:
![]()
Наиболее часто могут использоваться следующие функции:
1) при равномерном развитии– линейная функция:
;
2) при росте с ускорением:
a) парабола второго порядка:
;
b) кубическая парабола:
;
3) при постоянных темпах роста– показательная функция:
;
4) при снижении с замедлением– гиперболическая функция:
.
Однако аналитическое выравнивание содержит в себе ряд условностей: развитие явлений обусловлено не только тем, сколько времени прошло с отправного момента, а и тем, какие силы влияли на развитие, в каком направлении и с какой интенсивностью. Развитие явлений во времени выступает как внешнее выражение этих сил.
Оценки параметров
находятся методом наименьших квадратов, сущность которого состоит в отыскании таких параметров, при которых сумма квадратов отклонений расчетных значений уровней, вычисленных по искомой формуле, от их фактических значений была бы минимальной.
Для сглаживания экономических временных рядов нецелесообразно использовать функции, содержащие большое количество параметров, так как полученные таким образом уравнения тренда (особенно при малом числе наблюдений) будут отражать случайные колебания, а не основную тенденцию развития явления.

рис.2.14 – скользящее среднее
Подбор вида функции, описывающей тренд, параметры которой определяются методом наименьших квадратов, производится в большинстве случаев эмпирически, путем построения ряда функций и сравнения их между собой по величине среднеквадратической ошибки.
Выбираем тренд с наименьшей дисперсией остатков s2 . Это полиномиальный тренд 3-го порядка, где остаток составляет 14,07.
1. По выбранному тренду составить прогноз для t=T+1,T+2,T+3 и т.д, где T=48 – последний член временного ряда в таблице. Прогноз вычисляется по формулам:
=a0
+a1
(T+1)+a2
(T+1)2
+a3
(T+1)3
,
=
a0
+a1
(T+2)+a2
(T+2)2
+a3
(T+2)3
,
=
a0
+a1
(T+3)+a2
(T+3)2
+a3
(T+3)3
,
где ai , i=1,2,3-оценки коэффициентов выбранного полиномиального тренда.
2. Вычислить доверительный интервал для прогнозов по формулам:
,
,
,
где tp – 100% точка t распределения (p=0,05). Число степеней свободы t распределения равно T-q-1, где q – степень полинома.
Величина tp находится с помощью Мастера – функции в Excel (функция СТЬЮДРАСПОБР).
Таблица 2.15
Расчет среднеквадратической ошибки
| S | Tp | Среднеквадратическая ошибка |
| 0,936056 | 2,014103 | 1,885313 |
| 2,012894 | 1,88418 | |
| 2,011739 | 1,883099 | |
| 2,010634 | 1,882065 | |
| 2,009574 | 1,881073 | |
| 2,00856 | 1,880124 |
Таблица 2.16
Расчет прогноза
| Время | Нижняя граница доверительного интервала для прогноза | Прогноз | Верхняя граница доверительного интервала для прогноза |
| 49 | 36 | 38 | 40 |
| 50 | 37 | 39 | 41 |
| 51 | 39 | 41 | 43 |
| 52 | 40 | 42 | 44 |
| 53 | 42 | 44 | 46 |
| 54 | 44 | 46 | 48 |

рис. 2.15 - график прогнозов и их доверительных интервалов
По данным прогноза мы видим, что объёмы продаж будут увеличиваться с каждым месяцем. Среднеквадратическая ошибка составляет 2 телеги в месяц.
3. Информационно – управляющая система
Одним из эффективных направлений развития производства и совершенствования управления является разработка и внедрение на предприятии передовых информационных технологий, включающих в себя:
1) определение функций, которые должны быть решены с целью обеспечения служб предприятия надежной и качественной информацией для принятия решений;
2) определение задач, которые необходимо решить с целью обеспечения решения функций, определенных па первом этапе;
3) определение перечня количественных и качественных показателей информации, необходимых для решения задач определенных на втором этапе;
4) определение форм и методов, основываясь на которых и/или используя которые с помощью количественных и качественных показателей достигается решение требуемых задач и определение заданных функций для принятия необходимых решений.
Принципиально возможно четыре формы организации стратегии функционирования информационных систем на предприятии:
- централизованное хранение и обработка информации при централизованном управлении экономико-производственными объектами (традиционная АСУ);
- централизованное хранение и обработка информации при децентрализованном или независимых системах управления (при помощи ВЦ коллективного пользования);
- распределенное хранение и обработка информации при централизованном управлении;
- распределенная обработка и хранение при децентрализованном управлении.
В данном диплом проекте автоматизтрованная информационная система будет разрабатываться для расчет себестоимости продукции и анализа спроса объмов продаж, по которым можно будет определить дальнейшуу прибыльную работу предприятия ООО "Техсервис". Поэтому отсюдо следует и название информационной системы: "Расчет себестоимости продукции и анализ спроса объмов продаж".
3.1 Информационное обеспечение
Общая характеристика информационного обеспечения
Общую структуру информационного обеспечения представлено на рисунке 3.1. Важной составляющей частью информационного обеспечения является информационная база, которая состоит из машинной и внемашинной информационной базы.
![]()
Рисунок 3.1 – Структура информационного обеспечения
Машинная информационная база – часть информационной базы ИС, которая представляет собой совокупность информационных файлов, которая хранится в памяти ЭВМ и на магнитных носителях.
Машинная информационная база состоит из информационных файлов, которые могут быть организованы в виде отдельных независимых между собой, локальных информационных или файлов в виде базы данных, т.е. интегрированной совокупности связанных между собой файлов, которыми управляет система управления базами данных (СУБД), т.е. это и предусматривает цель данной курсовой работы.
Файл – это идентифицированная совокупность логично связанных между собой данных, которые расположены вне программы во внешней памяти и доступна программе с помощью специальных операций.
База данных (БД) – это структурная совокупность взаимозависимых данных, которые характеризуют отдельную предметную область и находятся под управлением СУБД. БД представляет собой интегрированное хранилище данных, которое предназначено для использования многими пользователями и обеспечения независимости данных от прикладных программ. Связь последних пользователей и прикладных программ с БД осуществляется через СУБД, что является интерфейсом между пользователем и БД.
На выбор СУБД-претендента наибольшее влияние оказывает согласование ряда параметров среды реализации и СУБД.
Факторы, которые влияют на выбор СУБД:
- трудоёмкость реализации приложений;
- стоимость эксплуатации информационной системы;
-возможность соединения разработки базы данных с ранее выполненными программными реализациями;
- прогнозируемые сроки реализации ИС;
- затраты на обучение персонала.
Для контроля информации необходимо решить следующие задачи:
· создать "динамическую" модель предметной области системы (в которой соответствие БД текущему состоянию предметной области обеспечивается не периодически, а в решении реального времени);
· обеспечить эффективность функционирования, т.е. обеспечить требования вовремя реакции системы на запрос и возобновление БД;
· обеспечить централизованное сохранение данных в памяти ЭВМ;
· обеспечить выборку с информационных массивов данных в соответствии с заданными критериями;
· обеспечить защиту данных от некорректных обновлений, от разрушений при сбоях оборудования и от несанкционированного доступа.
Эти задачи можно осуществить при помощи создания единого хранилища – базы данных и использования средств СУБД.
Организация сбора и передачи первичной информации
Сбор информации – это подсчет, взвешивание или измерение других вариантов определения объемов той или иной хозяйственной операции. Регистрация – это внесение собранных отчетов на носители информации.
Сбор информации может выполнятся в ручную, автоматизировано или автоматично. Регистрация информации тоже выполняется в трех вариантах: автоматическом, автоматизированном и ручном.
Ручная регистрация – это выписывание первичных бумажных документов, а автоматизированная (машинно-ручная) – это выписывание первичного документа при помощи технического приспособления, что очень часто дополняется равнобежным формированием машинного носителя. В случаи автоматичного сбора информации она чаще всего автоматично регистрируется.
Если операция собирается и регистрируется не на месте ее обработки, то возникает необходимость в ее передачи. Порядок передачи информации на обработку зависит от типа носителя информации и наличия технических приспособлений и качества носителей информации, которые передаются.
Для контроля правильности передачи используются разные методы, которые могут привести к возникновению специальных технологических операций. Среди таких методов следует назвать:
1. Двойную передачу с последующим сравнением двух вариантов принятой информации;
2. Передачу дополнительной контрольной информации и разрядов. Итоги и разряды могут рассчитываться по отдельному символу, атрибуту, записи.
Список источников и носителей информации:
1.База данных затрат на материалы (БД01 ДО905);
2.Массив учета объемов продаж (МС01 ДО905).
Первичная информация собирается вручную экономистом. Все входящие сообщения в дальнейшем заносятся в автоматизированную информационную систему. За своевременное предоставление такой информации отвечает АРМ и экономист и бухгалтер.
Важную роль в деятельности предприятия играет оперативный обмен данными, который занимает до 95% времени руководителя и до 53% времени специалистов. В связи с этим увеличилось пользование программными способами типа "электронная почта". Их использование позволяет осуществлять рассылку документов внутри предприятия, отправлять, получать и обрабатывать сообщения с разных рабочих мест и даже проводить заседания специалистов, которые находятся на значительном расстоянии друг от друга. Проблема обмена данными тесно связана с организацией работы АРМ в составе вычислительной сети.
Построение системы классификации и кодирования
Классификация и кодирование – это две неотъемлемые части одного процесса- перевода разной экономической информации с природного языка на формализованный язык ЭВМ.
Классификация – это раздел множества объектов на части по их или подобию или отличию согласно с принятыми методами.
Кодирование – это создание и присвоение кода классификационной группировке и объекту классификации (или присвоение объекту определенного кода).
Классификаторы технико-экономической информации могут создаваться системным или локальным способом. При системном способе информация классифицируется с учетом требований разных уровней руководства (предприятие, министерство, ведомство и др.), по локальному – в рамках одного предприятия, организации или учреждения.
Классификация и кодирование объектов осуществляется при помощи аббревиатур их полного названия, а также нумерации. Примером кодирования может быть код основной задачи ДО905.
В ИС используется локальный классификатор, представленный в таблице 3.1.
Таблица 3.1 - Основные классификации ИС "Автоматизированная система управления документооборотом"".
| Наименование классификации | Сокращение | Объект классификации | Разрядность кода |
| Класификация баз данних | КБД | Справочники ИС | 8 |
| Классификация массивов информации | КМИ | Массивы информации ИС | 8 |
Проектирование форм первичных документов, машиннограм и видеокадров
В зависимости от того, как будут использоваться результаты обработки информации, все формы первичной и вторичной информации разделяются на две группы: формы введения и вывода, предназначенные для визуального использования; формы введения и вывода, предназначенные для машинного использования.
К первой группе относятся документы (машинограммы, диаграммы, графики), табло, телеэкран.
К второй группе – все машинные носители.
Чаще для визуального использования, как формы вывода используется машинограммы и видеограммы. Проектирование этих форм вывода имеет много общего с проектированием первичных документов и одновременно характерезуется некоторыми специфическими требованиями, которые определяются самой организацией машинной обработки данных и эксплуатационных возможностей использования технических средств.
Все формы документов разработаны в соответствии с госстандартами и утверждены соответственно.
3.2 Организационное обеспечение
Каждая технологическая схема сопровождается документацией. Документация по разработанной информационной системе содержит в себе Инструкцию для пользователя, а также Инструкцию для администратора.
Пособие пользователя приведено в приложении В и имеет такие подразделы:
1.Вступление;
2.Назначение и условия использования;
3.Подготовка к работе;
4.Описание операции;
5.Аварийные ситуации;
6.Рекомендации к освоению.
3.3 Техническое обеспечение
Для создания автоматизированной информационной системы расчета себестоимости продукции и анализа спроса, а в последствии и для решения ее основной задачи ДО905 используется АРМ экономиста. Установлена на АРМ компьютерная техника должна соответствовать таким минимальным требованиям как:
- процессор Pentium 4;
- установлена программа MS EXCEL;
- системная плата;
- оперативная память не меньше 64 Мбайт;
- жесткий диск (объем не меньше 20 Гбайт);
- накопитель магнитных дисков;
- привод CD-ROM;
- клавиатура;
- манипулятор "мышь";
- монитор;
- принтер;
- модем.
3.4 Программное обеспечение
Программное обеспечение системы является взаимосвязанным комплексом модулей, объеденных графическим интерфейсом пользователя, который реализует режим решения задачи. При этом пользователю дается возможность в диалоговом режиме управлять работой программы.
Для эффективной работы на АРМ специалиста – экономиста должна быть установлена операционная система Wіndows 98 или более поздняя версия, программа MS EXCEL.
Наиболее оптимальным вариантом для решения поставленной задачи на данном предприятии является программное обеспечение, Microsoft Office которое включает в себя программу Microsoft Excel.
На предприятии "Техсервис" уже установлено данное программное обеспечение, что обеспечивает решения нашей задачи, также предприятие не несет значительных затрат по подготовке персонала к работе с этой программой, так как она является наиболее простой и доступной к пониманию пользователя. Данная информационная система состоит из двух подсистем: первая – это калькуляция себестоимости продукции (рис.3.2), по которой можно рассчитать все изменения в материалоемкости, трудозатратах и т.д. и при прежней отпускной цене рассчитать насколько процентов увеличится прибыль предприятия. И вторая подсистема – анализ спроса объемов продаж и прогноз (рис.3.3) Выбор этого пакета обусловлен тем, что он является самым доступным и самым популярным в наше время. Важным является тот аспект, что для пользователя этим пакетом не нужно особых знаний и умений.

рис.3.2 – пример информационной подсистемы "Калькуляция себестоимости"

рис.3.3 – пример информационной подсистемы "Анализ спроса и прогноз"
3.5 Контрольный пример
Контрольный пример служит для налаживания программ и обеспечение возможности проверки правильности алгоритма решения задачи и программ, что реализуют алгоритм.
В качестве контрольного примера внесем в БД АОЗТ "Ласунка" данные 2006 года для расчета себестоимости по видам материалов и выполним основную задачу ДО905.
Запуская на выполнение эту задачу можно смоделировать поведение системы в реальных условиях. Задавая определенные параметры выполнения задачи мы получаем себестоимость заданной продукции, цену реализации и прибыль, получаемую предприятием.
Таким образом, контрольный пример демонстрирует полную трудоспособность системы и ее соответствия всем предложенным ранее требованиям.
Выводы
В процессе выполнения дипломного проекта была разработана Автоматизированная информационная система расчета себестоимости продукции и анализа спроса ООО "Техсервис"
Данная система была разработана для повышения эффективности работы предприятия.
Для исследования данной предметной области используются аналитический метод, в основе которого положено изучение основных правил и специфики действия экономических законов в условиях конкретного предприятия и присущих ему закономерностей развития. В основу алгоритмов обработки данных положены методы математической статистики и оптимизационные модели. Для проектирования и реализации автоматизированной информационной системы используется персональный компьютер на базе процессора Intel Pentium 4 HT.
Полученная в результате информационная система может быть адаптирована на других предприятиях и в то же время может быть адаптирована в другие виды деятельности. Так можно построить систему в связи с сохранением и поиском электронных писем, а также предоставлены неплохие возможности по защите системы от несанкционированного доступа и перекачивания результатов.
Учитывая современные направления и перспективы развития компьютерных технологий, возможность организации удобного диалога пользователя с компьютером, применение для реализации спроектированной системы необходимо установить условие к работе с программой под современными операционными системами типа Windows 98. Данные системы имеют широкое применение и уже сейчас используются на большинстве компьютеров, которые используются для автоматизации управленческой деятельности.
4. Охрана труда при эксплуатации электронно-вычислительных машин
4.1 Общие положения
В тексте приняты следующие определения и сокращения:
* Электронно - вычислительная машина (ЭВМ) - персональный компьютер (ПК) с необязательными дополнительными приборами, системными элементами (дисководы, устройства для печати, сканеры, модемы, блоки непрерывного питания и другие специальные периферийные устройства (ПУст)).
* Визуальный дисплейный терминал (ВДТ) - часть ЭВМ, которая содержит устройство для предоставления визуальной информации.
* Пользователь - работник, который в процессе выполнения порученной работы постоянно или периодически использует ЭВМ или ВДТ.
При работе на ПК, в состав которых входят ВДТ, на работников могут действовать опасные и вредные производственные факторы двух типов — физические и психофизиологические (см. таблица 4.1 ).
Таблица 4.1 - Основные опасные и вредные факторы при работе на ПК
| Физические факторы | Психофизиологические факторы |
| повышенный уровень статического электричества, электромагнитного излучения | физические перегрузки статического и динамического действия |
| повышенное значение напряжения в электроцепи, замыкание которой может пройти через тело человека | умственное перенапряжение, перенапряжение анализаторов (слуха, зрения) |
| повышенный уровень шума (от вентиляторов, процессоров и аудиоплат) | монотонность труда |
4.2 Требования к производственным помещениям
Здания и помещения, в которых эксплуатируется ЭВМ и выполняются их обслуживание, налаживание и ремонт, должны отвечать требованиям нормативно-технической и эксплуатационной документации завода-производителя ЭВМ, действующих санитарных норм, санитарных норм и правил, правил в сфере охраны труда.
Недопустимо расположение помещений для работы с ВДТ и ЭВМ:
- рядом с помещениями категорий А и Бы (ОНТП 24-86), а также производствами с влажными технологическими процессами, а также над такими помещениями или под ними;
- рядом с помещениями, где уровни шума и вибрации превышают норму (механические цеха, мастерские и т. п.);
- в подвалах и цокольных этажах.
Рабочие места в помещениях с источниками вредных производственных факторов должны размещаться в изолированных кабинах с оборудованным воздухообменом.
Площадь помещений, в которых располагают ВДТ, определяют в расчете на одно рабочее место: площадь - не меньше 6 кв.м, объем - не меньше 20 куб.м, с учетом максимального количества лиц, которые одновременно работают в смене.
Стены, потолок, пол помещений, где размещены ЭВМ, должны изготовляться из материалов, разрешенных для отделки помещений органами государственного санитарно-эпидемиологического надзора. В помещениях с ЭВМ следует ежедневно проводить влажную уборку.
Обслуживание, ремонт и налаживание ЭВМ, узлов и блоков ЭВМ следует выполнять в отдельном помещении (мастерской).
Помещение с ЭВМ должны быть оснащены
- системой автоматической пожарной сигнализации;
- переносными углекислотными огнетушителями (по 2 шт. на 20 кв. м площади);
- медицинскими аптечками первой помощи.
Подходы к средствам пожаротушения должны быть свободными.
4.2.1 Требования к освещению
Помещение с ЭВМ должны иметь естественное и искусственное освещение в соответствии с СНиП II-4-79 .
Естественный свет должен проникать через боковые светопрорезы, и обеспечивать коэффициент естественной освещенности (КПО) не ниже 1,5 %. Окна помещений должны иметь регулировочные устройства для открывания, а также жалюзи или шторы.
При производственной потребности позволяется эксплуатировать ЭВМ в помещениях без естественного освещения при согласовании с органами государственного надзора за охраной труда и учреждениями санитарно-эпидемиологической службы.
Помещения с ЭВМ общего и персонального пользования должны быть оборудованы системой общего равномерного освещения. В производственных помещениях, где преобладают работы с документами дополнительно к общему освещению допускается установка светильников местного освещения.
Общее освещение должно быть выполнено в виде линий светильников, размещенной сбоку от рабочих мест (преимущественно слева) параллельно линии зрения работников. Для общего освещения необходимо применять светильники с рассеевателями и зеркальными экранными сетками или отражателями. Применение светильников без рассеевателей и экранных сеток запрещается. Как источник света при искусственном освещении должны применяться, как правило, люминесцентные лампы типа ЛБ. Допускается в светильниках местного освещения применять лампы накаливания. Коэффициент пульсации не должен превышать 5%.
Уровень освещенности на рабочем столе в зоне расположения документов должен быть в пределах 300 - 500 лк.В случае применения светильников местного освещения не должно быть отблесков на поверхности экрана и увеличения освещенности экрана более чем до 300 лк. Светильники местного освещения должны иметь полупрозрачный отражатель света с защитным углом не менее 40 °.
Необходимо:
- предусмотреть ограничение прямой близости от источника естественного и искусственного освещения, при этом яркость светяших поверхностей (окна, источники искусственного света), которые пребывают в поле зрения, должна быть не более 200 кд/кв.г;
- использовать систему выключателей, позволяющую регулировать интенсивность искусственного освещения в зависимости от интенсивности естественного и освещать только нужные для работы зоны помещения;
- очищать оконное стекло и светильники не реже чем 2 раза в год;
- своевременно проводить замену перегоревших ламп.
4.2.2 Требования к уровням шума и вибрации
В помещениях с ЭВМ уровни звукового давления, уровни звука и эквивалентные уровни звука на рабочих местах должны отвечать требованиям ГОСТ 12.1.003, СН 3223-85, ГР N 2411.
Уровни шума на рабочих местах лиц, которые работают с видеотерминалами и ЭВМ, определены ДСанПиН 3.3.2-007-98.
Для обеспечения нормируемых уровней шума в производственных помещениях и на рабочих местах применяются шумопоглощающие средства: (негорючие или огнеупорные плиты, панели, минеральная вата с максимальным коэффициентом звукопоглощения в пределах частот 31,5 - 8000 Гц, или другие материалы аналогичного назначения), разрешенные для отделки помещений органами государственного санитарно- эпидемиологического надзора. Кроме того, необходимо применять подвесные потолки с аналогичными свойствами.
Равные вибрации во время выполнения работ с ЭВМ в производственных помещениях не должны превышать допустимых значений, определенных в СН 3044-84.
4.2.3 Требования к вентиляции, отоплению, кондиционированию и микроклимату
Помещение с ЭВМ должны быть оборудованы системами отопления, кондиционирования воздуха или приливно-вытяжной вентиляцией в соответствии с СНиП 2.04.05-91 .
Параметры микроклимата, ионного состава воздуха, содержимое вредных веществ на рабочих местах, оснащенных ВДТ, должны отвечать требованиям СН 4088-86, ГОСТ 12.1.005-88, СН 2152.
Для поддержания допустимых значений микроклимата и концентрации позитивных и негативных ионов необходимо предусмотреть установки или приборы увлажнения и/или искусственной ионизации воздуха.
4.2.4 Требования относительно уровня неионизирующих электромагнитных излучений, электростатических и магнитных полей
Уровни электромагнитного излучения и магнитных полей должны отвечать требованиям ГОСТ 12.1.006, СН N 3206-85 и ДСанПиН 3.3.2-007-98. Уровни инфракрасного излучения не должны превышать предельных в соответствии с ГОСТ 12.1.005 и СН N 4088-86.
Уровни ультрафиолетового излучения не должны превышать допустимых в соответствии с СН N 4557-88.
Предельно допустимая напряженность электростатического поля на рабочих местах не должна превышать уровней, приведенных в ГОСТ 12.1.045, СН N 1757 и ДСанПиН 3.3.2-007-98.
В соответствии с ГОСТ 12.1.005-88 содержание озона в воздухе рабочей зоны не должно превышать 0,1 мг/куб.м; содержимое окислов азота - 5 мг/куб.м; содержимое пыли - 4 мг/куб.м.
4.2.5 Требования электробезопасности
ЭВМ, периферийные устройства ЭВМ и оборудование для обслуживания, ремонта и налаживания ЭВМ, другое оборудование (аппараты управления, контрольно-измерительные приборы, светильники и т. п.), электропровода и кабели за выполнением и степенью защиты должны отвечать классу зоны по ПВЕ, иметь аппаратуру защиты от короткого замыкания и других аварийных режимов.
Во время монтажа и эксплуатации линий электросети необходимо полностью сделать невозможным возникновение электрического источника загорания вследствие короткого замыкания и перегрузки проводов, ограничивать применение проводов с легковоспламеняющейся изоляцией и,по возможности, перейти на негорючую изоляцию. Все проводники должны отвечать номинальным параметрам сети и нагрузки, условиям окружающей среды, условиям распределения проводников, температурному режиму и типам аппаратуры защиты, требованиям ПВЕ.
В помещении, где одновременно эксплуатируется или обслуживается больше пяти персональных ЭВМ, на заметном и доступном месте устанавливается аварийный резервный выключатель, который может полностью выключить электрическое питание помещения, кроме освещения.
ЭВМ и ПУст должны подключаться к электросети только с помощью исправных штепсельных соединений (ШС) и электророзеток заводского изготовления. ШС и электророзетки, рассчитанные на напряжение 12 В и 36 В и на напряжение 127 В и 220 В, должны быть окрашены в различные цвета. Индивидуальные и групповые ШС и электророзетки необходимо монтировать на негорючих или слабогорючих пластинах с учетом требований ПВЕ и Правил пожарной безопасности.
Электросеть штепсельных розеток для питания ЭВМ и ПУст и оборудование для обслуживания, ремонта и налаживания ЭВМ прокладывают:
- при расположении их вдоль стен помещения — по полу возле стен, как правило, в металлических трубах и гибких металлических рукавах с отводами;
- при расположении их в центре помещения — под съемным полом в заземленных металлических трубах или гибких металлических рукавах .
Открытая прокладка кабелей под полом запрещается. Система монтажа должна обеспечивать свободный доступ к кабельным коммуникациям во время обслуживания.
Плиты съемного пола должны обладать следующими свойствами:
- иметь границу огнестойкости не менее 0,5 и во время горения не выделять вредных токсических веществ и газов;
- быть гладкими, крепкими, антистатическими;
- легко чиститься пылесосом или влажным способом;
- иметь систему отведения статических зарядов.
Пространство под съемным полом разделяют негорючими диафрагмами на отсеки (площадью не больше 250 кв.м) с границей огнестойкости не менее 0,75. Коммуникации прокладывают сквозь диафрагмы в специальных обоймах с применением негорючих уплотнителей для предотвращения проникновения огня из одного отсека в другой, а также с подпольного пространства в помещение.
Для протирки пола применяют жидкости, которые не вызывают коррозии контактов электрических соединений.
Для подключения переносной электроаппаратуры применяют гибкие провода в надежной изоляции. Временная электропроводка от переносных приборов до источников питания выполняется кратчайшим путем без запутывания проводов в конструкциях машин, приборов и мебели. Надставлять провода можно только путем паяния с изолированием мест соединения.
Недопустимо применение:
- кабелей и проводов с поврежденной или потерявшей защитные свойства за время эксплуатации, изоляцией;
- кабелей и проводов с неизолированными проводниками;
- самодельных удлинителей и нестандартного электронагревательного оборудования или ламп накаливания;
- поврежденных ШС, розеток, распределительных и соединительных коробок, выключателей и др., а также лампами, стекло которых имеет следы затемнения или выпячивания;
- светильников, подвешенных непосредственно на токопроводящих проводах, обернутых бумагой, тканью и другими горючими материалами, со снятыми колпаками;
- электроаппаратуры и приборов в условиях, которые не отвечают указаниям (рекомендациям) предприятий-изготовителей.
4.3 Требования к организации рабочего места пользователя
4.3.1 Требования к оборудованию
ВДТ, ЭВМ, ПЕОМ, Пуст и оборудование для обслуживания, ремонта и налаживания ЭВМ должны отвечать требованиям действующих в Украине стандартов, нормативных актов по охране труда. Аппаратура заграничного производства дополнительно должна отвечать требованиям национальных стандартов государств-производителей и иметь соответствующую отметку на корпусе, в паспорте или другой эксплуатационной документации.
Принятие в эксплуатацию оборудования должно осуществляться только при наличии в комплекте паспорта, инструкции или другой документации, переведенной на украинский (русский) язык.
Требования к ВДТ:
- яркость знака (яркость фона), кд/кв. м — от 35 до 120;
- внешняя освещенность экрана, лк — от 100 до 250;
- контраст (для монохромных изображений) — от 3:1 до 1,5:1;
- неравномерность яркости в рабочей зоне экрана— не более 1,7:1;
- размер минимального элемента изображения (пикселя) — 0,3;
- отношение ширины знака к его высоте для больших букв— от 0,7 до 0,9;
- изменчивость размера знака — не более 5 % высоты;
- ширина линии контуру знака— 0,15 -0,1 высоты знака.
Требования к клавиатуре:
- выполнение клавиатуры в виде отдельного устройства с возможностью свободного перемещения;
- наличие опорного устройства, которое предоставляет возможность менять угол наклона клавиатуры в пределах от 5° до 15° и изготовленный из материала с большим коэффициентом трения, который препятствует его перемещению;
- высота на уровне переднего ряда не больше 15 мм;
- наличие углублений посредине клавиш;
- одинаковый ход всех клавиш с минимальным сопротивлением нажиманию 0,25 Н и максимальным - не больше 1,5 Н;
- выделение цветом на клавишах символов различных алфавитов (английского, украинского или русского);
- выделение цветом и местоположением отдельных групп клавиш.
Высота рабочей поверхности стола для ВДТ должна быть в пределах 680 -800 мм, а ширина - обеспечивать возможность выполнения операций в зоне достижимости моторного поля. Примерные размеры стола: высота - 725 мм, ширина - 600 - 1400 мм, глубина - 800 - 1000 мм.
Рабочий стол для ВДТ должен иметь пространство для ног высотой не менее 600 мм, шириной не менее 500 мм, глубиной на уровне колен не менее 450 мм, на уровне вытянутой ноги - не менее 650 мм. Рабочий стол, как правило, должен быть оборудованным подставкой для ног шириной не менее 300 мм и глубиной не менее 400 мм, с возможностью регулирования по высоте в пределах 150 мм и угла наклона опорной поверхности - в пределах 200 .
Рабочее сидение (сидение, стул, кресло) пользователя должно иметь такие основные элементы: сидение, спинку и стационарные или съемные подлокотники. В конструкцию сидения могут быть введенные дополнительные элементы, не являющиеся обязательными: подголовник и подставка для ног.
Рабочее сидение пользователя должно быть подъемно-поворотным. Должны регулироваться: высота, угол наклона сидения и спинки, расстояние спинки к переднему краю сидения,высота подлокотников. Регулирование каждого параметра должен быть независимым и иметь надежную фиксацию. Усилия во время регулирования не должны превышать 20 Н.
Ширина и глубина сидения должны быть не менее 400 мм. Высота поверхности сидения должна регулироваться в пределах 400 - 500 мм, а угол наклона поверхности - от 15 0 вперед до 50 назад. Поверхность сидения должен быть плоской, передний край - закругленным. Высота спинки сидения должена составлять 300±20 мм, ширина - не менее 380 мм, радиус кривизны в горизонтальной плоскости - 400 мм. Угол наклона спинки должен регулироваться в пределах 0-30 0 относительно вертикального положения. Расстояние от спинки до переднего края сидения должно регулироваться в границах 260 -400 мм.
Для снижения статического напряжения мышц рук необходимо применять стационарные или съемные подлокотники длиной не менее 250 мм, шириной - 50 -70 мм, регулируемые по высоте над сидением в границах 230±30 мм и по расстоянию между подлокотниками в пределах 350 -500 мм.
Поверхность сидения, спинки и подлокотников должна быть мягкой, с нескользким, неэлектроризуемым покрытием и легко чиститься.
4.3.2 Требования к размещению оборудования
Экран видеотерминала и клавиатура должны располагаться на оптимальном расстоянии от глаз пользователя, но не ближе 600 мм, с учетом размера алфавитно-цифровых знаков и символов.
Расположение экрана ВДТ должно обеспечивать удобство зрительного наблюдения в вертикальной плоскости под углом ±300 от линии зрения. Рабочее место с ВДТ следует оснащать подвижным пюпитром для документов, установленным вертикально на том же уровне и расстоянии от глаз пользователя ЭВМ, что и ВДТ. Расстояние от экрана до глаза работника зависит от размера экрана и должно составлять:
- при 35/38 см (14"/15") - 600 -700 мм;
- при 43 см (17") - 700 -800 мм;
- при 48 см (19") -800 -900 мм;
- при 53 см (21") - 900 -1000 мм.
Клавиатуру следует размещать на поверхности стола или на специальной рабочей поверхности отдельно от стола на расстоянии 100 -300 мм от края, ближнего к пользователю. Угол наклона клавиатуры должен быть в пределах 5 - 150 .
Размещение принтера или другого устройства ввода-вывода информации на рабочем месте должно обеспечивать хорошую видимость экрана ВДТ, удобство ручного управления устройством в зоне достижимости моторного поля: по высоте 900 - 1300 мм, по глубине 400 - 500 мм. Запрещается ставить принтер на процессор (принтер должен располагаться рядом с процессором, чтобы избежать натяжения соединительного шнура). Под матричные принтеры следует подкладывать коврики для гашения вибрации и шума.
4.3.3 Требования к размещению рабочих мест
Организация рабочего места пользователя ВДТ и ЭВМ должна обеспечивать соответствие всех элементов рабочего места и их расположение эргономичным требованиям ГОСТ 12.2.032.
Площадь, выделенная для одного рабочего места с видеотерминалом или персональными ЭВМ, должны составлять не меньше 6 кв. м, а объем - не меньше 20 куб.м.
Рабочие места с ВДТ относительно световых прорезов должны размещаться так, чтобы естественный свет падал сбоку, преимущественно слева.
Рабочие места размещаются на расстоянии:
- не меньше 1м от стен со световыми прорезами;
- не менее 1,2 м между боковыми поверхностями ВДТ;
- не менее 2,5 м между тыльной поверхностью одного ВДТ и экраном другого;
- не менее 1м между рядами рабочих мест должен быть.
Конструкция рабочего места пользователя ВДТ (при работе сидя) должна обеспечивать поддерживание оптимальной рабочей позы с такими эргономическими характеристиками: ступни ног - на полу или на подставке для ног; бедра - в горизонтальной плоскости; предплечье - вертикально; локти - под углом 70 - 90 0 к вертикальной плоскости; запястья согнуты под углом не больше 200 относительно горизонтальной плоскости, наклон головы - 15 - 200 относительно вертикальной плоскости.
Если пользование ВДТ и ЭВМ является основным видом деятельности, то оборудование размещается на основном рабочем столе, как правило, с левой стороны.
Если использование ВДТ и ЭВМ является периодическим, то оборудование, как правило, размещается на приставном столе, преимущественно с левой стороны от основного рабочего столу. Угол между продольными осями основного и приставного столов должен быть 90 - 1400. Возможно оборудование отдельных рабочих мест коллективного пользования с видеотерминалом и персональными ЭВМ.
При потребности высокой концентрации внимания во время выполнения работ с высоким уровнем напряженности смежные рабочие места необходимо отделять друг от друга перегородками высотой 1,5 - 2 м.
4.4 Требования безопасности во время эксплуатации ЭВМ
Пользователи ЭВМ должны следить за тем, чтобы видеотерминалы, ЭВМ, периферийные устройства ЭВМ и оборудование для обслуживания, ремонта и налаживания ЭВМ были исправными и испытуемыми в соответствии с действующими нормативными документами.
4.4.1 Требования безопасности перед началом работы
Перед началом работы на ЭВМ следует:
- включить систему кондиционирования воздуха в помещении;
- проверить надежность установки аппаратуры на рабочем столе;
- повернуть ВДТ так, чтобы было удобно смотреть на экран — под прямым углом (а не с боку) и немного сверху вниз; при этом экран должен быть слегка наклонен — нижний его край ближе к оператору.
- проверить общее состояние аппаратуры, исправность электропроводки, соединительных шнуров, штепсельных вилок, розеток, заземления (зануления) защитного экрана;
- отрегулировать освещенность рабочего места;
- подсоединить к процессору необходимую аппаратуру (принтер, сканер и др.). Все кабели, соединяющие системный блок (процессор) с другими устройствами, следует вставлять и вынимать только при выключенном ПК;
- включить аппаратуру ПК (рекомендуется использование блока бесперебойного питания (БПП));
- отрегулировать яркость свечения экрана ВДТ минимальный размер светящейся точки, фокусировку, контрастность.
4.4.2 Требования безопасности во время выполнения работ
Запрещается:
- самостоятельно открывать, разбирать, ремонтировать аппаратуру;
- выполнять обслуживание, ремонта и налаживания ЭВМ непосредственно на рабочем месте пользователя;
- размещать какие-либо предметы на аппаратуре ПК, ставить емкости с напитками и едой;
- хранение на рабочем месте бумаг, дискет, других носителей информации, запасных блоков, деталей и т. п., если они не используются для текущей работы;
- закрывать вентиляционные отверстия аппаратуры;
- работать с ВДТ, в которых во время работы появляются нехарактерные сигналы, нестабильное изображение на экране и тому подобное;
- печатать на матричном принтере со снятой (поднятой) верхней крышкой.
Необходимо:
- постоянно контролировать состояние всех устройств;
- следить за появлением подозрительных звуков (треск, хлопок) и запахов (перегретого пластика, гари);
- контролировать устойчивость установки аппаратуры на рабочих поверхностях;
- обеспечивать достаточную площадь свободной поверхности стола для работы с манипулятором типа "мышь";
- периодически (при выключении ПК) удалять пыль с поверхностей аппаратуры и экрана ВДТ.
Рекомендуется:
- для снятия статического напряжения - не надевать одежду из синтетического волокна; время от времени прикасаться к металлическим поверхностям (батарея центрального отопления), находясь на расстоянии не менее 1.5 м от ВДТ;
- для снижения напряженности труда — равномерно распределять и чередовать характер и темп работ в соответствии с их сложностью;
- для уменьшения негативного влияния на здоровье — рационально организовать режим труда и отдыха (продолжительность непрерывной работы за ВДТ не должна превышать 2 часа);
- для получения качественных машинограмм и предотвращения поломки принтера — использовать бумагу, тип которой указан в инструкции.
4.4.3 Требования безопасности после окончания работ
После окончания работ следует:
- подготовить ПК к процедуре отключения (сохранить файлы, завершить работу приложений, выйти из программной оболочки);
- последовательно отключить аппаратуру (БПП);
- штепсельные вилки вынуть из розеток;
- накрыть крышкой клавиатуру, сложить лотки принтера и т.п.;
- привести в порядок рабочее место (сложить документы и дискеты, протереть пыль);
- выключить кондиционер, освещение и электропитание помещения.
4.4.4 Требования безопасности в аварийных ситуациях
При внезапном отключении подачи электроэнергии — выключить аппаратуру (рекомендуется использование БПП); штепсельные вилки вынуть из розеток.
При обнаружении признаков горения (дым, запах гари) — выключить аппаратуру, найти источник возгорания и принять меры для его ликвидации. По необходимости — уведомить городскую пожарную часть (тел. 01), принять меры к эвакуации людей, приступить к тушению пожара имеющимися средствами.
При несчастном случае — оказать потерпевшему первую помощь, доставить его в медпункт, лечебное учреждение. Если это не возможно — вызвать скорую медицинскую помощь (тел. 03).
О возникновении аварийных ситуаций необходимо уведомить руководителя, представителей соответствующей службы предприятия или города.
4.5 Режим труда и отдыха
Режим труда и отдыха тех, кто работает с ЭВМ, определяется в зависимости от выполняемой работы соответственно до ДСанПиН 3.3.2-007-98.
Психологическая разгрузка работников, которые выполняют работы с применением ЭВМ должна проводиться в специально оборудованных помещениях (комната психологической разгрузки) во время регламентированных перерывов, или в конце рабочего дня - в соответствии с методикой проведения психофизиологической разгрузки, изложенной в ДСанПиН 3.3.2-007-98.
4.6 Требования к персоналу
К самостоятельной работе на ПК допускаются лица, прошедшие медицинский осмотр, обучение по профессии и первичный инструктаж по охране труда (ОТ) на рабочем месте. В дальнейшем они проходят повторные инструктажи по охране труда на рабочем месте один раз в 6 месяцев, периодические медосмотры— один раз в 2 года.
К работам по обслуживанию, налаживанию и ремонту ЭВМ допускаются лица, которые имеют квалификационную группу по электробезопасности не ниже III.
Лицо, проводившее инструктаж, делает запись в журнале инструктажей с обязательными подписями инструктирующего и инструктируемых.
Допускать к работе лиц, что в установленном порядке не прошли обучения, инструктаж и проверку знаний по охране труда и пожарной безопасности, запрещается.
ЗАКЛЮЧЕНИЕ
Результатом данного дипломного проекта является оптимизация работы предприятия по критерию прибыли. Были рассмотрены и предложены:
- внедрение новых технологий – разработка специальной оснастки для более экономичного изготовления полок;
- экономия ресурсов – трудовых. Также за счет разработки специального приспособления
- уменьшение материалоемкости за счет уменьшения веса и снижние себестоимости производимой продукции.
Было проведено планирование разработки с построением сетевого графика, расчет договорной цены разработки, обоснована экономическая целесообразность. Был уменьшен критический путь до директивного.
Прибыль предприятия увеличилась довольно стремительно. Поэтому в будущем предприятие ООО "Техсервис" будет пользоваться данным проектом для максимизации прибыли.
Также был проанализирован спрос объема продаж телег и было установлено, что он будет увеличиваться, так как количество предприятий на Украине с каждым годом становится все больше и больше, а продукты питания потребляются всегда. Соответственно будут вновь и вновь открываться новые колбасные цеха, которым потребуется колбасное оборудование. И так как цены предприятие ООО "Техсервис" устанавливает ниже, чем иностранные производители, то конечно же спрос будет увеличиться с каждым месяцем, что и обуславливает получение все большей прибыли предприятия.
В разделе "Охрана труда и техника безопасности" был выбран оптимальный режим освещенности и проведен расчет информационной нагрузки оператора.
СПИСОК ИСТОЧНИКОВ
1. Баканов М. И., Шеремет А. Д. Теория экономического анализа. – М.: Финансы и статистика, 1993
2. .Барногльц С. Б., Экономический анализ хозяйственной деятельности предприятий и объединений, М.:1986
3. Бухгалтерский анализ / Под ред. Гольдберга М. А Киев.: 1993
4. Бухгалтерская отчетность: составление и анализ / Под ред. Новодворского В. Д. – М.:1994
5. Друри К. Введение в управленческий и производственный учет -М. : 1994
6. Ефимова 0. В. Как анализировать финансовое положение предприятия. – М. :1993
7. Мартин Дж. "Организация баз данных в вычислительных системах", М. Мир, 1980 г.;
8. Бойко В. В., Савинков В. М. "Проектирование баз данных информационных систем", М. Финансы и статистика, 1989 г.;
9. "Сетевые графики в планировании". Разумов И. М., Белова Л. Д., и др., М. Высшая школа, 1981 г.;
10. Прогнозирование и финансирование экономики в условиях рыночных отношений.– М.: Мысль, 1970.– 448с.
11. Рябушкин Б.Т. Применение статистических методов в экономическом анализе и прогнозировании.– М.: Финансы и статистика, 1987.– 75 c.
12. Статистическое моделирование и прогнозирование: под ред. А.Г.Гранберга.– М.: Финансы и статистика, 1990.– 382с.
13. Автоматизированные информационные технологии в экономике: Учебник / Под ред. Г.А.Титаренко. – М.:ЮНИТИ, 2000. – 400с.
14. Информационные системы в экономике: Учебник / Под ред. В.В. Дика. – М.: Финансы и статистика, 1996. – 272 с.
15. Мотузко Ф. Я. "Охрана труда", М. Высшая школа, 1969 г.;
Приложение А
Баланс предприятия ООО "Техсервис"
| АКТИВ | Код ряда | 2005 | 2006 |
| 1 | 2 | 3 | 4 |
| 1. Необоротные активы | |||
| Нематериальные активы: | |||
| остаточная стоимость | 010 | ||
| первоначальная стоимость | 011 | ||
| износ | 012 | ||
| Незавершенное строительство | 020 | ||
| Основные средства: | |||
| остаточная стоимость | 030 | 20,8 | 62,0 |
| первоначальная стоимость | 031 | 41,2 | 90,7 |
| износ | 032 | 20,4 | 28,7 |
| Долгосрочные финансовые инвестиции, которые учитываются по методу участия в капитале других предприятий | 040 | 6,0 | |
| другие финансовые инвестиции | 045 | ||
| Долгосрочная дебиторская задолженность | 050 | ||
| Отсроченные налоговые активы | 060 | ||
| Другие необоротные активы | 070 | ||
| Всего по разделу 1 | 080 | 20,8 | 68,0 |
| 2. Оборотные активы | |||
| Запасы: | |||
| производственные запасы | 100 | 3,9 | 4,0 |
| готовая продукция | 130 | ||
| Дебиторская задолженность за товары, работы, услуги: | |||
| чистая реализационная стоимость | 160 | 62,4 | 5,4 |
| первоначальная стоимость | 161 | 62,4 | 5,4 |
| резерв сомнительных долгов | 162 | ||
| Дебиторская задолженность по расчетам: | |||
| с бюджетом | 170 | 23,2 | 28,5 |
| Другие текущие дебиторские обязательства | 210 | ||
| Текущие финансовые инвестиции | 220 | ||
| Денежные средства и их эквиваленты: | |||
| в национальной валюте | 230 | 9,2 | |
| в иностранной валюте | 240 | ||
| Другие оборотные активы | 250 | 3,1 | 2,7 |
| Всего по разделу 2 | 260 | 92,6 | 49,8 |
| 3. Расходы будущих периодов | 270 | ||
| Баланс | 280 | 113,4 | 117,8 |
| ПАССИВ | |||
| 1. Собственный капитал | |||
| Уставной капитал | 300 | 9,4 | 9,4 |
| Паевой капитал | 310 | ||
| Дополнительно вложенный капитал | 320 | ||
| Прочий дополнительный капитал | 330 | ||
| Резервный капитал | 340 | ||
| Нераспределенная прибыль (непокрытый убыток) | 350 | 29,0 | 55,4 |
| Всего по разделу 1 | 380 | 38,4 | 64,8 |
| 2. Обеспечение будущих расходов и платежей и целевое финансирование | 430 | ||
| 3. Долгосрочные обязательства | 480 | ||
| 4. Текущие обязательства | |||
| Краткосрочные кредиты банков | 500 | ||
| Текущие обязательства по долгосрочным обязательствам | 510 | ||
| Кредиторская задолженность за товары, работы, услуги | 530 | 59,4 | |
| Текущие обязательства по расчетам: | |||
| с бюджетом | 550 | 13,1 | 1,3 |
| по страхованию | 570 | 0,4 | 1,0 |
| по оплате труда | 580 | 0,9 | 1,8 |
| Другие текущие обязательства | 610 | 1,2 | 12,7 |
| Всего по разделу 4 | 620 | 75,0 | 16,8 |
| 5. Доходи будущих периодов | 630 | ||
| Баланс | 640 | 113,4 | 117,8 |
| Выручка от реализации (чистая) | 035 | 903,3 | 593,5 |
| Чистая прибыль | 220 | 752,8 | 494,6 |
| Валовая прибыль | 050 | 726,5 | 487,6 |
| Прибыль | 100 | 26,4 | 7,0 |
Приложение Б
Пособие пользователя
Вступление
АИС для расчета себестоимости продукции и анализа спроса, а в последствии и для решения ее основной задачи. Она осуществляет автоматизированный расчет себестоимости при внесении каких-либо изменений и производит анализ спроса и прогноз..
Назначение и условия использования
Программа предоставляет возможность ручного и автоматического введения данных. Для того, чтобы рассчитать себестоимость продукции и прибыль предприятия заходим в систему, далее нажимаем кнопку "расчет материалов", вносим вручную все материалы. Нажимаем кнопку "Калькуляция себестоимости" и получаем таблицу, в которой будет рассчитана себестоимость продукции. Также в этой же таблице можно увидеть процент прибыли, которое получит предприятие от данной калькуляции.
Если же необходимо проанализировать спрос и рассчитать прогноз на будущие периоды, то нажимаем кнопку "Исходные данные для прогноза", вносим в таблицу предыдущие данные за прошлые периоды. Далее нажимаем "Анализ прогноза". По графику скользящее среднее выбираем наименьший свободный член. Вносим в таблицу коэффициенты а0 ,а1 ,а2 и а3 соответственно. Нажимаем кнопку "Прогноз" и по таблице и графику видим прогноз на будущие 6 периодов.
Описание операций
Для того чтобы решить главную задачу необходимо занести данные в таблицу на основании которых будет проводиться рассчет себестоимости и аналіз прогноза.
Программа позволяет ввести данные для прогноза за последнии 4 года. А калькуляція себестоимости – посмотреть, какой процент прибыли будет получать предприятие от какой-либо сделки. Программа позволяет корректировать данные для таблиц, формат первичного документа.
Аварийные ситуации
Команда архивная копия позволяет выполнить сохранение и обновление архивной (страховой) копии информации на дискетах. Это необходимо для обеспечения сохранности данных в случае их потерии на твердом диске, а также для переноса информации на другов компьютер.
Рекомендации по освоению
Программа может быть полностью построена экономистом на текущее законодательство и конкретные формы учета.
Похожие рефераты:
Методики датирования древних событий
Опыт краткосрочного прогноза времени, места и силы камчатских землетрясений 1996-2000 гг.
Методы прогноза лавинной опасности
Исследования в современном управлении
Диагностика отказов системы регулирования уровня в баке
Проектирование локальной сети для рабочих мест на базе сети Ethernet
Эксплуатация средств вычислительной техники
Рациональные методики поиска оптимальных путей сетевых графиков и их автоматизация на ЭВМ
Автоматизированное рабочее место регистрации и документирования комплекса средств автоматизации