| Похожие рефераты | Скачать .docx |
Курсовая работа: Построение эконометрической модели и исследование проблемы гетероскедастичности с помощью тестов Вайта, Бреуша-Пагана-Годфри и Парка
Министерство образования Республики Беларусь
Белорусский Государственный Университет
Экономический факультет
Кафедра Экономической и институциональной экономики
Курсовой проект
По дисциплине «Эконометрика и прогнозирование»
На тему
«Построение эконометрической модели и исследование проблемы гетероскедастичности с помощью тестов Вайта, Бреуша-Пагана-Годфри и Парка»
Выполнила
Студентка третьего курса
Отделения «Экономическая теория»
Волкова Ольга Александровна
Научный руководитель:
Абакумова Юлия Георгиевна
Минск, 2008 г.
Содержание
Введение
Теоретический раздел
Аналитический раздел
Построение базовой регрессионной модели и оценка её качества
Исследование проблемы гетероскедастичности с помощью тестов Вайта, Бреуша-Пагана-Годфри и Парка
Устранение гетероскедастичности в модели
Заключение
Список использованных источников
Введение
Вся история развития человечества неразрывно связана с изменениями динамики численности и воспроизводства населения. Современные очень высокие темпы роста численности населения мира в решающей степени определяются темпами его увеличения в развивающихся странах.
Современный «взрыв» населения в развивающихся странах имеет существенные особенности. Главная особенность заключается в том, что если в Европе быстрый рост населения был обусловлен в первую очередь социально-экономическими изменениями, т.е. следовал за экономическим ростом и изменениями в социальной сфере, то в развивающихся странах мы наблюдаем прямо противоположную картину: быстрый рост населения значительно опережает их экономическое и социальное развитие, усугубляя тем самым и без того ложные проблемы занятости, социальной сферы, обеспечения продовольствием, экологии.
Наряду с наблюдаемым во второй половине XX века демографическим взрывом проявился и демографический кризис, затронувший в первую очередь развитые страны мира.
Суть современного демографического кризиса заключается не только в резком ухудшении развития народонаселения, что выражается в резком уменьшении темпов роста численности населения в развитых странах, а в некоторых из них и снижении этого показателя за нулевую отметку, но и в определенном кризисе института семьи, в некотором ухудшении качества развития населения, в демографическом старении.
Наблюдаемая в развитых странах мира тенденция к резкому падению рождаемости значительно ниже уровня, обеспечивающего простое воспроизводств населения, ведет к значительному демографическому старению, сокращению трудовых ресурсов и увеличению «экономической нагрузки» на экономически активное население, на старение населения или увеличение доли пожилых и старых людей.
Итак, изменение показателя общей численности населения происходит под воздействием целого ряда прямых и косвенных факторов. В своей работе я бы хотела рассмотреть влияние показателей рождаемости, смертности и численности пожилого населения в разных странах мира на общую численность населения этих стран.
Такой выбор обусловлен, в первую очередь, целью моей работы – проверка регрессионной модели на гетероскедастичность (т.к. эта проблема в большей степени присуща пространственным данным и редко встречается во временных рядах).
Таким образом построенная мною модедь содержит следующие объясняющие переменные:
X1 – численность рожденных детей за 2007г. (чел.),
X2 – численность умерших за 2007г. (чел),
Х3 – численность населения в возрасте от 65 лет и старше (чел.), и объясняемую переменную:
Y – общая численность населения на начало 2008г. (чел.).
Статистические данные по странам взяты за период 2007г, влияющие на общую численность населения начала 2008г. (Таблица 1)
| Страны | Общая численность населения на начало года | X1- численность рожненных детей за 2007г. | X2 - смертность за 2007г. | X3 - численность населения старше 65 лет за 2007г. |
| Бельгия | 10666866 | 120663 | 374.0553 | 1824034.086 |
| Болгария | 7640238 | 75349 | 693.2108 | 1321761.174 |
| Чехия | 10381130 | 114632 | 355.3592 | 1484501.59 |
| Дания | 5475791 | 64082 | 256.328 | 837796.023 |
| Германия | 82221808 | 682700 | 2594.26 | 16279917.98 |
| Эстония | 1340935 | 15775 | 78.875 | 229299.885 |
| Ирландия | 4419859 | 70623 | 261.3051 | 490604.349 |
| Греция | 11214992 | 110048 | 418.1824 | 2085988.512 |
| Испания | 45283259 | 488335 | 1806.8395 | 7562304.253 |
| Франция | 63753140 | 816500 | 3102.7 | 10328008.68 |
| Италия | 59618114 | 563236 | 2140.2968 | 11864004.69 |
| Кипр | 794580 | 8529 | 52.8798 | 97733.34 |
| Латвия | 2270894 | 23273 | 202.4751 | 388322.874 |
| Литва | 3366357 | 32346 | 190.8414 | 525151.692 |
| Люксембург | 483799 | 5477 | 9.8586 | 67731.86 |
| Венгрия | 10045000 | 97600 | 575.84 | 1597155 |
| Мальта | 410584 | 3871 | 25.1615 | 56660.592 |
| Нидерланды | 16404282 | 180882 | 741.6162 | 2378620.89 |
| Австрия | 8331930 | 76250 | 282.125 | 1408096.17 |
| Польша | 38115641 | 387873 | 2327.238 | 5107495.894 |
| Португалия | 10617575 | 102492 | 348.4728 | 1836840.475 |
| Румыния | 21528627 | 214728 | 2576.736 | 3207765.423 |
| Словения | 2025866 | 19636 | 60.8716 | 322112.694 |
| Словакия | 5400998 | 54424 | 331.9864 | 642718.762 |
| Финляндия | 5300484 | 58729 | 158.5683 | 874579.86 |
| Швеция | 9182927 | 103421 | 258.5525 | 1597829.298 |
| Великобритания | 61185981 | 770651 | 3467.9295 | 9789756.96 |
| Турция | 70586256 | 1361000 | 29533.7 | 4658692.896 |
| Исландия | 314321 | 4508 | 6.3112 | 36775.557 |
| Норвегия | 4737171 | 58459 | 181.2229 | 691626.966 |
| Швейцария | 7591414 | 74440 | 290.316 | 1229809.068 |
Табл. 1
Теоретический раздел
При практическом проведении регрессионного анализ модели с помощью МНК необходимо обращать внимание на проблемы, связанные с выполнимостью свойств случайных отклонений модели, т.к. свойства оценок коэффициентов регрессии напрямую зависят от свойств случайного члена в уравнении регрессии. Для получения качественных оценок необходимо следить за выполнимостью предпосылок МНК (условий Гаусса-Маркова), т.к. при их нарушении МНК может давать оценки с плохими статистическими свойствами.
Одной из ключевых предпосылок МНК является условие постоянства дисперсий случайных отклонений: т.е. D( εi ) = D( εj ) = σ2 для любых наблюдений i и j. Выполнимость данной предпосылки называется гомоскедастичностью (постоянством дисперсии отклонений). Невыполнимость данной предпосылки называется гетероскедастичностью (непостоянством дисперсий отклонений).
Наличие гетероскедастичности может привести к снижению эффективности оценок, полученных по МНК, к смещению дисперсий, к ненадежности интервальных оценок, получаемых на основе соответствующих t- и F-статистик. Таким образом, статистические выводы, получаемые при стандартных проверках качества оценок, могут быть ошибочными и приводить к неверным заключения по построенной модели. Вполне вероятно, что стандартные ошибки коэффициентов будут занижены, а следовательно можно признать статистически значимыми коэффициенты, которые таковыми не являются. Причиной гетероскедастичности могут быть выбросы (резко выделяющиеся наблюдения), ошибки спецификации модели, ошибки в преобразовании данных, ассиметрия распределения какой-либо из объясняющих переменных. Чаще всего, появление проблемы гетероскедастичности можно предвидеть и попытаться устранить этот недостаток еще на этапе спецификации. Однако обычно приходиться решать эту проблему уже после построения уравнения регрессии. Не существует какого-либо однозначного метода определения гетероскедастичности. Существует довольно большое количество тестов и критериев, наиболее популярными и наглядными из которых являются: графический анализ отклонений, тест ранговой корреляции Спирмена, тест Парка, тест Глейзера, тест Голдфельда-Квандта и тест Уайта. Моя работа посвящена исследованию поледних двух тестов.
Тест Уайта
Алгоритм этого теста заключается в том, что сперва оценивается исходная модель и определяются остатки εi , затем строится вспомогательно уравнение регрессии и определяется его коэффициент детерминации, произведение n*R^2 сравнивается со значением χ^2- распределения и делается вывод о наличии или об отсутствии гетероскедастичности.
Тест Парка
Парк в свою очередь предложил следующую функциональную зависимость:
![]()
Алгоритм теста:
1) Оцениваем исходное уравнение и определяем ei .
2) Оцениваем уравнение
![]()
Проверяем статистическую значимость коэффициента β уравнения на основе статистики
![]()
Если β значим, то гетероскедастичность. Если нет, то гомоскедастичность.
Тест Бреуша-Пагана-Годфри
1) Оценивается исходная модель и определяются остатки
![]()
Строится оценка:

2) Оценивается регрессия
![]()
![]()
![]()
Если ![]()
При установлении присутствия гетероскедастичности возникает необходимость преобразования модели с целью устранения данного недостатка. Сначала можно попробовать устранить возможную причину гетероскедастичности, скорректировав исходные данные, затем попробовать изменить спецификацию модели, а в случае, если не помогут эти меры, использовать метод взвешенных наименьших квадратов.
Далее в работе проведем довольно полный анализ базовой модели, включая непосредственно тесты на обнаружение гетероскедастичности.
Аналитический раздел
1. Построение базовой регрессионной модели и оценка её качества
По данным Таблицы 1 построим исходную модель с помощью пакета Eviews3.1. Получим следующее уравнение построенной модели:

Где:
Population – общая численность населения на начало 2008г. (чел.),
Birth – численность рожденных детей за 2007г. (чел.),
Mortality – численность умерших за 2007г. (чел),
Old – численность населения в возрасте от 65 лет и старше (чел.).

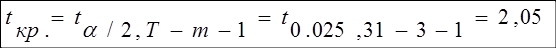
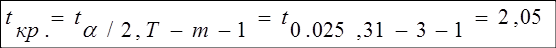
Проверим на значимость коэффициенты уравнения регрессии. Для этого оценим t-статистику:

![]()
Используем в данном случае уровень значимости
. Тогда критическое значение t-статистики соответственно:
![]()
Значения t-статистик рассматриваемых переменных больше критического значения (критерий Стьюдента), следовательно делаем вывод о их значимости. По анализу исследованных t-статистик и коэффициента детерминации R-квадрат делаем предварительный вывод об адекватности построенной модели.
Продолжая оценивать общее качество модели, используем критерий Фишера:


Н0: R-квадрат=0
Н1: R-квадрат>0
Так как F-наблюдаемое больше F-критического, принимаем гипотезу Н1, согласно которой модель адекватна. Поскольку значение F-наблюдаемого велико, можно сделать предположение о наличии мультиколлинеарности, что будет проверено мною в дальнейшем.
Оценим также распределение остатков в модели:

P (J-B) = 0,06, следовательно присутствует нормальное распределение остатков.
Проверим модель на присутствие автокорреляции. Для этого будем использовать тесты Бреуша-Годфри и Дарбина-Уотсона.
1) Первоначально воспользуемся тестомБреуша-Годфри и оценим модель на присутствие автокорреляции по трем лагам:
Запишем значение
распределения для последующего сравнения с Obs* R-squared:

Приведем результаты теста с lag = 1:

с lag = 2:

с lag = 3:

Сделаем выводы об отсутствии серийной корреляции, так как во всех трех случаях Obs* R-squared меньше
![]()
а P-вероятность статистики Бреуша-Годфри больше уровня значимости
(
)
2) Воспользуемся также тестом Дарбина-Уотсона:
Приведем значение статистики:
![]()
Значения критических точек
при уровне значимости
:


Делаем вывод об отсутствии автокорреляции, т.к. значение статистики D-Wв данном случае близко к 2.
Выполним проверку регрессионной модели на мультиколлинеарность.
Построим корреляционную матрицу коэффициентов:

Найдем частные коэффициенты корреляции:

Делаем вывод о наличии высокой зависимости (коллинеарности) между переменными в каждом из трех случаев. Следовательно в модели присутствует мультиколлинеарность. Эта проблема оказывает определенное влияние на качество модели, однако ее устранение не является обязательным этапом, поэтому перейдем к дальнейшему исследованию качества регрессионной модели.
2. Исследование проблемы гетероскедастичности с помощью тестов Вайта, Бреуша-Пагана-Годфри и Парка
Переходим непосредственно к основной теме курсвой - проверяем модель на наличие гетероскедастичности. Для этого первоначально проведем тест Вайта и оценим его результаты:
![]()




Т.к. значение P- вероятности в обоих случаях теста Уайта (nocrossterms/ crossterms) меньше уровня значимости
(
) и Obs*
R-squared превышает

то принимаем гипотезу о наличии гетероскедастичности в модели.
Дополнительно можно использовать графический анализ ряда остатков, который подтверждает вывод о наличии гетероскедастичности, т.к. график имеет выбросы и не укладывается в полосу постоянной ширины, параллельную оси ОХ (-1000000,1000000).

Таким образом, в этой модели мы имеем две проблемы – мультиколлинеарность и гетероскедастичность, в связи с чем нельзя доверять статистическим выводам и оценкам качества регрессионной модели.Продолжим дальнейший анализ модели с помощью теста Парка. Данный тест не предполагает особой свободы выбора и мы строим три регрессионные модели натуральных логарифмов остатков базовой модели на натуральные логарифмы каждой объясняющей переменной отдельно.
Представим вспомогательную модель 1 теста Парка:
Запишем уравнение вспомогательной модели 1:
![]()

Где:
POPUL2=ln (population^2)
BIRTH2=ln(birth).
Оценим значимость коэффициентов уравнения регрессии. Для этого оценим t-статистику:

Найдем критическое значение t-статистики на уровне значимости
(
)
![]()

После проведенного теста можно сделать вывод о наличии гетероскедастичности по переменной Birth в следствие того, что коэффициент
при данной переменной является значимым.
Представим вспомогательную модель 2 теста Парка:

Где:
POPUL2=ln (population^2)
MORTALITY2=ln(mortality).
Запишем уравнение вспомогательной модели 2:

Оценим значимость коэффициентов уравнения регрессии. Для этого оценим t-статистику. Найдем критическое значение t-статистики на уровне значимости (
)
![]()
![]()
После проведенного теста можно сделать вывод о наличии гетероскедастичности по переменной Mortality в следствие того, что коэффициент
при данной переменной является значимым.
Представим вспомогательную модель 3 теста Парка:

Где:
POPUL2=ln (population^2)
OLD2=ln(old).
Запишем уравнение вспомогательной модели 2:

Оценим значимость коэффициентов уравнения регрессии. Для этого оценим t-статистику. Найдем критическое значение t-статистики на уровне значимости (
)
![]()
После проведенного теста можно сделать вывод о наличии гетероскедастичности по переменной Old в следствие того, что коэффициент
при данной переменной является значимым.
Оценив каждую переменную по тесту парка в отдельности подтверждаем выводы сделанные ранее по тесту Вайта о гетероскедастичности исходной модели.
Теперь используем тест Бреуша-Пагана для окончательного подтвержения гетероскедастичности. Для начала строим временной ряд квадратов остатков, деленных на величину

а затем строим для него саму регрессионную модель.

Находим необходимые для анализа параметры вспомогательной регрессии:



Делаем вывод об очевидном присутствии в модели гетероскедастичности, так как
>>
Устранение гетероскедастичности в модели
После проведения тестовВайта, Бреуша-Пагана-Годфри и Парка было выявлено очевидное наличие проблемы гетероскедастичности остатков в базовой модели регрессии. Приступим к ее устранению при помощи веса, выбранного соответственно тесту Бреуша-Пагана. Предпологаем форму выявленной гетероскедастичности:
![]()
Вес: 
Оцененная с помощью метода взвешанных наименьших квадратов базовая регрессия выглядит следующим образом:

Получим следующее уравнение построенной модели-NEW:

Где переменные, скорректированные на вес:
PopulationNEW – общая численность населения на начало 2008г. (чел.),
cNEW – константа базовой модели, деленная на вес,
BirthNEW – численность рожденных детей за 2007г. (чел.),
MortalityNEW – численность умерших за 2007г. (чел),
OldNEW – численность населения в возрасте от 65 лет и старше (чел.).
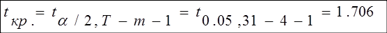
Проверим на значимость коэффициенты уравнения регрессии. Для этого оценим t-статистику. Используем в данном случае уровень значимости
. Тогда критическое значение t-статистики соответственно:
![]()
Если значения t-статистик рассматриваемых переменных больше критического значения (критерий Стьюдента), следовательно делаем вывод о их значимости. Лишь одна переменная, являющаяся в прошлой базовой модели константой в данном случае незначима, что логично, ведь она не имеет реального смысла, т.е. не описывает реальным образом объясняемую переменную. По анализу исследованных t-статистик и коэффициента детерминации R-квадрат делаем предварительный вывод об адекватности построенной модели.
Продолжая оценивать общее качество модели, используем критерий Фишера:


Н0: R-квадрат=0
Н1: R-квадрат>0
Так как F-наблюдаемое больше F-критического, принимаем гипотезу Н1, согласно которой модель адекватна.
Проверим модель на присутствие автокорреляции. Для этого будем использовать тесты Бреуша-Годфри и Дарбина-Уотсона.
1) Первоначально воспользуемся тестомБреуша-Годфри и оценим модель на присутствие автокорреляции по трем лагам:
Запишем значение
распределения для последующего сравнения с Obs* R-squared:

Приведем результаты теста с lag = 1:

с lag = 2:

с lag = 3:

Сделаем выводы об отсутствии серийной корреляции, так как во всех трех случаях Obs* R-squared меньше
![]()
а P-вероятность статистики Бреуша-Годфри больше уровня значимости
(
)
2) Воспользуемся также тестом Дарбина-Уотсона:
Приведем значение статистики:
![]()
Значения критических точек
при уровне значимости
:


Делаем вывод об отсутствии автокорреляции, т.к. значение статистики D-Wв данном случае близко к 2.
Проверим скорректированную модель на наличие гетероскедастичности с помощью теста Вайта


Т.к. значение P- вероятности в обоих случаях теста Уайта (nocrossterms/ crossterms) больше уровня значимости
(
)
и Obs* R-squared превышает

то принимаем гипотезу об отсутствии гетероскедастичности в модели (гомоскедастичность).
Заключение
В моей курсовой работе я построила регрессионную модель по реальным данным. Я разбиралась с моделью зависимости общей численности населения от показателей рождаемости, смертности и численности пожилого населения, их влиянием друг на друга и на объясняемую переменную. Так как целью моей работы являлось проверить, как работают на практике тесты Уайта и Бреуша-Пагана-Годфри и Парка, то я использовала пространственные данные, которые позволяют наиболее наглядно проиллюстрировать проблему гетероскедастичности и способы ее устранения.
В работе достаточно наглядно продемонстрирована работа тестов для выявления гетероскедастичности, также удалось решить задачу с выбором веса для ВНК.
В ходе курсовой работы мне удалось скорректировать модель с помощью метода взвешенных наименьших квадратов, правильно подобрав вес при помощи теста Бреуша-Пагана, поскольку тест Вайта, к примеру, не дает нам точного ответа на вопрос о весе для ВНК. Построенная в конце моего исследования модель-NEW значима и является качественной, остатки ее в свою очередь гомоскедастичны.
Список использованных источников:
1. Бородич С.А. Вводный курс эконометрики: Учеб. пособие. – Мн.; БГУ, 2000. – 209, 227, 245 с.
2. Бородич С.А. Эконометрика: Учеб. пособие. – Мн.; Новое знание, 2006. – 237, 238 с.
3. Доугерти К. Введение в эконометрику: Пер. с англ. – М.; ИНФРА-М, 1997.
4. Данные Eurostathttp://epp.eurostat.ec.europa.eu/potal.
Похожие рефераты:
Элективный курс по алгебре для 9-го класса на тему "Квадратные уравнения и неравенства с параметром"
Составление и решение уравнений линейной регрессии
Демографическая ситуация в Республике Бурятия
Особенности эконометрического метода
Линейные уравнения парной и множественной регрессии
Системы эконометрических уравнений, их применение в эконометрике
Использование разнообразных форм уроков при изучении темы "Квадратные уравнения" в 8 классе
Основные направления совершенствования использования персонала учхоза "Кубань" города Краснодара

