| Похожие рефераты | Скачать .docx |
Реферат: Теория статистики
МИНИСТЕРСТВО ОБРАЗОВАНИЯ И НАУКИ РФ
ФЕДЕРАЛЬНОЕ АГЕНТСТВО ПО ОБРАЗОВАНИЮ
ВОЛЖСКИЙ УНИВЕРСИТЕТ ИМЕНИ В.Н.ТАТИЩЕВА
КАФЕДРА «БУХГАЛТЕРСКИЙ УЧЕТ, АНАЛИЗ И АУДИТ»
УТВЕРЖДАЮ
Проректор по учебной работе
_________________Е.В.Никифорова
«_____»___________________2005г.
Теория статистики)
Учебно-методическое пособие, методические указания
и задания к контрольной (индивидуальной) работе
для студентов экономических специальностей
Составил – к.э.н., доцент Гениатулин В.Н.
Тольятти 2005
Учебно-методическое пособие разработано в соответствии с Государственными образовательными стандартами специальностей 060400 «Финансы и кредит»,
060500 «Бухгалтерский учет, анализ и аудит»,
061100 «Менеджмент организации», 061500 «Маркетинг»,
351200 «Налоги и налогообложение»
Рассмотрены на заседании кафедры «Бухгалтерский учет, анализ и аудит»
Протокол №____от_____________2005г.
Зав. кафедрой «Бухгалтерский учет, анализ и аудит»____Е.В.Никифорова
Одобрено УМС экономического факультета
Протокол №____от_____________2005г.
Утверждено на заседании УМС ВУиТ
Протокол №____от_____________2005г.
Председатель УМС ВУиТ__________________Е.В.Никифорова
Содержание
1. Предмет статистической науки и ее методология
2. Содержание курса
3. Методические указания по выполнению контрольной работы
4. Задания к контрольной работе
5. Практикум по теории статистики
6. Вопросы к экзамену (зачету) по статистике
7. Тесты
8. Учебно-методическое обеспечение дисциплины
1. ПРЕДМЕТ СТАТИСТИЧЕСКОЙ НАУКИ И ЕЕ МЕТОДОЛОГИЯ
Каждая наука обладает существенными специфическими особенностями, которые отличают ее от других наук и дают ей право на самостоятельное существование как особой отрасли знания. Главная особенность любой науки заключается в предмете познания, в принципах и методах его изучения, которые в совокупности образуют ее методологию.
Предметом исследования статистики являются массовые явления социально-экономической жизни; она изучает количественную сторону этих явлений в неразрывной связи с их качественным содержанием в конкретных условиях места и времени.
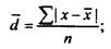
Явления и процессы в жизни общества характеризуются статистикой с помощью статистических показателей. Статистические показатели – это количественная оценка свойств изучаемого явления. Статистика при помощи статистических показаний характеризует размеры изучаемых явлений, их особенности, закономерности развития и их взаимосвязи. При этом статистические показатели подразделяются на учетно-оценочные и аналитические. Учетно-оценочные показатели отражают объем или уровень изучаемого явления; аналитические показатели используются для характеристики особенностей развития явления, распространенности в пространстве, соотношения его частей, взаимосвязи с другими явлениями. В качестве аналитических показателей, используются средние величины, показатели структуры, вариации, динамики, степени тесноты связи и др.
В настоящее время основными задачами российской статистики являются:
- разработка научно обоснованной статистической методологии соответствующей потребностям общества на современном этапе, а также международным стандартам;
- представление официальной статистической информации Президенту Российской Федерации, Правительству Российской Федерации, Федеральному Собранию Российской Федерации, федеральным органам исполнительной власти, общественности, а также международным организациям;
- предоставление всем пользователям равного доступа к открытой статистической информации путем распространения официальных докладов о социально-экономическом положении Российской Федерации, субъектов Российской Федерации, отраслей и секторов экономики, публикации статистических сборников и других материалов.
Формирование информационной системы статистических показателей для всестороннего анализа экономических и социальных процессов, происходящих в стране в целом и в ее регионах, осуществляется на базе показателей, содержащихся в статистической государственной отчетности (около 700 форм) и на основе выборочных статистических обследований.
На региональном уровне проводятся дополнительные статистические наблюдения, отражающие специфику каждого региона.
Действующая в России информационная статистическая система располагает комплексом средств для обеспечения необходимой разнообразной информацией как органов государственного управления, научных учреждений, так и средств массовой информации.
В целях оперативного информирования органов государственного управления об отдельных важных тенденциях в развитие экономики систематически выпускается экспресс-информация. Снабженная кратким анализом, она поступает потребителю через несколько часов после завершения машинной обработки данных.
Правительством Российской Федерации утверждена целевая программа реформирования статистики. Целью программы является наиболее полное обеспечение потребностей федеральных органов исполнительной власти субъектов Российской Федерации и всех заинтересованных пользователей объективной и актуальной информацией о социально-экономическом развитии Российской Федерации, субъектов Российской Федерации, отраслей экономики, хозяйствующих субъектов, населения.
Опираясь на теоретическую базу, статистика применяет специфические методы цифрового освещения явления, которые находят свое выражение в трех этапах (стадиях) статистического исследования:
1. Массовое научно организованное наблюдение, с помощью которого получают первичную информацию об отдельных единицах (фактах) изучаемого явления.
2. Группировка и сводка материала, представляющие собой расчленение всей массы случаев (единиц) на однородные группы и подгруппы, подсчет итогов по каждой группе и оформление полученных результатов в виде статистической таблицы. Группировки дают возможность выделить из состава всех случаев единицы разного качества, показать особенности явлений, развивающихся в различных условиях. После проведения группировки приступают к обобщению данных наблюдения. Эта ступень носит название сводки.
3. Обработка статистических показателей, полученных при сводке и анализ результатов для получения обоснованных выводов о состоянии изучаемого явления и закономерности его развития. Выводы, как правило, излагаются в текстовой форме и сопровождаются графиками и таблицами.
Таким образом, специфический метод статистики основан на соединении анализа и синтеза. Сначала выделяются в составе изучаемого явления и раздельно изучаются части (группы и подгруппы), оценивается существенность или несущественность наблюдаемых различий в величине признака выявляются причины в целом, во всей совокупности его сторон, тенденций и форм развития. Все стадии статистической работы тесно связаны друг с другом.
Структура статистической науки предоставлена на рис.1.
![]() |
Рис.1. Структура статистической науки.
Таким образом, в статистической науке выделяются следующие части: общая теория статистики, экономическая статистика и ее отрасли, социальная статистика и ее отрасли.
Общая теория статистики разрабатывает общие принципы и методы статистического исследования общественных явлений, наиболее общие категории (показатели) статистики.
Задачей экономической статистики является разработка и анализ синтетических показателей, отражающих состояние национальной экономики, взаимосвязи отраслей, особенности размещения производственных сил, наличие материальных, трудовых и финансовых ресурсов, достигнутый уровень их использования.
Статистики крупных отраслей могут быть подразделены на более мелкие отраслевые статистики: например, статистика промышленности – на статистику машиностроения, металлургии, химии и др.; статистика сельского хозяйства – на статистику земледелия и животноводства и т.п.
Социальная статистика формирует систему показателей для характеристики образа жизни населения и различных аспектов социальных отношений; ее отрасли – статистика народонаселения, политики, культуры, здравоохранения, науки, просвещения, права и т.д.
Отрасли экономической статистики – статистика промышленности, сельского хозяйства, строительства, транспорта, связи, труда, природных ресурсов, охраны окружающей среды и т.д.; их задача – разработка и анализ статистических показателей развития соответствующих отраслей. Отраслевые статистики формируются на базе показателей экономической или социальной статистики, а те другие основываются в свою очередь на категориях (показателях) и методах анализа, разработанных общей теорией статистики.
Общая теория статистики является той учебной дисциплиной с изучения которой начинается формирование необходимых знаний у экономистов, менеджеров, руководителей предприятия.
2. СОДЕРЖАНИЕ КУРСА
Тема I . Предмет и метод, задачи и организация статистической науки.
Понятие о статистике как науке и статистическом исследовании.
Возникновение учета и статистики.
Предмет статистической науки. Место статистики в системе наук.
Метод статистики. Закон больших чисел и его роль в изучении статистических закономерностей. Границы статистического познания.
Разделы статистики. Общая теория статистики, её предмет и содержание. Связь общей теории статистики с социально-экономической и отраслевыми статистиками.
Основные категории и понятия статистики. Статистическая совокупность. Единица совокупности. Признак, измерение признаков, вариация признаков. Статистический показатель, система показателей.
Современная организация и задачи статистики в Российской Федерации. Задачи перехода на международную практику статистики. Международные органы статистики.
Тема II . Статистическое наблюдение.
Понятие о статистическом наблюдении. Основные организационные формы, виды и способы статистического наблюдения. Точность наблюдения.
Понятие и основные этапы статистического исследования. Статистическое наблюдение – первый этап статистического исследования. Объект наблюдения, единица наблюдения. Организационные формы и виды статистического наблюдения: по времени регистрации фактов (текущее, периодическое, единовременное), по охвату единиц изучаемого объекта (сплошное и несплошное), по способу сбора информации (отчетность и специально-организованное). План статистического наблюдения и его составные части.
Организационный план и программа статистического наблюдения. Статистические формуляры и принципы их разработки.
Ошибки наблюдения. Обеспечение точности статистического наблюдения.
Проблемы организации статистического наблюдения в современных условиях и его роль в информационном обеспечении органов исполнительной власти и других пользователей.
Тема III . Методы обработки и анализа статистической информации.
Понятие о статистической таблице, ее основные элементы. Виды таблиц по характеру подлежащего и сказуемого. Основные правила построения таблиц. Чтение и анализ таблиц.
Понятие о статистическом графике, его основные элементы. Классификация видов графиков. Диаграммы. Статистические карты.
Тема IV . Статистические группировки.
Занятие 1.
Сводка и ее содержание. Метод группировки. Виды статистических группировок. Ряды распределения. Сравнимость статистических группировок. Классификации.
Проблема агрегирования статистической информации и обеспечения его однородности. Качественные и количественные критерии однородности.
Сводка – второй этап статистического исследования. Задачи сводки и ее основное содержание.
Абсолютные величины как непосредственный результат статистической сводки. Методы преобразования абсолютных величин из частных в сводные и наоборот. Моментные и интервальные показатели.
Относительные величины, получаемые в процессе сводки, их виды и способы выражения.
Занятие 2.
Задачи группировок и их значение в статистическом исследовании. Виды группировок: типологические, структурные, аналитические. Выбор группировочных признаков, определение числа групп и величины интервала. Группировки простые и комбинированные. Понятие о вторичной группировке. Классификация как разновидность группировок в статистике.
Статистическая таблица и её элементы. Принципы построения и виды статистических таблиц. Разработка сказуемого статистической таблицы.
Ряды распределения и их виды. Основные характеристики рядов распределения.
Понятие частоты и частости. Плотность распределения.
Графический метод в статистике. Виды графиков и принципы их построения. Современные технологии графического изображения.
Направления использования результатов сводки для решения аналитических задач.
Тема V . Метод средних величин.
Занятие 1.
Виды статистических показателей. Абсолютные показатели. Относительные показатели. Сущность и значение средних показателей. Средняя арифметическая и ее свойства. Другие виды средних величин.
Средняя величина и её сущность. Метод средних как один из важнейших приемов научного обобщения. Взаимосвязь метода средних и группировок.
Виды средних и способы их вычисления. Выбор формы средней. Средняя арифметическая (простая и взвешенная). Свойства средней арифметической.
Занятие 2.
Понятие момента 1-го порядка и его использование для вычисления средней арифметической. Средняя абсолютных и относительных величин. Выбор веса средней.
Средняя гармоническая (простая и взвешенная). Средняя хронологическая. Другие виды средних. Правило мажорантности средних.
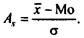
Структурные средние, мода, медиана, квартили и децили. Их смысл, назначение и способы расчета. Квартильные отклонения. Использование средних показателей в статистическом анализе.
Тема VI . Вариационный анализ.
Занятие 1.
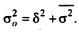
Понятие вариации. Задачи статистического изучения вариации. Абсолютные показатели вариации (размах вариации, среднее линейное отклонение, дисперсия, среднее квадратическое отклонение). Математические свойства дисперсии. Расчет дисперсии на основе ее математических свойств.
Относительные показатели вариации (коэффициент вариации, коэффициент осцилляции, линейный коэффициент вариации) и их практическое применение.
Дисперсия альтернативного признака.
Меры вариации для сгруппированных данных: общая дисперсия, групповая, межгрупповая. Правило сложения дисперсий. Эмпирическое корреляционное отношение.
Использование показателей вариации в статистическом анализе.
Занятие 2.
Показатели центра распределения. Вариация альтернативного признака. Правило сложения дисперсий. Структурные характеристики ряда распределения.
Понятие о закономерностях распределения. Изучение формы распределения. Три типа распределений: симметричное, умеренно-асимметричное, крайне асимметричное. Виды рядов распределения.
Начальные, центральные и условные моменты К-го порядка. Нормированные моменты. Моменты распределения, используемые в качестве показателей асимметрии и эксцесса ряда.
Теоретические распределения в анализе вариационных рядов. Статистические критерии и проверка гипотез о характере распределения. Критерии согласия Пирсона, Романовского, Колмогорова, Ястремского.
Тема VII . Методы сплошного и выборочного наблюдения социально-экономических явлений.
Занятие 1.
Сплошное и выборочное наблюдение.
Виды выборок. Простая случайная, механическая (систематическая), типическая (стратифицированная) выборки. Применение выборочного наблюдения в социально-экономических исследованиях.
Понятие о выборочном наблюдении.
Центральная предельная теорема и ее роль в обосновании параметров выборочного наблюдения. Основные проблемы теории выборки.
Генеральная и выборочная совокупность и их обобщающие характеристики.
Средняя и предельная ошибка выборочного наблюдения для показателей средней и для доли.
Повторный и бесповторный отбор. Виды выборки: собственно случайная, механическая, серийная, типологическая, многоступенчатая, моментная.
Занятие 2.
Определение необходимой численности выборки. Определение вероятности допустимой ошибки выборки. Способы распространения данных выборочного наблюдения на генеральную совокупность. Использование данных выборочного наблюдения для аналитических целей.
Понятие о малой выборке и определение ошибок при малой выборке.
Отечественная и зарубежная практика применения выборочного метода в статистике.
Тема VIII . Корреляционный анализ.
Занятие 1.
Причинность, связь, зависимость. Виды и формы связей. Понятие о статистической связи.
Методы изучения статистической связи: метод параллельных рядов, аналитические группировки, графический метод, балансовый метод.
Частная и множественная корреляция. Основные предпосылки и задачи применения корреляционно-регрессионного анализа.
Параметрические методы определения тесноты связи. Методы исчисления и границы изменения. Линейный коэффициент корреляции. Эмпирическое корреляционное отношение. Множественный коэффициент корреляции. Частные коэффициенты корреляции.
Непараметрические методы определения тесноты связи количественных и качественных признаков. Методы исчисления и границы изменения. Коэффициент Фехнера. Коэффициент корреляции рангов Спирмена. Коэффициенты ассоциации и контингенции.Коэффициент конкордации.
Занятие 2.
Регрессионный метод анализа связи. Выбор формы уравнения регрессии для анализа экономических явлений. Линейная парная регрессия. Определение параметров уравнения и их значимости. Проверка гипотез корреляционной связи.
Возможности корреляционно-регрессионного метода анализа социально-экономических явлений.
Тема IX . Анализ рядов динамики.
Занятие 1.
Понятие о рядах динамики. Основные правила их построения и использования для анализа динамических процессов в экономике.
Аналитические и средние показатели динамического ряда: абсолютный прирост, темпы роста и прироста, абсолютное значение одного процента прироста, средний уровень ряда и средние темпы роста и прироста.
Компоненты ряда динамики.
Занятие 2.
Основная тенденция ряда динамики (тренд) и способы еёвыявления. Метод укрупнения интервалов Метод скользящей средней. Аналитическое выравнивание. Определение параметров уравнения регрессии. Метод механического выравнивания. Методы анализа случайной компоненты ряда. Изучение и измерение сезонных колебаний. Индексы сезонности.
Сопоставление рядов динамики, приведение рядов динамики к одному основанию. Коэффициент опережения. Временной шаг.
Автокорреляция в рядах динамики, ее измерение. Авторегрессионная модель.
Особенности корреляции рядов динамики. Условия корреляции остаточных величин.
Интерполяция и экстраполяция рядов динамики.
Тема X . Индексный метод анализа.
Занятие 1.
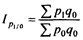
Понятие об индексах. Сфера их применения и классификация. Индивидуальные и общие индексы. Агрегатный индекс как основная форма общего индекса.
Индексируемые величины. Соизмеримость индексируемых величин. Веса индексов.
Индексы Ласпейреса, Пааше, Фишера, Эджворта-Маршалла. Взаимосвязи важнейших индексов.
Занятие 2.
Средний арифметический и гармонический индексы. Ряды индексов с постоянной и переменной базой сравнения, с переменными и постоянными весами, их взаимосвязь.
Индексный метод анализа динамики среднего уровня. Индексы переменного состава, индексы постоянного состава, индексы структурных сдвигов.
Значение индексов в анализе социально-экономических явлений. Факторный индексный метод анализа. Определение относительного и абсолютного влияния фактора на результат. Интегральный метод факторного анализа. Территориальные индексы.
Тема XI . Многомерный статистический анализ.
Многомерные классификации.
Множественная (многомерная) регрессия.
Понятие многомерности социально-экономических явлений. Характеристика методов многомерного статистического анализа.
Дисперсионный анализ и его роль в идентификации социально-экономических явлений. Статистические характеристики в оценке значимости группового выбора. Метод главных компонент (общая постановка задачи). Центроидный метод определения факторов. Преобразование факторов и интерпретация их оценок. Построение регрессии наглавных факторах Оценка статистической значимости результатов регрессионного анализа на главных факторах.
Проблемы кластерного анализа. Основные процедуры кластеризации.
Дискриминантный анализ. Понятие о дискриминантной функции. Каноническая корреляция как способ измерения связей и зависимостей между группами факторов.
Параметрические и непараметрические методы оценок результатов многомерного статистического анализа.
Тема XII . Статистические методы моделирования и прогнозирования социально-экономических явлений и процессов.
Понятие и основные принципы экономико-статистического анализа.
Априорный анализ и его роль в исследовании социально-экономических явлений. Комплексное применение математико-статистических методов анализа данных. Элементы прогнозирования и интерполяции на основе анализа рядов динамики.
3. МЕТОДИЧЕСКИЕ УКАЗАНИЯ ПО ВЫПОЛНЕНИЮ КОНТРОЛЬНОЙ РАБОТЫ
Усвоение курса статистики невозможно без практических занятий и упражнений. Важным этапом является выполнение контрольной письменной работы, составленной на применении методов статистики, исчислении обобщающих показателей, без которых нельзя овладеть статистической наукой.
Задание к контрольной работе составлено в пяти вариантах, выбор которого зависит от начальной буквы фамилии студента:
| Начальные буквы фамилий студентов | Номер выполняемого варианта |
| А Е Л Р Х Э | ПЕРВЫЙ |
| Б Ж М С Ц Ю | ВТОРОЙ |
| В З Н Т Ч Я | ТРЕТИЙ |
| Г И О У Ш | ЧЕТВЕРТЫЙ |
| Д К П Ф Щ | ПЯТЫЙ |
Каждый вариант контрольной работы включает восемь задач по наиболее важным курсам статистики.
Приступая к выполнению контрольной работы, необходимо ознакомиться с соответствующими разделами программы курса и методическими указаниями, изучить литературу.
Особое внимание нужно обратить на методы построения, технику расчета и экономический смысл статистических показателей.
Далее следует предварительно наметить схему решение каждой задачи, составить макет статистической таблицы, куда будут занесены исчисленные показатели. При составлении аналитической таблицы необходимо дать ей общий заголовок, отражающий краткое содержание таблицы, а также заголовки по строкам и графам, указав при этом единицы измерения, итоговые показатели.
При выполнении контрольной работы необходимо руководствоваться следующими требованиями:
1. Контрольная работа должна быть выполнена и предоставлена в установленный срок.
В начале работы должен быть указан номер варианта работы.
2. Задачи нужно решать в том порядке, в каком они даны в задании.
3. Перед решением задачи должно быть полностью приведено ее условие. Отделите решение задачи от ее условия некоторым интервалом.
4. Решение задач необходимо сопровождать необходимыми формулами, развернутыми расчетами и краткими пояснениями. Если имеются несколько методов расчета того или иного показателя, надо применять наиболее простой из них, указав при этом и другие возможные способы решения.
Формулы должны быть приведены в той символике, которая дана в выбранном учебнике или в лекционном курсе.
В процессе решения задач нужно проверять производимые расчеты, пользуясь взаимосвязью между исчисляемыми показателями и обращая внимание на экономическое содержание последних. Задачи, к которым даны ответы без развернутых расчетов, пояснений и кратких выводов, будут считаться нерешенными.
Решение задач следует по возможности оформлять в виде таблиц.
В конце решения каждой задачи необходимо четко сформулировать выводы, раскрывающие экономическое содержание и значение исчисленных показателей
Все расчеты относительных показателей нужно производить с принятой в статистике точностью до 0,001, а проценты – до 0,1
5. Контрольная работа должна быть выполнена на компъютере или написана разборчиво, чисто, без помарок и зачеркиваний, помещена в отдельную папку (файл). Запрещается произвольно сокращать слова (допускаются лишь общепринятые сокращения). Все приводимые таблицы надо оформлять в соответствии с правилами, принятыми в статистике.
Страницы должны быть пронумерованы и иметь достаточно широкие поля для замечаний рецензента и исправлений (дополнений), вносимых студентом после рецензирования.
6. В конце работы следует привести список использованной литературы (автор, название учебника, главы параграфа, страницы). Работа должна быть подписана студентом с указанием даты ее выполнения.
Студенты, не получившие зачета по предусмотренным учебным планом письменным работам, к экзамену не допускаются.
Если студент не может самостоятельно выполнить контрольную работу или какую-то ее часть, следует обратиться на кафедру за консультацией.
Краткие пояснения к задачам.
Каждый вариант контрольной работы состоит из 8 задач по наиболее важным разделам статистики.
Задача 1 составлена на выполнение аналитической группировки статистических данных. Для решения этой задачи важно понять суть аналитической группировки, с помощью которой исследуются взаимосвязи изучаемых признаков. Методом аналитической группировки установим наличие связи между среднегодовой стоимостью основных производственных фондов (факторный признак) и стоимостью валовой продукции (результативный признак). Группировка производится по факторному признаку, выделенные группы затем необходимо охарактеризовать приведенными в условии задачи показателями. На первом этапе строим макет групповой аналитической таблицы. На втором этапе найдем интервал группировки заводов по среднегодовой стоимости основных производственных фондов и определим группы заводов по факторному признаку. Для заполнения макета аналитической таблицы строим рабочую таблицу. Данные из рабочей таблицы переносим в макет построенной таблицы и оформляем результаты группировки в виде групповой аналитической таблицы. Таблицы должны иметь заглавие, наименование подлежащего и сказуемого таблицы, единицы измерения, расчетные и итоговые показатели и т.д.
Необходимо также дать анализ показателей групповой таблицы и сделать выводы.
Задача 2 составлена на применение средней арифметической и средней гармонической взвешенных. Вид средней выбирается на основе исходной статистической информации и экономического содержания показателя.
Задача 3. Для решения этой задачи необходимо изучить темы: «Средние величины», «Показатели вариации» и «Выборочное наблюдение».
Для расчета ошибок выработки (пункты 4, 5 задачи) надо изучить тему «Выборочное наблюдение», уяснить понятия генеральной и выборочной совокупностей, их характеристики.
Задача 4 составлена на расчет и усвоение аналитических показателей динамических рядов.
Задача 5 составлена на расчет среднего уровня моментного ряда динамики.
Задача 6 составлена по теме «Индексы».
Первая часть задачи – расчет агрегатных индексов и индексного метода анализа факторов динамики.
Вторая часть задачи 6 составлена на расчет индекса переменного состава индекса постоянного состава и индекса, измеряющего влияние изменения структуры на динамику среднего показателя (индексы структурных сдвигов).
Задача 7 составлена на расчет среднеарифметического или среднегармонического индексов. Практическое их применение зависит от исходной статистической информации. Агрегатный индекс может быть преобразован в среднеарифметический или среднегармонический, при этом должно быть соблюдено тождество между индексами.
Задача 8 составлена на измерение взаимосвязи между исследуемыми признаками (факторным и результативным) при помощи эмпирического корреляционного отношения.
4. ЗАДАНИЯ К КОНТРОЛЬНОЙ РАБОТЕ
ВАРИАНТ ПЕРВЫЙ
Задача 1
Имеются следующие отчетные данные 25 заводов одной из отраслей промышленности:
Номер завода |
Среднегодовая стоимость основных производственных фондов, млн. руб.@ | Валовая продукция в сопоставимых ценах, млн. руб. |
| 1 | 6,9 | 10,0 |
| 2 | 8,9 | 12,0 |
| 3 | 3,0 | 3,5 |
| 4 | 5,7 | 4,5 |
| 5 | 3,7 | 3,4 |
| 6 | 5,6 | 8,8 |
| 7 | 4,5 | 3,5 |
| 8 | 7,1 | 9,6 |
| 9 | 2,5 | 2,6 |
| 10 | 10,0 | 13,9 |
| 11 | 6,5 | 6,8 |
| 12 | 7,5 | 9,9 |
| 13 | 7,1 | 9,6 |
| 14 | 8,3 | 10,8 |
| 15 | 5,6 | 8,9 |
| 16 | 4,5 | 7,0 |
| 17 | 6,1 | 8,0 |
| 18 | 3,0 | 2,5 |
| 19 | 6,9 | 9,2 |
| 20 | 6,5 | 6,9 |
| 21 | 4,1 | 4,3 |
| 22 | 4,1 | 4,4 |
| 23 | 4,2 | 6,0 |
| 24 | 4,1 | 7,5 |
| 25 | 5,6 | 8,9 |
С целью изучения зависимости между среднегодовой стоимостью основных производственных фондов и выпуском валовой продукции произведите группировку заводов по среднегодовой стоимости основных производственных фондов, образовав пять групп заводов с равными интервалами. По каждой группе и совокупности заводов посчитайте:
1) число заводов;
2) среднегодовую стоимость основных производственных фондов – всего и в среднем на один завод.
3) стоимость валовой продукции всего и в среднем на один завод;
4) размер валовой продукции на один рубль основных производственных фондов (фондоотдачу).
Результаты представьте в виде групповой таблицы. Напишите краткие выводы.
Задача 2
Имеются следующие данные о заработной плате рабочих по цехам завода за два месяца.
Номер цеха |
январь | февраль | |||
| Средняя заработная плата, руб. | Фонд заработной платы, руб. | Средняя заработная плата, руб. | Численность рабочих, чел. | ||
| 1 | 4800 | 595200 | 4850 | 120 | |
| 2 | 5200 | 499200 | 5000 | 105 | |
Вычислите среднюю месячную заработную плату рабочих по заводу:
1) за январь;
2) за февраль.
Дайте характеристику динамике средней заработной платы рабочих по
каждому цеху и в целом по заводу.
Укажите, какой вид средней надо применять для вычисления этих показателей.
Задача 3
В целях изучения стажа рабочих завода проведена пятипроцентная бесповторная выборка, в результате которой получено следующее распределение рабочих по стажу работы:
| Стаж, число лет | Число рабочих, чел |
До 6 6 – 12 12 – 18 18 – 24 свыше 24 |
15 25 35 15 6 |
На основе этих данных вычислите:
1) средний стаж рабочих завода;
2) средний квадрат отклонений (дисперсию) и среднее квадратическое отклонение;
3) коэффициент вариации;
4) с вероятностью 0,997 предельную ошибку выбранной средней, возможные границы, в которых ожидается средний стаж рабочих завода;
5) с вероятностью 0,954 предельную ошибку выборочной доли и границы удельного веса числа рабочих со стажем работы от 6 до 12 лет.
Задача 4
Имеются данные о полугодовой динамике поставки шерстяных тканей в розничную сеть области, млн. руб.:
Для анализа представленного динамического ряда определите:
1) цепной абсолютный прирост, темп роста и темп прироста.
2) определите среднемесячный темп роста поставки шерстяных тканей. Сделайте выводы.
3) в целях анализа внутригодовой динамики и выявления общей тенденции развития определите индекс сезонности. Представьте графически сезонные волны развития данных явлений по месяцам.
| Месяцы | Объем поставки |
| Январь | |
| Февраль | |
| Март | |
| Апрель | |
| Май | |
| июнь |
Задача 5
Остатки вкладов в сберегательных банках района одной из областей за первое полугодие характеризуются следующими данными, млн. руб.:
На 1 января – 10,3
На 1 февраля – 10,5
На 1 марта – 10,6
На 1 апреля – 10,8
На 1 мая – 11,3
На 1 июня – 11,6
На 1 июля – 11,8
Вычислите средний остаток вкладов:
1. за 1 квартал;
2. за 2 квартал;
3. за полугодие.
Поясните, почему методы расчета средних уровней рядов динамики в задачах 4, 5 различны.
Задача 6
Динамика средних цен и объема продажи на рынках города характеризуется следующими данными:
На основании имеющихся данных вычислите:
1. для рынка №1 (по двум видам товаров вместе):
а)общий индекс товарооборота;
б)общий индекс цен;
в)общий индекс физического объема товарооборота.
Определите в отчетном периоде прирост товарооборота и разложите по
факторам (за счет изменения цен и объема продажи товаров).
Покажите взаимосвязь между исчисленными индексами:
Наименование товара |
Продано товара, единиц |
Средняя цена за единицу |
||
| Базисный период | Отчетный период | Базисный период | Отчетный период | |
| Рынок №1 | ||||
| Молоко, л | 600 | 550 | 10,5 | 12,5 |
| Творог, кг | 450 | 520 | 78 | 82 |
| Рынок №2 | ||||
| Молоко, л | 700 | 1000 | 10,0 | 12,9 |
2. Для двух рынков вместе (по молоку):
а)индекс цен переменного состава;
б)индекс постоянного состава;
в)индекс влияния изменения структуры объема продаж молока на динамику средней цены.
Объясните разницу между величинами индексов постоянного и переменного состава.
Задача 7
Имеются следующие данные о товарообороте магазина :
Товарная группа |
Продано товаров в фактических ценах, тыс. руб. | Изменение цен в отчетном периоде по сравнению с базисным, % |
|
| Базисный период | Отчетный период | ||
| Хлеб и хлебобулочные изделия | 120,5 |
211,2 |
+4 |
| Кондитерские изделия | 30,4 | 54,6 | - 3 |
Вычислите:
1) общий индекс товарооборота в фактических ценах;
2) общий индекс цен и сумму экономии от изменения цен, полученную населением в отчетном периоде при покупке товаров в данном магазине;
3) общий индекс физического объема товарооборота, используя взаимосвязь индексов.
Задача 8
Для изучения тесноты связи между выпуском валовой продукции на один завод (результативный признак - y) и оснащенностью заводов основными производственными фондами (факторный признак - х) по данным задачи 1 вычислите коэффициент детерминации и эмпирическое корреляционное отношение. Поясните их значение.
ВАРИАНТ ВТОРОЙ
Задача 1
Имеются следующие отчетные данные 25 заводов одной из отраслей промышленности:
Номер завода |
Среднегодовая стоимость основных производственных фондов, млн. руб. | Валовая продукция в сопоставимых ценах, млн. руб. |
| 1 | 3,4 | 3,5 |
| 2 | 3,1 | 3,3 |
| 3 | 3,5 | 3,5 |
| 4 | 4,1 | 4,5 |
| 5 | 5,8 | 7,5 |
| 6 | 5,2 | 6,9 |
| 7 | 3,8 | 4,3 |
| 8 | 4,1 | 5,9 |
| 9 | 5,6 | 4,8 |
| 10 | 4,5 | 5,8 |
| 11 | 4,2 | 4,6 |
| 12 | 6,1 | 8,4 |
| 13 | 6,5 | 7,3 |
| 14 | 2,0 | 2,1 |
| 15 | 6,4 | 7,8 |
| 16 | 4,0 | 4,2 |
| 17 | 8,0 | 10,6 |
| 18 | 5,1 | 5,8 |
| 19 | 4,9 | 5,3 |
| 20 | 4,3 | 4,9 |
| 21 | 5,8 | 6,0 |
| 22 | 7,2 | 10,4 |
| 23 | 6,6 | 6,9 |
| 24 | 3,0 | 3,5 |
| 25 | 6,7 | 7,2 |
С целью изучения зависимости между среднегодовой стоимостью основных производственных фондов и выпуском валовой продукции произведите группировку заводов по среднегодовой стоимости основных производственных фондов, образовав пять групп заводов с равными интервалами. По каждой группе и совокупности заводов посчитайте:
5) число заводов;
6) среднегодовую стоимость основных производственных фондов – всего и в среднем на один завод.
7) Стоимость валовой продукции всего и в среднем на один завод;
8) Размер валовой продукции на один рубль основных производственных фондов (фондоотдачу).
Результаты представьте в виде групповой таблицы. Напишите краткие выводы.
Задача 2
Имеются следующие данные по зерновым культурам колхоза:
Культура |
В отчетном периоде | План на предстоящий период | ||
| Урожайность, ц/га | Валовой сбор, ц | Урожайность, ц/га | Посевная площадь, га | |
| Пшеница | 21,0 | 63000 | 23,0 | 3300 |
| Ячмень | 19,0 | 38000 | 20,0 | 1800 |
Вычислите среднюю урожайность зерновых культур по колхозу:
1) в отчетном периоде;
2) в планируемом периоде.
Укажите, какой вид средней надо применить для вычисления этих показателей и какие изменения урожайности предусмотрены в плане на предстоящий период.
Задача 3
В целях изучения норм расходования сырья при изготовлении продукции на заводе проведена десятипроцентная механическая выборка, в результате которой получено следующее распределение изделий по массе:
| Масса изделия, г | Число изделий, шт. |
До 20 20 –21 21 –22 22 - 23 свыше 23 |
10 20 50 15 5 |
На основе этих данных вычислите:
1) среднюю массу изделия;
2) средний квадрат отклонений (дисперсию) и среднее квадратическое отклонение;
3) коэффициент вариации;
4) с вероятностью 0,954 предельную ошибку выборочной средней, возможные границы, в которых ожидается средняя масса изделий всей партии изготовленных изделий;
5) с вероятностью 0,954 предельную ошибку выборочной доли и границы удельного веса изделий с массой веса от 20 до 23 г.
Задача 4
Субсидии, полученные населением крупного города, характеризуются следующими данными:
Для анализа динамики субсидий, полученных населением за 1998-2004 гг., вычислите:
1) абсолютные приросты, темпы прироста по годам. Полученные данные представьте в таблице.
2) среднегодовой уровень субсидий.
3) среднегодовой абсолютный прирост субсидий.
4) среднегодовые темпы роста субсидий с 1998 по 2004 гг.
Изобразите динамику субсидий, полученных населением за 1998-2004 гг. на графике.
| Год | Субсидии, млн. руб. |
| 1998 | 190,0 |
| 1999 | 211,6 |
| 2000 | 242,2 |
| 2001 | 268,6 |
| 2002 | 284,8 |
| 2003 | 300,7 |
| 2004 | 306,5 |
Задача 5
Имеются следующие данные о товарных запасах торгового дома в третьем квартале, млн. руб.
| Группа товаров | На 1 июля | На 1 августа | На 1 сентября | На 1 октября |
| Продовольственные товары | 1,5 | 1,4 | 1,5 | 1,8 |
| Непродовольственные товары | 3,5 | 3,8 | 3,7 | 3,4 |
Вычислите среднеквартальный остаток:
1) продовольственных товаров;
2) непродовольственных товаров;
3) по обеим товарным группам вместе.
Поясните, почему методы расчета средних уровней рядов динамики в задачах 4, 5 различны.
Задача 6
Динамика себестоимости и объема производства продукции характеризуется следующими данными:
Вид продукции |
Выработано продукции, тыс.шт. |
Себестоимость единицы продукции, тыс. руб. |
||
| Базисный период | Отчетный период | Базисный период | Отчетный период | |
| Ззавод №1 | ||||
| МП - 25 | 4,5 | 5,0 | 5,0 | 4,8 |
| ММ - 29 | 3,2 | 3,0 | 8,0 | 8,2 |
| Завод №2 | ||||
| МП - 25 | 10,6 | 10,0 | 7,0 | 6,6 |
На основании имеющихся данных вычислите:
1. для завода №1 (по двум видам продукции вместе):
а)общий индекс затрат на производство продукции;
б)общий индекс себестоимости продукции;
в)общий индекс физического объема производства продукции.
Определите в отчетном периоде изменение суммы затрат на производство продукции разложите по факторам (за счет изменения себестоимости и объема выработанной продукции).
Покажите взаимосвязь между исчисленными индексами:
2. Для двух заводов вместе (по продукции МП - 25):
а)индекс себестоимости переменного состава;
б)индекс себестоимости постоянного состава;
в)индекс влияния изменения структуры производства продукции на динамику средней себестоимости.
Объясните разницу между величинами индексов постоянного и переменного состава.
Задача 7
Имеются следующие данные о товарообороте магазина :
Товарная группа |
Продано товаров в фактических ценах, тыс. руб. | |
| 3 квартал | 4 квартал | |
| Мясо и мясопродукты | 136,8 | 150,4 |
| Молочные продукты | 261,2 | 253,6 |
В 4 квартале по сравнению с третьим кварталом цены на мясо и мясные продукты повысились в среднем на 5%, а на молочные остались без изменения.
Вычислите:
4) общий индекс товарооборота в фактических ценах;
5) общий индекс цен;
6) общий индекс физического объема товарооборота, используя взаимосвязь индексов.
Задача 8
Для изучения тесноты связи между выпуском валовой продукции на один завод (результативный признак - y) и оснащенностью заводов основными производственными фондами (факторный признак - х) по данным задачи 1 вычислите коэффициент детерминации и эмпирическое корреляционное отношение. Поясните их значение.
ВАРИАНТ ТРЕТИЙ
Задача 1
Имеются следующие отчетные данные 24 заводов одной из отраслей промышленности:
Номер завода |
Среднегодовая стоимость основных производственных фондов, млн. руб. | Валовая продукция в сопоставимых ценах, млн. руб. |
| 1 | 1,6 | 1,5 |
| 2 | 3,9 | 4,2 |
| 3 | 3,3 | 4,5 |
| 4 | 4,9 | 4,4 |
| 5 | 3,0 | 2,0 |
| 6 | 5,1 | 4,2 |
| 7 | 3,1 | 4,0 |
| 8 | 0,5 | 0,4 |
| 9 | 3,1 | 3,6 |
| 10 | 5,6 | 7,9 |
| 11 | 3,5 | 3,0 |
| 12 | 0,9 | 0,6 |
| 13 | 1,0 | 1,1 |
| 14 | 7,0 | 7,5 |
| 15 | 4,5 | 5,6 |
| 16 | 8,1 | 7,6 |
| 17 | 6,3 | 6,0 |
| 18 | 5,5 | 8,4 |
| 19 | 6,6 | 6,5 |
| 20 | 1,0 | 0,9 |
| 21 | 4,7 | 4,5 |
| 22 | 2,7 | 2,3 |
| 23 | 2,9 | 3,2 |
| 24 | 6,8 | 6,9 |
С целью изучения зависимости между среднегодовой стоимостью основных производственных фондов и выпуском валовой продукции произведите группировку заводов по среднегодовой стоимости основных производственных фондов, образовав пять групп заводов с равными интервалами. По каждой группе и совокупности заводов посчитайте:
1) число заводов;
2) среднегодовую стоимость основных производственных фондов – всего и в среднем на один завод.
3) стоимость валовой продукции всего и в среднем на один завод;
4) размер валовой продукции на один рубль основных производственных фондов (фондоотдачу).
Результаты представьте в виде групповой таблицы. Напишите краткие выводы.
Задача 2
Имеются следующие данные о квалификации рабочих двух бригад:
№ бригады |
Число рабочих |
Уровень квалификации каждого рабочего бригады (тарифный разряд) |
1 2 |
12 10 |
4; 3; 2; 4; 5; 6; 4; 3; 4; 3; 5; 4; |
| 3; 5; 6: 5; 4; 3; 2: 3; 3; 4; |
Определить средний уровень квалификации рабочих каждой бригады и двух бригад вместе.
Укажите, какой вид средней надо применять для вычисления этих показателей.
Задача 3
С целью изучения обеспеченности населения города предприятиями общественного питания проведена пятипроцентная механическая выборка, в результате которой получено следующие распределение предприятий общепита по числу посадочных мест:
| Группы предприятий по числу посадочных мест, ед. | Число предприятий, ед. |
До 16 16 –32 32 –48 48 –64 свыше 64 |
15 20 25 8 5 |
На основе этих данных вычислите:
1) среднее число посадочных мест на одно предприятие;
2) средний квадрат отклонений (дисперсию) и среднее квадратическое отклонение;
3) коэффициент вариации;
4) с вероятностью 0,997 предельную ошибку выборочной доли и границы удельного веса числа предприятий с числом посадочных мест от 48 до 64.
Задача 4
Имеются данные о полугодовой динамике поставки бытовой техники в розничную сеть области, млн. руб.:
| Месяцы | Отчетный период |
| Июль | 132,4 |
| Август | 181,3 |
| Сентябрь | 127,8 |
| Октябрь | 119,4 |
| Ноябрь | 201,3 |
| Декабрь | 98,9 |
Для анализа представленного динамического ряда определите:
1. Цепной и базисный абсолютный прирост, темп роста и темп прироста.
2. Определите среднемесячный темп роста поставки тканей. Сделайте выводы.
3. В целях анализа внутригодовой динамики и выявления общей тенденции развития определите индекс сезонности. Представьте графически сезонные волны развития данных явлений по месяцам.
Задача 5
Имеются следующие данные об остатках товаров в розничном торговом предприятии:
| 1 января | 1 февраля | 1 марта | 1 апреля | 1 мая | 1 июня | 1 июля | |
Остатки товара на начало месяца, тыс. руб. |
50,2 |
61,4 |
63,6 |
72,8 |
61,6 |
58,8 |
62,0 |
Вычислите среднемесячные остатки товаров:
1. за 1 квартал;
2. за 2 квартал;
3. за полугодие.
Поясните, почему методы расчета средних уровней рядов динамики в задачах 4, 5 различны.
Задача 6
Динамика себестоимости и объема производства продукции характеризуется следующими данными:
Вид продукции |
Выработано продукции, ед. |
Себестоимость единицы продукции, тыс. руб. |
||
| Базисный период | Отчетный период | Базисный период | Отчетный период | |
| Завод №1 | ||||
| БМ – 40 | 2500 | 3000 | 14,0 | 13,0 |
| АН - 50 | 5000 | 6000 | 18,0 | 17,0 |
| Завод №2 | ||||
| БМ - 40 | 4000 | 5000 | 16,0 | 15,0 |
На основании имеющихся данных вычислите:
1. для завода №1 (по двум видам продукции вместе):
а)общий индекс затрат на производство продукции;
б)общий индекс себестоимости продукции;
в)общий индекс физического объема производства продукции.
Определите в отчетном периоде изменение суммы затрат на производство продукции разложите по факторам (за счет изменения себестоимости и объема выработанной продукции).
Покажите взаимосвязь между исчисленными индексами:
2. Для двух заводов вместе (по продукции БМ – 40):
а)индекс себестоимости переменного состава;
б)индекс себестоимости постоянного состава;
в)индекс влияния изменения структуры производства продукции на динамику средней себестоимости.
Объясните разницу между величинами индексов постоянного и переменного состава.
Задача 7
Имеются следующие данные о товарообороте магазина
Товарная группа |
Продано товаров в фактических ценах, тыс. руб. | |
| Базисный год | Отчетный год | |
| Одежда, белье, ткани | 1250,4 | 1480,2 |
| Обувь кожаная | 890,8 | 720,6 |
В отчетном годе по сравнению с базисным годом цены на одежду, белье, ткани повысились в среднем на 10%, а на кожаную обувь – на 8%.
Вычислите:
1. общий индекс товарооборота в фактических ценах;
2. общий индекс цен;
3. общий индекс физического объема товарооборота, используя взаимосвязь индексов.
4. Разложите по факторам прирост товарооборота магазина по данным товарным группам (за счет изменение цен и изменения количества проданных товаров).
Задача 8
Для изучения тесноты связи между выпуском валовой продукции на один завод (результативный признак - y) и оснащенностью заводов основными производственными фондами (факторный признак - х) по данным задачи 1 вычислите коэффициент детерминации и эмпирическое корреляционное отношение. Поясните их значение.
ВАРИАНТ ЧЕТВЕРТЫЙ
Задача 1
Имеются следующие отчетные данные 25 заводов одной из отраслей промышленности:
Номер завода |
Среднегодовая стоимость основных производственных фондов, млн. руб. | Валовая продукция в сопоставимых ценах, млн. руб. |
| 1 | 4,0 | 4,2 |
| 2 | 8,0 | 10,4 |
| 3 | 5,1 | 5,8 |
| 4 | 4,9 | 5,3 |
| 5 | 6,3 | 8,0 |
| 6 | 7,5 | 9,4 |
| 7 | 6,6 | 11,2 |
| 8 | 3,3 | 3,4 |
| 9 | 6,7 | 7,0 |
| 10 | 3,4 | 2,0 |
| 11 | 3,3 | 3,3 |
| 12 | 3,9 | 5,4 |
| 13 | 4,1 | 5,0 |
| 14 | 5,9 | 7,0 |
| 15 | 6,4 | 7,9 |
| 16 | 3,9 | 6,4 |
| 17 | 5,6 | 4,6 |
| 18 | 3,5 | 4,1 |
| 19 | 3,0 | 3,8 |
| 20 | 5,4 | 8,5 |
| 21 | 2,0 | 1,8 |
| 22 | 4,5 | 4,6 |
| 23 | 4,8 | 5,2 |
| 24 | 5,9 | 9,0 |
| 25 | 7,2 | 8,6 |
С целью изучения зависимости между среднегодовой стоимостью основных производственных фондов и выпуском валовой продукции произведите группировку заводов по среднегодовой стоимости основных производственных фондов, образовав четыре группы заводов с равными интервалами. По каждой группе и совокупности заводов посчитайте:
1) число заводов;
2) среднегодовую стоимость основных производственных фондов – всего и в среднем на один завод.
3) стоимость валовой продукции всего и в среднем на один завод;
4) размер валовой продукции на один рубль основных производственных фондов (фондоотдачу).
Результаты представьте в виде групповой таблицы. Напишите краткие выводы.
Задача 2
Имеются следующие данные о среднедневном товарообороте продавцов магазинов розничной торговой сети:
Номер магазина |
Торговый дом № 1 | Торговый дом №2 | ||
| Средний товарооборот продавца, руб. | Численность продавцов, чел. | Средний товарооборот продавца, руб. | Весь товарооборот, руб. | |
| 1. | 16000 | 54 | 12500 | 930000 |
| 2. | 18000 | 40 | 14000 | 1615000 |
Вычислите средний дневной товарооборот продавца:
1) по торговому дому №1.
2) по торговому дому № 2.
Укажите, в каком торге выше среднедневной товарооборот одного продавца и какой вид средней надо применить для вычисления этих показателей.
Задача 3
В целях изучения затрат времени на изготовление одной детали рабочими завода проведена десятипроцентная случайная бесповторная выборка, в результате которой получено следующее распределение деталей по затратам времени:
| Затраты времени за одну деталь, мин. | Число изделий, шт. |
До 10 10-12 12-14 14-16 16 и более |
10 20 50 15 5 |
На основе этих данных вычислите:
1) средние затраты времени на изготовление одной детали;
2) средний квадрат отклонений (дисперсию) и среднее квадратическое отклонение;
3) коэффициент вариации;
4) с вероятностью 0,954 предельную ошибку выборочной средней, возможные границы, в которых ожидается средние затраты времени на изготовление одной детали на заводе;
5) с вероятностью 0,954 предельную ошибку выборочной доли и границы удельного веса числа деталей с затратами времени на их изготовление от 10 до 12 минут.
Задача 4
Урожайность овощей в области (по всем категориям хозяйств) характеризуется следующими данными:
Для анализа данного ряда динамики, вычислите:
1) абсолютные приросты, темпы роста, темпы прироста (цепные). Полученные показатели представьте в таблице.
2) среднегодовую урожайность овощей.
3) базисный темп роста с помощью взаимосвязи цепных темпов роста.
4) среднегодовой темп роста и прироста.
Год |
Средняя урожайность, ц / га |
| 1998 | 150 |
| 1999 | 154 |
| 2000 | 162 |
| 2001 | 156 |
| 2002 | 180 |
| 2003 | 172 |
Изобразите урожайность овощей на графике. Сделайте выводы.
Задача 5
Имеются следующие данные о товарных запасах по одной из торговых организациях, млн. руб.:
Группа товаров |
Запасы товаров | ||||
| Базисный год | Отчетный год | Следующий год | |||
| На 01.01 | На 01.07 | На 01.01 | На 01.07 | На 01.01 | |
| Продовольственные товары | 8,0 | 9,2 | 7,8 | 12,4 | 13,2 |
| Непродовольственные товары | 24,0 | 29,0 | 26,2 | 32,6 | 26,4 |
Вычислите средние товарные запасы в базисном и отчетном году:
1.по продовольственным товарам;
Поясните, почему методы расчета средних уровней рядов динамики в задачах 4, 5 различны.
Задача 6
Динамика себестоимости и объема производства продукции заводов характеризуется следующими данными:
Вид продукции |
Выработано продукции, тыс.ед. |
Себестоимость единицы продукции, тыс. руб. |
||
| Базисный период | Отчетный период | Базисный период | Отчетный период | |
| Завод №1 | ||||
| АМ – 45 | 8,5 | 6,5 | 2,9 | 2,6 |
| ТС – 37 | 6,4 | 6,4 | 3,3 | 3,5 |
| Завод №2 | ||||
| АМ – 45 | 10,0 | 12,0 | 4,0 | 4,2 |
На основании имеющихся данных вычислите:
1. Для завода №1 (по двум видам продукции вместе):
а)общий индекс затрат на производство продукции;
б)общий индекс себестоимости продукции;
в)общий индекс физического объема производства продукции.
Определите в отчетном периоде изменение суммы затрат на производство продукции разложите по факторам (за счет изменения себестоимости и объема выработанной продукции).
Покажите взаимосвязь между исчисленными индексами:
3. Для двух заводов вместе (по продукции АМ – 45):
а)индекс себестоимости переменного состава;
б)индекс себестоимости постоянного состава;
в)индекс влияния изменения структуры производства продукции на динамику средней себестоимости.
Объясните разницу между величинами индексов постоянного и переменного состава.
Задача 7
Имеются следующие данные о товарообороте магазина :
Товарная группа |
Продано товаров в фактических ценах, тыс. руб. | |
| Базисный год | Отчетный год | |
| Трикотажные изделия | 310,1 | 361,1 |
| Чулочно-носочные изделия | 150,7 | 196,3 |
В отчетном году по сравнению с базисным годом количество проданных товаров увеличились по трикотажным изделиям на 5%, а по чулочно-носочным – на 15%.
Вычислите:
1) общий индекс товарооборота в фактических ценах;
2) общий индекс физического объема (количества) продажи товаров;
3) общий индекс цен, используя взаимосвязь индексов.
Как повлияло изменение цен на величину товарооборота ?
Задача 8
Для изучения тесноты связи между выпуском валовой продукции на один завод (результативный признак - y) и оснащенностью заводов основными производственными фондами (факторный признак - х) по данным задачи 1 вычислите коэффициент детерминации и эмпирическое корреляционное отношение. Поясните их значение.
ВАРИАНТ ПЯТЫЙ
Задача 1
Имеются следующие отчетные данные 23 заводов одной из отраслей промышленности:
Номер завода |
Среднегодовая стоимость основных производственных фондов, млн. руб. | Валовая продукция в сопоставимых ценах, млн. руб. |
| 1 | 12,7 | 16,6 |
| 2 | 6,9 | 7,6 |
| 3 | 7,3 | 11,2 |
| 4 | 2,9 | 3,2 |
| 5 | 4,5 | 4,9 |
| 6 | 12,8 | 15,0 |
| 7 | 7,8 | 12,0 |
| 8 | 0,8 | 0,7 |
| 9 | 4,1 | 5,3 |
| 10 | 4,3 | 4,8 |
| 11 | 5,5 | 5,7 |
| 12 | 4,3 | 4,8 |
| 13 | 9,1 | 10,9 |
| 14 | 1,4 | 1,2 |
| 15 | 7,6 | 8,6 |
| 16 | 3,6 | 3,6 |
| 17 | 4,4 | 6,7 |
| 18 | 6,9 | 8,4 |
| 19 | 4,6 | 6,9 |
| 20 | 5,8 | 6,7 |
| 21 | 11,7 | 17,9 |
| 22 | 7,4 | 10,4 |
| 23 | 10,9 | 15,5 |
| 24 | 3,9 | 6,3 |
| 25 | 11,0 | 14,1 |
С целью изучения зависимости между среднегодовой стоимостью основных производственных фондов и выпуском валовой продукции произведите группировку заводов по среднегодовой стоимости основных производственных фондов, образовав четыре группы заводов с равными интервалами. По каждой группе и совокупности заводов посчитайте:
1) число заводов;
2) среднегодовую стоимость основных производственных фондов – всего и в среднем на один завод.
3) стоимость валовой продукции всего и в среднем на один завод;
4) размер валовой продукции на один рубль основных производственных фондов (фондоотдачу).
Результаты представьте в виде групповой таблицы. Напишите краткие выводы.
Задача 2
Имеются следующие данные о численности рабочих в бригадах в двух отраслях народного хозяйства двух областей за отчетный год:
Область |
Промышленность | Строительство | ||
| Численность рабочих в одной бригаде, чел. | Число бригад, ед. | Численность рабочих в одной бригаде, чел. | Общая численность рабочих всех бригад, чел. | |
| А | 15 | 1200 | 19 | 9500 |
| Б | 18 | 1500 | 23 | 18400 |
Вычислите среднюю численность рабочих одной бригады:
1)в промышленности;
2)в строительстве.
Укажите, какой вид средней надо применить для вычисления этих показателей. Сравните полученные средние.
Задача 3
В целях изучения дневной выработки рабочими завода проведена десятипроцентная случайная бесповторная выборка, в результате которой получено следующее распределение рабочих:
| Группы рабочих с дневной выработкой изделий, шт. | Число рабочих, чел.. |
До 20 20-30 30-40 40-50 свыше 50 |
5 10 40 22 8 |
На основе этих данных вычислите:
1) среднедневную выработку изделий;
2) средний квадрат отклонений (дисперсию) и среднее квадратическое отклонение;
3) коэффициент вариации;
4) с вероятностью 0,954 предельную ошибку выборочной средней, возможные границы, в которых ожидается среднедневная выработка изделий всеми рабочими завода;
5) с вероятностью 0,954 предельную ошибку выборочной доли и границы удельного веса рабочих, с дневной выработкой от 40 до 50 изделий.
Задача 4
Производство продукции предприятия характеризуется следующими данными:
Для анализа данного ряда динамики, вычислите:
1) среднемесячное производство продукции.
2) базисный темп роста с помощью взаимосвязи цепных темпов роста.
3) среднемесячный темп роста и прироста. Результаты представьте в таблице.
| Месяцы | Производство продукции, тыс. руб. |
| Январь | 1100 |
| Февраль | 1200 |
| Март | 1300 |
| Апрель | 1350 |
| Май | 1500 |
| Июнь | 1600 |
Изобразите динамику производства продукции на графике. Сделайте выводы.
Задача 5
Имеются следующие данные о товарных запасах непродовольственных товаров
торговой организации, млн. руб.:
На 1 января – 4,5
На 1 апреля – 4,6
На 1 июля – 4,8
На 1 октября – 4,5
На 1 января следующего года – 4,2
Вычислите средние товарные запасы торговой организации:
1) За 1 полугодие;
2) за 2 полугодие;
3) за год.
Поясните, почему методы расчета средних уровней рядов динамики в задачах 4, 5 различны.
Задача 6
Динамика себестоимости и объема производства продукции характеризуется следующими данными:
Вид продукции |
Выработано продукции, тыс.ед. |
Себестоимость единицы продукции, тыс. руб. |
||
| Базисный период | Отчетный период | Базисный период | Отчетный период | |
| Завод №1 | ||||
| ЛР – 34 | 2,7 | 2,7 | 3,2 | 3,1 |
| АВ - 50 | 4,0 | 4,8 | 1,5 | 1,5 |
| Завод №2 | ||||
| АВ - 50 | 2,0 | 1,2 | 1,4 | 1,3 |
На основании имеющихся данных вычислите:
1. Для завода №1 (по двум видам продукции вместе):
а)общий индекс затрат на производство продукции;
б)общий индекс себестоимости продукции;
в)общий индекс физического объема производства продукции.
Определите в отчетном периоде изменение суммы затрат на производство продукции (за счет изменения себестоимости и объема выработанной продукции).
Покажите взаимосвязь между исчисленными индексами:
2. Для двух заводов вместе (по продукции АВ - 50):
а)индекс себестоимости переменного состава;
б)индекс себестоимости постоянного состава;
в)индекс влияния изменения структуры производства продукции на динамику средней себестоимости.
Объясните разницу между величинами индексов постоянного и переменного состава.
Задача 7
Имеются следующие данные о товарообороте магазина :
Товарная группа |
Продано товаров в фактических ценах, тыс. руб. | |
| Базисный год | Отчетный год | |
| Картофель | 562,5 | 670,9 |
| Фрукты и цитрусовые | 348,2 | 451,6 |
В отчетном году по сравнению с базисным годом цены на картофель повысились на 7%, а на фрукты и цитрусовые остались без именения.
Вычислите:
1) общий индекс товарооборота в фактических ценах;
2) общий индекс цен и сумму дополнительных расходов населения вследствие изменения цен в отчетном году при покупке товаров в данном магазине;
3)общий индекс физического объема товарооборота, используя взаимосвязь индексов.
Задача 8
Для изучения тесноты связи между выпуском валовой продукции на один завод (результативный признак - y) и оснащенностью заводов основными производственными фондами (факторный признак - х) по данным задачи 1 вычислите коэффициент детерминации и эмпирическое корреляционное отношение. Поясните их значение.
5. ПРАКТИКУМ ПО ТЕОРИИ СТАТИСТИКИ
1. ГРУППИРОВКА СТАТИСТИЧЕСКИХ ДАННЫХ И ЕЕ РОЛЬ В АНАЛИЗЕ ИНФОРМАЦИИ
Одним из основных наиболее распространенных методов обработки и анализа первичной статистической информации является группировка.
Под группировкой понимают расчленение единиц статистической совокупности на группы, однородные в каком-либо существенном отношении, и характеристику таких групп системой показателей в целях выделения типов явлений, изучения структуры и взаимосвязей. Следовательно, с помощью группировок решаются три задачи:
• разделение всей совокупности на качественно однородные группы - выделение социально-экономических типов. Эти группировку называются типологическими (например, группировки хозяйственных объектов по формам собственности, населения по общественным группам и др.);
• характеристика структуры явления и структурных сдвигов. Эти группировки называются структурными (например, определение значения каждого вида транспорта в транспортном балансе страны, изучение состава населения по полу, возрасту и другим признакам и т. д.);
• изучение взаимосвязей между отдельными признаками изучаемого явления. Такие группировки называются аналитическими (например, группировка предприятий определенной отрасли экономики по уровню производительности труда для выявления ее влияния на себестоимость продукции).
Разграничение трех видов группировки является в известной мере условным. Во многих случаях одна и та же группировка дает возможность решать все три задачи.
Признак, на основе которого производится подразделение единиц наблюдения на группы, называется группировочным признаком или основанием группировки. Группировка может выполняться по одному признаку (простая группировка) и по нескольким признакам (комбинированная группировка).
Группировочные признаки могут быть атрибутивными и количественными. Атрибутивные признаки регистрируются в виде текстовой записи (например, профессия рабочих, социальная группа населения). Количественные признаки имеют цифровое выражение (стаж работы, размер дохода).
При группировке по атрибутивному признаку число групп определяется количеством соответствующих наименований, если число этих наименований не очень велико. Если признак имеет большое количество разновидностей, то при группировке ряд наименований объединяют в одну группу. Для обоснованного объединения их в группы разрабатываются классификации. В отличие от группировок при классификации группировочные признаки установлены заранее на длительный период для решения многих задач, в то время как группировки выполняются для целей конкретного исследования. Примерами могут служить классификации отраслей экономики, автотранспортных предприятий по целевому назначению (грузовые, автобусные, таксомоторные и др.).
При группировке по количественному признаку число групп определяется в зависимости от характера изменения признака и задач исследования. Если количественный признак меняется прерывно (дискретно), т. е. может принимать только некоторые - чаще целые значения (например, тарифный разряд рабочих), то число групп должно соответствовать количеству значений признака.
При непрерывном изменении признак принимает любые значения (например, стаж работы или возраст рабочих), поэтому группы ограничиваются значениями признака в интервале «от - до». Интервалом называется разница между максимальным и минимальным значениями признака в каждой группе. На практике используются три вида интервалов: равные, неравные (постепенно увеличивающиеся) и специализированные.
Равные интервалы используются, если нужно охарактеризовать количественные различия в величине признака внутри групп одинакового качества (например, при группировке рабочих определенной профессии по проценту выполнения норм выработки).
Величина равного интервала исчисляется по формуле:
![]()
Xmax и Xmin - соответственно наибольшее и наименьшее значения признака в изучаемой совокупности; т - принятое число групп.
Для расчета величины интервала по этой формуле необходимо заранее установить число групп (при числе наблюдений более 20 используют 4-5 групп).
Возможен и другой способ определения величины интервала, не требующий предварительного установления числа групп. В этом случае используется формула Стерджесса:
Выполняя расчет величины интервала по этой формуле, следует знаменатель предварительно округлить до целого числа, поскольку количество групп не может быть дробным.
![]()
где n – число наблюдений
Величину интервала обычно округляют до целого (всегда большего) числа, исключение составляют случаи, когда изучаются малейшие колебания признака.
Неравные интервалы (постепенно увеличивающиеся) часто применяются в аналитических группировках. В этом случае интервалы выбираются так, чтобы число единиц в образованных группах было достаточно велико (т. е. чтобы группы были приблизительно одинаково заполнены).
Специализированные интервалы используются в типологических группировках; границы устанавливаются там, где намечается переход от одного качества к другому. Наметить точки перехода можно только на основе теоретического анализа, используя для выделения типов не отдельные, изолированные признаки, а совокупность признаков, характеризующих различные стороны изучаемого явления.
Интервалы группировки могут быть закрытыми и открытыми. Закрытые интервалы - это обычные интервалы, имеющие как нижние (т. е. «от»), так и верхние (т. е. «до») границы. Открытые интервалы - это интервалы, имеющие какую-либо одну границу - верхнюю илк нижнюю. Они применяются тогда, когда признак изменяется неравномерно в широких пределах, причем большие (или малые) значения признака встречаются нечасто.
Следующей за группировкой ступенью систематизации и обобщения материалов статистического наблюдения является статистическая сводка. Под статистической сводкой в узком смысле слова понимается подсчет числа единиц в подгруппах и группах, выделенных при группировке, и подведение итогов по количественным признакам.
Результаты группировки и сводки материалов оформляются в виде статистических таблиц.
Над таблицей помещается заголовок, отражающий в сжатой форме ее основное содержание, время и место, к которым относятся изложенные в таблице данные.
РЕШЕНИЕ ТИПОВЫХ ЗАДАЧ
1.1 Имеются следующие данные по заработной плате водителей за сентябрь:
| Табельный номер водителя | Класс водителя | Процент выполнения норм выработки | Заработная плата за месяц |
1 2 3 4 5 6 7 8 9 10 11 12 |
I II II I II I I II I II I I |
110,2 102,0 111,0 107,9 106,4 109,0 115,0 112,2 105,0 107,4 112,5 108,6 |
2100,3 1600,8 1970,7 2050,2 1740,5 1985,4 2300,8 2015,7 1790,2 1700,7 2280,2 2170,1 |
Для выявления зависимости заработной платы водителей от уровня квалификации и процента выполнения норм выработки произвести аналитическую группировку. Интервалы группировки водителей по проценту выполнения норм выработки разработать самостоятельно. На основе выполненной группировки построить комбинационную таблицу. Сформулировать вывод.
Решение
Для решения задачи необходимо произвести группировку водителей по двум признакам-факторам: сначала - на группы по квалификации, затем внутри каждой группы - на подгруппы по проценту выполнения норм выработки.
По проценту выполнения норм выработки принимаются две подгруппы: 1) водители, выполняющие норму от 100 до 110%; 2) водители, выполняющие норму на 110% и выше.
Результаты группировки представлены во вспомогательной табл. 1.1.
На основе вспомогательной таблицы по каждой подгруппе определяют численность и итог признака (общую сумму заработной платы), результаты оформляют в виде комбинационной таблицы (табл. 1.2).
Таблица 1.1
Вспомогательная таблица
| группы водителей по уровню классификации | водители II класса | водители I класса | ||
| Подгруппы водителей по проценту выполнения норм выработки | 100 - 110 | 110 и выше | 100 - 110 | 110 и выше |
| Табельный номер водителя | 2;5;10 | 3;8 | 4;6;9;12 | 1;7;11 |
| Заработная плата за месяц, руб | 1600,8 1740,5 1700,7 |
1970,7 2015,7 |
2050,2 1985,4 1790,2 2170,1 |
2100,3 2300,8 2280,2 |
Таблица 1.2
Зависимость заработной платы водителей от классификации и процента выполнения норм выработки
| группы водителей по уровню классификации | Подгруппы водителей по проценту выполнения норм выработки | число водителей | общая сумма заработной платы, руб. | средняя заработная плата одного водителя, руб. | изменение средней заработной платы по сравнению с низшей подгруппой, % |
| II класс | 100 – 110 110 и выше |
3 2 |
5042,0 3986,4 |
1680,7 1993,2 |
100,0 118,6 |
| итого по группе | 5 | 9028,4 | 1805,7 | - | |
| I класс | 100 – 110 110 и выше |
4 3 |
7995,9 6681,3 |
1999,0 2227,1 |
118,9 132,5 |
| итого по группе | 7 | 14677,2 | 2096,7 | - | |
| всего | 12 | 23705,6 | 1975,5 | - | |
Из данных табл. 1.2 следует, что с ростом квалификации водителей и процента выполнения норм выработки увеличивается заработная плата. Так, заработная плата водителей I класса, выполняющих норму выработки на 110% и выше, на 32,5% превышает заработную плату водителей II класса, выполняющих нрр-му от 100 до 110%.
2. АБСОЛЮТНЫЕ, ОТНОСИТЕЛЬНЫЕ И СРЕДНИЕ ВЕЛИЧИНЫ
Абсолютные величины характеризуют численность совокупности и объем (размер) изучаемого социально-экономического явления в определенных границах времени и места. Они являются всегда именованными числами, т. е. имеют какую-либо единицу измерения. Единицы измерения могут быть натуральные, условно-натуральные, стоимостные (денежные) и трудовые. Выбор единицы измерения зависит от сущности изучаемого явления и конкретных задач исследования.
Абсолютные величины могут быть получены путем суммирования данных статистического наблюдения или расчетным путем. Например, численность населения страны определяется по результатам сводки данных единовременного наблюдения. При определении стоимостных показателей объема продукции абсолютные величины получают расчетным путем.
Относительные величины исчисляются при выполнении третьего этапа статистического исследования. Относительная величина представляет собой результат сопоставления двух статистических показателей, дает цифровую меру их соотношения. Она получается путем деления сравниваемого показателя на другой показатель, принимаемый за базу сравнения.
Относительные величины делятся на две группы:
• относительные величины, полученные в результате соотношения одноименных статистических показателей;
• относительные величины, представляющие результат сопоставления разноименных статистических показателей.
К относительным величинам первой группы относятся: относительные величины динамики, относительные величины планового задания и выполнения плана, относительные величины структуры, координации и наглядности.
Результат сопоставления одноименных показателей представляет собой краткое отношение (коэффициент), показывающее, во сколько раз сравниваемая величина больше (или меньше) базисной. Результат может быть выражен в процентах, показывая, сколько процентов сравниваемая величина составляет от базы.
Относительные величины динамики характеризуют изменение явления во времени. Они показывают, во сколько раз увеличился (или уменьшился) объем явления за определенный период времени, их называют коэффициентами роста. Коэффициенты роста можно исчислять в процентах, для этого отношения умножают на 100. Их называют темпами роста, которые можно определять с переменной или постоянной базой.
Темпы роста с переменной базой получают при сравнении уровня явления каждого периода с уровнем предшествующего периода. Темпы роста с постоянной базой сравнения получают путем сопоставления уровня явления в каждом отдельном периоде с уровнем одного периода, принятого за базу. Выбор базы сравнения нередко имеет существенное значение. Так, в ряде случаев в качестве базы сравнения принимаются годы, являющиеся исторически обусловленной границей отдельных периодов времени.
у1 ; у2 ; у3 ; у4 ~ уровни явления за одинаковые последовательные периоды (например, выпуск продукции по кварталам года).
Темпы роста в процентах с переменной базой (цепные темпы роста):
![]()
![]()
![]()
Темпы роста с постоянной базой (базисные темпы роста):
![]()
![]()
![]()
где y0 – постоянная база сравнения
Относительная величина планового задания - отношение величины показателя по плану (у^) к его фактической величине в предшествующем периоде (у0 ), т. е. упл : уо
Относительная величина выполнения плана - отношение фактической (отчетной) величины показателя (у\) к запланированной на тот же период его величине (ут ), т. е. у1 : упл.
Относительные величины планового задания, выполнения плана и динамики связаны между собой.
В ряде случаев расчет относительной величины выполнения плана может производиться по методу нарастающего итога. Так, оценка выполнения квартального плана по объему продукции выполняется по данным, взятым нарастающим итогом с начала кваратала.
Относительные величины структуры характеризуют долю отдельных частей в общем объеме совокупности и выражаются в долях единицы или в процентах. Они исчисляются по сгруппированным данным.
относительная число единиц (или объём признака) по группе
величина = ________________________________________ ![]()
структуры, % общее число единиц (или объём признака)
по всей соокупности
Каждую относительную величину структуры называют удельным весом.
Относительные величины координации отражают отношение численности двух частей единого целого, т. е. показывают, сколько единиц одной группы приходится в среднем на одну, на десять или на сто единиц другой группы изучаемой совокупности (например, сколько служащих приходится на 100 рабочих).
Относительные величины наглядности отражают результаты сопоставления одноименных показателей, относящихся к одному и тому же периоду (или моменту) времени, но к разным объектам или территориям (например, сравнивается годовая производительность труда по двум предприятиям).
Вторая группа относительных величин, представляющая собой результат сопоставления разноименных статистических показателей, носит название относительных величин интенсивности.
Они являются именованными числами и показывают итог числителя, приходящийся на одну, на десять, на сто единиц знаменателя.
В эту группу относительных величин включаются показатели производства продукции на душу населения; показатели потребления продуктов питания и непродовольственных товаров на душу населения; показатели, отражающие обеспеченность населения материальными и культурными благами; показатели, характеризующие техническую оснащенность производства, рациональность расходования ресурсов.
показатель производства выпуск определённого вида продукции
продукции на = _______ в натуральном выражении за год________
душу населения среднегодовая численность населения
обеспеченность наличие определённых благ на начало
населения = ________ (или конец) года_____________________
материальными или численность населения на начало
культурными благами (или конец) года
Средние величины.
Средней величиной называется обобщающий показатель, характеризующий типичный уровень варьирующего количественного признака на единицу совокупности в определенных условиях места и времени.
Средняя величина всегда именованная, она имеет ту же размерность, что и признак у отдельных единиц совокупности.
При использовании средних в практической работе и научных исследованиях необходимо иметь в виду, что за средним показателем скрываются особенности различных частей изучаемой совокупности, поэтому общие средние для однородной совокупности должны дополняться групповыми средними, характеризующими части совокупности.
В экономических исследованиях и плановых расчетах применяются две категории средних:
• степенные средние;
• структурные средние.
К категории степенных средних относятся: средняя арифметическая, средняя гармоническая, средняя квадратическая, средняя геометрическая. Величины, для которых исчисляется средняя, обозначаются буквой хi. Средняя обозначается через x. Такой способ обозначения указывает на происхождение средней из конкретных величин. Черта вверху символизирует процесс осреднения индивидуальных значений. Частота - повторяемость индивидуальных значений признака - обозначается буквой f
Формулы средних величин могут быть получены на основе степенной средней, для которой определяющей функцией является уравнение
![]()
откуда

В дальнейшем при написании формул средних подстрочные значки I, п использоваться не будут, но подразумевается, что суммируются все произведения х, /,.
В зависимости от степени 1с получаются различные виды средних величин, их формулы представлены в табл. 2.1.
Как видно из данных табл. 2.1, взвешенные средние учитывают, что отдельные варианты значений признака имеют различную численность, поэтому каждый вариант «взвешивают» по своей частоте, т. е. умножают на нее. Частоты/при этом называются статистическими весами или просто весами средней.
Однако необходимо учитывать, что статистический вес - понятие более широкое, чем частота. В качестве веса могут применяться какие-либо другие величины (в табл. 2.1 они обозначены буквой и'). Например, при расчете средней продолжительности рабочего дня по предприятию единственно правильным будет взвешивание по количеству отработанных человеко-дней. Частоты отдельных вариантов могут быть выражены не только абсолютными величинами, но и относительными - частостямн.
Величины степенных средних, рассчитанных на основе одних и тех же индивидуальных значений признака при различных значениях степени (k), не одинаковы. Чем выше степень k средней, тем больше величина самой средней.
![]()
Таблица 2.1 Формулы различных видов степенных средних величин
| Значе-ние x | Наименование средней | формула средней | |
| простая | взвешенная | ||
| -1 | Гармоническая | ![]() |
![]() ![]() |
| 0 | Геометрическая | ||
| 1 | Арифметическая | ![]() ![]() |
|
| 2 | Квадратическая | ![]() |
![]() |
Средняя арифметическая и средняя гармоническая наиболее распространенные виды средней, получившие широкое применение в плановых расчетах, при расчете общей средней из средних групповых, а также при выявлении взаимосвязи между признаками с помощью группировок. Выбор средней арифметической и средней гармонической определяется характером имеющейся в распоряжении исследователя информации.
Средняя квадратическая применяется для расчета среднего квадратического отклонения (а), являющегося показателем вариации признаков, а также в технике (например, при сооружении трубопроводов).
Средняя геометрическая (простая) используется при вычислении среднего коэффициента роста (темпа) в рядах динамики.
Структурные средние - мода и медиана - в отличие от степенных средних, которые в значительной степени являются абстрактной характеристикой совокупности, выступают как конкретные величины, совпадающие с вполне определенными вариантами совокупности. Это делает их незаменимыми при решении ряда практических задач.
Модой называется значение признака, которое наиболее часто встречается в совокупности (в статистическом ряду).
Медианой называется значение признака, которое лежит в середине ранжированного ряда и делит этот ряд на две равные по численности части.
Ранжированный ряд - ряд, расположенный в порядке возрастания или убывания значений признака.
Для определения медианы сначала определяют ее место в ряду, используя формулу
![]()
Если ряд состоит из четного числа членов, то за медиану условно принимают среднюю арифметическую их двух срединных значений.
Применяется мода при экспертных оценках, при определении наиболее ходовых размеров обуви, одежды, что учитывается при планировании их производства. Медиана используется при статистическом контроле качества продукции и технологического процесса на промышленных предприятиях; при изучении распределения семей по величине дохода и др. Мода и медиана имеют преимущество перед средней арифметической для ряда распределения с открытыми интервалами.
3. СТАТИСТИЧЕСКИЕ РАСПРЕДЕЛЕНИЯ И ИХ ОСНОВНЫЕ ХАРАКТЕРИСТИКИ
Различия индивидуальных значений признака у единиц совокупности называются вариацией признака. Она возникает в результате того, что индивидуальные значения складываются под совместным влиянием разнообразных условий (факторов), по-разному сочетающихся в каждом отдельном случае.
Изучение вариации в пределах однородной группы предполагает использование следующих приемов: построение вариационного ряда (ряда распределения), его графическое изображение, исчисление основных характеристик распределения.
Вариационный ряд - групповая таблица, построенная по количественному признаку, в сказуемом которой показывается число единиц в каждой группе. Форма построения вариационного ряда зависит от характера изменения изучаемого признака, он может быть построен в форме дискретного ряда или в форме интервального ряда.
По характеру вариации значений признака различают:
• признаки с прерывным изменением (дискретные);
* признаки с непрерывным изменением (непрерывные).
Признаки с прерывным изменением могут принимать лишь конечное число определенных значений (например, тарифный разряд рабочих, число детей в семье, число станков, обслуживаемых одним рабочим). Признаки с непрерывным изменением могут принимать в определенных границах любые значения (например, стаж работы, пробег автомобиля, размер дохода и т. д.).
Для признака, имеющего прерывное изменение и принимающего небольшое количество значений, применяется построение дискретного ряда. В первой графе ряда указываются конкретные значения каждого индивидуального значения признака, во второй графе - численность единиц с определенным значением признака.
Для признака, имеющего непрерывное изменение, строится интервальный вариационный ряд, состоящий, так же как и дискретный ряд, из двух граф (варианты и частоты). При его построении в первой графе отдельные значения признака указываются в интервалах «от - до», во второй графе - число единиц, входящих в интервал. Интервалы образуются, как правило, равные и закрытые.
Величина интервала определяется по формуле
i = R/m
где R - размах колебания (варьирования) признака;
т - число групп.
Число групп приближенно определяется по формуле Стерджесса:
т = 1 +3,322 lgn,
где п - общее число единиц совокупности.
Полученную по этой формуле величину округляют до целого числа, поскольку количество групп не может быть дробным числом.
При небольшом объеме информации (численности единиц в совокупности) число групп может быть установлено исследователем без использования формулы Стерджесса.
Величину интервала обычно округляют до целого (всегда большего) числа, исключение составляют лишь случаи, когда изучаются малейшие колебания признака (например, при группировке деталей по величине размера отклонений от номинала, измеряемого в долях миллиметра).
Нижнюю границу первого интервала принимают равной минимальному значению признака (чаще всего его предварительно округляют до целого числа); верхняя граница первого интервала соответствует значению (дст)п + /). Для последующих групп границы определяются аналогично, т. е. последовательно прибавляется величина интервала. Если единица обладает значением признака, равным величине верхней границы интервала, то ее следует относить к следующей группе.
Примером интервального вариационного ряда служит табл. 3.1.
Таблица 3.1 Выполнение норм выработки рабочими цеха

Частоты ряда (f) могут быть заменены частостями (w), которые представляют собой частоты, выраженные в относительных числах (долях или процентах) и рассчитанные путем деления частоты каждого интервала на их общую сумму, т. е.
![]()
Замена частот частостями позволяет сопоставлять вариационные ряды с различным числом наблюдений. В табл. 3.2 по данным табл. 3.1 исчислены частости и накопленные частоты. Частости в долях исчислялись так:
![]()
Таблица 3.2 Выполнение норм выработки рабочими цеха

Частости в процентах:
0,022 • 100 = 2,2%; 0,245 • 100 = 24,5% и т. д.
Накопленные частоты:
2+ 22 = 24; 24+ 48 = 72; 72 +16 = 88; 88+2 = 90.
Если вариационный ряд дан с неравными интервалами, то для правильного представления о характере распределения необходимо произвести расчет абсолютной или относительной плотности распределения.
Абсолютная плотность распределения (р) представляет собой величину частоты, приходящейся на единицу размера интервала отдельной группы ряда: р =f/i
Относительная плотность распределения (р') - частное от деления частости (w) отдельной группы на размер ее интервала: р' - w/i
Первым этапом изучения вариационного ряда является его графическое изображение. Дискретный вариационный ряд изображается в виде так называемого полигона, или многоугольника, распределения частот, являющегося разновидностью статистических ломаных. Для изображения интервального ряда применяются полигон распределения частот и гистограмма частот.
Строятся графики в прямоугольной системе координат. При построении полигона частот на оси абсцисс в одинаковом масштабе откладываются направо в порядке возрастания значения признака (для дискретного характера) или центральные значения интервалов (для интервальных рядов); по оси ординат наносится шкала для выражения величин частот. Из точек на оси абсцисс, соответствующих величине признака, восстанавливаются перпендикуляры высотой, соответствующей частоте; вершины перпендикуляров соединяются отрезками прямой. Крайние точки полученной ломаной соединяются с лежащими на оси абсцисс следующими (меньшими и большими) возможными, но фактически не наблюдающимися значениями признака, частота которых, очевидно, равна 0. Замкнутая с осью абсцисс ломаная линия представляет полигон распределения частот.
Для построения гистограммы по оси абсцисс откладывают величины интервалов, а частоты изображаются прямоугольниками, построенными на интервалах с высотой в масштабе оси ординат. В случае неравенства интервалов гистограмма строится не по частотам или частостям, а по плотности распределения.
В ряде случаев для изображения вариационных рядов используется кумулятивная кривая (кумулята), она особенно удобна для сравнения вариационных рядов. Накопленные частоты наносятся на чертеж в виде ординат; соединяя вершины отдельных ординат прямыми, получают ломаную линию, которая, начиная с нуля, непрерывно поднимается над осью абсцисс, до тех пор пока не достигнет высоты, соответствующей общей сумме частот.
При построении графических изображений вариационного ряда большое значение имеет соотношение масштабов по оси абсцисс (х) и оси ординат (f). В этом случае следует руководствоваться так называемым «правилом золотого сечения», в соответствии с которым высота графика должна быть примерно в два раза меньше его основания.
Для анализа вариационных рядов используются три группы показателей:
• показатели центра распределения;
• показатели степени вариации;
• показатели формы распределения.
Показатели центра распределения
Для характеристики среднего значения признака в вариационном ряду применяются: средняя арифметическая, медиана, мода.
Средняя арифметическая для дискретного ряда распределения исчисляется по формуле:

где х - варианты значений признака;
f - частота повторения данного варианта.
Средняя арифметическая для интервального ряда распределения:
![]()
где х' - середина соответствующего интервала значения признака.
Медиана (Ме) соответствует варианту, стоящему в середине ранжированного ряда. Положение медианы определяется ее номером:

где п - число единиц в совокупности.
По накопленным частотам определяют ее численное значение в дискретном вариационном ряду.
В интервальном ряду распределения сначала указывают интервал, в котором находится медиана.
Медианным является первый интервал, в котором сумма накопленных частот превысит половину общего числа наблюдений.
Численное значение медианы определяется по формуле:

где хМе - нижняя граница медианного интервала;
i - величина интервала;
S(-1) - накопленная частота интервала, предшествующего медианному;
f- частота медианного интервала.
Мода (Мо) - наиболее часто встречающееся значение признака. В дискретном ряду - это варианта с наибольшей частотой. В интервальном ряду сначала определяется модальный интервал, т. е. тот интервал, который имеет наибольшую частоту.
Конкретное значение моды определяется по формуле:

Моду и медиану можно определить на основе графического изображения ряда. Медиана определяется по кумуляте. Для ее определения высоту наибольшей ординаты, которая соответствует общей численности, делят пополам. Через полученную точку проводят прямую, параллельную оси абсцисс, до пересечения ее с кумулятой. Абсцисса точки пересечения является медианной величиной.
Мода определяется по гистограмме распределения. Для этого правую вершину модального прямоугольника соединяют с правым верхним углом предыдущего прямоугольника, а левую вершину модального прямоугольника - с левым верхним углом последующего прямоугольника. Абсцисса точки пересечения этих прямых и будет модой распределения.
Показатели вариации (колеблемости) признака
Для характеристики размера вариации признака используются абсолютные и относительные показатели. К абсолютным показателям вариации относятся:
• размах колебаний;
• среднее линейное отклонение;
• среднее квадратическое отклонение;
• дисперсия;
• квартильное отклонение.
Размах колебаний (размах вариации)
![]()
где XmaxuXmin- соответственно максимальное и минимальное значения признака. Величина показателя зависит от величины только двух крайних вариант и не учитывает степени колеблемости основной массы членов ряда.
Среднее линейное отклонение и среднее квадратическое отклонение показывают, на сколько в среднем отличаются индивидуальные значения признака от среднего его значения. Среднее линейное отклонение определяется по формулам:
а) для несгруппированных данных (первичного ряда)
![]()
б) для п вариационного ряда
![]()
Среднее квадратическое отклонение (ơ) и дисперсия (ơ2 ) определяются так:
а) для несгруппированных данных

б) для вариационного ряда
![]()
Формула для расчета дисперсии может быть преобразована:

т.е. дисперсия равна средней из квадратов индивидуальных значений признака минус квадрат средней величины. Следовательно,
![]()
Среднее квадратическое отклонение по своей величине всегда превышает значение среднего линейного отклонения в соответствии со свойством мажорантности средних.
При сравнении колеблемости различных признаков в одной и той же совокупности или же при сравнении колеблемости одного и того же признака в нескольких совокупностях с различной величиной средней арифметической используются относительные показатели вариации. Они вычисляются как отношение абсолютных показателей вариации к средней арифметической (или медиане) и чаще всего выражаются в процентах.
Формулы расчета относительных показателей вариации следующие:
коэффициент осцилляции
![]()
относительное линейное отклонение
![]()
коэффициент вариации
![]()
Наиболее часто применяется коэффициент вариации. Его применяют не только для сравнительной оценки вариации, но и для характеристики однородности совокупности. Совокупность считается однородной, если коэффициент вариации не превышает 33% (для распределений, близких к нормальному).
Сложение дисперсий изучаемого признака
Изучая дисперсию интересующего нас признака в пределах исследуемой совокупности и опираясь на общую среднюю в расчетах, нельзя оценить влияние отдельных факторов, определяющих колеблемость индивидуальных значений (вариант) признака. Это можно сделать при помощи метода группировок, когда единицы изучаемой совокупности подразделяются на однородные группы по признаку-фактору. При этом кроме общей средней для всей совокупности исчисляются средние по отдельным группам (групповые или частные средние) и три показателя дисперсии:
• общая дисперсия;
• межгрупповая дисперсия;
• средняя внутригрупповая дисперсия.
Величина общей дисперсии (Q0 2 ) характеризует вариацию признака под влиянием всех факторов, формирующих уровень признака у единиц данной совокупности, и определяется по формуле
![]()
где хo - общая средняя арифметическая для всей изучаемой совокупности.
Межгрупповая дисперсия (дисперсия групповых средних δ2 ) отражает систематическую вариацию, т. е. те различия в величине изучаемого признака, которые возникают под влиянием фактора, положенного в основу группировки. Межгрупповая дисперсия определяется по формуле

Средняя внутригрупповая дисперсия
характеризует случайную вариацию, возникающую под влиянием других, неучтенных факторов, и не зависит от условия (признака-фактора), положенного в основу группировки.
Средняя внутригрупповая дисперсия определяется по формуле
![]()
где ơi2 - дисперсия по отдельной группе;
![]()
Указанные дисперсии взаимосвязаны между собой следующим равенством: величина общей дисперсии равна сумме межгрупповой дисперсии и средней внутригрупповой дисперсии:
![]()
Это тождество отражает закон (правило) сложения дисперсий. Опираясь на это правило, можно определить, какая часть (доля) общей дисперсии складывается под влиянием признака-фактора, положенного в основу группировки.
Вариации альтернативного признака
Альтернативный признак - качественный признак, имеющий две взаимоисключающие разновидности (например, работники предприятия подразделяются на мужчин и женщин; продукция - на годную и бракованную и т. д.).
Альтернативный признак принимает всего два значения:
1 - наличие признака;
О - отсутствие признака.
p+q=1
где р - доли единиц, обладающих признаком;
q - доли единиц, не обладающих признаком.
Среднее значение альтернативного признака
![]()
Дисперсия альтернативного признака
![]()
Предельное значение вариации альтернативного признака равно 0,25; оно получается при p= q= 0,5.
Показатели формы распределения
Для получения приблизительного представления о форме распределения строят графики распределения (полигон и гистограмму). В практике статистических исследований приходится встречаться с самыми различными распределениями. Однородные совокупности характеризуются, как правило, одновершинными распределениями. Многовершинность свидетельствует о неоднородности изучаемой совокупности. В этом случае необходима перегруппировка данных с целью выделения более однр-родных групп.
Выяснение общего характера распределения предполагает оценку степени его однородности, а также исчисление показателей асимметрии и эксцесса.
Для сравнительного анализа степени асимметрии нескольких распределений рассчитывается относительный показатель асимметрии (As ):
![]()
Величина показателя асимметрии Аs может быть положительной и отрицательной. Положительная величина показателя асимметрии указывает на наличие правосторонней асимметрии. Отрицательный знак показателя асимметрии говорит о наличии левосторонней асимметрии. Чем больше абсолютная величина коэффициента, тем больше степень скошенности. Принято считать, что если коэффициент асимметрии меньше 0,25, то асимметрия незначительная, если свыше 0,5, то асимметрия значительная.
Кривые распределения
Наиболее надежный путь выявления закономерностей распределения - увеличение количества наблюдений. По мере увеличения количества наблюдений (в пределах той же однородной совокупности) при одновременном уменьшении величины интервала закономерность, характерная для данного распределения, будет выступать все более и более ясно, а представляющая полигон частот ломаная линия будет приближаться к некоторой плавной линии и в пределе должна превратиться в кривую линию.
Кривая линия, которая отражает закономерность изменения частот в чистом, исключающем влияние случайных факторов виде, называется кривой распределения.
В настоящее время изучено значительное число различных форм распределений. В практике статистических исследований часто используется распределение Пуассона, Максвелла, особенно нормальное распределение. Распределения, близкие к нормальному распределению, были обнаружены при изучении самых различных явлений как в природе, так и в развитии общества.
В статистической практике большой интерес представляет решение вопроса о том, в какой мере можно считать полученное в результате статистического наблюдения распределение признака в исследуемой совокупности, соответствующее нормальному распределению.
Для решения этого вопроса следует рассчитать теоретические частоты нормального распределения, т. е. те частоты, которые были бы, если бы данное распределение в точности следовало закону нормального распределения. Для расчета теоретических частот применяется следующая формула:

Следовательно, в зависимости от величины tдля каждого интервала эмпирического ряда определяются теоретические частоты.
Для проверки близости теоретического и эмпирического распределений используются специальные показатели, называемые критериями согласия. Наиболее распространенным является критерий согласия
К. Пирсона χ2 («хи- квадрат»), исчисляемый по формуле
![]()
где f - эмпирические частоты (частости) в интервале;
f'' - теоретические частоты (частости) в интервале.
Полученное значение критерия (х2 расч) сравнивается с табличным значением (х2 табл)- Последнее определяется по специальной таблице (см. приложение 2) в зависимости от принятой вероятности (Р) и числа степеней свободы k(для нормального распределения kравно числу групп в раду распределения минус 3).
Если X2 расч <= Х2 табл, то гипотеза о близости эмпирического распределения к нормальному не отвергается.
При расчете критерия Пирсона необходимо соблюдать условия: число наблюдений должно быть достаточно велико (п > 50); если теоретические частоты в некоторых интервалах меньше 5, то интервалы объединяют так, чтобы частоты были больше 5.
РЕШЕНИЕ ТИПОВЫХ ЗАДАЧ
3.2. Имеются следующие данные о возрастном составе рабочих цеха (лет): 18; 38; 28; 29; 26; 38; 34; 22; 28; 30; 22; 23; 35; 33; 27; 24; 30; 32; 28; 25; 29; 26; 31; 24; 29; 27; 32; 25; 29; 29.
Для анализа распределения рабочих цеха по возрасту требуется: 1) построить интервальный ряд распределения; 2) дать графическое изображение ряда; 3) исчислить показатели центра распределения, показатели вариации и формы распределения. Сформулировать вывод.
Решение \. Величина интервала группировки определяется по формуле
![]()
Интервальный ряд распределения

2. Графически интервальный вариационный ряд может быть представлен в виде гистограммы, полигона, кумуляты.
Гистограмма строится в прямоугольной системе координат. По оси абсцисс откладывают интервалы значений вариационного признака, причем число интервалов целесообразно увеличить на два4ло одному в начале и в конце имеющегося ряда) для удобства преобразования гистограммы в полигон частот. На отрезках (интервалах) строятся прямоугольники, высота которых соответствует частоте.
Для преобразования гистограммы в полигон частот середины верхних сторон прямоугольников соединяют отрезками прямой, и две крайние точки прямоугольников замыкаются по оси абсцисс на середине интервалов, в которых частоты равны нулю.
На рис. 3.2 представлено графическое изображение построенного интервального вариационного ряда в виде гистограммы и полигона частот.
Как видно из графика, треугольники, относящиеся к площади гистограммы и к площади полигона, попарно равны между собой, и, следовательно, площадь гистограммы и площадь полигона данного вариационного ряда также совпадают.
На основе построенной гистограммы графически можно определить значение моды. Для этого правую вершину модального прямоугольника соединяют прямой с правым верхним углом предыдущего прямоугольника, а левую вершину модального прямоугольника соединяют с левым верхним углом последующего прямоугольника. Абсцисса точки пересечения этих прямых и будет модой распределения. Мо = 28,3 года. На рис. 3.2 эти прямые

Рис. 3.2. Гистограмма и полигон распределения рабочих цеха по возрасту линии, соединяющие вершины прямоугольников, и перпендикуляр из точки их пересечения показаны пунктирной линией.
На рис. 3.3 представлена кумулятивная кривая (кумулята).
Кумулята может быть использована для графического определения медианы. Для этого последнюю ординату кумуляты делят пополам. Через полученную точку проводят прямую, параллельную оси дг, до пересечения ее с кумулятой. Из точки пересечения опускается перпендикуляр до оси абсцисс. Абсцисса точки пересечения является медианой. Линии, определяющие медиану, на рис. 3.3 показаны пунктирными линиями. Ме = 28,6 года.

3. Расчет показателей центра распределения:
![]()
Для интервального вариационного ряда порядок расчета структурных средних следующий: сначала находят интервал, содержащий моду или медиану, а затем рассчитывают соответствующие значения названных показателей.
Модальным в данном распределении является интервал 27 -30 лет, так как наибольшее число рабочих {f = 10) находится в этом интервале. Значение моды определяется по формуле

Для расчета показателей вариации составляется вспомогательная таблица (табл. 3.4).
Таблица 3.4 Вспомогательная таблица для расчета показателей

Следовательно, вариация возраста у рабочих данного цеха не является значительной, что подтверждает достаточную однородность совокупности.
Как видно на рис. 3.2, распределение рабочих по возрасту несимметрично, поэтому определяется показатель асимметрии:
![]()
Следовательно, асимметрия правосторонняя, незначительная. При правосторонней асимметрии между показателями центра распределения существует соотношение
![]()
Для данного распределения это соотношение выполняется, т. е. 28, 33 < 28, 65 < 28, 70. При левосторонней асимметрии (Л, со знаком минус) соотношение между показателями центра распределения будет иметь вид:
Мо > Ме > х.
4. ВЫБОРОЧНОЕ НАБЛЮДЕНИЕ
Понятие о выборочном наблюдении
Выборочное наблюдение при строгом соблюдении условий случайности и достаточно большой численности отобранных единиц репрезентативно (представительно); по результатам изучения определенной части единиц с достаточной для практики степенью точности можно судить о всей совокупности. Однако вычисленные по материалам выборочного наблюдения статистические показатели не будут точно совпадать с соответствующими характеристиками для всей совокупности (генеральной совокупности). Величина этих отклонений называется ошибкой наблюдения, которая складывается из ошибок двоякого рода: ошибки регистрации (точности) и ошибки репрезентативности.
Ошибки репрезентативности свойственны только несплошным наблюдениям. Они характеризуют размер расхождений между величинами показателя, полученного в выборочной и генеральной совокупности в условиях одинаковой точности единичных наблюдений. Ошибки репрезентативности могут быть систематическими и случайными. Систематические ошибки возникают при нарушении установленных правил отбора единиц. Случайные ошибки репрезентативности обязаны своим возникновением недостаточно равномерным представлением в выборочной совокупности различных категорий единиц генеральной совокупности.
Величина случайной ошибки определяет надежность данных выборочного наблюдения, их пригодность для суждения о генеральной совокупности. При помощи формул теории вероятностей можно рассчитать возможную максимальную случайную ошибку - вероятный (стохастический) предел ошибки.
Максимально возможная ошибка - это такая величина отклонения выборочной средней (доли) от генеральной, вероятность превышения которой вследствие случайных причин в условиях данной выборки очень мала.
Величина случайной ошибки репрезентативности зависит от:
• степени колеблемости изучаемого признака в генеральной совокупности;
• способа формирования выборочной совокупности;
• объема выборки.
По степени охвата единиц исследуемой совокупности различают большие и малые выборки.
По способу формирования выборочной совокупности различают следующие виды выборочного наблюдения: простая случайная (собственно случайная) выборка, расслоенная (типическая или районированная), серийная, механическая, комбинированная, ступенчатая, многофазная.
Принятые условные обозначения
Совокупность единиц, из которых производится отбор, принято называть генеральной совокупностью. Совокупность отобранных единиц из генеральной совокупности называется выборочной совокупностью.
N - объем генеральной совокупности (число входящих в нее единиц);
п - объем выборочной совокупности (число единиц, попавших в выборку);
х - генеральная средняя (среднее значение признака в генеральной совокупности);
х - выборочная средняя (среднее значение признака в выборочной совокупности);
р - генеральная доля (доля единиц, обладающих данным признаком в генеральной совокупности);
w - выборочная доля (доля единиц, обладающих данным признаком в выборочной совокупности);
ơ2 - генеральная дисперсия (дисперсия признака в генеральной совокупности);
S2 - выборочная дисперсия (дисперсия признака в выборочной совокупности);
ơ- среднее квадратическое отклонение признака в генеральной совокупности;
S - среднее квадратическое отклонение признака в выборочной совокупности.
Простая случайная выборка
При простой случайной выборке отбор единиц в выборочную совокупность производится непосредственно из всей массы единиц генеральной совокупности в форме случайного отбора, при котором каждой единице генеральной совокупности обеспечивается одинаковая вероятность (возможность) быть выбранной. Единица отбора совпадает с единицей наблюдения. Случайный отбор осуществляется путем применения жеребьевки (лотереи) или путем использования таблиц случайных чисел.
Случайный отбор может быть проведен в двух формах: в форме возвратной (повторной) выборки ив форме безвозвратной (бесповторной) выборки. При повторном отборе вероятность попадания каждой единицы генеральной совокупности остается постоянной, так как после отбора какой-то единицы она снова может быть выбранной. При бесповторном отборе выбранная единица не возвращается в генеральную совокупность и вероятность попадания отдельных единиц в выборку все время изменяется (для оставшихся единиц она возрастает).
Применение простой случайной повторной выборки на практике весьма ограниченно; обычно используется бесповторная выборка.
В табл. 4.1 приведены формулы расчета ошибок простой случайной выборки.
Формулы предельной ошибки позволяют решать задачи трех видов:
1. Определение пределов генеральных характеристик с
заданной степенью надежности (доверительной вероятностью) на основе показателей, полученных по данным выборки. Доверительные интервалы для генеральной средней –
![]()
Доверительные интервалы для генеральной доли -

2. Определение доверительной вероятности того, что генеральная характеристика может отличаться от выборочной не более чем на определенную заданную величину.
Доверительная вероятность является функцией от t, определяемой по формуле
![]()
По величине t определяется доверительная вероятность (приложение 3).
3. Определение необходимого объема выборки, который с практической вероятностью обеспечивает заданную точность выборки.

В табл. 4.2 приведены формулы для расчета численности простой случайной выборки.
Таблица 4.2 Формулы для определения численности простой случайной

РЕШЕНИЕ ТИПОВЫХ ЗАДАЧ
4.1. Из партии электроламп взята 20%-ная случайная бесповторная выборка для определения среднего веса спирали. Результаты выборки следующие:

Определить с вероятностью 0,95 доверительные пределы, в которых лежит средний вес спирали, для всей партии электроламп.

4.2. На заводе электроламп из партии продукции в количестве 16000 шт. ламп взято на выборку 1600 шт. (случайный, бесповторный отбор), из которых 40 шт. оказались бракованными.
Определить с вероятностью 0,997 пределы, в которых будет находиться процент брака для всей продукции

5. ИНДЕКСЫ И ИХ ИСПОЛЬЗОВАНИЕ В ЭКОНОМИКО-СТАТИСТИЧЕСКИХ ИССЛЕДОВАНИЯХ
Индекс - относительная величина, характеризующая изменение уровней сложных социально-экономических показателей во времени, в пространстве или по сравнению с планом. Сложный показатель состоит из непосредственно несоизмеримых (несуммируемых) элементов. Например, предприятие выпускает несколько видов продукции, но получить общий итог объема продукции путем суммирования количества различных ее видов в натуральном выражении нельзя.
Индексные показатели вычисляются на высшей ступени статистического обобщения и опираются на результаты сводки и обработки данных статистического наблюдения. С их помощью решаются следующие основные задачи:
• характеристика общего изменения сложного экономического показателя и отдельных его элементов;
• измерение влияния факторов на общую динамику сложного показателя, включая характеристику влияния изменения структуры явления.
Индекс является результатом сравнения двух одноименных показателей, поэтому при их вычислении различают сравниваемый уровень (числитель индексного отношения), называемый текущим или отчетным, и уровень, с которым производится сравнение (знаменатель индексного отношения), называемый базисным. Выбор базы определяется целью исследования.
При территориальных сравнениях за базу принимают данные другой территории.
При использовании индексов как показателей выполнения плана за базу сравнения принимаются плановые показатели.
В зависимости от содержания и характера изучаемых социально-экономических показателей различают индексы количественных (объемных) показателей и индексы качественных показателей.
К индексам количественных (объемных) показателей относятся индексы физического объема производства продукции, физического объема потребления продукции (производственного и личного) и индексы других показателей, размеры которых характеризуются абсолютными величинами.
К индексам качественных показателей относятся индексы цен, себестоимости, индексы средней заработной платы, производительности труда. Качественный показатель характеризует уровень изучаемого результативного показателя в расчете на количественную единицу и определяется путем деления результативного показателя на количественный показатель, на единицу которого он определяется. Например, средняя заработная плата определяется путем деления фонда заработной платы на численность работников; производительность труда определяется путем деления общего объема выработанной продукции на численность работников.
По степени охвата элементов совокупности различают индивидуальные и сводные (общие) индексы. Индивидуальные индексы характеризуют изменение одного элемента совокупности. Сводные индексы характеризуют изменение сложного явления в целом. В зависимости от способа исчисления общих (сводных) индексов различаются агрегатные индексы и средние взвешенные индексы.
Для удобства применения индексного метода, составления формул индексов и их использования в статистико-экономическом анализе в теории статистики разработана определенная символика и применяются соответствующие условные обозначения.
Каждая индексируемая величина имеет свое символическое обозначение:
q - количество продукции одного вида в натуральном выражении;
р - цена за единицу продукции;
z - себестоимость единицы продукции;
t - затраты труда (рабочего времени) на единицу продукции.
Индексы по отдельным элементам изучаемого сложного экономического явления (т. е. индивидуальные индексы) обозначаются символом i, у которого проставляется символ соответствующей индексируемой величины. Например:
iq - индивидуальный индекс объема (количества) отдельного вида продукции;
ip - индивидуальный индекс цен на отдельный вид продукции (товара);
iz - индивидуальный индекс себестоимости единицы отдельного вида продукции;
iqp - индекс стоимости отдельного вида продукции;
iqz - индекс денежных затрат на выпуск одного вида продукции;
iqt - индекс затрат труда на выпуск (производство) одного вида продукции.
Общий (сводный) индекс изучаемого сложного экономического явления обозначается символом I, у которого отражается символ индексируемой величины. Например:
Iq - общий индекс физического объема продукции;
Ip - общий индекс цен;
Iz - общий индекс себестоимости;
Iqp - общий индекс стоимости всех видов продукции;
Iqz - общий индекс затрат на производство всех видов продукции;
Iqt - общий индекс затрат труда на выпуск всех видов продукции.
Для отражения базисных периодов времени применяются специальные обозначения, которые пишутся внизу символа используемых при написании индекса величин. Базисный период, с данными которого производится сравнение, обозначается нулевым значением, первый отчетный период - единицей и т. д. Кроме того, обозначения сравниваемого и базисного периодов можно проставлять внизу символа индекса (например, Iq 1/0 ).
Индексы количественных показателей
Индивидуальный индекс физического объема выпуска продукции характеризует изменение выпуска (реализации или потребления) одного вида продукции и определяется по формуле
![]()
- количество продукции данного вида в натуральном выражении соответственно в текущем и базисном периодах.
Индивидуальный индекс затрат на выпуск продукции
показывает изменение затрат на производство одного вида продукции и имеет следующий вид:
![]()
- себестоимость единицы продукции данного вида соответственно в текущем и базисном периодах;
- сумма затрат на выпуск продукции данного вида соответственно в текущем и базисном периодах.
Индивидуальный индекс стоимости продукции:
![]()
- цена единицы продукции данного вида соответственно в текущем и базисном периодах;
- стоимость продукции данного вида соответственно в текущем и базисном периодах.
Агрегатный индекс физического объема продукции Iq 1/0
характеризует изменение выпуска всей совокупности продукции и исчисляется по формуле

|
- количество выработанных единиц отдельных видов продукции соответственно в отчетном и базисном периодах;
|
- цена единицы отдельного вида продукции в базисном периоде.
Такой вариант построения агрегатного индекса был предложен Э. Ласпейресом в 1864 г.
В агрегатном индексе физического объема продукции индексируемой величиной является количество продукции ( q ); цена (p) служит коэффициентом соизмерения (соизмерителем).
![]()
- абсолютное изменение общей стоимости продукции за счет изменения выпуска продукции.
При вычислении индекса физического объема продукции возможны разные решения - в зависимости от выбора коэффициента соизмерения. В качестве коэффициента соизмерения можно также использовать цены отчетного периода (р1 ) или сопоставимые (фиксированные - Р c ). Тогда формулы агрегатного индекса имеют следующий вид:
![]()
Агрегатный индекс с соизмерителями отчетного периода был предложен в 1874 г. Г. Пааше.
Кроме того, в качестве соизмерителей могут быть использованы себестоимость единицы продукции, а также затраты рабочего времени на единицу продукции. В этом случае агрегатный индекс физического объема определяется по формулам
![]()
z0 - себестоимость единицы продукции каждого вида в базисном периоде;
- затраты рабочего времени на производство единицы продукции каждого вида в базисном периоде.
Средние взвешенные индексы физического объема продукции применяются в том случае, если известны индивидуальные индексы объема по отдельным видам продукции и стоимость отдельных видов продукции (или затраты на отдельные виды продукции) в базисном или отчетном периоде.
Средний взвешенный арифметический индекс физического объема продукции

![]()
- индивидуальный индекс по каждому виду продукции;
q0 p0 - стоимость продукции каждого вида в базисном периоде.
Средний взвешенный гармонический индекс физического объема продукции:

- стоимость продукции каждого вида в текущем периоде.
Агрегатный индекс затрат на выпуск всей продукции
имеет следующий вид:
![]()
- затраты на выпуск продукции каждого вида соответственно в отчетном и базисном периодах.
![]()
- абсолютное изменение общей суммы затрат на выпуск продукции за счет изменения количества выработанной продукции и ее себестоимости.
Агрегатный индекс стоимости продукции (товарооборота):

- абсолютное изменение общей стоимости продукции за счет изменения количества продукции и цен.
Индексы качественных показателей
Индивидуальные индексы цен, себестоимости, затрат рабочего времени на единицу продукции характеризуют изменение цен, себестоимости, затрат рабочего времени по каждому виду продукции:
![]()
- цена за единицу продукции каждого вида соответственно в текущем и базисном периодах;
- себестоимость единицы продукции каждого вида соответственно в текущем и базисном периодах;
- затраты рабочего времени на единицу продукции каждого вида соответственно в текущем и базисном периодах.
Агрегатный индекс цен характеризует среднее изменение цен по совокупности различных видов продукции и исчисляется по формуле
(этот вариант индекса был предложен Г. Пааше).
Индексируемой величиной является цена (р), количество продукции ( q ) носит название веса.
![]()
-абсолютное изменение всей стоимости продукции за счет изменения цен.
Для характеристики среднего изменения цен на потребительские товары (потребительскую корзину) агрегатный индекс цен целесообразно определять по формуле
![]()
(вариант индекса был предложен Э. Ласпейресом).
Средние взвешенные индексы цен применяются в том случае, если известны индивидуальные индексы цен по отдельным видам продукции, а также стоимость отдельных видов продукции.
Средний взвешенный арифметический индекс цен:
![]()
Ip - индивидуальный индекс цен по каждому виду продукции;
p0 q0 - стоимость продукции каждого вида в базисном периоде.
Средний взвешенный гармонический индекс цен:

- стоимость продукции каждого вида в текущем периоде.
Агрегатные индексы себестоимости и затрат рабочего времени на единицу продукции исчисляются по такому же принципу, как и агрегатные индексы цен. Их формулы следующие:
![]()
Изучение динамики качественных показателей по нескольким единицам (предприятиям, территориям, странам)
Анализ динамики уровней качественных показателей по нескольким единицам означает анализ динамики уровней средних величин различных экономических показателей (средней себестоимости, средней цены, средней заработной платы и т. д.). Этот анализ выполняется с помощью системы взаимосвязанных индексов: индекса переменного состава, индекса фиксированного состава и индекса влияния структурных сдвигов.
Построение этой системы индексов показано на примере анализа себестоимости одного вида продукции А, выпускаемой несколькими предприятиями фирмы.
Изменение себестоимости продукта А по фирме (по группе предприятий) определяется следующим индексом:

- средняя себестоимость единицы продукции по группе предприятии соответственно в отчетном и базисном периодах.
Средняя себестоимость единицы продукции в отчетном и базисном периодах исчисляется по формулам средней арифметической взвешенной:
![]()
- себестоимость единицы продукции каждого предприятия соответственно в базисном и отчетном периодах;
- выпуск продукции в натуральном выражении каждым предприятием соответственно в базисном и отчетном периодах.
Следовательно,
![]()
Этот индекс носит название индекса переменного состава. Это объясняется тем, что при исчислении средней себестоимости единицы продукции в отчетном периоде весами служило количество продукции отчетного периода. При определении средней себестоимости единицы продукции базисного периода весами было количество продукции базисного периода, т. е. исчислялись средние с меняющимися (переменными) весами.
![]()
Величины отражают распределение продукции
по предприятиям, поэтому формула индекса себестоимости переменного состава может быть записана так:

![]()
- удельный вес каждого предприятия в общем объеме выпуска продукта А соответственно в базисном и отчетном периодах.
![]()
- абсолютное изменение средней себестоимости по группе предприятий.
Величина индекса переменного состава зависит от изменения уровня себестоимости по предприятиям и изменения в распределении физического объема продукции между предприятиями.
Чтобы устранить влияние изменений в структуре весов на показатель изменения уровня себестоимости, рассчитывается отношение средних с одними и теми же весами, т. е. исчисляется индекс себестоимости фиксированного состава. Для этого среднюю себестоимость определяют при структуре фактического объема продукции в текущем периоде.
Формула индекса себестоимости фиксированного состава записывается так:
![]()
Полученный индекс себестоимости фиксированного состава отражает изменение уровня средней себестоимости в связи с изменениями значений себестоимости по отдельным предприятиям:
![]()
![]()
- абсолютное изменение средней себестоимости по группе предприятий за счет изменения уровня себестоимости по предприятиям.
Индекс влияния структурных сдвигов в объеме продукции определяется по формулам
![]()
- абсолютное изменение средней себестоимости по группе предприятий за счет структурных сдвигов в объеме выпуска продукции.
Поскольку изменение средней себестоимости в целом по группе предприятий определяется изменением двух факторов, то
![]()
РЕШЕНИЕ ТИПОВЫХ ЗАДАЧ
Задача 1. Выпуск продукции по заводу почвообрабатывающих машин за два квартала следующий:
Вид продукции |
Выпуск, шт. | Отпускная цена за шт., тыс. д.е | ||
| 1 кв. (q0) | 2 кв. (q1) | 1 кв. (p0) | 2 кв. (p1) | |
| Плуги навесные 2500 | 2610 4,8 5,4 | |||
| Плуги прицепные 3000 | 2950 7,1 7,6 | |||
| Культиваторы навесные 3600 | 3700 5,0 5,7 | |||
Определить:
1) изменение (в %) выпуска каждого вида продукции, а также изменение выпуска продукции в целом по предприятию;
2) изменение цен (в %) по каждому виду продукции и среднее изменение цен по всему ассортименту продукции;
3) абсолютное изменение общей стоимости продукции, выделив из общей суммы изменение за счет изменения количества продукции и за счет изменения цен.
Решение
Для характеристики изменения выпуска продукции в целом по предприятию исчисляется агрегатный индекс физического объема продукции:
![]()
или 101,3%, т. е. в целом по предприятию выпуск продукции увеличился на 1,3%, в результате стоимость продукции увеличилась на 673 000 руб. (51 973 - 51 300).
Среднее изменение цен по всему ассортименту продукции определяется по формуле агрегатного индекса цен:
![]()
или 110,8%.
Таким образом, цены на продукцию предприятия повышены в среднем на 10,8%, за счет чего стоимость продукции повысилась на 5631 тыс. руб. (57 604-51 973).
3. Абсолютное изменение стоимости продукции определяется по формуле
![]()
- абсолютное изменение стоимости продукции за счет изменения выпуска продукции
тыс. руб.;
![]()
- абсолютное изменение стоимости продукции за счет изменения цен;
тыс. руб;
![]()
что и соответствует ранее полученной цифре.
Задача 2. Определить, как изменились в среднем отпускные цены на продукцию, если количество произведенной продукции в отчетном периоде по сравнению с базисным увеличилось на 8,0%, а общая стоимость продукции уменьшилась на 5,0%.
Решение
Для определения индекса цен используется взаимосвязь между тремя индексами:
![]()
или 97,2%. Следовательно, отпускные цены на продукцию снижены в среднем на 2,8%.
6. ВОПРОСЫ К ЭКЗАМЕНУ (ЗАЧЕТУ) ПО СТАТИСТИКЕ
1. Современная организация статистики. Задачи органов статистики в условиях рыночных отношений.
2. Статистическое наблюдение. Основные организационные формы статистического наблюдения.
3. Виды статистического наблюдения.
4. Организация статистической отчетности. Специальные статистические наблюдения. Ошибки наблюдения.
5. Задачи группировок. Виды группировок: типологические, структурные, аналитические.
6. Группировочные признаки, их сущность и значение.
7. Важнейшие группировки и классификации, применяемые в статистике.
8. Ряды распределения. Их виды, назначение и использование.
9. Абсолютные величины и их значение в статистическом исследовании. Виды абсолютных величин, единицы измерения.
10.Виды относительных величин, способы их расчета и формы
выражения.
11.Виды средних и способы определения их величин.
12.Выборочное наблюдение - основные приема расчета ошибок.
13.Задачи статистического изучения вариации. Основные показатели
вариации.
14.Виды дисперсии. Правило сложения дисперсий.
15.Понятие о рядах динамики и их значение.
16.Основные правила построения рядов динамики.
17.Виды зависимостей между факторами. Показатели регрессии.
18.Аналитические модели зависимости между факторами.
19.Анализ рядов динамики.
20. Аналитические приемы обработки рядов динамики.
21.Понятие об индексах. Значение индексов в анализе социально-
экономических явлений.
22.Классификация индексов.
23.Индивидуальные и общие индексы.
24.Агрегатный индекс как основная форма общего индекса.
25.Средний арифметический и гармонический индексы.
26.Система взаимосвязей индексов.
27.Индексы постоянного, переменного состава и структурных
сдвигов.
28.Базисные и цепные индексы, их взаимосвязь.
7. ТЕСТЫ ПО СТАТИСТИКЕ (теория статистики)
Абсолютные, относительные и средние величины
1. В прошлом году себестоимость производства изделия А составила 70,0 тыс. руб. По плану отчетного года предусматривалось снизить себестоимость на 1400 руб., фактическая себестоимость составила 68,2 тыс. руб.
Определить относительные величины планового задания по снижению себестоимости и динамики себестоимости производства изделия А.
а) 0,98; 0,974
б) 0,95; 0,087
в) 0,78; 1,657
г) 1,89; 0,675
2. Планом предусмотрено увеличение объема продукции предприятия против прошлого года на 2,1%. Фактически прирост продукции против прошлого года составил 4,8%.
Определить процент выполнения плана по выпуску продукции.
а) 100%
б) 106,5%
в) 102,6%
г) 101,1%
3. Планом предусмотрено снижение затрат на один рубль товарной продукции на 4,0%; фактически по сравнению с прошлым годом затраты возросли на 1,8%.
Определить, на сколько процентов фактические затраты на один рубль товарной продукции отличаются от плановых.
а) Меньше на 5,6%
б) Больше на 2,3%
в) Больше на 6,04%
г) Одинаковые
4. Автобус на междугородной линии протяженностью 625 км прошел путь в прямом направлении со скоростью 68 км/ч, в обратном направлении - со скоростью 52 км/ч.
Определить среднюю скорость сообщения за оборотный рейс.
а) 65,0 км/ч
б) 70,0 км/ч
в) 42,0 км/ч
г) 59,0 км/ч
5. Цехом произведены бракованные детали в трех партиях: в первой партии - 90 шт., что составило 3,0% от общего числа деталей; во второй партии - 140 шт., или 2,8%; в третьей партии - 160 шт., или 2,0%.
Определить средний процент бракованных деталей.
а) 10%
б) 16,5%
в) 2,6%
г) 2,44%
Статистические распределения
1. Средняя величина в совокупности равна 15, среднее квадратическое отклонение равно 10. Чему равен средний квадрат индивидуальных значений этого признака?
а) х2 = 325
б) х2 = 453
в) х2 = 342
г) х2 = 352
2. Дисперсия признака равна 360 000, коэффициент вариации равен 50%. Чему равна средняя величина признака?
а) х = 2300
б) х = 1200
в) х = 1150
г) х = 1250
3.Дисперсия признака равна 25, средний квадрат индивидуальных значений равен 125. Чему равна средняя?
а) 20
б) 14
в) 10
г) 15
4. Определить дисперсию признака, если средняя величина признака равна 2600 единицам, а коэффициент вариации равен 30%.
а) s2 = 608 400
б) s2 = 700 609
в) s2 = 800 978
г) s2 = 409 600
5. По совокупности, состоящей из 100 единиц, известны:
1) средняя арифметическая - 47,0;
2) сумма квадратов индивидуальных значений признака - 231 592.
Определить, достаточно ли однородна изучаемая совокупность.
а) n = 33,0% неоднородна
б) n = 22,0% однородна
в) n = 24% однородна
г) n = 22,2% неоднородна
Выборочное наблюдение
1.В АО «Прогресс» работает 3000 человек. Методом случайной бесповторной выборки обследовано 1000 человек, из которых 820 выполняли и перевыполняли дневную норму выработки.
Определить: 1) долю рабочих, не выполняющих норму выработки, по данным выборочного обследования; 2) долю всех рабочих акционерного общества, не выполняющих норму (с вероятностью 0,954).
а) 1)0,18 ;2)0,18 +/-0,02
б) 1) 2,2 ; 2) 2,22 +/- 0,03
в) 1)1,2; 2) 1,1 +/- 0,1
г) 1) 1,27; 2) 1,1 +/- 0,1
2.Из партии изготовленных изделий общим объемом 2000 единиц проверено посредством механической выборки 30% изделий, из которых бракованными оказались 12 изделий.
Определить: 1) долю бракованных изделий по данным выборки; 2) пределы, в которых находится процент бракованных изделий, для всей партии (с вероятностью 0,954).
а) 1)0,03 или 3% 2)3,0 +/- 0,96
б) 1)0,02 или 2% 2) 2,0 +/- 0,96
в) 1) 0,01 или 1% 2) 4,0 +/- 0,96
г) 1) 0,05 или 5% 2) 7,0 +/- 0,96
3. Объем выборки: 1) увеличился в 2 раза; 2) уменьшился в 2 раза.
Определить, как изменится ошибка простой случайной повторной выборки.
а) 1) уменьшение в 1,41 раза 2) уменьшение в 1,41 раза
б) 1) увеличение в 1,78 раза 2) уменьшение в 1,78 раза
в) 1) увеличение в 1,41 раза 2) увеличение в 1,41 раза
г) 1)уменьшение в 1,41 раза 2) увеличение в 1,41 раза
4. Сколько фирм необходимо проверить налоговой инспекции района, чтобы ошибка доли фирм, несвоевременно уплачивающих налоги, не превысила 5%? По данным предыдущей проверки, доля таких фирм составила 32%. Доверительную вероятность принять равной 0,954 (0,997).
а) 348; 783
б) 543; 765
в) 768; 432
г) 987; 254
5. Какова должна быть численность механической выборки для определения доли служащих, прошедших повышение квалификации по использованию вычислительной техники, чтобы с вероятностью 0,954 ошибка репрезентативности не превышала 10%? Общая численность служащих предприятия составляет 324 человека.
а) 67
б) 89
в) 99
г) 76
Ряды динамики
1. Удельный вес городского населения региона увеличился с 1 января 1999 г. по 1 января 2005 г. с 36,2 до 42,8%. Определить показатели динамики численности городского и сельского населения региона, если общая численность населения данного региона за этот период возросла на 8,4%.
а) численность городского население увеличилась на 28,8%, сельского снизилась на 2,8%
б) численность городского население уменьшилась на 28,8%, сельского увеличилась на 2,8%
в) численность городского население увеличилась на 30%, сельского снизилась на 4%
г) численность городского население уменьшилась на 30%, сельского увеличилась на 4%
2. Динамика объема реализации услуг коммунальных предприятий города в процентах к 1993 г. составила:
1994 г. - 108,0;
1995 г. - 110,5;
1996 г. - 125,0;
1997 г. - 153,2.
Определить: а) коэффициенты роста для 1996 и 1997 гг. по сравнению с 1995 г.; б) среднегодовой темп прироста за период 1993 - 1997 гг.
а) Кр = 1,154; Кр = 1,389; Кр = 2,1225; Тn = 12,45%
б) Кр = 1,331; Кр = 5,387; Кр = 1,5643; Тn = 17,25%
в) Кр = 1,131; Кр = 1,386; Кр = 1,1125; Тn = 11,25%
г) Кр = 3,161; Кр = 2,376; Кр = 1,1025; Тn = 10,35%
3. Стоимость основных средств на предприятии за отчетный год составила (млн руб.):
на 1 января - 4,8; на 1 апреля - 4,0; на 1 мая - 5,0; на 1 октября - 6,0;
на 1 января (следующего года) - 5,2
Определить среднегодовую стоимость основных средств предприятия и величину 1 % прироста за год.
а) у = 5,78 млн. руб; Тn = 2,8%;D = 0,7 млн. руб.;А = 50,0 тыс. руб.
б) у = 5,17 млн. руб; Тn = 2,02%;D = 0,1 млн. руб.;А = 49,5 тыс. руб.
в) у = 6,18 млн. руб; Тn = 4,0%;D = 0,04 млн. руб.;А = 29,8 тыс. руб.
г) у = 4,45млн. руб; Тn = 2,2%;D = 1,1 млн. руб.; А = 59,6 тыс. руб.
4. Остаток средств на расчетном счете предприятия составил на 1 января 2004 г. 180 тыс. руб.; 15 января поступило на расчетный счет 900 тыс. руб.; 22 января списано с расчетного счета 530 тыс. руб.; 27 января поступило на расчетный счет 380 тыс. руб. С 28 января до конца месяца остаток средств на расчетном счете не изменился.
Определить среднесуточный остаток средств на расчетном счете предприятия в январе.
а) у = 679,098
б) у = 898,988
в) у = 999,999
г) у = 563,871
Индексы и их использование
1. Определить, на сколько процентов изменилась стоимость продукции в отчетном году по сравнению с прошлым годом, если известно, что количество произведенной продукции в натуральном выражении уменьшилось на 2,5%, а отпускные цены на продукцию увеличились на 5,2%.
а) уменьшение на 5,9%
б) не изменилась
в) увеличение на 2,6%
г) уменьшение на 4,9%
2. Стоимость продукции в ценах соответствующих лет составила: в 2003 г. - 25 млн руб., в 2004 г. - 32,5 млн руб. Индекс цен в 2004 г. составил по сравнению с 2003 г. 115%. Производительность труда на одного работающего возросла за этот период со 120 до 144 тыс. руб. Определить индексы физического объема продукции, производительности труда и численности работающих.
а) 1,13; 1,20; 0,94
б) 0,89; 3,09; 0,98
в) 0,99; 0,88; 0,76
г) 1,76; 0,65; 1,34
3. В прошлом году металлургический завод выпустил чугуна на 5000 тыс. руб., стали - на 3 500, проката - на 2 100 тыс. руб. На отчетный год предусмотрено увеличение производства чугуна на 12,0%, стали - на 7,5, проката - на 3,2%.
Определить, на сколько процентов должно увеличиться производство продукции в целом по предприятию.
а) увеличение на 6,7%
б) уменьшение на 8,9%
в) увеличение на 8,8%
г) уменьшение на 7,6%
4. По машиностроительному предприятию объем выпущенной продукции во II квартале увеличился по сравнению с I кварталом на 10%, в III квартале по сравнению со II кварталом он снизился на 1,2%, а в IV квартале по сравнению с III кварталом объем выпущенной продукции увеличился на 12,5%.
Определить, как изменился объем выпущенной продукции на предприятии в IV квартале по сравнению с I кварталом.
а) увеличение на 76,9%
б) уменьшение на 89,9%
в) увеличение на 23,32%
г) увеличение на 22,27%
5. Товарооборот предприятия увеличился в отчетном году по сравнению с прошлым годом в 1,2 раза при снижении цензаэтот же период в среднем на 5%. Как изменился объем реализованной товарной массы в отчетном году?
а) уменьшение на 33,1%
б) увеличение на 26,3%
в) увеличение на 55,1%
г) уменьшение на 11,5%
8.УЧЕБНО-МЕТОДИЧЕСКОЕ ОБЕСПЕЧЕНИЕ ДИСЦИПЛИНЫ.
ОСНОВНАЯ ЛИТЕРАТУРА
1. Елисеева И.И., Юзбашев М.М. Общая теория статистики.-М.: Финансы и статистика, 1996.
2. Статистика. Курс лекций/ Под ред. проф. В.Г. Ионина.— Новосибирск: изд-во НГАЭиУ,1996.
3. Теория статистики/ Под ред проф. Р.А. Шмойловой—-М.: Финансы и статистика, 2003г.
4. Спирин И.А., Башина О.Э. Общая теория статистики.-М.: Финансы и статистика, 2002
5. Ефимова М.Р., Петрова З.В. Общая теория статистики.-М.: Финансы и статистика, 1999.
6. Ефимова М.Р., Рябцев В.М. Общая теория статистики.—М.: Финансы и статистика, 1991.
7. Практикум по теории статистики/ Под ред проф. Р.А. Шмойловой—-М.: Финансы и статистика, 2003г.
ДОПОЛНИТЕЛЬНАЯ ЛИТЕРАТУРА
1. Адамов В.Е. Факторный индексный анализ. Методология и проблемы—-М.: Статистика, 1977.
2. Аллен Р. Экономические индексы: Пер. с англ.—М.: Статистика, 1980.
3. Джессен Р. Методы статистических обследований/ Пер. с англ. под ред. Е.М. Четыркина.—М.; Финансы и статистика, 1985.
4. Джини К. Средние величины.—М.: Статистика, 1970.
5. Кадинец Л.С. Теория индексов.—М.: Госстатиздат, 1963.
6. Кокрен У. Методы выборочного исследования / Пер. с англ. под ред. А.Г. Волкова.—М.; Статистика, 1976.
7. Методологические положения по статистике: Вып. / Госкомстат России,—М., 1996.
8. Положение "О Государственном комитете Российской Федерации по статистике", РФ № 834 от 09.07.1994 г.
9. Пасхавер И.С. Средние величины в статистике.—М.: Статистика, 1979.
10. Популярный экономико-статистический словарь-справочник/ Под ред. И.И. Елисеевой.—М.: Финансы и статистика, 1993.
11. Юзбашев М.М., Манелля А.И. Статистический анализ тенденций и колеблемости.—М.: Финансы и статистика, 1983.
12. Журнал «Вопросы статистики»
Похожие рефераты:
Проведение исследовательской работы со статистическими данными
Статистико-экономический анализ финансовых результатов деятельности предприятий
Статистический анализ производства зерна, сахарной свеклы, подсолнечника
Показатели вариации, выборочное наблюдение
Статистические методы изучения экономических явлений







