| Похожие рефераты | Скачать .docx |
Реферат: Электрические цепи постоянного тока
РЕФЕРАТ
по дисциплине «Электротехника»
на тему: «Электрические цепи постоянного тока»
Курчатов
2009
Содержание
1.Электрические цепи постоянного тока
1.1.Основные понятия, определения и законы
1.2.Расчет линейных электрических цепей с использованием законов Ома и Кирхгофа
1.3.Основные методы расчета сложных электрических цепей
1.3.1.Метод контурных токов
1.3.2.Метод узловых потенциалов
1.3.3.Метод эквивалентного генератора
Литература
ЭЛЕКТРИЧЕСКИЕ ЦЕПИ ПОСТОЯННОГО ТОКА
1.1 Основные понятия, определения и законы
Электрической цепью называют совокупность устройств и объектов, образующих путь для электрического тока, электромагнитные процессы в которых могут быть описаны с помощью понятий об ЭДС, токе и напряжении.
Элемент электрической цепи, параметры которого (сопротивление и др.) не зависят от тока в нем, называют линейным, в противном случае — нелинейным.
Линейная электрическая цепь — цепь, все элементы которой являются линейными.
Нелинейная электрическая цепь — цепь, содержащая хотя бы один нелинейный элемент.
Электрическая схема — графическое изображение электрической цепи, содержащее условные обозначения ее элементов и способы их соединения. Электрическая схема простейшей электрической цепи с источником ЭДС, обладающим внутренним сопротивлением R0 , и приемником электрической энергии с сопротивлением Rн , представлена на рис. 1.1.

Рис. 1.1.
Ветвь электрической цепи (схемы) — участок цепи с одним и тем же током. Ветвь может состоять из одного или нескольких последовательно соединенных элементов. Количество ветвей в электрической схеме принято обозначать буквой «p».
Узел — место соединения трех и более ветвей. Ветви, присоединенные к одной паре узлов, называют параллельными. Число узлов принято обозначать буквой «q».
Контур — любой замкнутый путь, проходящий по нескольким ветвям.
Независимый контур — контур, в состав которого входит хотя бы одна ветвь, не принадлежащая другим контурам. Число независимых контуров в электрической схеме n = p - (q - 1).
В электрической схеме, представленной на рис. 1.2, три узла (q = 3), пять ветвей (p = 5), шесть контуров и три независимых контура (n = 3). Между узлами 1 и 3 имеются две параллельные ветви с источниками ЭДС Е1 и Е2 , между узлами 2 и 3 также имеются две параллельные ветви с резисторами R1 и R2 .
Условные положительные направления ЭДС источников, токов в ветвях и напряжений между узлами или на зажимах элементов цепи необходимо задать для правильной записи уравнений, описывающих процессы в электрической цепи или ее элементах. На электрических схемах их указывают стрелками (см. рис. 1.2):
а) для ЭДС источников — произвольно, при этом полюс (зажим), к которому направлена стрелка, имеет более высокий потенциал по отношению к другому полюсу (зажиму);
б) для токов в ветвях, содержащих источники ЭДС — совпадающими с направлением ЭДС, во всех других ветвях — произвольно;
в) для напряжений — совпадающими с направлением тока в ветви или элементе цепи.

Рис. 1.2
Источник ЭДС на электрической схеме можно заменить источником напряжения, при этом условное положительное направление напряжения источника задается противоположным направлению ЭДС (см. рис. 1.2, напряжения U1 и U2)
Закон Ома для участка цепи:
I = U / R или U = RI. (1.1)
Для ветви 1 – 2 (см. рис. 1.2): U3 = R3 I3 – называют напряжением или падением напряжения на резисторе R3 , I3 = U3 / R3 – ток в резисторе.
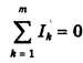
Первый закон Кирхгофа: сумма токов в узле равна нулю
(1.2)
где т — число ветвей, подключенных к узлу.
При записи уравнений по первому закону Кирхгофа токи, направленные к узлу, берут с одним знаком, как правило со знаком «плюс», а токи, направленные от узла, — с противоположным знаком. Например, для узла 1 (см. рис. 1.2) I1 + I2 - I3 = 0.
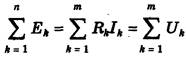
Второй закон Кирхгофа. Формулировка 1 : сумма ЭДС в любом контуре электрической цепи равна сумме падений напряжений на всех элементах этого контура
(1.3а)
где n — число источников ЭДС в контуре, m — число элементов с сопротивлением Rk в контуре, Uk = Rk Ik — напряжение или падение напряжения на k-м элементе контура.
Формулировка 2: сумма напряжений на всех элементах контура, включая источники ЭДС, равна нулю, т. е.
(1.3б)
При записи уравнений по второму закону Кирхгофа необходимо:
1) задать условные положительные направления ЭДС, токов и напряжений;
2) выбрать направление обхода контура, для которого записывается уравнение;
3) записать уравнение, пользуясь одной из формулировок, причем слагаемые, входящие в уравнение, берут со знаком «плюс», если их условные положительные направления совпадают с направлением обхода контура, и со знаком «минус», если они противоположны.
Например, для контура II (см. рис. 1.2) при указанном направлении обхода уравнения имеют вид
E2 = R02 I2 + R3 I3 + R4 I4 (формулировка 1)
–U2 + U02 + U3 + U4 = 0. (формулировка 2)
Вторым законом Кирхгофа можно пользоваться и для определения напряжения между двумя произвольными точками схемы. Для этого в уравнения (1.3) необходимо ввести напряжение между этими точками, которое как бы дополняет незамкнутый контур до замкнутого. Например, для определения напряжения Uab (см. рис. 1.2) можно написать уравнение U0l – U02 – Uab = 0, откуда Uab = E1 – E2 = U1 – U2 .
Закон Джоуля-Ленца: количество теплоты, выделяемой в элементе электрической цепи, обладающем сопротивлением R, за время t равно:
Q = PI2 t = GU2 t = UIt = Pt, (1.4)
где G = 1 / R – электрическая проводимость, Р = UI – электрическая мощность.
1.2 Расчет линейных электрических цепей с использованием
законов Ома и Кирхгофа
Законы Ома и Кирхгофа используют, как правило, при расчете относительно простых электрических цепей с небольшим числом контуров, хотя принципиально с их помощью можно рассчитать сколь угодно сложные электрические цепи. Однако решение в этом случае может оказаться слишком громоздким и потребует больших затрат времени. По этой причине для расчета сложных электрических цепей разработаны более рациональные методы расчета, основные из них рассмотрены ниже.
При расчете электрических цепей в большинстве случаев известны параметры источников ЭДС или напряжения, сопротивления элементов электрической цепи, и задача сводится к определению токов в ветвях цепи. Зная токи, можно найти напряжения на элементах цепи, мощность отдельных элементов и электрической цепи в целом, мощность источников и др.
Для определения токов в ветвях электрической цепи необходимо составить систему из «p» уравнений и решить ее относительно токов. При этом по первому закону Кирхгофа записывают (q – 1) уравнений для любых узлов цепи, а недостающие n = p – (q – 1) уравнений записывают по второму закону Кирхгофа для n независимых контуров.
1.3 Основные методы расчета сложных электрических цепей
1.3.1 Метод контурных токов (МКТ)
При расчете цепи этим методом составляют систему уравнений по второму закону Кирхгофа для всех независимых контуров. Затем полагают, что в каждом независимом контуре «к» протекает свой контурный ток Iкк условное положительное направление которого совпадает с направлением обхода этого контура. Если ветвь является общей для нескольких контуров, то ток в ней будет равен алгебраической сумме контурных токов, замыкающих эту ветвь.
В общем случае система уравнений для цепи, имеющей и независимых контуров имеет следующий вид:
R11 I11 + R12 I22 + R13 I33 +… + R1n Inn = E11 ,
R21 I11 + R22 I22 + R23 I33 + … + R2n Inn = E22 , (1.5)
R31 I11 + R32 I22 + R33 I33 + … + R3n Inn = E33 ,
…………………………………………...
Rn1 I11 + Rn2 I22 + Rn3 I33 + … + Rnn Inn = Enn ,
где E11 , E22 , E33 , … , Enn – контурные ЭДС, равные алгебраической сумме ЭДС в соответствующих контурах, причем ЭДС считают положительными, если их условные положительные направления совпадают с направлением обхода контура (контурного тока), и отрицательными, если их направления противоположны; R11 , R22 , R33 , … , Rnn — собственные сопротивления тех же контуров, равные сумме сопротивлений всех резисторов, принадлежащих соответствующему контуру; R12 = R21 , R23 = R32 и так далее — взаимные сопротивления контуров, равные сумме сопротивлений резисторов, принадлежащих одновременно двум контурам, номера которых указаны в индексе. При этом взаимные сопротивления надо принимать: а) положительными, если контурные токи в них направлены одинаково; б) отрицательными, если они направлены встречно; в) равными нулю, в) равными нулю, если контуры не имеют общей ветви.
Число независимых контуров, следовательно, и уравнений, определяют из соотношения n = p – (q – 1), где по-прежнему p — число ветвей, а q – число узлов. Таким образом, МКТ позволяет понизить порядок системы уравнений на (q – 1). После решения системы уравнений относительно контурных токов определяют токи в ветвях, предварительно задав их условные положительные направления.
Например, для схемы (рис. 1.3), имеющей три независимых контура I, II и III с контурными токами I11 , I22 и I33 в них, система уравнений имеет вид
R11 I11 + R12 I22 + R13 I33 = E11 ,
R21 I11 + R22 I22 + R23 I33 = E22 , (1.6)
R31 I11 + R32 I22 + R33 I33 = E33 ,
где
E11 = E1 – E2 , E22 = E2 , E33 = –E5 ;
R11 = R1 + R2 , R22 = R2 + R3 + R4 , R33 = R4 + R5 ;
R12 = R21 = –R2 , R23 = R32 = –R4 , R13 = R31 = 0
![]() |
Рис. 1.3
Токи в ветвях при указанных на схеме условных положительных направлениях:
I1 = I11 , I2 = I22 – I11 , I3 = I22 ,
I4 = I22 – I33 , I5 = –I33
Если некоторые токи в ветвях окажутся отрицательными, его означает, что действительные направления токов в них противоположны условно принятым.
1.3.2 Метод узловых потенциалов (МУП)
Ток в любой ветви электрической цепи можно определить по известным потенциалам узлов, к которым она подключена, или напряжению между этими узлами.

Согласно второму закону Кирхгофа для любой ветви электрической цепи, схема которой приведена на рисунке, при заданных условных положительных направлениях ЭДС, тока и напряжения и указанном направлении обхода контура можно написать уравнение -Ukm + Rkm Ikm = Ekm , откуда
Ikm = (Ekm + Ukm )/Rkm = [Ekm + (φk – φm )]Gkm (1.8)
где Ukm = (φk - φm ) — напряжение между узлами «k» и «m», а φk и φm — потенциалы этих узлов, причем φk > φm Gkm = 1/Rkm – проводимость ветви.
Метод расчета электрических цепей, в котором в качестве неизвестных принимают потенциалы узлов схемы, называют методом узловых потенциалов. Метод более эффективен по сравнению с методом контурных токов в случае, если число узлов в схеме меньше или равно числу независимых контуров, так как в любой электрической цепи потенциал одного из узлов можно принять равным нулю, а число узлов, потенциалы которых следует определить относительно этого узла, станет равным (q -1).
Система уравнений для неизвестных потенциалов любой электрической цепи, имеющей q узлов, может быть получена из системы уравнений, составленной по первому закону Кирхгофа для (q - 1) узлов, если в ней токи в ветвях выразить через потенциалы узлов в соответствии с (1.8). В общем случае эта система имеет вид
G11 φ1 + G12 φ2 + G13 φ3 + … + G1 n φn = Iy 1 ,
G21 φ1 + G22 φ2 + G23 φ3 + … + G2 n φn = Iy 2 , (1.9)
Gn 1 φ1 + Gn 2 φ2 + Gn 3 φ3 + … + Gnn φn = Iyn
где n = (q - 1); φ1 , ф2 …φn — потенциалы 1, 2, … n узлов относительно узла q, потенциал которого принят равным нулю; Gkk — сумма проводимостей всех ветвей, подключенных к узлу k; Gkj = Gjk — сумма проводимостей ветвей между узлами «j» и «k», взятая со знаком «минус». Если же между узлами «j» и «k» нет ветвей, то принимают Gkj = Gjk = 0; Iyk — узловой ток, равный сумме токов всех ветвей, содержащих источники ЭДС и подключенных к узлу «k», причем каждый из них определяется по уравнению (1.8) при Ukm = 0. Токи, направленные к узлу, берут со знаком «плюс», а от узла — со знаком «минус».
После решения системы (1.9) относительно узловых потенциалов определяют напряжения между узлами Ukm и токи в ветвях в соответствии с (1.8). Токи в ветвях, не содержащих источников ЭДС, определяют аналогично, полагая в уравнении (1.8) Ekm = 0.
Например, для электрической цепи (см. рис. 1.3), если принять потенциал узла 3 равным нулю (φ3 = 0), система уравнений будет иметь вид
G11 φ1 + G12 φ2 = Iy 1 , (1.10)
G21 φ1 + G22 φ2 = Iy 2 ,
где

Метод узловых потенциалов особенно эффективен при расчете электрических цепей с двумя узлами и большим количеством параллельных ветвей, при этом, если принять потенциал одного из узлов равным нулю, например, j2 = 0, то напряжение между узлами будет равно потенциалу другого узла

(1.11)
где п — число параллельных ветвей цепи, а m — число ветвей, содержащих источники ЭДС.

Рис. 1.4
1.3.3 Метод эквивалентного генератора (МЭГ)
Метод позволяет в ряде случаев относительно просто определить ток в какой-либо одной ветви сложной электрической цепи и исследовать поведение этой ветви при изменении ее сопротивления. Сущность метода заключается в том, что по отношению к исследуемой ветви сложная цепь заменяется эквивалентным источником (эквивалентным генератором — ЭГ) с ЭДС Ег и внутренним сопротивлением Rг .
Например, по отношению к ветви с резистором R3 электрическую схему, приведенную на рис. 1.4, а, можно заменить эквивалентной (см. рис. 1.4, б).
Если известны ЭДС и сопротивление эквивалентного генератора, то ток ветви может быть найден как
I3 = Eг / (Rг + R3 ) (1.12)
и задача сводится к определению значений Ег и Rг .
Уравнение (1.12) справедливо при любых значениях сопротивления резистора R3 . Так, при холостом ходе ЭГ, когда узлы 1 и 2 разомкнуты, I3 = 0 и Ег = U0 , где U0 = (φ1 – φ2 ) — напряжение холостого хода эквивалентного генератора, φ1 и φ2 — потенциалы узлов 1 и 2 в этом режиме.
При коротком замыкании ветви (R3 = 0) ток в ней Iкз = Eг /Rг = U0 /Rг ,откуда внутреннее сопротивление ЭГ Rг = U0 /Iкз . Таким образом, для определения параметров эквивалентного генератора необходимо рассчитать любым из известных методов потенциалы узлов φ1 и φ2 в режиме холостого хода ЭГ и ток короткого замыкания в исследуемой ветви.
Приведенный метод определения параметров эквивалентного генератора является наиболее универсальным, однако в ряде случаев сопротивление Rг , проще рассчитать как эквивалентное сопротивление между разомкнутыми узлами исследуемой ветви сложной цепи в предположении, что все источники ЭДС в цепи закорочены, как показано на рис. 1.4, в.
Литература
1. Иванов И. И., Лукин А. Ф., Соловьев Г. И.
И 20 Электротехника. Основные положения, примеры и задачи. 2-е изд., исправленное. — СПб.: Издательство «Лань», 2002.
2. Иванов И. И., Равдоник В.С.
Электротехника: Учебник для вузов. — М.: Высшая школа, 1984.
3. Электротехнический справочник. В 3-х т. Т. 1. Э45 Общие вопросы. Электротехнические материалы/ Под общ. ред. профессоров МЭИ В. Г.Герасимова, П. Г. Грудинского, Л. А. Жукова и др. — 6-е изд., испр. и доп. — М.: Энергия, 1980.
Похожие рефераты:
Оборудование летательных аппаратов
Компенсация реактивной мощности в системах электроснабжения с преобразовательными установками
Электроснабжение текстильного комбината
Расчет разветвленной электрической цепи постоянного тока
Основные понятия, определения и законы в теории электрических цепей
Проектирование электрической части атомных электростанций
Моделирование электрических цепей в системе Mathcad
Электронные цепи и приборы (шпаргалка)
Линейные и нелинейные электрические цепи постоянного тока
