| Похожие рефераты | Скачать .docx |
Дипломная работа: Совершенствование организации ТО подвижного состава транспортного цеха
МОРДОВСКИЙ ГОСУДАРСТВЕННЫЙ УНИВЕРСИТЕТ
ИМ. Н.П. ОГАРЕВА
ИНСТИТУТ МЕХАНИКИ И ЭНЕРГЕТИКИ
КАФЕДРА МОБИЛЬНЫХ ЭНЕРГЕТИЧЕСКИХ СРЕДСТВ
УТВЕРЖДАЮ
Зав. кафедрой МЭС
_________ А.П. Иншаков
«____»__________2002г.
РАСЧЕТНО-ПОЯСНИТЕЛЬНАЯ ЗАПИСКА
К ДИПЛОМНОМУ ПРОЕКТУ
на тему «Совершенствование организации ТО подвижного состава транспортного цеха ОАО «Лисма»
Студент Шарахов В.В.
Руководитель дипломного
проекта: к.т.н., профессор Гусев Б.И.
Консультанты:
1. По конструкторской части: к.т.н., профессор Б.И. Гусев
2. По экономической части: к. э. н., доцент В.Н. Яшкина
3. По безопасности и экологичности: к. т. н.С.К. Дерябин
4. Нормоконтролер: к.т.н., доц. В.А. Филин
Саранск 2002
Мордовский государственный университет имени Н.П. Огарева Институт механики и энергетики
Кафедра мобильных энергетических средств
Утверждаю
Зав. кафедрой ________/Иншаков А.П./
«_________»_________________2002 г.
ЗАДАНИЕ
на дипломный проект студента Шарахова В.В.
1. Тема проекта: Совершенствование организации ТО подвижного состава транспортного цеха ОАО «Лисма» (утверждена приказом по университету ________________№______________)
2. Срок, сдачи студентом законченного проекта___________________
3. Исходные данные к проекту:
1. Отчетные данные за 3 года. 2. Профинплан. 3. Перспективный план развития.
4. Содержание расчетно-пояснительной записки (перечень подлежащих разработке вопросов):
1. Анализ производственной деятельности транспортного цеха ОАО «Лисма»
2. Разработка рациональной организации технического обслуживания в транспортном цехе ОАО «Лисма»
3. Разработка конструкции. Гидроподъемник
4. Безопасность и экологичность
5. Технико-экономическое обоснование проекта
5. Перечень графического материала (с точным указанием обязательных чертежей)
1. Анализ хозяйственной деятельности – 1л.
2. Генеральный план ОАО «Лисма » – 1л.
3. План производственного корпуса – 1л.
4. График ТО автомобилей на июнь 2002г. (план) – 1л.
5. Обзор существующих конструкций – 1л.
6. Грузоподъемник – 1л.
7.Конструкторская разработка – 2л.
8. Анализ показателей травматизма – 1л.
9. Экономическая эффективность – 1л.
6. Консультанты по проекту (с указанием относящихся к ним разделов проекта
1. По конструкторской части:___________ к.т.н., профессор Б.И. Гусев
2. По экономической части: _____________ к.э. н., доцент В.Н. Яшкина
3. По безопасности и экологичности_____________ к. т. н.С.К. Дерябин
4. Нормоконтролер: _______________________ к.т.н., доц. В.А. Филин
7. Дата выдачи задания_____________________
| № п/п |
Наименование разделов дипломного проекта |
Сроки выполнения |
Примечания |
| 1. |
Анализ производственной деятельности транспортного цеха ОАО «Лисма» |
||
| 2. |
Разработка рациональной организации технического обслуживания в транспортном цехе ОАО «Лисма» |
||
| 3. |
Разработка конструкции. Гидроподъемник |
||
| 4. |
Безопасность и экологичность |
||
| 5. |
Технико-экономическое обоснование проекта |
Студент ______________________ Шарахов В.В.
Руководитель
дипломного проекта ______________ Гусев Б.И.
РЕФЕРАТ
В расчетно-пояснительной записке содержится 113 страниц текста, таблиц, рисунков, приложение, листов графического материала формата А1, а также использовано 22 литературных источника.
Ключевые слова: техническое обслуживание (ТО), диагностирование (Д), трудоемкость (Т), периодичность (П), текущий ремонт (ТР), производительность, технологический процесс.
Объект исследования: транспортный цех ОАО «Лисма».
Цель работы: совершенствование технического обслуживания автомобилей.
Метод исследования: аналитический.
В конструктивной части предлагается разработать гидроподъемник на базе МТЗ-82.
Разработан комплекс мероприятий по безопасности жизнедеятельности персонала предприятия.
Дана экономическая оценка эффективности проекта. Полученные результаты: модернизован генеральный план предприятия, усовершенствована техническая эксплуатация автомобилей.
Степень внедрения и эффективности: внедряется в транспортном цехе ОАО «Лисма».
Область применения: автотранспортные предприятия.
СОДЕРЖАНИЕ
ВВЕДЕНИЕ
1. АНАЛИЗ ПРОИЗВОДСТВЕННОЙ ДЕЯТЕЛЬНОСТИ ТРАНСПОРТНОГО ЦЕХА ОАО «ЛИСМА»
1.1 КРАТКАЯ ХАРАКТЕРИСТИКА ТРАНСПОРТНОГО ЦЕХА ОАО «ЛИСМА»
1.2 АНАЛИЗ И ОЦЕНКА УРОВНЯ ИСПОЛЬЗОВАНИЯ АВТОМОБИЛЕЙ
1.3 АНАЛИЗ ПРОИЗВОДИТЕЛЬНОСТИ ПОДВИЖНОГО СОСТАВА
1.4 ТЕХНИЧЕСКОЕ ОБСЛУЖИВАНИЕ И ТЕКУЩИЙ РЕМОНТ АВТОМОБИЛЕЙ В ТРАНСПОРТНОМ ЦЕХЕ ОАО «ЛИСМА»
2. РАЗРАБОТКА РАЦИОНАЛЬНОЙ ОРГАНИЗАЦИИ ТЕХНИЧЕСКОГО ОБСЛУЖИВАНИЯ В ТРАНСПОРТНОМ ЦЕХЕ ОАО «ЛИСМА»
2.1. АНАЛИЗ СУЩЕСТВУЮЩЕЙ ФОРМЫ ОРГАНИЗАЦИИ ТЕХНИЧЕСКОГО ОБСЛУЖИВАНИЯ
2.2 РАСЧЕТ ПРОИЗВОДСТВЕННОЙ ПРОГРАММЫ СТАНЦИИ ТЕХНИЧЕСКОГО ОБСЛУЖИВАНИЯ АВТОМОБИЛЕЙ
2.3 РАСЧЕТ ЧИСЛЕННОСТИ ПРОИЗВОДСТВЕННОГО ПЕРСОНАЛА
2.4 ТЕХНОЛОГИЧЕСКОЕ ПРОЕКТИРОВАНИЕ ЗОН ТЕХНИЧЕСКОГО ОБСЛУЖИВАНИЯ, ТЕКУЩЕГО РЕМОНТА И ДИАГНОСТИКИ АВТОМОБИЛЕЙ
2.5 РАЗРАБОТКА ТЕХНОЛОГИИ ТЕХНИЧЕСКОГО ОБСЛУЖИВАНИЯ И ДИАГНОСТИРОВАНИЯ
3. РАЗРАБОТКА КОНСТРУКЦИИ. ГИДРОПОДЪЕМНИК
3.1 ОБЗОР СУЩЕСТВУЮЩИХ ПРЕДШЕСТВУЮЩИХ КОНСТРУКЦИЙ
3.1.1 Передвижной домкрат
3.1.2 Передвижной гидравлический домкрат
3.1.3 Передвижной гаражный подъемник
3.1.4 Копновоз навесной универсальный
3.2 ГИДРОПОДЪЕМНИК
3.3 РАСЧЕТ КОНСТРУКЦИИ
3.3.1 Расчет коэффициента «грузовой» устойчивости
3.3.2 Выбор гидроцилиндра для основной стрелы Схема к определению усилия на штоке
3.3.3 Выбор гидроцилиндра для передней стрелы
3.4 РАСЧЕТ СТРЕЛЫ
3.5 ОПРЕДЕЛЕНИЕ ДИАМЕТРА БОЛТА
3.6 ОПРЕДЕЛЕНИЕ ДИАМЕТРА БОЛТА ДЛЯ СОЕДИНЕНИЯ ОСНОВНОЙ И ПЕРЕДНЕЙ СТРЕЛ
3.7 ОПРЕДЕЛЕНИЕ ДИАМЕТРА БОЛТА ДЛЯ ПОДВЕСНОЙ РАМКИ
3.8 ОПРЕДЕЛЕНИЕ ШИРИНЫ ПОДВЕСНОЙ РАМКИ
3.9 РАСЧЕТ СВАРОЧНЫХ СОЕДИНЕНИЙ
3.9.1 Расчет соединения передней и основной стрелЫ
3.9.2 Расчет опоры гидроцилиндра передней стрелы
3.9.3 Расчет опоры гидроцилиндра основной стрелы
4. БЕЗОПАСНОСТЬ И ЭКОЛОГИЧНОСТЬ
4.1 АНАЛИЗ СОСТОЯНИЯ БЕЗОПАСНОСТИ ЖИЗНЕДЕЯТЕЛЬНОСТИ В ТРАНСПОРТНОМ ЦЕХЕ ОАО «ЛИСМА»
4.2 ОРГАНИЗАЦИОННО-ПРАВОВЫЕ МЕРОПРИЯТИЯ 86
4.3 САНИТАРНО-ГИГИЕНИЧЕСКИЕ МЕРОПРИЯТИЯ 87
4.4 МЕРОПРИЯТИЯ ПО ТЕХНИКЕ БЕЗОПАСНОСТИ 88
4.5 ПРОТИВОПОЖАРНЫЕ МЕРОПРИЯТИЯ 89
4.6 МЕРОПРИЯТИЯ ПО ЭКОЛОГИЧЕСКОЙ БЕЗОПАСНОСТИ 93
4.7 МЕРОПРИЯТИЯ НА СЛУЧАЙ ВОЗНИКНОВЕНИЯ ЧРЕЗВЫЧАЙНЫХ СИТУАЦИЙ
4.8 ЭКОНОМИЧЕСКИЙ ЭФФЕКТ ВНЕДРЕНИЯ МЕРОПРИЯТИЙ ПО ЭКОЛОГИЧНОСТИ И БЕЗОПАСНОСТИ
5. ТЕХНИКО-ЭКОНОМИЧЕСКОЕ ОБОСНОВАНИЕ ПРОЕКТА
5.1 ГОДОВОЙ ФОНД ЗАРАБОТНОЙ ПЛАТЫ
5.2 ПОЛНАЯ СЕБЕСТОИМОСТЬ ОБЪЕКТА ОБСЛУЖИВАНИЯ
5.3 ПОЛНАЯ ПРОИЗВОДСТВЕННАЯ СЕБЕСТОИМОСТЬ
5.4 ПЛАНОВАЯ ПРИБЫЛЬ
5.5 ГОДОВАЯ ЭКОНОМИЯ ОТ СНИЖЕНИЯ СЕБЕСТОИМОСТИ
5.6 СРОК ОКУПАЕМОСТИ ДОПОЛНИТЕЛЬНЫХ КАПИТАЛЬНЫХ ВЛОЖЕНИЙ
ЗАКЛЮЧЕНИЕ
СПИСОК ИСПОЛЬЗОВАННЫХ ИСТОЧНИКОВ
ПРИЛОЖЕНИЯ
ВВЕДЕНИЕ
Автомобильная техника занимает особое место в организации производства народного хозяйства. Одной из ее проблем является обеспечение высокой технической готовности при минимальных затратах на техническое обслуживание и ремонт. Это позволит поднять производительность автотранспорта и снизить себестоимость перевозок.
Первостепенное значение в решении проблем приобретает изучение и устранение; признаков неисправного состояния автомобилей, разработка принципов и методов оборудования для определения технического состояния и ресурса безотказной работы без разборки их агрегатов и узлов.
В настоящее время на базе научно-технического прогресса получает дальнейшее развитие принятая в нашей стране и проверенная многолетним опытом планово-предупредительная система технического обслуживания и ремонта подвижного состава. Техническое обслуживание представляет собой комплекс обязательных операций, выполняемых через определенный период работы. Оно предусматривает основную цель - сохранение нормального технического состояния деталей, узлов и механизмов, предупреждение ускоренного износа всех агрегатов машины. В настоящее время нет достаточно четких рекомендаций по применению, тех или иных форм и методов организации внутригаражных процессов для различных условий деятельности автотранспортных предприятий, потому что все они рассчитаны на одномарочный состав. Проблема технического обслуживания, текущего ремонта и диагностики в транспортном цехе ОАО «Лисма», имеющая недостатки как в организации, так и в выполнении плана ТО является актуальной и требующая пересмотра существующей организации техобслуживания и диагностики.
Целью дипломного проекта является совершенствование технического обслуживания автомобилей, которое, обеспечило бы высокую техническую готовность автопарка, повысило производительность труда.
1. АНАЛИЗ ПРОИЗВОДСТВЕННОЙ ДЕЯТЕЛЬНОСТИ ТРАНСПОРТНОГО ЦЕХА ОАО «ЛИСМА»
1.1 Краткая характеристика транспортного цеха ОАО «Лисма»
Транспортный цех ОАО «Лисма» вступил в строй в 1973 году. Территория цеха находится в северной части города Саранска за поселком ТЭЦ-2.
Основной задачей цеха является транспортировка грузов, необходимых для нормального функционирования всех цехов и подразделений ОАО «Лисма».
Всего работающих в транспортном цехе ОАО «Лисма» на 1,01.2002 года - 293 человека. Из них: 221 - водителей, 40 - ремонтных рабочих, 32 -ИТР и служащих.
В цехе имеется открытая асфальтобетонная площадка для стоянки автомобилей с воздушным подогревом в зимнее время на 80 автомобилей. Имеется производственный корпус, где одновременно могут проходить диагностику, техническое обслуживание №1 и №2 сразу несколько автомобилей, а так же производится ремонт подвижного состава цеха.
Капитальный ремонт автомашин и агрегатов производятся силами специализированных предприятий, централизованных ремонтных мастерских и частично собственными силами.
Атмосферные осадки в среднем выпадают до 500-600 мм во влажные годы и до 300 мм в засушливые годы. Высота снежного покрова достигает 90-120 см и лежит в среднем 130-150 дней. :
Максимальная температура в году: + 34°С, минимальная: -36°С.
Средняя годовая температура: + 3,8°С.
Объем перевозок в транспортном цехе за 2001 год выше, чем за 2000 и 1999 годы. Производственная программа дана в таблице 1.
Таблица 1
Производственная программа цеха
| Показатели |
1999г. |
2000 г. |
2001г. |
| Объем перевозок, тыс. т. |
148 |
252 |
262 |
| Себестоимость, руб./т. |
6972,4 |
1922,9 |
3064,5 |
Несмотря на неплохую работу в транспортном цехе недостаточно еще внедряются прогрессивные методы хозяйствования. Одной из причин является крайне медленное развитие производственной базы цеха и необеспеченность ее нестандартным оборудованием, а также низкая обеспеченность обычным диагностическим оборудованием.
Количественный состав автопарка ОАО «Лисма» -представлен в таблице 2.
Таблица 2
Наличие подвижного состава транспортного цеха ОАО «Лисма»
| Марка автомобиля |
Количество автомобилей, шт. |
|||||
| 1999 |
2000 |
2001 |
||||
| 1 |
2 |
3 |
4 |
|||
| КамАЗ-5320 |
17 |
20 |
23 |
|||
| КамАЗ-5410 |
2 |
3 |
3 |
|||
| КамАЗ-5511 |
4 |
5 |
8 |
|||
| КамАЗ-4310 |
2 |
4 |
4 |
|||
| МАЗ-503А |
2 |
2 |
2 |
|||
| МАЗ-53371 |
4 |
6 |
6 |
|||
| МАЗ-5549 |
1 |
3 |
3 |
|||
| МАЗ-5562 |
1 |
1 |
1 |
|||
| КрАЗ-250 |
1 |
1 |
1 |
|||
| ЗИЛ-130В |
2 |
2 |
2 |
|||
| ЗИЛ-130 |
9 |
10 |
11 |
|||
| ЗИЛ-ММЗ-554 |
14 |
14 |
15 |
|||
| ЗИЛ-131 |
4 |
4 |
4 |
|||
| ЗИЛ-43141 |
11 |
12 |
16 |
|||
| ЗИЛ-ММЗ-4502 |
3 |
4 |
5 |
|||
| ГАЗ-53А |
7 |
7 |
8 |
|||
| ГАЗ-52-04 |
3 |
3 |
3 |
|||
| ГАЗ-САЗ-3507 |
5 |
6 |
8 |
|||
| ГАЗ-САЗ-3307 |
3 |
3 |
3 |
|||
| ГАЗ-3307 |
4 |
4 |
6 |
|||
| ГАЗ-66 |
2 |
2 |
3 |
|||
| Урал-4320 |
7 |
7 |
8 |
|||
| Икарус-255 |
5 |
5 |
5 |
|||
| ЛАЗ-695Н |
2 |
2 |
3 |
|||
| ЛИАЗ-5256 |
5 |
5 |
5 |
|||
| ПАЗ-3205 |
9 |
9 |
11 |
|||
| КАВЗ-3271 |
5 |
5 |
7 |
|||
| ГАЗ-31029 |
12 |
12 |
15 |
|||
| ИЖ-2715 |
2 |
2 |
2 |
|||
| УАЗ-31512 |
10 |
10 |
12 |
|||
| УАЗ-452Д |
4 |
4 |
4 |
|||
| УАЗ-3909 |
6 |
6 |
8 |
|||
1.2 Анализ и оценка уровня использования автомобилей
Объем работы, выполняемый автомобильным парком предприятия в планируемый период эксплуатации, прямо пропорционален коэффициенту выпуска автомобилей на линию, величина которого во многом определяется уровнем простоев по техническим причинам и находится по формуле [3]:
aТ=АДн/АДг, (1.1)
где АДн - число автомобиле-дней нахождения подвижного состава в технически исправном состоянии;
АДг - общее число автомобиле-дней пребывания в хозяйстве,
АДн=АДг-АДр,
где АДр - число автомобиле-дней пребывания в ремонте.
АДн = 38055 - 5865 = 32190
aT=32190/38055=0,84.
В графическом виде коэффициент технической готовности представлен на рисунке 1.
Коэффициент технической готовности
Рис. 1
Коэффициент использования подвижного состава для "перевозок" (коэффициент выпуска) зависит от интенсивности эксплуатации и «возраста» автопарка. Совершенствование транспортного процесса обеспечивает постоянное повышение интенсивности эксплуатации автомобильного парка, увеличивает пробег автомобилей до капитального ремонта.
Коэффициент выпуска находим из выражения:
aИ=АДэ/АДг, (1.2)
где АДэ - число автомобиле-дней нахождения подвижного состава в эксплуатации.
АДэ-АДи-АДн,
где АДн - простои в выходные дни, простои из-за бездорожья.
АДэ=32190-20425=11765;
aИ= 11765/32190=0,36.
Техническая скорость определяется динамическими (тяговыми) качествами автомобиля, максимальной скоростью, которую он может развить в различных дорожных условиях, и приемистостью, т.е. временем разгона до установленной скорости.
Техническая скорость - это средняя скорость за час движения автомобиля, которую определяем по формуле:
Vт=L/Тдв, (1.3)
где L - пробег за данный период, тыс. км.;
Тдв-время движения, тыс. ч.
Vт= 1617,8/44 =36 км/ч.
Эксплуатационная скорость - это условная скорость за время пребывания подвижного состава в наряде с учетом всех планируемых простоев на линии.
Коэффициент использования подвижного состава для перевозок (коэффициент выпуска)

Рис.2.
Эксплуатационную скорость вычисляем по формуле [4]:
Vэ=L/Tн, (1.4)
где Тн - продолжительность работы автомобилей на линии, ч.
Vэ= 1617,8/67 =24,2 км/ч.
Графически среднетехническая и эксплуатационная скорости
изображены на рисунке 3.
Коэффициент использования грузоподъемности является как статическим, так и динамическим.
Статический коэффициент находим по формуле:
gс=Оф/Ов, (1.5)
где Оф - количество фактически перевозимого груза, тыс. т.;
Ов - количество возможного груза, которое можно было бы перевезти при полном использовании грузоподъемности автомобилей, тыс. т.
gс= 130,5/ 190=0,69.
Среднетехническая и эксплуатационная скорости, км/ч

Рис.3.
Динамический коэффициент использования грузоподъемности находим по формуле:
gд=Рф/Рв, (1.6)
где Рф - фактически сделанная транспортная работа, тыс.т.км;
Рв — возможная транспортная работа при полном использовании грузоподъемности автомобилей, тыс. т. км.
уд=262/352,8=0,74.
Коэффициент использования грузоподъемности автомобилей меньше единицы. Это вызвано рядом причин: неполной нагрузкой, неправильной организацией перевозок, несоответствием партии груза/грузоподъемность автомобиля.
Среднесуточный пробег определяется отношением общего пробега к числу автомобиле-дней в эксплуатации за тот же период по формуле. [4]:
Lсс = Lоб / АДз;
Lсс= 1617,8/11765=0,138 тыс. км.
Коэффициент использования грузоподъемности

Рис.4.
Расчетные данные показателей использования автомобилей в транспортном цехе АО «Лисма» сносим в таблицу 3.
Таблица 3
Показатели использования автомобилей в транспортном цехе ОАО «Лисма»
| Показатели |
1998 |
1999 |
2000 |
2001 |
| 1 |
2 |
3 |
4 |
5 |
| Коэффициент технической готовности |
0,87 |
0,85 |
0,84 |
0,85 |
| Коэффициент выпуска |
0,38 |
0,36 |
0,33 |
0,36 |
| Среднетехническая скорость, км/ч |
34,8 |
34 |
32 |
36 |
| Среднеэксплуатационная скорость, км/ч |
23,9 |
22 |
21,2 |
24,2 |
| Коэффициент использования грузоподъемности: |
||||
| статический |
0,7 |
0,7 |
0,69 |
0,69 |
| динамический |
0,76 |
0,75 |
0,74 |
0,74 |
| Среднесуточный пробег, км |
140 |
135 |
133 |
138 |
| Общий пробег автопарка, тыс. км |
1377 |
1037 |
1418 |
1618 |
1.3 Анализ производительности подвижного состава
Производительность подвижного состава цеха измеряется в тонно-километрах, выполняемых единицей подвижного состава в единицу времени. Производительность может измеряться также количеством тонн перевозимого груза в единицу времени.
Производительность автомобиля в тонно-километрах определяем по формулам:
дневная
Wд=Lcc × b×а×g, (1.8)
где b - коэффициент использования пробега;
g - коэффициент использования грузоподъемности;
а - средняя грузоподъемность автомобиля, а = 6,14 т.
Wд =138 • 0,36 • 6,14 • 0,69=210,47 т км/день;
часовая
Wч = Vэ×b×а×g, (1.9)
Wч = 24,2 • 0,36 • 6,14 • 0,74 = 39,6 т км/ч.
В тоннах производительность часовая определяется по формуле:
Wчт=Wч/12, (1.10)
Wчт=39,6 /36=1,27 т/ч.
Себестоимость тонно-километра определим по формуле [6]:
S=C/P, (1.11)
где S-общая сумма затрат, руб.;
Р – общий объем транспортной работы, тыс. т. км.:
S = 3064,5/262=11,7 руб./ т, км,
Себестоимость одного километра пробега определяем по формуле [6]:
S' =C/Loб, (1.12)
где Loб - общий пробег подвижного состава за отчетный период, тыс.км.
S' = 3064,5 /1617,8 = 1,89 руб/км.
Себестоимость одного часа работы определяем по формуле:
S"=С/Тн, (1.13)
где Тн - продолжительность работы автомобилей на линии, тыс. ч.
S" = 3064,5 / 67 = 45,7 руб/ч.
Себестоимость 10 т. км определяем по формуле [6]:
S'"=S'×10, (1.14)
S'"=1,89×10т=18,90руб.
Полученные данные сводим в таблицу 4.
Таблица 4
Производительность подвижного состава и себестоимость перевозок
| Показатели |
1998 |
1999 |
2000 |
2001 |
| 1 |
2 |
3 |
4 |
5 |
| Производительность: |
||||
| дневная, т. км. |
265,2 |
245,5 |
259,2 |
211 |
| часовая, т. км. |
46,8 |
37,8 |
44,3 |
39,6 |
| часовая, т |
1,65 |
1,21 |
1,38 |
1,27 |
| Себестоимость: |
||||
| 1 тонно-километра, руб/т.км. |
0,28 |
0,29 |
0,29 |
1,89 |
| 1 километра, руб/км. |
3 |
3,1 |
3,2 |
11,7 |
| 1 часа работы, руб/ч. |
22,5 |
25,6 |
26,3 |
45,7 |
| 10 тонно-километров, руб. |
2,8 |
2,9 |
2,9. |
18,9 |
1.4 Техническое обслуживание и текущий ремонт автомобилей в транспортном цехе ОАО «Лисма»
В транспортном цехе применяют планово-предупредительную систему технического обслуживания и ремонта подвижного состава. Такая система поддерживает хорошее техническое состояние и высокую эксплуатационную надежность автомобилей. Но техническая служба не в полном объеме обеспечивает качественное техническое обслуживание и ремонт автотранспорта в цехе. Поэтому показатель производства цеха -коэффициент использования парка равен 0,33. Цех несет большие трудовые и материальные затраты на поддержание автомобилей в исправном состоянии.
Недостаточно решаются вопросы укомплектования технических бригад квалифицированными кадрами. Не принимаются должные меры к повышению ответственности за техническое состояние автопарка. Уровень технического состояния, характеризующийся коэффициентом технической готовности, который составил в 2001 году 0,85.
В цехе не хватает оборудования и инструмента, средств механизации трудоемких работ, механизированных постов диагностики, смазки. Бригады технического обслуживания № 1 и № 2 не укомплектованы.
Наряду с недостатками необходимо отметить хорошую организацию завоза, хранения, раздачи и использования нефтепродуктов и сбор отработанных масел.
Завоз топлива планируется по кварталам, а выборка производится но графику, согласованному с нефтебазой. Завоз топлива и смазочных материалов осуществляется собственным транспортом. Анализ расхода бензина, газа и дизельного топлива сделан в таблице 5.
Таблица 5
Расход топлива в транспортном цехе ОАО «Лисма»
| Наименование |
1999 |
2000 |
2001 |
| Бензин, т: |
|||
| норма |
584,6 |
587,5 |
605,4 |
| факт |
597,4 |
591,1 |
600,7 |
| Дизельное топливо, т: |
|||
| норма: |
668,5 |
681,2 |
697,7 |
| факт: |
657,2 |
676,8 |
691,7 |
| Сжатый газ, т |
73,5 |
81,3 |
95,5 |
| Сжиженный газ, т |
44,3 |
55,9 |
60,1 |
Учитывая недостатки в организации производства при проведении технического обслуживания подвижного состава, недостатки п работе эксплуатационной службы, необходимо:
а) наладить учет проведения ТО и ТР автомобилей;
б) пустить в эксплуатацию посты диагностики перед проведением технического обслуживания №1 и №2;
в) модернизировать линию технического обслуживания №1 и №2 с внедрением поточно-постового метода обслуживания;
г) усовершенствовать зону технического обслуживают и текущего ремонта средствами механизации с целью повышения производительности, труда и выполнения трудоемких процессов;
д) усовершенствовать организацию работы эксплуатационной службы цеха, добиться внедрения прогрессивного метода работы водительского состава;
в) укомплектовать, необходимым оборудованием линии технической диагностики.
ВЫВОД 1 ГЛАВЫ
В первой главе проведен анализ хозяйственной деятельности транспортного цеха ОАО «Лисма».
Проведена краткая характеристика цеха. Проведен анализ подвижного состава. Разработан график ТО и ТР автомобилей.
2. РАЗРАБОТКА РАЦИОНАЛЬНОЙ ОРГАНИЗАЦИИ ТЕХНИЧЕСКОГО ОБСЛУЖИВАНИЯ В ТРАНСПОРТНОМ ЦЕХЕ ОАО «ЛИСМА»
2.1 Анализ существующей формы организации технического обслуживания
За основу организаций технического обслуживания автомобилей в транспортном цехе ОАО «Лисма» принята планово-предупредительная система ТО и ремонта машин. Она заключается в обкатке новых и отремонтированных машин, ежемесячное техническое обслуживание № 1 и № 2, сезонное техническое обслуживание.
Техническое обслуживание № 1 и № 2 в цехе проводятся поверхностно, в основном только смазка и при ТО-2 замена тормозных накладок. Вместо того чтобы проводить ТО-2 в полном объеме, его проводят за 2-3 часа.
В соответствии с методикой техническое обслуживание и ремонт может производиться тремя способами:
1. Механизированным.
2. Механизированно-ручным.
3. Ручным.
Исходные данные, необходимые для расчета годовой производственной программы и объема работ транспортного, цеха ОАО «Лисма» представлены в таблице 6.
Таблица 6
Исходные данные
| Наименование параметра |
№ параметра |
Марка автомобиля |
||||||||||||||||||||||||||||||
| КамАЗ 5410 |
КамАЗ 5320 |
КамАЗ 5511 |
КамАЗ 4310 |
|||||||||||||||||||||||||||||
| Количество автомобилей Категория условий |
(1) |
3 |
23 |
8 |
4 |
|||||||||||||||||||||||||||
| эксплуатации |
(2) |
3 |
3 |
3 |
3 |
|||||||||||||||||||||||||||
| Среднесуточный пробег |
(3) |
300 |
250 |
200 |
190 |
|||||||||||||||||||||||||||
| Количество рабочих дней |
(4) |
260 |
260 |
260 |
260 |
|||||||||||||||||||||||||||
| Количество часов рабочей смены |
(5) |
8 |
8 |
8 |
8 |
|||||||||||||||||||||||||||
| Периодичность ТО: |
||||||||||||||||||||||||||||||||
| ТО1 нормативная тыс. км. |
(6) |
3 |
3 |
3 |
3 |
|||||||||||||||||||||||||||
| ТО2 нормативная тыс. км. |
(7) |
12 |
12 |
12 |
12 |
|||||||||||||||||||||||||||
| Нормативный пробег до |
||||||||||||||||||||||||||||||||
| капитального ремонта |
||||||||||||||||||||||||||||||||
| тыс.км. |
(8) |
300 |
300 |
300 |
300 |
|||||||||||||||||||||||||||
| Трудоемкость нормативная |
||||||||||||||||||||||||||||||||
| ЕО чел. ч. на одно ЕО |
(9) |
0,5 |
0,5 |
0,5 |
0,5 |
|||||||||||||||||||||||||||
| ТО1 чел. ч. на одно Т01 |
(10) |
3,4 |
3,4 |
3,4 |
3,4 |
|||||||||||||||||||||||||||
| ТО2 чел. ч. на одно Т02 |
(11) |
14,5 |
14,5 |
14,5 |
14,5 |
|||||||||||||||||||||||||||
| ТР чел. ч. на 1000 км |
(12) |
8,5 |
8,5 |
8,5 |
8,5 |
|||||||||||||||||||||||||||
| Корректировочные коэффициенты: |
||||||||||||||||||||||||||||||||
| k1 |
(13) |
0,8 |
0,8 |
0,8 |
0,8 |
|||||||||||||||||||||||||||
| k2 |
(14) |
1,1 |
1 |
1,15 |
1 |
|||||||||||||||||||||||||||
| k3 |
(15) |
1 |
1 |
1 |
1 |
|||||||||||||||||||||||||||
| k4 |
(16) |
1 |
1 |
1,4 |
1,2 |
|||||||||||||||||||||||||||
| k5 |
(17) |
1,1 |
1,1 |
1,1 |
1,1 |
|||||||||||||||||||||||||||
| Параметры |
Марка автомобиля |
|||||||||||||||||||||||||||||||
| МАЗ-503А |
МАЗ-58371 |
МАЗ-5549 |
КрАЗ-250 |
ЗИЛ-1308 |
ЗИЛ-130 |
ЗИЛ-131 |
ЗИЛ-ММЗ-554 |
|||||||||||||||||||||||||
| (1) |
2 |
6 |
4 |
1 |
2 |
11 |
4 |
15 |
||||||||||||||||||||||||
| (2) |
3 |
3 |
3 |
3 |
3 |
3 |
3 |
3 |
||||||||||||||||||||||||
| (3) |
200 |
250 |
200 |
200 |
160 |
160 |
150 |
150 |
||||||||||||||||||||||||
| (4) |
260 |
260 |
260 |
260 |
260 |
260 |
260 |
260 |
||||||||||||||||||||||||
| (5) |
8 |
8 |
8 |
8 |
8 |
8 |
8 |
8 |
||||||||||||||||||||||||
| (6) |
3 |
3 |
3 |
3 |
3 |
3 |
3 |
3 |
||||||||||||||||||||||||
| (7) |
12 |
12 |
12 |
12 |
12 |
12 |
12 |
12 |
||||||||||||||||||||||||
| (8) |
250 |
320 |
320 |
250 |
300 |
300 |
300 |
300 |
||||||||||||||||||||||||
| (9) |
0,3 |
0,3 |
0,3 |
0,5 |
0,45 |
0,45 |
0,45 |
0,45 |
||||||||||||||||||||||||
| (10) |
3,4 |
3,2 |
3,2 |
3,5 |
2,5 |
2,5 |
2,5 |
2,5 |
||||||||||||||||||||||||
| (11) |
13,8 |
12 |
12 |
14,7 |
10,6 |
10,6 |
10,6 |
10,6 |
||||||||||||||||||||||||
| (12) |
6 |
5,8 |
5,8 |
6,2 |
4 |
4 |
4 |
4 |
||||||||||||||||||||||||
| (13) |
0,8 |
0,8 |
0,8 |
0,8 |
0,8 |
0,8 |
0,8 |
0,8 |
||||||||||||||||||||||||
| (14) |
1 |
1 |
1,1 |
1 |
1,1 |
1 |
1 |
1,2 |
||||||||||||||||||||||||
| (15) |
1 |
1 |
1 |
1 |
1 |
1 |
1 |
1 |
||||||||||||||||||||||||
| (16) |
1,9 |
0,7 |
0,7 |
2,1 |
1,6 |
1,4 |
1,6 |
1,6 |
||||||||||||||||||||||||
| (17) |
1,1 |
1,1 |
1,1 |
1,1 |
1,1 |
1,1 |
1,1 |
1,1 |
||||||||||||||||||||||||
| Параметры |
Марка автомобилей |
|||||||||||||||||||||||||||||||
| ЗИЛ-43141 |
ЗИЛ-ММЗ-4502 |
ГАЗ-53А |
ГАЗ-52-04 |
ГАЗ-САЗ-3507 |
ГАЗ-САЗ-3307 |
ГАЗ-66 |
Урал 4320 |
|||||||||||||||||||||||||
| (1) |
16 |
5 |
8 |
3 |
8 |
8 |
3 |
8 |
||||||||||||||||||||||||
| (2) |
3 |
3 |
3 |
3 |
3 |
3 |
3 |
3 |
||||||||||||||||||||||||
| (3) |
190 |
150 |
150 |
150 |
150 |
150 |
150 |
190 |
||||||||||||||||||||||||
| (4) |
160 |
260 |
260 |
260 |
260 |
260 |
260 |
260 |
||||||||||||||||||||||||
| (5) |
8 |
8 |
8 |
8 |
8 |
8 |
8 |
8 |
||||||||||||||||||||||||
| (6) |
3 |
3 |
3 |
3 |
3 |
3 |
3 |
3 |
||||||||||||||||||||||||
| (7) |
12 |
12 |
12 |
12 |
12 |
12 |
12 |
12 |
||||||||||||||||||||||||
| (8) |
300 |
300 |
250 |
175 |
250 |
250 |
250 |
150 |
||||||||||||||||||||||||
| (9) |
0,6 |
0,6 |
0,57 |
0,55 |
0,57 |
0,57 |
0,57 |
0,55 |
||||||||||||||||||||||||
| (10) |
3,1 |
3,5 |
2,6 |
2,9 |
2,6 |
2,6 |
2,6 |
3,8 |
||||||||||||||||||||||||
| (11) |
12 |
12,6 |
10,3 |
10,8 |
10,3 |
10,3 |
10,3 |
16,5 |
||||||||||||||||||||||||
| (12) |
4,2 |
4,4 |
3,8 |
4 |
3,9 |
3,9 |
3,9 |
6 |
||||||||||||||||||||||||
| (13) |
0,8 |
0,8 |
0,8 |
0,8 |
0,8 |
0,8 |
0,8 |
0,8 |
||||||||||||||||||||||||
| (14) |
1 |
1.2 |
1 |
1 |
1,2 |
1 |
1 |
1 |
||||||||||||||||||||||||
| (15) |
1 |
1 |
1 |
1 |
1 |
1 |
1 |
1 |
||||||||||||||||||||||||
| (16) |
1,2 |
1 |
1,6 |
2,1 |
1 |
1 |
1,4 |
1,6 |
||||||||||||||||||||||||
| (17) |
1,1 |
1,1 |
1,1 |
1,1 |
1,1 |
1,1 |
1,1 |
1,1 |
||||||||||||||||||||||||
| Параметры |
Марка автомобиля |
|||||||||||||||||||||||||||||||
| Икарус255 |
ЛАЗ-695Н |
ЛиАЗ 5256 |
ПАЗ-3205 |
КАВЗ3275 |
ГАЗ-31029 |
ИЖ-2715 |
УАЗ-31512 |
УАЗ-452Д |
УАЗ-3909 |
|||||||||||||||||||||||
| (1) |
5 |
3 |
5 |
11 |
7 |
15 |
2 |
12 |
4 |
8 |
||||||||||||||||||||||
| (2) |
3 |
3 |
3 |
3 |
3 |
3 |
3 |
3 |
3 |
3 |
||||||||||||||||||||||
| (3) |
150 |
150 |
150 |
150 |
150 |
170 |
170 |
170 |
170 |
170 |
||||||||||||||||||||||
| (4) |
260 |
260 |
260 |
260 |
260 |
260 |
260 |
260 |
260 |
260 |
||||||||||||||||||||||
| (5) |
8 |
8 |
8 |
8 |
8 |
8 |
8 |
8 |
8 |
8 |
||||||||||||||||||||||
| (6) |
3,5 |
3,5 |
3,5 |
3 |
3 |
4 |
4 |
4 |
4 |
4 |
||||||||||||||||||||||
| (7) |
14 |
14 |
14 |
12 |
12 |
16 |
16 |
16 |
16 |
16 |
||||||||||||||||||||||
| (8) |
360 |
360 |
380 |
300 |
250 |
300 |
100 |
180 |
180 |
180 |
||||||||||||||||||||||
| (9) |
0,95 |
0,8 |
1 |
0,7 |
0,7 |
0,5 |
0,2 |
0,3 |
0,3 |
0,3 |
||||||||||||||||||||||
| (10) |
6.6 |
5,8 |
7,5 |
5,5 |
5,5 |
2,9 |
2,2 |
1,5 |
1,5 |
1,5 |
||||||||||||||||||||||
| (11) |
25,8 |
24 |
31,5 |
18 |
18 |
11,7 |
7,2 |
7,7 |
7,7 |
7,7 |
||||||||||||||||||||||
| (12) |
7 |
6,5 |
6,8 |
5,3 |
5.5 |
3,2 |
2,8 |
3,6 |
3.6 |
3,6 |
||||||||||||||||||||||
| (13) |
0,8 |
0,8 |
0,8 |
0,8 |
0,8 |
0,8 |
0,8 |
0,8 |
0,8 |
0,8 |
||||||||||||||||||||||
| (14) |
1 |
1 |
1 |
1 |
1 |
1 |
1 |
1 |
1 |
1 |
||||||||||||||||||||||
| (15) |
1 |
1 |
1 |
1 |
1 |
1 |
1 |
1 |
1 |
1 |
||||||||||||||||||||||
| (16) |
2,5 |
1 |
1 |
1 |
1 |
0,7 |
1 |
0,7 |
.2 |
1 |
||||||||||||||||||||||
| (17) |
1,1 |
1,1 |
1,1 |
1,1 |
1,1 |
1,1 |
1,1 |
1,1 |
1,1 |
1,1 |
||||||||||||||||||||||
2.2 Расчет производственной программы станции технического обслуживания автомобилей
Производственная программа по ТО, т. е. число обслуживаний данного вида ТО за год и их трудоемкость, определяют как в количественном, так и в трудовом выражении, а по ТР только в трудовом выражении.
Периодичность ЕО равна среднесуточному пробегу автомобиля (таблица 6).
Нормативную периодичность ТО-1 и ТО-2 корректируют по общей формуле:
L1=L1 × k1 × k3, (2.1)
где L1 - нормативная периодичность данного вида ТО, км;
k1 - коэффициент корректирования нормативов в зависимости от условии эксппуатации (таблица 6),
k3 - коэффициент корректирования нормативов в зависимости от природно-климатических условий (таблица 6).
Пробег до капитального ремонта корректируют по следующей формуле:
Lkp =Lkp × k1 × k2 × k3, (2.2)
где Lkp - пробег до первого капитального ремонта, км;
k3 - коэффициент корректирования нормативов в зависимости от модификации подвижного состава и организации его работы (таблица 6).
После любого по счету капитального ремонта пробег автомобиля уменьшается:
L'kp = 0,8 • Lkp, (2.3)
где 0,8 - доля пробега автомобиля после капитального ремонта от нормы пробега нового автомобиля. Откорректированные пробеги представлены в таблице 7.
Расчет количества ТО за цикл. Количество технических воздействий за цикл определяем по формулам:
количество капитальных ремонтов
Nkp=1;
количество ТО-2 определяем по формуле:
N2ц=Lkp/L2-Nkp, (2.4)
количество TO-1:
N1ц=Lkp/L1-(Nkp+N2ц), (2.5)
количество ЕО:
Neoц = Lkp / Lcc, (2.6)
Расчет количества ТО за цикл сведен в таблицу 8.
Коэффициент технической готовности парка к перевозкам определяем по формуле:
aг=Дэц/Дэц+Дрц, (2.7)
где Дэц - дни эксплуатации за цикл:
Дэц = Lkp / 1000k'4 • Дто,тр + Дк,
где k'4 - коэффициент корректирования нормативов продолжительности простоя в ТО и ремонте в зависимости от пробега с начала эксплуатации;
Дто,тр - удельный простой автомобилей в ТО и ТР, дн/1000 км;
Дк - простои автомобиля к капитальном ремонте с учетом транспортировки, дн.
Таблица 7
Откорректированная периодичность ТО и ТР
| Марка автомобиля |
Периодичность, тыс. км |
||
| L1 |
L2 |
Lkp |
|
| КамАЗ-5320 |
2,4 |
9,6 |
240 |
| КамАЗ-5410 |
2,4 |
9,6 |
228 |
| КамАЗ-5511 |
2,4 |
9,6 |
163 |
| КамАЗ-4310 |
2,4 |
9,6 |
240 |
| Маз-503А |
2,4 |
9,6 |
160 |
| МАЗ-53371. |
2,4 |
9,6 |
256 |
| МАЗ-5549.55622А |
2,4 |
9,6 |
218 |
| КрАЗ-250 |
2,4 |
9,6 |
160 |
| ЗИЛ-130В |
2,4 |
9,6 |
228 |
| ЗИЛ-130 |
2,4 |
9,6 |
240 |
| ЗИЛ-ММЗ-554 |
2,4 |
9,6 |
192 |
| ЗИЛ-131 |
2,4 |
9,6 |
192 |
| ЗИЛ-43141 |
2,4 |
9,6 |
240 |
| ЗИЛ-ММЗ-4502 |
2,4 |
9,6 |
204 |
| ГАЗ-53А |
2,4 |
9,6 |
200 |
| ГАЗ-52-04 |
2,4 |
9,6 |
112 |
| ГАЗ-САЗ-3507 |
2,4 |
9,6 |
160 |
| ГАЗ-САЗ-3307 |
2,4 |
11,2 |
200 |
| ГАЗ-66 |
2,4 |
11,2 |
160 |
| Урал-4320 |
2,4 |
9,6 |
120 |
| Икарус-255 |
2,8 |
11,2 |
230 |
| ЛАЗ-685Н |
2,8 |
11,2 |
288 |
| ЛиАЗ-5256 |
2,8 |
11,2 |
304 |
| ПАЗ-3205 |
2,4 |
9,6 |
240 |
| КАвЗ-3271 |
2,4 |
9,6 |
200 |
| ГАЗ-31029 |
3.2 |
11,2 |
240 |
| ИЖ-2715 |
3,2 |
11,2 |
80 |
| УАЗ-31512 |
3,2 |
11,2 |
144 |
| УАЗ-452Д |
3,2 |
11,2 |
115 |
| УАЗ-3909 |
3,2 |
11,2 |
144 |
Таблица 8
Количество технических обслуживании за цикл, шт.
| Марка автомобиля |
Количество ТО за цикл |
||
| Neoц |
N1ц |
N2ц |
|
| КамАЗ-5320 |
960 |
75 |
24 |
| КамАЗ-5410 |
760 |
71 |
23 |
| КамАЗ-5511 |
815 |
51 |
16 |
| КамАЗ-4310 |
1263 |
75 |
24 |
| Маз-503А |
800 |
50 |
16 |
| МАЗ-53371 |
1024 |
80 |
26 |
| МАЗ-5549.55622А |
1090 |
68 |
22 |
| КрАЗ-250 |
800 |
50 |
16 |
| ЗИЛ-130В |
1425 |
71 |
23 |
| ЗИЛ-130 |
1500 |
75 |
24 |
| ЗИЛ-ММЗ-554 |
1280 |
60 |
19 |
| ЗИЛ-131 |
1280 |
60 |
19 |
| ЗИЛ-43141 |
1203 |
75 |
24 |
| ЗИЛ-ММЗ-4502 |
1360 |
64 |
20 |
| ГA3-53A |
1333 |
62 |
20 |
| ГАЗ-52-04 |
746 |
34 |
12 |
| ГАЗ-САЗ-3507 |
1066 |
50 |
16 |
| ГАЗ-САЗ-3307 |
1333 |
62 |
20 |
| ГАЗ-66 |
1066 |
50 |
16 |
| Урал-4320 |
632 |
37 |
12 |
| Икарус-255 |
1533 |
61 |
20 |
| ЛАЗ-685Н |
1920 |
77 |
25 |
| ЛиАЗ-5256 |
2026 |
82 |
26 |
| ПАЗ-3205 |
1600 |
75 |
24 |
| КАвЗ-3271 |
1333 |
62 |
20 |
| ГАЗ-31029 |
1176 |
56 |
18 |
| ИЖ-2715 |
470 |
19 |
5 |
| УАЗ-31512 |
847 |
34 |
10 |
| УАЗ-453Д |
605 |
27 |
8 |
| УАЗ-3909 |
847 |
34 |
10 |
Дк = Д'к + Дт;
где Д'к - время простоя автомобиля на авторемонтном заводе;
Дт - время транспортировки автомобиля на ремонтный завод и
обратно.
Данные и расчет коэффициента технической готовности парка сведены в таблице 9.
Коэффициент перехода от цикла к году:
hг=Дэг/Дэц, (2.8)
где Дэг - количество дней эксплуатации в году, дн.
Дэг=365-aп, (2.9)
Подставив выражение в формулу, получим:
hг = 365 • aп / Дэц, (2.10)
Коэффициент использования парка:
aп=Драб.г × aг/365, (2.11)
где Драб.г - число рабочих дней в году (таблица 6).
Общий пробег одной марки автомобилей находим из выражения [19]:
Lгп = Aц • Lcc • Драб.г • aг, (2.12)
где Aц - списочное количество автомобилей, ед.
Таблица 9
Определение коэффициента технической готовности
| Марка автомобиля |
Параметры |
|||||
| Дто,тр, дн/1000 км |
Дк, дн. |
k4 |
Дрц, дн. |
Дэц, дн. |
aг |
|
| КамАЗ-5320 |
0,5 |
22 |
1 |
142 |
960 |
0,87 |
| КамАЗ-5410 |
0,5 |
22 |
1 |
136 |
760 |
0,85 |
| КамАЗ-5511 |
0,5 |
22 |
1.3 |
128 |
815 |
0,87 |
| КамАЗ-4310 |
0,5 |
22 |
1,2 |
166 |
1263 |
0,88 |
| Маз-503А |
0,5 |
22 |
1,3 |
126 |
800 |
0,85 |
| МАЗ-53371 |
0,5 |
22 |
0,7 |
112 |
1425 |
0.9 |
| МАЗ-5549.55622А |
0,5 |
22 |
0,7 |
98 |
1500 |
0,92 |
| КрАЗ-250 |
0,5 |
22 |
1,3 |
126 |
1280 |
0,86 |
| ЗИЛ-130В |
0,5 |
22 |
1,3 |
170 |
1280 |
0,9 |
| ЗИЛ-130 |
0,5 |
22 |
1,3 |
178 |
1263 |
0,9 |
| ЗИЛ-ММ3 554 |
0,5 |
22 |
1,3 |
147 |
1360 |
0.9 |
| ЗИЛ-131 |
0,5 |
22 |
1,3 |
1661 |
1333 |
0,9 |
| ЗИЛ-43141 |
0,5 |
22 |
1,2 |
124 |
746 |
0,9 |
| ЗИЛ-ММЗ-4502 |
0,5 |
22 |
1,3 |
118 |
1066 |
0,82 |
| ГАЗ-53А |
0,5 |
15 |
1,3 |
73 |
1333 |
0,92 |
| ГАЗ-52-04 |
0,5 |
15 |
1,3 |
79 |
746 |
0,91 |
| ГАЗ-САЗ-3507 |
0,5 |
15 |
1 |
95 |
1066 |
0,93 |
| ГАЗ-САЗ-3307 |
0,5 |
15 |
1 |
98 |
1333 |
0,93 |
| ГАЗ-66 |
0,5 |
15 |
1,3 |
100 |
1066 |
0,92 |
| Урал-4320 |
0,5 |
22 |
1,3 |
202 |
632 |
0,86 |
| Икарус-255 |
0,55 |
25 |
1,4 |
183 |
1533 |
0,88 |
| ЛАЗ-685Н |
0,55 |
25 |
1 |
192 |
1920 |
0,91 |
| ЛиАЗ-5256 |
0,55 |
25 |
1 |
116 |
2026 |
0,91 |
| ПАЗ-3205 |
0,4 |
20 |
1 |
116 |
1600 |
0,93 |
| КАвЗ-3271 |
0,4 |
20 |
1 |
100 |
1333 |
0,93 |
| ГАЗ 31029 |
0,3 |
18 |
0,7 |
68 |
1176 |
0,05 |
| ИЖ-2715 |
0,3 |
18 |
1 |
12 |
470 |
0,92 |
| УАЗ-31512 |
0,3 |
18 |
0,7 |
48 |
847 |
0,95 |
| УАЗ-452Д |
0,4 |
15 |
1,4 |
80 |
605 |
0,88 |
| УАЗ-3909 |
0,3 |
18 |
1,3 |
76 |
847 |
0,92 |
Коэффициенты перехода от цикла к году, использования парка и пробега представлены в таблице 10.
Число капитальных ремонтов, а также технических обслуживании ТО 1, ТО-2 и ЕО по парку за год определяют из выражения:
Nкp = Нкрц × hг × Ац; (2.13)
N2Г = N2Ц × hГ × Ац; (2.14)
N1Г =N1Ц ×hГ ×Ац; (2.15)
Neoг = Nеоц × Ац. (2.16)
Диагностирование № 1 проводится после или перед ТО-1, после ТО-2 - выборочно по направлению отдела технического контроля. Годовое количество Д-1 определяют по формуле:
NД1Г =1,3×N1Г (2.17)
Диагностирование № 2 проводится перед ТО-2 и определяется по формуле:
NД2Г =1,2×N2Г (2.18)
Расчеты, выполненные по формулам (2.13-2.18) представлены в таблице 11.
Суточную программу рассчитывают по следующему выражению [19]:
N1С =N1Г /Драб.г, (2.19)
где N1С - суточное число воздействий по 1-му виду ТО, шт.;
N1Г - годовое число воздействий по 1-му виду ТО, шт.
Суточная программа по техническому обслуживанию и диагностике представлена в таблице 12.
Таблица 10
Определение коэффициентов перехода от цикла к году, использования парка и пробега
| Марка автомобиля |
Параметры |
||||
| Драб.г, дн. |
aг |
aП |
hГ |
Lгп, тыс. км. |
|
| КамАЗ-5320 |
260 |
0,87 |
0,60 |
0,23 |
1267,1 |
| КамАЗ-5410 |
260 |
0,85 |
0,59 |
0,28 |
193,1 |
| КамАЗ-5511 |
260 |
0,86 |
0,60 |
0,27 |
349,8 |
| КамАЗ-4310 |
260 |
0,88 |
0,61 |
0,18 |
169,8 |
| Маз-503А |
260 |
0,86 |
0,60 |
0,27 |
87,4 |
| МЛЗ-53371 |
260 |
0,90 |
0,63 |
0,22 |
341,9 |
| МАЗ-5549.55622А |
260 |
0,92 |
0,64 |
0,21 |
185,8 |
| КрАЗ-250 |
260 |
0,86 |
0,60 |
0,27 |
43,7 |
| ЗИЛ-130В |
260 |
0,89 |
0,62 |
0,16 |
72,3 |
| ЗИЛ-130 |
260 |
0,89 |
0,62 |
0,15 |
398,1 |
| ЗИЛ-ММЗ-554 |
260 |
0,90 |
0,62 |
0,18 |
510,6 |
| ЗИЛ-131 |
260 |
0,90 |
0,62 |
0,18 |
136,2 |
| ЗИЛ-43141 |
260 |
0,88 |
0,61 |
0,18 |
680,0 |
| ЗИЛ-ММЗ-4502 |
260 |
0,92 |
0,64 |
0,17 |
173,8 |
| ГАЗ-53А |
260 |
0,92 |
0,64 |
0,17 |
278,7 |
| ГАЗ-52-04 |
260 |
0,91 |
0,63 |
0,31 |
103,7 |
| ГАЗ-САЗ-3507 |
260 |
0,93 |
0,65 |
0,22 |
282,7 |
| ГАЗ-САЗ-3307 |
260 |
0,93 |
0,65 |
0,18 |
318,7 |
| ГАЗ-66 |
260 |
0,92 |
0,64 |
0,22 |
104,3 |
| Урал-4320 |
260 |
0,86 |
0,60 |
0,35 |
331,9 |
| Икарус-255 |
260 |
0,88 |
0,61 |
0,15 |
167,7 |
| ЛАЗ-685И |
260 |
0,91 |
0,63 |
0,12 |
104,0 |
| ЛиАЗ-5256 |
260 |
0,91 |
0,63 |
0,11 |
173,2 |
| ПАЗ-3205 |
260 |
0,93 |
0,65 |
0,15 |
389,1 |
| КАвЗ-3271 |
260 |
0,93 |
0,65 |
0,18 |
247,1 |
| ГАЗ-31029 |
260 |
0,95 |
0,66 |
0,20 |
609,7 |
| ИЖ-2715 |
260 |
0,92 |
0,64 |
0,49 |
79,0 |
| УАЗ-31512 |
260 |
0,95 |
0,66 |
0,28 |
488,3 |
| УАЗ-452Д |
260 |
0,88 |
0,61 |
0,37 |
169,8 |
| УАЗ-3909 |
260 |
0,92 |
0,64 |
0,27 |
315,8 |
Таблица 11
Количество обслуживаний за год по парку
| Марка автомобиля |
Вид обслуживания |
|||||
| Nкpг |
N2Г |
N1Г |
Nеог |
NД1Г |
NД2Г |
|
| КамАЗ-5320 |
5,27 |
126 |
395 |
5056 |
513 |
151 |
| КамАЗ-5410 |
0,85 |
19 |
60 |
642 |
78 |
23 |
| КамАЗ-5 5 П |
2,14 |
34 |
109 |
1747 |
142 |
41 |
| КамАЗ-4310 |
0,71 |
17 |
53 |
894 |
69 |
20 |
| Маз-503А |
0,55 |
9 |
27 |
436 |
35 |
11 |
| МАЗ-53371 |
1,34 |
35 |
107 |
1370 |
139 |
42 |
| МАЗ-5549.55622А |
0,85 |
19 |
58 |
929 |
75 |
23 |
| КрАЗ-250 |
0,27 |
4 |
14 |
218 |
18 |
5 |
| ЗИЛ-130В |
0,32 |
7 |
23 |
453 |
30 |
8 |
| ЗИЛ-130 |
1,66 |
40 |
125 |
2492 |
163 |
48 |
| ЗИЛ-ММЗ-554 |
2,66 |
50 |
159 |
3398 |
207 |
60 |
| ЗИЛ-131 |
0,71 |
13 |
42 |
906 |
55 |
16 |
| ЗИЛ-4314! |
2,83 |
68 |
212 |
3577 |
276 |
82 |
| ЗИЛ-ММЗ-4502 |
0,85 |
17 |
54 |
1156 |
70 |
20 |
| 1АЗ-53А |
1,39 |
28 |
86 |
1856 |
112 |
34 |
| ГАЗ-52-04 |
0,92 |
11 |
31 |
689 |
40 |
13 |
| ГАЗ-САЗ-3507 |
1,77 |
28 |
88 |
1885 |
114 |
34 |
| ГАЗ-САЗ-3307 |
1,59 |
32 |
99 |
2123 |
129 |
38 |
| ГАЗ-66 |
0,65 |
10 |
33 |
694 |
43 |
12 |
| Урал-4320 |
2,76 |
33 |
102 |
1744 |
133 |
40 |
| Икарус-255 |
0,73 |
15 |
45 |
1119 |
59 |
18 |
| ЛАЗ-695Н |
0,36 |
9 |
28 |
691 |
36 |
11 |
| ЛиАЗ-5256 |
0,70 |
15 |
47 |
1155 |
61 |
18 |
| ПАЗ-3205 |
1,62 |
39 |
121 |
2587 |
157 |
47 |
| КАвЗ-3271 |
1,24 |
25 |
77 |
6152 |
100 |
30 |
| ГАЗ-31029 |
3,05 |
55 |
171 |
3581 |
222 |
66 |
| ИЖ-2715 |
0,98 |
5 |
19 |
464 |
25 |
6 |
| УАЗ-31512 |
3,40 |
34 |
115 |
2876 |
150 |
41 |
| УАЗ-452Д |
1,48 |
12 |
40 |
893 |
52 |
14 |
| УАЗ-3909 |
2,19 |
22 |
75 |
1857 |
98 |
26 |
| Итого: |
44,36 |
788 |
2615 |
49140 |
3401 |
998 |
Таблица 12
Суточная программа по ТО и диагностированию
| Марка автомобиля |
Вид воздействия |
||||
| N1Ц |
N2Ц |
NД-1С |
NД-2С |
Ncоц |
|
| КамАЗ-5320 |
1,56 |
0,5 |
2,03 |
0,6 |
19,98 |
| КамАЗ-5410 |
0,24 |
0,08 |
0,31 |
0,09 |
2,54 |
| КамАЗ-5511 |
0,43 |
0,13 |
0,56 |
0,16 |
6,91 |
| КамАЗ-4310 |
0,21 |
0,07 |
0,27 |
0,08 |
3,53 |
| Маз-503А |
0,11 |
0,04 |
0,14 |
0,04 |
1,72 |
| МАЗ-53371 |
0,42 |
0,14 |
0,55 |
0,17 |
5,42 |
| МАЗ-5549.55622А |
0,23 |
0,08 |
0,3 |
0,09 |
3,67 |
| КрАЗ-250 |
0,06 |
0,02 |
0,07 |
0,02 |
0,86 |
| ЗИЛ-130В |
0,09 |
0,03 |
0,12 |
0,03 |
1,79 |
| ЗИЛ-130 |
0,48 |
0,16 |
0,64 |
0,19 |
9,85 |
| ЗИЛ-ММЗ-554 |
0,63 |
0,2 |
0,82 |
0,24 |
13,43 |
| ЗИЛ-131 |
0, 17 |
0,05 |
0,22 |
0,06 |
3,58 |
| ЗИЛ-43141 |
0,84 |
0,27 |
1,09 |
0,32 |
14,14 |
| ЗИЛ-ММЗ-4502 |
0,21 |
0,07 |
0,28 |
0,08 |
4,57 |
| ГАЗ-53А |
0,34 |
0,11 |
0,44 |
0,13 |
7,34 |
| ГАЗ-52-04 |
0,12 |
0,04 |
0,16 |
0,05 |
2,72 |
| ГАЗ-САЗ-3507 |
0,35 |
0.11 |
0,45 |
0,13 |
7,45 |
| ГАЗ-САЗ-3307 |
0,39 |
0,13 |
0,51 |
0,15 |
8,39 |
| ГАЗ-66 |
0,13 |
0,04 |
0,17 |
0,05 |
2,74 |
| Урал-4320 |
0,4 |
0,13 |
0,53 |
0,16 |
6,89 |
| Икарус-255 |
0,18 |
0,06 |
0,23 |
0,07 |
4,42 |
| ЛАЗ-695Н |
0,11 |
0,04 |
0,14 |
0,04 |
2,73 |
| ЛиАЗ-5256 |
0,19 |
0,06 |
0,24 |
0,07 |
4,57 |
| ПA3-3205 |
0,48 |
0,15 |
0,62 |
0,19 |
10,23 |
| КАвЗ-3271 |
0,3 |
0,1 |
0,4 |
0,12 |
6,53 |
| ГАЗ-31029 |
0,68 |
0,22 |
0,88 |
0,26 |
14,15 |
| ИЖ-2715 |
0,08 |
0,02 |
0,1 |
0,02 |
1,83 |
| УАЗ-31512 |
0,45 |
0,13 |
0,59 |
0,16 |
11,37 |
| УАЗ-452Д |
0,16 |
0,05 |
0,21 |
0,06 |
3,53 |
| УАЗ-3909 |
0,3 |
0,09 |
0,39 |
0,1 |
7,34 |
| Итого: |
10,35 |
3,32 |
13,46 |
3,93 |
194,22 |
Годовой объем работ транспортного цеха определяют в человеко-часах, который состоит из объема работ по ВО, ТО-1, ТО-2, Д-1, Д-2, ТР, СО и самообслуживанию предприятия.
Расчетная трудоемкость ЕО при поточном методе производства определяем по формуле:
teo = teo • k2 • k5 • kм, (2.20)
где k5 - коэффициент корректирования нормативов трудоемкости ТО и ТР в зависимости от количества подвижного состава в транспортом цехе и количества технически совместимых групп подвижного состава;
k м - коэффициент, учитывающий снижение трудоемкости ТО за счет механизированных работ, kм=0,5.
В общем виде корректирование нормативной трудоемкости работ ТО-1, ТО-2 производят по формуле:
t1=t1 × k2 × k5 (2.21)
Поскольку контрольно-диагностические и регулировочные работы Д-1 входят в ТО-1. Следует расчетную трудоемкость ТО-1 уменьшить на величину выполненной трудоемкости Д-1, тогда выполняемая в зоне ТО-1 трудоемкость работ будет равна:
t'1=t1-tд1, (2.22)
где tд1 - трудоемкость, Д-1, чел.ч.
Трудоемкость работ, выполняемых в зоне ТО-2, определяем из выражения:
t'2=t2-tд1-tд2, (2.23)
где tд2 - трудоемкость Д-2, чел.ч.
Трудоемкость работ ТО-2 с операциями, сопутствующими текущему ремонту, определяем по формуле:
t2+TP= 1,2 × t'2, (2.24)
Расчеты по корректировке трудоемкости сведем в таблицу 13.
Годовой объем работ по ТО, диагностике и текущему ремонту определяется раздельно по маркам в чел.ч. по формулам [22]:
Теог = Neoг • teo; (2.25)
Tто-1г=N1г•tто-1; (2.26)
Тто-2г = N2г•tто-2; (2.27)
Тд-1г=Nд-1г•tд-1; (2.28)
Тд-2г =Nд-2г•tд-2; (2.29)
Tcoг=2•Aц•kк•t2, (2.30)
где kк - коэффициент, учитывающий дополнительные работы по СО;
kк=1,2
Ттрг = Lгп • tтp, (2.31)
где tтp - удельная трудоемкость текущего ремонта в чел. ч./1000 км пробега определяется из выражения:
tтp = tтp • k1 • k2 • k3 • k4 • k5.
Все расчеты годового объема работ по ТО, ТР, СО и диагностике представлены в таблице 14.
Годовой объем работ по самообслуживанию предприятия определяем по выражению [1]:
Тсамг=(Теог+Тто-1г+Т2+трг+Ттрг+Тд-1г +Тд-2г +Тсог)×kc×0,01, (2.32)
где kc - объем работ по самообслуживанию (%) зависит от размера предприятия, kc =12... 15%.
Тсамг =(68300,5+7785,1 + 14500 + 8179,66 + 1861 + 1804 + 8787,9) × ×0,15 чел.ч.
Таблица 13
Скорректированная трудоемкость ТО
| Марка автомобиля |
Трудоемкость работ, чел.ч. |
|||||||
| teo |
t1 |
t2 |
tд-1 |
tд-2 |
t'1 |
t'2 |
t2+тp |
|
| КамАЗ-5320 |
0,28 |
3,74 |
15,95 |
0,56 |
1,91 |
3,18 |
13,48 |
16,18 |
| КамАЗ-5410 |
0,30 |
4,11 |
17,55 |
0,62 |
2,11 |
3,49 |
14,82 |
17,78 |
| КамАЗ-5511 |
0,32 |
4,30 |
18,34 |
0,65 |
2,20 |
3,65 |
15,54 |
18,65 |
| КамАЗ-4310 |
0,28 |
3,74 |
15,95 |
0,56 |
1,91 |
3,18 |
13,48 |
16,18 |
| Маз-503А |
0,17 |
3,74 |
15,58 |
0,56 |
1,82 |
3,18 |
12,80 |
15,36 |
| МАЗ-53371 |
0,17 |
3,52 |
13,20 |
0,53 |
1,58 |
2,99 |
11,09 |
13,31 |
| МАЗ-5549.55622А |
0,19 |
4,00 |
15,18 |
0,60 |
1,82 |
3,40 |
12,76 |
15,31 |
| КрАЗ-250 |
0,28 |
3,85 |
16,17 |
0,58 |
1,94 |
3,27 |
13,65 |
16,38 |
| ЗИЛ-130В |
0,25 |
2,75 |
11,66 |
0,41 |
1,40 |
2,34 |
9,85 |
11,82 |
| ЗИЛ-130 |
0,25 |
2,75 |
11,66 |
0,41 |
1,40 |
2,34 |
9,85 |
11,82 |
| ЗИЛ-ММЗ-554 |
0,25 |
2,75 |
14,00 |
0,41 |
1,68 |
2,34 |
11,91 |
14,29 |
| ЗИЛ-131 |
0,33 |
3,41 |
13,20 |
0,51 |
1,58 |
2,90 |
11,11 |
13,33 |
| ЗИЛ-43141 |
0,33 |
3,41 |
13,20 |
0,51 |
1,58 |
2,90 |
11,11 |
13,33 |
| ЗИЛ-ММЗ-4502 |
0,39 |
4,10 |
15,84 |
0,61 |
1,90 |
3,49 |
13,33 |
15,99 |
| ГАЗ-53А |
0,31 |
2,42 |
10,01 |
0,33 |
1,20 |
2,09 |
8,48 |
10,18 |
| ГАЗ-52-04 |
0,30 |
2,75 |
11,22 |
0,41 |
1,35 |
2,34 |
9,46 |
11,35 |
| ГАЗ-САЗ-3507 |
0,38 |
3,43 |
14,60 |
0,51 |
1,63 |
2,92 |
11,46 |
13,75 |
| ГАЗ-САЗ-3307 |
0,31 |
2,86 |
11,33 |
0,43 |
1,36 |
2,43 |
9,54 |
11,45 |
| ГАЗ-66 |
0,31 |
2,86 |
11,36 |
0,43 |
1,36 |
2,43 |
9,54 |
11,45 |
| Урал-4320 |
0,30 |
4,18 |
18,15 |
0,63 |
2,18 |
3,55 |
15,34 |
18,41 |
| Икарус-255 |
0,63 |
8,69 |
35,97 |
1,30 |
4,32 |
7,39 |
30,35 |
36,42 |
| ЛЛЗ-695Н |
0,44 |
6,38 |
26,4 |
0,96 |
3,17 |
5,42 |
22,27 |
26,72 |
| ЛиАЗ-5256 |
0,55 |
8,25 |
34,65 |
1,24 |
4,16 |
7,01 |
29,25 |
35,10 |
| ПАЗ-3205 |
0,39 |
6,05 |
19,80 |
0,91 |
2,38 |
5,14 |
16,51 |
19,80 |
| КАвЗ-3271 |
0,39 |
6,05 |
19,80 |
0,91 |
2,38 |
5,14 |
16,51 |
19,80 |
| ГАЗ-31029 |
0,28 |
3,19 |
12,87 |
0,44 |
1,54 |
2,75 |
10,89 |
13,07 |
| ИЖ-2715 |
0,11 |
2,42 |
7,92 |
0,33 |
0,95 |
2,09 |
6,64 |
7,97 |
| УАЗ-31512 |
0,17 |
1,65 |
8,47 |
0,25 |
1,02 |
1,40 |
7,20 |
8,64 |
| УАЗ-452Д |
0,17 |
1,65 |
8,47 |
0,25 |
1,02 |
1,40 |
7,20 |
8,64 |
| УАЗ-3909 |
0,17 |
1,65 |
8,47 |
0,25 |
1,02 |
1,40 |
7,20 |
8,64 |
Таблица 14
Годовой объем работ по ТО, ТР, СО и диагностике
| Марка автомобиля |
Трудоемкость работ, чел.-ч. |
||||||
| Ттрг |
Tcoг |
Teoг |
Тто-1г |
Тто-2г |
Тд-1г |
Тд-2г |
|
| КамАЗ-5320 |
14216,6 |
880,44 |
1415,7 |
1256,1 |
2038,7 |
287,3 |
288,4 |
| КамАЗ-5410 |
2383,12 |
126,36 |
192,6 |
209,4 |
337,82 |
48,36 |
48,53 |
| КамАЗ-5511 |
5866,67 |
352,13 |
559,04 |
397,85 |
634,1 |
92,30 |
90,2 |
| КамАЗ-4310 |
2078,11 |
153,12 |
250,32 |
168,54 |
275,06 |
38,64 |
38,2 |
| Маз-503А |
900,28 |
73,86 |
74,12 |
85,86 |
138,24 |
19,6 |
20,02 |
| МАЗ-53371 |
1832,47 |
190,1 |
232,9 |
319,93 |
645,85 |
73,67 |
66,33 |
| МАЗ-5549.55622А |
1145,10 |
145,73 |
176,51 |
197,2 |
290,89 |
45,0 |
41,86 |
| КрАЗ-250 |
751,39 |
38,81 |
61,04 |
45,78 |
65,52 |
10,44 |
9,7 |
| ЗИЛ-130В |
381,74 |
55,97 |
113,25 |
53,82 |
82,74 |
12,3 |
11,2 |
| ЗИЛ-130 |
2795,48 |
307,82 |
623,0 |
292,5 |
472,8 |
66,83 |
67,2 |
| ЗИЛ-ММЗ-554 |
4529,4 |
504,0 |
849,5 |
372,06 |
714,5 |
84,87 |
100,8 |
| ЗИЛ-131 |
1056,82 |
126,72 |
298,98 |
121,8 |
173,29 |
28,05 |
25,28 |
| ЗИЛ-43141 |
3877,10 |
506,88 |
1180,4 |
614,8 |
906,44 |
140,8 |
129,6 |
| ЗИЛ-ММЗ-4502 |
734,17 |
190,08 |
450,84 |
188,46 |
271,83 |
42,7 |
38,0 |
| ГАЗ-53А |
2178,65 |
192,19 |
575,36 |
179,74 |
285,04 |
36,96 |
40,8 |
| ГАЗ-52-04 |
936,47 |
80,78 |
206,7 |
72,54 |
124,85 |
16,4 |
17,55 |
| ГАЗ-САЗ-3507 |
1236,82 |
261,12 |
716,3 |
256,96 |
385,0 |
58,14 |
55,42 |
| ГАЗ-САЗ-3307 |
1640,51 |
287,93 |
658,13 |
240,57 |
366,4 |
55,47 |
51,68 |
| ГАЗ-66 |
751,64 |
81,58 |
215,14 |
80,19 |
114,5 |
18,49 |
16,32 |
| Урал-4320 |
2628,49 |
348,48 |
523,2 |
362,1 |
607,53 |
83,79 |
87,2 |
| Икарус-255 |
2386,87 |
431,64 |
704,97 |
332,55 |
546,3 |
76,7 |
77,76 |
| ЛАЗ-695Н |
891,89 |
190,08 |
304,04 |
151,76 |
240,48 |
34,56 |
34,1 |
| ЛиАЗ-5256 |
1555,0 |
415,8 |
635,25 |
329,47 |
526,5 |
75,64 |
74,88 |
| ПАЗ-3205 |
2721,86 |
522,72 |
1008,9 |
621,94 |
772,2 |
142,9 |
111,9 |
| КАвЗ-3271 |
1793,58 |
332,64 |
644,28 |
395,78 |
495,0 |
91,0 |
71,4 |
| ГАЗ-31029 |
1802,67 |
463,32 |
1002,74 |
470,25 |
718,85 |
97,68 |
101,6 |
| ИЖ-2715 |
291,87 |
38,02 |
51,04 |
39,71 |
39,85 |
8,25 |
5,7 |
| УАЗ-31512 |
1624,11 |
243,94 |
488,92 |
161,0 |
293,76 |
37,5 |
41,82 |
| УАЗ-452Д |
1210,19 |
81,31 |
151,81 |
56,0 |
103,68 |
13,0 |
14,28 |
| УАЗ-3909 |
2101,42 |
162,62 |
315,69 |
105,0 |
190,0 |
24,5 |
26,52 |
| Итого: |
68300,5 |
7785,1 |
14500,0 |
8179,6 |
8787,9 |
1861,0 |
1804,0 |
2.3 Расчет численности производственного персонала
Численность ремонтно-обслуживающего персонала зависит от планируемой годовой трудоемкости ТО и ТР.
Списочное число рабочих находим:
Рс=S Тоб/Фд, (2.33)
где SТоб - общая трудоемкость, чел.-ч;
Фд - действительный годовой фонд времени, ч.
Фд = (Фн - kО • tcм) • hр,
где Фн - номинальный годовой фонд времени, ч.;
kО - число дней отпуска, kО = 21 день;
hр - коэффициент потерь рабочего времени, hр = 0,96-0,97.
Фн = (kp • tcм - kп • tc) n,
где kp - число рабочих дней в году при пятидневной рабочей неделе,
kp=260 дней;
tcм - продолжительность рабочей смены, tсм = 8 ч;
tc - время на которое сокращается смена в предпраздничные дни, tc=1ч.;
n - количество смен, n = 1.
Фн = (260×8 - 6×1) ×1 = 2074 ч;
Фд = (2074-21×8) ×0,97 = 1826 ч;
Pc = 111218/1826=61 чел.
Явное число рабочих определяем из выражения [6]:
Ря=STоб/Фн; (2.34)
Ря= 111218/2074 = 54 чел.
Число вспомогательных рабочих составляет 5% списочного количества производственных рабочих, младшего персонала - 8% от суммы списочных и вспомогательных рабочих. Число инженерно-технических работников - 12-15% от суммы списочных и вспомогательных рабочих [6]:
Рвсп = Рс × 0,05, (2.35)
Рвсп =61 × 0,05=3 чел.
Рмоп = (Рс + Рвсп) • 0,08, (2.36)
Рмоп - (61 + 3) • 0,08 = 5 чел.
Ритр=(Рс+Рвсп) ×0,14, (2.37)
Ритр=(6+3) ×0,14=9чел.
Общее количество работников определим по формуле [6]:
Роб = Рс + Рвсп + Рмоп + Ритр, (2.38)
Роб =61+3+5+9= 78 чел.
2.4 Технологическое проектирование зон технического обслуживания, текущего ремонта и диагностики автомобилей
Для обеспечения безопасности движения и эффективной работы на линии подвижной состав должен быть исправным и его техническое состояние должно отвечать требованиям ГОСТ-25478-82 по безопасности движения и правилам технической эксплуатации.
Техническое обслуживание предназначено: поддерживать подвижной состав в работоспособном состоянии и в надлежащем внешнем виде; обеспечивать надежность и экономичность в работе, безопасность движения, защиту окружающей среды; уменьшать интенсивность изменения параметров технического состояния; предупреждать отказы и неисправности и выявлять их для своевременного устранения.
Ремонт предназначен восстанавливать неисправное техническое состояние, ресурс и безотказность работы подвижного состава и его составных частей.
Техническое обслуживание имеет профилактический характер, оно выполняется принудительно в плановом порядке.
Большинство ремонтных работ выполняют по потребности после появления неисправности или отказа.
Техническое обслуживание по периодичности, объемной трудоемкости выполняемых работ, подразделяют на следующие виды:
ЕО - ежедневное техническое обслуживание;
ТО-1 - техническое обслуживание № 1;
TO-2 - техническое обслуживание № 2;
СО - сезонное техническое обслуживание.
В соответствии с назначением ТО и ТР вес виды работ полностью проводят или начинают и заканчивают на автомобиле. Для проведения работ на автомобиле организуют рабочие посты (места).
Организация зоны технического обслуживания №1.
Среднее время, через которое автомобили должны выходить из зоны ТО, чтобы была выполнена суточная программа, называется ритмом производства [1]. Ритм производства находим по формуле:
R = С • tсм/ Nicyт • 60, (2.39)
где С - количество рабочих смен в сутки, С = 1;
tсм - длительность смены, tсм = 8 ч;
Nicyт - суточная программа ТО.
Nicyт = SN1г / Драб;
Nто-1сут=2615/260=10;
Nто-2сут= 788/260=3;
TO-1: R=1 • 8/10 • 60 = 48 мин;
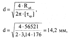
TO-2: R= 1 • 8/3 • 60= 160 мин.
Обеспечение требуемого режима, т.е. ритмичности любого производства, является одним из важнейших условий обеспечения качества работ.
Фонд рабочего времени определяется при односменной работе количеством рабочих дней в году Др и длительностью смены:
Фм=Др-tсм; (2.40)
Фм = 260 • 8 = 2080 ч.
Время на проведение запланированных работ одного обслуживания на рабочем посту называется тактом поста:
tn=t1/Pn×60+tn, (2.41)
где t1-трудоемкость ТО на посту, чел.-ч.;
Рn - количество рабочих мест на посту;
tn - время поставки и снятия автомобиля с поста, мин.
TO-1: tnl =3,82/2,2 • 60+2= 106 мин.;
TO-2: tn2 = 15,52 / 3,2 • 60 + 2 = 293 мин.
Формула расчета постов имеет вид:
Хп=t/R; (2.42)
TO-1: Хп = 106 / 48 = 2,21; принимаем Хп = 2;
ТО-2: Хп = 293 / 160 - 1,83; принимаем Хп = 2.
На постах линий периодического действия все технологические операции выполняются на неподвижном автомобиле. Величиной, характеризующей поток периодического действия, является так линии Л. Под тактом линии понимают интервал времени между двумя последовательно сходящими с линии автомобилями, прошедшими техническое обслуживание:
tл=ti • 60/Рл+tn, (2.43)
где tn - время передвижения автомобиля с поста на пост, мин.;
Рл - общее число технологически необходимых рабочих, работающих на линии:
Рл = Хп • Рср,
где Хп - число постов;
Рср - среднее число рабочих на посту линии обслуживания, чел.
ТО-1: Рл = 2 • 2,2 = 4,4 чел,
ТО-2: Рл = 2 • 3,2 = 6,4 чел;
ТО-1: Тл= 3,82 • 60/4,4+2 = 54 мин.,
ТО-2: Тл= 15,54 • 60/6,4+2 = 147,5 мин.
Число линий ТО-1 и ТО-2 находим по формуле:
ТО - 1: Хл=tЛТО -1/R; (2.44)
Хл = 54 / 48 = 1,1; принимаем 1 линию;
ТО - 1: Хл=tЛТО -2/R; (2.45)
Хл = 147/ 160 = 0,9; принимаем 1 линию.
Количество списочных рабочих зоны ТО-1 определяем по формуле [6]:
Рсп=Тто-1/Фсп, (2.46)
где Тто-1 - годовой объем работ ТО-1, чел.-ч;
Фсп - годовой фонд времени списочных рабочих, ч.
Рcп=8179,66/ 1826 = 4 чел.
Определяем явочное рабочее время:
Ряв=Тто-1/Фн; (2.47)
Ряв= 8179,66/2074 = 4 чел.
Распределение трудовых затрат на техническое обслуживание №1 по видам работ по посту №1 сведем в таблицу 15.
Таблица 15
Распределение трудовых затрат на ТО-1 по видам работ на посту № 1
| Пост № |
Рабочие места |
Наименование рабочих мест |
Трудоемкость, % |
Трудоемкость, чел.-ч. |
Кол-во испыт. |
| 1. |
1. |
Контрольно-диагностические, регулировочные |
18 |
1472,33 |
|
| 2. |
Обслуживание системы питания |
10 |
817,97 |
2 |
|
| 3. |
Обслуживание колес, шин, кузова |
5 |
408,98 |
Распределение трудовых затрат на ТО-1 по видам работ но посту № 2 сведем в таблицу 16.
Таблица 16
Распределение трудовых затрат на ТО-1 по видам работ на посту № 2
| Пост № |
Рабочие места |
Наименование рабочих мест |
Трудоемкость, % |
Трудоемкость, чел.-ч. |
Кол-во испыт. |
| 2. |
1. |
Обслуживание тормозной системы |
10 |
817,97 |
|
| 2. |
Обслуживание сцепления рулевого управления |
23,5 |
1922 22 |
2 |
|
| 3. |
Смазочно-заправочные, регулировочные, очистительные |
33,5 |
2740,19 |
||
| итого по посту № 1 и № 2 |
100 |
8179,66 |
4 |
||
Организация зоны технического обслуживания № 2.
Организация поточных линий ТО-2 аналогична организации линий ТО-1. Но решение задачи значительно усложнено вследствие существенно большего объема регулировочных работ, сопутствующего ремонта, в результате чего, необходимо снабжать зоны запасными частями и агрегатами. Для организации ТО-2 используем двухпостовую линию с размещением в тамбуре перед смотровой ямой поста.
Определим количество списочных работников зоны ТО-2 по формуле:
Pсп = Тто-2/Фсп, (2.48)
Pсп == 8787,95 / 1826 = 5 чел.
Явочное число работников:
Ряв = Тто-2 / Фн; (2.49)
Ряв = 8787,95 / 2074 = 4 чел.
Данные о распределение трудовых затрат на техническое обслуживание № 2 по видам работ и распределению рабочих по постам сведем в таблицу 17.
Таблица 17
Распределение трудовых затрат на ТО-2 по видам работ, распределение рабочих по постам
| Пост№ |
Рабочие места |
Наименование рабочих мест |
Трудоем-кость, % |
Трудоемкость, чел.-ч. |
Кол-воиспыт. |
| 1. |
1. |
Контрольно-диагностические |
10 |
878,79 |
|
| 2. |
Электротехнические |
12 |
1054,55 |
||
| 3. |
Обслуживание системы питания |
14 |
1230,31 |
2 |
|
| 2. |
1. |
Обслуживание тормозной системы |
12 |
1054,55 |
|
| 2. |
Обслуживание рулевого управления и ходовой части |
6 |
527,28 |
3 |
|
| 3.4. |
Крепежные, регулировочные |
18 |
1581,83 |
||
| 5.6. |
Смазочно-заправочные, очистительные |
22 |
1933,35 |
||
| 7. |
Регулировочные |
6 |
527,28 |
||
| итого по постам: |
100 |
8787,95 |
5 |
||
Расчет зоны текущего ремонта.
Потребность в текущем ремонте автомобилей устанавливается при приеме автомобилей с линии по заявке водителя, при проведении технической диагностики. Простой ремонт автомобиля, связанный с проведением текущего ремонта, должен быть минимальным.
При организации текущего ремонта необходимо стремиться к применению агрегатно-узлового метода ремонта. При агрегатном методе ремонта значительно сокращается время простоя автомобиля в ремонте, повышается коэффициент технической готовности. В зоне ТР выполняют, в основном, три вида работ: диагностические, регулировочные и разборочно-сборные. Для рациональной организации процессов текущего ремонта автомобиля разрабатывают постовые карты.
Количество рабочих постов определяем по формуле [6]:
Хп=Тг/(Фн×Рм×а×k'н) × h, (2.50)
где Хп - общее число постов;
Тг- годовой объем работы, реализуемый на данных постах, чел.ч.;
Фн - годовой фонд рабочего места при односменной работе, ч.;
а - часть объема работ, реализуемых в наиболее напряженную смену;
k'н - коэффициент неравномерности поступления автомобилей на пост;
h - коэффициент использования времени поста.
Хп = 68300,5 / (2074 • 2 • 0,4 • 1,2) • 0,8 == 8,2; принимаем 8 постов.
Общий объем постовых работ, выполняемых в зоне ТР, несколько меньше общей потребности в них благодаря проведению ряда работ при TO-2.
Организация зоны диагностики.
Диагностика представляет собой систему проверки технического состояния автомобиля без разборки его узлов и агрегатов путем использования специального оборудования, позволяющего дать объективную оценку пригодности автомобиля для дальнейшей эксплуатации. Организация диагностики технического состояния автомобиля зависит от мощности данного автотранспортного предприятия и от обеспеченности соответствующим оборудованием.
Посты и линии диагностики размещают в производственном корпусе транспортного цеха таким образом, чтобы автомобиль, в зависимости от его технического состояния, мог быть перемещен в любую зону цеха с минимальным количеством маневров.
Количество постов диагностирования:
Пд=Тд/Фн•Рn•С•h, (2.51)
где Тд — трудоемкость диагностирования, чел.ч.;
Рn - количество рабочих, чел.;
С - количество смен;
h - коэффициент использования времени, h = 0,8.
Пд - 3666 / 2074 •2.1 • 0,8 = 1,1; принимаем 1 пост.
Списочное количество рабочих:
Pсп =Тд/Фсп, (2.52)
Рсп= 3666/1826 = 2 чел.
Явочное число рабочих на линии диагностики [19]:
Ряв=Тд/Фн, (2.53)
Ряв = 3666 / 2074 = 2 чел.
Определим ритм производства по формуле:
Rд1 ==Toб•60/ka, (2.54)
где Тоб - продолжительность работы поста в течение суток, Тоб=8ч.;
ka - количество диагностируемых автомобилей.
Д-1: Rд1 = 8•60/11 =43,6 мин,
Д-2: Rд1 =8•60/4= 120 мин.
Определим такт линии диагностирования:
tд1=tдi•60/Рр+tp. (2.55)
Д-1: hд-1 =0,57•60/2+2= 19,1 мин.;
Д-2: hд-2 =1,86•60/2+2 = 57,8 мин.
Длина поста принимается из расчета установки на нем диагностируемого автомобиля в двух-трех положениях.
2.5 Разработка технологии технического обслуживания и диагностирования
Технологических процесс ТО автомобилей определяется последовательностью выполнения работ и операций, имеющих своей целью поддержание работоспособности автомобилей. Техническое обслуживание состоит из большого числа технологических операций. Независимо от вида ТО, за исключением ЕО, оно содержит следующие основные работы: уборочно-моечные, контрольно-диагностические, крепежные, регулировочные, электротехнические, смазочно-очистительные, заправочные.
По назначению, трудоемкости, периодичности, перечню выполнения работ при технологическом процессе ТО и ТР, периодическое диагностирование делится на Д-1 и Д-2.
Диагностирование. Д-1 предназначается для механизмов, обеспечивающих безопасность движения автомобиля (тормоза, приборы освещения, угол установки передних колес, механизмы управления), уровень токсичности отработанных газов и его топливную экономичность. Проводится Д-1 также при ТО-1 или перед ТО-2, если оборудование для Д-1 располагается на линии ТО-2.
Диагностирование Д-2 предназначается для контроля автомобиля в целом, по технико-экономическим показателям и выявления неисправности его основных агрегатов, систем и механизмов. Д-2 проводится за 2-3 дня до ТО-2, чтобы устранить серьезные поломки и уменьшить простой автомобиля на обслуживании.
Отдельно рассматривают диагностирование: 1) двигателя, его механизмов и систем; 2) электрооборудования; 3) тормозной системы и рулевого управления; 4) трансмиссии и ходовой части. Регулируемые работы, как правило, проводятся по результатам диагностирования; в процессе выполнения этих работ применяется контрольное оборудование, а качество работ может проверяться диагностированием. В связи с этим, диагностирование и регулировочные работы агрегатов и систем автомобиля часто проводят совместно.
Для диагностирования автомобилей в зоне Д-1 разместим следующее оборудование: стенд для проверки тормозных качеств автомобиля КИ-4998, воздухораздаточную колонку С-413М, прибор для проверки свечей зажигания КО-75, статоскоп для проверки системы зажигания КО-346, стенд для проверки углов управления колес КИ-4872. В зоне диагностирования Д-2 разместим: стенд для проверки тяговых качеств автомобиля КИ-4856, подъемник П-151, устройство для сбора отработанного газа ОЗ-12261-01 и др. (см. Приложение 1).
ВЫВОД 2 ГЛАВЫ
Во второй главе разработана организация ТО в цехе № 26 ОАО «Лисма».
Проведен анализ существующей формы организации технического обслуживания, рассчитана производственная программа, а также разработаны технология ТО и диагностирования.
3. РАЗРАБОТКА КОНСТРУКЦИИ. ГИДРОПОДЪЕМНИК
3.1 Обзор существующих предшествующих конструкций
3.1.1 Передвижной домкрат
Передвижной гидравлический домкрат разработан в 1982 году Дутовым А.Я. Он предназначен для выполнения подъемных работ в основном в условиях мастерских. На корпусе гидроцилиндра расположены три кронштейна, на которых шарнирно закреплены три опорных колеса, имеющие возможность поворачиваться на 90°. При перемещении гидродомкрата, он перекатывается на опорных колесах, а при работе, колеса поворачиваются на 90° и превращаются в опорные площадки, которые, воспринимая вес и увеличивая опорную площадь, не дают гидродомкрату погрузиться в грунт. Подача масла осуществляется от постоянного источника маслоподачи.
Для подсоединения гидрошланга на гидроцилиндре имеется специальный штуцер.
Недостатками данной конструкции являются:
1. Трудность перемещения гидродомкрата по неровным поверхностям.
2. Длительность подготовки (установка его на рабочее место, подсоединение и отсоединение от источника маслоподачи).
3. Невозможность использования в полевых условиях на мягких почвах.
3.1.2 Передвижной гидравлический домкрат
Передвижной гидравлический домкрат разработан Букатовым А.В., Дмитреевым Б.А. в 1985 году, содержит ходовую часть - тележку, на которой смонтированы электродвигатель с гидронасосом, а также связанный с тележкой и смонтированный на опорном основании силовой гидроцилиндр, который работает на гидронасосе. При перемещении тележки силовой гидроцилиндр находится в поднятом состоянии. Подъем может осуществляться с помощью лебедки вручную или электроприводом. Перемещение тележки осуществляется вручную. При выполнении работ тележка подгоняется под поднимаемое устройство, устанавливается гидроцилиндр и включается гидронасос.
3.1.3 Передвижной гаражный подъемник
Передвижной гаражный подъемник разработан в 1982 г. группой конструкторов: Кулиным А.И., Домрачевым Г.В., Пылаевым И.А., Рудаковым Г.И., содержит подвижную раму, на которой установлены поворотные рычаги, соединенные с грузонесущей головкой и силовой гидроцилиндр, корпус которого шарнирно закреплен на раме, отличающийся тем, что с целью уменьшения габаритных размеров подъемника в транспортном положении он снабжен тягой с двуплечим рычагом, соединенным одним концом со штопом силового гидроцилиндра, а другим с тягой, который шарнирно закреплен к одному из подъемных рычагов. Подача масла в гидроцилиндр должна осуществляться от постороннего источника (гидросистемы трактора или стационарного маслонасоса).
Работа осуществляется следующим образом: тележка подгоняется к поднимаемому средству и гидроподъемная головка устанавливается в необходимом месте. В гидроцилиндр подается масло, благодаря чему приводится в действие механизм рычагов и осуществляется подъем. Данная конструкция имеет ряд недостатков.
1. Невозможность работы на мягких почвах.
2. Затрудненность перемещения по неровным поверхностям.
3. Зависимость работы от источника маслоподачи.
4. Невозможность использования в полевых условиях.
3.1.4 Копновоз навесной универсальный
Предназначен для транспортировки копен сена и соломы, сбора сена из валков, а также для погрузки навоза, сыпучих и штучных грузов в гране портные средства. Агрегатируют с трактором «Беларусь».
Основные узлы и механизмы: две панели навески, закрепленные на лонжеронах трактора; рама подъема, шарнирно соединенная с панелями навески; две одинаковые платформы для набора, удерживания и выгрузки копен, одну из которых навешивают спереди на раму подъёма, а другую сзади на навесную систему трактора; вилы для навоза; ковш для сыпучих грузов; грузоподъемная рама с крюком.
Механизмы копновоза приводятся в действие от гидросистемы трактора при помощи гидроцилиндров. Грузоподъемность 1000 кг, максимальная высота подъема 3,6 м. Основные недостатки:
1. Сложность конструкции.
2. Большая масса.
3. Ухудшение обзорности трактора.
3.2 Гидроподъемник
Гидроподъемник предназначен для поднимания различных сельскохозяйственных машин, чтобы проверить осевые люфты в подшипниках, ходовых, опорных, опорно-приводных колесах, произвести регулировку и смазку, а также настройку плугов и культиваторов.
Кроме того, для поднятия и перемещения различных грузов на небольшое расстояние.
Гидроподъемник агрегатируется с трактором МТЗ. Он состоит из платформы, гидроцилиндров, передней и основной стрел.
Стрелы изготавливаются из квадратной трубы 100х100х8.
Платформа изготавливается из следующих деталей: две вертикальные стойки - труба квадратная 100 х 100; три поперечных бруса - уголок равнобокий №10; передние наклонные упоры и лонжероны - швеллер №12. Все детали сварные.
На тракторе МТ382 - давление воздуха в передних шинах повышено до 0,4-0,5 МПа.
Трактор легко переоборудовать для выполнения транспортных работ;
Для этого нужно снять переднюю стрелу с гидроцилиндром и основную стрелу. Гидроцилиндры платформы не снимаются, их привязывают к вертикальным стойкам.
Обзорность маневренность и управляемость трактора не нарушены. Высота подъема 4,8 м. Грузоподъемность - 1000 кг. Трактор должен перемещаться только на первой передаче.
Гидросистема трактора никаких изменений не претерпела. От левого золотника распределителя параллельно подключены гидроцилиндры, управляющие основной стрелой. От правого золотника распределителя работает гидроцилиндр передней стрелы.
3.3 Расчет конструкции
3.3.1 Расчет коэффициента «грузовой» устойчивости
Тракторы с навешенным на него подъемником должен быть устойчив при работе.
Коэффициент «грузовой» устойчивости, т.е. отношение момента относительно ребра опрокидывания, создаваемого весом трактора с гидроподъемником с учетом всех усилий, действующих на агрегат (инерционные силы, возникающие при пуске или торможении механизмов подъема стрелы с грузом и передвижения трактора) и влияния наибольшего допустимого при работе гидроподъемника уклона пути, к моменту, создаваемому рабочим грузом относительно того же ребра опрокидывания должен быть не менее 1,15.
Коэффициент грузовой устойчивости вычисляют по формуле:

где G - суммарный вес трактора с гидроподъемником, кг;
Gпр - вес стрелы гидроподъемника, кг;
Q - вес поднимаемого груза, кг;
l - расстояние от точки подвеса груза до ребра опрокидывания при установки трактора с гидроподъемником на горизонтальной плоскости, м;
а - расстояние от общего центра тяжести погрузчика с трактором до ребра опрокидывания при установки трактора, в горизонтальной плоскости, м.
hl - расстояние от точки подвеса груза до плоскости, проходяще] через точки опорного контура, м;
h2 - расстояние от общего центра тяжести гидроподъемника i трактора до плоскости, проходящей через точки,опорного,1сойхура^ м;
v1 ' - скорость горизонтального перемещения груза, в м/с;
vl - скорость передвижения трактора с подъемником, м/с;
vl " - скорость вертикального перемещения груза, м/с;
tl - время неустановившегося движения (пуск, торможение) трактора с;
t2 - время неустановившегося режима работы механизма подъема стрелы, с;
а - угол наклона трактора с подъемником, град.

3.3.2 Выбор гидроцилиндра для основной стрелы Схема к определению усилия на штоке
Определим ход поршня.
Ориентируясь на параметры механизмов подъема сельскохозяйственных погрузчиков, примем r = 710 мм:
a=arccos(H0 /R) (3.2)
где Но - расстояние от земли до точки соединения основной стрелы с платформой;
R - длина стрелы основной и передней вместе.

Расстояние между опорами гидроцилиндра при полностью втянутом штоке:
(3.3)
При подъеме груза на заданную высоту угол поворота стрелы равен:
(3.4)
В этом случае расстояние между опорами цилиндра должно быть:
(3.5)
Ход штока цилиндра будет равен:
(3.6)
Определение диаметра цилиндра. Из уравнения моментов:
(3.7)
при
(3.8)
Находим выражение для усиления на штоке:
(3.9)

Принимая рабочее давление в гидросистеме трактора р=10 Мпа и коэффициент запаса по усилию на штоке k=1,1 находим диаметр цилиндра
(3.10)
Исходя из конструктивных соображений возьмем два цилиндра, поэтому диаметр одного цилиндра будет равен:
(3.11)
По полученным данным выбираем гидроцилиндр lmin =940 мм,
lmax =1570 мм, D = 75 мм.
Для того чтобы цилиндр поднял стрелу на заданную высоту расстояние г нужно взять исходя из условия.
(3.12)
(3.13)
(3.14)
(3.15)

Для того чтобы цилиндр опустил стрелу на заданную величину, его длина должна быть:
(3.16)
За счет перемещения упора гидроцилиндра по штоку на 60 мм, достигаем это условие.
3.3.3 Выбор гидроцилиндра для передней стрелы -
Определим усилие на шток цилиндра исходя из уравнения моментов:
(3.17)
(3.18)
Найдем диаметр цилиндра:
(3.19)
По полученным данным выбираем гидроцилиндр
D = 110 мм, lш =250мм, lmin =560 мм, lmax =810 мм.
Точку опоры гидроцилиндра определяем исходя из условия, что передняя и основная стрелы должны находиться на прямой линии при полностью вытянутом штоке.
3.4 Расчет стрелы
Определим силу F из уравнения моментов:
(3.20)
(3.21)
![]()
Определим реакцию опоры:
(3.22)
Построим эпюру изгибающих моментов. Выбираем сечение стрелы из условия:
(3.24)
где W - момент сопротивления сечения;
М - крутящий момент;
[s] - наибольшее нормальное напряжение.
Возьмем материал Ст6, sп4=650 Н/мм, запас прочности n = 1,5. Наибольшее нормальное напряжение будет:
[s]=sп4 /1,5
[s]=650/1,5 = 433 Н/мм2 .
Найдем момент сопротивления сечения:
W=25192860/433=58182 мм2 .
Из таблицы сортамента выбираем необходимое сечение: труба квадратная 100х100х8 (ГОСТ 8639-57). Проверим:
[s]=25192860/83700=301 Н/мм < [s].
Переднюю и основную стрелу изготовим из одинакового материала.
3.5 Определение диаметра болта
Для соединения стрелы с платформой определим диаметр болта. Определим горизонтальную составляющую силы Fш.
Fr =F×tga, (3.25)
где
tga=r/h (3.26)
Отсюда
F=r/h×F (3.27)
F=963/710×36940=50103H.
Общая реакция опоры А:
(3.28)
Возьмем материал болта Ст6, sт =360 Н/мм2 , sт=220 Н/мм3 . В данном случае болт будет работать на срез и на смятие. Предел прочности на срез и смятие:
[sср ] = sт ×0,8 = 220×0,8 = 176 Н/мм2 ,
[sсм ] = sт ×0,2 = 360×0,2 = 72 Н/мм2
Определим диаметр болта [24]:
(3.29)
d=Rоб /([sсм ×l), (3.30)
d=56251/(72×110)=7,1 мм.
Возьмем диаметр болта равный d = 15 мм.
Проверим:
tcp =Rоб /((2p×d2 )/4) (3.31)
tср =56521/((2*3.14*15**2)/4)=160 Н/мм2<[tcp ]
scм =Rоб /(d×l) (3.32)
sсм =56521/(15×110)=34 Н/мм2
В двух вертикальных стойках и в основной стреле сверлится отверстие диаметром 25 мм, и в эти отверстия запрессовываются втулки с наружным диаметром 25 мм и внутренним диаметром 15 мм.
3.6 Определение диаметра болта для соединения основной и передней стрел
Определим диаметр болта для соединения основной и передней стрел. Определим реакцию опоры:
(3.33)
Возьмем материал для болта Ст6, tт = 220 Н/мм2 , sт =З60 Н/мм2 .
В данном случае болт работает на срез и смятие.
Предел прочности на срез:
[tcр ] = tт ×0,8=220×0,8=176 Н/мм2 .
Предел прочности на смятие:
[sсм ]=sт ×0,2=360×0,2=72 Н/мм2 .
Определим диаметр болта:
(3.34)
,
(3.35)
![]()
Возьмем диаметр болта 25 мм.
Проверим:
tср =R/((2p×d2 )/4) (3.36)
tср =72660/((2×3.14×252 )/4)=148 Н/мм2 <[tср ]
sсм =R/(d×l)
sсм =72660/(2×20×25)=71 Н/мм2 <[sсм ]
Для соединения основной и передней стрелы нужно к основной стреле приварить две пластины 165х80х20, а в передней стреле просверлить отверстие диаметром d = 35 мм и запрессовать втулку с внешним диаметром 35 мм, внутренним - 25 мм.
3.7 Определение диаметра болта для подвесной рамки
Определим диаметр болта для подвесной рамки. Возьмем материал
Ст6, tт = 220 Н/мм2 , sт = 360 Н/мм2
Болт работает на срез и смятие.
Предел прочности на срез:
[tcp ]=tт ×0,8=220×0,2=176 Н/мм2
Предел прочности на смятие:
[sсм ] =sт ×0,2=360×0,2 = 72 Н/мм2
Определим диаметр болта:
(3.38)
d=mg/([s]×l) (3.39)
d=10000/(2•8•72)=8,7 мм
Возьмем диаметр болта равный 10 мм.
Проверим%
tcp =mg/((2p×d2 )/4) (3.40)
tcp =10000/((2×3.14×252 )/4)=63 Н/мм2 <[tср ]
sсм =mg/(d×l) (3.41)
sсм =10000/(2×8×10)=62,5 Н/мм2 <[sсм ]
3.8. Определение ширины подвесной рамки
Определим ширину подвесной рамки из условия:
(3.42)
Возьмем материал Ст6, sп4 =650 Н/мм2 . Запас прочности n=1,5. Наибольшее нормальное напряжение будет:
[s]=sп4 /1,5
[s]=650/1,5=433 Н/мм2
Найдем момент сопротивлений сечения:
W=600000/433=1385 мм2
Найдем ширину пластины:
b=6W/h3 +25,
b=6×1385/1003 +25=35мм
Крюк для подвеса груза выбираем по ГОСТу 6627-63 исходя из условия грузоподъемности: выбираем крюк №7.
3.9 Расчет сварочных соединений
3.9.1 Расчет соединения передней и основной стрел
В этом случае швы испытывают нагрузку от срезающей силы Fш2 и момента mgL. Возьмем материал Ст6, тогда допустимые напряжения будут:
[tср ]=0,2×tт =0,2×360=72 Н/мм2 ,
[s]=0,33×sп4 =0,33×650=214,5 Н/мм2
Найдем действующие напряжения в сварном шве и сравним их с допустимыми:
(3.43)
где l - длина сварочного шва;
k - катет сварочного шва;
Fг - сила.


3.9.2 Расчет опоры гидроцилиндра передней стрелы
На шов будет действовать момент Fш2 ×ll .
Определим длину сварного шва из выражения:
, (3.44)
где
Wc =0,7×k×l2 ×2/6 (3.45)
где k - катет шва, k = 8 мм;
l - длина шва.
Расчетная схема
(3.46)
где [s] = 0,33, sn4 = 0,33×650 =214,5 Н/мм2 ,

Опоры для гидроцилиндра передней стрелы делаем одинаковыми. Проверим:
(3.47)
3.9.3 Расчет опоры гидроцилиндра основной стрелы
(3.48)

Примем 1 = 90 мм. Тогда действующее напряжение будет
(3.49)
ВЫВОД 3 ГЛАВЫ
Разработана конструкция «Гидроподъемник».
Предложены несколько видов передвижных домкратов.
Выбран самый эффективный способ для данного транспортного парка.
Сделан расчет составляющих частей данной конструкции; подбор гидроцилиндров, расчет сварочных соединений, определен диаметр болта для подвесной рамки и т.д.
4. БЕЗОПАСНОСТЬ И ЭКОЛОГИЧНОСТЬ
4.1 Анализ состояния безопасности жизнедеятельности в транспортном цехе ОАО «Лисма»
Главная задача безопасности жизнедеятельности трудящихся в России проведение мероприятий, обеспечивающих безопасные условия труда и облегчающих производственные процессы.
Безопасность жизнедеятельности включает в себя вопросы трудового законодательства, технику безопасности, производственную санитарию и гигиену труда, а для транспортного цеха - безопасность движения.
Анализ несчастных случаев по видам работ позволил определить операции, при выполнении которых происходит наибольшее количество травм. Так при смотровых работах большее количество травм происходит в результате падения с крыла или бампера автомобиля. Во время осмотра двигателя травмы происходят при применении опасных, неправильных приемов работы, несогласованных действий, неудовлетворительном содержании рабочих мест. Травмы часто происходят при проверке замков бортов платформы кузова, при проведении осмотра автомобиля снизу, при отворачивании и завертывании гаек колес и стремянок рессор. Несчастные случаи происходят при работе неисправными инструментами, при пользовании замасленными руками и т.п.
Состояние охраны труда характеризуется:
- коэффициентом частоты травматизма - Кч;
- коэффициентом тяжести травматизма - Кт;
- числом дней нетрудоспособности.
Показатель частоты несчастных случаев Кч показывает среднее количество несчастных случаев, происшедших на 1000 работников за отчетный период.
Кч=Т/Р-1000, (4.1)
где Т - количество несчастных случаев за данный период, Т=5;
Р - списочное количество работающих в транспортном цехе,
Р=293чел.
Показатель частоты несчастных случаев за 2001 год составил:
Кч= 5/293×1000=17,1.
Показатель тяжести несчастных случаев:
Кт=Д/Т, (4.2)
где Д - количество дней, потерянных за отчетный период, Д=88 дн.;
Т - число травм, за исключением смертельных, Т= 5.
Кт=88/5=17,6.
Показатель потерь определяем из следующего выражения:
Кп=Д×1000/Р; (4.3)
Кп=88×1000/293=300 дн.
Коэффициент травматизма определяем по формуле:
Ктр=Т/Р×Кп×100; (4.4)
Ктр=5/293=1,71.
Коэффициент трудоспособности коллектива находим из выражения:
Ктр.к=1-Д/Р×Ф, (4.5)
где Ф - годовой фонд рабочего времени, Ф = 1826 ч.
Ктр.к = 1-88/293×1826=0,999.
Коэффициент нетрудоспособности определяем по выражению:
Кн.тр.к=Д/Р×Ф. (4.6)
Материальный ущерб от травматизма без учета несчастных случаев со смертельным исходом и инвалидностью определяем по следующей формуле:
См=С1+С2+СЗ+С4+С5,руб., (4.7)
где С1 - сумма, выплачиваемая по больничным листам;
С2 - стоимость испорченного оборудования и инструмента;
СЗ - стоимость испорченного материала;
С4 - стоимость различных зданий и сооружений;
С5 - стоимость простоя оборудования;
См=875+10400,0+240+200=11715,2руб.
Полученные данные сводим в таблицу 18.
Таблица 18
Динамика производственного травматизма в цехе
| Название показателя |
1999 |
2000 |
2001 |
| Количество рабочих, чел. |
240 |
235 |
220 |
| Количество несчастных случаев |
3 |
2 |
5 |
| Количество дней нетрудоспособности |
68 |
61 |
88 |
| Показатель частоты |
12,5 |
8,51 |
17,1 |
| Показатель тяжести |
22,67 |
30,5 |
17,6 |
| Показатель потерь |
283,3 |
259,5 |
300,0 |
| Коэффициент травматизма |
1,25 |
0,85 |
1,71 |
| Коэффициент трудоспособности коллектива |
0,9997 |
0,9998 |
0,9998 |
| Коэффициент нетрудоспособности коллектива |
0,0003 |
0,0002 |
0,0002 |
| Материальный ущерб, руб. |
8083,2 |
9152,7 |
11715,0 |
4.2 Организационно-правовые мероприятия
Система мероприятий по охране труда, обеспечивающая безопасность работающих, охватывает 3 проблемы:
1) санитария, занимающаяся вопросами профессиональной вредности;
2) техническая охрана труда или техника безопасности, разрабатывающая мероприятия по борьбе с производственным травматизмом;
3) правовая, как часть государственного регулирования трудового законодательства.
Руководитель предприятия несет ответственность за организацию охраны труда всего предприятия перед вышестоящими организациями, вплоть до арбитража при несчастных случаях со многими пострадавшими и со смертельным исходом.
Главный инженер несет санитарную ответственность за горячие участки и экологичность, разрабатывает мероприятия по борьбе с производственным травматизмом, несет ответственность перед контролирующими организациями за условия труда на производственных участках.
Заместитель начальника по безопасности движения несет ответственность за несчастные случаи, произошедшие при ДТП и производственные случаи, повлекшие за собой травмы водителей и пассажиров во время работы автомобилей на линии.
Инженер по технике безопасности предприятия несет ответственность за исполнение мероприятий по безопасности жизнедеятельности, по предупреждению производственного травматизма и контроль условий труда и производственной санитарии, обучение рабочих безопасным условиям труда, вводный инструктаж вновь поступивших на работу, проводит служебное расследование при травмах и их учет.
Начальник производства несет ответственность за каждого рабочего, водителя, выполняющего работу на его участке. Он обязан проводить инструктаж на его рабочем месте, с целью ознакомления с конкретными условиями труда на участке.
На предприятии проводится работа по аттестации рабочих мест. ТПО «Мордовавтотранс» проводит регулярно проверки по соблюдению правил безопасности жизнедеятельности, доводит информацию о несчастных случаях, происшедших в системе автотранспорта России. Госконтроль регулярно проводит проверки по состоянию техники безопасности при работе оборудования, приспособлений и их пригодность к выполнению работ. Ведомственный контроль, ГИБДД, представители санитарной службы также регулярно проводят проверки соблюдения правил техники безопасности, правил производственной санитарии, а также правил безопасности движения.
4.3 Санитарно-гигиенические мероприятия
Во время выполнения производственного процесса большое значение имеет воздействие шума, света, производственных отрицательных факторов на организм человека. Необходимо провести работу по снижению загазованности в цехах, по увеличению количества шумопоглотителей, а также по улучшению санитарно-бытовых помещений и местного освещения на участках, где ведется сборка ответственных узлов. Производственная одежда должна быть чистой, удобной и отвечать требованиям гигиены и техники безопасности.
4.4 Мероприятия по технике безопасности
В электроустановках с незаземленной нейтралью источника тока должны быть сооружены заземляющие устройства и заземлены корпуса.
Основная задача защитного заземления - снизить напряжение относительно земли до безопасной величины на конструктивных частях оборудования, которые могут оказаться под напряжением. В случае пробоя изоляции напряжение не должно превышать 40В. Правильный расчет и устройство защитных заземлений имеет большое значение для безопасных условий труда на рабочем месте.
Расчет защитного заземления и определение количества металлических заземлений.
В качестве заземлений принимаем металлические трубы диаметром 50 мм, длиной 2000 мм. При этом определяется сопротивление растекания тока одной трубы по формуле:
Rр.тр=r/2p×(ln2l/d+0.5×ln4h+1/4h-l) (4.8)
где r - удельное сопротивление грунта, Ом×м;
l - длина трубы, м;
d - внешний диаметр трубы, м;
h - глубина заземления трубы, равная расстоянию от поверхности
земли до середины трубы, h=1,5 м.
Rp.тp=100/2×3,14×2(ln2×2/0,5+0,5ln4×1,5+2/4×1,5-2)=190 м.
Количество заземлений определяем по формуле:
ПЗ = Rp.тр×hс/Rд×hэ, (4.9)
где hс - коэффициент сезонности, находим по таблице для наиболее засушливого времени (июль), hс = 1,6;
Rд - допустимое сопротивление растекания тока с заземлителей, принимаем согласно ПУЭ, Rд=4 Ом;
hэ - коэффициент экранирования, принимаем hэ=0,85,
П3=19×1,6/4×0,85=8,4. Учитывая сопротивление контура заземлителя, принимаем ПЗ = 9.
4.5 Противопожарные мероприятия
Борьба с пожарами и их предупреждение могут быть эффективны только в том случае, если противопожарные правила могут выполняться всем персоналом хозяйства. Задача противопожарной службы заключается в том, чтобы размещение оборудования, организация технологического процесса и труда были выполнены строго по действующим правилам пожарной безопасности.
В целях обеспечения пожарной безопасности предлагается:
1. В соответствии с нормами СНиП-11-А-70, в АРМ предусмотрены эвакуационные выходы шириной 0,6 метров на 100 человек, двери должны открываться наружу, удаление от рабочего места до такой двери 50-100 метров в зависимости от категории работ. Согласно СНиП-11-2-80, число эвакуационных выходов следует иметь не менее двух. Здание АРМ транспортного цеха по пределам огнестойкости относится ко II категории. Кроме степени огнестойкости маршруты эвакуации, зависят от категории производства:
А - взрывоопасные: малярный участок, склад лакокрасочных материалов, склад ГСМ, ацетиленовая и газогенераторная;
Б - взрывопожароопасные: краскозаготовительное отделение;
В - пожароопасные: зона ожидания ремонта, столярный участок, посты ТО и ТР, хранения и разлива кислоты, склад резины и запчастей, участок по ремонту аппаратуры системы питания;
Г - пожароопасные: медницкий и кузнечно-рессорный участки, аккумуляторный участок;
Д - пожароопасные: мойка автомобилей, электротехнический участок, токарный участок, агрегатный участок, склады агрегатов;
Е - взрывоопасные: помещение для зарядки аккумуляторных батарей, компрессорные.
Ширину проходов к одиночным рабочим местам принимаем 0,7 метров, а при эвакуации не более 50 человек - 0,9 метра. По необходимому времени эвакуации назначаем маршрут эвакуации. Так как рабочих АРМ меньше 50 человек, то необходим 1 эвакуационный выход, но по типовому проекту предусмотрено несколько выездов и в случае возникновения пожара или чрезвычайных ситуаций эвакуация может проводится через них.
Разработанный план эвакуации с путем эвакуации работников АРМ представлен в графической части проекта на листе 3.
2. Необходимо установить в АРМ два ПК на расстоянии 40 метров друг от друга и оборудовать их рукавами требуемой длины, а на территории - пожарные гидранты. Транспортный цех ОАО «Лисма» подключен к городской системе водоснабжения.
3. Организовать периодические проверки состояния пожарной безопасности объекта, наличие и исправность средств пожаротушения и принимать необходимые меры.
4. Обеспечить производственные участки АРМ первичными средствами пожаротушения.
Условиями прекращения горения являются: охлаждение горящего вещества, прекращение доступов кислорода, химическое торможение реакции огня. К таким средствам относятся углекислые огнетушители ОУ-2, ОУ-5, ОУ-8, УП-1Е, УП-2М. Наиболее распространенными средствами пожарного инвентаря являются: ведра, ломы, багры, топоры, лопаты, асбестовая ткань и др. Для тушения небольших очагов пожара легковоспламеняющихся и горючих жидкостей, а также горючих твердых веществ и материалов применяются ручные пенные огнетушители марок: ОПБХ-10,ОП-3,ОП-5.
Расчет средств пожаротушения.
В мастерских цеха предусмотрен монтаж четырех противопожарных щитов марки ПШ-2, предусмотрены по участкам огнетушители ОП-5, два противопожарных ствола.
Расчет количества углекислых баллонов ведем для участка по ремонту электрооборудования и зарядки аккумуляторов.
h = 0,065•V, (4.10)
где V - объем помещения, где может вспыхнуть пожар, V = 98,7м3 .
h = 0,065•98,7=6,4 баллона, принимаем h=6.
Количество углекислых огнетушителей определяем в зависимости от массы заряда:
Noг=h/P, (4.11)
где Р - масса заряда огнетушителя, для ОУ-2 Р = 1,5 кг.
Nor = 6,4 / 1,5 = 4,27.
Принимаем 4 огнетушителя марки ОУ-2.
Количество пенных огнетушителей определяем следующим образом. Расчет ведем для зоны ТО и ТР.
1. Определяем производительность огнетушителя:
g=V/t, (4.12)
где V - вход пены из одного огнетушителя, л.;
t - время действия огнетушителя, с. g=60/50=1,2 л/c.
2. Определяем площадь предполагаемого пожара:
F=A×B, (4.13)
где А, В - ширина и длина предполагаемого пожара, м.
F = 6×7 = 42 м2
3. Определяем секундный расход пены:
g=Fj, (4.14)
где j - интенсивность подачи пены, j=0,3.
g=42*0,3=2,6 л/с.
4. Определяем количество огнетушителей:
n=g/go, (4.15)
n=12,6/1,2=10,5 шт.
Принимаем 11 огнетушителей марки ОХП-10.
Для остальных участков и зон менее опасных в пожарном отношении количество огнетушителей принимаем из расчета на 100 м - один огнетушитель:
Noг=F/100, (4.16)
где F - площадь остальных участков, F = 1512м .
Noг=1512/100=15,12 шт.
Принимаем 15 огнетушителей.
Количество ящиков с песком определяем из расчета один ящик емкостью 0,2 м на 200 м:
Nящ=F/200; (4.17)
Nящ= 1512/200 =7,56 шт.
Принимаем 8 ящиков.
Количество пожарных щитов с набором пожарного инвентаря по числу ящиков - 8 штук.
Расчет пожарного запаса воды. Количество воды на наружное тушение пожара находим по формуле:
Qнap=3,6×a×t×z, (4.18)
где а - расход воды для данного здания с объемов 20 тыс. м по категории «В», степенью огнестойкости II, равен 10 л/с;
t - расчетная продолжительность пожара;
z - число пожаров.
Qнap=3,6×10×3×2= 216 м.
Максимальный срок восстановления неприкосновенного запаса воды для предприятия категории «В» со II степенью огнестойкости допускается 36 часов.
4.6 Мероприятия по экологической безопасности
Необходимо повышать эффективность мер по охране природы. Шире внедрять малоотходные и безотходные технологические процессы. Развивать комбинированное и комплексное использование природных ресурсов, материалов и сырья, исключающих вредное воздействие на окружающую среду.
Санитарные нормы для предприятий предусматривают защиту окружающей среды от выделяющихся производственных вредных отходов, мусора и т.п. Для этой цели в транспортном цехе должны выполняться следующие мероприятия:
1. Отходы производства, непригодные к использованию и мусор должны вывозиться на свалку.
2. Для предупреждения загрязнения воздуха вредными газами, парами, пылью от производства установить пылеотделители, дымоотводы, фильтры в местах выброса вредных веществ.
3. Не допускать разлива горюче-смазочных материалов на территории и за ее пределами.
4. Постоянно заниматься озеленением и уборкой территории.
4.7 Мероприятия на случай возникновения чрезвычайных ситуаций
Для подготовки действий рабочих, служащих и водителей на случай возникновения чрезвычайных ситуаций необходимо:
1. Организовать класс, приобрести литературу, закрепить ответственность за должностным лицом администрации транспортного цеха.
2. Организовать курс лекций по применению средств индивидуальной защиты и порядку действия коллектива в чрезвычайной ситуации.
3. Проводить наглядную агитацию по применению средств индивидуальной защиты, по действию коллектива в чрезвычайной ситуации.
4. Для эффективной уборки с территории транспортного цеха и подъездных путей к нему от снежных заносов приобрести снегоуборочную машину.
5. На складе предусмотреть запас стройматериалов и стекла.
6. Держать в постоянной готовности пожарную машину.
4.8 Экономический эффект внедрения мероприятий по экологичности и безопасности
Проведя анализ производственного травматизма и подсчитав ущерб предприятия от несчастных случаев, внедрив запланированные мероприятия по экологичности и охране труда, можно произвести предположительный экономический эффект от внедрения мероприятий, куда включаем капитальные вложения и эксплуатационные расходы, которые определяются по формуле:
Зм = Сэ+Кв×Ен, (4.19)
где Сэ - эксплуатационные расходы на улучшение системы вентиляции;
Kв - капиталовложения на улучшение условий труда;
Ен - нормированный коэффициент эффективности капиталовложений;
Зм = 27800+34085×0,15 = 32912,7 руб.
Экономический эффект от внедрения мероприятий устанавливается по формуле:
Р=Вв×Q/100+Cy, (4.20)
где Вв - валовый доход, руб.;
Q - прирост производительности труда, %;
Су - ущерб от травматизма, руб.
Р=5753768×2 /100 = 13230,6 = 128305,96 руб.
Годовой экономический эффект:
Эг=Р-Зм; (4.21)
Эг = 128305,96 - 32912,7 = 95393,3 руб.
Срок окупаемости затрат на внедрение мероприятий по безопасности жизнедеятельности определяем по формуле:
Т=Зм/Эг; (4.22)
Т = 32912,7 / 95393,3 = 0,35 года.
ВЫВОД 4 ГЛАВЫ
Подведен анализ безопасности жизнедеятельности в транспортном цехе ОАО «Лисма».
Организованы различные мероприятия по проведению технике безопасности, противопожарной безопасности, санитарно-гигиенические мероприятия, мероприятия экологической безопасности и в случае возникновения чрезвычайных ситуаций.
5. ТЕХНИКО-ЭКОНОМИЧЕСКОЕ ОБОСНОВАНИЕ ПРОЕКТА
Предполагаемая форма организации ТО и диагностирования автомобилей позволяет улучшить в транспортном цехе процесс проведения ТО и диагностирования, снизить трудоемкость проведения ТО и диагностики за счет механизации производственных процессов.
Внедрение диагностики перед ТО позволяет заранее предупреждать неисправности и вовремя их устранять. Вследствие этого снижается количество ТР, так как увеличивается пробег автомобилей из-за качественного проведения ТО между ремонтами. Это оказывает существенное влияние на снижение себестоимости ремонта, так как требуется меньшее количество запасных частей и материалов, расходы на их приобретение уменьшаются. Производительность труда рабочих увеличивается, так как предлагаемая форма организации производственных процессов увеличивается заинтересованность в качественном проведении ТО, диагностирования и ТР автомобилей. Отсюда возрастает прибыль предприятия, рентабельностью Качественное проведение ТО обуславливает повышение коэффициента технической готовности предприятия, отсюда улучшаются технико-экономические показатели работы цеха в целом.
5.1 Годовой фонд заработной платы
Расчет технико-экономической эффективности предлагаемой технологии ТО ведется сравнением рассчитываемых показателей с имеющимися в настоящее время.
Затраты на оплату труда складываются из следующих составных частей и определяются по формуле:
Спр.т == Фопл + Сстр + Спен, (5.1)
где Фопл - фонд оплаты труда, руб.;
Сстр - затраты на социальное страхование, руб.;
Спен - отчисления в пенсионный фонд, руб.
Фонд оплаты труда определяем по формуле:
Фопл=Т × t, (5.2)
где Т - общая величина трудоемкости производственной программы, чел.ч.;
t - средняя часовая ставка рабочего, t = 10,8 руб.
Фопл то-1=8179,60*10,8=88340,33;
Фопл то-2=8787,95*10,8=94909,86;
Фопл д=3665,97*10,8=39592,48.
Затраты на социальное страхование:
Сстр = Фопл • kcтp, (5.3)
где kcтp - норматив отчислений на социальное страхование, kcтp=5,4%.
Cстр то-1=88340,33*0,054=4770,38;
Cстр то-2=94909,86*0,054=5125,13;
Cстр д=39592,48*0,054=2137,99.
Отчисления в пенсионный фонд находим по формуле:
Спен = Фопл*kпен, (5.4)
где kпен - отчисления в пенсионный фонд, kпен=28%.
Спен то-1=88340,33*0,28=24735,29;
Спен то-2=94909,86*0,28=26574,76;
Спен д=39592,48*0,28=11085,89.
Тогда по формуле (5.1) имеем:
Сспр.т то-1=88340,33+4770,38+24735,29=117846;
Сспр.т то-2=94909,86+5125,13+26574,76=126609,75;
Сспр.т д=39592,48+2137,99+11085,89=52816,36.
Спрт=297272,11.
5.2 Полная себестоимость объекта обслуживания
Полностью себестоимость объекта обслуживания определяем по формуле:
Сп = [Спр.п•(1+Ноп+Нох/100)+Сзч+Срм]•(1+Нв/100), (5.5)
где Срм - стоимость ремонтных материалов, руб.;
Сзч - стоимость запасных частей, руб.;
Нох - процент общехозяйственных расходов, Нох=13%;
Нв - процент внепроизводственных расходов, Нв=0,2%;
Ноп - процент общепроизводственных расходов, Hoп=49%;
Спр.п - полная заработная плата производственных рабочих. Полная заработная плата производственных рабочих на одно обслуживание определяется по формуле:
Спр.п = Спр.т / Nто,
где Nто - количество соответствующего вида ТО, руб.
Спр.п то-1=117846.2615=45,06 руб;
Спр.п то-2=126009,75/788=160,67 руб;
Спр.п д=52816,36/4399=12 руб.
Стоимость запасных частей определяем по формуле:
Сзч = Нзч•Lоб/Nто,
где Нзч - норма расхода запасных частей, Нзч=131,2 руб/км;
Loб - общий пробег автопарка, Loб=1617,8 тыс. км.
Стоимость ремонтных материалов определяем по формуле:
Срм = Нрм•Lоб/Nто,
где Нрм - норма расхода ремонтных материалов, Нрм=0,26 руб/км.
Затраты на запасные части и ремонтные материалы составляют на ТО - 31%, на ТР - 69%.
Сзч то-1 = 0,62•1617,8•262,2/2615=100,6 руб.;
Сзч то-2=0,62*1617,8*262,2/788=333,75 руб;
Срм то-1=0,62*1617,8*524=200 руб;
Срм то-2=0,62*1617,8*524/288=667=200 руб.
Подставляя численные данные в формулу (5.5) получим:
Спто-1=(45,06*(1+22+5,8/100+100,6+201)*(1+0,9/100)=1807,3 руб;
Спто-2=(160,7*(1+22+5,8/100)+333,75+667)*(1+0,9/100)=6360,58 руб.
5.3 Полная производственная себестоимость
С=Спр.т+Н'оп+Н'ох+Н'в, (5.6)
где H'oп - суммарные годовые затраты общепроизводственных расходов, берется 49% от Спр.т;
H'ox - суммарные годовые затраты общехозяйственных расходов, 13% от Спр.т;
Н'в - суммарные годовые затраты на внеплановые расходы, 0,2% от Спр.т.
С = 297272,11+145663,3+38645,3+594,54=482175,1 руб .
5.4 Плановая прибыль
Определяем плановую прибыль по формуле:
Ппл=0,08 • С; (5.7)
Ппл = 0,08 • 482175= 38574 руб.
5.5 Годовая экономия от снижения себестоимости
Эг = Сп.сущ - Сп.пред; (5.8)
где Сп.сущ - существующая себестоимость ТО, по данным за 2001 год.
Сп.сущ=10350420 руб.;
Сп.пред - предлагаемая себестоимость ТО.
Сп.пред= Сп то-1•N1+Сп то-2•N2;
Сп.пред =1807,3•2615+6360,58•788=9738226,5 руб.
Подставив данные в формулу (5.8) получим:
Эг=480732,8-386578,17=612194 руб.
5.6 Срок окупаемости дополнительных капитальных вложений
Определяем срок окупаемости дополнительных капиталовложений по формуле:
Т=Со/Эг,
где Со - стоимость дополнительных капиталовложений, Со=1914780 руб.
Т =1914780/612194=3,1 года.
Сравнивая расчеты новой технологии ТО с уже имеющимися, видно, что себестоимость проведения ТО снизилась. Это произошло за счет повышения уровня механизации производственных процессов, снижения трудоемкости ТО.
| № |
Наименование работ |
Сумма |
| 1 |
На расширение площадки стоянки автомобилей |
300000 |
| 2 |
Разработка гидроподъемника на базе МТЗ-82 |
80000 |
| 3' |
Дополнительное оборудование на проведение ТО-1, ТО-2 |
104780 |
| 4 |
Реконструкция цеха |
780000 |
| Итого: |
1915780 |
ВЫВОД 5 ГЛАВЫ
Рассчитаны годовой фонд заработной платы, себестоимость объекта обслуживания, плановая прибыль, годовая экономия от снижения себестоимости, срок окупаемости дополнительных капитальных вложений.
ЗАКЛЮЧЕНИЕ
В дипломном проекте проведена работа по совершенствованию организации технического обслуживания в транспортном цехе ОАО «Лисма».
В процессе выполнения дипломного проекта на основании анализа хозяйственной деятельности сделан вывод о необходимости совершенствования организации технического обслуживания автомобилей в транспортном цехе ОАО «Лисма».
В результате этой работы:
1. Произведен анализ производственной деятельности, выявлены недостатки по организации ТО и ремонта.
2. Разработана производственная программа по совершенствованию организации ТО и ремонта подвижного состава, подобрано необходимое оборудование, произведен расчет численности производственных рабочих.
3. При выполнении конструктивной части было разработано: стенд для разработки конструкций гидравлического грузоподъемника.
4. В разделе «Безопасность и экологичность» произведен анализ производственного травматизма и внесены предложения по организации безопасности жизнедеятельности, разработан план эвакуации АРМ.
5. В экономической части проекта рассчитаны технико-экономические показатели технологии технического обслуживания автомобилей.
СПИСОК ИСПОЛЬЗОВАННЫХ ИСТОЧНИКОВ
1. Верещак В.П., Абелевич Л.А. Проектирование автотранспортных предприятий. Справочник инженера. - М.: Транспорт, 1973. - 328 с.
2. Гузенков П.Г. Детали машин. - М.: Высшая школа, 1978. - 270 с.
3. Клейнер B.C., Тарасов В.В. Техническое обслуживание и ремонт автомобилей. - М.: Транспорт, 1986. - 236 с.
4. Крамаренко Г.В., Барашков Н.В. Техническое обслуживание автомобилей. М.: Транспорт, 1982. - 368 с.
5. Малышев Б.А. Справочник технолога авторемонтного производства. - М.: Транспорт, 1977. - 431 с.
6. Напольский Г.М. Технологическое проектирование автотранспортного предприятия и станций технического обслуживания. - М.: Транспорт, 1985. - 230 с.
7. Общесоюзные нормы технологического проектирования предприятий автомобильного транспорта. - М.: ЦБНТИ Минавтотранса РСФСР, 1986. - 128 с.
8. Положение о техническом обслуживании и ремонте подвижного состава автомобильного транспорта. Минавтотранс РСФСР. - М.: Транспорт, 1986. -72с.
9. Руководство по организации диагностики технического состояния подвижного состава автомобильного транспорта. - М.: Транспорт, 1976.-98 с.
10. Руководство по организации и технологии технического обслуживания грузовых автомобилей с применением диагностики для автотранспортных предприятий различной мощности: МУ-200-РСФСР-12-0139-81. На примере автомобиля ЗИЛ-130. / Минавтотранс РСФСР. - -.: ЦБНТИ Минавтотранса РСФСР, 1981. - 88 с.
11. Савельев И.В. Курс общей физики. - М.: Наука, 1988. - 596 с.
12. Специализированное технологическое оборудование. Номенклатурный каталог / Минавтотранс РСФСР. - -.: ЦБНТИ Минавтотранса РСФСР, 1968. - 185 с.
13. Суханов Б.Н., Борзых И.О., Бедарев Ю.Ф. Техническое обслуживание и ремонт автомобилей. Пособие по дипломному проектированию. - М.: Транспорт, 1991. - 159 с.
14. Технологи выполнения регламентных работ первого и второго технического обслуживания автомобиля ГАЗ-53А / Минавтотранс РСФСР. - М.: Транспорт, 1978. - 135 с.
15. Технология выполнения регламентных работ первого и второго технического обслуживания автомобиля ЗИЛ-130 / Минавтотранс РСФСР. - М.: Транспорт, 1978. - 134 с.
16. Технология выполнения регламентных работ первого и второго технического обслуживания автомобиля КамАЗ-5320 / Минавтотранс РСФСР. - М: Транспорт, 1976. - 150 с.
17. Техническая эксплуатация автомобилей / Под ред. Е.С. Кузнецова. - М.: Транспорт, 1991.
18. Кузнецов B.C. Управление технической эксплуатацией автомобилей. - М.: Транспорт, 1990.
19. Напольский Г.М. Технологическое проектирование автотранспортных предприятий и станций технического обслуживания. - М.: Транспорт, 1993.
20. Кузнецов Е.С. Техническая эксплуатация автомобилей в МША. -М.: Транспорт, 1992.
21. Кузнецов Е.С., Курников И.П. Производственная база автомобильного транспорта. Состояние и перспективы. - М.: Транспорт, 1988.
22. Положение о техническом обслуживании и ремонте подвижного состава автомобильного транспорта. - М.: Транспорт, 1986.
23. ГОСТ 12.1.04-85 Пожарная безопасность. Общие требования.
24. СНиП 2.1.02-85 Требования пожарной безопасности.
25. ГОСТ 12.0.04-90 Обучение по безопасности труда.
26. Закон об охране труда, 1999.
Приложения
| Форм |
Зона |
Поз |
Обозначение |
Наименование |
Кол. |
Примеч. |
| А1 |
Планировка производственного корпуса |
|||||
| Оборудование |
||||||
| 1 |
ПО-141 |
Установка для проверки тормозов |
1 |
|||
| 2 |
НО-379 |
Тумбочка для инструмента |
4 |
|||
| 3 |
Стол оператора |
4 |
||||
| 4 |
П-254 |
Тележка для снятия и установки колес |
4 |
|||
| 5 |
Пульт стенда |
5 |
||||
| 6 |
K1283 |
Прибор для проверки бензонасоса |
1 |
|||
| 7 |
КИ-4998 |
Стенд тормозной |
1 |
|||
| 8 |
С-413 |
Воздухораздаточная колонка |
1 |
|||
| 9 |
Силовой шкаф стенда |
1 |
||||
| 10 |
КО-75 |
Прибор для проверки свечей зажигания |
1 |
|||
| 11 |
И-148 |
Комплект инструментов |
3 |
|||
| 12 |
Пульт стенда |
1 |
||||
| 13 |
ИП-58 |
Стеллаж двухсторонний |
2 |
|||
| Форм |
Зона |
Поз |
Обозначение |
Наименование |
Кол. |
Примеч. |
| 14 |
КО-346 |
Статоскоп для проверки системы зажигания |
1 |
|||
| 15 |
КИ-4872 |
Стенд для проверки углов управления колес |
1 |
|||
| 16 |
КО-455 |
Автоэлектротестер |
1 |
|||
| 17 |
С-322 |
Стационарный солидонагнетатель |
1 |
|||
| 18 |
Пульт стенда |
1 |
||||
| 19 |
Нагрузочный реостат |
1 |
||||
| 20 |
ИП-57 |
Стеллаж для деталей |
3 |
|||
| 21 |
КИ-4856 |
Стенд тяговый |
1 |
|||
| 22 |
Н-330 |
Гайковерт колес |
2 |
|||
| 23 |
С-227-1 |
Колонка маслораздаточная |
1 |
|||
| 24 |
03-12261-01 |
Устройство для сбора отработанного газа |
2 |
|||
| 25 |
П-256 |
Тележка для АКБ |
2 |
|||
| 26 |
Ларь для ветоши |
2 |
||||
| 27 |
М-151 |
Комплект инструмента |
||||
| 28 |
П-151 |
Подъемник 12,5 т |
2 |
|||
| 29 |
С-413-М |
Устройство для накачки шин |
2 |
|||
| 30 |
М-312 |
Устройство для мойки фильтров |
1 |
|||
| 31 |
КО-381 |
Верстак |
10 |
|||
| Форм |
Зона |
Поз |
Обозначение |
Наименование |
Кол. |
Примеч. |
| 32 |
ОН-281 |
Устройство для очистки трансмиссионного масла |
2 |
|||
| 33 |
2467 |
Стенд для монтажа шин |
2 |
|||
| 34 |
БКП-63 |
Бак красконагнетательный |
1 |
|||
| 35 |
Стеллаж для краскопультов |
1 |
||||
| 36 |
Мастиковарка |
1 |
||||
| 37 |
Шкаф вытяжной для зарядки аккумуляторов |
1 |
||||
| 38 |
Приспособление для обжатия блок-пластин |
1 |
||||
| 39 |
Дистиллятор |
1 |
||||
| 40 |
Шкаф для приготовления электролита |
|||||
| 41 |
Компрессор |
2 |
||||
| 42 |
Циркулярная пила |
1 |
||||
| 43 |
Строгальный станок |
1 |
||||
| 44 |
Мостовой кран |
1 |
||||
| 45 |
Кран-балка |
1 |
||||
| 46 |
29.4948 |
Моечная машина |
1 |
|||
| 47 |
Стенд гидравлического метода испытания агрегатов |
1 |
||||
| 48 |
УМД-9000 |
Дефектоскоп |
1 |
|||
| Форм |
Зона |
Поз |
Обозначение |
Наименование |
Кол. |
Примеч. |
| 49 |
Сварочный аппарат |
1 |
||||
| 50 |
Стол газосварщика |
1 |
||||
| 51 |
Плазмотрон |
1 |
||||
| 52 |
Установка для электролитического восстановления |
1 |
||||
| 53 |
Гильотинные ножницы |
1 |
||||
| 54 |
Матрица для свертывания пластин в цилиндр |
1 |
||||
| 55 |
Установка для пластинирования деталей |
1 |
||||
| 56 |
Стол для съема навесного оборудования |
1 |
||||
| 57 |
Стенд для слива масла |
1 |
||||
| 58 |
Стол для нанесения эпоксидной композиции |
1 |
||||
| 59 |
Сушильный шкаф |
1 |
||||
| 60 |
Хонинговальный станок |
1 |
||||
| 61 |
Расточной станок |
1 |
||||
| 62 |
ЗЛ-432 |
Круглошлифовальный станок |
1 |
|||
| 63 |
4801.06.100 |
Приспособление для разборки клапанного механизма |
1 |
|||
| Форм |
Зона |
Поз |
Обозначение |
Наименование |
Кол. |
Примеч. |
| 64 |
Пресс для правки коленчатого вала |
1 |
||||
| 65 |
Стол для разборки коленчатого вала |
1 |
||||
| 66 |
Стенд для испытания водяных насосов |
1 |
||||
| 67 |
Стол для разборки водяных насосов |
1 |
||||
| 68 |
Р-144 |
Установка для осталивания деталей |
1 |
|||
| 69 |
5 |
Стол для разборки и сборки коробки передач |
1 |
|||
| 70 |
Стенд для испытания коробки передач |
1 |
||||
| 71 |
Стеллаж для запасных частей |
4 |
||||
| 72 |
Мусорный контейнер |
1 |
||||
| 73 |
Многоярусный стеллаж для запчастей |
1 |
||||
| 74 |
Устройство местного отсоса отработанных газов |
8 |
Похожие рефераты:
Техническая эксплуатация автотранспортных средств в сельском хозяйстве
Легковая автомобильная промышленность России
Повышение эксплуатационной и технической надежности автомобилей на ООО "ИГАТП"
Анализ российского рынка легковых и грузовых автомобилей
Проектирование участка технического обслуживания подвижного состава ОАО "Павловский Машзавод"
Развитие сервисного обслуживания автомобилей
Технологический проект грузового АТП на 300 автомобилей
Оценка ассортимента и конкурентоспособности автомобилей
Технологическое проектирование АТП
Организация технического обслуживания и текущего ремонта в автотранспортном предприятии
Проектирование зоны диагностики АТП
Использование автомобильного подвижного состава в ОАО "Увадрев-Холдинг"
Анализ организационно-экономических условий ОАО "Ижтрансавто"
Исследование особенностей технической эксплуатации ходовой части автомобилей "Toyota"