| Похожие рефераты | Скачать .docx |
Курсовая работа: Статистическое изучение численности населения
Содежание
Введение
1. Теоретические основы статистического изучения населения
1.1 Задачи статистики населения и источники статистических данных о населении
1.2 Система показателей статистики населения
1.3 Методы статистических исследований демографической ситуации
2. Статистический анализ демографической ситуации за 2005 - 2007 гг.
2.1 Социально-экономическое положение Курской области за 2005 - 2007 гг.
2.2 Статистическое изучение численности населения области
2.3 Статистический анализ показателей воспроизводства и динамики половозрастного состава населения области
2.4 Статистическое изучение миграции населения
3. Факторный анализ и статистическое прогнозирование показателей статистики населения
3.1 Факторный анализ показателей движения населения
3.2 Статистическое прогнозирование численности населения области
Заключение
Список использованной литературы
Приложения
Введение
В современных российских условиях, социально - экономическое развитие Курской области, как и в целом России, проходит в условиях недостаточного с точки зрения государственных интересов демографического потенциала населения. Дефицит населения - это объективная реальность, которую необходимо учитывать в государственной политике. Неслучайно Президент Российской Федерации В.В. Путин в послании Федеральному Собранию РФ 10 мая 2006 г. назвал демографическую ситуацию самой острой проблемой в России, и в этой связи была поставлена задача по ее оздоровлению в трех направлениях: снижение смертности, эффективная миграционная политика и повышение рождаемости.
Для решения этих задач необходимо не только вести учет показателей рождаемости, смертности и миграции, но и выявлять и устранять причины, негативно влияющие на них. И это особенно важно проводить на региональном уровне, поскольку каждый регион имеет свои отличительные особенности, и факторы, оказывающие сильное влияние на демографические процессы в одном регионе, могут быть несущественными для других.
Цель курсовой работы заключается в статистической оценке демографической ситуации в Курской области.
Для достижения поставленной цели предусматривается решение следующих задач:
рассмотрение источников статистических данных, основной системы статистических показателей и методов статистических исследований демографических процессов;
статистический анализ демографической ситуации;
статистическое изучение численности населения области;
анализ показателей воспроизводства населения
факторный анализ показателей движения населения,
статистическое прогнозирование численности населения.
Объектом исследования является население Курской области за период 2005 - 2007 гг.
данная курсовая работа состоит из З глав. В первой из них представлены теоретические основы изучения статистики населения, представлена система показателей и указаны основные источники статистических данных и методы, которые были использованы для статистического анализа. Вторая глава непосредственно посвящена оценке демографической ситуации области. В третьей главе представлены факторный анализ показателей движения населения, статистическое прогнозирование численности населения.
В данной курсовой работе были использованы методы демографической статистики, которая включает в себя приемы общей теории статистики, что предполагает использование системы таких методов, как, абсолютные, относительные и средние величины; динамические ряды, индексы, метод экстраполяции. В приложении к статистике населения названная система включает в себя следующие наиболее важные и поэтому распространенные в международной и национальной практике индикаторы, - общая численность на начало и конец года; среднегодовая численность населения; темпы прироста, а также абсолютные ежегодные и среднегодовые приросты этих показателей, использование метода экстраполяции и т.д.
В процессе написания курсовой работы были использованы источники следующих авторов: Г.В. Савицкой, Ефимовой М.Р., и др. данные работы составили информационную базу написания курсовой работы.
1. Теоретические основы статистического изучения населения
1.1 Задачи статистики населения и источники статистических данных о населении
Население представляет собой совокупность людей. Ее размер зависит от численности населения. Определив эту численность, мы получаем первое представление о стране.
Дальнейшее изучение населения заключается в исследовании его структуры. Однако трудность такого исследования состоит в том, что люди отличаются друг от друга множеством признаков, из которых следует выделять наиболее существенные. При этом отдельные значения этих признаков индивидуальны, что приводит к необходимости описывать каждого человека как единицу совокупности. Такое описание людей путем сбора характеристик каждой единицы совокупности и составляет особенность статистического наблюдения населения. Единицей наблюдения в статистике населения чаще всего является человек, но может быть семья или домохозяйство. Последнее в отличие от семьи может состоять из одного человека, обеспечивающего себя материально. Объектами статистического наблюдения могут быть самые разные совокупности: население в целом, трудоспособное население, безработные, пенсионеры, городское и сельское население, мужчины и женщины. [1, стр.54]
В задачи статистики населения входят определение его численности и распределения по территории страны, характеристика состава (по полу, возрасту, национальности, социальному положению, образованию, занятиям и т.д.), изучение его естественного и механического движения, социальная характеристика. Для получения полных и достоверных сведений о численности и составе населения в России используют переписи, выборочные обследования (микропереписи) и текущий учет. Основным источником информации, дающим наиболее подробные сведения о населении, является перепись.
Перепись населения научно - организованный сбор информации с целью получения данных о численности, составе и размещении населения. Она обладает рядом особенностей:
1) перепись является всеобщей для всей территории и всего населения государства, где она проводится, без исключения;
2) перепись осуществляется по единой программе;
3) информация собирается по каждому человеку в отдельности и в дальнейшем обобщается для получения сводных характеристик по всему населению;
4) в ходе переписи принят принцип самоопределения, т.е. все сведения собираются со слов опрашиваемых. Они могут указать свое фактическое состояние в браке или национальную принадлежность;
5) проведение переписи требует единства программы, единства толкования ее вопросов и ответов, единства сводки и обработки собранного материала. При этом должны выполняться правила одновременности момента регистрации, единообразия сроков и методов проведения переписи. [2, стр.112 - 113]
Программа переписи включает в себя демографические (пол, дату и место рождения, брачное состояние и т.д.), экономические (занятие, отрасль хозяйства и вид экономической деятельности, источник средств существования и т.д.), образовательные (характеристики общего или профессионального образования: число лет обучения или уровень образования, посещение учебного заведения и т.д.), а также этнические (национальность, родной язык, разговорный язык и др.) признаки. Учитывается также состав домохозяйств и семей. [3, стр.152]
Перепись проводят один раз в 10 лет в периоды наибольшей оседлости населения (осенью или зимой). Все сведения, получаемые в ходе переписи, собирают на определенную дату и определенное время - момент регистрации. Последняя перепись, проводившаяся в 2003 г., фиксировала численность, и состав населения на 0 часов 00 минут 10 октября 2002 г. Умерших до и родившихся после момента регистрации в итогах переписи не фиксировали.
В промежутках между переписями проводят так называемые микропереписи - выборочные обследования социально-демографических процессов в масштабе страны и отдельных регионов. Помимо получения обычных сведений о составе населения, микропереписи ориентированы на изучение формирования семьи, изменения рождаемости, причин миграции, жилищных условий. [4, (стр.25-28]
Различают две категория населения, учитываемые при переписи:
Наличное население это совокупность лиц, находящихся на момент переписи на данной территории. Определение его численности требует проведения дополнительных обследований населения на транспорте и существенно осложняет организацию переписей.
Постоянное население - категория населения, объединяющая людей, для которых данный населенный пункт представляет место обычного проживания в данное время, независимо от их фактического местонахождения в момент переписи
Помимо специально организуемых обследований, какими являются переписи и микропереписи, информацию о демографических процессах можно получить из данных текущего учета населения, основанного на регистрации фактов рождений, смертей и миграционных перемещений по мере их возникновения.
Текущий учет населения органами ЗАГСа был организован сразу после революции 1917 г. и в неизменном виде действует и по настоящий день. [5, стр.512]
1.2 Система показателей статистики населения
Численность и состав населения постоянно изменяются. Люди рождаются, умирают, переезжают с места на место. В результате данные переписи через некоторое время устаревают и требуют корректировки. Такую корректировку проводят на основе данных текущего учета демографических событий.10
Изменение численности населения под воздействием естественных причин (рождения и смерти) называют его естественным движением. В общем виде оно характеризует процесс воспроизводства населения данной страны. Поскольку на воспроизводство населения существенное влияние оказывает состояние в браке, показатели брачности и разводимости также относятся к показателям естественного движения населения.
Естественное движение населения характеризуется абсолютными и относительными показателями. [6, стр.124 - 126]
К абсолютным показателям относятся число родившихся (И), число умерших (М), естественный прирост (убыль) населения (IЧ - М), число заключенных браков (Б), число разводов (Р). Абсолютные числа событий получают на основе статистической обработки актов гражданского состояния, которые составляются в органах ЗАГС при регистрации рождений, смертей, браков, разводов.
для характеристики интенсивности воспроизводства населения рассчитывают относительные показатели естественного движения, позволяющие всесторонне охарактеризовать демографические процессы. Среди этих показателей выделяют три группы: общие, частные (специальные) и стандартизованные коэффициенты. Все относительные показатели выражают в промилле, т.е. в расчете на 1000 человек.
1. Общие коэффициенты естественного движения населения рассчитывают как отношение числа демографических событий к среднегодовой численности населения. К ним относят:
общий коэффициент рождаемости - отношение численности родившихся к среднегодовой численности населения независимо от пола и возраста:
К = N/S* 1000; (11)
общий коэффициент смертности - отношение общего числа умерших к среднегодовой численности населения:
K = М/S
* 1000; (1.2) ![]()
коэффициент естественного прироста населения - отношение абсолютного естественного прироста (убыли) к среднегодовой численности населения:
= (N-M) /S
* 1000; (1.3) ![]()
![]()
естественный прирост (убыль) населения (
) - показывает, на сколько число родившихся больше (меньше) числа умерших.
= N-M, (1.4) где
N - число родившихся,
М - число умерших
общий коэффициент брачности - отношение числа браков к среднегодовой численности населения:
= Б/Sср* 1000; (1.5)
общий коэффициент разводимости - отношение числа разводов к среднегодовой численности населения:
Кр = Р/Scр * 1000; (1.6)
Можно так же рассчитывать абсолютные и относительные отклонения, например для численности населения:
Абсолютное отклонение S
= S
- S
(1.7) ![]()
Относительное отклонение S
= S
/ S
(1.8);
2. Частные (специальные) коэффициенты естественного движения населения рассчитывают как отношение числа демографических событий к среднегодовой численности определенной возрастной, половой или иной группы населения, в которой эти события происходят. Частные коэффициенты также выражают в промилле.
Рождаемость характеризуется такими частными (специальными) коэффициентами, как:
специальный коэффициент рождаемости, который рассчитывают как отношение числа родившихся к среднегодовой численности женщин от 15 до 49 лет. Этот коэффициент называют также показателем фертильности, а женщин от 15 до 49 лет - фертильным контингентом;
частные коэффициенты рождаемости для отдельных возрастных групп женщин, которые рассчитывают как отношение числа родившихся за год у женщин данной возрастной группы к среднегодовой численности женщин этого возраста;
суммарный коэффициент рождаемости, который показывает, сколько в среднем детей родила бы одна женщина на протяжении ее жизни при сохранении в каждом возрасте существующего уровня рождаемости. Суммарный коэффициент может быть вычислен также как сумма частных возрастных коэффициентов рождаемости;
брутто-коэффициент воспроизводства населения, показывающим среднее число девочек, рожденных женщиной за всю ее жизнь. Его определяют умножением суммарного коэффициента рождаемости на долю девочек среди родившихся (0,49);
нетто-коэффициент рождаемости, показывающим среднее число девочек, рожденных женщиной за всю ее жизнь и доживших до возраста матери, в котором она была при рождении дочери. Его вычисляют как сумму произведений возрастных коэффициентов рождаемости на соответствующие числа живущих женщин, взятые из таблиц смертности за тот же период, умноженную на долю девочек. {7, стр.412]
Смертность характеризуется следующими частными показателями:
коэффициент младенческой смертности, характеризующим уровень смертности до одного года. Его рассчитывают как отношение числа умерших до одного года к числу родившихся живыми.
коэффициент младенческой и детской (до пяти лет) смертности, являющийся одним из основных социальных индикаторов, используемых в международных сравнениях уровня жизни населения разных стран;
частными коэффициентами смертности по отдельным возрастным группам;
коэффициенты смертности по причинам смерти;
средняя ожидаемая продолжительность предстоящей жизни населения, которая является наиболее обобщающей характеристикой современного уровня смертности во всех возрастах.
Ожидаемая продолжительность жизни при рождении - это число лет, которое в среднем предстоит прожить одному человеку из поколения родившихся при условии, что на протяжении всей жизни этого поколения уровень смертности будет таким, как в данном периоде. [8, стр.321]
3. Стандартизованные коэффициенты естественного движения населения позволяют исключить влияние различий в структуре населения при проведении сравнительного анализа демографических процессов для разных территорий или периодов времени, отстоящих друг от друга более чем на пять лет. Стандартизованные коэффициенты можно рассчитать с помощью прямого или косвенного метода.
На численность населения страны помимо естественного оказывает влияние механическое движение, т.е. территориальное перемещение, или миграция людей. Различают внутреннюю миграцию, т.е. перемещение населения внутри страны, и внешнюю, т.е. выезд за ее пределы. Внутреннюю и внешнюю миграции делят по вызывающим их причинам. При регистрации граждан в гостиницах, органах трудоустройства, а также при пересечении границы регистрируются цели прибытия в страну регион. К ним относят туризм, переезд на постоянное место жительства, деловые и частные цели, выполнение функций обслуживания.
Информационным источником о внутренней миграции служат открепительные талоны, составляемые МВД России при регистрации населения по месту прописки. Данные о миграции показывают направления и структуру миграционных потоков. На их основе можно определить привлекательность того или иного региона с точки зрения уровня жизни. В наиболее благополучные регионы, как правило, происходит интенсивный отток населения из менее благополучных. [9, стр.118]
В последние годы формирование миграционных потоков шло под влиянием политических преобразований в России и на постсоветском пространстве, вызывающих межнациональные конфликты и отток населения из зон вооруженных столкновений. На территорию РФ значительно увеличился поток беженцев и вынужденных переселенцев из стран ближнего зарубежья, как русских, так и коренного их населения.
Начиная с 1990-х гг. резко возросла численность внешних мигрантов, причем наблюдается как существенно увеличивающееся число выезжающих из страны русских, так и нелегальный въезд из-за границы иностранных граждан. [10, стр.120 - 122]
Миграция характеризуется абсолютными и относительными показателями.
К абсолютным показателям относят:
1) число прибывших, или прибытий (П);
2) число выбывших, или выбытий (В);
3) миграционный прирост (или снижение), сальдо миграции, чистая миграция (П-В);
4) объем миграции, валовая миграция, брутто-миграция (П+В).
Показатели объема миграции могут разделяться и группироваться по различным признакам (территориальным, временным, социально-демографическим, целевым). На сегодняшний день существуют два источника данных о миграции между Россией и дальним зарубежьем: данные паспортно-визовой службы и талоны статистического учета. Длительное время они весьма значительно различались, но в настоящее время после унификации их можно использовать совместно. [11, стр.114 - 115]
Поскольку показатели объема миграции зависят от численности населения соответствующей территории, для анализа миграционных процессов используют их относительные величины.
Показатели интенсивности миграции характеризуют частоту случаев перемены места жительства в совокупности населения за определенный период. Чаще всего используют общие коэффициенты интенсивности миграции за год в расчете на 1000 или 10 000 жителей. Для устранения случайных отклонений в миграционных процессах в отдельные годы вычисляют также средние коэффициенты миграции за несколько лет. Коэффициенты интенсивности могут быть рассчитаны по прибытию, выбытию, миграционному приросту, а также для различных групп населения (возрастных, половых, этнических и др.) [12, стр.45 - 47].
Коэффициенты миграции вычисляют по следующим формулам:
1) коэффициент прибытия
= (
S
) * 1000; (1.9)
2) коэффициент выбытия
= (B/S
) *1000; (1.10)
3) коэффициент миграционного прироста
= (П - В/S
) * 1000 (1.11)
4) Коэффициент интенсивности миграции
Ком (Ом/ S
) * 1000 (1.12)
Относительные показатели миграции отражают различия в миграционной подвижности населения или его различных групп на определенной территории в динамике за ряд лет. Показатели интенсивности миграции позволяют также сопоставлять эти процессы по отдельным территориям и неравнозначным периодам времени. [10, стр.96 - 97]
1.3 Методы статистических исследований демографической ситуации
Методология демографической статистики включает в себя приемы "Общей теории статистики", что предполагает использование системы таких показателей, как абсолютные, относительные и средние величины; динамические ряды. В приложении к статистике населения названная система включает в себя следующие наиболее важные и поэтому распространенные в международной и национальной практике индикаторы, - общая численность на начало и конец года; среднегодовая численность населения; темпы прироста, а также абсолютные ежегодные и среднегодовые приросты этих показателей и т.д. [I2, стр.54]
Относительным статистическим показателем является показатель, полученный путем сравнения, сопоставления абсолютных или относительных показателей в пространстве (между объектами), во времени (по одному и тому же объекту) или сравнения показателей разных свойств изучаемого объекта.
Виды средних величин различаются прежде всего тем, какое свойство, какой параметр исходной варьирующей массы индивидуальных значений признака должен быть сохранен неизменным.
Средней арифметической величиной называется такое среднее значение признака, при вычислении которого общий объем признака в совокупности сохраняется неизменным.
Ряд динамики (динамический ряд, временной ряд) представляет собой ряд расположенных в хронологической последовательности статистических величин, которые отражают развитие изучаемых явлений.
Уровни динамического ряда могут быть выражены абсолютными, средними и относительными величинами. Примером такого представления уровней ряда динамики являются данные об изменении отдельных социально-экономических показателей по Российской Федерации.
При изучении динамики явлении для характеристики особенности их развития на отдельных этапах рассчитывают производные показатели: абсолютный прирост, коэффициент роста, темп роста и прироста, абсолютное значение 1% прироста. Расчет основан на сравнении уровней ряда динамики.
В зависимости от базы сравнения различают базисные и цепные показатели динамики. Базисные показатели динамики - это результат сравнения текущих уровней с одним фиксированным уровнем, принятым за базу. Они характеризуют окончательный результат всех изменений в уровнях ряда за период от базисного до текущего уровня. Обычно за базу сравнения принимают начальный уровень динамического ряда. Цепные показатели динамики - это результат сравнения текущих уровней с непосредственно предшествующими. Они характеризуют интенсивность изменения уровней от срока к сроку.
Абсолютный прирост равен разности между текущим уровнем и уровнем более раннего периода. Интерпретацию абсолютного прироста осуществляют в тех же единицах измерения, в которых измеряют уровни ряда, с добавлением единицы времени, за которую определено изменение
Для правильной интерпретации относительных показателей динамики явлений рекомендуется рассматривать их совместно с исходными уровнями ряда. [13, стр.50]
2. Статистический анализ демографической ситуации за 2005 - 2007 гг.
2.1 Социально-экономическое положение Курской области за 2005 - 2007 гг.
Курская область была образована 13 июня 1934 года.
Территория области делится на 28 административных районов, имеется 10 городов, 23 поселка городского типа, 2801 село.
Административным центром является город Курск.
Структура по основным возрастным группам: моложе трудоспособного возраста - 19,8%; в трудоспособном возрасте - 54,7%; старше трудоспособного 25,5%.
На 1000 жителей трудоспособного возраста приходится 828 человек нетрудоспособного.
Область располагает значительным промышленным потенциалом и развитой инфраструктурой. Наибольшее значение получили электроэнергетика, черная металлургия, машиностроение, пищевая, химическая и нефтехимическая промышленности.
По объемам промышленного производства область занимает 38 место в России. Ведущее место в структуре промышленного производства занимает электроэнергетика (35%), черная металлургия (13%), машиностроение и металлообработка (14%), пищевая промышленность (11%), промышленность строительных материалов (2%), прочие отрасли (12%).
Две трети промышленной продукции дает областной центр - Курск. Здесь расположены ОАО "Курскхимволокно", ЗЛО "Курскрезинотехника", ОАО Счетмаш", ОАО "Курскагромаш", ОАО "Двадцатый подшипниковый завод", ЗАО "Завод Аккумулятор". Другие промышленные центры: Железногорск - добыча железной руды; Курчатов - производство электроэнергии (Курская АЭС)
Площадь территории Курской области составляет 30,0 тыс. км2 Плотность населения (на 1 января 2007 г) - 39,0 человека на 1 км
.
Национальная структура населения, процентов: русские - 95,9; украинцы - 1,7; другие национальности - 2,4.
В структуре валового регионального продукта в 2005 - 2007 г. г. основными видами экономической деятельности являлись: добыча полезных ископаемых; производство и распределение электроэнергии, газа и воды; сельское хозяйство, охота и лесное хозяйство; обрабатывающие производства.
В 2005 году в экономику области поступило от иностранных инвесторов 26826 тыс. долл. США.
В экономику области от иностранных инвесторов в 2007 г. поступило 23840 тыс. долл. США.
Внешнеторговый оборот области в 2005 году составил 350,1 млн. долл. США, в том числе экспорт 171,8 млн. долл. США, импорт, соответственно - 178,3 млн. долл. США.
Индекс промышленного производства в 2006 г. по сравнению с 2005 г.
составил 104,5%; по видам деятельности "добыча полезных ископаемых" - 91,7% "Обрабатывающие производства" - 106,3%; "Производство и распределение электроэнергии, газа и воды" - 11,9%.
В экономику области от иностранных инвесторов в 2006 г. поступило 4850 тыс. долл. СIIIА.
Внешнеторговый оборот области в 2006 году составил 600,2 млн. долл. США, в том числе экспорт 344,0 млн. долл. США, импорт, соответственно - 256,2 млн. долл США.
Индекс промышленного производства в 2007 г. по сравнению с 2006г. составил 106,5%; по видам деятельности "добыча полезных ископаемых" - 116,8%; "Обрабатывающие производства" - 113,7%; "Производство и
распределение электроэнергии, газа и воды" - 90,6%.
В объеме отгруженных товаров собственного производства, выполненных работ и услуг собственными силами по добыче полезных ископаемых в 2006 г. область занимает 22 место в России, по обрабатывающим производствам - 51, по производству и распределению электроэнергии, газа и воды - 28.
2.2 Статистическое изучение численности населения области
Для характеристики численности населения представим имеющиеся данные о численности населения. Представим данные из приложения А.
Таблица 2.1 - Численность населения Курской области на 2005-2007 г.
| Наименование показателей | 2005 год |
2006 год |
2007 год |
| 1. Численность населения на конец года, чел | 1184000 |
1171000 |
1157500 |
| 2. Среднегодовая численность населения, чел | 1191500 |
1177300 |
1164000 |

Рисунок 2.2 - Среднегодовая численность населения Курской области.
Как видно из приведенной таблицы среднегодовая численность населения сокращается. Найдем относительные и абсолютные отклонения среднегодовой численности населения, преобразуя именно для этого случая формулу (1.6) и (1.7) при этом можно сначала взять за базу 2005 год, а затем сравнить 2007 уже с 2006 годом.
Теперь можно узнать на сколько и во сколько раз среднегодовая численность населения и численность населения на конец года сокращаются, для этого приведем таблицу с относительным и абсолютным отклонениями.
Таблица 2.3 - Абсолютные и относительные отклонения численности населения Курской области за 2005 - 2007 г. г.
| Наименование показателя | Абсолютное отклонение, чел (2007/2005) | Относительное отклонение,% (2007/2005) | Абсолютное отклонение, чел (2007/2006) | Относительное отклонение, чел (2007/2006) |
| Среднегодовая численность население, чел. | 27500 |
97,6 |
13300 |
98,9 |
| Численность населения на конец года, чел. | 26500 |
97,7 |
13500 |
98,8 |
Таким образом, исходя из этой таблицы видно, что среднегодовая численность населения в 2007 году по сравнению с 2006 годом сократилась на 13300 человек, или на 1,1%. В 2007 году по сравнению с 2005 годом среднегодовая численность населения сократилась на 27500 человек, или на 2,4%.
Численность населения на конец года тоже сокращается. В 2007 году по сравнению с 2006 годом сократилось на 13500 человек, или на 1,2%. А в 2007 году по сравнению с 2005 годом сократилось на 2,2%.

Рисунок 2.4 - Численность населения Курской области на конец года в 2005 - 2007 гг.
Все эти процессы связаны с превышением смертности над рождаемостью и миграционными процессами.
Основная масса населения живет в городах. Рассмотрим распределение численности населения на конец года по трем крупным городам: Курску, Железногорску и Курчатову. Для этого представим таблицу распределения населения.
Таблица 2.5 - Размещение численности населения по самым крупным городам Курской области за 2005 - 2007 гг.
| Город | 2005 | 2006 | 2007 |
| Курск, тыс. чел | 409,8 | 407,8 | 405,9 |
| Железногорск, тыс. чел | 100,1 | 98,1 | 96,7 |
| Курчатов, тыс. чел | 48,7 | 47,4 | 46,6 |
Как видно из этой таблицы численность населения в городах сокращается. Проследим динамику изменения численности населения, например, в Курсе - самом крупном городе в области.
Для этого представим таблицу относительных и абсолютных отклонений.
Таблица 2.6 - Абсолютные и относительные отклонения численности населения в городе Курске за 2005 - 2007 гг.
| Наименование показателя | Абсолютное отклонение, тыс. чел (2007/2005) | Относительное отклонение,% (2007/2005) | Абсолютное отклонение, тыс. чел (2007/2006) | Относительное отклонение,% (2007/2006) |
| Численность населения на конец года, тыс. чел. | 3,9 |
99 |
1,9 |
99,5 |
Население города Курска в 2007 году по сравнению с 2006 годом уменьшилось на 1,9 тыс. чел., или на 0,5%.
Теперь рассмотрим анализ структуры населения, соотношение мужчин и женщин за последние три года с 2005 по 2007.
Таблица 2.7 - Половозрастная структура населения Курской области за 2005-2007 гг.
Пол |
2005 |
2006 |
2007 |
Абсолютное отклонение, чел 2007/2006 | Относительное отклонение,% 2007/2006 |
| Мужчины, тыс. чел. | 545,9 |
537,9 |
531,1 |
6,8 |
98,7 |
| Женщины, тыс. чел. | 653,2 |
639,6 |
639,6 |
6,4 |
99 |
В 2007 году по сравнению с 2006 уменьшилось количество и мужчин и женщин. Женщин на 6,4 тыс. чел., или на 1%, а мужчин уменьшилось на 6,8 тыс. чел., или на 1,3%.
Помимо общей оценки, проводят анализ состава населения с точПи зрения различных признаков, таких как возраст, пол, национальность, состояние в браке, уровень образования, место проживания, источники доходов, форма и вид занятости, жилищные условия.
Особенное внимание уделяют изучению возрастно-половой структуры населения.
Изменение возрастной структуры оказывает влияние на демографическую и социальную политику.
Для этого воспользуемся половозрастной таблицей из приложения Б.
Таблица 2.8 - Половозрастная структура населения Курской области.
| Число лет | 2005 | 2006 | 2007 | |||
| Мужчины, тыс. чел | Женщины, тыс. чел | Мужчины, тыс. чел | Женщины тыс. чел | Мужчины, тыс. чел | Женщины, тыс. чел | |
| 0-4 | 24,465 | 24,103 | 24,450 | 23,865 | 24,050 | 23,765 |
| 5-9 | 29,1 | 27,577 | 28,550 | 27,3 | 28,450 | 27,0 |
| 10-14 | 43,182 | 41,116 | 42365 | 41,050 | 42,265 | 41,0 |
| 15-19 | 47,988 | 48,8 | 47,450 | 48,343 | 47,100 | 38,0 |
| 20-24 | 40,170 | 41,481 | 40,158 | 40,450 | 40,058 | 40,050 |
| 25-29 | 39,987 | 41,407 | 39,687 | 41,321 | 39,437 | 40,221 |
| 30-34 | 37,329 | 39,305 | 37,015 | 39,156 | 36,215 | 39,056 |
| 35-39 | 40,259 | 42,482 | 40,550 | 42,306 | 40,150 | 42,006 |
| 40-44 | 51,865 | 52,558 | 50,465 | 51,326 | 49,815 | 50,268 |
| 45-49 | 45,753 | 51,074 | 46,153 | 51,380 | 44,253 | 50,080 |
| 50-54 | 38,658 | 42,113 | 38,136 | 41,100 | 37,036 | 41,0 |
| 55-59 | 18,090 | 25,548 | 17,492 | 23,533 | 17,096 | 23,033 |
| 60-64 | 31,503 | 46,604 | 31,005 | 46,993 | 30,305 | 45,493 |
| 65-69 | 24,618 | 37,691 | 24,462 | 37,500 | 24,062 | 37,0 |
| 70-74 | 21,419 | 42,562 | 21,136 | 42,035 | 21,036 | 42,013 |
| 75-79 | 10,273 | 31,158 | 10,086 | 31,145 | 9,986 | 31,0 |
| 80-84 | 2,811 | 13,721 | 2,5 | 12,512 | 2,350 | 12,380 |
| 85- | 1,434 | 9,216 | 1,425 | 9,1 | 1,375 | 8,9 |
Для экономического анализа наибольший интерес представляет группировка по возрасту.
С точки зрения исследования трудовых ресурсов в составе населения выделяют лиц моложе трудоспособного возраста, трудоспособного возраста и старше его. В России трудоспособньий возраст установлен для мужчин от 15 до 59 лет, для женщин от 15 до 54 лет.
Рассчитаем динамику изменения численности мужчин и женщин отдельно в возрасте, например, от 45 до 49 лет в 2007 году по сравнению с2005 годом используя преобразованную именно для этого случая формулу (1.7) и (1.8)
Таблица 2.9 Абсолютное и относительное отклонения в половозрастной структуре области за 2005-2007 г.
| Пол | Абсолютное отклонение, чел 2007/2005 | Относительное отклонение,% 2007/2005 | Абсолютное отклонение, чел 2007/2006 | Относительное отклонение,% 2007/2006 |
| Мужчины | -4500 | 90,5 | -1900 | 95,8 |
| Женщины | -994 | 98 | -1300 | 97,4 |
Таким образом, количество женщин в возрастной группе от 45 до 49 лет сократилось за 2 года на 994 человека, или на 2%.
Мужское население области сократилось на 4500 человек, или на 9,5%, что позволяет сделать вывод, мужское население области сокращается намного больше, чем женское.
Количество женщин в возрастной группе от 45 до 49 лет сократилось в 2007 году по сравнению с 2006 годом на 1300, или на 2,6%.
Мужское население области сократилось на 1900 человек, или на 4,2.
2.3 Статистический анализ показателей воспроизводства и динамики половозрастного состава населения области
Численность населения не остается неизменной. Изменение численности населения за счет рождений и смертей называют естественным движением. Разница между числом родившихся и умерших при положительном результате называется естественным приростом населения.
Как уже было сказано все показатели делятся на общие и частные показатели. Рассчитаем некоторые общие показатели и оценим демографическую ситуацию области. Возьмем данные из приложения А.
Таблица 2.10 - Численность родившихся и умерших за период 2005 - 2007 гг.
| Наименование показателей | 2005год | 2006 год | 2007 год |
| 1. Среднегодовая численность населения, чел | 1191500 | 1177300 | 1164000 |
| 2. Численность родившихся, чел | 10247 | 10596 | 10626 |
| 3. Численность умерших, чел | 23473 | 22487 | 22650 |
Как видно из приведенной таблицы, количество умерших намного численность родившихся, но чтобы лучше в этом убедиться нужно абсолютные и относительные отклонения этих двух показателей. Приведем таблицу с отклонениями для этих показателей.
Таблица 2.11 Абсолютное и относительное отклонения численности родившихся и умерших за период 2005-2007 гг. в Курской области.
| Наименование показателей | Абсолютное отклонение, чел. (2007/2005) | Относительное отклонение,% (2007/2005) | Абсолютное отклонение, чел. (2007/2006) | Относительное отклонение% (2007/2006 |
| Численность рожденных, чел | 379 | 103,6 | 30 | 100,2 |
| Численность умерших, чел | -823 | 96,4 | 163 | 100,7 |
Численность родившихся в 2007 по сравнению с 2005 годом увеличилась на 379 человек, или на 3,6%, в 2007 году по сравнению с 2006 годом она увеличилась на 30 человек, или на 0,2%.
Таким образом, если сравнивать 2007 год с 2005 годом и 2006 год с 2005 годом, то наблюдается увеличение числа родившихся.
Приведем для наглядности сначала диаграмму численности родившихся.

Рисунок 2.12 - Численность родившихся человек
Численность умерших в 2007 по сравнению с 2005 годом снизилась на 823 человек, или на 3,6%, а в 2007 году по сравнению с 2006 годом она повысилась на 163 человек, или на 0,7%.
Далее приведем для наглядности диаграмму числа умерших.

Рисунок 2.13 - Численность умерших человек за период 2005 - 2007 гг.
Для статистического анализа численности населения необходим расчет основных показателей
Рассчитаем их:
1. Общий коэффициент рождаемости (
) по формуле
= N/S
* 1000 (1.1)
Рассчитаем его за последний 2007 год.
(2007) = (1026/116400) * 1000
= 9,1![]()
В 2007 году на каждую 1000 среднегодового населения родилось примерно 9,1 человек.
2. Общий коэффициент смертности (
) по формуле
M/S
* 1000 (1.2)
Рассчитаем этот коэффициент:
(2007) = (22650/1164000) * 1000
= 19,4![]()
Итак, в 2007 году на каждую тысячу среднегодового населения приходится 19,4 человек умерших.
3. Для характеристики населения используется так же коэффициент воспроизводства населения (
) (1.3), который показывает на сколько в среднем человек увеличивается каждая 1000 человек за счет превышения рождаемости над смертностью.
= (
/R
) * 1000
(1.3)
Но перед этим необходимо рассчитать естественный прирост (убыль) населения (
) - показывает, на сколько число родившихся больше (меньше) числа умерших.
=
(1.4)
Где
N- число родившихся,
M- число умерших.
(2007) = 10626-22650=-12024 чел.
Как видно из данного расчета в регионе наблюдается превышение смертности над рождаемостью, что негативно влияет на его развитие. И, наконец, по формуле (1.3) найдем коэффициент воспроизводства населения.
(2007) = (-12024/1164000) *1000=-10,3
В число общих коэффициентов так же входят коэффициенты брачности и разводимости. для их расчета представим таблицу с имеющимися данными из приложения А.
Таблица 2.14 - Количество браков и разводов в 2005 - 2007 гг.
| Наименование показателей | 2005 год | 2006 | 2007 год |
| Число браков | 8936 | 9065 | 9205 |
| Число разводов | 5481 | 5298 | 5152 |
Приведем также для наглядности и таблицу с абсолютными и относительными отклонениями.
Таблица 2.15 - Абсолютные и относительные отклонения количества браков и разводов в 2005 - 2007 гг.
| Наименование показателей | Абсолютное отклонение, 2007/2005 | Относительное отклонение,% 2007/2005 | Абсолютное отклонение, 2007/2006 | Относительное отклонение% 2007/2006 |
| Число браков | 269 | 103 | 140 | 101,5 |
| Число разводов | -329 | 94 | -146 | 97,2 |
Из приведенной таблицы можно сразу увидеть, что количества браков в 2007 году по сравнению с 2006 и 2005 г. г увеличилось. А число разводов, наоборот, снизилось.
А количество разводов в 2007 году по сравнению с 2005 годом, наоборот, уменьшилось на 329, или на 6%.
Итак, рассчитаем сначала коэффициенты брачности по формуле:
= Б/S
* 1000, (1.5)
где
Б - число зарегистрированных браков,
S
- среднегодовая численность населения.
(2ОО7} = (92О5/1 164000) * 1 000
=7,9![]()
В среднем в 2007 году на 1000 человек среднегодового населения приходится 7,9 браков. То есть наблюдается положительная тенденция в развитии, возможно именно это повлияло на повышение рождаемости в 2007 году по сравнению с 2005 годом.
Для наглядности представим диаграмму количества браков.

Рисунок 2.16 - Количество браков в Курской области в 2005 - 2007гг.
В 2007 году по сравнению с 2005 количество браков возросло на 269, или на 3%.
Общий коэффициент разводимости отношение числа разводов к среднегодовой численности населения, который находим по формуле (1.6):
= P/S
* 1000
(1.6)
где
Р - число разводов, шт.
S
- среднегодовая численность населения.
К
(2007) = (5 152/1 164000) * 1000 = 4,4
Как известно, чем этот коэффициент меньше, тем лучше. Такую картину мы наблюдаем последние несколько лет.
В среднем в 2007 году на 1000 человек среднегодового населения приходится 4,5 разводов. То есть наблюдается положительная тенденция в развитии, возможно именно это повлияло на повышение рождаемости в 2007 году по сравнению с 2005 годом.
Для наглядности представим диаграмму количества разводов в 2005-2007г. г

Рисунок 2.17 - Количество разводов в Курской области 2005 - 2007 гг. Видно, что число разводов уменьшается.
Количество разводов в 2007 году по сравнению с 2005 годом, наоборот, уменьшилось на 329, или на б%.
Возможно, именно увеличение числа браков и уменьшение числа разводов можно связывать с увеличением числа родившихся.
Помимо общей оценки, проводят анализ состава населения с точки зрения различных признаков, таких как возраст, пол, национальность, состояние в браке, уровень образования, место проживания, источники доходов, форма и вид занятости, жилищные условия.
2.4 Статистическое изучение миграции населения
Представим небольшую таблицу распределения числа мигрантов по основным потокам передвижения в 2005 - 2007 гг., для этого воспользуемся информацией из приложения А.
Таблица 2.18 - Распределение мигрантов в 2005 - 2007 г.
| Наименование показателей | 2005 | 2006 | 2007 |
| Прибывшие тыс. чел. | 12,2 | 13,3 | 13,6 |
| Выбывшие тыс. чел | 14,2 | 14,5 | 15,1 |
Аналогично представим абсолютные и относительные отклонения миграционных процессов.
Таблица 2.19 - Абсолютные и относительные отклонения изменения численности мигрантов в 2005 - 2007 г. г
| Наименование показателей | Абсолютное отклонение, тыс. чел 2007/2005 | Относительное отклонение, тыс. чел 2007/2006 | Абсолютное отклонение, тыс. чел 2007/2006 |
Относительное отклонение, тыс. чел 2007/2006 |
| Прибывшие тыс. чел. | 1,4 | 111,4 | 0,3 | 102,2 |
| Выбывшие тыс. чел | 0,9 | 106,3 | 0,6 | 104,1 |
В 2007 году по сравнению с 2005 численность прибывших мигрантов увеличилась на 1,4 тыс., человек, или на 11,4%; в 2007 году по сравнению с 2006 годом произошло увеличение мигрантов на 0,3 тыс., человек, или на 2,2%.
В 2007 году по сравнению с 2005 численность выбывших мигрантов возросла на 0,9 тыс. человек, или на 6,3%; в 2007 году по сравнению с 2006 годом произошло увеличение мигрантов на 0,6 тыс. человек, или на 4,1%. Показатели, которые мы рассчитаем, рассчитываются для различных групп населения.
Рассчитаем некоторые коэффициенты миграции:
3) Коэффициент прибытия рассчитывается по формуле:
= (П/Sср) * 1000 (1.9)
(2007) = (13600/1164000) *1000 = 11,7
В 2007 году на каждую 1000 человек среднегодового населения прибыло в среднем 11,7 человек.
2. Коэффициент выбытия, который рассчитывается по формуле:
= (В/S
) *1000; (1.10)
К (2007) = (15100/1164000) *1000= 12,9![]()
В 2007 годах покинуло область в среднем 12,9 человек на каждую 1000 человек среднегодового населения.
3. Коэффициент миграционного прироста, по формуле
= (П-В/S
) *1000 (1.11)
(2006) = ( (13600_15100) /1164000) *1000 = - 1,3![]()
Видно, что количество выбывших из области превышает число прибывших в нее.
Приведем еще одну диаграмму для того, чтобы наглядно сравнить количество въехавших в область и количество выбывших из нее.

Рисунок 2.20 - Численность прибывших и выбывших мигрантов в 2005 - 2007 г. г
4. Коэффициент интенсивности миграции - общая численность прибывших и выбывших на 1000 человек среднегодового населения рассчитывается как
Ком = (Ом/S
) * 1000 (1.12)
Ком (2007) = (28700/11 64000) * 1000 24,6![]()
Таким образом, в область въехало и выехало приблизительно 24,6 человека на каждую тысячу среднегодового населения.
И в предыдущих годах коэффициент интенсивности растет, в основном за счет превышения численности выбывших мигрантов над численностью прибывших.
3. Факторный анализ и статистическое прогнозирование показателей статистики населения
3.1 Факторный анализ показателей движения населения
Прежде чем проводить факторный анализ показателей движения населения необходимо определить, что же все таки относится к этим показателям. Прежде всего, это показатели рождаемости, смертности, миграции населения.
Таблица 3.21 - Численность родившихся и умерших в Курской области за период 2005 - 2007 г. г.
| Наименование показателей | 2005 год | 2006 год | 2007 год |
| 1. Среднегодовая численность населения, чел. | 1191500 | 1177300 | 1164000 |
| 3. Численность умерших, чел. | 10247 | 10596 | 10626 |
| 23473 | 22487 | 22650 |
Можно использовать метод цепных подстановок для характеристики влияния на естественный прирост двух показателей: численности рожденных и численности умерших.
=N-M (1/4)
Где N- численность рожденных,
М численность умерших.
=
-
(3.13)
,
- рожденные и умершие в базисном году.
усл =
-
(3.14)
естественный прирост за счет количества рожденных в отчетном году и
количества умерших в базисном.
=
-
(3.15)
естественный прирост за счет количества родившихся и числа умерших в отчетном году.
,
- рожденные и умершие в отчетном году.
Теперь рассмотрим влияние факторов на естественный прирост в качестве базиса возьмем 2006 год, в качестве отчетного периода – 2007
= 10596-22487 = - 11891 чел.
То есть число умерших в 2006 году превышает число родившихся в том же году на 11891 человека.
усл = 10626-22487= - 11861 чел.
Число умерших в 2006 году снова превысило число рожденных в 2007 году на 11861 человека.
Посмотрим как влияет количество рожденных на естественный прирост:
ест
=
усл - ![]()
ест
= - 11861+11891 =30,
= 10626-22650 = - 12024
В 2007 году число умерших превышает число рожденных на 12024 человека. Посмотрим как влияет количество умерших на естественный прирост:
ест
=
-
усл
ест
=-12024+11861 = - 163
То есть если рассматривать влияние двух факторов численности рожденных и численности умерших - то в данном случае влияние больше оказывает второй фактор, т. к численность родившихся изменяет, а точнее увеличивает численность населения на 30 человек, а численность умерших уменьшает ее на 163 человека. Проведем факторный анализ рождаемости, преобразуя для этого формулу коэффициента рождаемости (1.1) и, выражая из нее численность родившихся
=N/Sср. * 1000 (1.1)
= N/Sср. * 1000
N = Sср * ![]()
И на основе данных преобразований определим влияние отдельных факторов, таких как средняя численность населения и коэффициент рождаемости по отдельности и вместе на число родившихся.
= Sср * ![]()
- мультипликативная модель.
Возьмем за основу расчета показатели за 2007 г. по отношению к 2006г. г. Рассмотрим влияние сначала изменения среднегодовой численности на изменение количества рожденных:
![]()
= (S
- S
) *
,
Затем рассмотрим влияние изменения коэффициента рождаемости на изменение численности родившихся:
= (
-
) * S
,
Где S
- среднегодовая численность населения,
- коэффициент рождаемости,
- численность родившихся.
= (1164000-1177300) * 0? 009 =-110
Изменение среднегодовой численности негативно влияет на число рожденных. В данном случае, изменение среднегодовой численности "сократило" число рожденных на 110 человек
= (0,00912 - 0,009) * 1164000 = 140 чел.
=
=
= 140= (-110) =30 чел.
=
-
=30= (10626-10596) =30 чел.
Итак, как видно из расчетов, на число родившихся оказывают влияние оба фактора. Но, если бы у нас был бы один фактор - изменение среднегодовой численности населения, который, как видно из расчетов, отрицательно влияет на численность рожденных, то было бы заметно уменьшение этой численности, но другой фактор - коэффициент рождаемости, который возрос за период 2006 - 2007 г. г. перекрывает негативное воздействие предыдущего фактора.
Аналогично можно рассчитать влияние коэффициента смертности и среднегодовой численности на количество умерших человек.
Для этого займемся преобразованием формулы определения коэффициента смертности:
=
* 1000 (1/2)
=
* 1000 ![]()
=
* S![]()
И так же оценим влияние факторов на число умерших.
Для начала рассмотрим влияние изменения среднегодовой численности.
![]()
= (S
- S
) *
,
А затем рассмотрим влияние коэффициента смертности
= (
-
) * S
,
![]()
= (1164000-1177300) * 0,0191=-220 чел.
= (0,0194-0,0191) * 1164000=384 чел.
= ![]()
+
=-220+383=163
=
-
= 163 = (22487-22650) =163
Если анализировать данные, то заметно, что на смертность оказывают влияние снова рассмотренные два фактора.
Но если из-за снижения среднегодовой численности, смертность снизилась на 220 чел., то вследствие изменения, а точнее увеличения коэффициента смертности, увеличение самой смертности произошло на 163 человек. То есть большее влияние в) данном случае происходит за счет второго фактора.
Можно так же рассчитать индексы постоянного, переменного составов, индекс структурных сдвигов на основе коэффициента рождаемости (
) (1.1).
= (
(
* S
)) /
S![]()
1. Индекс переменного состава среднего коэффициента рождаемости, который характеризует совместное влияние двух факторов
![]()
= (
(
* S
) /
S): (
(
*S
) /
S![]()
![]()
= (9,1*1164000) /1164000): (9*1177300/11773000) =
/
= 1,01
Таким образом, данный индекс характеризует среднее изменение коэффициента рождаемости за счет изменения средней численности населения и за счет изменения коэффициентов рождаемости в 2007 г. по сравнению с 2006 г.
Произошел рост коэффициентов рождаемости на 1% в 2007 г. по сравнению с 2006 г.
2. Индекс среднего коэффициента рождаемости постоянного состава
![]()
= (
(
*
) /
): (
(
*
) /![]()
![]()
= (9,1*1164000/1164000): (9*1164000/1164000) =1,01;
Индекс характеризует влияние только индексируемой величины.
В данном случае оказывает влияние коэффициент рождаемости, который изменился в 2007 г. по сравнению с 2006 г. на 1%.
Чтобы изучить влияние изменения структуры на изменение средней величины исчисляют индекс структурных сдвигов.
3. Индекс структурных сдвигов
![]()
= (
(
*
) /![]()
): (
(
*S
) /
S![]()
![]()
= (9*1164000/1164000): 9*117300/1177300) =1
Как видно оказывает влияние только коэффициент рождаемости.
Проведем факторный анализ показателя миграции населения, преобразуя
для этого формулу сначала формулу коэффициента прибытия населения
(1.9). 
![]()
Влияние оказывают оба фактора, один - коэффициент прибытия - положительное; другой - среднегодовая численность - отрицательное, все же большее влияние оказывает изменение в сторону роста коэффициента прибытия (с 13,3 в 2006 г. до 13,6 в 2007 г). Формула выбытия населения
= (В/S
) *1000 (1.10)

В данном случае большую роль играет снова изменение коэффициента рождаемости.
3.2 Статистическое прогнозирование численности населения области
Для экономического и социального планирования необходимо предвидеть возможную численность населения, на некоторый период вперед. Такие расчеты строят на основе гипотез относительно будущей динамики рождаемости, смертности и миграции. Их проводят разными методами в зависимости от того, что необходимо определить: общую численность населения или численность по отдельным группам. Государство нуждается в научно обоснованном прогнозировании численности населения, в принятии грамотных и продуманных экономических решений на краткосрочную и долгосрочную перспективу с учетом новых методов хозяйствования.
Существует три основных вида прогнозов в зависимости от характера применяемого метода расчета:
1) демографические прогнозы путем экстраполяции;
2) регрессионные модели динамики населения;
3) перспективные расчеты численности населения.
Рассчитаем прогнозную методику численности населения, основанную на применении данных по естественному и механическому приростам населения, взятым в динамике, и построении на их основе экстраполяционных трендов с дальнейшим расчетом тангенсальных приращений. Рассматривая применение показателей естественного прироста, считают, что численность умерших и родившихся следует учитывать не для каких либо отдельно взятых возрастных групп населения, а для общей их совокупности. Это связано с тем, что численность населения постоянно находится в динамике, увеличиваясь за счет рождаемости и уменьшаясь за счет смертности, то есть смертность и рождаемость оказывают влияние не на отдельные возрастные группы населения, а на всю его совокупность. Кроме того, на прогнозную численность населения оказывает влияние миграция. Как и в случае с показателями естественного прироста, численность прибывших; выбывших в результате механического прироста оказывает влияние не на отдельные возрастные группы населения, а на всю его совокупность. На первом этапе оценки прогнозной численности населения производится сбор статистической информации о численности родившихся и умерших, а также о численности прибывших и выбывших за определенный период. На втором этапе рассчитываются коэффициенты приращения (увеличения или уменьшения) прогнозной численности населения в результате естественного и механического приростов.
Таблица 3.22 - динамика численности населения Курской области в 1997 - 2007 гг.
| Год | Численность населения, тыс. чел | В% к предыдущему году |
| 1997 | 1283,2 | 100 |
| 1998 | 1266,4 | 98,7 |
| 1999 | 1248,6 | 98,6 |
| 2000 | 1231,1 | 98,6 |
| 2001 | 1214,5 | 98,7 |
| 2002 | 1199,1 | 98,7 |
| 2003 | 1211,9 | 101 |
| 2004 | 1206,8 | 99,5 |
| 2005 | 1191,5 | 98,7 |
| 2006 | 1177,3 | 98,8 |
| 2007 | 1164,0 | 98,9 |
Таблица 3.23 Динамика естественного прироста населения Курской области в 1997 - 2007 гг.
| Год | Родившиеся, чел | Темп рождаемости, в% | Умершие, чел | Естественный прирост, чел. | Темп роста естественного прироста, в% |
| 1997 | 12960,3 | 81,8 | 22708 | -9747,7 | 100 |
| 1998 | 10384,4 | 80,1 | 25555 | -15170,6 | 155,6 |
| 1999 | 10488,2 | 100,9 | 23348,8 | -12860,6 | 84,7 |
| 2000 | 10464,3 | 99,8 | 23,760,2 | -13295,7 | 103,3 |
| 2001 | 10687,6 | 102,1 | 23925,6 | -13238 | 99,5 |
| 2002 | 10792 | 100,9 | 23262,5 | -12470,5 | 94,2 |
| 2003 | 11310 | 104,8 | 22904,9 | -11594,9 | 92,9 |
| 2004 | 10862 | 96 | 23412 | -12550 | 108,2 |
| 2005 | 10247 | 94.3 | 23473 | -13226 | 105,3 |
| 2006 | 10596 | 103,4 | 22487 | -11891 | 89,9 |
| 2007 | 10626 | 100,2 | 22650 | -12024 | 101,1 |
Данные представлены из приложения В.
Рассмотрим модель линейного тренда рождаемости, но сначала представим таблицу.
Таблица 3.24 - Построение модели линейного тренда, характеризующего тенденцию рождаемости в Курской области в период 1997 - 2007.
| Год | Год (х) | Родившиеся, чел. (у) | (х |
(х*у) | Тренд |
| 1997 | 1 | 12960 | 1 | 12960,3 | 11316,9 |
| 1998 | 2 | 10384,4 | 4 | 20768,8 | 11224,8 |
| 1999 | 3 | 10488,2 | 9 | 31464,6 | 11132.7 |
| 2000 | 4 | 10464,3 | 16 | 41857,2 | 11040,6 |
| 2001 | 5 | 10687,6 | 25 | 53438 | 10948,6 |
| 2002 | 6 | 10792 | 36 | 64752 | 10856,4 |
| 2003 | 7 | 11310 | 49 | 79170 | 10764,3 |
| 2004 | 8 | 10862 | 64 | 86896 | 10672,2 |
| 2005 | 9 | 10247 | 81 | 92223 | 10580.1 |
| 2006 | 10 | 10596 | 100 | 105960 | 10488 |
| 2007 | 11 | 10626 | 121 | 1168886 | 10396 |
| Всего | 66 | 119417,8 | 506 | 175 8375,9 |
- |
Решив данную систему имеем: ![]()
Следователъно, модель тренда линейной функции, характеризующая тенденцию рождаемости в области в период 1997-2007 г. г., примет следующий вид:
F (х) = 11409 - 92,099*х
Таблица 3.25 - Построение модели тренда, характеризующую тенденцию смертности в Курской области в период 1997 - 2007 гг.
| Год | Год (х) | Умершие, чел. (у) | (х |
(х*у) | |
| 1997 | 1 | 23780 | 1 | 23780 | |
| 1998 | 2 | 23659 | 4 | 47318 | |
| 1999 | 3 | 23756,3 | 3 | 71268,9 | |
| 2000 | 4 | 23555 | 16 | 94220 | |
| 2001 | 5 | 23348,9 | 25 | 116744,5 | |
| 2002 | 6 | 23760,2 | 36 | 142561,2 | |
| 2003 | 7 | 23925,6 | 49 | 167479,2 | ) |
| 2004 | 8 | 23412 | 64 | 187296 | |
| 2005 | 9 | 23473 | 81 | 2112257 | |
| 2006 | 10 | 22487 | 100 | 224870 | |
| 2007 | 11 | 22650 | 121 | 249150 | |
| Всего | 66 | 257807 | 506 | 1535944,8 |

Следовательно, модель тренда линейной функщш, характеризующая тенденцию смертности в области в период 1997-2007 гг., примет следующий вид:
Е (х) = 24031,3 - 99* х.
Ломаные, характеризующие рождаемость и смертность приведены ниже.

Рисунок 3.26 - Динамика естественного прироста населения Курской области за 1997-2007 гг.
Значение угла наклона тренда, характеризующего рождаемость населения, меньше, чем значение угла наклона тренда, характеризующего смертность. Следовательно, влияние показателя естественного прироста на прогнозную оценку численности населения в области будет отрицательным.
Далее было рассчитано значение угловой разницы между трендами, характеризующими соответственно рождаемость и смертность населения:
агсtg (9471,5) = - 1,5607
агсtg (-99) = 1,57069 1
Угловая разница tg (а) составляет 0,00999 1
Теперь необходимо определить приращение численности населения от влияния механического прироста. Данные из Приложения В.
Таблица 3.27 - Количество прибывших, выбывших и сальдо миграции
| Год | Прибывшие, тыс. чел | Выбывшие, тыс. чел. | Сальдо миграции |
| 1997 | 13,3 | 14,3 | -1 |
| 1998 | 12,8 | 14,6 | -1,8 |
| 1999 | 12,4 | 15,1 | -2,7 |
| 2000 | 12,2 | 14,2 | -2 |
| 2001 | 12,1 | 15,2 | -3,1 |
| 2002 | 11,9 | 14,8 | -2,9 |
| 2003 | 11,8 | 13,3 | -1,5 |
| 2004 | 12,6 | 15,5 | -2,9 |
| 2005 | 12,2 | 14,2 | -2 |
| 2006 | 13,3 | 14,5 | -1,2 |
| 2007 | 13,6 | 15,1 | -1,5 |
Сальдо миграции является отрицательным.
Таблица 3.28 - Построение модели линейного тренда, характеризующего тенденцию числа, прибывших в Курскую область в период 1997 - 2007 гг.
| Год | Год (х) | Прибывшие, чел. (у) | (х |
(х*у) | Тренд |
| 1997 | 1 | 13300 | 1 | 13300 | 1390,8 |
| 1998 | 2 | 12800 | 4 | 25600 | 11625,3 |
| 1999 | 3 | 12400 | 9 | 49600 | 11859,8 |
| 2000 | 4 | 12200 | 16 | 48800 | 12090,3 |
| 2001 | 5 | 12100 | 25 | 60500 | 12328,8 |
| 2002 | 6 | 11900 | 36 | 71400 | 12563,3 |
| 2003 | 7 | 11800 | 49 | 82600 | 12797,8 |
| 2004 | 8 | 12600 | 64 | 100800 | 13032,3 |
| 2005 | 9 | 12200 | 81 | 199800 | 13266,8 |
| 2006 | 10 | 13300 | 100 | 133000 | 13501,3 |
| 2007 | 11 | 13600 | 121 | 149600 | 13735,8 |
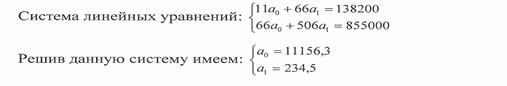
| Всего | 66 | 138200 | 506 | 855000 | - |

Следовательно, модель тренда линейной функции, характеризующая тенденцию прибывшего населения в 2004-2006 гг., примет следующий вид:
f (х) = 11156,3 +234,5*х
далее строим модель тренда, характеризующего динамику выбывшего населения из Курской области.
Таблица 3.29 - Построение модели линейного тренда, характеризующего тенденцию числа выбывших из Курской области в период 1997 - 2007 гг.
| Год | Год (х) | Выбывшие, чел. (у) | (х |
(х*у) | Тренд |
| 1997 | 1 | 14300 | 1 | 14300 | 14516,5 |
| 1998 | 2 | 14600 | 4 | 29200 | 14502 |
| 1999 | 3 | 15100 | 9 | 45300 | 14487,5 |
| 2000 | 4 | 14200 | 16 | 56800 | 14473 |
| 2001 | 5 | 15200 | 25 | 76000 | 14458,5 |
| 2002 | 6 | 14800 | 36 | 88800 | 14444 |
| 2003 | 7 | 13300 | 49 | 93100 | 14429,5 |
| 2004 | 8 | 15500 | 64 | 124000 | 14415 |
| 2005 | 9 | 14200 | 81 | 127800 | 14400,5 |
| 2006 | 10 | 14500 | 100 | 145000 | 14386 |
| 2007 | 11 | 15100 | 121 | 166100 | 14371,5 |
| Всего | 66 | 160800 | 506 | 966400 | - |


Модель тренда линейной функции, характеризующая тенденцию выбывшего населения в 1997-2007 гг., примет следующий вид:
F (х) 14531 - 14,5*х
Ломаные, характеризующие численность прибывшего и выбывшего населения
Курской области, так же соответствующие тренды представлены ниже.

Рисунок 3.30 - динамика механического прироста населения и тренды, характеризующие выбывшее и прибывшее население за 1997-2007 гг.
Проведя расчеты значений угловой разницы между трендами, характеризующими соответственно численность населения прибывшего и выбывшего населения, получаем, что tg (Ь) = 0,0 19876
Таким образом, можно рассчитать прогнозную численность населения. Рассчитаем ее на 3 года.
ЧН
= ЧН![]()
(1+0,009991-0,019876);
ЧН (2008) = 1164000 * 0,990115 = 1152494 чел.
ЧН (2009) = 1152494 * 0,990115 = 1141102 чел.
ЧН (2010) = 1141102 * 0990115 = 1129822 чел.

Рисунок 3.40 - Фактическая и прогнозная численность населения Курской области 2005 - 2010 г. г
Таким образом, рассчитали прогнозную методику численности населения, основанную на применении данных по естественному и механическому приростам населения, взятым в динамике, и построении на их основе экстраполяционных трендов с дальнейшим расчетом тангенсальных приращений. И исходя из этого, можно сделать вывод о том, что население Курской области продолжает убывать и по предварительным данным, население в 2010 году составит 1129822 человек.
Заключение
Подводя итог работы, можно сделать вывод о том, что те цели и задачи, поставленные в курсовой работе, считаются достигнутыми.
В данной работе были рассмотрены основные теоретические вопросы, которые касаются оценки демографической ситуации Курской области. Была представлена основная система показателей.
В ходе расчетов были использован ряд методов, применяемых для изучения статистики населения: абсолютные, относительные величины; показатели темпов роста и прироста; использование эктраполяционного метода.
Было выявлено, что из года в год численность населения снижается. И связано это с естественными причинами - превышением смертности над рождаемостью; и с миграционными процессами, по которым количество прибывших в данный регион меньше выбывших из него. И местное правительство должно проводить политику с учетом этих процессов
Были проведены расчеты следующих показателей:
Коэффициент рождаемости. В ходе расчетов было выявлено, что рождаемость в регионе повышается. Численность родившихся в 2007 по сравнению с 2005 годом увеличилась на 379 человек, или на 3,6%, в 2007 году по сравнению с 2006 годом она увеличилась на 30 человек, или на 0,2%. Таким образом, если сравнивать 2007 год с 2005 годом и 2006 год с 2005 годом, то наблюдается увеличение числа родившихся.
Коэффициент смертности. Как видно из рассчитанных данных, смертность в 2007 году по сравнению с 2005 годом сократилась, коэффициент смертности тоже уменьшился, но все же смертность продолжает оставаться на очень высоком уровне и намного превосходит рождаемость, Численность умерших в 2007 по сравнению с 2005 годом снизилась на 823 человек, или на 3,6%, а в 2007 году по сравнению с 2006 годом она повысилась на 163 человек, или на 0,7%.
Следующий показатель показывает, на сколько в данном случае в данном регионе смертность превышает рождаемость.
Естественный прирост (убыль населения). В регионе наблюдается естественная убыль населения. В 2007 году смертность превысила рождаемость на 12024 человек, что показывает неэффективность проводимой в регионе политики, хотя, как уже отмечалось выше смертность стала ниже, а рождаемость, наоборот, повысилась.
Коэффициенты брачности и разводимости. Число браков возросло, а число разводов уменьшилось. В среднем в 2007 году на 1000 человек среднегодового населения приходится 7,9 браков. То есть наблюдается положительная тенденция в развитии, возможно именно это повлияло на повышение рождаемости в 2007 году по сравнению с 2005 годом. В 2007 году по сравнению с 2005 количество браков возросло на 269, или на 3%. Количество разводов в 2007 году по сравнению с 2005 годом, наоборот, уменьшилось на 329, или на б%
Были так же рассчитаны показатели, характеризующие миграцию и конечном итоге. В 2007 году по сравнению с 2005 численность прибывших мигрантов увеличилась на 1,4 тыс., человек, или на 11,4%; в 2007 году по сравнению с 2006 годом произошло увеличение мигрантов на 0,3 тыс., человек, или на 2,2%.
В 2007 году по сравнению с 2005 численность выбывших мигрантов возросла на 0,9 тыс., человек, или на 6,3%; в 2007 году по сравнению с 2006 годом произошло увеличение мигрантов на 0,6 тыс, человек, или на 4,1%.
Также в данной курсовой работе был проведен прогноз численности населения методом экстраполяционных трендов на ближайшие 3 года, по которому было выявлено, что население Курской области и далее будет сокращаться из - за превышения рождаемости над смертностью и из-за превышения выбывших в регион над прибывшими. Таким образом, прогнозная численность населения в 2010 году составит 1129822 человек.
Демографическая политика в Курской области должна ориентироваться, во-первых, на снижение повозрастной смертности, особенно у мужчин, от предотвратимых с медицинской точки зрения причин и, во-вторых, на необходимость стимулирования рождений не только первых, но и вторых и даже третьих детей. А для этого органа местной власти необходимо опираться на надежные исследования, выявляющие причины, максимально воздействующие на демографические процессы. Также серьезное внимание следует уделить сохранению здоровья населения, повышению его уровня жизни, улучшению социально-экономического положения каждого гражданина области, поскольку эти компоненты тесно связаны между собой и оказывают сильное воздействие на показатели рождаемости и смертности.
Предпосылки для решения демографической проблемы должны разрабатываться в национальных программах и проектах. Меры демографической политики, независимо от того на какой элемент они будут воздействовать, должны быть согласованы между собой.
Список использованной литературы
1. Башина О.Э., А.А. Спирин. Общая теория статистики: Статистическая методология в изучении коммерческой деятельности: Учебник / Под ред.О.Э. Башиной, А.А. Спирина. - 5-е изд., доп. и перераб. - М.: Финансы и статистика, 2001. - 440С.
2. Башкатов Б.И. Социально-экономическая статистика: Учебник для вузов / Под ред. проф. Б.И. Башкатова - М.: ЮНИТИ-ДАI-IА, 2002. - 703С.
3. Борисов В.А. Демография - М.: Издательский дом NОТА - ВЕNЕ, 1999. - 272 С.
4. Гусаров В.М. Статистика: Учеб, пособие для вузов. - М.: ЮНИТИ-ДАНА, 2001. - 463 С.
5. Елисеева И.И., Юзбашев М.М. Общая теория статистики: Учебник / Под ред. чл. - корр. РАН И.И. Елисеевой. - М.: Финансы и статистика, 1995. - 368 С.
6. Ефимова М.Р., Петрова Е.В., Румянцев В.Н. Общая теория статистики: Учеб. - М.: ИНФРА-М, 1996 - 416 С.
7. Колесникова И.И. Социально-экономическая статистика: Учеб. пособие / И.И. Колесникова. - Мн.: Новое знание, 2002. - 250 с.
8. Курашева Т.А., Тарлецкая Л.В. Основы социально-экономической статистики - М.: Московский государственный институт международных отношений (университет) МИД РФ, "Российская политическая энциклопедия" (РОССПЭН), 2000. - 144 С.
9. Назаров М.Г. Курс социально-экономической статистики: Учебник для вузов / Под ред. проф. М.Г. Назарова - М.: Финстатинформ, 2002. - 976 С.
10. Савицкая Г.В. Экономический анализ: учеб. / Г.В. Савицкая. - 12-е изд., исп. и доп. М.: Новое знание, 2006. - 679 С.
11. Чернова А.В. Статистика. Учебное пособие. - Орел, Орел ГТУ, 2001. - 285 С.
12. Статистический словарь / Гл. ред. М.А. Королев. - 2 - е изд., перераб и доп. - М.: Финансы и статистика, 1999.
Приложения
Приложение А
Основные демографические показатели Курской области.
| Наименование показателей | 2005 | 2006 | 2007 |
| Численность населения на конец года, тыс. чел. | 1184 | 1171 | 1164 |
| Среднегодовая численность населения, тыс. чел | 1191,5 | 1177,3 | 11 |
| Удельный вес городского населения в общей численности на конец года, в% | 62,6 | 63,1 | 62,8 |
| Удельный вес сельского населения в общей численности на конец года, в% | 37,4 | 36, ( | 37,2 |
| Соотношение мужчин и женщин на конец года, на 1000 мужчин приходится женщин | 1201 | 1204 | 1209 |
| Число родившихся, тыс. чел | 10,247 | 10,596 | 10,626 |
| Число умерших, тыс. чел | 12,473 | 22,487 | 22,650 |
Ожидаемая продолжительность жизни при рождении, число лет Мужчины Женщины |
58,87 72,61 |
57,98 73,09 |
59,54 73,21 |
| Число браков, шт. | 8936 | 90,65 | 92,05 |
| Число разводов, шт. | 59481 | 52,98 | 5152 |
| Численность эмигрантов, тыс. чел | 14,2 | 14,5 | 13,6 |
| Численность иммигрантов, тыс. чел | 12,2 | 13,3 | 15,1 |
Приложение Б
Половозрастная структура населения
Число лет |
2005 | 2006 | 2007 | |||
| Мужчины, тыс. чел | Женщины, тыс. чел | Мужчины, тыс. чел | Женщины тыс. чел | Мужчины, тыс. чел | Женщины, тыс. чел | |
| 0-4 | 24,465 | 24,103 | 24,450 | 23,865 | 24,050 | 23,765 |
| 5-9 | 29,1 | 27,577 | 28,550 | 27,3 | 28,450 | 27,0 |
| 10-14 | 43,182 | 41,116 | 42365 | 41,050 | 42,265 | 41,0 |
| 15-19 | 47,988 | 48,8 | 47,450 | 48,343 | 47,100 | 38,0 |
| 20-24 | 40,170 | 41,481 | 40,158 | 40,450 | 40,058 | 40,050 |
| 25-29 | 39,987 | 41,407 | 39,687 | 41,321 | 39,437 | 40,221 |
| 30-34 | 37,329 | 39,305 | 37,015 | 39,156 | 36,215 | 39,056 |
| 35-39 | 40,259 | 42,482 | 40,550 | 42,306 | 40,150 | 42,006 |
| 40-44 | 51,865 | 52,558 | 50,465 | 51,326 | 49,815 | 50,268 |
| 45-49 | 45,753 | 51,074 | 46,153 | 51,380 | 44,253 | 50,080 |
| 50-54 | 38,658 | 42,113 | 38,136 | 41,100 | 37,036 | 41,0 |
| 55-59 | 18,090 | 25,548 | 17,492 | 23,533 | 17,096 | 23,033 |
| 60-64 | 31,503 | 46,604 | 31,005 | 46,993 | 30,305 | 45,493 |
| 65-69 | 24,618 | 37,691 | 24,462 | 37,500 | 24,062 | 37,0 |
| 70-74 | 21,419 | 42,562 | 21,136 | 42,035 | 21,036 | 42,013 |
| 75-79 | 10,273 | 31,158 | 10,086 | 31,145 | 9,986 | 31,0 |
| 80-84 | 2,811 | 13,721 | 2,5 | 12,512 | 2,350 | 12,380 |
| 85- | 1,434 | 9,216 | 1,425 | 9,1 | 1,375 | 8,9 |
Приложение В
Основные демографические показатели по Курской области за 1197 -2007 гг.
| Год | Численность населения, тыс. чел. | Число родившихся, тыс. чел. | Число умерших, тыс. чел | Число иммигрантов, тыс. чел. | Число эмигрантов, тыс. чел. |
| 1997 | 1283,2 | 12960,3 | 22708 | 13,3 | 14,3 |
| 1998 | 1266,4 | 10384,4 | 25555 | 12,8 | 14,6 |
| 1999 | 1248,6 | 10482,2 | 23348,8 | 12,4 | 15,1 |
| 2000 | 1231,1 | 10464,3 | 23760,2 | 12,2 | 14,2 |
| 2001 | 1214,5 | 10687,6 | 23925,6 | 12,1 | 15,2 |
| 2002 | 1199,1 | 10792 | 23262,5 | 11,9 | 14,8 |
| 003 | 1211,9 | 11310 | 22904,9 | 11,8 | 13,3 |
| 2004 | 1206,8 | 10862 | 23412 | 12,6 | 15,5 |
| 2005 | 1191,5 | 10247 | 23473 | 12,2 | 14,2 |
| 2006 | 1177,3 | 10596 | 22487 | 13,3 | 14,5 |
| 2007 | 1164,0 | 10626 | 22650 | 13,6 | 15,1 |
Похожие рефераты:
История освоения Дальнего Востока
Демографическое прогнозирование
Зависимость численности населения от экономического развития и национального состава населения
Проблема смертности и продолжительность жизни
Демографическая ситуация в стране и Саратовской области
Механическое и естественное движение населения
Воспроизводство, размещение и использование трудовых ресурсов РФ
Медико-демографическая ситуация в Воронежской области
Демографическая ситуация в мире на современном этапе
Ответы на госэкзамены по географии
Комплексная эколого-геохимическая оценка урболандшафтов Волгоградской агломерации
Уровень жизни населения России
Демографическая ситуация в Республике Бурятия
Роль внешней трудовой миграции в формировании рынка труда Ставропольского края
Проблемы использования трудовых ресурсов на примере Южного федерального округа
Государственная политика в сфере управления демографическими процессами в Чувашской Республике