| Похожие рефераты | Скачать .docx |
Курсовая работа: Механическое и естественное движение населения
Введение
1. Экономическая сущность статистики населения
1.1 Задачи статистики населения
1.2 Виды группировки населения
1.3 Понятие механического и естественного движения населения
1.4 Общая характеристика движения населения в России
2. Анализ численности населения
2.1 Методы исследования, применяемые в статистике населения
2.2 Показатели численности населения
2.3 Расчёт и анализ показателей динамики численности населения России за 2000-2005г.
2.4 Прогноз численности населения на 2007-2009 гг.
3. Назначение демографического прогнозирования
Заключение
Список литературы
Введение
Одной из важнейших проблем демографии является движение населения. Это сложный общественный процесс, затрагивающий многие социально-экономические аспекты жизни населения.
Движение изменяет структуру и численность населения. Миграционные потоки (механическое движение населения) устремляются из одних регионов и стран в другие. Миграция обеспечивает несомненные преимущества странам и регионам, принимающим рабочую силу и поставляющим ее, иногда же оказывает крайне негативное влияние на экономическое, социальное положение страны.
С миграцией населения связаны многие процессы в жизни человека: расселение, освоение новых земель, перераспределение трудовых ресурсов между городами, регионами, странами.
Естественное движение влияет на демографическую ситуацию через такие процессы как рождаемость и смертность.
Немалое внимание их регулированию и стимулированию (а иногда и ограничению) уделяют правительства стран. Их исследованием занимается целый ряд наук, таких как демография, статистика, экономика.
Цель данной работы – рассмотрение самих понятий механического и естественного движения населения, определение особенностей данного явления для России: основные тенденции, проблемы.
Задачами данной работы являются:
- Изучение демографической ситуации в России;
- Анализ выявленных проблем;
- Динамика изменения численности населения и прогноз на 2009 год.
Актуальность данной проблемы в нашей стране очень велика – в результате переписи 2003 года выяснилось, что в Российской Федерации продолжается процесс уменьшения численности населения.
Ни естественный, ни миграционный прирост не могут даже стабилизировать этот неблагоприятный для нашей страны процесс, не говоря уже о положительном приросте населения. Ситуация складывается такая, что, возможно, поддерживать хоть какой-то приемлемый уровень численности населения страны, уровень производства можно будет только благодаря интенсивному привлечению иностранной рабочей силы.
События последних десятилетий сильно изменили политическую и социальную ситуацию в России. Тем острее встает проблема механического движения населения. Миграционные потоки, слабо регулируемые из-за отсутствия продуманной законодательной базы для их ограничения, наносят большой вред государству – ухудшается криминогенная обстановка, происходит вывоз валюты за рубеж. Трудовая миграция также очень интересный вопрос на данный момент.
Именно трудовая миграция может восполнить недостаток России в человеческих ресурсах (не считая, конечно, возможной иммиграции в Российскую Федерацию из стран СНГ).
Все эти вопросы очень важны, и в данной работе будет рассмотрена нынешняя ситуация, связанная с движением населения.
Предметом изучения являются показатели рождаемости, смертности, продолжительности жизни, браков и разводов, общего движения населения и т.д.
Объектом исследования является Российская Федерация.
В работе использованы расчёты показателей рядов динамики, регрессионный анализ.
1. Экономическая сущность
1.1 Задачи статистики населения
Население, как предмет изучения в статистике, представляет собой совокупность людей, проживающих на определенной территории и непрерывно возобновляющихся за счет рождений и смертей. Население любого государства весьма неоднородно по своему составу и изменчиво во времени, поэтому закономерности развития населения, изменение его состава и многие другие характеристики должны изучаться с учетом конкретных исторических условий.
В статистике населения единицей наблюдения чаще всего является отдельный человек как индивидуум, однако может быть и семья. В 1994 году при проведении в России микропереписи населения впервые учитывалась не только семья, но и домохозяйство (как принято в международной практике). В отличие от семьи под домохозяйством понимают совместно проживающих и ведущих общее хозяйство людей (необязательно родственников). Домохозяйство, в отличие от семьи, может состоять и из одного человека, обеспечивающего себя материально.
К числу основных характеристик состава населения, значимых с точки зрения социальных процессов, относятся: образование, квалификация, занимаемая должность, профессия, принадлежность к отраслям экономики и другие. Большое значение имеет группировка населения по источникам средств существования, отношениям собственности, экономической нагрузке в семье. Социальную дифференциацию позволяют раскрыть демографические (пол, возраст, брачное состояние, состав семьи) и этнические (национальность, язык) характеристики. Для решения многих социальных задач необходимы группировки населения, объединяющие сельских жителей, горожан, жителей крупных городов.
Основным источником статистических данных являются текущий учет и единовременные наблюдения в виде сплошных или выборочных переписей. Причем первоисточником сведений о населении являются переписи. Они дают наиболее полные и точные сведения о численности населения. Текущий учет родившихся, умерших, прибывших на ту или иную территорию и выбывших с нее позволяет определить численность населения ежегодно на основе итогов последней переписи.
В переписях населения изучаются следующие вопросы:
· численность и размещение населения по территории страны, по городским и сельским типам населения, миграция населения;
· структура населения по полу, возрасту, брачному состоянию и семейному положению;
· структура населения по национальной принадлежности, родному и разговорному языку, по гражданству;
· распределение населения по уровню образования, по источникам средств существования, по отраслям народного хозяйства, по занятиям и положению в занятии;
· социальная характеристика населения;
· рождаемость;
· жилищные условия населения.
В РФ правовой базой для проведения переписей населения служат постановления правительства, специально принимаемые по представлению статистических органов за некоторое время перед каждой переписью, иногда за несколько лет, иногда – месяцев. Государственная Дума приняла проект Федерального закона «О Всероссийской переписи населения» 28 декабря 2001 года.
В промежутках между переписями для получения важных данных о демографических и социальных процессах, происходящих в обществе, проводятся обычно выборочные обследования (микропереписи населения), охватывающие 5% постоянного населения.
В публикуемых итогах переписей и микропереписей приводятся данные по стране в целом, по областям, краям, автономным республикам, городскому и сельскому населению. Таким образом, каждые пять лет обновляется информация о составе населения. Кроме того, наиболее важные характеристики исчисляют на начало каждого года межпереписного периода. Их получают путем корректировки данных переписи с учетом текущих изменений (рождений, смертей, смены места жительства).
При всей ценности этой информации существуют труднопреодолимые препятствия для ее эффективного использования. Сложность заключается в том, что имеются два автономных массива данных: 1) о составе населения; 2) о производстве и потреблении разного рода социальных услуг и предметов потребления. Отсутствует главное - их стыковка. Остается неизвестным, как ведут себя в качестве потребителей различные группы населения.
Существует только один путь к решению проблемы – проведение специальных выборочных обследований, где на индивидуальном уровне совмещались бы данные о потреблении и личных характеристиках опрашиваемых. Такой подход в государственной статистике реализуется в форме текущего обследования семейных бюджетов населения. С их помощью успешно исследуются вопросы потребления продуктов питания и некоторых других составляющих потребительского бюджета.
Кроме того, по мере необходимости проводятся единовременные обследования. Они осуществляются службами государственной статистики и иными организациями и касаются наиболее актуальных проблем потребления и развития отраслей инфраструктуры. Каких бы вопросов ни касались подобные несплошные обследования, для их организации, проведения и использования результатов нужны хотя бы общие сведения о структуре населения конкретной территории.
В качестве такой информационной базы выступают материалы переписей населения и полученные на их основе расчетные данные на годы межпереписного периода. Все данные о составе населения, предоставляемые переписями, оказываются базой социальных исследований; при этом каждая социальная проблема сопряжена со специфическим перечнем характеристик состава населения.
Со временем меняется не только состав населения, но и принципы, и методы его изучения. В настоящее время принципы статистики населения приближаются к международному стандарту.
1.2 Виды группировки населения
Такую сложную совокупность, как население, отдельные элементы которой обладают многими варьирующими признаками, невозможно изучить без распределения его на отдельные группы и подгруппы. Различного рода группировки населения дают представление о его составе по разным показателям.
Прежде всего данный процесс связан с действием общих методических принципов — типологических, структурных, аналитических. Можно отметить несколько принципов, важных при построении группировок населения:
· наиболее детальный перечень групп уместен, если данная характеристика представлена автономно, без комбинации с другими признаками (по возрасту, по профессиям с детальным перечнем профессий);
· в случае комбинационных группировок применяются укрупненные интервалы для избежания чрезмерного дробления материала;
· некоторые признаки используются как сквозные, т. е. они участвуют почти во всех комбинационных группировках со става населения. Это пол, возраст, образование, а также деление населения на городское и сельское;
· в рядах распределения значения атрибутивных признаков даются по возможности в ранжированной последовательности;
· для обеспечения сопоставимости данных сохраняются, на сколько это возможно и целесообразно, схемы группировок предыдущих переписей населения или они представлены в виде, удобном для приведения к сопоставлении путем укрупнения интервалов;
· используются единые группировки при разработке данных по разным территориям страны;
· при изменении со времени проведения предыдущей переписи административных границ какой-либо территории информация об этом дается в виде примечания, и сведения приводятся в двух вариантах — в пересчете на единые границы и в пределах границ соответствующих лет.
Среди группировок в статистике населения в первую очередь выделяются сугубо демографические, к которым относятся группировки населения по полу, возрасту, семейному положению, национальности.
Группировка населения по полу позволяет определить численность и долю мужчин и женщин в общей численности населения. Данная группировка более интересна по отдельным регионам, районам. Данные о половом составе, приведенные по территориям, дают представления о равномерном или неравномерном соотношении мужчин и женщин в отдельных регионах страны. В свою очередь, это соотношение часто зависит от производственного направления экономики района. Так, например, в районах, где преобладают такие отрасли, как угольная, нефтяная, металлургическая, доля мужчин обычно выше, чем в районах, где более развита легкая или текстильная промышленность.
Группировка по полу обязательно дается в комбинации с другими группировочными признаками (возраст, социальный статус, образование).
Группировка населения по возрасту также является одной из главных и важных в статистике населения. Возрастные интервалы обычно представлены в следующих вариантах: одногодичные, пятилетние и десятилетние. Выделяются группы лиц моложе трудоспособного возраста, трудоспособного и старше трудоспособного возраста.
Группировка по возрасту строится как для всего населения, так и для мужчин и женщин, для городского и сельского населения и т.д.
В любом государстве проживают лица разных национальностей, поэтому при разработке материалов переписей, как правило, дается распределение населения по национальному составу.
При изучении национального состава населения обычно учитывается и язык, которым пользуются отдельные национальности. Так, например, при разработке материалов микропереписи населения России в 1994 году определяли, сколько лиц из 1000 человек каждой национальности пользуется языком своей национальности и сколько – русским: дома, в учебном (дошкольном) заведении, на работе.
Важное значение в статистике населения имеет группировка населения по семейному состоянию.
Материалы переписей по этому вопросу могут разрабатываться по-разному. Иногда просто определяют число лиц, состоящих и не состоящих в браке. При таком делении последняя группа объединяет и овдовевших, и разведенных, и тех, кто еще не вступал в брак, т. е. эта группа весьма неоднородна по своему составу. Более полное и правильное представление о семейном состоянии дает группировка, при которой выделяются лица: никогда не состоявшие в браке, состоящие в браке (из них в зарегистрированном и в незарегистрированном), овдовевшие, разведенные, разошедшиеся. Эти подгруппы выделяются отдельно для мужчин и женщин разных возрастных групп, начиная с 16 лет.
Помимо перечисленных выше сугубо демографических группировок, в статистике разрабатывается целый ряд группировок по другим показателям как для всего населения в целом, так и для отдельных его контингентов.
Так, среди лиц трудоспособного возраста определяют прежде всего численность занятых в экономике и безработных.
Важное значение имеет группировка населения по источникам средств существования. На основе данной группировки в советской статистике строилась и группировка населения по социальному статусу, в которой с 1939 года выделялись следующие социальные группы: рабочие и служащие; колхозное крестьянство и кооперированные кустари; крестьяне-единоличники и некооперированные кустари. Эта группировка охватывала все население.
В условиях перехода к рыночным отношениям такая группировка населения по социальному статусу, естественно, не может считаться достаточной. Она дорабатывается, и в настоящее время в официальном статистическом ежегоднике эти данные не публикуются.
При разработке материалов переписи населения большое внимание уделяется характеристике уровня образования всего населения и занятого. В итогах переписей дается распределение всего (в возрасте 15 лет и старше) и занятого по следующим группам уровня образования: высшее, незаконченное высшее, среднее специальное, среднее общее, неполное среднее.
Население по уровню образования распределяется отдельно для городского и сельского населения, для мужчин и женщин, для отдельных национальностей, для занятого населения, для отдельных отраслей экономики и занятий.
1.3 Понятие механического и естественного движения населения
Под естественным движением населения понимают демографические события, влияющие на численность населения естественным путем. К числу таких событий относятся рождения, смерти, браки и разводы.
Естественное движение также можно определить как природный регулятор биологического процесса всего живого на Земле, в том числе и человека, проявляющейся через такие показатели, как рождаемость, смертность, естественный прирост (определяется разницей между рождаемостью и смертностью).
Эти показатели определяют общую численность населения страны в целом. В разрезе отдельных регионов естественный и механический приросты могут по-разному влиять на изменение общей численности населения страны и территории. Как правило, в районах пионерного освоения механический приток на начальной стадии формирования промышленных узлов, территориально-производственных комплексов играют большую роль, чем естественный прирост в изменении численности населения. В старопромышленных районах главенствующую роль играет естественный прирост.
Среди факторов, определяющих рождаемость и смертность, выделяют следующие:
1) Половозрастная структура населения.
2) Браки и разводы.
3) Региональные и национальные традиции.
4) Уровень жизни населения:
– денежные доходы и расходы населения;
– производство товаров народного потребления;
– обеспеченность постоянной работой;
– развитие системы здравоохранения;
– обеспеченность жильем;
– уровень образования.
5) Экологическая обстановка.
6) Способность к деторождению.
Перечисленные факторы рассматриваются во времени и пространстве. Степень их влияния различна.
Под механическим движением населения понимается миграция населения, как добровольная, так и вынужденная.
В широком смысле под миграцией (от лат. migratio – переселение) понимают любое территориальное перемещение людей.
В узком смысле миграция – перемещение людей через границы тех или иных территорий с переменой места жительства навсегда или на более или менее длительное время. Лица, принимающие участие в миграционном движении населения называются мигрантами.
При анализе миграции населения ее классифицируют по ряду признаков:
1. В зависимости от характера пересечения границ:
1) Внутренняя – в пределах одной страны между административными или экономико-географическими районами, населенными пунктами (миграция из города в город, из села в село, из города в село, из села в город).
2) Внешняя – связана с пересечением государственной границы. Внешняя миграция включает эмиграцию и иммиграцию.
Эмиграция (от лат. emigro - выселяюсь, переселяюсь), переселение (добровольное или вынужденное, самотечное или организованное) в другую страну на постоянное или временное (на длительный срок) проживание, в большинстве случаев с изменением гражданства.
Иммиграция (от лат. immigro - вселяюсь), въезд (вселение) в страну на постоянное или временное (как правило, длительное) проживание граждан другой страны, большей частью с получением нового гражданства.
Также внешнюю миграцию можно разделить на внутриконтинентальную и межконтинентальную.
2. В зависимости от временных признаков:
1) Постоянная.
2) Временная.
3) Сезонная – временные, ежегодные перемещения людей (например, летняя миграция в курортные районы).
4) Маятниковая – регулярные перемещения населения из одного населенного пункта в другой на работу или учебу и обратно.
3. Классификация по формам реализации:
1) Организованная.
2) Стихийная.
4. В зависимости от характера причин миграции:
1) Политическая.
2) Экономическая.
3) Социальная.
5. В зависимости от мер, предпринимаемых со стороны государства
1) Добровольная.
2) Принудительная (вынужденная) – перемещение людей, происходящие по независящим от них причинам.
Наибольшее влияние на развитие общества оказывает миграция рабочей силы. Она охватывает население в трудоспособном возрасте и иногда называется трудовой миграцией.
Говоря о миграции, нельзя не упомянуть "Утечку умов". Данный термин получил распространение в нашей стране сравнительно недавно. "Утечка умов" - это комплексный процесс, относящийся к различным отраслям науки: демографии, социологии, экономике, геополитике.
Миграция специалистов имеет отличные от миграции неквалифицированных рабочих последствия для стран. Миграция неквалифицированных рабочих достаточно благоприятна для страны-донора, так как позволяет уменьшить безработицу и связанные с ней социальные издержки и расходы, а также эмигранты, пересылая часть заработка на родину или привозя его домой по возращении, снабжают тем самым отечественную экономику валютными ресурсами.
При эмиграции ученых и специалистов, квалифицированных рабочих и инженерно-технического персонала страна-донор оказывается в проигрыше. Она теряет все капитальные затраты, вложенные в подготовку этих кадров. Отечественный рынок теряет свою интеллектуальную элиту, творческий потенциал.
Среди эмигрантов преобладают молодые люди в возрасте от 30 до 40 лет, с одной стороны, уже проявившие себя как неординарные исследователи и разработчики, а с другой стороны, имеющие возрастной резерв для реализации творческих возможностей. Они составляют более 50% от всех выезжающих лиц этого контингента. К тому же, молодые люди, предполагающие возможность выезда из России для повышения образования и квалификации, часто откладывают рождение детей, что ведет, естественно, к снижению рождаемости.
Специальности, обладатели которых имеют лучшие шансы на благополучное устройство за рубежом (%):
· Физики 68
· Математики 60
· Специалисты по вычислительной технике 46
· Программисты 42
· Генетики 24
· Химики 23
· Биологи 19
· Врачи 10
· Филологи 7
· Юристы 5
· Философы и социологи 3
· Экономисты 1
В России пока не существует эффективного законодательства, регулирующего отношения интеллектуальной собственности. По этой причине за рубеж утекло немало изобретений и специалистов. Только по официальным данным, которыми располагает Министерство науки и технологий РФ, около 8 тыс. российских ученых работают более чем в 40 научных программах Пентагона и Министерства энергетики США. При этом используется российское оборудование, а также результаты интеллектуальной деятельности, полученные в предшествующие годы.
На миграцию оказывает влияние множество факторов. Факторы миграции – это совокупность объективных и субъективных причин, влияющих на принятие решения о миграции. В современных условиях наиболее распространена классификация, разграничивающая факторы миграции на причины экономического и неэкономического характера. Оценка целесообразности миграции зависит от индивидуальных характеристик мигрантов, от региональных факторов, национальной
политики страны происхождения, от соответствующих характеристик страны назначения, сравнивая которые человек принимает решение о миграции, действуя под влиянием социальной среды, в которой он трудится.
Важнейшая социально-экономическая функция миграции населения - обеспечение подвижности населения, его территориального перераспределения. Она способствует более полному использованию рабочей силы, росту производства.
В то же время миграция населения оказывает существенное влияние на сбалансированность рынка труда, изменяет экономическое и социальное положение населения, нередко сопровождается ростом образовательной и профессиональной подготовки, расширением потребностей участвующих в миграции людей.
Массовый приток мигрантов может быть причиной роста безработицы, сильного давления на социальную инфраструктуру. Органы местного самоуправления не всегда могут справиться с притоком людей, возникают проблемы с жильем, здравоохранением, да и криминальная ситуация может измениться не в лучшую сторону. Так миграция влияет на уровень жизни коренных жителей.
Говоря о миграции, нельзя не упомянуть такую категорию населения как беженцы . Вынужденная миграция – одна из проблем современности. По данным ООН, к началу 2005 года в мире насчитывалось около 20 миллионов беженцев. Участие в решении этой проблемы принимают национальные правительства, международные и межправительственных, а также неправительственные организации.
Федеральный закон «О беженцах» дает следующее определение слова «беженец» — это лицо, которое не является гражданином Российской Федерации и которое в силу вполне обоснованных опасений стать жертвой преследований по признаку расы, вероисповедания, гражданства, национальности, принадлежности к определенной социальной группе или политических убеждений находится вне страны своей гражданской принадлежности и не может пользоваться защитой этой страны или не желает пользоваться такой защитой вследствие таких опасений; или, не имея определенного гражданства и находясь вне страны своего прежнего обычного местожительства в результате подобных событий, не может или не желает вернуться в нее вследствие таких опасений.
Неоднородность беженцев предполагает деление их на две группы:
1. Временные транзитные, предполагающие вернуться в места прежнего проживания.
2. Безвозвратные, предполагающие поселение на территории России.
Вынужденный переселенец – это гражданин Российской Федерации, покинувший место жительства вследствие совершенного в отношении его или членов его семьи насилия или преследования в иных формах либо вследствие реальной опасности подвергнуться преследованию по признаку расовой или национальной принадлежности, вероисповедания, языка, а также по признаку принадлежности к определенной социальной группе или политических убеждений, ставших поводами для проведения враждебных кампаний в отношении конкретного лица или группы лиц, массовых нарушений общественного порядка.
Вынужденным переселенцем может быть признан и иностранный гражданин, либо лицо без гражданства, постоянно проживающее на законных основаниях на территории России.
1.4 Общая характеристика движения населения в России
По численности населения Россия занимает седьмое место в мире. В нашей стране на 2008 год проживало 142,008 млн. человек. Причем за 19 лет, прошедших с момента переписи 1989 года, численность населения сократилась на 5 млн. человек (в том числе в городских поселениях - на 4,2 млн. человек, в сельской местности - на 0,8 млн. человек).
Проанализируем движение населения, опираясь на данные Демографического ежегодника России за 2003 год.
Естественная убыль населения на 75% восполняется миграцией, по ее объему Россия находится на третьем месте в мире. По данному показателю мы уступаем лишь США и Германии. Подавляющее большинство (три четверти) мигрантов - это русскоязычное население из стран СНГ.
Соотношение городского и сельского населения в РФ сохранилось на уровне 1989 года и составило 73% к 27%. Причем примерно пятая часть горожан проживает в городах-миллионерах, их в России 13.
80% населения России - 116 млн. человек - русские. Шесть народов преодолели миллионный рубеж: татары, украинцы, чеченцы, башкиры, чуваши и армяне.
В целом (рис.12-18 Приложения) эксперты демографическую ситуацию в стране как благополучную. Граждан трудоспособного возраста насчитывается 89 млн. При этом младше трудоспособного возраста - 26,3 млн., а старше - 29,8 млн. К 2010 году, по прогнозам специалистов, численность населения сократится до 138 млн. человек, причем численный уровень трудоспособного населения упадет ниже критической отметки.
Количество незарегистрированных браков по сравнению с предыдущей переписью увеличилось в два раза – с 5% до 10%. В таких семьях проживает более трети всех детей. Средний возраст отца увеличился до 26,2 лет, а матери - до 25,5, при этом если раньше на одну женщину приходилось два ребенка, то теперь лишь 1,3.
На 40% выросло число людей, никогда не состоявших в браке или разведенных. Количество расторгнутых браков составляет 800 тыс. в год против 583 тыс. в 1989 году. Более трети браков распадаются, просуществовав менее пяти лет.
Согласно данным переписи, в России живет 67,6 млн. мужчин и 77,6 млн. женщин, то есть на 1 тыс. мужчин приходится 1147 женщин (в 1989 году - 1140). Преобладание численности женщин начинается с 33-летнего возраста, средний возраст составил 37,7 года.
Основная причина сокращения численности россиян - устойчивая естественная убыль населения [1] .
Тенденция к естественной убыли населения[2] вызывает серьезные опасения. Чтобы страна не опасалась за свое будущее, на каждую женщину должно приходиться не менее двух с половиной детей. В России этот показатель в 2 раза меньше.
В результате превышения числа умерших над числом родившихся население России уменьшилось за 1992-2003 годы на 9,6 миллиона человек, или на 6,4%, (для примера, за 1980-1991 годы - напротив, увеличилось в результате превышения числа родившихся над числом умерших на 8,4 миллиона человек, то есть на 6,1%).
Миграционный прирост в России был особенно интенсивным в середине 1990-х годов, но даже в это время естественная убыль не была компенсирована полностью.
За весь период убыли населения зарегистрированный миграционный прирост составил 3,5 миллиона человек, то есть 2,3% (за период с 1980 по1991 годы - 2,0 миллиона человек, или 1,5%).
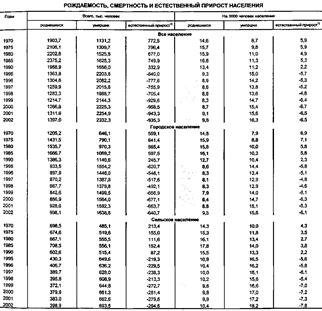
Естественная убыль в конце 1990-х годов усилилась. В 2000 году она достигла 953,7 тысячи человек, что составляет -6,6 на 1000 человек постоянного населения. К 2003 году естественная убыль сократилась до 887,1 тысячи человек[3] , в 2001 году - на 10,4 тысячи человек (1,1%), в 2002 году - на 8,5 тысячи человек (0,9%), в 2003 году - на 48,2 тысячи человек, то есть 5,2%!
Однако после незначительного повышения в 2002 году возобновилась тенденция сокращения миграционного прироста населения.
В 2001 году он составил 72,3 тысячи человек, или 0,5 на 1000 населения (213,6 тысячи человек (1,5 на 1000 населения) в предыдущем, 2000 году). Ниже этого миграционный прирост населения России за последние 27 лет (до этого Россия теряла население в миграционном обмене с союзными республиками) был только в 1991 (51,6 тыс. человек) и 1980 (63,4 тыс. человек, соответственно) годах.
В 2002 году миграционный прирост, правда, немного увеличился, составив 77,9 тысячи человек, (0,54 в расчете на 1000 человек населения), но для 2003 года оказалось характерным быстрое сокращение регистрируемого миграционного прироста населения. Он сократился в 2,2 раза, составив 35,1 тысячи человек, то есть 0,25 на 1000 человек. (Данные за январь-февраль 2003 года представлены в таблице 1 приложения).
Тенденции изменения численности населения российских регионов[4] по-прежнему очень неоднородны[5] :
В одних регионах население растет за счет как естественного, так и миграционного прироста (Ненецкий, Ханты-Мансийский, Ямало-Ненецкий), во многих же других сокращается в результате и естественной убыли, и миграционного оттока.
Для некоторых регионов (республики Саха (Якутия), Тыва, Дагестан, Кабардино-Балкария, Калмыкия; Чукотский, Эвенкийский автономные округа) при сохранении естественного прироста характерен миграционный отток населения. В большинстве же европейских регионов миграционный приток в той или иной степени компенсирует естественную убыль населения.
В 2003 году естественный прирост отмечался лишь в 16 российских регионов. Наиболее высоким он был в Чеченской Республике (1,9%), а также в республиках Ингушетия и Дагестан (по 1,1%), в остальных же регионах естественный прирост составил 0,8% и ниже.
В 41 регионе интенсивность естественной убыли населения превысила средний по России уровень, - причем в 16 из них она превышала 1%, а в Псковской, Тульской, Тверской и Новгородской областях - 1,4%.
Наиболее высоким в прошедшем году миграционный прирост оказался в Московской и Ленинградской областях (0,9% и 0,8% соответственно). Третье место в данной классификации занимает Белгородская область (0,7%), далее следуют Москва (около 0,5%) и Ханты-Мансийский автономный округ (0,4%).
Миграционный отток оказался свойственен Чукотской (3,5%), Магаданской области, Таймырскому и Эвенкийскому автономным округам (В последних он составил 1,2%, 1,9%).
Всего за 2003 год было зарегистрировано 129,1 тысячи иммигрантов, тогда как в 2002 году этот показатель составил 184,6 тысячи человек. То есть в 2003 году в Россию прибыло на 55,5 тысячи человек (на 30,0%) меньше, чем в 2002. В основном это выходцы из стран СНГ и Балтии (более 94%).
За пределы страны в 2003 году выехало 94,0 тысячи человек, что на 12,7 тысячи человек, или на 11,9% меньше, чем в 2002 году (в 2002 году количество эмигрантов было равным 106,7 тысячам человек).
Число эмигрантов из России, направляющихся за пределы стран СНГ и Балтии, в последние годы сравнялось с числом выбывающих в страны СНГ и Балтии[6] .
Об интенсивности межрегиональной миграции можно судить по числу прибывших и выбывших в расчете на 1000 человек населения.
В 51 регионе интенсивность въезда в 2003 году была выше, чем в среднем по стране - 14,9 на 1000 населения. Наиболее высокой (30 въехавших на 1000 населения) она была в Магаданской и Амурской областях, Ямало-Ненецком, Ханты-Мансийском и Чукотском автономных округах, в Республике Хакасия.
Эти же регионы отличались высокими показатели выбытия. Самое высокое число выбывших (более 60 выехавших на 1000 населения) было зарегистрировано в Чукотском автономном округе. В Магаданской области оно приблизилось к 50, в Республике Калмыкии, Таймырском и Корякском автономных округах, Амурской области – 32-34, в Республике Хакасии, Ямало-Ненецком автономном округе и республике Саха (Якутия) – около 28.
Интенсивность внутренней миграции в 2003 году немного увеличилась[7] . Число мигрантов, перемещавшихся в пределах России, составило 2039,0 тысячи человек, что на 21,7 тысячи человек, или на 1,1% больше, чем в 2002 году.
Внутренние перемещения в большей степени сохраняют сезонный характер, по сравнению с внешней миграцией. Наибольшее число регистрируемых перемещений приходится на сентябрь-октябрь, наименьшее – на май[8] .
2. Анализ численности населения
2.1 Методы исследования, применяемые в статистике населения
Со временем меняется не только состав населения, но и принципы, и методы его изучения. В середине 90-х гг. радикально изменена социально-классовая группировка населения. Многие годы в нашей стране был принят следующий перечень основных общественных групп: рабочие, служащие и колхозники. В настоящее время за основу группировки берется признак "положение в занятии" (работа по найму, член кооператива, работодатель и т. д.), что в большей степени соответствует международной практике и прежнему опыту российской статистики. Например, при разработке итогов переписи населения 1926 г. выделялись группы: рабочих, служащих, хозяев с наемными рабочими, хозяев без наемных рабочих, лиц свободных профессий, безработных, пенсионеров и др.
Метод в самом общем понимании означает способ достижения цели, регулирования деятельности. Метод конкретной науки – совокупность приемов теоретического и практического познания действительности. Для самостоятельной науки обязательно не только наличие особого от других наук предмета исследования, но и существования своих собственных методов изучения этого предмета. Совокупность методов исследования применяемых в какой-либо науке, составляет методологию этой науки.
Поскольку статистика населения является отраслевой статистикой, то основой ее методологии служит статистическая методология.
Важнейший метод, включенный в статистическую методологию – получение информации об изучаемых процессах и явлениях – статистическое наблюдение . Оно служит основой для сбора данных как в текущей статистике, так и при проведении переписей, монографического и выборочного изучения населения. Здесь полное использование положений теоретической статистики об установлении объекта единицы наблюдения, введении понятий о дате и моменте регистрации, программе, организационных вопросах наблюдения, систематизации и публикации его итогов. В статистической методологии заложен и принцип самостоятельности отнесения каждого переписываемого лица к определенной группе – принцип самоопределения.
Следующий этап статистического изучения социально-экономических явлений – определение их структуры, т.е. выделение частей и элементов, составляющих совокупность. Речь идет о методе группировок и классификаций, которые в статистике населения получили название типологических и структурных.
Для познания структуры населения необходимо прежде всего выделение признака группировки и классификации. Любой признак подвергшийся наблюдению, может служить и группировочнным. Например по вопросу об отношении к лицу, записанному в переписном листе первым, можно определить структуру переписываемого населения, где представляется вероятным выделить значительное число групп. Этот признак является атрибутивным, поэтому при разработке по нему переписных листов необходимо составить заранее перечень нужных для анализа классификаций (группировок по атрибутивным признакам). При составлении классификаций с большим числом атрибутивных записей заранее обосновывается отнесение к определенным группам. Так, по своему занятию население делится на несколько тысяч видов, которые статистика сводит в определенные классы, что фиксируется в так называемом словаре занятий.
При изучении структуры по количественным признакам возникает возможность использования таких статистических обобщающих показателей, как средняя, мода и медиана, меры расстояния или показателей вариации для характеристики разных параметров населения. Рассматриваемые структуры явлений служит основой изучения связи в них. В теории статистики различаются функциональные и статистические связи. Изучение последних невозможно без разделения совокупности на группы и затем сравнения величины результативного признака.
Группировка по факторному признаку и сопоставление с изменениями признака результативного позволяет установить направление связи: прямая она или обратная, а так же дать представление о ее форме ломаной регрессии . Данные группировки позволяют построить систему уравнений, необходимую для нахождения параметров уравнения регрессии и определения тесноты связи при помощи расчета коэффициентов корреляции. Группировки и классификации служат основой для использования дисперсионного анализа связей между показателями движения населения и факторами, их вызывающими.
Широкое использование находят в изучении населения статистические методы исследования динамики , графическое изучение явлений , индексный , выборочный и балансовый . Можно сказать, что статистика населения использует для изучения своего объекта весь арсенал статистических методов и примеров. Кроме того применяются и методы разработанные только для изучения населения. Это методы реального поколения (когорт) и условного поколения . Первый позволяет рассмотреть изменения в естественном движении ровесников (родившихся в одном году) – продольный анализ; второй рассматривает естественное движение сверстников (живущих в одно и то же время) – поперечный анализ.
Интересно применение средних и индексов при учете особенностей и сравнении процессов, происходящих в населении, когда условия для сопоставления данных не равны между собой. Используя различное взвешивание при расчете обобщающих средних величин, разработан метод стандартизации, позволяющий элиминировать влияние разных возрастных характеристик населения.
Теория вероятностей как математическая наука изучает свойства объективного мира при помощи абстракций , суть которых состоит в полном отвлечении от качественной определенности и в выделении их количественной стороны. Абстрагирование – есть процесс мысленного отвлечения от многих сторон свойств предметов и одновременно процесс выделения, вычленения каких-либо интересующих нас сторон, свойств и отношений изучаемых предметов. Применение абстрактных математических методов в статистике населения дает возможность статистического моделирования , происходящих в населении процессов. Потребность в моделировании возникает в случае невозможности исследования самого объекта. Наибольшее число моделей применяемых в статистике населения, разработано для характеристики его динамики. Среди них выделяются экспоненциальные и логистические . Особое значение в прогнозе населения на будущие периоды имеют модели стационарного и стабильного населения, определяющие сложившийся в данных условиях тип населения.
Если построения моделей экспоненциального и логистического населения использует данные о динамике абсолютной численности населения за прошлый период, то модели стационарного и стабильного населения строятся на основе характеристик интенсивности его развития.
Итак статистическая методология изучения населения имеет в своем распоряжении ряд методов общей теории статистики, математические методы и специальные методы, разработанные в самой статистике населения. Статистика населения используя рассмотренные выше методы, разрабатывает систему обобщающих показателей, указывает на необходимую информацию, способы их расчета, познавательные возможности этих показателей, условия применения, порядок записи и содержательную интерпретацию.
2.2 Показатели численности населения
Население – совокупность лиц, проживающих на определенной территории.
Население делится на:
1) постоянное (ПН): лица, постоянно проживающие на данной территории, независимо от их нахождения в момент переписи;
2) наличное (НН): лица, которые на момент переписи фактически находятся на данной территории, независимо от места постоянного жительства.
Кроме того, учитываются временно проживающие (ВП) и временно отсутствующие (ВО). Данные о наличном населении используются при организации работы транспорта, торговли, водоснабжения, и т.д. Данные о ПН используются при планировании жилищного строительства, школ, больниц, и т.д. Между перечисленными показателями существует зависимость.
ПН = НН – ВП + ВО - НН = ПН + ВП – ВО
Расчет численности населения на конец каждого года, следующего за переписью:
St+1 =St +Nt -Mt +Пt -Bt , где:
St+1 и St – численность населения в соответствующих годах;
Nt – число родившихся в году t;
Mt – число умерших в году t;
Пt – число прибывших;
Bt – число выбывших.
Абсолютный показатель численности населения S – моментный показатель (на определенную дату), т.е. 1 января, 1 июня, и т.д
Общее изменение численности населения:
DS= St+1 - St .
Для проведения экономических расчетов нужно знать среднюю численность населения за определенное время.
Методы расчета средней численности населения
· Если есть данные на начало и конец периода, то расчет методом средней арифметической простой:
![]()
· При наличии данных о численности населения на несколько равностоящих дат, то расчет методом среднехронологической невзвешенной для моментных рядов:

· Если промежутки между датами неравны, то расчет методом среднеарифметической взвешенной:

Для характеристики изменения численности населения во времени используются:
1. темп роста численности населения:
![]()
2. темп прироста численности населения:
![]()
Определив численность населения, СЭС изучает его состав, используя метод группировки, которая проводится по:
* социальному составу,
* сферам деятельности и отраслям экономики,
* профессии,
* полу,
* возрасту,
* семейному положению, и т.д
Показатели естественного движения населения
Изменение численности за счет рождения и смертей называют естественным движением населения. Оно характеризуется абсолютными и относительными показателями.
Абсолютные показатели:
1. число родившихся – N;
2. число умерших - M;
3. естественный прирост – N-M=DSестеств. ;
4. число браков и разводов.
Эти показатели интервальные, т.е. определяются за период.
Чтобы судить о частоте тех или иных демографических событий применяются относительные показатели . Они выражаются в промиллях (0 /00 ) и характеризуют уровень населения в расчете на 1000 человек.
Общие показатели естественного движения населения
1. Общий коэффициент рождаемости.
- число родившихся за год на 1000 человек среднегодовой численности населения
.
2. Общий коэффициент смертности.
- число смертей за год на 1000 человек среднегодовой численности населения
.
3. Коэффициент естественного прироста.
или Кест. прир.
=Кр
-Ксм
.
4. Коэффициент жизненности населения (коэффициент Покровского) Кж(Покр) =(N/M)*1000=Kp /Kсм .
Особенностью общих коэффициентов является то, что они рассчитываются на 1000 человек всего населения. Помимо общих применяются также частные коэффициенты, кот. рассчитываются на 1000 чел. определенной возрастной, половой, профессиональной или к-л другой группы.
5. Повозрастной коэффициент смертности.
, где:
Х – возраст, профессия или др.
Мх – количество умерших в возрасте х.
Sx – средняя численность населения в возрасте х.
6. Коэффициент детской смертности в возрасте до 1 года.
, где:
M0 – число детей, умерших в возрасте до 1 года.
Nt – число родившихся в данном году.
Nt-1 – число родившихся в предыдущем году.
Также рассчитываются специальные коэффициенты. Наибольшее распространение получил специальный коэффициент рождаемости (коэффициент фертильности (плодовитости):
, где:
Sж.15-49 –средняя численность женщин в фертильном возрасте от 15 до 49 лет.
Между общим и специальным коэффициентами рождаемости существует связь:
, где:
dж.15-49 – доля женщин в возрасте 15-49 лет.
.
Между общими и специальными коэффициентами существует зависимость – любой общий коэффициент можно представить как среднее арифметическое из частных коэффициентов, взвешенных по численности групп населения или их доле в общей численности.
, где:
dx – доля группы х в Р.
Таким образом, общий коэффициент зависит от частных и структуры населения.
Также существуют стандартизированные коэффициенты, кот. при проведении сравнения устраняют влияние возрастной структуры. Рассчитываются по формуле средней арифметической взвешенной:

В данном случае, вариантами являются частные коэффициенты, а весами – показатели возрастной структуры, принятые за стандарт для сравнения.
Показатели механического движения населения
Механическое изменение – изменение численности населения за счет территориального перемещения людей, т.е. за счет миграций, которые бывают:
* внешние;
* внутренние;
* сезонные;
* маятниковые.
Абсолютный показатель движения населения – В.
Число прибывших – П.
Абсолютный механический прирост – Пмех. =П-В.
Интенсивность механического движения характеризуют следующие относительные показатели :
7. коэффициент прибытия –
;
8. коэффициент выбытия –
;
9. коэффициент механического прироста –
;
Для характеристики изменения численности за счет естественного движения населения и за счет миграций рассчитывается коэффициент общего прироста:
1)
;
2)
;
3) Ко.п. =Кест.прир. +Кмех.прир.
Таблицы смертности и расчет перспективной численности населения
Таблица смертности – система связанных друг-с другом показателей, зависящих от уровня смертности, отнесенных к различным возрастам.
Таблица 1
| 1 |
2 |
3 |
4 |
5 |
6 |
7 |
8 |
| x |
lx |
dx |
qx |
px |
Lx |
Tx |
|
| Возраст в годах. |
Число доживающих до возраста х лет. |
Число умерших в возрасте от х до х+1 лет. |
Вероятность смерти в течение года. |
Вероятность дожить до следующего возраста. |
Численность живущих в возрасте х лет. |
Предстоящее число человеко-лет. |
Средняя продолжительность жизни. |
Х меняется от 0 до 100 лет (одногодичные группы).
lx устанавливается в расчете на 10.000 человек.
d x – число умерших в возрасте до х+1 лет
qx = dx / lx – вероятность смерти в течение года
px = lx +1 / lx – вероятность дожить до след. возраста (px + qx = 1)
Lx – средняя величина из числа доживающих от возраста х до х+1.
Lx = (lx + lx +1 )/2. (Кроме 0-вого возраста).
Тх – общее число человеко-лет, кот. предстоит прожить совокупности лиц от возраста х лет до предельного возраста
W.
.
– средняя продолжительность предстоящей жизни.
– коэффициент передвижки, рассчитывается на основе таблицы.
Методы исчисления перспективной численности населения
1. метод передвижки возрастов. Sx +1 = Sx * Px .
2.a метод арифметической прогрессии.
, где:
St + l – численность населения через l лет.
St – численность населения на исходную дату.
D - среднегодовой абсолютный прирост численности населения.
2.b метод геометрической прогрессии. ![]()
3. анализ динамики численности за ряд лет, определение тенденции изменений, экстраполяции рядов динамики. y(t)=abt – показательная функция. Определив по фактическим данным параметры a и b, путем подставления t (годы), получим возможные значения численности населения в любой t период.
Параметр а – исходная численность населения в период, где t=0.
Параметр b – коэффициент общего прироста, показывает, во сколько раз в среднем увеличивается численность населения ежегодно.
2.3 Расчёт и анализ показателей динамики численности населения России за 2000-2005 гг
Исходные данные по численности населения России приведены в таблице 2:
Таблица 2
| Годы |
Численность населения, чел. |
| 2000 |
146890,1 |
| 2001 |
146303,6 |
| 2002 |
145649,3 |
| 2003 |
144963,6 |
| 2004 |
144168,2 |
| 2005 |
143474,2 |
В таблице 3 проведем расчеты показателей рядов динамики.
Таблица 3
| годы |
Численность, чел. (yi) |
Абсолютный прирост, тыс.чел. |
Темпы роста, % |
Темпы прироста, % |
Абсолютные значения прироста (Аi), % |
|||
| Цепные (Δц) |
Базисные (Δб) |
Цепные (ТрЦ) |
Базисные (ТрБ) |
Цепные (ТпрЦ) |
Базисные (ТпрБ) |
|||
| 2000 |
146890,1 |
|||||||
| 2001 |
146303,6 |
- 586,5 |
- 586,5 |
99,60072 |
99,60072 |
-0,3993 |
-0,3993 |
1468,9 |
| 2002 |
145649,3 |
- 654,3 |
- 124,8 |
99,55277 |
99,15528 |
-0,4472 |
-0,8447 |
1463,04 |
| 2003 |
144963,6 |
- 685,7 |
- 1926,5 |
99,52921 |
98,68847 |
-0,4708 |
-1,3115 |
1456,49 |
| 2004 |
144168,2 |
- 795,4 |
- 2721,9 |
99,45131 |
98,14698 |
-0,5487 |
-1,853 |
1449,64 |
| 2005 |
143474,2 |
- 694 |
- 3415,9 |
99,51861 |
97,67451 |
-0,4814 |
-2,3255 |
1441,68 |
Абсолютные приросты:
Цепные: Δц = yi – yi-1
Для 2001 г.: 146303,6-146890,1=- 586,5
Для 2002 г.: 145649,3-146303,6=- 654,3
Для 2003 г.: 144963,6-145649,3=- 685,7
Для 2004 г.: 144168,2 -144963,6=- 795,4
Для 2005 г.: 143474,2-144168,2=- 694;
Базисные: Δб = yi – y1
Для 2001 г.: 146303,6 -146890,1=- 586,5
Для 2002 г.: 145649,3-146890,1=- 1240,8
Для 2003 г.: 144963,6-146890,1=- 1926,5
Для 2004 г.: 144168,2-146890,1=- 2721,9
Для 2005 г.: 143474,2-146890,1=- 3415,9
Темпы роста:
Цепные: ТрЦ =![]()
2001 г: (146303,6 /146890,1)*100%=99,60072%
2002 г: (145649,3 /146303,6 )*100%=99,55277%
2003 г: (144963,6/145649,3 )*100%=99,52921%
2004 г: (144168,2 /144963,6 )*100%=99,45131%
2005 г: (143474,2 /144168,2 )*100%=99,51861%
Базисные: ТрБ =![]()
2001 г: (146303,6 /146890,1)*100%=99,60072%
2002 г: (145649,3 /146890,1)*100%=99,15528%
2003 г: (144963,6/146890,1)*100%=98,68847%
2004 г: (144168,2 /146890,1)*100%=98,14698%
2005 г: (143474,2 /146890,1)*100%=97,67451%
Темпы прироста:
Цепные: ТпрЦ – 100
2001 г: 99,60072 –100=-0,3993
2002 г: 99,55277– 100=-0,4472
2003 г: 99,52921– 100=-0,4708
2004 г: 99,45131 – 100=-0,5487
2005 г: 99,51861– 100=.-0,4814
Базисные: ТпрБ – 100
2001 г: 99,60072 – 100=-0,3993
2002 г: 99,15528– 100=-0,8447
2003 г: 98,68847 – 100=-1,3115
2004 г: 98,14698 – 100=-1,853
2005 г: 97,67451- 100=-2,3255.
Абсолютные значения прироста: ![]()
2001 г: 146890,1 / 100 = 1468,9
2002 г: 146303,6 / 100 = 1463,04
2003 г: 145649,3 / 100 = 1456,49
2004 г: 144963,6 / 100 =1449,64
2005 г: 144168,2/ 100 = 1441,68
Средний абсолютный прирост:
=
= - 683,2
Средний темп роста:
=
=
=0,9955 .
7) Средний темп прироста:
= 0,9955*100%-100 = -0,45.
Одна из главных задач изучения динамических рядов состоит в выявлении закономерностей (тенденций) в развитии того или иного процесса или явления. Исходя из данных, полученных в результате анализа ряда динамики численности населения России продолжает падать. Значения цепных и базисных показателей показывают нам характеристику изменений уровней динамического ряда. В частности, можно отметить резкое снижение значения цепного абсолютного прироста в 2004 году, учитывая постоянный отрицательный прирост в течение всех 5 лет. Показатели цепных темпов роста показывают, что текущая численность населения в период с 2000-2005 гг. шла на убыль.
2.4 Прогноз численности населения на 2007-2009 гг
По данным Таблицы 2 построим графики:





Среди построенных графиков наименьшее значение ошибки апроксимации наблюдается у степенной модели.
Рассмотрим линейную модель, чтобы сделать прогноз численности населения на 2006-2007 гг. Для этого возьмем линейное уравнение: y = -690,61*х + 149040. Обозначим года:
Таблица 4
| Год |
Обозначение |
Численность, чел. |
| 2000 |
1 |
148349,39 |
| 2001 |
2 |
147658,78 |
| 2002 |
3 |
146968,17 |
| 2003 |
4 |
146277,56 |
| 2004 |
5 |
145586,95 |
| 2005 |
6 |
144896,34 |
| 2006 |
7 |
144205,73 |
| 2007 |
8 |
143515,12 |
| 2008 |
9 |
142824,51 |
| 2009 |
10 |
142133,9 |
Теперь в линейное уравнение вместо Х подставляем значения, чтобы получить прогноз на нужный период, а также выровненные значения у. Среднюю ошибку апроксимации будем рассчитывать по данным линейного графика, сопоставляя их с данными о численности населения России из Демографического справочника 2008 года, по формуле:
, т.е.
Таблица 5
| Годы |
у |
у' |
| у - у' | |
(| у - у' |) / у |
(| у - у' |)*100 / у |
| 1 |
146890,1 |
148349,39 |
1459,3 |
0,0099 |
0,9934638 |
| 2 |
146303,6 |
147658,78 |
1355,2 |
0,0093 |
0,9262929 |
| 3 |
145649,3 |
146968,17 |
1318,9 |
0,0090 |
0,9055313 |
| 4 |
144963,6 |
146277,56 |
1313,96 |
0,0091 |
0,9064068 |
| 5 |
144168,2 |
145586,95 |
1418,8 |
0,0098 |
0,9841282 |
| 6 |
143474,2 |
144896,34 |
1422,14 |
0,0099 |
0,9912165 |
| Итого: |
5,70704 |
Подставляя вместо «у» значения из Демографического справочника, вместо «ух» - выровненные значения «у», а вместо «n» - количество лет, получим среднюю ошибку апроксимации, равную ≈ 5,70704 / 6 ≈ 0,9512. Такое значение ошибки апроксимации превышает 12-15%, это свидетельствует о том, что данные не адекватны реальным, однако тенденция к снижению точно прослежена.
Таким образом ясно, что численность России будет продолжать снижаться в 2007-2009 году. По данным Демографического справочника 2008 года, в 2007 году она составляет 142221,0 тыс. чел., в 2008 году – 142008,8 тыс.чел. Согласно полученному прогнозу в 2009 году она будет 142133,9 тыс.чел.
3. Назначение демографического прогнозирования
История демографических прогнозов насчитывает уже не одну сотню лет. Немало ученых — представителей разных наук — пытались отыскать некие «объективные законы роста населения»: биологические, математические, экономические и т.д.
Эти «законы» пытались выводить из наблюдений над закономерностями размножения животных и насекомых или экспериментируя с математическими моделями. Все эти попытки оказались безуспешными. Никакого автоматизма в росте населения (кроме его инерции) не существует.
Он определяется законами социального поведения людей, которое, в свою очередь, управляется законами общественной жизни.
Демографический прогноз опирается на знание теории и общих закономерностей развития народонаселения, на учет главных тенденций воспроизводства населения в ближайшей исторической перспективе: дальнейшее развитие урбанизации, рост образовательного и культурного уровня населения, снижение смертности и увеличение продолжительности жизни, постепенное отмирание традиций многодетности, изменение функций семьи, повышение социальной и территориальной мобильности населения, сохранение определенной дифференциации демографического развития различных регионов, обусловленного экономическими, социально-культурными и этническими факторами и др.
Точность современного демографического прогнозирования определяется уровнем развития теоретической и прикладной демографии, общим уровнем научного прогнозирования всех сторон социально-экономической жизни общества, а также новыми аналитическими и прогностическими возможностями, предоставленными компьютерными методами. С начала 90-х годов в демографическом прогнозировании широко используются стандартные пакеты прикладных программ. Они значительно экономят время, необходимое для проведения прогнозных расчетов, позволяют просчитать различные сценарии возможной динамики населения, а также делать расчеты при неполных или дефектных данных.
Достоверность демографического прогноза зависит от:
I) точности исходной информации,
2) от обоснованности гипотез об изменении демографических процессов под влиянием всего комплекса социально-экономических условий,
3) от продолжительности периода, на который делается прогноз. Различаются краткосрочные (до 5 лет), среднесрочные (до 30 лет) и долгосрочные (30-60 лет) прогнозы.
Демографический прогноз помогает определить как количество и структуру (половозрастную) будущих трудовых ресурсов, так и оценить возможные потребности различных социально-демографических групп населения в различных товарах и услугах. Он необходим для перспективной оценки развития и размещения объектов социальной сферы, широко используется в маркетинге.
На данные демографического прогнозирования опирается разработка государственных мероприятий по социальному обеспечению. В условиях продолжающегося увеличения численности и доли населения пожилых возрастов большое значение приобретает прогнозирование числа пенсионеров, их семейного состояния, здоровья. Возрастает потребность в прогнозировании показателей, характеризующих семейную структуру населения.
Прогноз численности и состава семей, а также их доходов и потребностей необходимо для оценки перспектив жилищного строительства.
Роль демографического прогнозирования в разработке стратегии развития общества постоянно возрастает, что обусловлено все большей социальной ориентацией экономики. В свою очередь прогнозы и программы развития промышленного и сельскохозяйственного производства социальной инфраструктуры, территориального перераспределения населения, динамики доходов, уровня жизни и занятости населения учитываются при выборе гипотез демографического развития и выборе варианта перспективного исчисления населения.
Демографические прогнозы, сделанные под эгидой ООН, используются для выработки международной стратегии развития, рекомендаций в области политики народонаселения, для решения глобальных и региональных экономических, политических, экологических проблем. Оценки и прогнозы ООН пересматриваются каждые два года с учетом новых данных о движении населения, предоставляемых национальными статистическими службами.
В настоящее время существует множество прогнозов демографического развития России. Они носят авторский характер и отличаются друг от друга постановкой задач, гипотезами, результатами и лежащими в их основании методологическими установками. Знание замысла прогноза и методологического подхода, используемого тем или иным автором, может помочь в выработке индивидуальной оценки пользователя с точки зрения доверия к результатам прогноза и возможностей их использования в управленческой практике.
Исследовавший этот вопрос профессор И.В. Бестужев-Лада, пишет следующее. В формах конкретизации абстрактного понятия "предвидение" целесообразно разнести два конкретных понятия: "предугадывание" и "прогнозирование". Оба заключают в себе третье конкретное понятие - "предсказание" (состояния явления или процесса в будущем). Но в первом случае предсказание безусловно, оно характеризуется глаголами "будет" или "станет". А во втором - сугубо условно, инструментально: "может быть или стать при определенных условиях", на которых и сосредоточивается внимание исследователя.
Оценка первого рода прогнозов производится "по степени оправдываемости", которая, в свою очередь, располагается по шкале: сбылось - не сбылось. Отметим, что управленческое значение прогноза - предугадывания (что будет завтра) минимально, так как оставляет процесс принятия решения в рамках субъективного отношения к будущему. Такого рода прогнозы могут быть использованы как прогноз-предостережение (например при суженном воспроизводстве населения во Франции, 50-е года 20 века), для обоснования территориальной экспансии и геополитики (Германия, 30-е года, 20 века), для пропаганды программ планирования семьи (развивающиеся страны, 60-80-е года, 20 века).
Альтернативный подход к будущему развернут в концепцию "технологического прогнозирования": не "что будет", а "что может произойти при наблюдаемых тенденциях и что надо сделать, чтобы произошло возможно более желательное". По сути такой подход надо было бы назвать проблемно-целевым, потому что на практике экстраполяция в будущее наблюдаемых тенденций всегда показывает картину назревающих проблем, а оптимизация этих тенденций - всегда сводится к выявлению возможно более эффективного их решения. Технологический прогноз, как заблаговременное "взвешивание" последствий намечаемого решения, дает для повышения эффективности управления несказанно больше (например, намного повышает объективность намечаемых решений), чем самые удачные догадки. Фактически он является средством анализа закономерностей динамики населения под воздействием тех или иных изменений в рождаемости и смертности.
Опыт зарубежных стран однозначно свидетельствует: депопуляция населения преодолима. По предварительным оценкам, убыль может сократиться на несколько промилле в обозримом будущем. Демографические процессы по своей сути очень инертны, и повернуть маховик депопуляции в одночасье невозможно.
Существуют (на Западе) и типовые таблицы смертности по причинам смерти. Вероятно, возможны и другие подходы. Важно при этом помнить, что точность прогноза определяется почти исключительно качеством гипотезы о тенденциях демографического развития, а не сложностью математических формул.
Список используемой литературы
1. Федеральный Закон от 19.02.1993 «О беженцах».
2. Федеральный Закон от 19.02.1993 «О вынужденных переселенцах»;
3. Борисов В.А. Демография, М.,1999;
4. Демографический ежегодник России, 2002;
5. Демографический ежегодник России, 2003;
6. Ерохина О.В.: «Миграция: свободная и вынужденная, социально-экономические аспекты, специфика миграционной проблемы для России, главные особенности современной миграции рабочей силы и "утечки умов".» //Интернет-конференция на портале http://www.auditorium.ru;
7. Кильдишев и др. Статистика населения с основами демографии, М.: «Финансы и Статистика», 1990;
8. Кузьмин А.И. Курс лекций "Основы демографии". Лекция 12 «Миграция населения»// http://humanities.edu.ru;
9. Методологические положения по статистике//Госкомстат России. – М.: Выпуск 4. – 2003 г.
10. «Население России»//Ежегодный демографический доклад. М.,1999
11. Салин В.Н., Чурилова Э.Ю. Курс теории статистики, М.: Финансы и статистика, 2006 г.
12. Татаркова Н.В. Курс лекций «Экономическая демография»;
13. Федеральная служба государственной статистики «Численность и миграция населения Российской Федерации в 2002 году».
14. http://antropotok.archipelag.ru – Центр стратегических исследований Приволжского федерального округа. Группа «Русский Архипелаг»;
15. http://demoscope.ru – Журнал "Демоскоп-Weekly", электронная версия;
16. http://www.gks.ru;
17. http://www.perepis2002.ru – Всероссийская перепись населения 2002 года;
18. http://www.capital.ru
Приложение
![]()
![]()
![]()
Рис 1. Факторы, влияющие на принятие решения о миграции

Рис 2. Компоненты прироста (убыли) населения России, тысяч человек

|
| Список регионов Российской Федерации |
|
| Центральный федеральный округ |
|
| 1. Белгородская область |
2. Брянская область |
| 3. Владимирская область |
4. Воронежская область |
| 5. Ивановская область |
6. Калужская область |
| 7. Костромская область |
8. Курская область |
| 9. Липецкая область |
10. Московская область |
| 11. Орловская область |
12. Рязанская область |
| 13. Смоленская область |
14. Тамбовская область |
| 15. Тверская область |
16. Тульская область |
| 17. Ярославская область |
18. г. Москва |
| Северо-Западный федеральный округ |
|
| 19. Республика Карелия |
20. Республика Коми |
| 21. Архангельская область |
22. Ненецкий авт. округ |
| 23. Вологодская область |
24. Калининградская область |
| 25. Ленинградская область |
26. Мурманская область |
| 27. Новгородская область |
28. Псковская область |
| 29. г. Санкт-Петербург |
|
| Южный федеральный округ |
|
| 30. Республика Адыгея |
|
| 31. Республика Дагестан |
32. Республика Ингушетия |
| 33. Кабардино-Балкарская Республика |
34. Республика Калмыкия |
| 35. Карачаево-Черкесская Республика |
36. Республика Северная Осетия-Алания |
| 37. Чеченская Республика* |
38. Краснодарский край |
| 39. Ставропольский край |
40. Астраханская область |
| 41. Волгоградская область |
42. Ростовская область |
| Приволжский федеральный округ |
|
| 43. Республика Башкортостан |
44. Республика Марий Эл |
| 45. Республика Мордовия |
46. Республика Татарстан |
| 47. Удмуртская Республика |
48. Чувашская Республика |
| 49. Кировская область |
50. Нижегородская область |
| 51. Оренбургская область |
52. Пензенская область |
| 53. Пермская область |
54. Коми-Пермяцкий авт. округ |
| 55. Самарская область |
56. Саратовская область |
| 57. Ульяновская область |
|
| Уральский федеральный округ |
|
| 58. Курганская область |
|
| 59. Свердловская область |
60. Тюменская область |
| 61. Ханты-Мансийский авт. округ |
62. Ямало-Ненецкий авт. округ |
| 63. Челябинская область |
|
| Сибирский федеральный округ |
|
| 64. Республика Алтай |
|
| 65. Республика Бурятия |
66. Республика Тыва |
| 67. Республика Хакасия |
68. Алтайский край |
| 69. Красноярский край |
70. Таймырский (Долгано-Ненецкий) авт. округ |
| 71. Эвенкийский авт. округ |
72. Иркутская область |
| 73. Усть-Ордынский Бурятский авт. округ |
74. Кемеровская область |
| 75. Новосибирская область |
76. Омская область |
| 77. Томская область |
78. Читинская область |
| 79. Агинский Бурятский авт. округ |
|
| Дальневосточный федеральный округ |
|
| 80. Республика Саха (Якутия) |
|
| 81. Приморский край |
82. Хабаровский край |
| 83. Амурская область |
84. Камчатская область |
| 85. Корякский авт. округ |
86. Магаданская область |
| 87. Сахалинская область |
88. Еврейская авт. область |
| 89. Чукотский авт. округ |
|
*Данные по Чеченской республике, как правило, отсутствуют, либо определены путем экспертной оценки

Рис. 4. Компоненты изменения численности населения регионов-субъектов Российской Федерации за 2003 год (по итогам за январь-ноябрь в пересчете на год), на 1000 человек населения

Рис. 5. Миграционный прирост населения России, 1980-2003, тысяч человек и в расчете на 10 тысяч человек населения

Рис. 6. Основные потоки внешней миграции в России по месяцам, 1998-2003 годы

Рис. 7. Число мигрантов, перемещающихся в пределах России, 1979-2003, тысяч человек, зарегистрированных при прибытии

Рис. 8. Число мигрантов, перемещающихся в пределах России, по месяцам, 1998-2003

Рис. 9. Динамика численности армян, азербайджанцев, грузин, таджиков и казахов по данным переписей 1959, 1970, 1979, 1989 и 2002 (1989 год = 100%)

Рис. 10. Динамика численности отдельных народов Северного Кавказа по данным переписей 1959, 1970, 1979, 1989 и 2002 (1989 год = 100%)

Рис. 11. Динамика численности отдельных народов Поволжья по данным переписей 1959, 1970, 1979, 1989 и 2002 (1989 год = 100%)

Рис. 12. Численность населения

Рис. 13. Городское и сельское население.

Рис. 14. Национальный состав.

Рис. 15. Женщины на 1000 Мужчин

Рис. 16. Брачное состояние населения.

Рис. 17. Основные потоки миграции.

Рис. 18.

Таблица 1.

Таблица 2. Показатели естественного прироста населения.

Таблица 3. Численность вынужденных переселенцев и беженцев (человек).
[1] Приложение, стр.37, рис.2
[2] Приложение, стр. 48, таблица 2.
[3] Приложение, стр.38, рис.3
[4] Приложение, стр.38
[5] Приложение, стр. 40, рис. 4
[6] Приложение, стр.41, рис. 6
[7] Приложение, стр. 41, рис. 7
[8] Приложение, стр. 42, рис. 8
Похожие рефераты:
Демографическая ситуация в Республике Бурятия
Анализ демографической ситуации и оценка использования трудовых ресурсов России
Статистический анализ демографической ситуации в Российской Федерации
Статистический анализ динамики и структуры демографической ситуации
Детерминация и предупреждение преступности среди персонала органов внутренних дел Украины
Революция тюльпанов в Киргизии как вариант политической модернизации общества
Статистика рождаемости в Амурской области
Применение статистических методов при исследовании численности населения Республики Якутия
Формирование ценностных ориентаций студенчества в КНР и России
Бюджетный процесс на муниципальном уровне на примере Заводоуковского городского округа
Роль внешней трудовой миграции в формировании рынка труда Ставропольского края
Проблемы использования трудовых ресурсов на примере Южного федерального округа
Государственная политика в сфере управления демографическими процессами в Чувашской Республике
Предложения по усовершенствованию государственного регулирования миграционных потоков