| Похожие рефераты | Скачать .docx |
Курсовая работа: Исследование самооценки и мотивации достижения и избегания неудач у руководителей мужского и женского пола
ВОСТОЧНАЯ ЭКОНОМИКО - ЮРИДИЧЕСКАЯ
ГУМАНИТАРНАЯ АКАДЕМИЯ (Академия ВЭГУ)
АЛЬМЕТЬЕВСКИЙ ИНСТИТУТ
Кафедра практической психологии
Курсовая работа
Исследование самооценки и мотивации достижения и избегания неудач у руководителей мужского и женского пола
ВЫПОЛНИЛА: СТ. ГРУППЫ ПРИЕМА
С-06 СПО ЗАОЧНОГО ОТДЕЛЕНИЯ
САМИГУЛЛИНА И.Н.
НАУЧНЫЙ РУКОВОДИТЕЛЬ:
К.ПС.Н., ДОЦЕНТ ЗИНАТУЛЛИНА Р.Р.
Альметьевск 2008
Содержание
Введение
Глава 1. Теоретические аспекты исследования самооценки и мотивационной сферы у руководителей мужского и женского пола
1.1Самооценка личностных качеств у мужчин и женщин
1.2 Половые особенности мотивационной сферы
1.3 Лидерство, руководящие должности и пол
Выводы первой главы
Глава 2. Эмпирическое исследование самооценки и мотивации достижения и избегания неудач у руководителей мужского и женского пола
2.1 Описание организации и методик исследования
2.2 Анализ и интерпретация полученных результатов
Выводы второй главы
Заключение
Список использованной литературы
Приложения
Введение
Актуальность исследования. Проблема данного исследования носит актуальный характер в современных условиях. Об этом свидетельствует частое изучение поднятых вопросов. Становление субъекта деятельности, способного осознанно ставить жизненные цели и добиваться их, способного брать на себя ответственность за принятие решения, детерминировано той стратегией поведения, которая формируется в процессе социализации. Такую стратегию поведения, на мой взгляд, обеспечивает мотивация достижения, отражающая ценностное отношение индивида к себе как личности и субъекту деятельности.
Интерес человека к себе, к своему "Я", издавна был предметом особого внимания. И кто знает, может быть, из этого интереса возникла сама психология как наука. Внутренний мир личности, её самосознание всегда были в центре внимания не только философов, ученых, но и писателей и художников. Поведение человека всегда, так или иначе, сочетается с его представлением о себе (образ "Я") и с тем, каким он хотел бы быть. Изучение свойств самосознания адекватности самооценок, структуры и функций "образа Я" представляет не только теоретический, но и практический интерес в связи с формированием жизненной позиции личности.
Вопросам исследования посвящено множество работ. В основном материал, изложенный в учебной литературе, носит общий характер, а в многочисленных монографиях по данной тематике рассмотрены более узкие вопросы проблемы. Однако, требуется учет современных условий при исследовании проблематики обозначенной темы.
Высокая значимость и недостаточная практическая разработанность проблемы определяют несомненную новизну данного исследования.
Дальнейшее внимание к вопросу о проблеме самооценки и мотивации достижения успеха и избегания неудач у руководителей мужского и женского пола необходимо в целях более глубокого и обоснованного разрешения частных актуальных проблем тематики данного исследования.
Цель исследования: изучение самооценки и мотивации достижения успеха и избегания неудач у руководителей мужского и женского пола.
Для достижения поставленной цели необходимо решить следующие задачи:
1. Проанализировать литературные источники по проблеме самооценки, мотивационной сферы и лидерства в половом аспекте.
2. Подобрать адекватные методики исследования по поставленной проблеме.
3. Продиагностировать уровень самооценки, мотивации достижения успеха и избегания неудач у мужчин и женщин-руководителей.
4. Составить диагностическое результаты у мужчин и женщин-руководителей.
5. Сравнить полученные результаты на качественном, количественном и статистическом уровнях.
6. Сформулировать выводы исследования.
Исходя из этого, объектом исследования являются руководители мужского и женского пола, а предметом – исследование самооценки и мотивации достижения успеха и избегания неудач у руководителей мужского и женского пола.
Гипотеза исследования: предполагаем, что существуют достоверные различия самооценки, уровня мотивации достижения успеха и избегания неудач у руководителей мужского и женского пола.
Методологической основой исследования явились основные положения изучения феномена мотивации достижения и его связь с поведением и деятельностью (Г. Мюррей, К. Левин, Р.Г. Андерсон, В.А. Скотт, М.Ю. Орлов, Р.С. Вайсман, А.К. Маркова, В.И. Степанский, Г. Трудевинд, Б. Хусарек, В. Грабал, В.М. Матюхина, Т.А. Саблина, В.В. Шипилина, Г.В. Литвинова и др.) и работы в области самооценки: Хорни К., Будасси С. А., Берне Р., Петровский А. В. и др.
Теоретическая новизна работы определяется комплексным - теоретическим, методологическим и прикладным - подходом к исследованию одного из базовых, но мало разработанных в психологии научных понятий. Проведенное теоретическое обобщение позволило объединить несколько психологических и социально-психологических аспектов по поставленной проблеме.
Практическая значимость работы заключается в том, что полученные результаты могут лечь в основу диагностики при профотборе и профориентации; для отслеживания динамики профессионализации; в качестве вспомогательного средства для наиболее оптимальной расстановки кадров; в целях повышения эффективности аттестации персонала и т.д.
Эмпирическая база исследования: исследование проводилось на базе ОАО "Татнефть", в исследовании принимало участие 40 руководителей среднего и высшего звена мужского и женского пола.
Структура курсовой работы: данная работа состоит из введения, двух основных глав с выводами, заключения, списка использованной литературы и приложений.
Глава 1. Теоретические аспекты исследования самооценки и мотивационной сферы у руководителей мужского и женского пола
1.1 Самооценка личностных качеств у мужчин и женщин
Самооценки личностных качеств. Этот вопрос можно рассматривать в двух аспектах. Во-первых, можно сравнивать, какие положительные и отрицательные качества находят у себя мужчины и женщины, т. е. как они представляют свой Я-образ, у кого он полнее, на чем делается акцент при его описании. Во-вторых, кто: мужчины или женщины адекватнее оценивают себя.
Дж. Диксон и Дж. Стрит отмечают, что Я-образ мальчиков по процентному соотношению включенных в него характеристик уступает Я-образу девочек и сопоставим с таковым у девочек, которые моложе мальчиков на 2 года.
С. М. Петрова [31] выявила, что при описании реального Я-образа девушки оценивают свои коммуникативные и нравственные качества выше, чем юноши. В то же время при описании идеального образа человека вообще большую значимость этим качествам приписывают юноши. Творческий потенциал достоверно выше в группе юношей, а духовный потенциал выше у девушек, причем это касается как описания Я-образа, так и образа идеального человека вообще.
При описании своего психологического портрета девушки, согласно данным Н. Н. Киреевой и О. К. Карпухиной, значительно чаще характеризуют свою эмоциональную сферу ("вспыльчивая, отзывчивая, спокойная, веселая, жизнерадостная" и т. д.), в то время как в ответах юношей чаще встречаются характеристики интеллектуальной и волевой сферы ("ответственный, волевой, целеустремленный, настойчивый" и т. д.).
По данным В. Н. Князева, при субъективно определяемой значимости различных качеств личности обнаруживаются заметные различия между мужчинами и женщинами. У последних характеристики, в которых проявляется отношение человека к другим людям, на шкале ценностей занимают более высокое место, чем у мужчин. Они для женщин субъективно более значимы. Для мужчин же более значимы объекты, связанные с их работой.
Е. А. Шумилин выявил, что юноши в качестве положительных черт личности называют чаще всего такие, как "верен в дружбе", "не подвожу друзей", "помогаю в беде". У девушек на первом месте стоят чуткость к людям, правдивость, честность, общительность. В. Е. Каган [23] опрашивал школьников 7-10-х классов обоего пола. Мальчики в качестве своих положительных характеристик отметили деятельность, добросовестность, энергичность, отзывчивость, честность, а в качестве отрицательных - непривлекательность, молчаливость, замкнутость, нелюдимость.
Девочки в качестве положительных своих характеристик отметили обаятельность, разговорчивость, открытость, общительность, энергичность, а в качестве отрицательных - безответственность, эгоистичность, черствость, несправедливость, неискренность.
По данным А. В. Визгиной и С. Р. Пантилеева [14], в самоописаниях женщины представляют себя через импульсивно-капризное "хочу" и "не могу", что соответствует женскому варианту инфантильного типа личности - капризного существа с приоритетом желаний и эмоций, либо растерявшегося и беспомощного, нуждающегося в поддержке. Мужчины в видении себя больше ориентируются на "объективные" критерии: стремление следовать установленным социальным нормам, деятельностная вовлеченность, ориентация на успех.
У мужчин основанием для позитивной самооценки являются такие качества, как психическая уравновешенность, адаптированность, способность к самоконтролю, социабельность, моральность. У женщин позитивная самооценка связана не столько с наличием социально желательных черт, сколько с отношением к себе в целом.
Женщины, стремящиеся к социальному успеху, высоко оценивают свои деловые качества: практичность, организованность, предприимчивость, предусмотрительность, а мужчины - качества, необходимы общественному деятелю: интеллект, умение ладить с людьми, личное влияние.
У девочек 6-7 лет, по данным Я. И. Михайловой, общая высокая самооценка встречается чаще, чем у мальчиков того же возраста (соответственно в 73 и 50 %). Однако позже эти соотношения могут меняться. Как отмечает Г. Крайг, многие девочки выходят из отрочества с ущербным Я-образом, сравнительно низкими ожиданиями в жизни и гораздо меньшей уверенностью в себе и своих способностях, чем мальчики. Когда у девочек 15-16 лет возникают проблемы с учебой, они чаще склонны обвинять себя, тогда как мальчики объяснили бы неудачу "ненужностью" предмета. Такое снижение самоуважения, отмечаемое у трети девушек, имеется и у юношей, но оно выражено меньше.
По данным М. К. Омаровой, у юношей выше самооценки по шкалам "интегральное самоотношение", "самоуважение", "аутосимпатия". Более высокие самооценки по шкале "аутосимпатия" у мужчин выявлены и Ю. Е. Кочневой и О. А. Шабалиной.
По поводу того, кто адекватнее оценивает себя - мужчины или женщины, исследователи не пришли к согласию. О. М. Мороз [30] выявил, что юноши 16-17 лет дают в большинстве случаев завышенные самооценки; девушки оценивают себя либо адекватно, либо обнаруживают неадекватно заниженную самооценку. Однако В. Л. Ситников нашел, что по всем компонентам структуры Я-образа младшие мальчики более самокритичны, чем девочки.
Н. Н. Обозов считает, что мужчинам присуща объективность при оценке восприятия мира, в то время как для женщин характерна субъективность и впечатлительность, так как при восприятии мира они больше ориентированы на свое состояние, настроение.
Об этом же говорят и данные исследования И. В. Тельнюк: мальчики дошкольного возраста более критично оценивают результаты своей деятельности, у девочек же преобладает эмоциональная оценка своих результатов. Е. А. Шумилин, однако, не обнаружил различий в склонности к самокритике между юношами и девушками.
Исходя из данных, представленных в статье З. Н. Лукьяновой [28], можно сделать вывод, что студенты мужского пола при оценке себя как личности дают более диаметральные оценки, чем студентки: у первых больше как высоких, так и низких самооценок (табл.1). Однако на школьниках таких различий не выявлено.
Таблица
Самооценки личности, проценты
| Группы | Высокая | Низкая | ||
| Юноши | Девушки | Юноши | Девушки | |
| 8-й класс | 26,0 | 25,0 | 18,0 | 14,7 |
| 10-й класс | 34,7 | 29,7 | 16,3 | 19,0 |
| Студенты | 47,3 | 42,7 | 24,7 | 16,7 |
По данным Н. Герасимовой [17], самооценки (по 16PF Р. Кеттелла) мужчин в возрасте 20-25 лет более высокие, чем у женщин того же возраста.
В работе Т. Н. Курбатовой и Я. В. Куус выявлено, что русские женщины выше, чем мужчины, оценили у себя выраженность таких особенностей личности, как самоуверенность, отраженное самоотношение, самоценность, самопринятие, самопривязанность. По другим характеристикам (закрытость, саморуководство, самообвинение, внутренняя конфликтность) половые различия были весьма незначительными.
Несколько иные данные получены при опросе народов Севера. У женщин более высокие самооценки, чем у мужчин, были только в отношении самоценности, самопринятия и внутренней конфликтности; у мужчин самооценки были более высокие, чем у женщин, в отношении закрытости, самоуверенности, саморуководства, отраженного самоотношения. Таким образом, этнос вносит поправки в самоотношение и самооценки.
К. Муса и М. Роуч провели исследование, в котором старшеклассники должны были сравнить свою внешность с внешностью сверстников. Выяснилось, что юноши на 10 % чаще, чем девушки, оценивали свою внешность выше, чем внешность сверстников, а девушки несколько чаще, чем юноши, оценивали свою внешность ниже, чем внешность сверстников. Юноши в целом были больше удовлетворены своей внешностью, чем девушки.
Е. В. Боченкова выявила, что самооценка юношей носит завышенный, нереалистичный характер. Они по 9 исследуемым признакам более высоко оценили себя по сравнению с девушками, что, как полагает автор, не соответствует реальной картине. Девушки выше оценили свой внешний вид и дали более высокую общую самооценку [46, c. 50].
Большая разноречивость получаемых данных, вероятно, зависит от используемой методики, от оцениваемых качеств, от возраста испытуемых.
Т. Ю. Филимоненко показала, что достоверные среднегрупповые отличия в переживании своего возраста мужчинами и женщинами отсутствуют. В то же время мужчины по всем показателям продемонстрировали более высокие отклонения субъективного возраста от паспортного, чем женщины. Перечни психологических факторов, влияющих на самооценку субъективного возраста, в мужской и женской выборках существенно расходятся и отражают специфику самовосприятия, обусловленную половой принадлежностью.
Для мужчин факторами, повышающими субъективный возраст, являются психологическая фиксированность на внутреннем мире в ущерб внешнему (интроверсия и преобладание фактора E над фактором I в методике Розенцвейга), а также недостаточное развитие словесно-логического компонента в структуре общего интеллекта.
Для женщин такими факторами являются преимущественно отрицательные психофизиологические состояния.
Самооценка профессионализма. С. А. Гаранин изучил этот вопрос на учителях физической культуры. Волевые качества и уровень своих физических кондиций, эрудированность, логическое мышление, быстрое схватывание сути дела, концентрацию внимания, находчивость и уверенность, принципиальность, а также педагогическую направленность выше оценивают мужчины, уровень сформированности у себя умений, распределение и переключение внимания, память на лица, эмоциональность речи, правдивость, требовательность к себе и другим - выше оценивают женщины. Женщины выше оценивают и свои успехи в работе. Выявлена связь личностных черт взрослых с теми характеристиками, которые были у них в детстве.
Самыми устойчивыми у мужчин оказались такие черты, как интеллектуальные интересы, изменчивость настроения (нейротизм), готовность примириться с неудачей, высокий уровень притязаний, а у женщин - настойчивость, эстетическая отзывчивость, жизнерадостность, желание дойти до пределов возможного [1, c. 152].
Таким образом, различия в самооценке и я-концепции обнаруживаются по разным параметрам — тем, которые ценит в себе каждый пол (мужчины — физические возможности и доминирование, женщины — социальную сенситивность, коммуникативность). Общество конструирует гендерные различия и в количественном плане — по сравнению с детским возрастом взрослые женщины склонны к снижению своей самооценки и росту неуверенности в себе, а мужчины — к повышению самооценки и росту своей уверенности — возможно, в силу того, что общество положительно подкрепляет их в этом отношении.
1.2 Половые особенности мотивационной сферы
Ш. Берн [11] отмечает, что "социальные стереотипы, касающиеся гендеров, могут вынудить нас поверить, что по сравнению с мужчинами женщины - более конформны, легкоубеждаемы и управляемы из-за своей зависимости и подчиненности".
Действительно, в работе А. В. Визгиной и С. Р. Пантилеева [14] показано, что при самоописаниях склонность к подчинению рассматривается женщинами как социально желательная характеристика. Считается, что в любом возрасте представители женского пола более склонны обращаться к авторитетам в определении своей позиции, а при каких-либо затруднениях более склонны придерживаться установленных норм поведения, и что в школе девочек легче заставить выполнить какие-либо поручения.
Как пишут Д. В. Колесов и Н. Б. Сельверова, "для девочки достаточно сознания того, что она действует так, как с нее спрашивают, лишь бы ей внушили, что в этом есть необходимость и смысл. Мальчики же обязательно должны сами понять смысл и значение мероприятия: если они этого смысла не обнаружат, то, как бы их ни убеждали, что "это нужно", активности не проявляют".
"Самостоятельность является символом успешности, могущества и состоятельности "марсиан".
Если женщины смогут понять данную особенность марсиан, это, безусловно, поможет им понять, почему мужчины не любят, когда их поправляют или говорят им, что надо делать. Дать мужчине совет, которого он не просил, равнозначно предположению того, что он не знает, что делать, или не может справиться с этим самостоятельно. Это сильно задевает мужчин, потому что вопрос состоятельности очень важен для них.
Поскольку марсианин справляется со своими проблемами самостоятельно, он крайне редко о них говорит - лишь в тех случаях, когда ему необходим совет человека более опытного, чем он сам. Марсианин совершенно логично обосновывает свое поведение: "Зачем я буду вмешивать в свое дело кого-то еще, если смогу справиться с ним сам?" И остается наедине со своей проблемой, за исключением тех случаев, когда ему нужна помощь в поиске решения. А просьба о помощи в тех случаях, когда можно справиться самому, считается проявлением слабости".
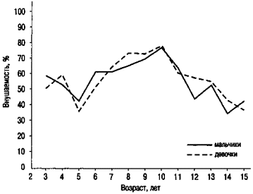
Эта точка зрения господствовала до конца 70-х гг. XX в. вопреки тому, что 82 % исследований, сравнивавших мужчин и женщин на предмет убеждаемости, и 74 % исследований, в которых искали гендерные различия в конформности, никаких различий не обнаружили, пишет Ш. Берн, ссылаясь на работы Игли с соавторами. Но действительно ли это так?
Известно, что лица женского пола более внушаемы, чем лица мужского пола. Правда, как следует из данных А. И. Захарова, это наблюдается не во всех возрастных группах (рис. 1).

Рис. 1. Внушаемость лиц мужского и женского пола
Женщины более податливы к групповому давлению (более конформны). По данным Э. С. Чугуновой [44], у девушек по сравнению с юношами наблюдается более частый выбор профессии по советам родных и знакомых.
Таким образом, мотивация лиц женского пола более внешнеорганизована, т. е. мотив легче формируется под давлением извне, а мотивация лиц мужского пола - более внутреннеорганизована, т. е. исходит из понимания смысла и личной значимости того, что надо делать.
А. В. Ермолин выявил, что при объяснении поступка "потребности" чаще называются лицами мужского пола, а "долженствование" - лицами женского пола. Это согласуется с данными ряда авторов о том, что школьницы больше предрасположены к усвоению общественных норм и требований.
В исследовании Ю. Е. Кочневой и О. А. Шибалиной выявлено, что мужчины демонстрируют большую потребность в познании, чем женщины.
Мотив (потребность) достижений. Распространено мнение, что мужчины в большей степени, чем женщины, придают значение победам, превосходству, у них выше конкурентность, а у женщин мотив достижения ниже, чем у мужчин, и они не склонны строить в отношении своей профессиональной карьеры далеко идущие планы. У ряда женщин, занятых в традиционно женских сферах профессиональной деятельности (педагогика, социальная работа, сестринское дело), как показали исследования американских психологов, это действительно имеет место. Однако профессиональные планы женщин, занятых в сфере коммерции, юриспруденции и медицины, оказались очень близки тем, которые строят в отношении своей карьеры мужчины, занятые аналогичными видами деятельности.
Это соответствует выводу, который сделан в работе Макклеланда с сотрудниками: половые различия в мотивах достижения необходимо рассматривать в соответствии с типом цели [40, c. 123].
Обычно считается, что мужчины с детства имеют большую потребность достижения в областях, связанных с неодушевленными предметами и не связанных с личностью, причем они мотивированы на него ради самого достижения. Женщины же имеют меньшую мотивацию достижения в областях, связанных с взаимодействием людей, и их усилия направлены не на сам успех, а на желание нравиться другим или избегать осуждения).
Чтобы разобраться в достаточно обширных и неоднородных результатах, полученных на разных возрастах и с помощью различных методик, которые направлены на изучение трудносопоставимых или просто не совпадающих между собой сторон мотивации личности, сгруппируем данные из книги Э. Маккоби и К. Жаклин по возрастным периодам и методикам и прокомментируем результаты. Исследования можно разделить на следующие категории: изучающие уровень притязаний, мотивацию по отношению к учебе и оценкам ее успешности, стремление к автономным достижениям, боязнь успеха и реальные успехи [41, c. 111].
Обычно исследователи выделяют 3 уровня притязаний (низкий, средний и высокий), учитывают, какие задачи выбирает испытуемый (легкие или трудные) и как он реагирует на успех или неудачу (снижает уровень трудности, остается на месте или повышает его). Собственно говоря, все 3 уровня могут свидетельствовать о наличии мотивации достижения — просто при низком уровне испытуемый хочет добиться успеха, не затратив особых усилий. Имеет значение и самооценка своих возможностей: высокий уровень притязаний может быть отражением неадекватной самооценки. Приемом, проверяющим уровень притязаний, является и поведение испытуемого после решения трудной или легкой задачи — он может награждать или не награждать себя за такое решение, в чем проявляется его удовлетворенность или неудовлетворенность собственными действиями. Показателем уровня притязаний можно считать и стандарты успешности, которые предпочитает испытуемый. Из шести исследований уровня притязаний, в которых использовались вышеперечисленные критерии, в пяти не было обнаружено гендерных различий (в 3-6, 7, 7-11, 12-14 и 14 лет). Только в исследовании Стрикленда кроме отсутствия различий, было обнаружено преимущество мальчиков. Но это противоречие кажущееся: преимущество наблюдалось среди тех, кто имел средний уровень, и различия отсутствовали у мальчиков и девочек с низким уровнем притязаний. Поэтому в целом можно сделать вывод о том, что с 3 до 14 лет уровень притязаний мальчиков и девочек существенно не различается.
Парадоксальность и неустойчивость половых различий в силе мотива достижения, получаемые в разных исследованиях, X. Хекхаузен [41] тоже склонен объяснять различиями в том, какая ценностная ориентация превалирует у женщин - мужская (интеллектуальная) или женская (семейно-бытовая). Очевидно, именно с большей ориентацией на учебу можно связать лучшую успеваемость и больший мотив достижения в учебе у учащихся девочек и девушек по сравнению с учащимися мальчиками и юношами.
Так, по данным казанских психологов потребность в достижениях у женщин несколько выше, чем у мужчин (соответственно 13,3 и 12,8 балла). Результаты моего исследования тоже показали, что у девушек чаще, чем у юношей, встречается высокий уровень мотива (потребности) достижения (32,2 % против 20,0 % у юношей). То же можно сказать и в отношении среднего уровня мотива достижения: у девушек он найден в 60,7 % случаев, а у юношей - в 48 % случаев. Еще более резкие различия выявляются при сравнении юношей и девушек с низким уровнем мотива достижения: у девушек он найден только в 7,1 % случаев, а у юношей - в 32,0 % случаев. В среднем для группы девушек мотив достижения равен 15,9 балла, а для группы юношей - 8,8 балла.
С другой стороны, в работе И. Мацека и Й. Безака показано, что при просьбе повысить темп точностной работы мотивация у мальчиков по сравнению с девочками оказалась более сильной.
Существуют три точки зрения на проявление мотива достижений у мужчин и женщин. Первая состоит в том, что женщины иначе мотивированы на достижения, чем мужчины. Вторая - что мужчины и женщины мотивированы разными потребностями: для женщин потребность в аффилиации (эмоциональном принятии) важнее, чем потребность в достижениях. Третья - мужчины и женщины обладают мотивом достижений в равной степени, но реализуют его в разных видах деятельности [40, c. 231].
Первая точка зрения находит подтверждение в данных Д. Спенса и Р. Хельмрайха, приведенных в статье К. До. Мотив достижения изучался авторами в трех сферах: совершенствование, соревнование, достижение результата. На студенческой выборке было выявлено, что у женщин выше мотивация достижения результата, у мужчин - мотивация совершенствования и соревнования. В других выборках (атлеты, бизнесмены, психологи) различия между мужчинами и женщинами по мотивации достижения результата и совершенствования были меньшими, а по соревновательности различия (в пользу мужчин) были такими же, как у студентов.
Эти данные могут объяснить различия в мотивах учебной деятельности студентов разного пола, выявленные в книге "Вопросы практической психодиагностики...": у мужчин больше была выражена направленность на получение знаний и профессии, а у женщин - направленность на получение диплома. Говоря другим языком, у женщин было более выражено стремление к достижению результата (диплома), а у мужчин - совершенствование (получение профессиональных знаний).
Половые различия в мотиваторах. Под мотиваторами подразумеваются факторы, влияющие на принятие человеком решения о том, чем и каким способом должна быть удовлетворена потребность. Как показано А. В. Ермолиным, мужчины чаще называют в качестве мотиватора оценку своих возможностей, своего состояния, а женщины в той же ситуации ориентируются на то, как они воспринимаются со стороны (идет им или нет та или иная часть гардероба и т. п.) [44, c. 136].
Деньги как ценность. Как отмечает А. Фенэм, женщины больше, чем мужчины, подвержены фантазиям и навязчивым идеям о деньгах, они больше верят, что заработок должен зависеть от усилий и способностей работника. Правда, при обследовании представителей 43 стран было выявлено, что и у мужчин имеется тенденция придавать деньгам повышенную ценность (исключение составили лишь 2 страны). Предполагается, что это связано с большей склонностью мужчин к соперничеству, а между этой склонностью и представлениями о ценности денег имеется тесная корреляция.
По мнению Р. Белка и М. Валендорфа, женщины думают о деньгах как о способе приобретения вещей, а мужчины - власти. Однако по данным, которые предоставили К. Ямамучи и Д. Темпер, именно женщины чаще используют деньги как орудие в борьбе за власть.
По данным М. Принс и М. Линн, женщины выражают более сильную фрустрацию по поводу отсутствия денег и больше завидуют тем, кто их имеет. Мужчины реже, чем женщины, испытывают по поводу денег чувство беспомощности, депрессии, гнева, зависти, стыда и паники и чаще - восхищения, счастья.
В. Рубинштейн отмечает, что мужчины более доверчивы и уверены в себе в финансовых вопросах, больше удовлетворены своей финансовой ситуацией и оптимистичнее смотрят на свое будущее материальное положение. В. Рубинштейн, однако, считает, что вопреки распространенному мнению мужчины и женщины придают одинаковое значение финансам [16, c. 123].
Особенности направленности личности у мужчин и женщин. Обследование студентов казанскими психологами показало, что личностная направленность больше выражена у лиц мужского пола, а на взаимодействие - у лиц женского пола, деловая же направленность выражена у тех и других одинаково. О направленности лиц мужского и женского пола можно судить и по тематике рисунков, выполненных теми и другими на свободную тему. Оказалось, что у студенток было больше рисунков по темам "Природа", "Быт", а у студентов - по темам "Спорт", "Техника".
К. Хорни отмечает, что существуют различия в том, куда направлен творческий импульс мужчины и женщины. Женский способ существования реализуется преимущественно через его направленность вовнутрь, через внимание к глубоким переживаниям и инсайтам. Мужской способ существования характеризуется направленностью творческого импульса вовне, на поиск возможностей преобразования внешнего мира через взаимодействие с ним и утверждение себя в нем. Таким образом, самореализация женщины в отличие от мужчины происходит не через поступки, а через процесс самоосознания.
Е. П. Кораблина пишет, что смыслом существования женщины является самоотречение, растворение себя, посвящение себя кому-то через принятие объекта своей любви в свой душевный мир. Для мужчины же любовь в этом понимании является лишь частью жизни, поскольку другая часть посвящена им построению внешнего (по отношению к своей субъективности) мира и поиску в нем смысла своего существования.
Направленность на успех-неудачу . Е. Фергюсон (E. Ferguson, 1976) считает, что у мужчин превалирует мотив успеха, а у женщин - мотив избегания неудач. К. Хорни тоже отмечает, что для юношей характерен доминирующий тип мотивации - ориентация на успех, у девушек доминирующая мотивация - избегание неудачи.
Имеются, однако, и другие данные. Так, в исследовании А. И. Винокурова выявлено, что женщины статистически достоверно по сравнению с мужчинами имеют более высокий уровень как потребности в достижении, так и избегании неуспеха в деятельности.
М. Л. Кубышкина [27], изучавшая возрастные особенности мотива социального успеха, не обнаружила различий между юношами и девушками в распределении мотивационных тенденций (избегание неудачи, стремление к признанию, к соперничеству). Взрослые же женщины менее склонны к соперничеству, чем мужчины, они менее доминантны и активны, более склонны избегать неудач. Если у девушек надежда на социальный успех превалирует над мотивом избегания неудачи, то у женщин выявлено некоторое преобладание избегания неудачи над надеждой на социальный успех. Между юношами и мужчинами подобных различий выявлено не было. Автор предполагает, что девушки не менее юношей нацелены на социальную активность и ставят перед собой широкие задачи социальной самореализации, они столь же энергичны, не избегают соперничества и стремятся к признанию и деловому успеху. Обнаруженное же у женщин снижение стремления к признанию и соперничеству и усиление мотива избегания неудачи может свидетельствовать о том, что с годами происходит постепенная переориентация женщины с направленности на широкие социальные контакты и социальную активность на более узкие доверительные отношения и на семейный очаг.
Различия в мечтах (желаниях). Левинсон отмечает, что как для мужчин, так и для женщин мечта имеет центральное значение. Но если для мужчин мечты о будущем носят однородный характер и связаны с работой, то женским мечтам часто присуща раздробленность: карьера и замужество. Лишь домохозяйки имели однородную мечту: все свое свободное время они хотели посвятить обязанностям жены и матери, как это когда-то делали их собственные матери.
1.3 Лидерство, руководящие должности и пол
Гендерная психология лидерства как научное направление начала интенсивно формироваться под влиянием феминистского движения с середины 1970-х гг., прежде всего американскими, австралийскими и западно-европейскими учеными, хотя и ранее этот вопрос обсуждался в ряде работ. В большинстве случаев лидерство изучается в деловых группах или в группах с интимными отношениями (семья, влюбленные). Последний из аспектов рассматривался в предыдущей главе. В данной главе речь пойдет о лидерстве в деловых группах [2, c. 78].
Негативное отношение к женскому лидерству традиционно проявляли сторонники фрейдизма. Лидеры-женщины считались обладателями нездоровой гендерной идентичности, а их стремление к лидерству, называемое "фаллическим", рассматривалось как проявление неполноценности женщины, завидующей мужчинам.
К. Бартол и Д. Мартин показали, что женщина-лидер в мужском деловом мире и вообще находящаяся в мужской группе играет одну из четырех неформальных ролей: 1) "матери" - от нее ждут эмоциональной поддержки, а не деловой активности; 2) "соблазнительницы" для начальника, что вызывает негодование у коллег-мужчин; 3) "игрушки, талисмана" - милой, но не деловой женщины, приносящей удачу; 4) "железной леди", обладающей неженской жестокостью, вследствие чего они бывают больше всего изолированными от группы. Все эти роли мешают женщинам занять равное положение среди мужчин и снижают их возможности служебного роста. Мужчины делают больше попыток доминировать над представителями своего пола. Женщины же в присутствии противоположного пола менее активно, чем мужчины, претендуют на роль стихийного лидера. Я. Джорстад, норвежский психотерапевт, на основании своей практики заключил, что лидерство не входит в систему жизненных ценностей многих женщин [7, c. 120].
Отсюда мнение, что женщины-лидеры проигрывают лидерам-мужчинам в эффективности руководства, так как обладают меньшей властью, влиянием и ресурсами. Однако, как показано Маккоби и Джеклин, при более длительном общении женщины выравнивались с мужчинами по лидерству. Э. Игли и К. Джонсон выявили, что женщины больше стремились к получению руководящей должности, если она отвечала традиционной гендерной роли (в частности, директора школы).
Следует, очевидно, принимать во внимание различные модели лидерства, которые, по данным Т. В. Бендас [9], с различной частотой встречаются у мужчин и женщин. Для первых более характерна конкурентная модель (доминантность, агрессивность, уверенность в себе, эгоцентризм, стремление к власти) в сочетании с маскулинной, для женщин - сочетание конкурентной модели с кооперативной (направленность на общение, альтруизм, экстраверсия) и преобладание фемининной (лидерская роль принимается только при вакууме лидерства, когда нет представителя, соответствующего маскулинной модели). Правда, соотношение этих моделей лидерства у мужчин и женщин может изменяться в связи с этническими особенностями обследованных.
Как сообщают американские авторы, в административной и управленческой сфере в США заняты 12 % мужчин и 7 % женщин. Успешность женщины в качестве администратора и ее продвижение в этой должности во многом зависит от наличия у нее наставника-мужчины, в роли которого часто выступают их мужья. Однако когда профессиональная карьера женщины начинает мешать ей уделять необходимое время семье, мужья-наставники часто отказываются содействовать продвижению жены по служебной лестнице.
По данным международного института "Женщины и управление", только 6-8 % женщин, прошедших подготовку в этом институте, работают менеджерами [13, c. 104].
В. О'Лири пишет, что в американском обществе существует предубежденность против женщин, имеющих какой-либо приоритет (в том числе - и в должности) над мужчинами того же возраста и социального положения. Это получило подтверждение как в лабораторных экспериментах, так и полевых и объясняет тот факт, что в США число женщин-руководительниц на среднем и высшем уровне составляло в конце 1980-х гг. 5 и 1 % соответственно от общего числа руководителей.
В Японии женщины составляют только 10 % от всего руководящего состава фирм и корпораций. В этой стране вся система продвижения по служебной лестнице построена таким образом, что мужчина перед выходом на пенсию обязательно получает руководящую должность низшего либо среднего уровня. Для женщин такие льготы не предусмотрены. В Южной Корее среди руководителей женщин еще меньше - всего 2 %. В этом отношении наиболее продвинутой является Швейцария, там 48 % женщин занимают различные руководящие должности.
Тенденции, свойственные Западу в отношении женщины-руководителя, присущи и нашему обществу. Э. С. Чугунова приводит данные о количестве мужчин и женщин, работающих инженерами. Руководящие должности чаще занимают мужчины, чем женщины.
По данным В. А. Шаховой, удельный вес женщин среди руководителей различного уровня управления значительно уступает удельному весу мужчин. Так, среди руководителей органов государственного управления и их структурных подразделений женщины составляют 44 %, а на производстве в числе первых руководителей - 24 %, начальников цехов, участков, мастерских и отделов - 23 %. В то же время в общем количестве инженерно-технических работников женщин 49 %.
По данным O.A. Рaковской [32], каждый второй мужчина, имеющий высшее или среднее специальное образование, является руководителем (возникает, однако, вопрос: кем же тогда каждый из них руководит - тремя сотрудниками, из которых один мужчина и две женщины, если исходить из того, что среди населения каждой страны тех и других приблизительно по 50%). Среди дипломированных специалистов женщин-руководителей только 7%. Даже в школах при засильи учителей-женщин среди директоров школ женщин только 39 % (И. Калабихина).
Было выявлено, что женщины-лидеры воспринимаются менее компетентными, особенно если подчиненные являются сторонниками традиционных, а не эгалитарных взглядов на лидерство, т. е. полагают, что лидерская роль является маскулинной. Показано также, что этот взгляд более присущ мужчинам. Предубеждение против женщин имеется и в нашей стране. По данным А. Г. Шестакова, мужчины-руководители отдали предпочтение мужчинам как работникам в 25,3 %, и лишь в 12,9 % - женщинам. Не отстают от мужчин и женщины: по данным этого же автора, женщины тоже проявляют большую готовность сотрудничать и оказывать воздействие на женщин, а не на мужчин.
Но и многие женщины не считают себя способными выполнять функции руководителей высшего звена и соглашаются с мнением, что высокие достижения и женственность несовместимы.
Однако дело не только во взгляде или мнении. Женщинам-менеджерам, например, дают меньше информации, или слишком короткие сроки для выполнения задания. Женщинам, как правило, не поручают заданий, которые дали бы им возможность приобрести необходимый опыт и проявить себя в качестве претендента на руководящую должность.
Уже говорилось, что во многих странах женщины за одинаковую работу с мужчинами получают меньшую заработную плату. Как ни странно, но именно это обстоятельство в период экономических кризисов ставит японских женщин в более выгодное положение. В целях экономии средств руководители фирм чаще увольняют "дорогостоящих" руководителей подразделений - мужчин и ставят на их место более "дешевых" женщин, которые по своей компетентности и организаторским способностям, оказывается, ни в чем не уступают мужчинам [34, c. 37].
В. О'Лири изучала связь между полоролевыми стереотипами и оправданием задержки продвижения женщин по служебной лестнице в промышленности. По ее мнению, без каких либо объективных оснований женщинам приписываются следующие установки на работу: они работают только ради "булавочных" денег (т. е. небольшой заработной платы); в работе их больше интересуют чисто коммуникативные и эмоциональные моменты; женщинам больше нравится работа, не требующая интеллектуальных усилий; они ценят самоактуализацию и продвижение по службе меньше, чем мужчины. Основой этих ложных представлений являются, пишет О'Лири, другие, не менее ложные представления об отсутствии у женщин компетенции, независимости, соревновательности, логики, притязаний и т. д.
Высказывается также точка зрения, что меньший статус женщины в обществе приводит и к ее меньшему статусу в малой профессиональной группе. Чтобы быть лидером, руководителем, женщине приходится преодолевать больше препятствий по сравнению с мужчинами, даже если она обладает большими знаниями и способностями.
При отборе на руководящую должность к женщине предъявляют более высокие требования, чем к мужчине. Срабатывает правило, согласно которому женщина должна быть вдвое лучше мужчины. Женщина имеет больше шансов занять руководящую должность среднего звена, в то время как высшие руководящие должности безоговорочно отдают мужчинам. Так, в списке 200 высокооплачиваемых руководителей экономики и производства США не было ни одной женщины.
В то же время в среднем менеджменте женщины занимали половину всех мест. При одинаковом с мужчиной уровне квалификации женщины чаще всего оказываются ниже по служебной лестнице. Высказывается мнение, что для женщины путь к власти связан с преодолением многочисленных препятствий, тогда как для мужчин - с реализацией многочисленных возможностей. Конечно, с последним утверждением трудно полностью согласиться, мужчин слишком много, а начальственных постов слишком мало, поэтому им тоже приходится бороться за "место под солнцем", но для женщин эта борьба тяжелее, с меньшими шансами на успех. Многое зависит от того, в какой сфере общественной жизни и на каком уровне эта борьба происходит [46, c. 50].
По данным И. Калабихиной, даже те женщины, которые повышают свою квалификацию, далеко не всегда имеют возможность повысить свой профессиональный статус. Только 57 % опрошенных женщин считали, что их квалификация соответствует выполняемой работе (интересно, что ответили бы мужчины? Наверное, автор предполагает, что положительный ответ дали бы 100 % опрошенных), а 25 % считают, что их квалификация вообще не соответствует выполняемой работе. У 65 % женщин после обучения на курсах повышения квалификации ничего не изменилось в производственной ситуации (а разве это должно непременно следовать?), 91 % не получили повышения в должности, 88 % - в разряде и 81 % - в заработной плате. Скорее, это говорит о том, что повышение квалификации проводится формально, для галочки, но эта беда касается в такой же мере и мужчин.
В связи с этим в США существует понятие "стеклянный потолок". Эта метафора отражает тот факт, что во многих организациях существует как бы невидимый потолок, выше которого женщины продвинуться не могут .
И действительно, исследования показывают, что в США женщины имеют больше препятствий для служебного роста, чем мужчины. Это и меньший доступ к информации, и меньшая возможность поучиться у опытных женщин-руководителей, поскольку их очень мало, и предпочтение подчиненными в качестве руководителя мужчины, и скептическое отношение мужчин-администраторов к женщинам-лидерам, и осуждение близких и друзей [37, c. 139].
Представительниц ряда национальностей (афроамериканок, латиноамериканок, женщин азиатского и индейского происхождения) среди менеджеров вообще ничтожное количество, в связи с чем некоторые ученые говорят о том, что для них поставлен "бетонный потолок".
Причиной более частого наличия "стеклянного потолка" для женщин может быть то, что хорошая работа женщин редко приписывается их способностям, а характеристика работника как "способного" положительно коррелирует с его служебными перспективами.
Думается, что при вынесении женщинами-исследователями частых заключений о якобы распространенной вертикальной сегрегации все же преобладает эмоциональная сторона. В большинстве случаев тот факт, что женщины занимают меньше руководящих постов, обусловлен не происками или молчаливым заговором мужчин, а объективными обстоятельствами. Как уже говорилось, мужчины больше стремятся к самореализации в профессиональной деятельности, чем женщины. Естественно, более высокие должности, как правило, достаются более компетентным. А поскольку таких больше среди мужчин, то и начальственные должности достаются им чаще. Там же, где больше работает женщин (непроизводственные виды бытового обслуживания, общественное питание, розничная торговля, медицина, образование, культура), наблюдается и самая высокая доля женщин-руководителей. Например, в нашей стране в преподавательской и научной сфере никакой сегрегации по половому признаку не наблюдается. Кафедрами, лабораториями и даже институтами руководят и женщины, если они имеют к этому и организаторские способности, и соответствующий уровень профессионализма. Однако поскольку, например, в России среди докторов наук только 14 % женщин, это значит, что стать заведующим кафедрой и лабораторией мужчины имеют шансов в 6 раз больше, чем женщины [35, c. 120].
В достижении высокого профессионализма женщинам мешает направленность на семью и детей. Р. Валдез и Б. Гутек обнаружили, что женщины-руководители намного чаще оказываются незамужними, чем те, кто не занимает руководящих должностей. При этом чем более ответственна работа и чем большей подготовки она требует, тем больше среди женщин, занятых этой работой, бездетных и тем меньше среди них женщин с тремя и более детьми. В другом исследовании было показано, что женатых менеджеров-мужчин гораздо больше (86 %), чем замужних менеджеров-женщин (45 %); мужчин, имеющих детей, также больше (62 % против 20 %). Конечно, нельзя сбрасывать со счетов и предубеждение мужчин-руководителей против женщин, имеющих детей, но ведь это предубеждение возникло не на пустом месте, а отражает накопленный многими поколениями опыт, говорящий, что женщины чаще, чем мужчины, вынуждены прерывать свою работу из-за беременности, ухода за больными детьми. Поэтому работодатели небезосновательно предполагают, что женщина, в отличие от мужчины, может уволиться в любое время. Отсюда на руководящую должность назначаются только те женщины, которые неоднократно подтвердили свою преданность делу. Впрочем, тот же критерий существует и для назначения на руководящую должность мужчин.
"Хороший начальник - это человек бесстрастный, умный, хладнокровный. Все эти прекрасные качества мало общего имеют с чисто фемининным поведением: эмоциональным, спонтанным, непредсказуемым. Когда женщина волевым усилием воспитывает в себе идеального менеджера, она душит женские начала. Но обычно процесс застревает на полпути: получается полуначальник – полуженщина [29, c. 179].
Тетки-руководительницы эмоциональны, даже если пытаются это скрыть. В этом специфика женского стиля. От шефа мужского пола практически невозможно услышать фразу: "Мы поступим так, как мне подсказывает интуиция". Женщина всегда считается со своими чувствами. И - что удивительно - нередко принимает отличные решения.
Дамы чаще руководствуются критериями "нравится - не нравится", а не "полезно - не полезно". В коллективах, возглавляемых женщинами, всегда больше любимчиков - нелюбимчиков, сплетен, подсиживаний, немотивированных повышений и увольнений. Работу своих сотрудников женщины тоже оценивают не по объему выручки или рейтингу деловой активности, а как подскажут темперамент и сердце.
Наконец, у женщин есть склонность относиться к своим подчиненным как к детям. Одна моя клиентка пришла ко мне вот с какой проблемой: приблизительно каждые два года у нее возникал конфликт с сотрудниками, да такой сильный, что уходили все. Она не могла понять, в чем дело: она пеклась о подчиненных, как мать. Отмечала дни рождения, летом вывозила коллектив за границу. Иногда строго наказывала, иногда хвалила сверх меры. Но ведь люди-то к ней приходили не за материнскими чувствами, а за заработком. И положение отличников-двоечников их не устраивало. А общаться с коллегами на равных, как с партнерами, она не умела".
Возможно, причиной этого является то, что мужчина-руководитель организации не столько больше протежирует мужчинам, сколько опасается протежировать женщинам (из-за возможных подозрений в сексуальном интересе, боязни потерять собственный престиж вследствие несоответствия его решения принятым в обществе взглядам на роль женщины). Мужчины-начальники считают также, что служащие будут испытывать неловкость, получая приказания от женщины, или что клиенты фирмы не будут ей доверять. Во всяком случае, имеются данные, что мужчины-менеджеры, по сравнению с женщинами-менеджерами, пользуются большей симпатией коллектива и получают большую поддержку подчиненных.
Но и сами женщины во многих странах поддерживают точку зрения мужчин. Выявлено, что немецкие женщины не меньше, чем немецкие мужчины, склонны считать работу руководителя "мужским" делом, с ними солидарны и женщины Великобритании, правда, в меньшей степени; американки же считают, что оба пола в равной степени обладают чертами, необходимыми для успешного руководства делом [24, c. 21].
Скептическое отношение общества к возможности женщин быть руководителем заставляет их прибегать к защитным стратегиям (названным "гендерным менеджментом"): а) тратить больше времени и усилий на работе; б) использовать специфически женские способы ведения деловых переговоров с мужчинами (кокетство, принижение своих способностей); в) применять "маску" - стремление скрыть свою эмоциональную и личную жизнь, чтобы не получить ярлык неэффективного работника. Однако такое поведение, как отмечает Г. Пауэлл, может составлять угрозу их психическому здоровью.
Эффективность руководства. По данным А. Е. Чириковой [43], большинство женщин склонны считать, что женщины-руководители имеют некоторые преимущества перед мужчинами-руководителями. Этого же мнения придерживаются и мужчины. Группа западноевропейских ученых собрала в более чем в десяти странах данные, из которых следует, что большинство мужчин признают, что, занимая место начальника, женщины реже "срываются", с ними легче решать любые вопросы, они не столько зависят от настроения и лучше заботятся о подчиненных.
Вообще, в отношении способностей женщин-руководителей получаемые в исследованиях данные весьма противоречивы. Одни авторы не выявили различий между лидерами мужчинами и женщинами ни по эффективности их деятельности, ни по вербальному поведению, ни по лидерскому стилю. В то же время найдено, что женщины-лидеры отличались от мужчин-лидеров, но в сторону, противоположную ожидаемым гендерным различиям. Так, женщины-лидеры превосходили мужчин по мотивации достижения и стремлению к лидерству. Надо отметить, что вообще женщины, выполняющие "мужские" профессиональные обязанности, в том числе и руководство, имеют более маскулинный стиль мышления и мужские черты характера. В. А. Буткевич), например, выявила, что женщины-руководители отличаются от других женщин доминантностью, эмоциональной устойчивостью, стремлением к самопроявлению, социальной смелостью и проницательностью.
В исследованиях было показано, что женщины-руководители могут устанавливать высокие деловые отношения не только с женщинами, но и с мужчинами-подчиненными. Установлено, что женщины-руководители наравне с мужчинами способны мотивировать подчиненных на сверхдостижения. Женщины-руководители так же ориентированы на задачу, как и мужчины-руководители.
"Проблема женщин-карьеристок связана с конкретной женской субъективностью. Просто есть проблемные женщины. Карьеристки они или нет - неважно. Сделай такую домохозяйкой - это будет несчастье для близких, в первую очередь для детей.
И наоборот: женщины, способные использовать все природой данные преимущества - гибкость, интуицию, более тонко и нюансированно воспринимающие других людей, да еще при соответствующих интеллектуальных возможностях, действительно перегонят любого мужчину. Так что суть лежит в иной плоскости: если есть некая поврежденность в женском начале, она в любом случае даст о себе знать - хоть на производстве, хоть в личной жизни.
...Иногда бывает по-другому: есть некоторая востребованность, стечение обстоятельств, свободное время, не занятое малолетними детьми и докучливыми требованиями мужа. Почему бы себя не проявить в карьере? Человек в принципе должен себя в чем-то проявлять [25, c. 175]. Способность принимать людей такими, как они есть, - характерная женская черта. А неспособность принимать себя, детей, супруга, подчиненных, тревожность, агрессивность, желание все переделать неизвестно как - свидетельствуют о внутреннем неблагополучии.
Но это свойственно и мужчинам тоже. Подобное женское поведение воспринимается более болезненно, потому что противоречит социокультурным ожиданиям".
Дж. Дарли полагает, что из-за нашей склонности судить о людях по их социальной роли мы часто забываем о том, что заботливая, нежная, внимательная жена и мать может быть настойчивым, рациональным и эффективным руководителем на работе. И поскольку в нашем сознании преобладает образ женщины в традиционной женской роли, требующей совсем иных качеств, чем те, что необходимы для руководителя, нам трудно увидеть в женщине человека, подходящего для руководящей работы.
Э. Игли с соавторами показали, что эффективность исполнения лидерской роли мужчинами и женщинами зависит от многих факторов. Мужчины были более эффективными: а) при решении задачи, б) при руководстве мужчинами, в) в военных организациях и в роли спортивных тренеров, г) на низшем уровне управления, требующем технических способностей; а женщины: а) при установлении межличностных отношений, б) в сфере образования, бизнеса, на социальной и государственной службе, в) на среднем уровне управления, где нужно устанавливать межличностные отношения.
Элис Игли отмечает, что у женщин-руководителей возникает конфликт между гендерной и лидерской ролью, поскольку последняя требует маскулинного поведения. Смягчению этого ролевого конфликта, по мнению Э. Игли, могут способствовать: 1) реальные достижения женщин; 2) выбор ими той области занятий и должности в тех организациях, где лидерская роль по стереотипу не слишком маскулинизирована, а, скорее, андрогинна (например, руководитель детского образовательного учреждения, а не военного ведомства); 3) демонстрация относительно фемининного лидерского стиля - демократического и ориентированного на взаимоотношения [20, c. 103].
Стили руководства. По мнению Дж. Роузнер, женщины пользуются своим умением общаться и руководят не так, как мужчины. Они добиваются успеха, используя именно "женские" качества. Мужчины-менеджеры воспринимают свою работу как серию дел (или сделок) с подчиненными, с награждением за оказанные услуги или наказанием за некачественную работу. При этом они чаще пользуются властью, которую дает им занимаемая должность. Женщины-менеджеры руководят так, чтобы подчиненные преобразовали свои интересы с учетом интересов группы, ставя перед собой более широкие цели. Свою власть женщины связывают с личными качествами - обаянием, контактностью, умением общаться и интенсивно трудиться, а не с занимаемой должностью. Дж. Роузнер назвала их стиль "преобразовательным".
Основной характеристикой этого стиля является активное взаимодействие с подчиненными, которых приглашают к участию в управлении фирмой, с которыми делятся властью и информацией, у которых пробуждают интерес к выполняемой работе. Этот стиль руководства в нашей стране обозначается чаще всего как демократический. Работники видят, что руководство доверяет им, воспринимает их идеи, в результате возрастает преданность подчиненных делу.
В принципе, ничего специфически женского в этом стиле руководства нет. Поэтому следует говорить не о женском стиле, а о том, что женщины чаще, чем мужчины, склонны использовать демократический стиль руководства. Мужчины же более склонны пользоваться авторитарным стилем руководства, но это не исключает использования ими и демократического ("женского") стиля, так же как женщинами - авторитарного стиля. С. Эпстайн выявила среди женщин-адвокатов много тех, кто руководит авторитарно, агрессивно, с применением наказаний, но при этом способных к эмпатии и взаимодействию.
"Преобразовательный" стиль, по Дж. Роузнер, имеет и другую характеристику, а именно - поддержание в сотруднике уважения к собственной персоне. Правда, эта характеристика является лишь производной от первой: когда руководитель приглашает сотрудников к процессу принятия решений, возникает побочный положительный эффект - возрастание осознавания своей значимости. Женщины-менеджеры стараются как можно чаще отмечать заслуги подчиненных в письменном виде или устно в присутствии других сотрудников [6, c. 123].
Третьей характеристикой "преобразовательного" стиля является поддержка сотрудников в сложных ситуациях, связанных с постоянной конкуренцией на рынке и работой с клиентами. Эта поддержка проявляется в создании программ по поддержанию здоровья, по профилактике состояния "выгорания", в совместном проведении свободного времени, создании благоприятного социально-психологического климата на работе.
Возможно поэтому в последнее время на Западе, принимая на работу руководителя, стали отдавать предпочтение женщинам, потому что, в отличие от мужчин-боссов, которые любят подгонять сотрудников и настраивать их друг против друга, женщины-руководители не только объединяют сотрудников, но и умеют вдохновлять их, демонстрируя восхищение даже самыми незначительными успехами. Кроме того, женщины-менеджеры более готовы к нестандартным решениям, к структурным (кадровым) преобразованиям, к изменению методов руководства в критических ситуациях, считает Дж. Роузнер.
Однако выводы Дж. Роузнер подверглись критике со стороны ряда авторов, и прежде всего, за то, что стили руководства описывались самими менеджерами, а не наблюдались со стороны.
Но, как бы то ни было, многие исследования показывают, что склонность к авторитарному и авторитарно-демократическому стилю руководства, ориентированному на задачу, чаще встречается у мужчин, чем у женщин; последними же чаще используется демократический стиль руководства.
Это подтверждается также данными А. Н. Индиенко и Е. Б. Мащенко, выявившими большую директивность (по Hand-тесту) у мужчин, чем у женщин. Женщины же более склонны к чисто демократическому стилю руководства, ориентированному на участие в общей работе. Э. Игли с сотрудниками показали, что мужчины более эффективны, чем женщины, если их поведение совпадает с маскулинным, а женщины оказывались более эффективными, чем мужчины, когда их поведение соответствовало фемининному образцу. Если женщины пользовались лидерским стилем, который традиционно считается мужским (авторитарный и директивный), то их рейтинг снижался. Люди охотнее воспринимают "сильное и напористое" мужское руководство, нежели "навязчивое и агрессивное" женское. В то же время при демонстрации мужчинами и женщинами демократического стиля и те и другие оценивались с одинаковым предпочтением [16, c. 111].
Некоторые исследователи полагают, что вследствие этого женщины-руководители должны иметь преимущество перед мужчинами, так как подчиненные лучше воспринимают демократический стиль руководства. Однако это заключение слишком обще: ведь и среди женщин есть склонные к авторитарному стилю управления, а среди мужчин - склонные к демократическому стилю.
Игли и Джонсон предполагают, что более демократический настрой женщин-руководителей обусловлен тем, что они стремятся завоевать признание у скептически настроенных к ним подчиненных. "Почему такое пристальное внимание к женщинам-карьеристкам? Потому что дамы-руководители на виду, их мало, они более заметны. Конечно, у них могут быть проблемы, но может таких проблем и не быть. Процентное соотношение личной устроенности-неустроенности, думаю, одинаково и у простых женщин, не хватающих звезд с неба, и у незаурядных.
Опираясь на результаты эмпирических исследований, Ф. Денмарк пришла к следующему выводу: предположение, что женщины-руководители существенно отличаются от мужчин-руководителей, не подтверждается. Исследователи сходятся только на одном отличии руководителей разного пола: большем интересе женщин-руководителей к отношениям между людьми, что является скорее плюсом в руководстве людьми. Кто является более эффективным руководителем - мужчина или женщина, до сих пор остается неясным [10, c. 102].
Эффективность групповой деятельности. По данным М. Хорнер, мужчины работали лучше, когда за ними наблюдали сверстники, женщины же на присутствие сверстников не реагировали. Отмечается также , что чисто мужские по составу группы более продуктивны, чем чисто женские.
Показано, что мужчины и женщины при решении групповых задач ведут себя по-разному в зависимости от присутствия лиц своего и противоположного пола. Если в группе было трое мужчин, то они вместе сотрудничали, решая поставленную экспериментатором задачу; при наличии в группе двух мужчин и одной женщины мужчины пытались решить задачу без помощи назначенного экспериментатором женщины-лидера; если лидером в смешанной группе назначался мужчина, то при отсутствии претензий на лидерство женщины оба мужчины конкурировали друг с другом, доказывая умение решать задачу ("эффект забияки"). Группа из трех женщин показала наименьшую эффективность.
И лидеры-мужчины, и лидеры-женщины были наиболее продуктивными, работая с ведомым своего пола, и наименее эффективными, работая с ведомыми противоположного пола.
Итак, гендерные аспекты в менеджменте сегодня - реальность. Поиск места и роли женщины в управлении связан во многом с изменением политической ситуации, правовых основ и общих подходов к теории менеджмента, поиском учеными объективных оснований исследования столь специфичного феномена: женщина- руководитель. Вряд ли уместно экстраполировать общетеоретические концепции эффективного менеджмента на специфические характеристики женского стиля управления, а последние – на все сферы деятельности вообще.
Выводы первой главы
Анализ литературных источников показал, что самооценка более устойчива у мальчиков и мужчин, чем у девочек и женщин. На эти половые различия влияют 4 фактора: степень открытости во взаимоотношениях, реакция на обратную связь, стресс, связанный с отношениями с близкими людьми, и защитные механизмы (компенсаторное поведение, стратегии самопрезентации и самоусиления).
Мужчины выстраивают более мощную защиту своей самооценки. Некоторые феномены проявляются у них более ярко, чем у женщин ("фальшивая уникальность", "эффект SEM").
С дошкольного до подросткового возраста мальчики и девочки практически не отличаются по уровню притязаний и мотивации по отношению к учебе и оценкам ее успешности. В то же время девочки превосходят мальчиков по стремлению к автономным достижениям и по реальным успехам в школе на протяжении всего периода обучения.
У взрослых обнаружилось, что женщины демонстрируют более высокую мотивацию достижений в нейтральных условиях, мужчинам для повышения мотивации нужна специальная достиженческая (интеллектуально-лидерская) стимуляция, а женщинам для повышения мотивации необходимы социальные стимулы (связанные с принятием их группой). Мотивационный профиль также связан с полом проективного образа.
У девочек в дошкольном возрасте преобладает ориентация на задачу, а у мальчиков — личностная ориентация (на взаимодействие со сверстниками); ориентация на взаимодействие со взрослыми одинакова у обоих полов. Мотивация аффилиации более развита у девочек.
В целом ни один пол не проявляет большего интереса, чем другой, ни к самой деятельности, ни к наградам и одобрению, которые с ней связаны. Однако во взрослом возрасте два вида мотивации — достижения и аффилиации (связанные с карьерой и семьей) — могут порождать у женщин ролевой конфликт — в зависимости от культуры, в которой они формируются.
Различия между мужчинами и женщинами проявлялись при описании ими своего стиля руководства и методов влияния на подчиненных. Мужчины-менеджеры описывают свой стиль, который специалисты по управлению называют "деловым". Это означает, что свою работу они видят как серию дел (или сделок) с подчиненными – с награждением за оказанные услуги или наказанием за некачественную работу. При этом они чаще пользуются властью, которую дает занимаемая ими должность.
Женщины-менеджеры осуществляют руководство таким образом, чтобы подчиненные преобразовывали свои интересы с учетом интересов групп, ставя перед собой более широкие цели. Свою власть женщины связывают с личными качествами – обаянием, контактностью, умением общаться с людьми, а не с занимаемой должностью. Интервью с женщинами – менеджерами позволили понять, как эти женщины видят себя в роли лидеров, в чем принципиальное отличие их стилей руководства от традиционного командного. Роузнер назвала их стиль "преобразовательным". Основной характеристикой такого стиля является активное взаимодействие с подчиненными.
Глава 2. Эмпирическое исследование самооценки и мотивации достижения и избегания неудач у руководителей мужского и женского пола
2.1 Описание организации и методик исследования
Цель исследования: изучить уровень самооценки и мотивации достижения и избегания неудач у руководителей мужского и женского пола
Этапы исследования:
1. Организационный этап: определение места, времени, выборки, методик и формы проведения исследования. Исследование в городе Альметьевск Республики Татарстан среди руководителей среднего и высшего звена производственных предприятий ОАО "ТН". Тестирование проводилось в индивидуальной форме с помощью специально подобранных методик. В исследовании принимало участие 40 испытуемых, которые были разделены на две группы: 1 группа – 20 мужчин-руководителей, 2 группа – 20 женщин-руководителей.
2. Этап сбора эмпирических данных. Тестирование проводилось с использованием специальных бланков, участникам намеренно не сообщалось цель тестирования, для того, чтобы избежать социально желательных ответов. По итогам диагностики составлены протоколы исследования для каждой из выборок.
3. Этап обработки полученных результатов методами математической статистики. Все полученные данные были обработаны с помощью компьютерной статистической программы Statistika +, с целью статистически выявить наличие или отсутствие различий.
4. Заключительный этап. На этом этапе все полученные результаты подверглись количественному и качественному анализу, были сформулированы общие выводы исследования.
Для исследования комплекса факторов отношения к себе используется тест-опросник самоотношения В.В. Столина [5, c. 123] построен в соответствии с разработанной В.В. Столиным иерархической моделью структуры самоотношения (1985 г.). Опросник включает следующие шкалы:
Шкала I – самоуважение – шкала направлена на отражение аспектов самоотношения к своим способностям, энергии, самостоятельности, оценки возможностей контролировать свою жизнь, степени веры в свои силы;
Шкала II – аутосимпатия - шкала на позитивном полюсе объединяет доверие к себе и положительную самооценку. На негативном полюсе – видение в себе преимущественно недостатков, низкую самооценку, склонность к самообвинению;
Шкала III - ожидание положительного отношения от окружающих;
Шкала IV – самоинтерес – отражение меры близости к себе, интерес к собственным мыслям и чувствам, уверенность в собственном интересе для других.
Наряду с приведенными шкалами – в опроснике предусмотрена возможность оценивания по обобщенному фактору "глобального самоотношения" (чувства "за" или "против" себя). Балл по глобальному самоотношению подсчитывается на основании учета ответов на 30 пунктов опросника. Испытуемым предложен опросник из 57 утверждений, интерпретация результатов проводится на основе ключа.
Для исследования уровня самооценки была использована методика "Вербальная диагностика самооценки личности" [28, c. 71]. Она направлена на изучение уровня самооценки среди учащихся. Показатели дают возможность оценить уровень самооценки как: высокий, средний, низкий.
Испытуемому предложен опросник, состоящий из 32 утверждений, необходимо дать ответ: "очень часто", "часто", "редко" или "никогда". Для оценки полученных результатов используется ключ тестового задания.
Методика диагностики личности на мотивацию к успеху Т. Элерса [40, c. 432].
Методика состоит из 41 вопроса, на каждый из которых нужно ответить "да" или "нет". Подсчитывается сумма набранных баллов в соответствии с ключом.
Результат. От 1 до 10 баллов: низкая мотивация к успеху; от 11 до 16 баллов: средний уровень мотивации; от 17 до 20 баллов: умеренно высокий уровень мотивации; свыше 21 балла: слишком высокий уровень мотивации к успеху.
Анализ результата. Результат теста "Мотивация к успеху" следует анализировать вместе с результатами теста "Мотивация к избеганию неудач".
Исследования показали, что люди, умеренно и сильно ориентированные на успех, предпочитают средний уровень риска. Те же, кто боится неудач, предпочитают малый или, наоборот, слишком большой уровень риска. Чем выше мотивация человека к успеху – достижению цели, тем ниже готовность к риску. При этом мотивация к успеху влияет и на надежду на успех: при сильной мотивации к успеху надежды на успех обычно скромнее, чем при слабой мотивации к успеху. К тому же людям, мотивированным на успех и имеющим большие надежды на него, свойственно избегать высокого риска. Те, кто сильно мотивирован на успех и имеют высокую готовность к риску, реже попадают в несчастные случаи, чем те, которые имеют высокую готовность к риску, но высокую мотивацию к избеганию неудач (защиту). И наоборот, когда у человека имеется высокая мотивация к избеганию неудач (защита), то это препятствует мотиву к успеху – достижению цели.
Методика диагностики личности на мотивацию к избеганию неудач Т. Элерса [41, c. 321].
Инструкция: предлагается список слов из 30 строк по 3 слова в каждой строке. В каждой строке нужно выбрать только одно из 3 слов, которое наиболее точно вас характеризует, и пометить его.
Результат: чем больше сумма баллов, тем выше уровень мотивации к избеганию неудач, защите. От 2 до 10 баллов: низкая мотивация к защите; от 11 до 16 баллов: средний уровень мотивации; от 17 до 20: высокий уровень мотивации; свыше 20 баллов: слишком высокий уровень мотивации к избеганию неудач, защите.
Анализ результата: результат анализируется вместе с тестами "Мотивация к успеху" и "Готовность к риску". Исследования Д.Мак – Клеланда показали, что люди с высоким уровнем защиты, то есть страхом перед несчастными случаями, чаще попадают в подобные неприятности, чем те, которые имеют высокую мотивацию на успех. Исследования показали также, что люди, которые боятся неудач (высокий уровень защиты), предпочитают малый или, наоборот, чрезмерно большой риск, где неудача не угрожает престижу.
Усиливают установку на защитное поведение два обстоятельства: 1 – когда без риска удается получить желаемый результат; 2 – когда рискованное поведение ведет к несчастному случаю. Достижение же безопасного результата при рискованном поведении, наоборот, ослабляет установку на защиту, т.е. мотивацию к избеганию неудач.
Методика диагностики степени готовности к риску Шуберта [41, c. 123].
Инструкция: оцените степень своей готовности совершить действия, о которых вас спрашивают. При ответе на каждый из 25 вопросов поставьте соответствующий балл по следующей схеме:
2 балла – полностью согласен, полное "да";
1 балл – больше "да", чем "нет";
0 баллов – ни "да", ни "нет", нечто среднее;
- 1 балл – больше "нет", чем "да";
- 2 балла – полное "нет".
Общая оценка теста даётся по непрерывной шкале, как отклонение от среднего значения. Положительные ответы, свидетельствуют о склонности к риску. Значение теста: от –50 до +50 баллов.
Результат: меньше –30 баллов: слишком осторожный; от –10 до +10: средние значения; свыше + 20 баллов: склонны к риску.
Высокая готовность к риску сопровождается низкой мотивацией к избеганию неудач (защитой). Готовность к риску достоверно связана прямо пропорционально с числом допущенных ошибок.
2.2 Анализ и интерпретация полученных результатов
Диагностика самоотношения (тест-опросник Столина).
По данной методике были получены результаты по четырем шкалам: самоуважение, аутосимпатия, самоинтерес, ожидание положительного отношения к себе. Сырые баллы были переведены в стены и сгруппированы по выборкам (по половой принадлежности). Данные представлены сводной таблицы результатов исследования (см. Приложения.).
Шкала самоуважения . Данная шкала направлена на отражение аспектов самоотношения к своим способностям, энергии, самостоятельности, оценки возможностей контролировать свою жизнь, степени веры в свои силы.
Оценивая результаты диагностики по шкале самоуважения, мы можем отметить, что 32% мужчин и 36% женщин имеют низкий уровень выраженности данного признака, у 8% женщин и 10% мужчин данный признак ярко выражен, оставшиеся 56% женщин и 58% мужчин имеют средний уровень выраженности данного признака. Опираясь на данные процентного соотношения, мы можем говорить о том, что в подростковом возрасте отношение к своим способностям, возможностям и вера в себя имеют преимущественно средний или низкий уровень выраженности. Такие тенденции наблюдаются как у женщин , так и у мужчин. Кроме этого мы видим, что разница в распределении показателей в двух выборках не значительна (порядка 2%).
Для подтверждения полученных результатов проведено сравнение показателей, используя статистический критерий сравнения Манна-Уитни, позволяющий выявить различия между двумя выборками по одному и тому же признаку. Нами были выдвинуты следующие статистические гипотезы:
Н0 гипотеза – уровень выраженности самоуважения у мужчин не ниже уровня выраженности самоуважения у женщин.
Н1 гипотеза – уровень выраженности самоуважения у мужчин ниже уровня выраженности самоуважения у женщин.
| Сравнение двух независимых выборок | |
| Тест Манна-Уитни | |
| Значение U-критерия | 175,5 |
Определим критические значения для данного количества испытуемых в выборках:
U 0,05 = 138;
U 0,01 = 114;
U эмп > U 0,05, принимаем гипотезу Н0.
Таким образом, значимых различий в выраженности самоуважения у женщин и мужчин не выявлено.
Шкала аутосимпатии. Данная шкала на позитивном полюсе объединяет доверие к себе и положительную самооценку. На негативном полюсе – видение в себе преимущественно недостатков, низкую самооценку, склонность к самообвинению.
Результаты тестирования по данной шкале говорят о том, что уровень выраженности аутосимпатии у женщин значительно ниже, чем у мужчин, женщины имеют более низкую самооценку. Так 47% женщин показали низкий уровень аутосимпатии, 45% - средний уровень и всего 8% высокий. У мужчин-руководителей 31% имеют низкий уровень аутосимпатии, 21% высокий и 48% средний. Как мы видим, результаты разительно отличаются. У мужчин уровень выраженности аутосимпатии выше, чем у женщин. Женщины более склонны видеть в себе недостатки (чаще, физические), к самообвинению.
Для подтверждения полученных результатов проведено сравнение показателей. Нами были выдвинуты следующие статистические гипотезы:
Н0 гипотеза – уровень выраженности аутосимпатии у женщин-руководителей не ниже уровня выраженности аутосимпатии у мужчин-руководителей.
Н1 гипотеза – уровень выраженности аутосимпатии у женщин-руководителей ниже уровня выраженности аутосимпатии у мужчин-руководителей.
| Сравнение двух независимых выборок | |
| Тест Манна-Уитни | |
| Значение U-критерия | 25 |
U (большее) = 25 < U 0,01, следовательно принимаем гипотезу Н1.
Таким образом, уровень аутосимпатии, а значит и уровень самооценки у мужчин-руководителей выше, чем у женщин.
Шкала ожидания положительного отношения от окружающих. По итогам диагностики по шкале ожидания положительного отношения от окружающих, испытуемые обеих выборок показали средний уровень выраженности данного признака. Число испытуемых с низкой выраженностью данного признака невелико (12% у женщин и 14% у мужчин), у большей части женщин и мужчин ожидание положительного отношения находится на среднем уровне выраженности (73% и 69% соответственно), у оставшихся 15% женщин и 17% мужчин очень высок уровень ожидания положительного отношения от окружающих.
Для подтверждения полученных результатов проведено сравнение показателей. Нами были выдвинуты следующие статистические гипотезы:
Н0 гипотеза – уровень выраженности ожидания положительного отношения от окружающих у мужчин-руководителей не ниже уровня выраженности ожидания положительного отношения от окружающих у женщин-руководителей.
Н1 гипотеза – уровень выраженности ожидания положительного отношения от окружающих у мужчин-руководителей ниже уровня выраженности ожидания положительного отношения от окружающих у женщин-руководителей.
| Сравнение двух независимых выборок | |
| Тест Манна-Уитни | |
| Значение U-критерия | 182,5 |
U (большее) = 182,5 >U 0,05, принимаем гипотезу Н0.
Таким образом, достоверных различий в выраженности ожидания положительного отношения от окружающих между мужчинами и женщинами не существует. И те, и другие во многом зависят от оценок окружающих.
Шкала самоинтереса. Данная шкала отражает меру близости к себе, интерес к собственным мыслям и чувствам, уверенность в собственном интересе для других. По данной шкале подростки также показали средний уровень выраженности данного признака. По данной шкале небольшой процент испытуемых как женщин, так и мужчин с низким уровнем выраженности самоинтереса (9% у женщин и 11% у мужчин). Подавляющее большинство имеют высокие показатели выраженности интереса к себе и уверенности в собственном интересе для других, так 29% женщин и 33% мужчин имеют высокие показатели по данной шкале, 62% женщин и 56 % мужчин – средние. Явных различий в процентных показателях по данной шкале не обнаружено.
Для подтверждения полученных результатов проведено сравнение показателей. Нами были выдвинуты следующие статистические гипотезы:
Н0 гипотеза – уровень выраженности самоинтереса у мужчин-руководителей не ниже уровня выраженности самоинтереса у женщин-руководителей.
Н1 гипотеза – уровень выраженности самоинтереса у мужчин-руководителей ниже уровня выраженности самоинтереса у женщин-руководителей.
| Сравнение двух независимых выборок | |
| Тест Манна-Уитни | |
| Значение U-критерия | 167,0 |
U (большее) = 167,0 >0,5принимаем гипотезу Н0.
Таким образом, уровень выраженности самоинтереса в выборках не имеет статистически значимых различий. Уровень выраженности самоинтереса как у мужчин, так и у женщин находится на среднем уровне.
Обобщенный фактор "глобального самоотношения". Данная шкалапозволяет оценить глобальное самоотношения, оценить чувство "за" и "против" себя. Более положительное самоотношение к себе, по итогам тестирования, имеют мужчины-руководители: 26% - высокий уровень выраженности, 58% - средний и 16% низкий. У женщин -руководителей же 17% имеют высокие показатели по данному фактору, 51% - средние и 32% низкие. Как мы видим, процентное соотношение показывают, что мужчины более позитивно настроены по отношению к себе, чем женщины .
Для подтверждения полученных результатов проведено сравнение показателей. Нами были выдвинуты следующие статистические гипотезы:
Н0 гипотеза – уровень выраженности фактора глобального самоотношения у женщин-руководителей не ниже уровня выраженности фактора глобального самоотношения у мужчин-руководителей.
Н1 гипотеза – уровень выраженности фактора глобального самоотношения у женщин-руководителей ниже уровня выраженности фактора глобального самоотношения у мужчин-руководителей.
| Сравнение двух независимых выборок | |
| Тест Манна-Уитни | |
| Значение U-критерия | 127,0 |
U 0,01< U (большее) = 127,0 < U 0,05, различия находятся на 5% уровне значимости.
Таким образом, уровень выраженности фактора глобального самоотношения у мужчин-руководителей несколько выше по сравнению с женщинами, но такие различия находятся на 5% уровне, что не дает нам право утверждать, что различия являются достоверными. Подводя итог результатов по шкалам теста-опросника В.В. Столина, представим полученные данные в виде диаграмм.
Диаграмма 1. Процентное распределение показателей по тесту-опроснику самоотношения В.В. Столина у женщин -руководителей.

Диаграмма 2. Процентное распределение показателей по тесту-опроснику самоотношения В.В. Столина у мужчин-руководителей

Диагностика самооценки (методика "Вербальная диагностика самооценки личности".)
Данная методика позволяет определить нам уровень самооценки (чем ниже балл, тем выше самооценка). Она позволяет определить уровень самооценки как: высокий, средний и низкий. Все полученные результаты распределены по выборкам и занесены в сводный протокол исследования.
Опираясь на данные количественного анализа, мы можем сказать, что женщины-руководители нашей выборки показали в большинстве своем низкий и средний уровень выраженности самооценки, в то время как мужчины-руководители имеют меньшее количество лиц с низким показателем самооценки. В количественном виде мы можем представить следующем образом: у мужчин – 27% с высоким уровнем самооценки, 54% со средним и 19% с низким; у женщин - 12% с высоким, 49% со средним и 39% с низким уровнем самооценки.
Для подтверждения полученных результатов проведено сравнение показателей. Нами были выдвинуты следующие статистические гипотезы:
Н0 гипотеза – уровень выраженности выборке самооценки у женщин-руководителей не ниже уровня выраженности самооценки у мужчин-руководителей.
Н1 гипотеза - уровень выраженности выборке самооценки у женщин-руководителей ниже уровня выраженности самооценки у мужчин-руководителей.
| Сравнение двух независимых выборок | |
| Тест Манна-Уитни | |
| Значение U-критерия | 98,5 |
U (большее) = 98,5 < U 0,01, следовательно принимаем гипотезу Н1.
Исходя из вышеуказанного, мы можем сделать вывод, что различия уровня самооценки у мужчин и женщин статистически значимы. Женщины имеют значительно низкий уровень самооценки
Уровень самооценки у женщин ниже, чем у мужчин, что подтверждает результаты по шкале аутосимпатии теста-опросника Столина и соотносится с данными ранее проведенных исследований Р. Дрейера и Дж. Оффера.
Женщины более пассивны, тревожны, неуверенны в себе, недооценивают свои возможности.
Мужчины же, наоборот, более уверены в себе, стремятся достигнуть каких-то успехов, активны, оптимистично настроены.
Представим наглядно полученный результат в виде диаграммы.
Диаграмма 3. Процентное соотношение показателей выраженности уровня самооценки у мужчин и женщин-руководителей

Исходя из вышеуказанного, мы можем сделать вывод, что различия уровня самооценки у мужчин и женщин статистически значимы. Уровень самооценки у женщин ниже, чем у мужчин, что подтверждает результаты по шкале аутосимпатии теста-опросника Столина и соотносится с данными ранее проведенных исследований Р. Дрейера и Дж. Оффера. Женщины более пассивны, тревожны, неуверенны в себе, недооценивают свои возможности. Мужчины же, наоборот, более уверены в себе, стремятся достигнуть каких-то успехов, активны, оптимистично настроены.
Мотивация избегания неудач.
Опираясь на полученные данные, мы можем отметить, что:
- 50% женщин-руководителей показали средний уровень мотивации избегания неудач, 18% - низкий, 28% высокий и 4% слишком высокий уровень;
- 45%мужчин-руководителей, показали средний уровень мотивации избегания неудач, 5% - низкий, 48% - высокий и 2% слишком высокий. Как мы видим, средние результаты этих двух групп не имеют особых отличий, но в отличие от женщин, у мужчин больший процент высокого уровня и меньший процент низкого уровня избегания неудач. Изобразим графически полученные результаты.
Диаграмма 4. Распределение показателей мотивации избегания неудач по группам

С помощью статистического анализа мы сравнили показатели обеих выборок, использовав U-критерий Манна-Уитни.
Н0 гипотеза– не существует статистически значимых различий в мотивации избегания неудач у мужчин и женщин-руководителей.
Н1 гипотеза – существуют статистически значимые различия в мотивации у мужчин и женщин-руководителей.
| Сравнение двух независимых выборок | |
| Тест Манна-Уитни | |
| Значение U-критерия | 158,0 |
U (большее) = 158,0 >0,5принимаем гипотезу Н0.
Из чего мы можем сделать вывод, что значимых различий в мотивации избегания неудач не существует.
Мотивация стремления к успеху.
По итогам диагностической работы, мы составили процентное соотношение полученных результатов, получив следующие данные:
- У мужчин-руководителей - 15% испытуемых показали средний уровень мотивации стремления к успеху, 25% - умеренно высокий и 60% слишком высокий;
- У мужчин-руководителей - 2% испытуемых показали низкий уровень мотивации стремления к успеху, 15% средний, 45% - умеренно высокий и 38% слишком высокий.
Из данного процентного соотношения, мы видим, что мужчины-руководители имеют более высокие показатели мотивации стремления к успеху (разница составляет более 20%), в данной выборке отсутствуют испытуемые с низкими показателями.
Полученные результаты представим графически
Диаграмма 5. Распределение показателей мотивации стремления к успеху

Для подтверждения полученных результатов, проведено статистическое сравнение переменных двух выборок.
Гипотеза Н0 – не существует статистически значимых различий в мотивации стремления к успеху у мужчин и женщин-руководителей.
Гипотеза Н1 –существуют статистически значимые различия в мотивации стремления к успеху у мужчин и женщин-руководителей
| Сравнение двух независимых выборок | |
| Тест Манна-Уитни | |
| Значение U-критерия | 58,5 |
U (большее) = 58,5 < U 0,01, следовательно принимаем гипотезу Н1.
Из статистической таблицы выбираем U (большее) = 98,5, что больше U 0,01, значит принимаем гипотезу Н1, различия являются статистически значимыми.
Из чего мы можем сделать вывод, мотивация стремления к успеху мужчин-руководителей выше, чем у женщин.
Уровень готовности к риску.
Исследуя готовность к риску в обеих группах, мы определили, что 64% мужчин-руководителей имеют средний уровень готовности к риску, 21% - слишком осторожны, 15% - склонны к риску; женщины-руководители в 43% случаев, имеют средний уровень готовности к риску, 47% - слишком осторожны и 10% - склонны к риску. Из этого процентного соотношения мы видим, что мужчины-руководители имеют более высокие показатели склонности к риску. Женщины-руководители более осторожны.
Диаграмма 6. Распределение показателей готовности к риску

Для подтверждения полученных результатов, данные распределены по выборкам, проведено статистическое сравнение переменных двух групп.
Гипотеза Н0 – не существует статистически значимых различий в показателях готовности к риску у мужчин и женщин-руководителей. Гипотеза Н1 –существуют статистически значимые различия в мотивации показателях стремления к риску у мужчин и женщин-руководителей.
| Сравнение двух независимых выборок | |
| Тест Манна-Уитни | |
| Значение U-критерия | 101,0 |
U (большее) = 101,0 < U 0,01, следовательно принимаем гипотезу Н1.
Из статистической таблицы выбираем U (большее) = 101,0, что больше U 0,01, значит принимаем гипотезу Н1.
Из чего мы можем сделать вывод, уровень готовности к риску у мужчин-руководителей выше, чем у женщин. Этот факт объясняется тем, что, женщины больше ориентированы на семью, в них срабатывает инстинкт "сохранность очага".
Выводы второй главы
Исходя из результатов исследования, нами были сформулированы следующие выводы:
· Исследование особенности проявления самоотношения у мужчин и женщин-руководителей нами было определено¸ что уровень самоуважения, ожидания положительного отношения от окружающих у мужчин и женщин-руководителей не отличается; в то время как по шкалам аутосимпатия, самоинтерес, глобальное самоотношение ярче выражены у мужчин-руководителей.
· Исследование вербальной самооценки показало, что уровень самооценки выше у мужчин-руководителей.
· Не выявлено значимых различий по показателям исследования мотивации избегания неудач.
· Выявлено, что мужчины-руководители имеют значительно более выраженный уровень мотивации достижения успеха.
· Кроме того, мужчины-руководители имеет значительно более высокий уровень готовности к риску.
Заключение
Основными составляющими этой работы являются теоретическая часть, которая включает в себя обзор литературы по проблеме обследования и описание его предмета, основные подходы к исследованию данного психологического феномена, а также краткую характеристику основных методов его измерения, и эмпирическая часть, где описывается порядок организации и проведения исследования, также описаны использованные методы в исследовании, процедуры обработки и анализа исходных данных.
Теоретической основой работы явились фундаментальные труды по изучению мотивации достижения таких ученых, как: Дж. Аткинсон, Д. Мак-Клелланд,Х. Хекхаузен и др.
И работы в области самооценки: Хорни К., Будасси С. А., Берне Р., Петровский А. В. и др.
Анализ литературных источников показал, что самооценка более устойчива у мальчиков и мужчин, чем у девочек и женщин. На эти половые различия влияют 4 фактора: степень открытости во взаимоотношениях, реакция на обратную связь, стресс, связанный с отношениями с близкими людьми, и защитные механизмы (компенсаторное поведение, стратегии самопрезентации и самоусиления).
Мужчины выстраивают более мощную защиту своей самооценки. Некоторые феномены проявляются у них более ярко, чем у женщин.
С дошкольного до подросткового возраста мальчики и девочки практически не отличаются по уровню притязаний и мотивации по отношению к учебе и оценкам ее успешности. В то же время девочки превосходят мальчиков по стремлению к автономным достижениям и по реальным успехам в школе на протяжении всего периода обучения.
У взрослых обнаружилось, что женщины демонстрируют более высокую мотивацию достижений в нейтральных условиях, мужчинам для повышения мотивации нужна специальная достиженческая (интеллектуально-лидерская) стимуляция, а женщинам для повышения мотивации необходимы социальные стимулы (связанные с принятием их группой). Мотивацион-ный профиль также связан с полом проективного образа.
У девочек в дошкольном возрасте преобладает ориентация на задачу, а у мальчиков — личностная ориентация (на взаимодействие со сверстниками); ориентация на взаимодействие со взрослыми одинакова у обоих полов. Мотивация аффилиации более развита у девочек.
В целом ни один пол не проявляет большего интереса, чем другой, ни к самой деятельности, ни к наградам и одобрению, которые с ней связаны. Однако во взрослом возрасте два вида мотивации — достижения и аффилиации (связанные с карьерой и семьей) — могут порождать у женщин ролевой конфликт — в зависимости от культуры, в которой они формируются.
Различия между мужчинами и женщинами проявлялись при описании ими своего стиля руководства и методов влияния на подчиненных. Мужчины-менеджеры описывают свой стиль, который специалисты по управлению называют "деловым". Это означает, что свою работу они видят как серию дел (или сделок) с подчиненными – с награждением за оказанные услуги или наказанием за некачественную работу. При этом они чаще пользуются властью, которую дает занимаемая ими должность.
Женщины-менеджеры осуществляют руководство таким образом, чтобы подчиненные преобразовывали свои интересы с учетом интересов групп, ставя перед собой более широкие цели. Свою власть женщины связывают с личными качествами – обаянием, контактностью, умением общаться с людьми, а не с занимаемой должностью. Интервью с женщинами – менеджерами позволили понять, как эти женщины видят себя в роли лидеров, в чем принципиальное отличие их стилей руководства от традиционного командного. Роузнер назвала их стиль "преобразовательным". Основной характеристикой такого стиля является активное взаимодействие с подчиненными.
Эмпирическое исследование показало, что проявления самоотношения у мужчин и женщин-руководителей нами было определено¸ что уровень самоуважения, ожидания положительного отношения от окружающих у мужчин и женщин-руководителей не отличается; в то время как по шкалам аутосимпатия, самоинтерес, глобальное самоотношение ярче выражены у мужчин-руководителей. Исследование вербальной самооценки показало, что уровень самооценки выше у мужчин-руководителей. Не выявлено значимых различий по показателям исследования мотивации избегания неудач. Выявлено, что мужчины-руководители имеют значительно более выраженный уровень мотивации достижения успеха. Кроме того, мужчины-руководители имеет значительно более высокий уровень готовности к риску.
Полученные результаты соотносятся с данными предшествующих исследований и не идут с ними в разрез. Гипотеза исследования нашла свое подтверждение.
Список использованной литературы
1. Агеев В. С. Психологические и социальные функции полоролевых стереотипов // Вопросы психологии. - 1987. - № 2.
2. Алешина Ю. Е., Воловин А. С. Проблемы усвоения ролей мужчины и женщины // Вопросы психологии. - 1991.- № 4.
3. Алешина Ю. Е., Лекторская Е. В. Ролевой конфликт работающей женщины // Вопросы психологии. - 1989. - № 5.
4. Арканцева Т. А., Дубовская Е. М. Полоролевые представления современных подростков как действенный фактор их самооценки // Мир психологии. - 1999. - № 3.
5. Арутюнян М. Ю. Кто Я? Проблема самоопределения юношей и девушек-подростков // Женщины и социальная политика (гендерный аспект). - М., 1992.
6. Бабаева Л. В., Чирикова А. Е. Женщины в бизнесе // Социологические исследования. - 1996. - № 3.
7. Балибалова Д. И. Женщина в условиях перехода к рыночной экономике // Феминизм и российская культура. - СПб., 1995.
8. Баскакова М. Е. Замужняя женщина: семья или работа? // Семья в России. - 1995. - № 3-4.
9. Бендас Т. В. Гендерные исследования лидерства // Вопросы психологии. - 2000. - № 1.
10. Бендас Т. В. Гендерная психология лидерства. - Оренбург: Изд-во ОГУ, 2000.
11. Берн Ш. Гендерная психология. – СПб., 2001.
12. Бриджер С. Язык дискриминации - наследство перестройки российским женщинам // Гендерные аспекты социальной трансформации. - М., 1996.
13. Весельницкая Е. Женщина в мужском мире. - СПб., 1993.
14. Визгина А. В., Пантилеев С. Р. Проявление личностных особенностей в самоописаниях мужчин и женщин // Вопросы психологии. - 2001. - № 3.
15. Гаврилица О. А. Чувство вины у работающей женщины // Вопросы психологии. - 1998. - № 4.
16. Гейманс. Психология женщины. - СПб., 1999.
17. Герасимова Н. Ценностные ориентации личности в период ранней взрослости // Ананьевские чтения-98: Тезисы научно-практической конференции. - СПб., 1998.
18. Горчакова В. Г. Психология женщины-профессионала: Автореф. дис.... д-ра наук. - СПб., 2000.
19. Гусева А. Г. Психологические механизмы развертки представлений юношей и девушек о своей внешности и понимания личности // Вопросы психологии межличностного познания и общения. - Краснодар, 2005.
20. Джонсон Р. Она. Глубинные аспекты женской психологии. - Харьков; М., 1995.
21. Ермолин А. В. Возрастно-половые и типические особенности представленности в сознании структуры мотива. - СПб., 1996.
22. Здравомыслова Е. А., Темкина А. А. Социология гендерных отношений и гендерный подход в социологии // Социс. - 2000. - № 11.
23. Каган В. Е. Стереотипы мужественности - женственности и образ "Я" у подростков // Вопросы психологии. - 1989. - № 3.
24. Клецина И. С. Гендерная социализация. - СПб.: Изд. РГПУ им. А. И. Герцена, 1998.
25. Кораблина Е. П. Становление личности женщины // Психологические проблемы самореализации личности. - СПб.: Изд-во СПбГУ, 1998. - Вып. 1.
26. Круглова М. А. Мотивация активности личности как регулятор социального поведения // Ананьевские чтения-99: Тезисы научно-практической конференции. - СПб., 1999.
27. Кубышкина М. Л. Психологические особенности мотивации социального успеха: Автореф. дис. ...канд. - СПб., 1997.
28. Лукьянова З. Н. Влияние самооценки внешности учащегося на его общение с другими людьми // Вопросы психологии. - 1989. - № 3. Митина О. В. Исследование гендерного женского поведения в социальном и кросскультурном аспектах // Общественные науки и современность. - 1999. - № 1.
29. Мороз О. М. Опыт исследования информативности самооценки в связи с некоторыми личностными особенностями // Тезисы научных сообщений советских психологов к XXI Международному психологическому конгрессу. - М., 1996.
30. Петрова С. М. Мотивационная обусловленность Я-концепции личности в юношеском возрасте: Автореф. дис.... канд. наук. - СПб., 1995.
31. Раковская О. А. Особенности становления профессиональной карьеры женщин // Гендерные аспекты социальной трансформации. - М., 1996.
32. Реан А. А., Андреева Т. В., Киреева Н. Н., Москвичева Н. Л. О ценностно-мотивационной сфере студентов-универсантов // Ананьевские чтения-99: Тезисы научно-практической конференции. - СПб., 1999.
33. Ржаницына Л. С., Сергеева Г. П. Женщины на российском рынке труда // Социологические исследования. - 1995..
34. Роузнер Дж. Женщина в директорском кресле // Вы и мы. - 1995. - № 5.
35. Рыбцова Л. Л. Жизненные ценности женщин // Социс. - 1997. - № 10. -
36. Сарфати X. Модели карьеры мужчин и женщин в исследовании и развитии. Взгляд из МОТ // Высшее образование в Европе. - 1992. - Т. 17, № 2.
37. Сафонова М. В. Социально-психологические особенности женщин, успешных в карьере. Автореф. дис.... канд. наук. - СПб, 1999.
38. Усачева Н. А. Женщина: ее статус, судьба и образ в мировой культуре. - Алматы: Гылым, 1994.
39. Хекхаузен Х. Мотивация и деятельность: В 2-х т.- М.: Педагогика, 2006.
40. Хекхаузен X. Психология мотивации достижения. - СПб., 2001.
41. Ходырева Г. Л. Женщины в менеджменте // Психология менеджмента / Под ред. Г. С. Никифорова. - СПб.: Изд-во СПбГУ, 1997.
42. Чирикова А. Е. Личностные предпосылки успешности деятельности российских предпринимателей // Психологический журнал. - 1999. - № 3.
43. Чугунова Э. С. Связь профессиональной мотивации и творческой активности инженеров // Вопросы психологии. - 1986. - № 4.
44. Шакеева Ч. А. К структуре ценностных ориентации молодежи в новой социально-экономической среде // Психология: итоги и перспективы: Тезисы научно-практической конференции. - СПб., 1996.
45. Щербич Л. И. Карьера женщины: ее смысл и значение // Социальная феноменология. - Самара: Изд-во СГУ., 1997.
ПРИЛОЖЕНИЯ
Приложение 1
Тест-опросник самоотношения В.В. Столина
Тест-опросник самоотношения В.В.Столина построен в соответствии с разработанной В.В.Столиным иерархической моделью структуры самоотношения.
Опросник включает следующие шкалы:
Шкала S - измеряет интегральное чувство "за" или "против" собственного "Я" испытуемого;
Шкала I - самоуважение;
Шкала II - аутосимпатия;
Шкала III - ожидание положительного отношения от других;
Шкала IV - самоинтерес.
Обработка результатов
Показатель по каждому фактору подсчитывается путем суммирования утверждений, с которыми испытуемый согласен, если они входят в фактор с положительным знаком; и утверждения, с которыми испытуемый не согласен, если они входят в фактор с отрицательным знаком.
При значении показателя меньше 50 - признак не выражен;
50-74 - признак выражен;
Больше 74 - признак ярко выражен.
Текст опросника
1. Думаю, что большинство моих знакомых относятся ко мне с симпатией.
2. Мои слова не так уж часто расходятся с делом.
3. Думаю, что многие видят во мне что-то сходное с собой.
4. Когда я пытаюсь себя оценить, я прежде всего вижу свои недостатки.
5. Думаю, что как личность я вполне могу быть притягательным для других.
6. Когда я вижу себя глазами любящего меня человека, меня неприятно поражает то, насколько мой образ далек от действительности.
7. Мое "Я" всегда мне интересно.
8. Я считаю, что иногда не грех пожалеть самого себя.
9. В моей жизни есть или по крайней мере были люди, с которыми я был чрезвычайно близок.
10. Собственное уважение мне еще надо заслужить.
11. Бывало, и не раз, что я сам себя остро ненавидел.
12. Я вполне доверяю своим внезапно возникшим желаниям.
13. Я сам хотел во многом себя переделать.
14. Мое собственное "Я" не представляется мне чем-то достойным глубокого внимания.
15. Я искренне хочу, чтобы у меня было все хорошо в жизни.
16. Если я и отношусь к кому-нибудь с укоризной, то прежде всего к самому себе.
17. Случайному знакомому я скорее всего покажусь человеком приятным.
18. Чаще всего я одобряю свои планы и поступки.
19. Собственные слабости вызывают у меня что-то наподобие презрения.
20. Если бы я раздвоился, то мне было бы довольно интересно общаться со своим двойником.
21. Некоторые свои качества я ощущаю как посторонние, чужие мне.
22. Вряд ли кто-либо сможет почувствовать свое сходство со мной.
23. У меня достаточно способностей и энергии воплотить в жизнь задуманное.
24. Часто я не без издевки подшучиваю над собой.
25. Самое разумное, что может сделать человек в своей жизни - это подчиниться собственной судьбе.
26. Посторонний человек, на первый взгляд, найдет во мне много отталкивающего.
27. К сожалению, если я и сказал что-то, это не значит, что именно так и буду поступать.
28. Свое отношение к самому себе можно назвать дружеским.
29. Быть снисходительным к своим слабостям вполне естественно.
30. У меня не получается быть для любимого человека интересным длительное время.
31. В глубине души я бы хотел, чтобы со мной произошло что-то катастрофическое.
32. Вряд ли я вызываю симпатию у большинства моих знакомых.
33. Мне бывает очень приятно увидеть себя глазами любящего меня человека.
34. Когда у меня возникает какое-либо желание, я прежде всего спрашиваю у себя, разумно ли это.
35. Иногда мне кажется, что если бы какой-то мудрый человек смог увидеть меня насквозь, он тут же понял, какое я ничтожество.
36. Временами я сам собой восхищаюсь.
37. Можно сказать, что я ценю себя достаточно высоко.
38. В глубине души я никак не могу поверить, что я действительно взрослый человек.
39. Без посторонней помощи я мало что могу сделать.
40. Иногда я сам себя плохо понимаю.
41. Мне очень мешает недостаток энергии, воли и целеустремленности.
42. Думаю, что другие в целом оценивают меня достаточно высоко.
43. В оей личности есть, наверное, что-то такое, что способно вызывать у других острую неприязнь.
44. Большинство моих знакомых не принимает меня уж так всерьез.
45. Сам у себя я довольно часто вызываю чувство раздражения.
46. Я вполне могу сказать, что уважаю себя сам.
47. Даже мои негативные черты не кажутся мне чужими.
48. В целом меня устраивает то, какой я есть.
49. Вряд ли меня можно любить по-настоящему.
50. Моим мечтам и планам не хватает реалистичности.
51. Если бы мое второе "Я" существовало, то для меня это был бы самый скучный партнер по общению.
52. Думаю, что мог бы найти общий язык с любым разумным и знающим человеком.
53. То, что во мне происходит, как правило, мне понятно.
54. Мои достоинства вполне перевешивают мои недостатки.
55. Вряд ли найдется много людей, которые обвинят меня в отсутствии совести.
56. Когда со мной случаются неприятности, как правило, я говорю "И по делом тебе".
57. Я могу сказать, что в целом я контролирую свою судьбу.
Результаты исследования
| Женщины | Мужчины | ||||||||
| №п/п | Шкалы | № п/п |
Шкалы | ||||||
| 1 | 2 | 3 | 4 | 1 | 2 | 3 | 4 | ||
| 1 | 60 | 34 | 59 | 78 | 1 | 39 | 51 | 67 | 67 |
| 2 | 45 | 45 | 45 | 34 | 2 | 45 | 45 | 55 | 34 |
| 3 | 56 | 36 | 67 | 35 | 3 | 56 | 34 | 34 | 45 |
| 4 | 59 | 48 | 75 | 67 | 4 | 57 | 66 | 45 | 51 |
| 5 | 45 | 35 | 34 | 34 | 5 | 45 | 75 | 67 | 49 |
| 6 | 67 | 51 | 45 | 45 | 6 | 67 | 53 | 34 | 62 |
| 7 | 75 | 62 | 67 | 51 | 7 | 57 | 68 | 56 | 53 |
| 8 | 34 | 34 | 55 | 49 | 8 | 43 | 78 | 45 | 54 |
| 9 | 45 | 33 | 34 | 62 | 9 | 56 | 34 | 67 | 69 |
| 10 | 67 | 29 | 45 | 53 | 10 | 81 | 35 | 34 | 61 |
| 11 | 55 | 45 | 67 | 54 | 11 | 39 | 67 | 56 | 70 |
| 12 | 34 | 46 | 34 | 69 | 12 | 56 | 34 | 78 | 78 |
| 13 | 45 | 67 | 56 | 61 | 13 | 48 | 45 | 34 | 34 |
| 14 | 67 | 23 | 48 | 70 | 14 | 34 | 51 | 35 | 35 |
| 15 | 34 | 31 | 34 | 78 | 15 | 58 | 49 | 67 | 67 |
| 16 | 56 | 49 | 58 | 34 | 16 | 69 | 62 | 34 | 34 |
| 17 | 78 | 32 | 69 | 35 | 17 | 71 | 60 | 45 | 39 |
| 18 | 34 | 45 | 71 | 67 | 18 | 34 | 45 | 67 | 56 |
| 19 | 35 | 29 | 34 | 34 | 19 | 35 | 56 | 55 | 48 |
| 20 | 67 | 36 | 35 | 45 | 20 | 67 | 57 | 34 | 34 |
Приложение 2
Вербальная диагностика самооценки личности
Инструкция. По каждому из суждений теста на самооценку надо дать ответ "очень часто", "часто", "редко" или "никогда" в зависимости от того, насколько свойственны вам мысли, описанные в тесте.
Опросник
1. Мне хочется, чтобы мои друзья подбадривали меня.
2. Постоянно чувствую свою ответственность в учебе.
3. Я беспокоюсь о своем будущем.
4. Многие меня ненавидят.
5. Я обладаю меньшей инициативой, чем другие.
6. Я беспокоюсь за свое психическое состояние.
7. Я боюсь выглядеть глупым.
8. Внешний вид других куда лучше, чем мой.
9. Я боюсь выступать с речью перед незнакомыми людьми.
10. Я часто допускаю ошибки.
11. Я не умею говорить с людьми как следует.
12. Мне не хватает уверенности в себе.
13. Мне хочется, чтобы мои действия одобрялись другими чаще.
14. Я слишком скромен.
15. Моя жизнь бесполезна.
16. Многие неправильного мнения обо мне.
17. Мне не с кем поделиться своими мыслями.
18. Люди ждут от меня очень многого.
19. Люди не особенно интересуются моими достижениями.
20. Я слегка смущаюсь.
21. Я чувствую, что многие люди не понимают меня.
22. Я не чувствую себя в безопасности.
23. Я часто волнуюсь понапрасну.
24. Я чувствую себя неловко, когда вхожу в комнату, где уже сидят люди.
25. Я чувствую себя скованным.
26. Я чувствую, что люди говорят обо мне за моей спиной.
27. Я уверен, что люди почти все принимают легче, чем я.
28. Мне кажется, что со мной должна случиться какая-нибудь неприятность.
29. Меня волнует, как люди относятся ко мне.
30. Как жаль, что я необщителен.
31. В спорах я высказываюсь только тогда, когда уверен в своей правоте.
32. Я думаю о том, чего ждут от меня одноклассники.
Ключ к тестовому заданию
Подсчет баллов производится по схеме: "очень часто" - 4 балла, "часто" - 3, "редко" -2, "никогда" - 0.
0-25 баллов свидетельствуют о высоком уровне самооценки, при котором человек, как правило, уверен в себе, правильно реагирует на замечания других и редко сомневается в необходимости своих действий.
26-45 баллов - показатель среднего уровня самооценки, человек редко страдает комплексом неполноценности, лишь время от времени старается подстроиться под мнение других пюдей.
46-128 баллов - уровень самооценки низкий, человек болезненно переносит критические замечания, не уверен в себе.
| №п/п | Женщины | Мужчины |
| 1 | 34 | 44 |
| 2 | 45 | 45 |
| 3 | 36 | 67 |
| 4 | 48 | 48 |
| 5 | 35 | 56 |
| 6 | 51 | 67 |
| 7 | 62 | 56 |
| 8 | 34 | 56 |
| 9 | 33 | 71 |
| 10 | 29 | 56 |
| 11 | 45 | 67 |
| 12 | 46 | 45 |
| 13 | 67 | 56 |
| 14 | 23 | 57 |
| 15 | 31 | 53 |
| 16 | 49 | 61 |
| 17 | 32 | 53 |
| 18 | 45 | 63 |
| 19 | 29 | 51 |
| 20 | 36 | 66 |
Приложение 3.
МЕТОДИКА ДИАГНОСТИКИ ЛИЧНОСТИ НА МОТИВАЦИЮ К УСПЕХУ Т. ЭЛЕРСА
Вам будет предложен 41 вопрос, на каждый из которых ответьте "ДА" или <НЕТ".
Когда имеется выбор между двумя вариантами, его лучше сделать быстрее, чем отложить на определенное время.
1. Я легко раздражаюсь, когда замечаю, что не могу на все 100% выполнить задание.
2. Когда я работаю, это выглядит так, будто я все ставлю на карту.
3. Когда возникает проблемная ситуация, я чаще всего принимаю решение одним из последних.
4. Когда у меня два дня подряд нет дела, я теряю покой.
5. В некоторые дни мои успехи ниже средних.
6. По отношению к себе я более строг, чем по отношению к другим.
7. Я более доброжелателен, чем другие.
8. Когда я отказываюсь от трудного задания, я потом сурово осуждаю себя, так как знаю, что в нем я добился бы успеха.
9. В процессе работы я нуждаюсь в небольших паузах отдыха.
10. Усердие - это не основная моя черта.
11. Мои достижения в труде не всегда одинаковы.
12. Меня больше привлекает другая работа, чем та, которой я занят.
13. Порицание стимулирует меня сильнее, чем похвала.
14. Я знаю, что мои коллеги считают меня дельным человеком.
15. Препятствия делают мои решения более твердыми.
16. У меня легко вызвать честолюбие.
17. Когда я работаю без вдохновения, это обычно заметно.
18. При выполнении работы я не рассчитываю на помощь других.
19. Иногда я откладываю то, что должен был сделать сейчас.
20. Нужно полагаться только на самого себя.
21. В жизни мало вещей, более важных, чем деньги.
22. Всегда, когда мне предстоит выполнить важное задание, я ни о чем другом не думаю.
23. Я менее честолюбив, чем многие другие.
24. В конце отпуска я обычно радуюсь, что скоро выйду на работу.
25. Когда я расположен к работе, я делаю ее лучше и квалифицированнее, чем другие.
26. Мне проще и легче общаться с людьми, которые могут упорно работать.
27. Когда у меня нет дел, я чувствую, что мне не по себе.
28. Мне приходится выполнять ответственную работу чаще, чем другим.
29. Когда мне приходится принимать решение, Я стараюсь делать это как можно лучше.
30. Мои друзья иногда считают меня ленивым.
31. Мои успехи в какой-то мере зависят от моих коллег.
32. Бессмысленно противодействовать воле руководителя.
33. Иногда не знаешь, какую работу придется выполнять.
34. Когда что-то не ладится, я нетерпелив.
35. Я обычно обращаю мало внимания на свои достижения.
36. Когда я работаю вместе с другими, моя работа дает большие результаты, чем работы других.
37. Многое, за что я берусь, я не довожу до конца.
38. Я завидую людям, которые незагружены работой.
39. Я не завидую тем, кто стремится к власти и положению.
40. Когда я уверен, что стою на правильном пути, для доказательства своей правоты я иду вплоть до крайних мер.
КЛЮЧ
Вы получили по 1 баллу за ответы "ДА" на следующие вопросы 2, 3, 4, 5, 7, 8, 9, 10, 14, 15, 16, 17, 21, 22, 25,Д 26, 27, 28, 29,30, 32, 37, 41. Вы также получили по 1 баллу за ответы "НЕТ" на вопросы 6, 13, 18, 20, 24, 31,3 36, 38, 39. Ответы на вопросы 1,11, 12,19, 23, 33, 34,35, 40 не учитываются. Подсчитайте сумму набранных баллов.
РЕЗУЛЬТАТ
От 1 до 10 баллов: низкая мотивация к успеху;
от 11 до 16 баллов: средний уровень мотивации;
от 17 до 20 баллов; умеренно высокий уровень мотивации;
свыше 21 балла: слишком высокий уровень мотивации к успеху.
Результаты исследования
| №п/п | Женщины | Мужчины |
| 1 | 9 | 12 |
| 2 | 11 | 17 |
| 3 | 7 | 16 |
| 4 | 15 | 11 |
| 5 | 18 | 18 |
| 6 | 9 | 19 |
| 7 | 5 | 20 |
| 8 | 16 | 21 |
| 9 | 18 | 26 |
| 10 | 20 | 16 |
| 11 | 21 | 14 |
| 12 | 11 | 13 |
| 13 | 15 | 18 |
| 14 | 17 | 20 |
| 15 | 8 | 14 |
| 16 | 16 | 17 |
| 17 | 15 | 19 |
| 18 | 16 | 14 |
| 19 | 16 | 11 |
| 20 | 19 | 14 |
Приложение 4
МЕТОДИКА ДИАГНОСТИКИ ЛИЧНОСТИ НА МОТИВАЦИЮ К ИЗБЕГАНИЮ НЕУДАЧ Т. ЭЛЕРСА
Инструкция: Вам предлагается список слов из 30 строк, по 3 слова в каждой строке. В каждой строке выберите только одно из 3-х слов, которое наиболее точно Вас характеризует и пометьте его.
| 1 | 2 | 3 |
| 1. Смелый | бдительный | предприимчивый |
| 2. Кроткий | робкий | упрямый |
| 3. Осторожный | решительный | пессимистичный |
| 4. Непостоянный | бесцеремонный | внимательный |
| 5. Неумный | трусливый | недумающий |
| 6. Ловкий | бойкий | предусмотрительный |
| 7. Хладнокровный | колеблющийся | удалой |
| 8. Стремительный | легкомысленный | боязливый |
| 9. Незадумывающийся | жеманный | непредусмотрительный |
| 10. Оптимистичный | добросовестный | чуткий |
| 11. Меланхоличный | сомневающийся | неустойчивый |
| 12. Трусливый, | небрежный | взволнованный |
| 13. Опрометчивый | тихий | боязливый |
| 14. Внимательный | неблагоразумный | смелый |
| 15. Рассудительный | быстрый | мужественный |
| 16. Предприимчивый | осторожный | предусмотрительный |
| 17. Взволнованный | рассеянный | робкий |
| 18. Малодушный | неосторожный | бесцеремонный |
| 19. Пугливый | нерешительный | нервный |
| 20. Исполнительный | преданный | авантюрный |
| 21. Предусмотрительный | бойкий | отчаянный |
| 22. Укрощенный | безразличный | небрежный |
| 23. Осторожный | беззаботный | терпеливый |
| 24. Разумный | заботливый | храбрый |
| 25. Предвидящий | неустрашимый | добросовестный |
| 26. Поспешный | пугливый | беззаботный |
| 27. Рассеянный | опрометчивый | пессимистичный |
| 28. Осмотрительный | рассудительный | предприимчивый |
| 29. Тихий | неорганизованный | боязливый |
| 30. Оптимистичный | бдительный | беззаботный |
КЛЮЧ
Вы получаете по 1 баллу за следующие выборы, приведенные в ключе (первая цифра перед дефисом означает номер строки, вторая цифра после дефиса - номер столбца, в котором нужное слова. Например, 1/2 означает, что слово, получившее 1 балл в первой строке, во втором столбце — "бдительный"). Другие выборы баллов не получают.
Ключ подсчета
1/2; 2/1; 2/2; 3/1; 3/3; 4/3; 5/2; 6/3; 7/2; 7/3; 8/3; 9/1; 9/2; 10/2; 11/1; 11/2; 12/1; 12/3; 13/2; 13/3; 14/1; 15/1; 16/2; 16/3; 17/3; 18/1; 19/1; 19/2; 20/1; 20/2; 21/1; 22/1; 23/1; 23/3; 24/1; 24/2; 25/1; 26/2; 27/3; 28/1; 28/2; 29/1;29/3; 30/2.
Результат
Чем больше сумма баллов, тем выше уровень мотивации к избеганию неудач, защите.
От 2 до 10 баллов: низкая мотивация к защите;
от 11 до 16 баллов: средний уровень мотивации;
от 17 до 20 баллов: высокий уровень мотивации;
свыше 20 баллов: слишком высокий уровень мотивации к избеганию неудач, защите.
Результаты исследования
| №п/п | Женщины | Мужчины |
| 1 | 6 | 13 |
| 2 | 16 | |
| 3 | 11 | 9 |
| 4 | 16 | 10 |
| 5 | 9 | 14 |
| 6 | 15 | 18 |
| 7 | 18 | 20 |
| 8 | 11 | 24 |
| 9 | 10 | 20 |
| 10 | 20 | 11 |
| 11 | 21 | 7 |
| 12 | 3 | 9 |
| 13 | 16 | 3 |
| 14 | 18 | 16 |
| 15 | 10 | 17 |
| 16 | 3 | 12 |
| 17 | 18 | 10 |
| 18 | 19 | 4 |
| 19 | 20 | 18 |
| 20 | 1 | 6 |
Приложение 5
МЕТОДИКА ДИАГНОСТИКИ СТЕПЕНИ ГОТОВНОСТИ К РИСКУ ШУБЕРТА
Инструкция: Оцените степень своей готовности совершить действия, о которых Вас спрашивают. При ответе на каждый из 25 вопросов поставьте соответствующий балл по следующей схеме:
2 балла - Полностью согласен, полое "ДА"; 1балл - Больше "ДА", чем "Нет"; 0 баллов - Ни "ДА", ни "Нет", нечто среднее; -1 баллов - Больше нет, чем "ДА"; -2 балла - Полное "Нет".
1. Превысили бы Вы установленную скорость, чтобы быстрее оказать необходимую медицинскую помощь тяжелобольному человеку?
2. Согласились бы Вы ради хорошего заработка участвовать в опасной и длительной экспедиции?
3. Стали бы Вы на пути убегающего опасного взломщика?
4. Могли бы ехать на подножке товарного вагона при скорости более 100 км/час?
5. Можете ли Вы на другой день после бессонной ночи нормально работать?
6. Стали бы Вы первым переходить очень холодную реку?
7. Одолжили бы Вы другу большую сумму денег, будучи не совсем уверенным, что он сможет Вам вернуть эти деньги?
8. Вошли бы Вы вместе с укротителем в клетку со львами при его заверении, что это безопасно?
9. Могли бы Вы под руководством извне залезть на высокую фабричную трубу?
10. Могли бы Вы без тренировки управлять парусной лодкой?
11. Рискнули бы Вы схватить за уздечку бегущую лошадь?
12. Могли бы Вы после 10 стаканов пива ехать на велосипеде?
13. Могли бы Вы совершить прыжок с парашютом?
14. Могли бы Вы при необходимости проехать без билета от Таллина до Москвы?
15. Могли бы Вы совершить автотурне, если бы за рулем сидел Ваш знакомый, который совсем недавно был в тяжелом дорожном происшествии?
16. Могли бы Вы с 10-метровой высоты прыгнуть на тент пожарной команды?
17. Могли бы Вы, чтобы избавиться от затяжной болезни с постельным режимом, пойти на опасную для жизни операцию.
18. Могли бы Вы спрыгнуть с подножки товарного вагона, движущегося со скоростью 50 км/час?
19. Могли бы Вы в виде исключения, вместе с семью другими людьми, подняться в лифте, рассчитанном только на шесть человек?
20. Могли бы Вы за большое денежное вознаграждение перейти с завязанными глазами оживленный уличный перекресток?
21. Взялись бы Вы за опасную для жизни работу, если бы за нее хорошо платили?
22. Могли бы Вы после 10 рюмок водки вычислять проценты?
23. Могли бы Вы по указанию Вашего начальника взяться за высоковольтный провод, если бы он заверил Вас, что провод обесточен?
24. Могли бы Вы после некоторых предварительных объяснений управлять вертолетом?
25. Могли бы Вы, имея билеты, но без денег и продуктов, доехать из Москвы до Хабаровска?
Ключ:
Подсчитайте сумму набранных Вами баллов в соответствии с инструкцией.
Общая оценка теста дается по непрерывной шкале как отклонение от среднего значения. Положительные ответы, свидетельствуют о склонности к риску. Значения теста: от –50 до +50 баллов.
Результат:
Меньше –30 баллов: слишком осторожны;
От –10 до +10 баллов: средние значения;
Свыше +20 баллов: склонны к риску.
Результаты исследования
| №п/п | Женщины | Мужчины |
| 1 | -18 | 23 |
| 2 | 34 | 45 |
| 3 | 35 | 36 |
| 4 | -17 | 48 |
| 5 | 34 | 27 |
| 6 | 45 | 41 |
| 7 | 41 | -2 |
| 8 | 49 | 34 |
| 9 | -22 | 33 |
| 10 | 53 | 39 |
| 11 | 34 | 45 |
| 12 | 19 | 46 |
| 13 | -1 | -7 |
| 14 | -10 | -23 |
| 15 | 28 | 31 |
| 16 | 34 | 49 |
| 17 | 35 | 32 |
| 18 | -27 | 45 |
| 19 | 34 | 39 |
| 20 | 45 | 36 |
Похожие рефераты:
Возрастная динамика смысла любви
Степень выраженности личностных характеристик у женщин-сотрудников ОВД МВД России
Гендерные различия проявления застенчивости в зрелом возрасте
Взаимосвязь мотивации трудовой деятельности и направленности личности сотрудников
Организация работы руководителя учреждения культуры с персоналом
Начальное образование мальчиков и девочек в России: гендерный подход
Исследование личностных особенностей в процессе социализации детей в условиях детского дома
Влияние уровня притязаний на характер самоактуализации личности
Особенности "я-концепции" одиноких пожилых людей
Изучение влияние уровня притязаний на характер самоактуализации личности
Мотивация достижения успеха у спортсменов
Гендерные особенности девиаций поведения у подростков
Проблемы коонтогенеза личности в общеобразовательном пространстве
Семейные взаимоотношения и эмоциональное благополучие личности детей