| Скачать .docx |
Дипломная работа: Изучение влияние уровня притязаний на характер самоактуализации личности
Содержание
Введение
1. Теоретические подходы к исследованию самоактуализации и уровня притязания
1.1 Психологическая сущность самоактуализации
1.2 Понятие уровня притязаний в психологии
1.3 Уровень притязания самоактуализирующейся личности
2. Эмпирическое исследование взаимосвязи самоактуализации и уровня притязания
2.1 Программа эмпирического исследования
2.2Анализ результатов исследования притязания и характеристик самоактуализации подростков
Заключение
Глоссарий
Список использованных источников
Приложение А
Приложение Б
При переходе российского общества от тоталитарной, монокультурной системы управления к демократической заметно увеличилось количество степеней свободы в выборе образа жизни, мышления и деятельности каждого человека. Сталкиваясь с большим количеством возможных вариантов проживания своей жизни, человек вынужден интенсивно осознавать свой жизненный опыт и искать собственный путь развития. В таких условиях становятся особенно актуальными такие категории человеческого существования как осмысленность бытия, индивидуальность самовыражения, креативность, аутентичность, развитие своих возможностей, самоосуществление или самоактуализация.
Подобные тенденции нашли свое выражение в середине 20-го века в создании концепции самоактуализации личности, автором которой является А.Маслоу. Данной проблема также изучалась Г Олпортом, К. Роджерсом В. Франклом, А.Г. Асмоловым, В.П. Зинченко, Е.И. Исаевым, А.Н. Леонтьевым, Д.А. Леонтьевым, С.Л. Рубинштейном, В.И. Слободчиковым, Г.А. Цукерманом и другими.
Самоактуализация подразумевает реализацию человеком своих способностей наряду с реализацией личностного потенциала; она одновременно является и целью, к которой движется человек, и процессом данного движения. Стремление к самоактуализации является высшим уровнем мотивации личности, естественным, закономерным и необходимым процессом жизни.
Особое место в изучении эмоционально - мотивационных механизмов включенности человека в деятельность занимают исследования уровня притязаний, особенностей целеполагания личности. От характера уровня притязаний человека зависит успешность его самореализации в учебе и труде, высота и реалистичность целей, которые он ставит перед собой, стратегия достижения этих целей, степень устойчивости в ситуациях фрустрации, в которые человек попадает при движении к намеченной цели. Комплекс подобных знаний о характере уровня притязаний человека дает информационно емкий материал, позволяющий делать прогноз относительно многих особенностей его деятельности в учебной и профессиональной сферах.
К настоящему времени накопилось достаточно большое количество работ зарубежных и отечественных исследователей, посвященных проблеме уровня притязаний. Особый вклад в изучение уровня притязаний внесли Ф.Хоппе, К.Левин, Дж.Аткинсон, С.Эскалона, В.Н.Мясищев, В.С.Мерлин, Г.С.Сухобская, Ю.Н.Кулюткин, Л.И.Божович, Б.В.Зейгарник, Л.В.Бороздина. Наряду с глубокой теоретической проработкой данного понятия и несмотря на то, что проблема уровня притязаний из чисто теоретической все в большей мере становится практической проблемой, наблюдается недостаток исследований, посвященных механизмам влияния на уровень притязаний и уровня приязания на другие характеристики личности.
В связи с этим мы считаем актуальным исследование, темой которого является «Изучение влияние уровня притязаний на характер самоактуализации личности »
Цель исследования: изучение взаимосвязи самоактуализации и уровня притязания личности.
Объект исследования: самоактуализация личности.
Предмет исследования: характеристики самоактуализации личности у подростков с разным уровнем притязаний.
Гипотеза: самоактуализация личности подростков связана с уровнем их притязания.
Задачи исследования:
1 Проанализировать теоретические подходы к исследованию уровня притязаний и характеристик самоактуализации личнсоти;
2 Определить уровень притязания у подростков;
3 Изучить характеристики самоактуализации;
4 Выявить характер связи между уровнем притязания и самоактуализацией личности у подростков.
Для проведения исследования использовались следующие методы:
1. Теоретические: анализ, синтез, систематизация литературы по проблеме исследования.
2. Эмпирические: тестирование
3. Методы качественной и количественной обработки данных: корреляционный анализ данных (метод линейной корреляции К.Пирсона)
Базой эмпирического исследования является школа № 39 г. Брянска. Выборку составили 50 учеников 9-х классов в возрасте 14-15 лет.
Практическая значимость проведенного исследования состоит в том, что полученные результаты могут быть использованы в работе практического психолога, учителей и родителей при решении задач формирования личности. Эти данные также могут содействовать решению проблемы социально-психологической адаптации современной молодежи в новых социальных условиях.
Данная дипломная работа состоит из введения, теоретической и эмпирической глав, заключения, глоссария, списка использованной литературы, приложений.
1. Теоретические подходы к исследованию самоактуализации и уровня притязания
1.1 Психологическая сущность самоактуализации
Теория самоактуализации является ключевым системообразующим элементом гуманистического направления в психологии.
Самоактуализация (этимологически от слова «актуализация») обозначает переход из состояния возможности в состояние действительности, поэтому смысл самоактуализации как процесса саморазвития личности наиболее точно выражает слово «проявление». Проявить себя – выявить свои возможности, способности. Через активное проявление личности объясняют процесс самоактуализации ведущие представители экзистенциально-гуманистического направления (К. Гольдштейн, Э. Деси, А. Маслоу, Р. Мэй, Г. Олпорт, Р. Райн, К. Роджерс, В. Франкл). Основополагающей является идея о том, что осознанное стремление к максимально возможному раскрытию своего человеческого потенциала и его реализации в практической жизнедеятельности на благо общества путем самоактуализации является необходимым фактором полноценного развития человека.
Методологические обоснования процесса самоактуализаци рассматриваются К. Гольдштейном как основной и по существу единственный мотив человеческой жизни. Будучи нейрофизиологом, который занимался в основном пациентами с поврежденным мозгом, Гольдштейн рассматривал самоактуализацию как фундаментальный процесс в каждом организме, который может иметь как позитивные, так и негативные последствия для индивидуума. Гольдштейн писал, что "организм управляется тенденцией актуализировать в наибольшей возможной степени свои индивидуальные способности, свою природу в мире" [11, С. 169].
Гольдштейн утверждает, что ослабление напряжения является сильным побуждением только у больных организмов. Для здорового организма первичной целью является "формирование определенного уровня напряжения, такого, который сделает возможной дальнейшую упорядоченную деятельность" [11, С. 195-196]. Такое влечение, как голод, – это особый случай самоактуализации, в котором напряжение-разрешение ищется для того, чтобы возвратить организм к оптимальному состоянию для дальнейшего выражения его способностей. Однако лишь в ненормальных ситуациях это влечение становится слишком настоятельным. Гольдштейн утверждает, что нормальный организм может временно отложить еду, секс, сон и т.д., если другие мотивы, такие как любопытство или желание игры, вызывают это.
По Гольдштейну, успешное обращение со средой часто включает определенную долю неуверенности и шока. Здоровый самоактуализирующийся организм часто вызывает такой шок, входя в новые ситуации ради использования своих возможностей. Для Гольдштейна (как и для Маслоу) самоактуализация не означает конца проблем и трудностей, напротив, рост часто может принести определенную долю боли и страдания. Гольдштейн писал, что способности организма определяют его потребности. Наличие пищеварительной системы делает еду необходимостью; наличие мышц требует движения. Птица нуждается в том, чтобы летать, а художник нуждается в том, чтобы творить, даже если акт творчества требует болезненной борьбы и значительных усилий.
Г. Олпорт утверждает, что самоактуализация – это способность видеть целостную картину мира благодаря ясному, систематическому и последовательному выделению значимого в собственной жизни; это широкие границы «Я», способность посмотреть на себя «со стороны» [21, С. 157].
К. Роджерс понимает стремление к актуализации как стремление к росту, развитию, созреванию, тенденцию проявлять и активизировать все возможности организма; как проявление «само-строительства» и своего реального «Я» [25, С. 119].
Тенденция к самоактуализации, по К. Роджерсу, есть проявление глубинной тенденции к актуализации: «Подтверждением этому служит универсальность проявления этой тенденции во вселенной, на всех уровнях, а не только в живых системах… Мы подключаемся к тенденции, пронизывающей всю фактическую жизнь и выявляющей всю сложность, на которую способен организм. На еще более широком уровне, как я уверен, мы имеем дело с могучей созидательной тенденцией, сформировавшей нашу вселенную: от самой крохотной снежинки до самой огромной галактики, от самой ничтожной амебы до самой тонкой и одаренной личности. Возможно, мы касаемся острия нашей способности преобразовывать себя, создавать новые, более духовные направления в эволюции человека» [25, С 121].
А. Маслоу определяет самоактуализацию «как такое развитие личности, которое освобождает человека от дефицита проблем роста и от невротических (или инфантильных, или воображаемых, или «ненужных», или «ненастоящих») проблем жизни. Так, что он может обратиться к «настоящим» проблемам жизни (сущностно и предельно человеческим проблемам, неустранимым «экзистенциальным» проблемам, у которых нет окончательного решения), — и не только обратиться, но и устоять перед ними, и взяться за них. То есть самоактуализация — это не отсутствие проблем, но движение от преходящих или ненастоящих проблем к настоящим проблемам» [17, С. 54]
В отечественной психологии теорию самоактуализации развиваю А.Г. Асмолов, В.П. Зинченко, Е.И. Исаев, А.Н. Леонтьев, Д.А. Леонтьев, С.Л. Рубинштейн, В.И. Слободчиков, Г.А. Цукерман и другие.
Понятие самоактуализации рассматривается как процесс развертывания и созревания изначально заложенных в организме и личности задатков, потенций, возможностей; как персонализированная, самоопределившаяся самость среди других, для других, и только таким образом – для себя; как процесс становления человека субъектом собственной жизнедеятельности; как сознательное, намеренное изменение Я-реального в направлении Я-идеального; как самоосуществление «иных культур». Самоосуществление индивидуальности рассматривается как неповторимое единичное проявление мира человека. Она выступает как «случайное», приходящееся только на долю самоактуализирующихся личностей природное качество отдельного человека.
И.А. Витин считает понятие «самоактуализация» центральным в современном научном гуманитарном знании. По его мнению, теория самоактуализации является одной из наиболее удачных попыток не только поставить, но и решить (в известных пределах) проблему личности в современной общественной ситуации. В России значимость разработки этой теории возрастает в связи с отказом от понимания личности как части коллектива и поиском более сложных моделей развития личности, включающих представления о ее неповторимости, уникальности, единственности. Самоактуализация рассматривается И.А. Витиным как процесс непрерывный, предполагающий осознание личностью перспективы собственного и общественного развития, умение видеть альтернативы, осознание ответственности за свой выбор, овладение индивидуальным стилем деятельности благодаря делу, которое человек делает своим [7].
Л.И. Антропова, Н.Л. Кулик и К.Ч. Мухаметджанов рассматривает в философском аспекте самореализацию личности человека как источник, побуждающий к поиску Смысла Жизни и как фактор духовного роста. Н.Л. Кулик, прослеживая философские корни проблемы самоактуализации в отечественной культуре, приходит к выводу о том, что в философии Нового времени впервые эта проблема была поставлена Г. Сковородой, который считал возможным достижение истинно человеческого счастья только в труде по призванию, труде, соответствующем внутренней натуре человека, его склонностям и дарованиям. Н.Л. Кулик видит в самореализации реальный процесс превращения деятельностных характеристик человека, его сущностных сил в способ человеческого бытия, в «мир человека», в предметный мир человеческой культуры. Творческая самодеятельность человека в этом аспекте выступает как способ самоосуществления личности, как внутреннее содержание этой деятельности и единственно достойный человека и общества способ бытия [7].
Согласно А.Г. Асмолову быть личностью – это значит осуществлять выборы, возникшие в силу внутренней необходимости, уметь оценить последствия принятого решения и держать за них ответ перед собой и миром [2, С. 146].
Л.Ф. Вязникова определяет самоактуализацию как реализацию ценностно-смыслового потенциала. Её определяют рефлексивность, качество самоидентификации, позитивная «Я-концепция» и способность проектирования собственной жизни (сотворения настоящего из будущего, а не из прошлого). Е.Б. Весна, Л.Я. Дорфман определяют потребность в самоактуализации и особенности смысловой сферы как наиболее значимый показатель стремления личности к принятию собственной индивидуальности[7].
В.И. Слободчиков и Е.И. Исаев рассматривают личность человека с философско-антропологической позиции как персонализированную, самоопределившуюся самость среди других, для других, и только таким образом – для себя. В этом смысле самоактуализация есть процесс становления человека субъектом собственной жизнедеятельности и требует освоения им норм и способов человеческой деятельности, правил общежития, основных смыслов и ценностей, регулирующих совместную жизнь людей в обществе. Понять свою самость в истинном, полном значении этого слова – значит усмотреть в ней идеальную, очевидно осмысленную необходимость бытия в мире действительности. Только осознание этой истинно духовной реальности позволяет человеку открыть свою субъективную реальность как проекцию самости[28].
Самоактуализация представляет собой также постоянный процесс раскрытия своих потенциальных возможностей. Это означает применение своих способностей и разума и «работа ради того, чтобы делать хорошо то, что ты хочешь делать» [17, С. 48].
Акт самоактуализации – это некоторое конечное число действий, выполняемых субъектом на основании сознательно поставленных перед собой в ходе самореализации целей и выработанной стратегии их достижения. Каждый акт самоактуализации завершается специфической эмоциональной реакцией - «пиковым переживанием», положительным в случае успеха, и отрицательным (боль, разочарование) – в случае неудачи.
Самоактуализация обеспечивается правильностью каждого решения из длинной вереницы жизненных выборов человека. Каждый жизненный выбор продвигает человека на один шаг ближе к личностному регрессу или прогрессу. Самоактуализация – это кумулятивный результат жизненных выборов человека, который движется в направлении пределов собственного развития. «Самоактуализация – это процесс, он предполагает, что каждый раз, делая выбор, мы выбираем, что достойнее остаться честным, не лгать, что честнее не красть, чем красть, или, обобщая, – каждый из вставших перед нами выборов мы совершаем в пользу личностного роста» [16, С. 57].
Понятие «самоактуализация» неявно подразумевает, что у человека наличествует некая «самость», которая должна быть актуализирована. По мнению Маслоу, самость представлена личностными смыслами и ценностями, которые составляют интенциональное ядро человеческой жизни. Часто бывает, что смыслы и ценности личности заслоняются внешними социальными оценками тех или иных моментов бытия. Чужие оценки, будучи ассимилированными человеком, затеняют его личное мнение и, тем самым, отбрасывают его на пути к самоактуализации. Поэтому первейшим шагом к самоактуализации является способность человека доверять не чужим, а собственным оценкам и мнениям, «прислушиваться к внутреннему голосу своей самости» [16, С. 57-58]
Самоактуализация предполагает ответственность за то, что говорит и как поступает человек. Маслоу утверждает, что взятие на себя ответственности за результаты деятельности есть важное условие самоактуализации. «Каждый раз, принимая на себя ответственность, человек самоактуализируется» [16, С. 58].
Самоактуализация требует смелости и мужества, которые могут понадобиться человеку для высказывания и защиты своей точки зрения. По мнению Маслоу, серьезной помехой самоактуализации является боязнь «высунуться», прослыть выскочкой или нелепым чудаком, показаться нонконформистом в глазах других людей. Тем не менее, самоактуализация немыслима без свободы самовыражения.
Маслоу утверждает, что нельзя делать самоактуализацию целью сознательных усилий. Чем больше рвение человека стать самоактуализированной личностью, чем сильнее он тянется к высшим переживаниям, тем упорнее эти состояния убегают от него. Секрет самоактуализации в том, чтобы посвятить все усердие, какое только есть у человека, любимому делу и тогда переживания триумфа от добротно выполненной работы станут мимолетным моментом самоактуализации.
Важным условием самоактуализации является высокий уровень осознанности сильных и слабых сторон своей личности, а также готовность отказаться от психологических защит. Только при этом условии человек может адекватно понять свое призвание и сделать его дорогой к самоактуализации [16, С. 61].
Отказ человека от усилий по реализации своего потенциала чреват возникновением патологии: нервными или психическими расстройствами, соматическими заболеваниям или, в наиболее тяжелом случае, развитием метапатологии, «свертыванием» отдельных способностей, инволюцией, деградацией. Отсутствие в том или ином регионе, стране, сообществе условий для самоактуализации человека приводит к явлениям застоя, социального и экономического кризиса. Проведение властными элитами политики, направленной на воспрепятствование процессам самоактуализации, чревато антисоциальными проявлениями экстремизма, терроризма. Нарастание инволюционных тенденций, вовлечение в процессы инволюции больших групп людей, маргинализация отдельных регионов и стран чреваты серьезной угрозой для развития цивилизации и культуры в целом.
О самоактуализации в широком смысле слова можно говорить на каждом возрастном этапе развития человека. Акт самоактуализации можно увидеть, например, в овладении ребенком определенным навыком (скажем, езды на велосипеде), в овладении подростком техникой игры на гитаре, в овладении школьником определенной суммы знаний, достаточной для успешного поступления в ВУЗ. В каждом случае речь идет о том, что все более продолжительные усилия человека в какой-то момент приводят к осознанию: Я умею! Я знаю! Долго накапливаемые упорным трудом количественные изменения приносят одномоментно проявляющееся новое качество, характеризующее себя в практике жизни как определенная социальная или личная компетентность. Такого рода осознание, дополняемое положительными оценками друзей, экзаменаторов, взрослых, приносит пиковые переживания, которые отражают состояние счастья[21, С. 157].
В строгом значении термина, самоактуализация есть проявление в поведенческом плане способности к саморегуляции. Поэтому, говоря о самоактуализации ребенка, мы должны помнить, что его поведенческие акты определяются по большей части бессознательными мотивами, а регулируются основными эмоциями, прямо связанными с удовлетворением биологических нужд, и внешними факторами контроля. Нижняя возрастная граница возможного наблюдения полноценных актов самоактуализации относится к подростковому возрасту и связывается с (1) обретением подростком понятийного уровня мышления; (2) наличием определенной зрелости механизмов центрального торможения; (3) накопленным в предшествующий период развития опытом положительного решения ситуационно обусловленных проблем; (4) наличием тенденции к саморазвитию в мотивационной сфере. В этом случае возможен, но не неизбежен переход подростка от фантазирования, мечты и игровых мотивов, доминирующих в детстве, к составлению реалистических жизненных планов и попыток их реализации через многошаговые стратегии и саморегуляцию. Именно в этих первых попытках самоактуализации происходит «стыковка» и согласование мотивационной сферы, механизмов когнитивного анализа и волевых аспектов, необходимых для исполнения задуманного. Успехи в попытках самоактуализации позволяют подростку формировать иерархическую структуру мотивов, приобретать высшие формы эмоций и личностные смыслы[11, с. 241].
Таким образом, самоактуализацию можно определить как процесс саморазвития личности, ее личностного роста «изнутри», как процесс становления человека субъектом собственной жизнедеятельности, направленный на выстраивание стратегии жизни, на выстраивание иерархии ценностей, обретения смысла жизни. Она неотделима от процесса рефлексии, пронизывающего все составляющие личностного роста: самопонимание, аутосимпатию, ценности, смыслы.
1.2 Понятие уровня притязаний в психологии
Проблема уровня притязаний находится в самом центре исследований психологических механизмов регуляции деятельности и в непосредственной связи с анализом личностной сферы человека.
Понятие уровня притязаний личности было введено Т. Дембо – сотрудницей К. Левина – для обозначения стремления индивида к цели такого уровня сложности, который, по его мнению, соответствует его способностям. Он определяется двумя факторами: стремлением к успеху и боязнью неудачи. Стремление к успеху выражается в уверенности человека в возможности достичь намеченной цели. Боязнь неудачи связана с опасением, что ожидания не оправдаются, и человек испытает разочарование.
В литературе накопилось довольно много различных определений уровня притязаний .
В.Н.Мясищев понимал уровень притязаний как качественно-количественные показатели, которым должна удовлетворять, с точки зрения исследуемого лица, его производительность [19].
Согласно В.С.Мерлину уровень притязаний отражает ту степень оценки субъектом своих возможностей, в которой он нуждается, чтобы испытать удовлетворение [18].
По Е.А.Серебряковой уровень приязания — это потребность в определенной самооценке, принимаемой и одобряемой человеком [4].
По мнению Н.Л. Коломинского уровень притязаний представляет собой модель самосуществования, образ -Я, который личность считает для себя приемлемым и т.д[4].
Уровнем притязаний называют уровень образа «Я», проявляющийся в степени трудности цели, которую человек ставит перед собой.
Анализируя определения уровня притязания, даваемые различными авторами, Л.В.Бороздина отмечает, что в них (определениях) подчеркиваются отдельные аспекты и, как следствие, термин приобретает множество вариативных значений, что способствует неоднозначности в понимании данного феномена[4].
Но все-таки, большинство авторов сохраняет, в качестве наиболее общего, понимание уровня притязания близкое к исходному, т.е. как уровень трудности выбираемых субъектом целей (Божович, 1968 и др.).
Впервые теория уровня притязаний была предложена Ф.Хоппе в 1930г. Ее возникновение связано с поиском детерминант перехода к новому действию. Теория намерения (или преднамеренной деятельности), предложенная К.Левиным исходила из двух постулатов:
1. Действие, соответствующее намерению, детерминировано особым состоянием напряжения, которое оказывает давление в направлении выполнения намерения.
2. Если цель действия достигнута, давление "системы внутриличност-ного напряжения" стремится к нулю.
Таким образом, возникновение целенаправленной деятельности, согласно данной теории, определяется особым гомеостатическим механизмом: действие возникает в условиях нарушения равновесия между системами напряжения и выполняет функцию восстановления этого равновесия. Развитие гомеостатической модели поведения потребовало ответа на вопрос: каким образом успех или неудача в достижении поставленной цели влияют на возникновение нового действия? Особенно остро стоял вопрос о возникновении нового действия в случае успешной реализации намерения, т.к. в соответствии с теорией К.Левина в этом случае напряженная система, детерминирующая поведение индивида, должна прийти в равновесие. Изучая спонтанное возобновление действия, Ф.Хоппе приходит к выводу, что возобновление действия совершается с новой целью, не тождественной цели предыдущего действия. По его мнению, действие, возобновленное после успешного выполнения, носит характер не простого повторения, а улучшения прежнего достижения, т.е. ряд действий представляет собой некоторую структуру с одной общей целью: сделать как можно лучше[18].
Вводя понятие "уровень притязаний", Ф.Хоппе пишет: "В рассматриваемых здесь случаях испытуемые приступают к работе с определенными притязаниями и ожиданиями, которые в течение действия могут изменяться. Совокупность этих сдвигающихся с каждым достижением то неопределенных, то точных ожиданий и притязаний, связанных с будущим достижением, мы будем называть "уровнем притязаний" испытуемого. Смотря по обстоятельствам, уровень притязаний может колебаться между целью «извлечь из действия максимум достижений» и полным отказом от какого-либо достижения"[10].
Рассматривая ситуацию, в которой проявляется характерный для данного человека уровень притязаний, Ф.Хоппе подчеркивает, что эта ситуация конфликтна. Уровень притязаний проявляется как результат решения конфликта двух разнонаправленных тенденций: тенденции как можно выше поднять притязания, чтобы достичь успеха, и тенденции снизить их, чтобы избежать неудачи. Причем, успех или неудача рассматриваются как переживания, возникающие вследствие достижения или недостижения цели, расположенной в некотором фиксированном интервале трудности - "рабочей зоне задания". Уровень притязаний колеблется между верхней и нижней границами этого интервала. Переживание успеха возникает, если уровень достижения равен или превышает уровень притязаний. Если уровень достижения оказывается ниже уровня притязаний, переживается неудача. Чувства неудачи не возникает, если неуспех соответствует уровню трудности, находящемуся выше верхней границы интервала существования уровня притязаний, т.е. выше "слишком трудных задач". Аналогично, достижение успеха в задачах, уровень трудности которых ниже, чем нижняя граница, ("слишком легкие задачи"), не вызывает переживания успеха.
Анализ работы "Успех и неуспех" показывает, что Ф.Хоппе употребляет термин "уровень притязаний" по крайней мере в двух значениях: во-первых, уровень притязаний является элементом сложной целевой структуры, рассматриваемой в фиксированный момент времени (уровень притязаний в данный момент). Эта схема отражает намерения индивида, связанные с целью актуального действия, а также особенности задания. Второе значение термина "уровень притязаний" относится к последовательности притязаний, соответствующих общей, "идеальной" цели. Ф.Хоппе пишет: "Имеющийся в данный момент уровень притязаний испытуемого соответствует, как правило, одной из целей, которая допускается структурой задания. Ряд факторов позволяет утверждать, что общий образ действий испытуемого определяется не только временной целью, соответствующей уровню притязаний в данный момент, но и более общей, всеохватывающей целью, которая, хотя в данный момент не является актуальной, все же стоит за соответствующей отдельной целью и детерминирует поведение испытуемого" [10, С. 125].
Переход от изучения отдельных действий к исследованию их связи приводит к тому, что уровень притязаний начинает рассматриваться как общая характеристика тактики целеполагания. Д.Франк, развивая эту мысль, определяет уровень притязаний как уровень трудности будущих действий при решении знакомой задачи, который индивид, знающий свой уровень прошлых действий в этой задаче, явно предполагает достичь. В этом определении важно отметить, что речь идет о достаточно знакомой задаче, в которой определен уровень прошлых достижений. По мнению Ф.Хоппе, уровень притязаний выступает в качестве особой детерминанты процесса целеполагания лишь в тех случаях, когда испытуемый внутренне принял цель и пристрастно относится к исходу действия. Если цель выступает для индивида лишь как внешний фактор (например, инструкция, приказ или желание другого, постороннего лица, или когда достижение в незначительной степени зависит от действующего субъекта), уровень притязаний не формируется: "...яснее всего это проявляется в тех случаях, где, несмотря на существование цели действия, вообще не образуется никакого или почти никакого собственного уровня притязаний" [10, С 126]. Отсюда следует, что феномен уровня притязаний проявляется не во всех ситуациях неопределенности достижения и риска, а лишь в тех, где субъект личностно заинтересован в выполнении действия и сознательно соотносит свои возможности и объективную трудность выполнения задачи. Предварительное знакомство с трудностью задания определяет степень реалистичности идеальной цели. В случае успешного достижения частной промежуточной цели идеальная цель становится более реальной. Это не означает, однако, что уровень трудности идеальной цели понижается: "После успеха идеальная цель обычно остается на том же уровне, т.к. она в большинстве случаев с самого начала является максимально высокой для данного испытуемого при выполнении данного задания. Успехи и неудачи изменяют степень реальности идеальной цели, т.е. идеальная цель становится тем более реальной, чем больше фактическое достижение приближается к ней, и теряет в реальности при увеличении расстояния между возможным и желаемым" [10].
Дальнейшее развитие системы понятий, описывающих феномен уровня притязаний и указывающих на степень его реалистичности, прежде всего выразилось во введении различного типа целевых отклонений. Так, для обозначения субъективного расстояния между актуальной целью (уровень притязаний в данный момент) и идеальной целью был введен термин "внутреннее противоречие" (inner discrepancy); несоответствие между актуальной целью (action goal) и уровнем ожидаемого исполнения (level of the expected performance) было обозначено как "несоответствие цель- ожидание" (goal - expectation discrepancy); разница между уровнем притязаний в настоящий момент и уровнем трудности цели, выбранной в предыдущей попытке, была названа отклонением "прошлый поступок-цель" или просто "целевым отклонением" (goal discrepancy); "несоответствие достижения" (attainment discrepancy) определялось как разница между уровнем притязаний и величиной достижения[10].
Таким образом, для более детального описания особенностей уровня притязаний личности выделяются различные по степени реальности уровни; "уровень идеальной цели", "уровень ожиданий", "уровень прошлого достижения", "уровень настоящего достижения". Отклонение уровня притязаний от различных уровней реальности служило для психологов основной характеристикой процесса целеполагания. Развитие описанной выше системы понятий приводит к тому, что одной из основных характеристик уровня притязаний как черты личности становится "реалистичность" индивида.
Реалистичность притязаний означает ориентацию субъекта на определенную плоскость реальности. Люди, обладающие реалистичным уровнем притязаний, отличаются уверенностью в своих силах, настойчивостью в достижении цели, большей продуктивностью, критичностью в оценке достигнутого.
Притязания, достижения, ценности (академические, социальные, этнические) могут оказывать влияние на выбор цели (Bagley, 1986). Так, например, в исследованиях австралийских ученых обнаружено, что англоязычные граждане Зеленого континента (составляющие большинство жителей Австралии) выбирают более престижные профессии, которые имеют высокий статус у жителей страны, чем представители небольших этносов (испано-говорящие, выходцы из Азии). Было также обнаружено, что подростки, чьи родители имеют высокое социально-экономическое положение в обществе стараются выбирать (поступая в соответствующие учебные заведения) престижные профессии.
Было проведено много исследований, касающихся влияния притязаний на успех-неуспех в профессиональной сфере. В исследовании Т.Тивана и Б.Смита постулируется мысль о том, что люди с высокой боязнью неудачи и с низкой потребностью в достижении имеют низкие профессиональные притязания и низкий профессиональный престиж[10].
В рамках исследований притязаний как показателей мотивации достижения изучалась связь профессиональных целей, собственных установок с параметрами достижения (экспертными статусом, достижением независимости, жадностью, соперничеством, отношением превосходства, статусом равенства)
В последние годы популярным становится изучение механизмов уровня притязаний на компьютере. Делаются попытки связать процесс выбора задач разной сложности (в компьютерном варианте) с мотивационной сферой субъекта: выделяются показатели динамических особенностей мотивационной регуляции деятельности индивида, происходит разбиение испытуемых на группы в зависимости от преобладающей мотивации по структуре целеполагания [1]. Данные исследования представляют собой попытки показать возможность эффективного изучения механизмов УП в машинном варианте (без непосредственного контакта с испытуемым), которые, по существу, приводят к излишней детализации в анализе целеполагания и, в целом, упрощают представления об этом процессе.
Изучалось влияние успеха и неудачи на уровень притязаний и внутренние позиции. В исследовании Стейсел и Коэна обнаружено, что при нескольких неудачах в решении задач (арифметических, у студентов) уровень притязаний возрастает (делается попытка решить более сложные задания) и сокращается время на его решение (студент старается быстрее выполнить задание). Это не происходит при слабых неуспехах. В другом исследовании определялось, как влияет успех, неудача в решении достиженческих задач (которые выдавались за задания на индивидуальные способности) на испытуемых. Было установлено, что при успехе изменяется в позитивную сторону самоуважение, повышается эгоцентризм. При неудаче отмечалось снижение самоуважения, социального интереса, властных амбиций[1].
Исследовались отношения уровня притязаний со свойствами личности (тревожность), темперамента (эмоциональная устойчивость). Я.Рейковский установил, что занижение уровень притязаний характерно для так называемых перестраховщиков, отличающихся меньшей эмоциональной устойчивостью, нежели люди, избирающие цели на уровне фактического выполнения. Такую позицию (перестраховщика) определяет эмоция тревоги: ситуативной или пролонгированной. В исследовании А.Н.Капустина (1980) обнаружено, что индивиды с сильной нервной системой обладают высоким и адекватным или завышенным уровень притязания, испытуемые со слабой нервной системой проявляют склонность к занижению притязаний[4].
Эмоции оказывают большое влияние на поведение индивида в ситуации неуспеха. В работе И.А.Васильева отмечается, что в случае неуспеха изменяется стратегия решения задачи: люди, ориентированные на состояние, в следствие переживания негативных эмоций, склонны в дальнейшем решать задачи последовательно — аналитически (что, по экспериментальным данным автора, менее эффективно); у людей, ориентированных на действие, не происходит переживания негативных эмоций, их стратегия решения задач является целостно-интуитивной, направленной на выявление смыслового контекста, схватывание общего замысла нахождения решения [4].
Особое место занимает изучение уровня притязаний как показателя самооценки.
Психолог Джемс вывел формулу, которая показывает зависимость самооценки человека от его притязаний [9]
Самооценка =Успех / Притязания
Формула свидетельствует, что стремление к повышению самооценки может реализовываться двумя способами. Человек может или повысить притязания, чтобы пережить максимальный успех, или снизить их, чтобы избежать неудачи.
Анализ притязаний позволяет выявить то, как индивид оценивает себя, т.е. его самооценку (Серебрякова). О самооценке свидетельствует, при таком подходе, уровень трудностей выбираемых заданий (Резниченко,; Захарова, и др.). При этом, в качестве задач часто выступают учебные задания (т.к. большинство таких исследований проводятся на школьниках и студентах) и рассматривается такой параметр как адекватность-неадекватность..
Однако, в ряде работ, совпадение самооценки и уровня притязаний фиксируются далеко не в 100% случаев. Н.Л.Коломинский показал, что притязания могут быть скромнее вербальной самооценки. По мнению Л.В.Бороздиной, необходимо учитывать, что более глубокое изучение рассматриваемых феноменов диктует их разделение и применение разных методов регистрации[4]. Экспериментально показано, что самооценка и уровень притязаний не всегда совпадают по высоте, устойчивости, адекватности. Случаи совпадения уровней самооценки и притязания характеризуются самоприятием, удовлетворенностью актуальным статусом. При подъеме уровня притязания относительно самооценки регистрируется недовольство собой и достигнутым результатом, намерение изменить, а иногда сломать сложившиеся положения. Заниженный уровень притязания по сравнению с самооценкой говорит об известной осторожности субъекта, избегании риска, оберегании достигнутого[4].
Однако такого рода исследований проведено мало; они являются, скорее, исключением из правил. Большинство же авторов диагностируют самооценку через механизм уровня притязаний (Алексеева, Бурова, Суворова, и др.).
В случае успеха уровень притязаний обычно повышается, человек проявляет готовность решать более сложные задачи, при неуспехе — соответственно, снижается. Уровень притязаний личности в конкретной деятельности может быть определен довольно точно.
Поведение тех людей, которые стремятся к успеху, и тех, кто старается избегать неудач, существенно различается. Люди, мотивированные на успех, обычно ставят перед собой определенные положительные цели, достижение которых однозначно расценивается как успех. Они изо всех сил стараются добиться успеха. Человек активно включается в деятельность, выбирает соответствующие средства и способы, с тем, чтобы кратчайшим путем достигнуть цели [4].
Противоположную позицию занимают люди, мотивированные на избежание неудач. Цель их деятельности не в том, чтобы добиться успеха, а в том, чтобы избежать неудачи. Все их действия в первую очередь направлены именно на реализацию этой цели. Для таких людей характерны неуверенность в себе, неверие в возможность достичь успеха, боязнь критики. Любая работа, и особенно та, которая чревата возможностью неудачи, вызывает у них отрицательные эмоциональные переживания. Поэтому человек не испытывает удовольствия от своей деятельности, тяготиться ею, избегает ее. Обычно в результате он оказывается не победителем, а побежденным. Таких людей нередко называют неудачниками.
Еще одна важная психологическая особенность, которая влияет на достижение человеком успеха, — это требования, предъявляемые им к самому себе. Тот, кто предъявляет к самому себе повышенные требования, в большей мере старается добиться успеха, чем тот, чьи требования к себе невысоки. [4]
Очень много для достижения успеха значит и представление человека о своих способностях, необходимых для решения задачи. Установлено, что люди, имеющие высокое мнение о наличии у них таких способностей, в случае неудачи переживают меньше, чем те, кто считает, что соответствующие способности у них развиты слабо.
Психологи пришли к выводу, что уровень своих притязаний личность устанавливает где-то между чересчур трудными и чересчур легкими задачами и целями — так, чтобы сохранить на должной высоте свою самооценку.
Формирование уровня притязаний определяется не только предвосхищением успеха или неудачи, но и, прежде всего учетом и оценкой прошлых успехов и неудач. Однако, в целом для людей характерно некоторое завышение своих способностей, приписывание себе уникальности, непохожести на других.
Рассогласование самооценки и уровня притязаний может быть причиной, приводящей к внутреннему конфликту (Бороздина, Видинсг.сц 1986), которые является одним из важных составляющих дискомфорта субъекта.
Вместе с тем, уровень притязаний не является однозначной, стабильной личностной характеристикой [10], [17]. Можно различить исходный уровень притязаний, определяющийся степенью трудности заданий, которые человек считает выполнимыми для себя, соответствующими его возможностям. Далее можно говорить об известной динамике уровня притязаний в соответствии с тем, насколько уровень притязаний оказался адекватным уровню достижений. В результате деятельности человека (это относится и к условиям экспериментальной ситуации) устанавливается, наконец, некоторый типичный для данной личности уровень притязаний.
В формировании уровня притязаний большую роль играет соответствие деятельности обследуемого его предположениям о степени сложности заданий, выполнение которых приносило бы ему удовлетворение. В. С. Мерлин придавал большое значение социальным факторам, считая, что в одной и той же деятельности существуют различные социальные нормы достижений для разных социальных категорий в зависимости от должности, специальности, квалификации индивида[18]. Этот фактор играет известную роль и в условиях экспериментального исследования уровня притязаний - даже правильное выполнение экспериментальных заданий при определенной самооценке обследуемого может не восприниматься им как успешное. Отсюда вытекает принцип важности значения подбора экспериментальных заданий, Характер реакции обследуемого на успех или неуспех в первую очередь определяется тем, насколько устойчива у него самооценка. Анализируя динамику уровня притязаний, В. С. Мерлин находил, что легкость или трудность приспособления личности к деятельности путем изменения уровня притязаний зависит от свойств темперамента (тревожность, экстра - или интровертированность, гмоциональность) и от таких сугубо личностных свойств, как начальный уровень притязаний, адекватность или неадекватность самооценки, степень ее устойчивости, мотивы самоутверждения[18].
Помимо самооценки, в динамике уровня притязаний существенную роль играют такие моменты, как отношение обследуемого к ситуации эксперимента и исследующему, оценка деятельности обследуемого экспериментатором, регистрирующим в ходе опыта успех или неуспех, характер экспериментальных заданий.
Одним из основных вопросов исследования уровня притязаний является изучение его онтогенеза. Работа в этом направлении также была начата в школе К. Левина. Было выявлено, что первичным притязанием является стремление к независимости, самостоятельности в выполнении определенных действий, возникающее уже у детей двух-трех лет [10]. В качестве критерия сформированности подобного притязания использовался процент отказов детей от помощи взрослых. Желание ребенка все сделать самому расценивается как фаза, предшествующая развитию истинных притязаний. Мы говорим о «зачаточных» притязаниях, так как ребенок еще не в состоянии оценить достигнутый результат. Далее, начиная с трех лет, развитие уровня притязаний идет по линии нарастания. В этом процессе, по мнению К. Левина, роль социальных влияний является важнейшей детерминантой формирования притязаний [10]. Сравнение уровня притязаний детей трех с половиной и восьми лет показывает статистически значимое повышение зрелости притязаний, определяемое по характеристике целевого отклонения. Установлено, что к восьмилетнему возрасту складываются основные компоненты уровня притязаний; дети не упрощают способа действий, стремятся к выполнению более трудных действий, после неудачи прилагают дополнительные усилия для достижения успеха и т.п. [10].
Данные о возрастной динамики зрелости, полученные в группе К. Левина, впоследствии были подтверждены. Детальный качественный анализ возрастных особенностей целеобразования проведен в работе А. Мюллер. В исследовании участвовали дети в возрасте от 3,2 до 7,8 лет. Все основные компоненты зрелого целеобразования были обнаружены автором уже у детей 5-7 лет. Дети этого возраста тщательно и осторожно осуществляли выбор цели, ориентируясь при этом на предшествующие достижения, испытывали полноценные переживания успеха и неуспеха как гордости или стыда за собственные достижения, стремились к успехам в наиболее трудных задачах. У детей от 3,11 до 4,11 лет цели не зависели от реальных достижений, а у детей в возрасте от 3,2 до 3,11 лет целей как таковых не возникало, обнаружилось лишь «зачаточное» притязание. В исследованиях А. Мел, где сопоставлялся уровень притязаний детей 8-10 и 13-15 лет, найдено различие в способе реакции на успех и неуспех: у детей младшего возраста отмечались более частые атипичные реакции. Анализ поведения студентов (19 лет) и школьников (13,5 лет) выявил у подростков неустойчивость притязаний, слабую дифференцированность цели, тенденцию искать причины неудач в объективных обстоятельствах, а успехи относить за счет собственных умений, группа студентов же оказалась более критичной. [11]
1.3 Уровень притязания самоактуализирующейся личности
Самоактуализирующаяся личность стремится к развитию, имеет высокую мотивацию развития. Она принимает свои чувства, импульсы, эмоции и желания такими, как они есть.
Людям, у которых преобладает мотивация развития личности, не свойственно «стремление к покою». У таких людей удовлетворение потребности усиливает, а не ослабляет мотивацию, подвигая на новые достижения. Им присуща высокая мотивация достижения. Они поднимаются над самими собой и вместо того, чтобы хотеть все меньше и меньше, хотят все больше и больше - знаний, например. Человек, вместо того, чтобы обрести покой, становится более активным. Утоление жажды развития разжигает, а не ослабляет ее. Развитие, само по себе становится восхитительным и приносящим удовлетворение процессом[24].
У самоактуализированного человека целенаправленная деятельность занимает менее 10% его времени. Деятельность может приносить удовлетворение сама по себе или иметь ценность только потому, что благодаря ей достигается желанное удовлетворение. В последнем случае она теряет свою ценность и не доставляет удовольствия если становится неэффективной или безуспешной. В большинстве случаев она вообще не доставляет удовольствия - его доставляет лишь достижения цели.
Самоактуализирующиеся люди самореализуются, наслаждаясь самой жизнью вообще и практически всеми ее аспектами, в то время как остальные люди в большинстве своем наслаждаются лишь отдельными моментами триумфа, достижения цели или высшими пиками переживаний.
Самоактуализирующимся личностям, в отличие от других, свойственно именно динамическое стремление к развитию, а также постоянное напряжение «ради далекой и зачастую недостижимой цели». Здесь будоражащий и возбуждающий «мотив развития» ставится в противолполжность «мотиву ликвидации дефицита», который толкает к снятию напряжения и достижению покоя и равновесия.
А. Маслоу предпринял обширное исследование самоактуализирующихся людей с целью выявить характерный комплекс их психологических особенностей. В результате были выделены 15 основных черт, присущих самоактуализирующимся людям[17]:
1. Более адекватное восприятие действительности, свободное от влияния актуальных потребностей, стереотипов и предрассудков, интерес к неизведанному. В самоактуализации человек, достигший удовлетворения основных потребностей, гораздо менее зависим и скован, более автономен и сам определяет направление своего движения.
2. Принятие себя и других такими, какие они есть, отсутствие искусственных, защитных форм поведения и неприятие такого поведения со стороны других.
3. Спонтанность проявлений, простота и естественность. Такие люди соблюдают установившиеся ритуалы, традиции и церемонии, но относятся к ним с должным юмором. Это не автоматический, а сознательный конформизм лишь на уровне внешнего поведения.
4. Деловая направленность. Такие люди заняты обычно не собой, а своей жизненной задачей или миссией. Обычно они соотносят свою деятельность с универсальными ценностями и склонны рассматривать её под углом зрения вечности, а не текущего момента. Поэтому все они в какой-то степени философы.
5. Они нередко склонны к одиночеству и для них характерна позиция отстранённости по отношению ко многим событиям собственной жизни. Это помогает им относительно спокойно переносить неприятности и быть менее подверженными воздействиям извне. Самореализующимся людям другие люди практически не нужны, зато могут становиться помехой. У них существует пристрастие к раздумиям в одиночестве.
6. Автономия и независимость от окружения; устойчивость под воздействием фрустрирующих факторов. Такие люди гораздо более самостоятельны и самодостаточны. Они подчиняются прежде всего внутренним, а не общественным детерминантам или детерминантам окружения. Этими детерминантами являются законы их собственной внутренней природы, их потенциальные возможности и способности, их творческие импульсы, их потребность познать самих себя и стать более целостными людьми, лучше понять, кем они являются на самом деле, чего они на самом деле хотят, в чем состоит их призвание или какой должна быть их судьба. Автономность или относительная независимость от окружения означают также стойкость перед лицом неблагоприятных внешних обстоятельств, типа невезения, ударов судьбы, трагедий, стрессов и лишений.
7. Большая свежесть восприятия; нахождение каждый раз нового в уже известном. Богатство эмоциональных реакций[11].
8. Предельные переживания, характеризующиеся ощущением исчезновения собственного "Я". Более частые прорывы на пик переживания. Эти переживания помогают изменять к лучшему мнение человека о самом себе, вносят изменения в его отношение к другим людям и его общение с этими людьми. Они высвобождают творческие способности, спонтанность, экспрессию, неповторимость индивида. Они присутствуют в мотивации развития, так как человек помнит пиковое переживание, как очень значительное и желанное событие и жаждет его повторения.
9. Чувство общности с человечеством в целом.
10. Дружба с другими самоактуализирующимися людьми: узкий круг людей, отношения с которыми весьма глубокие. Отсутствие проявлений враждебности в межличностных отношениях. Поскольку они в меньшей степени зависят от других людей, они меньше страшатся их, меньше им лгут, менее враждебны по отношению к ним, меньше нуждаются в их похвале и привязанности. Они меньше озабочены почетом, престижем и наградами.
11. Демократичность в отношениях. Готовность учиться у других. Уважение к другим людям.
12. Устойчивые внутренние моральные нормы. Самоактуализирующиеся люди ведут себя нравственно, они остро чувствуют добро и зло; они ориентированы на цели, а средства всегда подчиняют этим целям. У них обостренное чувство справедливости, они тонко чувствуют неправду и фальшь.
13. "Философское" чувство юмора. Они относятся с юмором к жизни в целом и к самим себе, но никогда не считают смешной чью-либо ущербность или невзгоды.
14. Креативность (созидательность, творчество), не зависящая от того, чем человек занимается, и проявляющаяся во всех действиях самоактуализирующейся личности. Творчество предполагает открытое, без стеснения и искреннее выражение и отображение своих чувств и идей. Самоактуализированная личность никогда не боится попасть в неловкое положение, когда 'творит' свои идеи, поступки, поведение, а также не станет стесняться или оглядываться на общественное неодобрение при создании конкретных произведений искусства, такие, как музыка, стихи, картины, литературное творчество и прочее. Люди искусства могут вполне являться самоактуализированными личностями[11].
15. Более выраженная автономность и противостояние к приобщению к какой-либо культуре. Они не принимают безоговорочно ту культуру, к которой они принадлежат. Они не конформны, но и не склонны к бездумному бунтарству. Они достаточно критично относятся к своей культуре, выбирая из неё хорошее и отвергая плохое. Они не идентифицируются со всей культурой, ощущая себя в большей степени представителями человечества в целом, чем представителями своей страны. Поэтому они нередко оказываются в изоляции в той культурной среде, которую они не желают принять.
По В. Франклу, самоактуализированной личности присущи такие основные две способности:
- способность к самотрансценденции и
- способность к самоотстранению[31].
Первая способность выражается в направленности человека на что-то, существующее вне его, в постоянном выходе человека за пределы самого себя.
Вторая - в его возможности подняться над собой и над ситуацией, посмотреть на себя со стороны ( по М. М. Бахтину – объективация).
Таким образом, процесс самоактуализации человека рассматривает и описывает «изнутри» жизни человека, с его точки зрения, как определенный, сознательный выбор жизненных целей и путей их достижения. И видится он с этой точки как определенная последовательность эпизодов, ситуаций, в каждой из которых «Я» сталкиваюсь с определенными проблемами, принимаю вызов, и, прилагая собственные усилия, по мере решения проблем совершенствуюсь, развиваюсь, сознательно выбираю для себя еще более трудные (но соответствующие моим силам и возможностям, моей «самости») реалистические проблемы. Или же деградирую, не принимая вызовов, отказываясь от приложения собственных усилий в решении проблем или выбирая те, которые не соответствуют моим силам и возможностям, моей «самости». В этом случае, не находя своевременно решения, «Я» так же неизбежно прихожу в результате к столкновению с более трудными проблемами, но иного, «невротического» качества, решение которых будет вынужденным, сузит возможности моего самоопределения, потребует психологической, социальной или медицинской помощи. Маслоу подчеркивает, что выбор в пользу роста, в направлении самоактуализации должен осуществляться человеком в каждой ситуации выбора.
Сопоставив данное положение с понятием высокого уровня притязания, который предполагает оптимальное представление о своих возможностях, что является важным фактором личностного развития, мы можем отметить, что самоактуализации предполагает наличие высокого уровня притязания.
Маслоу в своей последней, изданной посмертно работе «Дальние пределы человеческой психики» обобщил характеристики самоактуализации отмечает, для самоактуализации необходим высокий уровень притязаний, стремление к максимальной реализации своих талантов и возможностей. «Решение стать рядовым врачом – не лучший выбор для самоактуализирующейся личности. Обязательно нужно стремиться стать самым лучшим врачом, нужно хотеть в наибольшей степени раскрыть свои возможности» [16, с. 60].
С другой стороны, как следует из характеристик самоактуализирующейся личности, данные личности обладают уверенностью в себе.
Уверенность в себе — готовность человека решать достаточно сложные задачи, когда уровень притязаний не снижается только из–за опасений неудачи.
Таким образом, самоактуализирующаяся личность уверена в себе, а уверенный в себе человек обладает высоким уровнем притязаний.
Выводы:
1 Самоактуализация обозначает переход из состояния возможности в состояние действительности, поэтому смысл самоактуализации как процесса саморазвития личности наиболее точно выражает слово «проявление». В отечественной психологии понятие самоактуализации рассматривается как процесс развертывания и созревания изначально заложенных в организме и личности задатков, потенций, возможностей; как персонализированная, самоопределившаяся самость среди других, для других, и только таким образом – для себя; как процесс становления человека субъектом собственной жизнедеятельности; как сознательное, намеренное изменение. Самоактуализация обеспечивается правильностью каждого решения из длинной вереницы жизненных выборов человека.
2 Уровнем притязаний называют уровень образа «Я», проявляющийся в степени трудности цели, которую человек ставит перед собой. Уровень своих притязаний личность устанавливает где-то между чересчур трудными и чересчур легкими задачами и целями — так, чтобы сохранить на должной высоте свою самооценку. Формирование уровня притязаний определяется учетом и оценкой прошлых успехов и неудач.
3 Самоактуализирующаяся личность стремится к развитию, имеет высокую мотивацию развития. Она принимает свои чувства, импульсы, эмоции и желания такими, как они есть. Высокий уровень притязания, который предполагает оптимальное представление о своих возможностях, что является важным фактором личностного развития, в свою очередь самоактуализация предполагает наличие высокого уровня притязания.
2. Эмпирическое исследование взаимосвязи самоактуализации и уровня притязания
2.1 Программа эмпирического исследования
Теоретический анализ самоактуализации и уровня притязания позволил разработать и реализовать программу эмпирического исследования целью, которой является изучение взаимосвязь самоактуализации и уровня притязания личности
Объект исследования: самоактуализация личности
Предмет исследования: характеристики самоактуализации личности у подростков с разным уровнем притязаний.
Гипотеза: самоактуализация личности подростков связана с уровнем их притязания.
Задачи исследования:
1 Определить уровень притязания у подростков
2 Изучить характеристики самоактуализации;
3 Выявить характер связи между уровнем притязания и самоактуализацией личности у подростков
Выборку составили учащиеся 9-х классов общеобразовательной школы № 39 г. Брянска в возрасте 14-15 лет. всего в исследовании приняли участие 50 учеников, среди которых 25 девочек и 25 мальчиков.
Для проверки гипотезы и решения поставленных задач были использованы следующие психодиагностические методики:
- «Самооценка уровня притязаний» (методика Шварцландера)
- Тест самоактуализации (САТ) (Кроз М.В. Гозман Л.Я.)
Для проведения статистической обработки данных использовался метод линейной корреляции К. Пирсона.
Описание методов исследования и методик
1 Методика «Самооценка уровня притязаний» (методика Шварцландера)
Экспериментатором дается следующая инструкция: Подумайте, сколько «плюсиков» вы сможете нарисовать за 10 секунд, и это число предполагаемых «плюсиков» укажите в бланке 1; поставьте цифру рядом с УП (уровень притязаний). Затем по сигналу экспериментатора «Пуск» начинайте рисовать «плюсики» в каждом квадратике бланка 1, а по сигналу «Стоп» — прекратите рисовать. Подсчитайте число реально нарисованных вами «плюсиков» и укажите в бланке 1 рядом с УД (уровень достижений).
2 Учитывая ваш предыдущий опыт и диапазон ваших возможностей (можете ли вы больше, быстрее нарисовать «плюсики»), укажите в бланке 2 ваш уровень притязаний и затем по сигналам экспериментатора «Пуск» и «Стоп» повторите опыт, подсчитайте и запишите в бланк 2 ваш уровень достижений.
3 Данную процедуру опыта повторите для третьего, а затем для четвертого бланка. (Примечания для экспериментатора см. ниже.)
Обработка данных
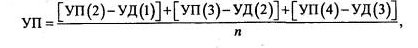
1 Вычислите ваш уровень притязаний по формуле:
(1)
где УП (2) — уровень притязаний из бланка 2; УД (1) — уровень достижений из бланка 1 и т. д. в соответствии с указанными в скобках номерами бланков.
2 Полученные значения уровня притязаний сравните с психодиагностической шкалой.
Уровень притязаний (УП) равен 5 и выше — нереалистично высокий;
УП = 3 -/- 4,99 - высокий; УП = 1 -/- 2,99 - умеренный; УП = -1,49 -/- 0,99 — низкий, УП = -1,50 и ниже — нереалистично низкий.
Примечание для экспериментатора:
1) размеры таблиц 10х3 см, размеры маленьких квадратиков в таблицах 1х1 см;
2) длительность 1-го, 2-го, 4-го опытов 10 секунд, а в 3-м опыте — 8 секунд для искусственного создания ситуации неудачи.
2 Тест самоактуализации (САТ)
Авторы: Кроз М.В. Гозман Л.Я. Разработан на основе опросника личностных ориентаций (POI), созданного в 1963 г.
Тест состоит из 126 пунктов, каждый из которых включает два суждения ценностного или поведенческого характера. Суждения не обязательно являются строго полярными. Тем не менее, испытуемому предлагается выбрать то из них, которое в большей степени отвечает его представлениям или привычному способу поведения.
Методика (см. Приложение А) может быть использована как для индивидуального, так и для группового обследования, она применяется в брошюрном, либо в компьютеризированном вариантах. В случае необходимости респондент может работать с тестом и в отсутствии экспериментатора. Пункты теста, оставленные без ответа, или те, в которых отмечены оба варианта, при обработке не учитываются. В случае, если количество таких пунктов превысит 10% от их общего числа (13 и более), результаты исследования считаются недействительными.
Инструкция к методике не ограничивает времени ответов, хотя практика показывает, что в норме оно обычно не превышает 30-35 минут.
Для работы с брошюрным вариантом теста следует использовать регистрационный лист и профильный бланк. При обработке результатов тестирования подсчет «сырых» баллов, полученных испытуемым, осуществляется с помощью ключей к методике. Для удобства обработки данных рекомендуется изготовить накладные ключи-шаблоны для всех шкал. Каждый ответ обследованного, совпадающий с вариантом, указанным в ключах, оценивается в 1 балл. Затем подсчитывается сумма баллов, набранных испытуемым по каждой шкале. Эти значения наносятся на профильный бланк, после чего строится тестовый профиль обследуемого и определяются его данные в стандартных Т-баллах, которые позволяют легко и удобно соотносить результаты разных обследованных лиц, интерпретировать их.
При использовании CAT в качестве исследовательской методики можно пользоваться и одними «сырыми» баллами, Т-баллы необходимы лишь для применения теста как инструмента индивидуальной диагностики.
Интерпретация результатов: Обследования производится в соответствие с приведенным выше описанием шкал CAT. В зависимости от целей использования тест может быть интерпретирован полностью или частично. Если тестирование преследует чисто исследовательские цели, например, выявление связи степени самоактуализации с эффективностью различных форм и методов обучения, то в некоторых случаях можно ограничиться лишь анализом результатов по двум базовым шкалам. Такой же выборочный анализ (с привлечением отдельных дополнительных шкал в зависимости от целей и задач конкретной работы) может быть достаточным и, например, при контроле изменений, наступивших в результате занятий социально-психологическим тренингом или групповой терапии.
В некоторых случаях представляется полезным и совместное обсуждение данных тестирования с клиентом. Как показала практика работы с тестом, иногда сам факт его заполнения вызывает у испытуемого своеобразный психотерапевтический эффект. Суждения теста, затрагивая глубинные, бытийные процессы человеческого существования, заставляют обследованного задуматься над вопросами, о которых он никогда ранее не размышлял: о природе человека, своем месте в мире, мировоззрении, проблемах взаимодействия с окружающими и др. Таким образом, само заполнение методики формирует у него потребность обсудить возникшие вопросы с психологом, положительную установку на дальнейшую консультационную работу. В этом случае психотерапию с обследованным целесообразно начинать с обсуждения проблем, актуализировавшихся у него в ходе работы с тестом и после ее завершения.
САТ, также как и POI, измеряет самоактуализацию по двум базовым и ряду дополнительных шкал. Базовыми являются шкала компетентности и шкала поддержки. Двенадцать дополнительных шкал разбиты на шесть блоков – по две в каждом. Каждый пункт входит в одну или более дополнительных шкал и, как правило, в одну базовую.
Базовые шкалы
Шкала Компетентности во времени (Тс) включает 17 пунктов. Высокий балл по этой шкале свидетельствует, во-первых, о способности субъекта жить настоящим, то есть переживать настоящий момент своей жизни во всей его полноте, а не просто как фатальное следствие прошлого или подготовку к будущей «настоящей жизни»; во-вторых, ощущать неразрывность прошлого, настоящего и будущего, то есть видеть свою жизнь целостной. Именно такое мироощущение, психологическое восприятие времени субъектом свидетельствует о высоком уровне самоактуализации личности.
Низкий балл по шкале означает ориентацию человека лишь на один из отрезков временной шкалы (прошлое, настоящее или будущее) и (или) дискретное восприятие своего жизненного пути. Теоретическое основание для включения этой шкалы в тест содержится в работах Ф. Пэрла и Р. Мэя. Ряд эмпирических исследований также свидетельствует о непосредственной связи ориентации во времени с уровнем личностного развития.
Шкала поддержки (I) – самая большая шкала теста (91 пункт) – измеряет степень независимости ценностей и поведения субъекта от воздействия извне («внутренняя-внешняя поддержка»). Концептуальной основой данной шкалы служили в первую очередь идеи А. Рейсмана об «изнутри» и «извне» направляемой личности. Человек, имеющий высокий балл по этой шкале, относительно независим в своих поступках, стремится руководствоваться в жизни собственными целями, убеждениями, установками и принципами, что, однако, не означает враждебности к окружающим и конфронтации с групповыми нормами. Он свободен в выборе, не подвержен внешнему влиянию («изнутри направляемая» личность).
Низкий балл свидетельствует о высокой степени зависимости, конформности, несамостоятельности субъекта («извне направляемая» личность), внешнем локусе контроля. Содержание данной шкалы, на наш взгляд, наиболее близко именно к этому последнему понятию. Как теоретические работы, так и психологическая практика свидетельствуют о правомерности включения указанной шкалы в методику как базовой.
Дополнительные шкалы
В отличие от базовых, измеряющих глобальные характеристики самоактуализации, дополнительные шкалы ориентированы на регистрацию отдельных ее аспектов.
1. Шкала Ценностных ориентации (SAV) (20 пунктов) измеряет, в какой степени человек разделяет ценности, присущие самоактуализирующейся личности (Здесь и далее высокий балл по шкале характеризует высокую степень самоактуализации).
2. Шкала Гибкости поведения (Ех) (24 пункта) диагносцирует степень, гибкости субъекта в реализации своих ценностей в поведении, взаимодействии с окружающими людьми, способность быстро и адекватно реагировать на изменяющуюся ситуацию.
Шкалы Ценностной ориентации и Гибкости поведения, дополняя друг друга, образуют блок ценностей. Первая шкала характеризует сами ценности, вторая – особенности их реализации в поведении.
3. Шкала Сензитивности к себе (Fr) (13 пунктов) определяет, в какой степени человек отдает себе отчет в своих потребностях и чувствах, насколько хорошо ощущает и рефлексирует их.
4. Шкала Спонтанности (S) (14 пунктов) измеряет способность индивида спонтанно и непосредственно выражать свои чувства. Высокий балл по этой шкале не означает отсутствия способности к продуманным, целенаправленным действиям, он лишь свидетельствует о возможности и другого, не рассчитанного заранее способа поведения, о том, что субъект не боится вести себя естественно и раскованно, демонстрировать окружающим свои эмоции.
Шкалы 3 и 4 составляют блок чувств. Первая определяет то, насколько человек осознает собственные чувства, вторая – в какой степени они проявляются в поведении.
5. Шкала Самоуважения (Sr) (15 пунктов) диагносцирует способность субъекта ценить свои достоинства, положительные свойства характера, уважать себя за них.
6. Шкала Самопринятия (Sa) (21 пункт) регистрирует степень принятия человеком себя таким, как есть, вне зависимости от оценки своих достоинств и недостатков, возможно, вопреки последним.
Шкалы 5 и 6 составляют блок самовосприятия.
7. Шкала Представлений о природе человека (Nc) состоит из 10 пунктов. Высокий балл по шкале свидетельствует о склонности субъекта воспринимать природу человека в целом как положительную («люди в массе своей скорее добры») и не считать дихотомии мужественности – женственности, рациональности – эмоциональности и т.д. антагонистическими и непреодолимыми.
8. Шкала Синергии (Sy) (7 пунктов) определяет способность человека к целостному восприятию мира и людей, к пониманию связанности противоположностей, таких как игра и работа, телесное и духовное и др.
Шкалы 7 и 8 очень близки по содержанию, их лучше анализировать совместно. Они составляют блок концепции человека.
9. Шкала Принятия агрессии (А) состоит из 16 пунктов. Высокий балл по шкале свидетельствует о способности индивида принимать свое раздражение, гнев и агрессивность как естественное проявление человеческой природы. Конечно же, речь не идет об оправдании своего антисоциального поведения.
10. Шкала Контактности (С) (20 пунктов) характеризует способность человека к быстрому установлению глубоких и тесных эмоциально-насыщенных контактов с людьми или, используя ставшую привычной в отечественной социальной психологии терминологию, к субъект-субъектному общению.
Шкалы Принятия агрессии и Контактности составляют блок межличностной чувствительности.
11. Шкала Познавательных потребностей (Cog) (11 пунктов определяет степень выраженности у субъекта стремления к приобретению знании об окружающем мире.
12. Шкала Креативности (Сr) (14 пунктов) характеризует выраженность творческой направленности личности.
Шкалы Познавательных потребностей и Креативности составляют блок отношения к познанию. Они не имеют аналогов в POI и были включены в CAT по результатам экспертного опроса при создании методики, а также в связи с некоторыми общетеоретическими соображениями. Речь в данном случае идет в первую очередь о том, что в тест было необходимо ввести блок показателей, диагностирующих уровень творческой направленности личности как одного из концептуально важных элементов феномена самоактуализации.
Метод линейной корреляции К. Пирсона
Коэффициент характеризует наличие только линейной связи между признаками, обозначаемыми, как правило, символами X и Y. Формула расчета коэффициента корреляции построена таким образом, что, если связь между признаками имеет линейный характер, коэффициент Пирсона точно устанавливает тесноту этой связи. Поэтому он называется также коэффициентом линейной корреляции Пирсона. Если же связь между переменными X и Y не линейна, то Пирсон предложил для оценки тесноты этой связи так называемое корреляционное отношение.
Величина коэффициента линейной корреляции Пирсона не может превышать +1 и быть меньше чем -1. Эти два числа +1 и -1 — являются границами для коэффициента корреляции. Когда при расчете получается величина большая +1 или меньшая -1 — следовательно произошла ошибка в вычислениях.
Знак коэффициента корреляции очень важен для интерпретации полученной связи. Подчеркнем еще раз, что если знак коэффициента линейной корреляции — плюс, то связь между коррелирующими признаками такова, что большей величине одного признака (переменной) соответствует большая величина другого признака (другой переменной). Иными словами, если один показатель (переменная) увеличивается, то соответственно увеличивается и другой показатель (переменная). Такая зависимость носит название прямо пропорциональной зависимости.
Если же получен знак минус, то большей величине одного признака соответствует меньшая величина другого. Иначе говоря, при наличии знака минус, увеличению одной переменной (признака, значения) соответствует уменьшение другой переменной. Такая зависимость носит название обратно пропорциональной зависимости.
Расчет коэффициента производился по формуле
, (2)
где x1
показатели уровня приязаний, а y1
показатели самоактуализации,
и
средние по выборке значения уровня притязаний и самоактуализации.
2.2 Анализ результатов исследования притязания и характеристик самоактуализации подростков
Первой задачей исследования является определение уровня притязаний.
Уровень притязаний характеризует степень трудности тех целей, к которым стремится человек и достижение которых представляется ему привлекательным и возможным. На уровень притязаний оказывает влияние динамика удач и неудач на жизненном пути, динамика успеха в конкретной деятельности. Бывают адекватные уровни притязаний (человек ставит перед собой те цели, которых реально может достичь, которые соответствуют его способностям и возможностям) и неадекватные: завышенные (претендует на то, чего не может достичь) или заниженные (выбирает легкие и упрощенные цели, хотя способен на большее).
Результаты исследования уровня притязаний по методике Шварцландера у подростков представлены в приложении Б, в таблице 1 и на рисунке 1.
Таблица 1 - Результаты исследования уровня притязания у подростков
| Уровень притязания | |||||
| Высокий | Умеренный | Низкий | |||
| Кол-во чел | % | Кол-во чел | % | Кол-во чел | % |
| 4 | 8 | 12 | 24 | 34 | 68 |
Анализ результатов показал, что лишь 8% (4 чел.) имеют высокий уровень притязания. Данные подростки стремятся постоянно к улучшению своих достижений, к самосовершенствованию, к решению все более и более сложных задач, к достижению трудных целей.
24% подростков (12 чел) имеют умеренный уровень притязаний. Эти подростки стабильно и успешно решают круг задач средней сложности, не стремясь улучшить свои достижения и способности и перейти к более трудным целям.
Большинство подростков в выборке (68%, 34 чел.) имеют низкий уровень притязания. Эти подростки выбирают слишком легкие и простые цели, что может объясняться: а) заниженной самооценкой, неверием в свои силы, «комплексом неполноценности», либо б) «социальной хитростью», когда, наряду с высокой самооценкой и самоуважением, человек избегает социальной активности и трудных, ответственных дел и целей.
Результаты исследования уровня притязания у подростков отражены на рисунке 1.

Рисунок 1. - Показатели выраженности уровня притязания у подростков
Таким образом, среди подростков больше всего тех, кто ставит пред собой легкодостижимые задачи, а следовательно у них нет стремления к саморазвитию и самосовершенствованию, что в целом соответствует возрастным показателям
Следующей задачей исследования является изучение характера самоактуализации у подростков.
Самоактуализация (от лат. actualis — действительный, настоящий) — стремление человека к возможно более полному выявлению и развитию своих личностных возможностей.
Д.И. Фельдштейн утверждает, что процесс самоактуализации становится возможным в 14-15 лет. Именно в этом возрасте, по мнению автора, у растущего человека развивается готовность к функционированию во взрослом мире, что, в свою очередь, порождает стремление применить свои возможности, проявить себя в этом мире, обостряет потребность в самоопределении, самореализации. Согласно А. Маслоу, самоактуализирующаяся личность характеризуется широким спектром разнообразных проявлений, которые одновременно являются психологическими особенностями данной личности. Можно предположить, что личность стремящегося к самоактуализации подростка обладает особенностями, которые можно выявить, исходя из характеристики данного возрастного периода.
Так, характерные для подросткового периода: потребность в общении, развитие воображения, стремление к автономии, а также интенсивное формирование ценностных ориентаций позволяет предположить, что личность самоактуализирующегося подростка будет обладать такими особенностями, как демократичность в межличностных отношениях, креативность, самостоятельность и ответственность, стремление к формированию ценностных ориентаций. А сам процесс самоактуализации подростка логично характеризовать как стремление к наиболее полному выявлению, развитию и использованию в деятельности своих возможностей. Другими словами, это процесс постепенно накапливаемых достижений, способствующих психологическому росту человека, переход из состояния возможностей в состояние действительности и самоактуализации в дальнейшем.
Мы исследовали уровень самоактуализации у подростков с помощью методики САТ. Результаты представлены в таблице 2. и в приложении В.
Таблица 2- Результаты исследования самоактуализации у подростков
| Шкалы | Уровень | |||||
| высокий | средний | низкий | ||||
| кол-во чел | % | кол-во чел | % | кол-во чел | % | |
| Ориентации во времени: | 6 | 12 | 14 | 28 | 30 | 60 |
| Поддержки | 6 | 12 | 16 | 32 | 28 | 56 |
| Ценностной ориентации: | 6 | 12 | 18 | 36 | 26 | 52 |
| Гибкости поведения: | 10 | 20 | 12 | 24 | 28 | 56 |
| Сензитивности | 7 | 14 | 12 | 24 | 31 | 62 |
| Спонтанности | 5 | 10 | 16 | 32 | 29 | 58 |
| Самоуважения | 7 | 14 | 15 | 30 | 28 | 56 |
| Самопринятия: | 7 | 14 | 14 | 28 | 29 | 58 |
| Представлений о природе человека | 7 | 14 | 13 | 26 | 30 | 60 |
| Синергии | 5 | 10 | 14 | 28 | 31 | 62 |
| Принятия агрессии | 6 | 12 | 18 | 36 | 26 | 52 |
| Контактности | 6 | 12 | 14 | 28 | 30 | 60 |
| Познавательных потребностей | 5 | 10 | 15 | 30 | 30 | 60 |
| Креативности | 6 | 12 | 15 | 30 | 29 | 58 |
Анализ результатов исследования характеристик самоактуализации показал, что среди подростков 60% по шкале «Ориентация во времени» имеют низкий балл, что говорит об ориентации данных подростков на один из отрезков временной шкалы (прошлое, настоящее или будущее) и (или) дискретное восприятие своего жизненного пути.
28% (14 чел.) подростков имеют средние показатели по данной шкале.
12% (6 чел.) подростков имеют высокие показатели по шкале «Ориентация во времени», что говорит об их способности жить настоящим, то есть переживать настоящий момент своей жизни во всей его полноте, а не просто как фатальное следствие прошлого или подготовку к будущей «настоящей жизни», ощущать неразрывность прошлого, настоящего и будущего, то есть видеть свою жизнь целостной.
По шкале «Поддержка» 56% (28 чел.) подростков имеют низкие показатели, что говорит о высокой степени зависимости, конформности, несамостоятельности данных подростков, внешнем локусе контроля.
У 32% (16 чел.) подростков по данной шкале средние показатели.
12% (6 чел.) подростков имеют высокие показатели по шкале «Поддержка», что характеризует их как относительно независимых в своих поступках, стремящихся руководствоваться в жизни собственными целями, убеждениями, установками и принципами.
По шкале «Ценностные ориентации» 52% (26 чел.) подростков имеют низкие показатели, что говорит о не соответствии ценностей данных подростков, ценностям самоактуализирующейся личности
У 36% (18 чел.) подростков часть ценностей соответствуют ценностям самоактуализирующейся личности, и лишь у 12% (6 чел.) подростков ценностные ориентации соответствуют самоактуализирующейся личности.
По шкале «Гибкости поведения» 56% (28 чел.) подростков имеют низкие показатели, то есть они не способны быстро и адекватно реагировать на изменяющуюся ситуацию, у 24% (12 чел.) данные способности выражены на среднем уровне и только у 20% (10 чел.) высокие баллы по данной шкале, говорящие об умении адаптироваться к ситуации, адекватно реагировать на нее.
По шкале «Сензитивность» 62% (31 чел.) подростков имеют низкие показатели, что говорит о неразвитой рефлексии, способности к определению своих чувств, потребностей.
24% (12 чел.) имеют по данной шкале средине показатели, у оставшихся 14% (7 чел.) рефлексия развита на высоком уровне.
По шкале «Спонтанность» 58% (29 чел.) подростков имеют низкие показатели, говорящие о невозможности адекватно реагировать в новой ситуации, у 32% (16 чел.) средние значения по данной шкале, 10% (5 чел.) подростков имеют высокие баллы по данной шкале, что свидетельствует о возможности демонстрировать не рассчитанного заранее способов поведения, о том, что данные подростки не боятся вести себя естественно и раскованно, демонстрировать окружающим свои эмоции.
По шкале «Самоуважение» 56% (28 чел.) подростков имеют низкие показатели, говорящие о невозможности подростков оценить свои достоинства, положительные свойства характера, уважать себя за них, у 30% (15 чел.) средние значения по данной шкале, 14% (7 чел.) подростков способны оценить свои достоинства, положительные черты, уважают себя за них.
По шкале «Самопринятие» 58% (29 чел.) подростков имеют низкие показатели, что говорит о непринятии себя .
28% (14 чел.) имеют по данной шкале средине показатели, оставшиеся 14% (7 чел.) принимают себя таким, какие они есть, вне зависимости от оценки своих достоинств и недостатков, возможно, вопреки последним.
60% (30 чел.) подростков по шкале «Представлений о природе человека» низкие баллы, то есть они воспринимают природу человека как отрицательную, у 26% (13 чел.) средние оценки природы человека, и только у 14% (4 чел.) высокие баллы по данной шкале, свидетельствующие о склонности воспринимать природу человека в целом как положительную («люди в массе своей скорее добры») и не считать дихотомии мужественности – женственности, рациональности – эмоциональности и т.д. антагонистическими и непреодолимыми.
Результаты по шкале «Синергия» показали, что 62% (31 чел.) подростков имеют низкие баллы, говорящие о неспособности к целостному восприятию мира и людей, к пониманию связанности противоположностей, таких как игра и работа, телесное и духовное и др., у 28% (14 чел), данные способности выражены на среднем уровне и лишь у 14% (7 чел) высокий уровень способностей к целостному восприятию мира и людей.
У 52% (26 чел) подростков низкие баллы по шкале «Принятие агрессии» что свидетельствует о неспособности их принимать свое раздражение, гнев и агрессивность как естественное проявление человеческой природы, у 36% (19 чел), данные способности выражены на среднем уровне, у оставшихся 10% (5 чел) высокий уровень способностей к принятию собственной агрессии.
Низкие баллы у большинства (60%, 30 чел) подростков говорят о их неспособности к быстрому установлению глубоких и тесных эмоциально-насыщенных контактов с людьми к субъект-субъектному общению, данные способности на высоком уровне развиты лишь у 12% (6 чел) подростков, у 28% (14 чел.) средний уровень контактности.
Низкие баллы у большинства подростков по шкалам «Познавательные потребности» (60%, 30 чел) и «Креативность» (58%, 29 чел.) говорят об отсутвии интереса к познанию, творчества, 30%(15 чел.) подростков имеют средине баллы по данным шкалам, около 11% (5-6 чел) имеют высокие баллы, говорящие о положительном отношении к познанию и творчеству, стремлении к приобретению знании об окружающем мире, выраженной творческой направленности личности.
Таким образом, по всем показателям самоактуализации у большинства подростков низкие значения, подобные данные могут быть следствием того, что самоактуализация еще только начала развиваться у подростков находящихся как раз в возрасте когда этот процесс становится возможным.
Последней задачей исследования является выявление взаимосвязи между самоактуализицией и уровнем притязания. Для этого сопоставим результаты, полученные по двум методикам и представим их в виде таблицы 3.
Таблица 3 - Результаты исследования характера самоактуализации у подростков с разным уровнем притязания
| САТ | Уровень притязаний | |||
| Шкалы | Уровень выраженности | высокий | средний | низкий |
| Ориентации во времени: | высокий | 100% | 17% | 0% |
| средний | 0% | 83% | 11% | |
| низкий | 0% | 0% | 89% | |
| Поддержки | высокий | 100% | 17% | 0% |
| средний | 0% | 83% | 18% | |
| низкий | 0% | 0% | 82% | |
| Ценностной ориентации | высокий | 100% | 17% | 0% |
| средний | 0% | 83% | 20% | |
| низкий | 0% | 0% | 80% | |
| Гибкости поведения | высокий | 100% | 42% | 3% |
| средний | 0% | 58% | 15% | |
| низкий | 0% | 0% | 80% | |
| САТ | Уровень притязаний | |||
| Шкалы | Уровень выраженности | высокий | средний | низкий |
| Сензитивности | высокий | 75% | 33% | 0% |
| средний | 25% | 58% | 12% | |
| низкий | 0% | 9% | 88% | |
| Спонтанности | высокий | 100% | 9% | 0% |
| средний | 0% | 82% | 18% | |
| низкий | 0% | 9% | 82% | |
| Самоуважения | высокий | 75% | 33% | 0% |
| средний | 25% | 58% | 21% | |
| низкий | 0% | 9% | 79% | |
| Самопринятия: | высокий | 100% | 25% | 0% |
| средний | 0% | 67% | 21% | |
| низкий | 0% | 8% | 79% | |
| Представлений о природе человека | высокий | 75% | 25% | 3% |
| средний | 25% | 75% | 7% | |
| низкий | 0% | 0% | 90% | |
| Синергии | высокий | 75% | 17% | 0% |
| средний | 25% | 75% | 12% | |
| низкий | 0% | 8% | 88% | |
| Принятия агрессии | высокий | 100% | 17% | 0% |
| средний | 0% | 83% | 24% | |
| низкий | 0% | 0% | 76% | |
| Контактности | высокий | 75% | 25% | 0% |
| средний | 25% | 75% | 12% | |
| низкий | 0% | 0% | 88% | |
| Познавательных потребностей | высокий | 75% | 17% | 0% |
| средний | 25% | 83% | 12% | |
| низкий | 0% | 0% | 88% | |
| Креативности | высокий | 100% | 17% | 0% |
| средний | 0% | 83% | 15% | |
| низкий | 0% | 0% | 85% | |
Анализ самоактуализации у подростков с разном уровнем притязания показал, что большинству подросткам с высоким уровнем притязания характерны высокие показатели по уровню ориентации во времени, поддержке, ценностным ориентациям, гибкости поведения, спонтанности, сензитивности, самоуважения, самопринятия, представления о природе человека, синергии, принятии агрессии, контактности, познавательных потребностей, креативности. То есть, подростки стремящиеся к улучшению своих достижений, к самосовершенствованию, к решению все более и более сложных задач, к достижению трудных целей живут настоящим, но при этом ощущают неразрывность прошлого, настоящего и будущего, то есть видят свою жизнь целостной. Также данные подростки относительно независимы в своих поступках, стремятся руководствоваться в жизни собственными целями, убеждениями, установками и принципами, они свободны в выборе, не подвержены внешнему влиянию, гибки в реализации своих ценностей в поведении, обладают высокой саморегуляцией и рефлексией, способны естественно и раскованно, демонстрировать окружающим свои эмоции, положительно природу человека в целом как положительную, принимают свое раздражение, гнев и агрессивность как естественное проявление человеческой природы, при этом способны к быстрому установлению глубоких и тесных эмоциально-насыщенных контактов с людьми, стремятся к приобретению знании об окружающем мире и творчеству.
У большинства подростов с умеренным уровнем притязания ориентация во времени, поддержка и ценностные ориентации выражены на среднем (83%) у 17% на высоком уровне, уровне.
Гибкость поведения у 42% подростов с умеренным уровнем притязания является высокой и у 58% средней, 82% этих подростков спонтанность средневыражена, у 9% она высокая и у стольких же низкая.
Также было установлено, что у трети подростов с умеренным уровнем притязания сензитивность развита на высоком уровне, у 58%- на среднем уровне, и лишь у 9% этих подростков на низком.
У 33% подростов с умеренным уровнем притязания самоуважение выражено на высоком уровне, у 58% на среднем и у 95 на низком уровне, самопринятие в высоковыраженным является у 25% в подростов с умеренным уровнем притязания, средневыраженным у 67% подростков и низковыраженным у 8%.
Представление о природе человека и синергии контактность, средневыраженными являются у 75% подростов с умеренным уровнем притязания
У 83% подростов с умеренным уровнем притязания принятии агрессии, познавательных потребностей, креативности также являются средневыраженными.
Таким образом, у подростов с умеренным уровнем притязания характеристики самоактуализации чаще всего выражены на среднем уровне, наиболее выраженной является гибкость поведения (у 42%), способность к рефлексии (у 33%), а также способность ценить свои достоинства, положительные свойства характера, уважать себя за них (у 33%).
Среди подростков с низким уровнем притязаний показатели по уровню ориентации во времени низковыражены у 89% испытуемых, показатели поддержки у 82%, ценностных ориентации и гибкости поведения у 80%, спонтанности у 82%, сензитивности у 88%, самоуважения и самопринятия у 79%, представления о природе человека у 90%, синергии у 88%, принятии агрессии у 76%, контактности и познавательных потребностей у 88%, креативности у 85%; у остальных подростов с низким уровнем притязания средний уровень выраженности характеристик самоактуализации.
Таким образом, подростки, которые выбирают слишком легкие и простые цели в целом имеют низкие показатели самоактуализации. Они зависимы, конформны, несамостоятельны, ориентированы и на конкретный промежуток времени, имеют низкую осознанность своих потребностей и чувств, не гибки в реализации своих ценностей в поведении, во взаимодействии с окружающими людьми, у них отсутствует способность быстро и адекватно реагировать на изменяющуюся ситуацию, они как правило низко себя ценят, не сознают свои способности и возможности, у них низкая мотивация к познанию и творчеству.
И так, в ходе анализа результатов исследования мы установили, что чем выше уровень притязания, тем выше уровень самоактуализации. Определим статистическую достоверность данного положения. Для этого мы используем метод линейной корреляции К. Пирсона.
Вычисления проводились с помощью программы MicrosoftExcel коэффициенты представлены в таблице 4.
Таблица 4- Коэффициенты корреляции уровня притязания и характеристик самоактуализации подростков (n=50)
| Шкалы | rэмп | Шкалы | rэмп |
| Ориентации во времени | 0,34* | Самопринятия | 0,304* |
| Поддержки | 0,147 | Представлений о природе человека | 0,449** |
| Ценностной ориентации | 0,311* | Синергии | 0,59** |
| Гибкости поведения | 0,26 | Принятия агрессии | 0,37** |
| Сензитивности | 0,35* | Контактности | 0,31* |
| Спонтанности | 0,41** | Познавательных потребностей | 0,42** |
| Самоуважения | 0,36** | Креативности | 0,4** |
*при р≤ 0,05 rкр =0,28; ** при р≤0,01 rКр =0,36
Как мы видим из таблицы 4 достоверные прямые связи были выявлены между уровнем притязания и такими шкалами самоактуализации как ориентация во времени, (р≤0,05) ценностные ориентации (р≤0,05), сензитивность (р≤0,05), спонтанность (р≤0,01), самоуважение (р≤0,01), самопринятие (р≤0,05), представление о природе человека (р≤0,01), синергия (р≤0,01), принятие агрессии (р≤0,01), контактность (р≤0,05), познавательных потребностей (р≤0,01) и креативности (р≤0,01).
То есть чем выше уровень притязания у подростков, тем выше подростки ощущают неразрывность прошлого, настоящего и будущего, тем более стремятся руководствоваться в жизни собственными целями, убеждениями, установками и принципами, тем более у них развита саморегуляция и рефлексия, способность естественно и раскованно, демонстрировать окружающим свои эмоции, более положительно оценивают природу человека, тем более принимают свое раздражение, гнев и агрессивность, более способны к установлению глубоких и тесных эмоциально-насыщенных контактов с людьми, более стремятся к приобретению знании об окружающем мире и творчеству.
Достоверных связей не было выявлено между уровнем притязания и поддержкой, а также гибкостью поведения, что может быть обусловлено особенностями возраста, стремления подростков быть принятыми в группу и коррекции на основе этого своего проведения.
Таким образом, по результатам проведенного исследования мы можем сделать следующие выводы:
4 Большинство подростков имеют низкий уровень притязания. Эти подростки выбирают слишком легкие и простые цели, что может объясняться: а) заниженной самооценкой, неверием в свои силы, «комплексом неполноценности», либо б) «социальной хитростью», когда, наряду с высокой самооценкой и самоуважением, человек избегает социальной активности и трудных, ответственных дел и целей.
5 У большинства подростков низкие характеристики самоактуализации, это говорит о высокой степени их зависимости, конформности, несамостоятельности субъекта («извне направляемая» личность), внешнем локусе контроля, ориентации на конкретный промежуток времени, низкой осознанности своих потребностей и чувств, низкой степени гибкости субъекта в реализации своих ценностей в поведении, взаимодействии с окружающими людьми, отсутствии способности быстро и адекватно реагировать на изменяющуюся ситуацию.
6 Подросткам с высоким уровнем притязаний свойственны характеристики самоактуализирующейся личности, при умеренном уровне притязаний большинство характеристик самоактуализации являются среденевыраженными, подросткам с низким уровнем притязаний характерна низкая самоактуализация.
7 Гипотеза о том, что самоактуализация личности подростков связана с уровнем их притязания, подтвердилась
В данной работе мы изучали влияние уровня притязания на самоактуализации личности.
В ходе анализа теоретических положений по проблеме исследования мы установили, что самоактуализация это "полное использование наличных талантов, способностей, возможностей и т.п."
Актуализироваться – значит становиться действительным, фактически осуществлять свои потенциальные возможности.
Понятие самоактуализации рассматривается как процесс развертывания и созревания изначально заложенных в организме и личности задатков, потенций, возможностей; как персонализированная, самоопределившаяся самость среди других, для других, и только таким образом – для себя; как процесс становления человека субъектом собственной жизнедеятельности; как сознательное, намеренное изменение Я-реального в направлении Я-идеального; как самоосуществление «иных культур».
А. Маслоу считал, что для самоактуализации необходим высокий уровень притязаний, стремление к максимальной реализации своих талантов и возможностей.
Под уровнем притязания подразумевают стремления индивида к цели такой сложности, которой по его мнению соответствуют его способности, а также достижения в определённом виде действия, сфере общения, на которую рассчитывает человек при оценке своих возможностей.
На уровень притязаний оказывает влияние динамика удач и неудач на жизненном пути, динамика успеха в конкретной деятельности. В связи с этим бывают адекватные уровни притязаний (человек ставит перед собой те цели, которых реально может достичь, которые соответствуют его способностям и возможностям) и неадекватные: завышенные (претендует на то, чего не может достичь) или заниженные (выбирает легкие и упрощенные цели, хотя способен на большее).
В эмпирической части работы мы проверяли гипотезу о наличии взаимосвязи между уровнем притязания и характеристиками самоактуализации на выборке подростков.
В ходе проведенного исследования нами было выявлено, что большинство подростков имеют низкий уровень притязания. Эти подростки выбирают слишком легкие и простые цели, что может объясняться либо заниженной самооценкой, неверием в свои силы, «комплексом неполноценности», либо «социальной хитростью», когда, наряду с высокой самооценкой и самоуважением, человек избегает социальной активности и трудных, ответственных дел и целей.
В целом невысокий уровень притязаний, особенно в ситуации неуспеха характерен большинству подростков по данным различных исследователей.
Проведенное исследование характеристик самоактуализации показало, что у большинства подростков низкие значения, это говорит о высокой степени зависимости, конформности, несамостоятельности субъекта («извне направляемая» личность), внешнем локусе контроля, ориентации на конкретный промежуток времени, низкой осознанности своих потребностей и чувств, низкой степени гибкости субъекта в реализации своих ценностей в поведении, взаимодействии с окружающими людьми, отсутствии способности быстро и адекватно реагировать на изменяющуюся ситуацию.
Сопоставив данные исследования уровня притязания и самореализиции у подростков мы установили, что у подростков с высоким уровнем притязания характерны высокие показатели по уровню притязания, то есть подростки стремящиеся к улучшению своих достижений, к самосовершенствованию, к решению все более и более сложных задач, к достижению трудных целей живут настоящим, но при этом ощущают неразрывность прошлого, настоящего и будущего, то есть видят свою жизнь целостной. Эти подростки относительно независимы в своих поступках, стремятся руководствоваться в жизни собственными целями, убеждениями, установками и принципами, они свободны в выборе, не подвержены внешнему влиянию, гибки в реализации своих ценностей в поведении, обладают высокой саморегуляцией и рефлексией, способны естественно и раскованно, демонстрировать окружающим свои эмоции, положительно природу человека в целом как положительную, принимают свое раздражение, гнев и агрессивность как естественное проявление человеческой природы, при этом способны к быстрому установлению глубоких и тесных эмоциально-насыщенных контактов с людьми, стремятся к приобретению знании об окружающем мире и творчеству.
У подростов с умеренным уровнем притязания, характеристики самоактуализации чаще всего выражены на среднем уровне
Подростки, которые выбирают слишком легкие и простые цели в целом имеют низкие показатели самоактуализации. Они зависимы, конформны, несамостоятельны, ориентированы и на конкретный промежуток времени, имеют низкую осознанность своих потребностей и чувств, не гибки в реализации своих ценностей в поведении, во взаимодействии с окружающими людьми, у них отсутствует способность быстро и адекватно реагировать на изменяющуюся ситуацию, они как правило низко себя ценят, не сознают свои способности и возможности, у них низкая мотивация к познанию и творчеству.
Проведенный корреляционный анализ показал наличие достоверных прямых связей между уровнем притязаний и самоактуализации, то есть чем выше уровень притязания, тем выше уровень самоактуализации. Данный вывод был сделан на выборке, в которой отсутствуют испытуемые с завышенным уровнем притязаний, и может не подтвердится в исследованиях на других выборках.
В рамках данного исследования мы можем заключить, что задачи выполнены, гипотеза о взаимосвязи уровня притязаний и характеристик самоактуализации личности подтвердилась, цель достигнута.
По результатам исследования мы можем рекомендовать с целью развития мотивации к самоактуализации повышать уровень притязаний подростков.
| № п/п | Новое понятие | Содержание понятия |
| 1 | 2 | 3 |
| 1 | Коэффициент корреляции Пирсона | Измеряет степень линейной зависимости между двумя интервальными переменными и предполагает, что две рассматриваемые переменные измерены, по крайней мере, в интервальной шкале. Она определяет степень, с которой значения двух переменных "пропорциональны" друг другу. |
| 2 | Мотивация | Побуждения, вызывающие активность организма и определяющие ее направленность. |
| 3 | Мотивация достижения. | Попытка увеличить или сохранить максимально высокими способности человека ко всем видам деятельности, к которым могут быть применены критерии успешности и где выполнение подобной деятельности может, следовательно, привести или к успеху, или к неудаче |
| 4 | Личность | Конкретный человек, взятый в системе его устойчивых социально обусловленных психологических характеристик, которые проявляются в общественных связях и отношениях, определяют его нравственные поступки и имеют существенное значение для него самого и окружающих. |
| 5 | Потребность | Состояние индивида, создаваемое испытываемой им нуждой в объектах, необходимых для его существования и развития, и выступающее источником его активности. |
| 6 | Самоактуализирующаяся личность | Человек, который в теории А. Маслоу характеризуется следующими особенностями: лучшее восприятие реальности, лучшее принятие себя, других, окружающего мира, увеличение спонтанности поведения, способность концентрироваться на проблеме, эмоциональная независимость, богатая внутренняя жизнь, автономия и способность противостоять социальному натиску, зрелость чувств, опыт трансперсональных переживаний, лучшее понимание человека как человека (вне социальных клише), улучшение межчеловеческих взаимоотношениях, демократические признаки в собственном характере, усиление креативности, более объективная система оценок. |
| 7 | Самоактуализация | Стремление человека к возможно более полному выявлению и развитию своих личностных возможностей. |
| 8 | Самооценка - | Оценка личностью самой себя, своих возможностей, способностей, качеств и места среди других людей. |
| 9 | Саморазвитие | Сознательная деятельность человека, направленная на возможно более полную реализацию себя как личности. Саморазвитие предполагает наличие ясно осознанных целей деятельности, идеалов и личностных установок. |
| 10 | Самореализация | Выявление и развитие индивидом личностных способностей во всех сферах деятельности. |
| 11 | Саморегуляция | Является одним из уровней регуляции активности этих систем, выражающим специфику реализующих ее психических средств отражения и моделирования действительности, в том числе рефлексии субъекта |
| 12 | Уверенность в себе | Готовность человека решать достаточно сложные задачи, когда уровень притязаний не снижается только из–за опасений неудачи |
| 13 | Уровень притязания | Стремления индивида к цели такой сложности, которой по его мнению соответствуют его способности, а также достижения в определённом виде действия, сфере общения, на которую рассчитывает человек при оценке своих возможностей |
| 14 | Целеполагание | Практическое осмысление своей деятельности человеком с точки зрения формирования (постановки) целей и их реализации (достижения) наиболее экономичными (рентабельными) средствами. Часто понимается как эффективное управление временным ресурсом, обусловленным деятельностью человека |
| 15 | Ценностные ориентации | Отражение в сознании человека ценностей, признаваемых им в качестве стратегических жизненных целей и общих мировоззренческих ориентиров |
Список использованных источников
1 Арестова, O.K. Возможности анализа уровня притязаний при применении компьютера [Электронный ресурс] / O.K. Арестова, Л.Н. Бабанин, О.Н. Тихомиров // Вопросы психологии . психол., 1992, №1- Режим доступа: http://www.voppsyl.ru/4y/ISSUES/1992/921/921152.php
2 Асмолов, А.Г. Психология личности: культурно-историческое понимание развития человека [Текст]: учебник для ВУЗов/ А.Г. Асмолов - М. : Смысл, 2007. – 523 с. – ISBN: 9785769530623
3 Божович, Л. И. Личность и её формирование в детском возрасте [Текст] / Л. И. Божович. – СПб.: Питер, 2008.– 400 с. - ISBN978-5-91180-846-4
4 Бороздина, Л. В. Исследование уровня притязаний [Текст] : учеб. пособие / Л.В. Бороздина. - М. Рос. акад. наук, Ин-т психологии, 1993. - 140 с.- ISBN 5-201-02176-X
5 Бурлачук, Л.Ф., Морозов С.М. [Текст] Словарь – справочник по психодиагностике/ Л.Ф. Бурлачук, С.М. Морозов– СПб.: Питер, 2007. – 687 с.- ISBN 5-94723-387-2.
6 Вахромов, Е.Е. Психологические концепции развития человека: теория самоактуализации [Электронный ресурс]/ Е.Е. Вахромов. – М.: Международная педагогическая академия, 2001- 160 – Режим доступа - http://vakhromov.narod.ru/publ.htm
7 Вахромов Е.Е. Развитие теории самоактуализации в отечественной педагогике и психологии [Электронный ресурс]/ Е.Е.Вахромов - Режим доступа http://www.hpsy.ru/public/x044.htm
8 Гуманистическая и трансперсональная психология [Текст] / Сост. К.В. Сельченок. – М.: АСТ, 2000. 592 с. ISBN: 985-433-981-5
9 Джемc, У. Психология [Текст]/ У. Джеймс, под ред. Л. А. Петровской. - М.: Педагогика, 1991.-368 с.
10 Зейгарник, Б.В. Патопсихология [Текст]/ Б.В.Зейгарник - М.: Эксмо, 2008 – 364 с. ISBN: 78-5-699-26373-8
11 Карпинский, К.В.Психология жизненного пути личности [Текст]: учеб. пособие / К.В.Карпинский. – Гродно: ГрГУ, 2002. – 167 с. ISBN 985-417-345-3.
12 Краткий психологический словарь [Электронный ресурс]: сл. /Ред.-сост. Л.А.Карпенко: Под общ.ред. А.В.Петровского, М.Г.Ярошевского. – 2 изд.,расш.,испр.и доп. – Ростова на Дону: Издательство «Феникс», 1998.- Режим доступа: http://shp.by.ru/psy/lit/psy_enc/txt/m48.shtm.
13 Крысько, В.Г. - Психология и педагогика. Курс лекций [Текст] / В.Г. Крысько – М.: Омега-Л, 2007. - 368 с. -ISBN 5-365-00616-X
14 Леонтьев, А. Н. Деятельность. Сознание. Личность. [Текст] /А.Н Леонтьев – М .: Академия, 2004 - 121с. - ISBN: 978-5-89357-153-0
15 Маклаков, А. Г. Общая психология [Текст] : учеб. пособ./ Маклаков А. Г.- СПб.: Питер, 2007 - 592 с- ISBN 5-272-00062-5
16 Маслоу, А. Дальние пределы человеческой психики [Текст] / А. Маслоу- СПб.: Евразия, 1999, с. 430.- ISBN: 5-8071-0018-2
17 Маслоу, А. Мотивация и личность [Текст] / А. Маслоу. – СПб.: Евразия, 2001.- 475 с.- ISBN: 5-80710084-0
18 Мерлин, В.С. Психология индивидуальности [Текст]/ В.С.Мерлин - М.: МПСИ, 2005 – 544 с. -ISBN: 5-89502-403-3
19 Мясищев, В.И. Психология отношений [Текст] /В.И. Мясищев под ред. А.А. Бодалева. – М. : Изд-во НПО «МОДЭК», 2003. - 400 с. ISBN 5-89502-404-1,
20 Немов, Р.С. Психология [Текст] : Учебник для студентов высш.пед.учеб.заведений. В 3-х кн-х. Кн.1 Общие основы психологии/ Р.С. Немов.-М.: ВЛАДОС, 2006.-573с.- ISBN: 5-691-00112-4
21 Олпорт, Г. Становление личности [Текст]: избранные труды/Г. Олпорт - М: Смысл, 2002.- 464 с. ISBN: 5-89357-098-7
22 Петровский, В. А. Личность в психологии: парадигма субъектности [Текст]/ В.А.Петровский. – Ростов-на-Дону: Феникс, 1996. – 512 с.- ISBN: 978-5-85880-188-7
23 Райс, Ф. Психология подросткового и юношеского возраста [Текст]/Ф. Райс. - СПб.: Питер, 2000. - 624 с. - ISBN 5-88782-416-6
24 Реан, А.А. Психология изучения личности [Текст]/А.А. Реан - Спб.: Издательство: Издательство Михайлова В. А.,1999.- 288 с. ISBN 5-8016-0044-2
25 Роджерс, К. Взгляд на психотерапию. Становление человека. [Текст]/ К. Роджерс– М.: Прогресс, 1998, 480 с. ISBN: 978-5-01-004627-9
26 Рубинштейн С.Л. - Основы общей психологии. [Текст] / С.Л. Рубинштейн .- СПб.: Питер, 2004. - 720 с. - ISBN 5-314-00016-4
27 Сидоренко, Е.В. Методы математической обработки в психологии [Текст] / Е.В. Сидоренко.- СПб.: Речь, 2004 – 350 с.- ISBN 5926800102
28 Слободчиков, В.И., Исаев Е.И. Основы психологической антропологии. Психология развития человека. Развитие субъективной реальности в онтогенезе [Текст]/ В.И. Слободчиков, Е.И. Исаев – М.: Школьная пресса, 2000, 416 с ISBN: 5-88527-081-3
29 Столяренко, Л. Д. Основы психологии. [Текст]: учеб пособ./ Л. Д. Столяренко – Ростова на Дону: Издательство «Феникс», 2007.- 671 с.- ISBN 9785222123829
30 Тихонравов, Ю. В. Экзистенциальная психология [Текст]: учебно-справочное пособие/ Ю. В.Тихонравов. – М: Интел-Синтез, 1998. – 238 с. ISBN: 5-87057-145-6
31 Франкл, В. Человек в поисках смысла [Текст]/ В.Франкл. – М.: Прогресс, 1990. – 368 с. ISBN: 5-01-001606-0.
Тест самоактуализации (САТ)
Инструкция к тесту: «Вам предлагается тест-опросник, каждый пункт которого содержит два высказывания, обозначенные буквами "а" и "б". Внимательно прочитайте каждую пару и пометьте на регистрационном бланке напротив номера соответствующего вопроса то из них, которое в большей степени соответствует Вашей точке зрения. (Поставьте крестик в квадрате под соответствующей буквой)».
1 а. Я верю в себя только тогда, когда чувствую, что могу справиться со всеми стоящими передо мной задачами.
б. Я верю в себя даже тогда, когда чувствую, что не могу справиться со всеми стоящими передо мной задачами.
2 а. Я часто внутренне смущаюсь, когда мне говорят комплименты.
б. Я редко внутренне смущаюсь, когда мне говорят комплименты.
3 а. Мне кажется, что человек может прожить свою жизнь так, как ему хочется.
б. Мне кажется, что у человека мало шансов прожить свою жизнь так, как ему хочется.
4 а. Я всегда чувствую в себе силы для преодоления жизненных невзгод.
б. Я далеко не всегда чувствую в себе силы для преодоления жизненных невзгод.
5 а. Я чувствую угрызения совести, когда сержусь на тех, кого люблю.
б. Я не чувствую угрызений совести, когда сержусь на тех, кого люблю.
6 а. В сложных ситуациях надо действовать уже испытанными способами, так как это гарантирует успех.
б. В сложных ситуациях надо всегда искать принципиально новые решения.
7 а. Для меня важно, разделяют ли другие мою точку зрения.
б. Для меня не слишком важно, чтобы другие разделяли мою точку зрения.
8 а. Мне кажется, что человек должен спокойно относиться к тому неприятному, что он может услышать о себе от других.
б. Мне понятно, когда люди обижаются, услышав что-то неприятное о себе.
9 а. Я могу безо всяких угрызений совести отложить до завтра то, что я должен сделать сегодня.
б. Меня мучают угрызения совести, если я откладываю до завтра то, что я должен сделать сегодня.
10 а. Иногда я бываю так зол, что мне хочется «бросаться» на людей.
б. Я никогда не бываю зол настолько, чтобы мне хотелось «бросаться» на людей.
11 а. Мне кажется, что в будущем меня ждет много хорошего.
б. Мне кажется, что мое будущее сулит мне мало хорошего.
12 а. Человек должен оставаться честным во всем и всегда.
б. Бывают ситуации, когда человек имеет право быть нечестным.
13 а. Взрослые никогда не должны сдерживать любознательность ребенка, даже если ее удовлетворение может иметь отрицательные последствия.
б. Не стоит поощрять излишнее любопытство ребенка, когда оно может привести к дурным последствиям.
14 а. У меня часто возникает потребность найти обоснование тем своим действиям, которые я совершаю просто потому, что мне этого хочется.
б. У меня почти никогда не возникает потребности найти обоснование тех своих действий, которые я совершаю просто потому, что мне этого хочется.
15 а. Я всячески стараюсь избегать огорчений.
б. Я не стремлюсь всегда избегать огорчений.
16 а. Я часто испытываю чувство беспокойства, думая о будущем.
б. Я редко испытываю чувство беспокойства, думая о будущем.
17 а. Я не хотел бы отступать от своих принципов даже ради того, чтобы совершить нечто, за что люди были бы мне благодарны.
б. Я хотел бы совершить нечто, за что люди были бы благодарны мне, даже если ради этого нужно было бы несколько отойти от своих принципов.
18 а. Мне кажется, что большую часть времени я не живу, а как будто готовлюсь к тому, чтобы по-настоящему начать жить в будущем.
б. Мне кажется, что большую часть времени я не готовлюсь к будущей «настоящей» жизни, а живу по-настоящему уже сейчас.
19 а. Обычно я высказываю и делаю то, что считаю нужным, даже если это грозит осложнениями в отношениях с другом.
б. Я стараюсь не говорить и не делать такого, что может грозить осложнениями в отношениях с другом.
20 а. Люди, которые проявляют повышенный интерес ко всему на свете, иногда меня раздражают.
б. Люди, которые проявляют повышенный интерес ко всему на свете, всегда вызывают у меня симпатию.
21 а. Мне не нравится, когда люди проводят много времени в бесплодных мечтаниях.
б. Мне кажется, что нет ничего плохого в том, что люди тратят много времени на бесплодные мечтания.
22 а. Я часто задумываюсь о том, соответствует ли мое поведение ситуации.
б. Я редко задумываюсь о том, соответствует ли мое поведение ситуации.
23 а. Мне кажется, что любой человек по природе своей способен преодолевать те трудности, которые ставит перед ним жизнь.
б. Я не думаю, что любой человек по природе своей способен преодолевать те трудности, которые ставит перед ним жизнь.
24 а. Главное в нашей жизни – это создавать что-то новое.
б. Главное в нашей жизни – приносить людям пользу.
25 а. Мне кажется, что было бы лучше, если бы у большинства мужчин преобладали традиционно мужские черты характера, а у женщин – традиционно женские.
б. Мне кажется, что было бы лучше, если бы и мужчины и женщины сочетали в себе и традиционно мужские, и традиционно женские свойства характера.
26 а. Два человека лучше всего ладят между собой, если каждый из них старается прежде всего доставить удовольствие другому в противовес свободному выражению своих чувств.
б. Два человека лучше всего ладят между собой, если каждый из них старается прежде всего выразить свои чувства в противовес стремлению доставить удовольствие другому.
27 а. Жестокие и эгоистические поступки, которые совершают люди, являются естественными проявлениями их человеческой природы.
б. Жестокие и эгоистические поступки, которые совершают люди, не являются проявлениями их человеческой природы.
28 а. Осуществление моих планов в будущем во многом зависит от того, будут ли у меня друзья.
б. Осуществление моих планов в будущем лишь в незначительной степени зависит от того, будут ли у меня друзья.
29 а. Я уверен в себе.
б. Я не уверен в себе.
30 а. Мне кажется, что наиболее ценным для человека является любимая работа.
б. Мне кажется, что наиболее ценным для человека является счастливая семейная жизнь.
31 а. Я никогда не сплетничаю.
б. Иногда мне нравится сплетничать.
32 а. Я мирюсь с противоречиями в самом себе.
б. Я не могу мириться с противоречиями в самом себе.
33 а. Если незнакомый человек окажет мне услугу, то я чувствую себя обязанным ему.
б. Если незнакомый человек окажет мне услугу, то я не чувствую себя обязанным ему.
34 а. Иногда мне трудно быть искренним даже тогда, когда мне этого хочется.
б. Мне всегда удается быть искренним, когда мне этого хочется.
35 а. Меня редко беспокоит чувство вины.
б. Меня часто беспокоит чувство вины.
36 а. Я постоянно чувствую себя обязанным делать все от меня зависящее, чтобы у тех, с кем я общаюсь, было хорошее настроение.
б. Я не чувствую себя обязанным делать все от меня зависящее, чтобы у тех, с кем я общаюсь, было хорошее настроение.
37 а. Мне кажется, что каждый человек должен иметь представление об основных законах физики.
б. Мне кажется, что многие люди могут обойтись без знания законов физики.
38 а. Я считаю необходимым следовать правилу «не трать времени даром».
б. Я не считаю необходимым следовать правилу «не трать времени даром».
39 а. Критические замечания в мой адрес снижают мою самооценку.
б. Критические замечания в мой адрес не снижают мою самооценку.
40 а. Я часто переживаю из-за того, что в настоящий момент не делаю ничего значительного.
б. Я редко переживаю из-за того, что в настоящий момент не делаю ничего значительного.
41 а. Я предпочитаю оставлять приятное «на потом».
б. Я не оставляю приятное «на потом».
42 а. Я часто принимаю спонтанные решения.
б. Я редко принимаю спонтанные решения.
43 а. Я стремлюсь открыто выражать свои чувства, даже если это может привести к каким-либо неприятностям.
б. Я стараюсь не выражать открыто своих чувств в тех случаях, когда это может привести к каким-либо неприятностям.
44 а. Я не могу сказать, что я себе нравлюсь.
б. Я могу сказать, что я себе нравлюсь.
45 а. Я часто вспоминаю о неприятных для меня вещах.
б. Я редко вспоминаю о неприятных для меня вещах.
46 а. Мне кажется, что люди должны открыто проявлять в общении с другими свое недовольство ими.
б. Мне кажется, что в общении с другими люди должны скрывать свое недовольство ими.
47 а. Мне кажется, что я могу судить о том, как должны вести себя другие люди.
б. Мне кажется, что я не могу судить о том, как должны вести себя другие люди.
48 а. Мне кажется, что углубление в узкую специализацию является необходимым для настоящего ученого.
б. Мне кажется, что углубление в узкую специализацию делает человека ограниченным.
49 а. При определении того, что хорошо, а что плохо, для меня важно мнение других людей.
б. Я стараюсь сам определить, что хорошо, а что плохо.
50 а. Мне бывает трудно отличить любовь от простого сексуального влечения.
б. Я легко отличаю любовь от простого сексуального влечения.
51 а. Меня постоянно волнует проблема самоусовершенствования.
б. Меня мало волнует проблема самоусовершенствования.
52 а. Достижение счастья не может быть целью человеческих отношений.
б. Достижение счастья – это главная цель человеческих отношений.
53 а. Мне кажется, я могу вполне доверять своим собственным оценкам.
б. Мне кажется, я не могу доверять в полной мере своим собственным оценкам.
54 а. При необходимости человек может достаточно легко избавиться от своих привычек.
б. Человеку крайне трудно избавиться от своих привычек.
55 а. Мои чувства иногда приводят в недоумение меня самого.
б. Мои чувства никогда не повергают меня в недоумение.
56 а. В некоторых случаях я считаю себя вправе дать человеку понять, что он мне кажется глупым и неинтересным.
б. Я никогда не считаю себя вправе дать человеку понять, что он мне кажется глупым и неинтересным.
57 а. Можно судить со стороны, насколько счастливо складываются отношения между людьми.
б. Наблюдая со стороны, нельзя сказать, насколько удачно складываются отношения между людьми.
58 а. Я часто перечитываю понравившиеся мне книги по несколько раз.
б. Я думаю, что лучше прочесть какую-либо новую книгу, чем возвращаться к уже прочитанному.
59 а. Я очень увлечен своей работой.
б. Я не могу сказать, что увлечен своей работой.
60 а. Я недоволен своим прошлым.
б. Я доволен своим прошлым.
61 а. Я чувствую себя обязанным всегда говорить правду.
б. Я не чувствую себя обязанным всегда говорить правду.
62 а. Существует очень мало ситуаций, когда я могу позволить себе дурачиться.
б. Существует множество ситуаций, когда я могу позволить себе дурачиться.
63 а. Стремясь разобраться в характере и чувствах окружающих, люди часто бывают излишне бестактны.
б. Стремление разобраться в характере и чувствах окружающих естественно для человека и поэтому может оправдать бестактность.
64 а. Обычно я расстраиваюсь из-за потери или поломки нравящихся мне вещей.
б. Обычно я не расстраиваюсь из-за потери или поломки нравящихся мне вещей.
65 а. Я чувствую себя обязанным поступать так, как от меня ожидают окружающие.
б. Я не чувствую себя обязанным поступать так, как от меня ожидают окружающие.
66 а. Интерес к самому себе всегда необходим для человека.
б. Излишнее самокопание иногда имеет дурные последствия.
67 а. Иногда я боюсь быть самим собой.
б. Я никогда не боюсь быть самим собой.
68 а. Большая часть того, что мне приходится делать, доставляет мне удовольствие.
б. Лишь немногое из того, что я делаю, доставляет мне удовольствие.
69 а. Лишь тщеславные люди думают о своих достоинствах и не думают о недостатках.
б. Не только тщеславные люди думают о своих достоинствах.
70 а. Я могу делать что-либо для других, не требуя, чтобы они это оценили.
б. Я вправе ожидать от других, чтобы они оценили то, что я делаю для них.
71 а. Человек должен раскаиваться в своих поступках.
б. Человек совсем не обязательно должен раскаиваться в своих поступках.
72 а. Мне необходимы обоснования для принятия моих чувств.
б. Обычно мне не нужны никакие обоснования для принятия моих чувств.
73 а. В большинстве ситуаций я прежде всего хочу понять, чего хочу я сам.
б. В большинстве ситуаций я прежде всего пытаюсь понять, чего хотят окружающие.
74 а. Я стараюсь никогда не быть «белой вороной».
б. Я позволяю себе быть «белой вороной».
75 а. Когда я нравлюсь сам себе, мне кажется, что я нравлюсь всем окружающим.
б. Даже когда я нравлюсь сам себе, я понимаю, что есть люди, которым я неприятен.
76 а. Мое прошлое в значительной степени определяет мое будущее.
б. Мое прошлое очень слабо определяет мое будущее.
77 а. Часто бывает так, что выразить свои чувства важнее, чем обдумывать ситуацию.
б. Довольно редко бывает так, что выразить свои чувства важнее, чем обдумывать ситуацию.
78 а. Те усилия и затраты, которых требует познание истины, оправданы, так как они приносят пользу людям.
б. Те усилия и затраты, которых требует познание истины, оправданы хотя бы тем, что они доставляют человеку эмоциональное удовлетворение.
79 а. Мне всегда необходимо, чтобы другие одобряли то, что я делаю.
б. Мне не всегда необходимо, чтобы другие одобряли то, что я делаю.
80 а. Я доверяю тем решениям, которые я принимаю спонтанно.
б. Я не доверяю тем решениям, которые я принимаю спонтанно.
81 а. Пожалуй, я могу сказать, что я живу с ощущением счастья.
б. Пожалуй, я не могу сказать, что я живу с ощущением счастья.
82 а. Довольно часто мне бывает скучно.
б. Мне никогда не бывает скучно.
83 а. Я часто проявляю свое расположение к человеку, независимо от того, взаимно ли оно.
б. Я редко проявляю свое расположение к человеку, не будучи уверенным, что оно взаимно.
84 а. Я легко принимаю рискованные решения.
б. Обычно мне бывает трудно принимать рискованные решения.
85 а. Я стараюсь во всем и всегда поступать честно.
б. Иногда я считаю возможным мошенничать.
86 а. Я готов примириться со своими ошибками.
б. Мне трудно примириться со своими ошибками.
87 а. Обычно я чувствую себя виноватым, когда поступаю эгоистично.
б. Обычно я не чувствую себя виноватым, когда поступаю эгоистично.
88 а. Дети должны понимать, что у них нет тех прав и привилегий, что у взрослых.
б. Детям не обязательно осознавать, что у них нет тех прав и привилегий, что у взрослых.
89 а. Я хорошо знаю, какие чувства я способен испытывать, а какие нет.
б. Я еще не понял до конца, какие чувства я способен испытывать, а какие нет.
90 а. Я думаю, что большинству людей можно доверять.
б. Я думаю, что без крайней необходимости людям доверять не стоит.
91 а. Прошлое, настоящее и будущее представляются мне как единое целое.
б. Мое настоящее представляется мне слабо связанным с прошлым и будущим.
92 а. Я предпочитаю проводить отпуск путешествуя, даже если это сопряжено с большими неудобствами.
б. Я предпочитаю проводить отпуск спокойно, в комфортабельных условиях.
93 а. Бывает, что мне нравятся люди, чье поведение я не одобряю.
б. Мне почти никогда не нравятся люди, чье поведение я не одобряю.
94 а. Людям от природы свойственно понимать друг Друга.
б. По природе своей человеку свойственно заботиться о своих собственных интересах.
95 а. Мне никогда не нравятся сальные шутки.
б. Мне иногда нравятся сальные шутки.
96 а. Меня любят потому, что я сам способен любить.
б. Меня любят потому, что я стараюсь заслужить любовь окружающих.
97 а. Мне кажется, что эмоциональное и рациональное в человеке не противоречат друг другу.
б. Мне кажется, что эмоциональное и рациональное в человеке противоречат друг другу.
98 а. Я чувствую себя уверенным в отношениях с другими людьми.
б. Я чувствую себя неуверенным в отношениях с другими людьми.
99 а. Защищая собственные интересы, люди часто игнорируют интересы окружающих.
б. Защищая собственные интересы, люди обычно не забывают интересы окружающих.
100 а. Я всегда могу положиться на свои способности ориентироваться в ситуации.
б. Я далеко не всегда могу положиться на свои способности ориентироваться в ситуации.
101 а. Я считаю, что способность к творчеству – природное свойство человека.
б. Я считаю, что далеко не все люди одарены природой способностью к творчеству.
102 а. Обычно я не расстраиваюсь, если мне не удается добиться совершенства в чем-либо.
б. Я часто расстраиваюсь, если мне не удается добиться совершенства в чем-либо.
103 а. Иногда я боюсь показаться слишком нежным.
б. Я никогда не боюсь показаться слишком нежным.
104 а. Мне легко смириться со своими слабостями.
б. Мне трудно смириться со своими слабостями.
105 а. Мне кажется, что я должен добиваться совершенства во всем, что я делаю.
б. Мне не кажется, что я должен добиваться совершенства во всем, что я делаю.
106 а. Мне часто приходится оправдывать перед самим собой свои поступки.
б. Мне редко приходится оправдывать перед самим собой свои поступки.
107 а. Выбирая для себя какое-либо занятие, человек должен считаться с тем, насколько это необходимо.
б. Человек должен всегда заниматься только тем, что ему интересно.
108 а. Я могу сказать, что мне нравится большинство людей, которых я знаю.
б. Я не могу сказать, что мне нравится большинство людей, которых я знаю.
109 а. Иногда я не против того, чтобы мной командовали.
б. Мне никогда не нравится, когда мной командуют.
110 а. Я не стесняюсь обнаруживать свои слабости перед друзьями.
б. Мне не легко обнаруживать свои слабости даже перед друзьями.
111 а. Я часто боюсь совершить какую-нибудь оплошность.
б. Я не боюсь совершить какую-нибудь оплошность.
112 а. Наибольшее удовлетворение человек получает, добившись желаемого результата в работе.
б. Наибольшее удовлетворение человек получает в самом процессе работы.
113 а. О человеке никогда с уверенностью нельзя сказать, добрый он или злой.
б. Обычно о человеке можно сказать, добрый он или злой.
114 а. Я почти всегда чувствую в себе силы поступать так, как я считаю нужным, несмотря на последствия.
б. Я далеко не всегда чувствую в себе силы поступать так, как я считаю нужным, несмотря на последствия.
115 а. Люди часто раздражают меня.
б. Люди редко раздражают меня.
116 а. Мое чувство самоуважения во многом зависит от того, чего я достиг.
б. Мое чувство самоуважения в небольшой степени зависит от того, чего я достиг.
117 а. Зрелый человек всегда должен осознавать причины каждого своего поступка.
б. Зрелый человек совсем не обязательно должен осознавать причины каждого своего поступка.
118 а. Я воспринимаю себя таким, каким видят меня окружающие.
б. Я вижу себя не совсем таким, каким видят меня окружающие.
119 а. Бывает, что я стыжусь своих чувств.
б. Я никогда не стыжусь своих чувств.
120 а. Мне нравится участвовать в жарких спорах.
б. Мне не нравится участвовать в жарких спорах.
121 а. У меня не хватает времени на то, чтобы следить за новинками в мире искусства и литературы.
б. Я озсгояшю слежу за новинками в мире искусства и литературы.
122 а. Мне всегда удается руководствоваться в жизни своими собственными чувствами и желаниями.
б. Мне не часто удается руководствоваться в жизни своими собственными чувствами и желаниями.
123 а. Я часто руководствуюсь общепринятыми представлениями в решении моих личных проблем.
б. Я редко руководствуюсь в решении моих личных проблем общепринятыми представлениями.
124 а. Мне кажется, что для того, чтобы заниматься творческой деятельностью, человек должен обладать определенными знаниями в этой области.
б. Мне кажется, что для того, чтобы заниматься творческой деятельностью, человеку не обязательно обладать определенными знаниями в этой области.
125 а. Я боюсь неудач.
б. Я не боюсь неудач.
126 а. Меня часто беспокоит вопрос о том, что произойдет в будущем.
б. Меня редко беспокоит вопрос о том, что произойдет в будущем.
Ключи к тесту
Шкала Ориентации во времени: 11а, 16б, 18б, 21а, 28б, 38б, 40б, 41б, 45б, 60б, 64б, 71б, 76б, 82б, 91б, 106б, 126б.
Шкала Поддержки: 1б, 2б, 3б, 4а, 5б, 7б, 8a, 9a, 10a, 12б, 14б, 15б, 17а,19а, 22б, 23а, 25б, 26б, 27б, 29а, 31б, 32а,33б, 34а, 35б, 36б, 39б, 42а, 43а, 446; 46а, 47б, 49б, 50б, 51б, 52а, 53а, 55а, 56а, 57б, 59а, 61б, 62б, 65б, 66а, 67б, б8а, 69б,70а, 72б, 73а, 74б, 75б, 77а, 79б, 80а, 81а, 83а, 856, 8ба, 87б, 88б, 89б, 90а, 93а, 94а, 95б, 96а, 97а, 98а, 99б, 100а, 102а, 103б, 104а, 105б, 108б, 109а, 110а, 1116, 113а, 114а, 115а, 116б, 117б, 118а, 119б, 120а, 122а, 123б, 125б.
Шкала Ценностной ориентации: 17а, 29а, 42а, 49б, 506, 53а, 56а, 59а, 67б, 68а, 69б, 80а, 81а, 90а, 93а, 97а, 99б, 113а, 114а, 122а.
Шкала Гибкости поведения: 3а, 9a, 12б, 33б, 36б, 38б, 40б, 47б, 50б, 51б, 61б, 62б, 65б, 68а, 70а, 746, 82б, 85б, 95б, 97а, 99б, 102а, 105б, 123б.
Шкала Сензитивности: 2б, 5б, 10a, 43а, 46а, 55а, 73а, 77а, 83а, 89б, 103б, 119б, 122а.
Шкала Спонтанности: 5б, 14б, 15б, 26б, 42а, 62б, 67б, 74б, 77а, 80а, 81а, 83а, 95б, 114а.
Шкала Самоуважения: 2б, 3а, 7б, 23а, 29а, 44б, 53а, 66а, 69б, 98а, 100а, 102а, 106б, 114а, 122а.
Шкала Самопринятия: 1б, 8a, 14б, 22б,31б, 32а, 34а, 39б, 53а, 61б, 71б, 75б, 86а, 876, 104а, 105б, 106б,110а, 111б, 116б,125б.
Шкала Представлений о природе человека: 23а, 25б, 27б, 50б, 66а, 90а, 94а, 97а, 99б, 113а.
Шкала Синергии: 50б, 68а, 91б, 93а, 97а, 99б, 113а.
Шкала Принятия агрессии: 5б, 8a, 10a, 15б, 19а, 29а, 39б, 43а, 46а, 56а, 57б, 67б, 85б, 93а, 94а, 115а.
Шкала Контактности: 5б, 7б, 17а, 26б, 33б, 36б, 46а, 65б, 70а, 73а, 74б, 75б, 79б, 96а, 99б, 103б, 108б, 109а, 120а, 123б.
Шкала Познавательных потребностей: 13а, 20б, 37а, 48а, 63б, 66а, 78б, 82б, 92а,107б, 121б.
Шкала Креативности: 6б, 24а, 30а, 42а, 54а, 58а, 59а, 68а, 84а, 101а, 105б, 112б, 123б, 124б.
Результаты исследования уровня притязаний у подростков
| № п/п | Фамилия Имя | 1 проба | 2 проба | 3 проба | 4 проба | УП | Ур-нь | ||||||||
| УП | УД | УП | УД | УП | УД | УП | УД | ||||||||
| 1 | 2 | 3 | 4 | 5 | 6 | 7 | 8 | 9 | 10 | 11 | 12 | ||||
| 1 | Асташов С. | 19 | 16 | 20 | 21 | 20 | 22 | 17 | 16 | -0,67 | низкий | ||||
| 2 | Белова А. | 10 | 11 | 13 | 15 | 15 | 15 | 14 | 11 | 0,33 | низкий | ||||
| 3 | Белая Л. | 17 | 19 | 17 | 19 | 19 | 16 | 16 | 16 | -0,67 | низкий | ||||
| 4 | Власов Д. | 12 | 14 | 17 | 19 | 18 | 16 | 14 | 12 | 0 | низкий | ||||
| 5 | Волкова К. | 12 | 16 | 15 | 16 | 14 | 15 | 15 | 14 | -1 | низкий | ||||
| 6 | Грищенко А. | 12 | 14 | 14 | 15 | 19 | 19 | 13 | 12 | -0,67 | низкий | ||||
| 7 | Гончаров Д. | 15 | 19 | 18 | 12 | 18 | 20 | 20 | 20 | 1,67 | умеренный | ||||
| 8 | Дмитроченко А. | 22 | 21 | 19 | 18 | 19 | 19 | 18 | 18 | -0,67 | низкий | ||||
| 9 | Ерохина Н. | 15 | 18 | 18 | 21 | 18 | 19 | 19 | 14 | -1 | низкий | ||||
| 10 | Жемоедов М. | 10 | 13 | 13 | 14 | 14 | 15 | 15 | 11 | 0 | низкий | ||||
| 11 | Зенцова Л. | 12 | 11 | 15 | 17 | 17 | 15 | 13 | 12 | 0,67 | низкий | ||||
| 12 | Иванникова М. | 20 | 19 | 22 | 21 | 19 | 16 | 16 | 16 | 0,33 | низкий | ||||
| 13 | Карбаницкая Ж. | 15 | 13 | 13 | 14 | 14 | 15 | 15 | 13 | 0 | низкий | ||||
| 14 | Осин Д. | 20 | 17 | 20 | 21 | 21 | 22 | 23 | 16 | 1,33 | низкий | ||||
| 15 | Пащенко А. | 15 | 16 | 17 | 14 | 15 | 15 | 15 | 11 | 0,67 | низкий | ||||
| 16 | Сорока П. | 18 | 19 | 20 | 16 | 18 | 16 | 17 | 18 | 1,33 | умеренный | ||||
| 17 | Синяева Л. | 12 | 14 | 17 | 19 | 18 | 16 | 14 | 12 | 0 | низкий | ||||
| 18 | Тишина Зоя | 15 | 16 | 15 | 16 | 14 | 15 | 15 | 11 | -1 | низкий | ||||
| 19 | Терешок М. | 18 | 14 | 15 | 15 | 18 | 14 | 20 | 17 | 3,33 | высокий | ||||
| 20 | Трошина А | 12 | 19 | 18 | 12 | 18 | 20 | 20 | 20 | 1,67 | умеренный | ||||
| 21 | Уткин И. | 22 | 21 | 19 | 18 | 19 | 19 | 18 | 18 | -0,67 | низкий | ||||
| 22 | Федотов С. | 15 | 18 | 18 | 21 | 18 | 19 | 19 | 14 | -1 | низкий | ||||
| 23 | Хомченко Т. | 10 | 13 | 13 | 14 | 14 | 15 | 15 | 11 | 0 | низкий | ||||
| 24 | Ярчук Н. | 20 | 18 | 20 | 19 | 20 | 17 | 18 | 20 | 1,33 | умеренный | ||||
| 25 | Верховинина Т. | 25 | 17 | 25 | 21 | 25 | 21 | 22 | 20 | 4,33 | высокий | ||||
| 26 | Горохов Д. | 20 | 16 | 20 | 20 | 22 | 22 | 22 | 20 | 2 | умеренный | ||||
| 27 | Ионова П. | 10 | 11 | 13 | 15 | 15 | 15 | 14 | 11 | 0,33 | низкий | ||||
| 28 | Карасев С | 22 | 18 | 20 | 18 | 19 | 18 | 20 | 16 | 1,67 | умеренный | ||||
| 29 | Копась О. | 15 | 14 | 17 | 19 | 17 | 16 | 14 | 12 | -0,33 | низкий | ||||
| 30 | Мельник Н | 12 | 16 | 15 | 16 | 14 | 15 | 15 | 12 | -1 | низкий | ||||
| 31 | Метлицкая С. | 12 | 14 | 14 | 15 | 19 | 19 | 13 | 12 | -0,67 | низкий | ||||
| 32 | Мухина В. | 15 | 19 | 18 | 12 | 18 | 20 | 20 | 20 | 1,67 | умеренный | ||||
| 33 | Носов А. | 22 | 21 | 19 | 18 | 19 | 19 | 18 | 18 | -0,67 | низкий | ||||
| 34 | Начатая А. | 15 | 18 | 18 | 21 | 18 | 19 | 19 | 14 | -1 | низкий | ||||
| 35 | Обучин М | 20 | 13 | 13 | 14 | 14 | 15 | 15 | 11 | 0 | низкий | ||||
| 36 | Паршиков М. | 14 | 12 | 15 | 17 | 17 | 15 | 15 | 14 | 1 | умеренный | ||||
| 37 | Пашина П | 20 | 19 | 22 | 21 | 19 | 16 | 16 | 16 | 0,33 | низкий | ||||
| 1 | 2 | 3 | 4 | 5 | 6 | 7 | 8 | 9 | 10 | 11 | 12 | ||||
| 38 | Радчинская О. | 20 | 14 | 20 | 17 | 20 | 20 | 25 | 18 | 4,67 | высокий | ||||
| 39 | Серова Ю | 10 | 11 | 13 | 15 | 15 | 15 | 14 | 12 | 0,33 | низкий | ||||
| 40 | Сидоренко С. | 18 | 19 | 20 | 19 | 20 | 18 | 20 | 19 | 1,33 | умеренный | ||||
| 41 | Синенко О. | 12 | 14 | 17 | 19 | 18 | 16 | 14 | 12 | 0 | низкий | ||||
| 42 | Таршикова О | 20 | 16 | 20 | 16 | 18 | 15 | 18 | 14 | 3 | высокий | ||||
| 43 | Тонев М | 15 | 14 | 14 | 15 | 19 | 19 | 13 | 12 | -0,67 | низкий | ||||
| 44 | Тришин М | 15 | 19 | 18 | 12 | 18 | 20 | 20 | 16 | 1,67 | умеренный | ||||
| 45 | Уварова О. | 22 | 21 | 22 | 18 | 20 | 19 | 20 | 16 | 1,33 | умеренный | ||||
| 46 | Усачева М. | 15 | 18 | 18 | 21 | 18 | 19 | 19 | 14 | -1 | низкий | ||||
| 47 | Хромов Я. | 10 | 13 | 13 | 14 | 14 | 15 | 15 | 13 | 0 | низкий | ||||
| 48 | Фомина Ира | 12 | 11 | 15 | 17 | 17 | 15 | 13 | 12 | 0,667 | низкий | ||||
| 49 | Чайко В. | 20 | 19 | 22 | 21 | 19 | 16 | 16 | 16 | 0,33 | низкий | ||||
| 50 | Юдин С. | 20 | 16 | 20 | 21 | 22 | 20 | 22 | 16 | 2,33 | умеренный | ||||