| Похожие рефераты | Скачать .docx |
Реферат: Классификация лесных товаров. Характеристика жидких и газообразных топлив
ФЕДЕРАЛЬНОЕ АГЕНТСТВО ПО ОБРАЗОВАНИЮ
Государственное образовательное учреждение
Высшего профессионального образования
Российский государственный гуманитарный университет Филиал в г. ВЕЛИКИЙ новгород
Факультет: Экономический
Контрольная работа
по дисциплине
МАТЕРИАЛОВЕДЕНИЕ
Великий Новгород 2009
Содержание
1. Классификация лесных товаров как строительных материалов
2. Современные виды жидких и газообразных топлив, их характеристика и области применения
2.1 Основные сведения о топливе
2.2 Физико-химические свойства природных газов
2.3 Горение природного газа
2.4 Жидкое топливо и его характеристика
Список использованной литературы и источники
1. Классификация лесных товаров как строительных материалов
Практически, ни один объект строительства не обходится без применения лесных товаров в качестве строительного материала.
Лесными товарами принято считать материалы и продукты, которые получают путем механической, механико-химической и химической переработки ствола, корней и кроны дерева. Основную часть лесных товаров получают в лесопильной, деревообрабатывающей, целлюлозно-бумажной, гидролизной и лесохимической промышленности.
Выделяют семь групп лесных товаров. Для классификации лесных товаров, как строительных материалов остановимся на трех основных группах.
I. Лесоматериалы - это материалы, получаемые путем поперечного и продольного пиления поваленных деревьев и их частей. Ствол поваленного дерева, у которого отделены корни, вершина и сучья, называют древесным хлыстом.
Хлысты или отрезки, получаемые при поперечном делении - раскряжевке, в зависимости от размеров и наличия пороков разделяют на деловую и низкокачественную древесину.
Низкокачественная древесина - это обрезки хлыста, не удовлетворяющие требованиям, предъявляемым к деловой древесине. Сортимент - это круглый, колотый или пиленый лесоматериал установленного назначения, соответствующий требованиям стандартов или технических условий. Круглые лесоматериалы разделяются по породам на две группы - лесоматериалы хвойных и лиственных пород.
К лесоматериалам относят товары, получаемые механической обработкой ствола дерева. При этом заготавливают деловую древесину и дрова. Низкокачественную деловую древесину называют технологическим сырьем. По способу механической обработки лесоматериалы делят на шесть классов:
1. Круглые материалы, получаемые делением хлыста на отрезки разной длины. Классификация. Круглые лесоматериалы по породам древесины подразделяют на хвойные и лиственные. По назначению, способу обработки и производства круглые лесоматериалы разделяют на четыре группы: для распиловки; строгания и лущения; выработки целлюлозы и древесной массы; для использования в круглом виде.
Лесоматериалы для распиловки и строгания используют: для выработки пиломатериалов авиационных, резонансных, палубных и шлюпочных обшивочных, строительства, мебели и других назначений, для шпал и переводных брусьев железных дорог широкой и узкой колеи, экспортных;
Среди ассортиментов первой группы по объему преобладают кряжи и пиловочные бревна (пиловочник) для выработки пиломатериалов для строительства, мебели и других назначений. Бревна - круглые сортименты для использования в круглом виде или в качестве сырья для выработки пиломатериалов. Кряжи - круглые ассортименты для выработки специальных видов лесопродукции. В строительстве используются прежде всего фанерный кряж. Длина их соответствует кратному числу чураков. В зависимости от назначения сортиментов длина лесоматериалов колеблется в пределах от 0,5 (для бочковой и ящичной тары) до 14 м и более (для баржестроения). Пиловочник хвойных пород имеет длину 4-6,5 м, лиственных пород не менее 3 м с градацией 0,5 м. Разделение круглых лесоматериалов в зависимости от толщины (диаметра) представлено в табл.1.
Табл. 1. Группа лесоматерилов по толщине, см
| Лесоматериалы | Хвойные | Лиственные | Градация по толщине | ||
| Толщина | Сорт | Толщина | Сорт | ||
| Мелкие | 6-13 | 2, 3 | 8-13 | 2, 3 | 1 |
| Средние | 14-24 | 1-4 | 14-24 | 1-4 | 2 |
| Крупные | 26 и более | 1-4 | 26 и более | 1-4 | 2 |
Сортность. Сорт - показатель качества сырья, полуфабрикатов, удовлетворяющий определенным требованиям потребителя (ГОСТ 9462-71* и 9463-72*). Установление сорта в стандартах на круглые лесоматериалы предусматривает разделение хлыста на три зоны: комлевую, срединную и вершинную. Древесина комлевой части хлыста имеет наиболее высокие физико-механические показатели и не имеет живых сучков на боковой поверхности хлыста. В средней части хлыста наблюдается наибольшее число здоровых сучков различных размеров.
По качественным признакам круглые лесоматериалы разделяют на четыре сорта.
Лесоматериалы 1-го сорта представляют собой крупномерную древесину комлевой части. Комлевые бревна бессучковые или малосучковые предназначаются для выработки пиломатериалов специального назначения: авиационных, резонансных, палубных, экспортных.
Лесоматериалы 2-го сорта, получаемые из комлевой или срединной части хлыста, используют главным образом для выработки пиломатериалов, применяемых в строительстве. Часть лесоматериалов этого сорта используют в круглом виде.
Лесоматериалы 3-го сорта могут быть получены из любой части хлыста. Используют их для выработки пиломатериалов, применяемых в строительстве, для изготовления мебели, а также в круглом виде для строительства. В лесоматериалах хвойных пород число здоровых сучков не учитывают.
Лесоматериалы 4-го сорта используют для выработки пиломатериалов для машиностроения, строительства, мебели, тары.
Не допускаются наружная трухлявая гниль, одновременное наличие заболонной и ядровой гнили у хвойных и заболонных лиственных пород (березы, ольхи, граба, клена), ядровой гнили в мелких (по толщине) сортиментах всех пород.
Строительные бревна относятся к лесоматериалам, используемым в круглом виде. Они служат материалом для промышленного и жилищного строительства и заготовляются из всех хвойных и лиственных пород. В строительстве преимущественно применяют бревна хвойных пород; лиственные породы используют для вспомогательных и временных построек. Длина бревен хвойных пород от 3 м и лиственных от 4 до 6,5 м с градацией 0,5 м. Толщина хвойных бревен 14-25 см, лиственных 12-24 см. По качеству бревна должны соответствовать требованиям 2 и 3-го сортов.
В зависимости от способности к поражениям грибами, вызывающими поверхностные повреждения лесоматериалов, насекомыми, а также растрескиванию, породы древесины делятся на классы: I - стойкие, II - нестойкие (табл.2).
Табл.2. Стойкость пород древесины к поражению и растрескиванию (Гост 9014.0-75*)
| Классы стойкости | Стойкость к поражению | Стойкость к растрескиванию | |
| насекомыми | грибами | ||
| I | Пихта, береза, бук, граб, клен, ольха, осина, тополь, явор | Пихта, дуб, ильмовые, клен, явор, ясень | Ель, сосна, пихта, кедр, ольха, осина, липа, тополь, береза |
| II | Ель, сосна, лиственница, кедр, дуб, ильмовые, ясень | Ель, сосна, лиственница, кедр, ольха, осина, тополь, береза, бук, граб, липа | Лиственница, бук, граб, ильмовые, явор, клен, дуб, ясень. |
Пиленые лесоматериалы, или пилопродукцию. Их получают продольным пилением или фрезерованием круглых материалов и последующим поперечным раскроем.
Классификация пиломатериалов:
Классификация пиломатериалов по размерам
Классификация пиломатериалов по характеру обработки
Классификация пиломатериалов по видам расплавки
Классификация пиломатериалов по степени обработки 3. Лущеные лесоматериалы, получаемые резанием древесины по спирали (лущением).
Строганые лесоматериалы. Их получают прямолинейным резанием древесины ножами. Строганым пиломатериалом называется такой, у которого обработаны строганием или фрезерованием хотя бы одна пласть или обе кромки.
Композиционные древесные материалы. К ним относят листовые плитные и другого вида материалы, которые получают из предварительно разделенной древесины с последующим склеиванием. Это фанера, древесноволокнистые, древесностружечные и столярные плиты, древеснослоистые пластики, арболит и др.
Модифицированная древесина, т.е. цельная древесина, пропитанная различными синтетическими смолами.
Остальные три группы лесных товаров получают путем химической переработки сырья.
По геометрической форме и размерам поперечного сечения пиломатериалы делятся на брусья, бруски, доски, обапол. Шпалы относятся к пиленым деталям.
Брусья
Бруски
Доски
Шпалы
Обапол
По месторасположению пиломатериалов в бревне (по отношению их к продольной оси) различают сердцевинные, центральные и боковые доски:
Сердцевинные доски
Центральные доски
Боковые доски
Пиломатериалы имеют следующие элементы: пласти, кромки, ребра, торцы. Пласть - продольная широкая сторона пиломатериала, а также любая сторона Пиломатериала квадратного сечения. Лучшая часть пиломатериала имеет наименьшее количество пороков, лучшее качество обработки. Пласть пиломатериалов, обращенная к сердцевине, называется внутренней, а обращенная к заболони - наружной.
Элементы пиломатериалов:
Кромка
Ребро
Торец
2. Современные виды жидких и газообразных топлив, их характеристика и области применения
Развитие современного общества связано с использованием энергии. В связи с ускорением научно-технического прогресса исключительно важная роль отводится топливно-энергетическим ресурсам. При складывающейся структуре современного производства большую роль составляют жидкие и газообразные виды топлива - газ, дизельное топливо, бензин, мазут и различные масла.
Жидкое топливо: а) естественное - нефть; б) искусственное - бензин, керосин, мазут, смола.
Газообразное топливо: а) естественное - природный газ; б) искусственное - генераторный газ, получаемый при газификации различных видов твердого топлива (торфа, дров, каменного угля и др.), коксовальный, доменный, светильный и другие газы.
Все виды топлива состоят из одних и тех же элементов. Разница между видами топлива заключается в том, что эти элементы содержатся в топливе в различных количествах. Элементы, из которых состоит топливо, делятся на две группы. К первой группе относятся те элементы, которые горят сами или поддерживают горение. К таким элементам относятся углерод, водород и кислород. Ко второй группе элементов принадлежат те, которые сами не горят и не способствуют горению; к ним относятся азот и вода.
2.1 Основные сведения о топливе
Топливом называются горючие вещества, которые сжигаются для получения тепла.
В соответствии с физическим состоянием топливо разделяют на твёрдое, жидкое и газообразное.
К твёрдому топливу относят древесину, торф, горючие сланцы и весь каменный уголь, который добывается.
К жидкому топливу в основном относят сырую нефть, различные нефтепродукты и мазут.
К газообразному топливу относят природный газ, а также различные промышленные газы: доменный, коксовый, генераторный и пр.
В зависимости от происхождения топливо разделяется на природное и искусственное.
Природным называют топливо в том виде, в котором оно было получено при добыче: каменный уголь, древесина, торф, сырая нефть, природный газ и др.
Искусственное топливо - это продукт, полученный при технологической переработке природного топлива. Например: кокс, брикеты, дизельное топливо, мазут, генераторный газ и др.
Топливо, которое по техническим и экономическим соображениям невыгодно перевозить на большие расстояния из-за его низкого качества, как правило, используют вблизи места добычи или получения, называется местным.
К высококачественному топливу относятся жидкое топливо и природный газ.
Все виды топлива состоят из горючей и негорючей частей.
К горючей части относятся: углерод, водород, углеводороды, а также сера, которая вредна для котлов и окружающего воздуха.
К негорючей части относятся кислород О2 , азот N2 , влага Н2 О, и зола А. Влага и зола составляют внешний балласт топлива, а кислород и азот – внутренний. Топливо характеризуется рабочей, сухой и горючей массами. Условия сжигания твёрдого топлива зависят от количества и свойств имеющихся в нём золы, влаги, количества летучих горючих веществ. При сжигании жидкого топлива (мазута), имеющего высокую вязкость, одна из основных задач - распыление его на мелкие капельки. Газовое топливо наиболее пригодное для смешивания его с воздухом, который необходим для горения, поскольку топливо и воздух находятся в одном агрегатном состоянии.
Назначение, классификация и свойства топлива.
Не каждое вещество способное гореть может быть использовано в качестве топлива. Топливо представляет собой вещество, умышленно сжигаемое для получения теплоты и должно отвечать следующим требованиям:
1. При сгорании выделять как можно больше теплоты;
2. Сравнительно легко загораться и давать высокую температуру;
3. Быть достаточно распространенным в природе;
4. Его количество и нахождение должно быть рентабельным при добыче;
5. Дешевым при использовании;
6. Сохранять свои свойства при хранении и транспортировке.
Этим требованиям наиболее полно отвечают вещества органического происхождения: такие как нефть, ископаемый уголь, горючие сланцы, торф.
По агрегатному состоянию все виды топлива могут быть разделены на газообразные, жидкие и твердые, а по происхождению на естественные и искусственные.
| Агрегатное состояние | Топливо естественное | Топливо искусственное |
| Газообразное | Природный и нефтепромысловый газы | Газы (генераторный, водяной, светильный, коксовый, нефтеперерабатывающих заводов) |
| Жидкое | Нефть | Бензин, керосин, дизельное топливо, смазочное масло, спирт, различные смолы |
2.2 Физико-химические свойства природных газов
Природные газы не имеют цвета, запаха и вкуса.
Основные показатели горючих газов, которые используются в котельных: состав, теплота сгорания, удельный вес, температура горения и воспламенения, границы взрываемости и скорость распространения пламени.
Природные газы сугубо газовых месторождений состоят в основном из метана (82…98%) и других углеводородов.
Теплота сгорания - это количество тепла, которое выделяется при полном сгорании 1 м3 газа. Измеряется в ккал/м3 . Различают высшую теплоту сгорания Qв , когда учитывается тепло, затраченное на конденсацию водяных паров, которые находятся в дымовых газах и низшую Qн , когда это тепло не учитывается - ею пользуются при расчётах.
На практике используются газы с различной теплотой сгорания. Для уравнительной характеристики качества топлива используется так называемое условное топливо, за единицу которого берут 1 кг топлива, имеющего теплоту сгорания Qн = 7000 ккал/м3 (29300 кДж/кг).
Температурой горения называется максимальная температура, которая может быть достигнута при полном сгорании газа, если количество воздуха, необходимого для горения, точно отвечает химическим формулам горения, а начальная температура газа и воздуха равна 0.
Температура горения отдельных газов составляет 2000 - 2100ºС. Действительная температура горения в топках котлов ниже жаропродуктивности (1100 - 1400ºС) и зависит от условий сжигания.
Температура воспламенения - это минимальная начальная температура, при которой начинается горение. Для природного газа она составляет 645ºС.
Границы взрываемости. Газовоздушная смесь, в которой газа находится:
до 5% - не горит;
от 5 до 15% - взрывается;
больше 15% - горит при подаче воздуха.
Скорость распространения пламени для природного газа - 0,67 м/сек (метан СН4 )
Горючие газы не имеют запаха. Для своевременного определения наличия их в воздухе, быстрого и точного определения мест утечки газ одорируют (дают запах). Для одоризации используют этилмеркоптан (С2 Н5 SН). Норма одоризации 16 г одоранта на 1000 м3 газа. Одоризация проводится на газораспределительных станциях (ГРС). При наличии в воздухе 1% природного газа должен ощущаться его запах.
Наличие в помещении более 20% газа вызывает удушье, скопление его в закрытом объёме от 5 до 15% может привести к взрыву газовоздушной смеси, при неполном сгорании выделяется угарный газ СО, который даже при небольшой концентрации (0,15%) - отравляющий.
2.3 Горение природного газа
Горение - это реакция, при которой происходит преобразование химической энергии топлива в тепло.
Горение бывает полным и неполным. Полное горение происходит при достаточном количестве кислорода. Нехватка его вызывает неполное сгорание, при котором выделяется меньшее количество тепла, чем при полном, и окись углерода (СО), отравляюще действующая на обслуживающий персонал, образовывается сажа, оседающая на поверхности нагрева котла и увеличивающая потери тепла, что приводит к перерасходу топлива и снижению к. п. д. котла, загрязнению атмосферы.
Для сгорания 1 м3 метана нужно 10 м3 воздуха, в котором находится 2 м3 кислорода. Для полного сжигания природного газа воздух подают в топку с небольшим избытком. Отношение действительно израсходованного объёма воздуха Vд к теоретически необходимому Vт называется коэффициентом избытка воздуха a = Vд /Vт . Этот показатель зависит от конструкции газовой горелки и топки: чем они совершеннее тем меньше a. Необходимо следить, чтобы коэффициент излишка воздуха не был меньше 1, так как это приводит к неполному сгоранию газа. Увеличение коэффициента избытка воздуха снижает к. п. д. котлоагрегата.
Полноту сгорания топлива можно определить с помощью газоанализатора и визуально - по цвету и характеру пламени:
прозрачно-голубоватое - сгорание полное;
красный или жёлтый - сгорание неполное.
Горение регулируется увеличением подачи воздуха в топку котла или уменьшением подачи газа. В этом процессе используется первичный (смешивается с газом в горелке - до горения) и вторичный (соединяется с газом или газовоздушной смесью в топке котла в процессе горения) воздух.
В котлах, оборудованных диффузионными горелками (без принудительной подачи воздуха), вторичный воздух под действием разряжения поступает в топку через поддувочные дверцы.
В котлах, оборудованных инжекционными горелками: первичный воздух поступает в горелку за счёт инжекции и регулируется регулировочной шайбой, а вторичный - через поддувочные дверцы.
В котлах со смесительными горелками первичный и вторичный воздух подаётся в горелку вентилятором и регулируется воздушными задвижками.
Нарушение соотношения между скоростью газовоздушной смеси на выходе из горелки и скоростью распространения пламени приводит к отрыву или проскакиванию пламени на горелках.
Если скорость газовоздушной смеси на выходе из горелки больше скорости распространения пламени - отрыв, а если меньше - проскок.
При отрыве и проскоке пламени обслуживающий персонал должен погасить котёл, провентилировать топку и газоходы и снова разжечь котёл.
Газообразное топливо с каждым годом находит все более широкое применение в различных отраслях народного хозяйства. В сельскохозяйственном производстве газообразное топливо широко используется для технологических (при отоплении теплиц, парников, сушилок, животноводческих и птицеводческих комплексов) и бытовых целей. В последнее время его все больше стали применять для двигателей внутреннего сгорания.
По сравнению с другими видами газообразное топливо обладает следующими преимуществами:
сгорает в теоретическом количестве воздуха, что обеспечивает высокие тепловой кпд и температуру горения;
при сгорании не образует нежелательных продуктов сухой перегонки и сернистых соединений, копоти и дыма;
сравнительно легко подводится по газопроводам к удаленным объектам потребления и может храниться централизованно;
легко зажигается при любой температуре окружающего воздуха;
требует сравнительно небольших затрат при добыче, а значит, является по сравнению с другими более дешевым видом топлива;
может быть использовано в сжатом или сжиженном виде для двигателей внутреннего сгорания;
обладает высокими противодетонационными свойствами;
при сгорании не образует конденсата, что обеспечивает значительное уменьшение износа деталей двигателя и т.п.
Вместе с тем газообразное топливо имеет также определенные отрицательные свойства, к которым относятся: отравляющее действие, образование взрывчатых смесей при смешении с воздухом, легкое протекание через неплотности соединений и др. Поэтому при работе с газообразным топливом требуется тщательное соблюдение соответствующих правил техники безопасности.
Применение газообразных видов топлива обусловливается их составом и свойствами углеводородной части. Наиболее широко применяются природный или попутный газ нефтяных или газовых месторождений, а также заводские газы нефтеперерабатывающих и других заводов. Основными составляющими компонентами этих газов являются углеводороды с числом углеродных атомов в молекуле от одного до четырех (метан, этан, пропан, бутан и их производные).
Природные газы из газовых месторождений практически полностью состоят из метана (82...98%), с небольшой Применение газообразного топлива для двигателей внутреннего сгорания
Непрерывно увеличивающийся парк автомобилей требует все большего количества топлива. Решить важнейшие народнохозяйственные проблемы стабильного обеспечения автомобильных двигателей эффективными энергоносителями и сокращения потребления жидкого топлива нефтяного происхождения возможно за счет использования газообразного топлива - сжиженного нефтяного и природного газов.
Для автомобилей используют только высококалорийные или среднекалорийные газы. При работе на низкокалорийном газе двигатель не развивает необходимой мощности, а также сокращается дальность пробега автомобиля, что экономически невыгодно. Па). Выпускают следующие виды сжатых газов: природный, коксовый механизированный и коксовый обогащенный
Основным горючим компонентом этих газов является метан. Так же как и для жидкого топлива, наличие в газообразном топливе сероводорода нежелательно из-за его коррозионного воздействия на газовую аппаратуру и детали двигателя. Октановое число газов позволяет форсировать автомобильные двигатели по степени сжатия (до 10...12).
Основным горючим компонентом этих газов является метан. Так же как и для жидкого топлива, наличие в газообразном топливе сероводорода нежелательно из-за его коррозионного воздействия на газовую аппаратуру и детали двигателя. Октановое число газов позволяет форсировать автомобильные двигатели по степени сжатия (до 10...12).
В газе для автомобилей крайне нежелательно присутствие циана CN. Соединяясь с водой, он образует синильную кислоту, под действием которой в стенках баллонов образуются мельчайшие трещины. Наличие в газе смолистых веществ и механических примесей приводит к образованию отложений и загрязнений на приборах газовой аппаратуры и на деталях двигателей.
2.4 Жидкое топливо и его характеристика
Основным видом жидкого топлива, которое используется в котельных, служит топливный мазут - конечный продукт переработки нефти.
Основные характеристики мазутов: вязкость, температура застывания
Для надежной и долговечной работы механизмов и систем топливосмазочные материалы должны соответствовать требованиям ГОСТ. При этом основным критерием характеризующим качество топливосмазочных материалов являются физико-химические свойства. Рассмотрим основные из них.
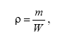
Плотность - это масса вещества, содержащаяся в единице объема. Различают абсолютную и относительную плотность.
Абсолютная плотность определяется как:

где p - плотность, кг/м3; m - масса вещества, кг; V - объем, м3.
Плотность имеет значение при определении весового количества топлива в резервуарах. Плотность всякой жидкости, в том числе и топлива, изменяется с изменением температуры. Для большинства нефтепродуктов плотность уменьшается с увеличением температуры и увеличивается с уменьшением температуры. На практике часто имеют дело с безразмерной величиной - относительной плотностью. Относительной плотностью нефтепродукта называется отношение его массы при температуре определения к массе воды при температуре 4 °С, взятой в том же объеме, поскольку масса 1 л воды при 4 °С точно равна 1 кг. Относительная плотность (удельный вес) обозначается 20 4 р. Например, если 1 л бензина при 20 °С весит 730 г, а 1 л воды при 4 °С весит 1000 г, то относительная плотность бензина будет равна:

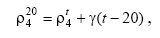
Относительная плотность нефтепродукта 20 4 р принято выражать величиной, относящейся к нормальной температуре (+20 °С), при которой значения плотности регламентируются государственным стандартом. В паспортах, характеризующих качество нефтепродукта, плотность также указывается при температуре +20 °С. Если известна плотность t 4 р при иной температуре, то по ее значению можно вычислить плотность при 20 °С (т.е. привести фактическую плотность к стандартным условиям) по формуле:
![]()
где Y - средняя температурная поправка плотности, величина, которая берется в зависимости от ве - личины замеряемой плотности t 4 р по таблицеТемпературные поправки к плотности нефтепродуктов

Рассматривая плотность как весовую, по объему t V и плотности t 4 p (замеренных при одной и той же температуре t) находится вес топлива при замеренной температуре:
![]()
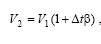
При повышении температуры объем нефтепродуктов увеличивается и определяется по формуле:
![]()
где 2 V - объем нефтепродукта при повышении температуры на 1 °С; 1 V - первоначальный объем нефте - продукта; delta t - разность температур; B - коэффициент объемного расширения нефтепродукта Коэффициенты объемного расширения нефтепродуктов в зависимости от плотности при +20 °С на 1 °С

Наиболее распространенными методами измерения плотности ареометрический, пикнометрический и метод гидростатического взвешивания. В последнее время успешно развиваются автоматические методы: вибрационные, ультразвуковые, радиоизотопные, гидростатические.
Вязкость - свойство частиц жидкости оказывать сопротивление взаимному перемещению под действием внешней силы. Различают динамическую и кинематическую вязкость. В практических условиях больше интересует кинематическая вязкость, которая равна отношению динамической вязкости к плотности.
![]()
Вязкость жидкости определяется в капиллярных вискозиметрах и измеряется в стоксах (С), размерность которого мм2/с. Кинематическая вязкость нефтепродуктов определяется по ГОСТ 33-82 в капиллярных вискозиметрах ВПЖ-1, ВПЖ-2 и Пинкевича (рис.5). Вязкость прозрачных жидкостей при положительных температурах находят с помощью вискозиметров ВПЖ-1. Вискозиметры ВПЖ-2 и Пинкевича применяют для различных температур и жидкостей. Кинематическая вязкость топлива, предназначенного для применения в высокооборотных дизелях, нормируется при 20 °С, низкооборотных - при 50 °С, моторных масел - при 100 °С. Определение кинематической вязкости в капиллярном вискозиметре основано на том, что вязкость жидкости прямо пропорциональна времени истечения ее через капилляр, обеспечивающий ламинарность потока. Вискозиметр Пинкевича состоит из сообщающихся трубок различающихся диаметром. Для каждого вискозиметра указывается его постоянная С, представляющая собой отношение вязкости калибровочной жидкости к 20 v при 20 °С ко времени протекания к 20 t этой жидкости под действием собственной массы также при 20 °С из объема 2 от метки а до метки б через капилляр 3 в расширение 4:

Вязкость нефтепродукта при температуре t °С находится по формуле:
![]()
Фракционный состав определяют по ГОСТ 2177-82 при помощи специального прибора. Для этого в колбу 1 наливают 100 мл исследуемого топлива и нагревают до кипения. Пары топлива поступают в холодильник 3, где конденсируются и далее в виде жидкой фазы поступают в мерный цилиндр 4. В процессе перегонки фиксируют температуру, при которой выкипает 10, 20, 30% и т.д. исследуемого топлива. Перегонку заканчивают, когда после достижения наивысшей температуры наблюдается небольшое ее падение. По результатам перегонки строят кривую фракционной разгонки испытуемого топлива.
Первая - пусковая фракция, обусловленная выкипанием 10% топлива, характеризует его пусковые качества. Чем ниже температура выкипания этой фракции, тем лучше для запуска двигателя. Для зимних сортов бензина необходимо чтобы 10% топлива выкипало при температуре не выше 55 °С, а для летних - не выше 70 °С.
Другая часть бензина, выкипающая от 10 до 90% называют рабочей фракцией. Температура ее испарения не должна быть выше 160 … 180 °С.
Тяжелые углеводороды бензина в интервале от 90% выкипания до конца кипения представляют собой концевые или хвостовые фракции, которые крайне нежелательны в топливе. Наличие этих фракций приводит к отрицательным явлениям при работе двигателя: неполному сгоранию топлива, повышенному износу деталей за счет смывания смазки с гильз цилиндров и разжижения моторного масла в двигателе, увеличению Эксплуатационные свойства дизельного топлива
Дизельное топливо используют в двигателях с воспламенением от сжатия, называемых дизелями. Воздух и топливо подаются в камеру сгорания раздельно. В ходе всасывания в цилиндр поступает свежий воздух; при втором ходе сжатия - воздух сжимается до 3 … 4 МПа (30 … 40 кгс/см2). В результате сжатия температура воздуха достигает 500 … 700 °С. В конце сжатия в цилиндр двигателя впрыскивается топливо, образуя рабочую смесь, которая нагревается до температуры самовоспламенения и воспламеняется.
Впрыскиваемое топливо распыляется форсункой, которая помещается в камере сгорания или в форкамере. Средний диаметр капель топлива составляет примерно 10 … 15 мкм.
По сравнению с карбюраторными двигателями дизельные двигатели отличаются высокой экономичностью, так как работают с более высокими степенями сжатия (12 … 20 вместо 4 … 10) и коэффициентом избытка воздуха = 5,1...4,1. Вследствие этого удельный расход топлива у них на 25 … 30% ниже, чем у карбюраторных двигателей.
Дизельные двигатели более надежны в эксплуатации и более долговечны, они обладают лучшей приемистостью, т.е. легче набирают обороты и преодолевают перегрузки. В то же время, дизели от личаются большей сложностью в изготовлении, большими габаритами и меньшей мощностью на единицу веса. Но, исходя из более экономичной и надежной работы, дизели успешно конкурируют с карбюраторными двигателями.
Для обеспечения долговечной и экономичной работы дизельного двигателя дизельное топливо должно отвечать следующим требованиям:
иметь хорошее смесеобразование и воспламеняемость;
обладать соответствующей вязкостью;
иметь хорошую прокачиваемость при различных температурах окружающего воздуха;
не содержать сернистых соединений, водорастворимых кислот и щелочей, механических примесей и воды.
Свойство дизельного топлива, характеризующее мягкую или жесткую работу дизеля, оценивают по его самовоспламеняемости. Эту характеристику определяют путем сравнения дизеля на испытуемом и эталонном топливе. Оценочным показателем служит цетановое число топлива.
Топливо, поступающее в цилиндры дизеля, воспламеняется не мгновенно, а через некоторый промежуток времени, который называется периодом задержки самовоспламенения. Чем он меньше, тем за меньший промежуток времени топливо сгорает в цилиндрах дизеля. Давление газов нарастает плавно, и двигатель работает мягко (без резких стуков). При большом периоде задержки самовоспламенения топливо сгорает за короткий промежуток времени, давление газов нарастает почти мгновенно, поэтому дизель работает жестко (со стуком). Чем выше цетановое число, тем меньше период задержки самовоспламенения дизельного топлива, тем мягче самовоспламеняемость дизельного топлива оценивается обычно путем сравнения ее с самовоспламеняемостью эталонных топлив. В качестве эталонных топлив используется нормальный парафиновый углеводород цетан (С16Н34), имеющий малый период задержки самовоспламенения (самовоспламеняемость цетана условно принята за 100) и ароматический углеводород метилнафталин С10Н7СН3, который имеет большой период задержки самовоспламенения (самовоспламеняемость его условно принята за 0) работает двигатель.
Цетановое число топлива численно равно процентному содержанию цетана в его смеси с метилнафталином, которая по характеру сгорания (по самовоспламеняемости) равноценна испытуемому топливу. Используя эталонные топлива, можно получать смеси с любыми цетановыми числами от 0 до 100.
Цетановое число можно определить тремя способами: по совпадению вспышек, по запаздыванию самовоспламенения и по критической степени сжатия. Цетановое число дизельных топлив обычно определяют по методу "совпадения вспышек" на установках ИТ9-3, ИТ9-ЗМ или ИТД-69 (ГОСТ 3122-67). Это одноцилиндровые четырехтактные двигатели, оборудованные для работы с воспламенением от сжатия. Двигатели имеют переменную степень сжатия? = 7 … 23. Угол опережения впрыска топлива устанавливается равным 13° до верхней мертвой точки (В.М. Т). Изменением степени сжатия добиваются, чтобы воспламенение происходило строго в В.М.Т. При определении цетанового числа дизельных топлив частота вращения вала одноцилиндрового двигателя должна быть строго постоянной (п = 900 ± 10 об/мин).
После этого подбирают два образца эталонных топлив, один из которых дает совпадение вспышек (т.е. задержку самовоспламенения, равную 13°) при меньшей степени сжатия, а второй - при более высокой степени сжатия.
Путем интерполяции находят смесь цетана с - метилнафталином, эквивалентную испытываемому топливу, и таким образом устанавливается его цетановое число.
Цетановое число топлив зависит от их улеводородного состава. Наиболее высокими цетановыми числами обладают парафиновые углеводороды нормального строения. Самые низкие цетановые числа у ароматических углеводородов.
Оптимальным цетановым числом дизельных топлив является 40 - 50. Применение топлив с ЦЧ < 40 приводит к жесткой работе двигателя, а ЦЧ > 50 - к увеличению удельного расхода топлива за счет уменьшения полноты сгорания.
Список использованной литературы и источники
1. Уголев Б.Н. Древесиноведение и лесное товароведение. - М.: Academia, 2001
2. Колесник П.А., Кланица В.С. Материаловедение на автомобильном транспорте. - М.: Academia, 2007
3. Физико-химические основы строительного материаловедения: Учебное пособие / Волокитин Г.Г. , Горленко Н.П. -М.: АСВ, 2004
4. Сайт OilMan.ruhttp://www.oilman.ru/toplivo1.html
Похожие рефераты:
Проект реконструкции цеха первичной переработки нефти и получения битума на ОАО «Сургутнефтегаз»
Энергоэкономическая эффективность применения авиационных двигателей на ТЭС
Современные дизельные, судовые и тяжелые моторные топлива
Испытательная станция турбовинтовых двигателей ТВ3–117 ВМА–СБМ1 серийного производства
Модернизация двигателя мощностью 440 квт с целью повышения их технико-экономических показателей
Двигатели стирлинга. Области применения
Межпредметные связи в курсе школьного предмета химии на предмете углерода и его соединений
Автомобильные дизельные топлива
Анализ эффективности работы двигателя внутреннего сгорания
Модификация котельных топлив отходами спиртопроизводства
Устройство и принцип работы автомобиля ЗиЛ-130
Разработка окислительного нейтрализатора для дизельных двигателей