| Похожие рефераты | Скачать .docx |
Реферат: Промывка фильтровальных аппаратов
Содержание
Промывка фильтровальных аппаратов
Распределительные системы фильтровальных аппаратов
Промывка фильтровальных аппаратов
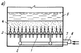
Момент работы фильтра, когда потеря напора в фильтрующей загрузке достигает предельно допустимого значения или начинает ухудшаться качество фильтрата, служит сигналом для выключения фильтра на промывку в целях восстановления задерживающей способности загрузки. Промывку фильтрующей загрузки в скорых фильтрах производят обратным током воды, или воздуха и воды, для чего, как правило, используют фильтрованную воду. Перед промывкой фильтра подачу воды на него прекращают. Когда уровень воды в нем понизится до кромки желобов, начинают подачу промывной воды вниз фильтра (от специального промывного насоса или от бака, расположенного на определенной высоте). Промывная вода поступает в распределительную (дренажную) систему фильтра (рис.12.1),, равномерно распределяется по площади фильтра и поднимается вверх через загрузку с такой интенсивностью, которая обеспечивает переход зерен фильтрующей загрузки во взвешенное состояние. При этом загрузка как бы расширяется и поверхность, которую она занимала в процессе фильтрования, приближается к кромке желобов.
При взвешенном состоянии загрузки отдельные зерна ее непрерывно соприкасаются друг с другом, в результате чего налипшие на них загрязнения оттираются и вместе с потоком промывной воды переливаются в желоба (рис.12.13 и 12.14), откуда отводятся в карман (или центральный канал) фильтра и далее сбрасываются в канализацию. Фильтр промывают до тех пор, пока вода, переливаемая в желоба, не станет прозрачной. Для нормально работающих скорых фильтров достаточна продолжительность промывки 8.10 мин.

Несмотря на то, что промывка фильтров является лишь вспомогательным процессом, она может оказать решающее влияние на нормальный режим работы фильтров. Если в процессе промывки фильтрующая загрузка отмывается недостаточно, то это приводит к постепенному накоплению остаточных загрязнений, что сокращает фильтроцикл, а в отдельных случаях и вовсе выводит фильтр из работы. Поэтому конструктивное оформление большинства деталей и оборудования фильтров диктуется условиями его промывки.
Основной задачей при расчете промывки фильтров является установление такой интенсивности промывки и такого относительного расширения слоя загрузки, при которых обеспечивается практически полная отмывка зерен загрузки от прилипших к ним в процессе фильтрования загрязнений.

Рис.12.14. Графики для определения размеров желобов с треугольным (1) и полукруглым (2) низом
Наиболее полно теория промывки фильтров разработана Д.М. Минцем и С.А. Шубертом. Сущность разработанной ими теории сводится к следующим основным положениям. При промывке зерна фильтрующей загрузки переходят во взвешенное состояние и весь слой фильтрующего материала расширяется при достижении некоторой критической скорости восходящего движения промывной воды. Расширение слоя тем больше, чем больше интенсивность промывки. При этом каждой скорости восходящего потока воды при данной ее температуре соответствует вполне определенная степень расширения загрузки. При достижении предельного для данной восходящей скорости расширения устанавливается динамическое равновесие расширившегося слоя, хотя зерна его и пребывают в непрерывном хаотическом движении. При равновесии расширившегося слоя равнодействующая всех сил, действующих на этот слой, равна нулю.
Взвешенный слой загрузки находится под действием двух противоположно направленных сил: силы тяжестиG , направленной вертикально вниз и равной массе фильтрующей загрузки в воде; разности сил давления на нижнюю и верхнюю поверхности взвешенной загрузки; эта сила, отнесенная к м2 поверхности фильтра, может быть выражена через Δр. Поскольку система находится в равновесии, то очевидно, чтоG = Δp . ВеличиныG и Ар можно выразить следующим образом:
(12.54)
где р3 - плотность материала загрузки, г/см3 ; ρв - плотность воды; г/см3 ; g - ускорение свободного падения, Н*м/с2 ; h - высота фильтрующего слоя до расширения загрузки, см; п0 - пористость фильтрующей загрузки до расширения; Н - потеря напора во взвешенном слое, см.
Приравнивая приведенные уравнения и решая их относительно Н, получаем
(12.55)
Это уравнение показывает, что потеря напора в слое взвешенной загрузки для данных условий работы фильтра есть величина постоянная, не зависящая от скорости восходящего движения воды, т.е. от интенсивности промывки. Взвешенную фильтрующую загрузку, находящуюся в состоянии динамического равновесия, можно рассматривать как пористую среду, а восходящий поток воды - как фильтрационный поток. В этом случае к расширившейся фильтрующей загрузке можно применить те же закономерности, что и для процесса фильтрации однородной жидкости через зернистую загрузку. Зависимость между основными факторами, влияющими на процесс фильтрации однородной жидкости, может быть представлена формулой
(12.56)
где Др/А - потеря напора, м, на единицу толщины зернистого слоя; ии - истинная средняя скорость потока в толще слоя, см/с; I - характерный линейный параметр - гидравлический радиус зернистого слоя, см; Re - число Рейнольдса; р. - динамическая вязкость, Па*с; φ (Re) = - коэффициент сопротивления.
В результате обобщения опытных данных получено следующее выражение для коэффициента ψ.
(12.57)
где А - постоянная величина (для определенного интервала значений Re), не зависящая от формы зерен загрузки.
Подставляя в формулу (12.56) значение ф из уравнения (12.57) и заменяяvu = v / n , гдеv - средняя скорость движения восходящего потока промывной воды, см/с, а п - пористость расширившейся загрузки, получим
![]()
Гидравлический радиус зернистого слоя 1=п - а-1 , где а - суммарная поверхность зерен в единице объема загрузки, равная для шаровых зерен:
(12.59)
гдеd - диаметр шаровых зерен. Для зерен любой формы
(12.60)
где а - коэффициент формы зерен; d - диаметр шара, равновеликого по объему зернам загрузки. Тогда
(12.6 1)
Пористость плотно лежащей загрузки п0 и пористость расширившейся загрузки nсвязаны соотношением
'
где е - относительное расширение загрузки при ее промывке, равное:
e = ( h - h 0 ) / h 0 .
Подставляя (12.62) в (12.61) получим
(12 63)
Подставляя I по формуле (12.63) в выражение для Δр (12.58) и заменяяh = h 0 ( e + 1), получим
![]()
Как уже говорилось выше, при состоянии равновесия расширившейся загрузкиG = Δp . Тогда, выражаяG по формуле (12.54) и Δр по формуле (12.64), получим
![]()
Отсюда можно найти скорость восходящего потока воды (в см/с) (т.е. необходимую интенсивность промывки), учитывая, что рв =1:
![]()
Данная формула показывает, что для достижения одного и того же значения относительного расширения загрузки скорость восходящего потока воды должна быть тем больше, чем больше плотность материала загрузки р3 и диаметрd зерен загрузки; необходимая скоростьv уменьшается с увеличением вязкости воды (т.е. при низких температурах воды) и с увеличением коэффициента формы, т.е. для угловатых частиц.
Формула (12.66) выведена для однородных загрузок, имеющих зерна одинаковой крупности. В действительности фильтрующие загрузки всегда состоят из зерен различного размера. Для таких загрузок величинаd в формуле (12.66) заменяется величиной эквивалентного диаметра зеренd 3 , которая подсчитывается по формуле (12.48).
Теоретические исследования, а также опыт эксплуатации фильтров рекомендуют следующие относительные расширения загрузок и необходимые интенсивности промывки (см. табл.12.4). Для антрацитовых загрузок интенсивности промывки следует принимать на 70% меньшими, чем указаны в табл.12.4 для песчаных загрузок скорых фильтров.
Для загрузок из кварцевого песка при dэ >1 мм в целях повышения эффекта отмывки, снижения расхода промывной воды и уменьшения размеров водоотводящих устройств (желобов, каналов, трубопроводов) целесообразно применение водовоздушной промывки. Ее режим назначается следующим: продувка воздухом с интенсивностью 15.20 л/ (с*м2 ) в течение 1.2 мин, затем совместная водовоздушная промывка с интенсивностью подачи воздуха 15.20 л/ (с*м2 ) и воды 3.4 л/ (с*м2 ) в течение 4.5 мин и последующая подача одной воды с интенсивностью 6.8 л/ (с*м2 ) в течение 4.5 мин. При водовоз душной промывке воду и воздух следует подавать по раздельным трубчатым распределительным системам или через распределительные системы со специальными колпачками.
Водовоздушную промывку рекомендуется применять для песчаных фильтров с системой горизонтального отвода промывной воды с пескоулавливающим желобом, образуемым двумя наклонными стенками - отбойной и водосливной (рис.12.13, В). При использовании фильтрующих загрузок из дробленых антрацита и керамзита водовоздушная промывка не допускается.
Скорость движения воды в трубопроводах, подающих и отводящих воду, назначают 1,5.2 м/с. Для удаления воздуха из трубопровода, подающего воду на промывку фильтров, располагаемого ниже кромки их желобов, необходимо предусматривать стояки - воздушники диаметром 75.150 мм.
Для промывки фильтра, особенно если его площадь велика, приходится в течение 7.9 мин подавать большое количество воды, для чего требуется установка мощных насосов и электродвигателей. Например, даже для фильтра сравнительно небольшой площади в 20 м2 при интенсивности промывки 15 л/ (с*м2 ) требуется подавать 20*15=300 л/с и, следовательно, устанавливать насос с подачей 1080 м3 /ч с мотором мощностью 50 кВт. При наличии же промывного бака требуемое для промывки количество воды может подаваться в бак в течение сравнительно длительного времени (в зависимости от графика промывки фильтров), для чего потребуется насос значительно меньшей производительности. В этом случае можно подавать воду и от водоводов насосной станции П подъема. С другой стороны, устройство бака, располагаемого на высоте 10.15 м от уровня пола первого этажа, как правило, вызывает увеличение объема строительных работ и удорожание строительства. Поэтому вариант подачи промывки воды выбирают на основании технико-экономических расчетов с учетом ряда местных условий: возможности получения мощных насосов и электродвигателей, возможности расположения промывного бака на естественном возвышении, производительности водоочистной станции и др. Вместимость бака для промывки фильтров подсчитывают, исходя из возможности последовательной промывки двух фильтров, по формуле
(12.67)
где w - принятая интенсивность промывки фильтра, л/ (с*м2 ); А - площадь одного фильтра, м2 ; Т - продолжительность промывки фильтра, мин (см. табл.12.4).

Подачу промывного насоса определяют как произведение площади одного фильтра на принятую интенсивность промывки. Промывной насос забирает воду из резервуара чистой воды, в котором дополнительно должен предусматриваться запас воды на две последовательно проводимые промывки. Следует устанавливать два промывных насоса, из которых один резервный. Напор, развиваемый промывным насосом, или высота расположения промывного бака над уровнем отводных устройств фильтра складывается из следующих величин: суммы гидравлических сопротивлений в трубопроводе и арматуре на пути движения промывной воды; сопротивлений в распределительной системе (дренаже) фильтра; сопротивления в загрузке фильтра; разности отметок отводных устройств фильтра и дна резервуара чистой воды (учитывается только при промывке от насоса); запаса не неучтенные сопротивления, принимаемого равным 1,5.2 м. вод. ст.
Сопротивления в трубопроводах подсчитывают по таблицам, исходя из скорости движения воды 2.2,5 м/с, причем отдельно подсчитывают потери напора на местные сопротивления в тройниках, коленах, так как местные потери относительно велики по сравнению с сопротивлением в трубопроводе. Сопротивление в распределительной системе фильтра определяется при расчете этих систем (см. (12.53). Сопротивление в загрузке фильтра принимается равным высоте загрузки.
При реагентом умягчении воды или реагентом обезжелезивании наряду с обычной промывкой целесообразно применять поверхностную промывку с целью отмывки загрязнений 8 верхнем слое загрузки и экономии (до 50%) промывной воды. Ее можно производить с помощью неподвижных или вращающихся промывных труб, или труб, располагаемых непосредственно над поверхностью фильтрующей загрузки. Струи воды, выходя с большими скоростями из отверстий или насадок промывной системы, разбивают и размельчают осевшие загрязнения, облегчая удаление их из фильтра. Размытый верхней промывкой фильтрующий слой в начале промывки снизу уже не поднимается вверх монолитным пластом, а взвешивается отдельными зернами в потоке промывной воды (рис.12.15).
При вращающейся системе поверхностной промывки расходуется значительно меньшее количество промывной воды, чем при стационарной, при одинаковом качестве отмывки фильтрующего слоя. Кроме того, для изготовления вращающейся системы требуется значительно меньше труб. Однако, вращающую систему можно применять только для круглых и квадратных фильтров с размером фильтрующей площади не более 25 м2 . Для прямоугольных фильтров вращающуюся систему можно использовать при условии, если их площадь делится на два квадрата по 25 м2 каждый. На прямоугольных фильтрах, не делимых на два квадрата, и на квадратных фильтрах площадью выше 25 м2 следует применять стационарную систему промывки.
Вращающаяся система состоит из подвешенной трубы, от которой в центре фильтра опускается стояк, вращающейся пяты на стойке, двух горизонтально расположенных вращающихся труб с насадками и двух растяжек, придающих системе необходимую жесткость. Пята на стояке должна располагаться примерно на уровне кромок желобов, чтобы в нее не могли попадать зерна взвешенной фильтрующей загрузки. Общая длина вращающейся трубы принимается с таким расчетом, чтобы концы труб не доходили до стенок фильтра на 200.250 мм. На каждом плече вращающейся трубы располагаются насадкитаким образом, чтобы при вращении труб струи воды, выходящие из насадок на одном плече трубы, приходились между струями, выходящими из насадок другой трубы. Расстояние между соседними насадками принимают 200.250 мм.



Рис.12.15. Системы поверхностных промывок скорых фильтров: вращающаяся (а) и стационарная (б).
1 - водораспределительная система; 2 - желоба; 3 - слой фильтрующей загрузки; 4 - вращающаяся реактивная промывная система с соплами; 5 - стационарные перфорированные трубы.
При проектировании вращающейся системы для верхней промывки следует принимать: интенсивность промывки - 0,5.0,75 л/ (с* м2 ); скорость движения воды в подводящих трубах - 2,5..3 м/с; напор в подводящем стояке - 0,4.0,5 МПа.
Стационарная система верхней промывки состоит из подводящих трубопроводов и ряда дырчатых труб, прокладываемых на расстоянии 6.8 см над поверхностью фильтрующей загрузки. При проектировании стационарной системы следует принимать: интенсивность промывки - 3.4 л/ (с-м2 ) 'у скорость движения воды в подводящих трубах - 2,5.3 м/с; скорость выхода воды из отверстий - 8.10 м/с; расстояние между дырчатыми трубами - 0,6.1,0 мм; расстояние между отверстиями (направленными вниз под углом 45° к вертикали) - 8,0..10,0 см; напор в подводящем трубопроводе - 0,3.0,4 МПа.
Распределительные системы фильтровальных аппаратов
К распределительным (дренажным) системам скорых филь - ров предъявляются следующие основные требования, равномерность распределения промывной воды по площади фильтра; равномерность сбора фильтрованной воды с площади фильтра; достаточная механическая прочность, выдерживающая массу воды и загрузки, а также давление воды при промывке фильтра; незасоряемость отверстий и щелей во время рабочего цикла и при промывке.
В настоящее время применяют следующие типы распределительных систем: из щелевых труб или щелевого ложного дна большого сопротивления, без гравийных поддерживающих слоев ; трубчатый дренаж большого сопротивления, располагаемый непосредственно в загрузке фильтра; колпачковый.
СНиП 2.04.02-84 рекомендует применять распределительные системы большого сопротивления (трубчатые, колпачковые и в виде ложного дна), поскольку такие системы обеспечивают необходимую равномерность распределения промывной воды (см. рис.12.1).
Трубчатые распределительные системы - чугунные, асбес - тоцементные, пластмассовые или стальные трубы с отверстиями диаметром 10.12 мм, укладываемые параллельно на расстоянии 0,25.0,35 м друг от друга в нижних слоях гравия и присоединяемые к коллектору (трубе большего диаметра или каналу), расположенному в середине днища фильтра параллельно его длинной стороне (см. рис.12.1). От низа ответвлений до дна фильтра должно быть 8.12 см. Отверстия в трубах располагают вертикально или в шахматном порядке на расстоянии 15.20 см в нижней части под углом 45° к вертикали. Общая площадь отверстий должна составлять 0,25..0,5% площади фильтра.
В послевоенные годы разработано много новых конструкций распределительных устройств (сосунковые, пористые, сборные железобетонные и щелевые системы). Их большим достоинством является отказ от поддерживающих слоев гравия, благодаря чему уменьшаются высота и, следовательно, стоимость фильтра; кроме того, устраняется опасность неравномерного распределения воды из-за смещения поддерживающих слоев при промывке.
Щелевое распределительное устройство представляет собой систему труб со щелями или ложное щелевое дно. Ширина щелей должна быть на 0,1 мм меньше размера самой мелкой фракции загрузки. Для трубчатого щелевого дренажа следует применять трубы из нержавеющей стали, либо полиэтилена серии С или Т. Щели располагают равномерно поперек оси и по периметру трубы не менее чем в два ряда на расстоянии не менее 20 мм друг от друга. Общая площадь щелей - 1,5.2% площади фильтра.
Колпачковая распределительная система представляет собой систему колпачков (рис.12.16), монтируемых на дренажном (с отверстиями) дне или на распределительных трубах из расчета 35.50 колпачков на квадратный метр площади фильтра. Отечественная промышленность выпускает колпачки двух видов: щелевые пластмассовые (ВТИ-К) и фарфоровые (ВТИ) или пористые. Скорость движения воды или водовоздушной смеси в щелях колпачков принимают не менее 1,5 м/с. Общая площадь проходных отверстий всех колпачков должна составлять 0,8.1,0% рабочей площади фильтра.
Применение колпачковых дренажей в условиях водовоздушной промывки позволяет уменьшить расход промывной воды, снизить строительную стоимость сооружений за счет уменьшения диаметров трубопроводов и снижения объема резервуаров. Для хранения промывной воды. Эффект отмывки загрязнений из зернистой загрузки фильтра при водовоздушной промывке намного выше, чем при водяной, поэтому некоторое увеличение высоты фильтра с колпачковым дренажем и поддонным пространством по сравнению с фильтрами, не имеющими горизонтальной компенсации, полностью оправдывается большей эффективностью эксплуатации.
Распределительная система из пористых керамических или бетонных плит, устраиваемая в виде промежуточного днища, - также не требует поддерживающего слоя. Керамические плиты выпускают размерами 40*40*5 или 25*50*5 см. Плиты изготовляют из зерен корунда на керамической связке. После формовки плиты обжигают при температуре около 1900ºС, благодаря чему они не поддаются действию влаги и растворов кислот, которые могут быть применены для очистки плит. Размеры пор в плитах в два с лишним раза больше размеров пустот в фильтрующем слое при среднем диаметре зерен песка 0,75 мм. Поэтому загрязнения, прошедшие через фильтрующий слой, проходят и через пористый дренаж, практически не загрязняя его. Плиты изготовляют и из пористого бетона сборными и реже в монолите. Замену плит производят через 7.8 лет.
При применении дренажа фильтров из пористого бетона следует обращать внимание на защиту бетона от коррозии, возникающей в связи с обработкой воды коагулянтом, а также на подачу воды на фильтры с содержанием взвеси не более 15 мг/л, крупностью не более 0,1 мм, во избежание кольматирования дренажа.
фильтровальный аппарат промывка загрузка


Рис.12.16. Распределительная (дренажная) система с колпачками В-1.
а - колпачковый дренаж; б - колпачок В-1; 1 - длиннохвостый щелевой колпачок; 2 - воздухораспределитель; 3 - "ложное дно" в виде железобетонной плиты; 6,7 - воздух и вода; 4 - фильтрующая загрузка; 5 - "водяная подушка"; 8 - щели; 9 - щель для входа воздуха
Представляет интерес устройство безгравийных дренажей с использованием тонкослойных (0,6.0,8 мм) щелевых труб из нержавеющей стали. Изготовление щелевых дренажей из труб нержавеющей стали осуществляет Челябэнергоремонт Минэнерго РФ - электроискровым способом. К преимуществам подобных дренажей относятся: относительно небольшой расход металла; большая механическая прочность труб, позволяющая исключить устройство для них опор; стойкость труб против коррозии и абразивного воздействия; удобство монтажа и легкость прочистки щелей от взвеси и осадка путем обработки т руб щелочью или кислотой.
При расчете распределительных систем сопротивление фильтрующей загрузки обычно не учитывалось, что исключало возможность равномерного распределения промывной воды по площади фильтра. Поэтому при расчете распределительных систем большого сопротивления следует обязательно учитывать сопротивление загрузки при ее промывке.
Физическая сущность действия распределительных систем большого сопротивления заключается в том, что гидродинамическая неустойчивость взвешенного слоя загрязненной загрузки парализуется сопротивлением отверстий или щелей на пути движения воды. Для обеспечения равномерности распределения промывной воды по площади фильтра необходимо, чтобы суммарное сопротивление на пути потока промывной воды (сопротивление в распределительной системе + сопротивление в загрузке) возрастало с увеличением интенсивности промывки. Математически это условие выражается уравнением
(12.68)
которое должно сохраняться при любых значениях интенсивности промывки - от нуля до заданного. В этом уравнении Н - мгновенная потеря напора в загрузке и в отверстиях распределительной системы; w - мгновенная интенсивность промывки. Уравнение (12.68) может быть представлено, в следующем виде:
(12.69)
где (dH / dw ) 1 - изменение потери напора в отверстиях или щелях распределительной системы; (dH / dw ) 2 = a 1 - изменение потери напора в загрузке фильтра при массовом выносе загрязнений из нее; (dH / dw ) 3 = a 2 - изменение потери напора в связи с гидродинамической неустойчивостью взвешенного слоя.
Как уже отмечалось выше, второе и третье слагаемые формулы (12.69) имеют отрицательное значение, поэтому эту формулу можно представить в виде
(12.70)
Потеря напора в отверстиях или щелях распределительной системы (в м) равна:
(12.71)
гдеw - интенсивность промывки фильтра, л/с-м2 ; р,] - коэффициент расхода; А - суммарная площадь отверстий или щелей, приходящихся на 1 м2 фильтрующей поверхности, м2 . После дифференцирования уравнения (12.70) получим
(12.72)
Подставляя полученное значение ( dH / dw ) x в уравнение (12.71) и решая относительно А2 , имеем
(12.73)
Значения производных а, определяются по экспериментальным кривым зависимости потери напора в загрузке от интенсивности, и значения производных а2 для различных интенсивностей промывки подсчитывают по данным гранулометрического состава загрузки.
Расчеты, проведенные Е.А. Барановым, показали, что получаемые по формуле (12.73) значения необходимой площади отверстий или щелей распределительной системы Э (для достижения равномерности распределения промывной воды) весьма близки к тем, которые установлены в процессе многолетней эксплуатации скорых фильтров и принимаются равными 0,2..0,25% от площади фильтрующей поверхности. Эта норма принята и СНиПом при расчете площади отверстий и щелей распределительных устройств (для дренажной системы, фильтров АКХ эта норма составляет 1,5.2%). Размеры отверстий принимают 10.12 мм, а ширину щелей - по размеру наименьших фракций фильтрующей загрузки (обычно 0,4.0,5 мм). При определении числа дренажных колпачков следует иметь в виду, что площади щелей на серийно выпускаемых колпачках составляет: на колпачке ВТИ-2 - 240 мм2 и на колпачке ВТИ-5 - 192 мм2 .
Диаметры трубопроводов распределительной системы подбирают по максимальной скорости движения воды в них 1,5..2 м/с, а диаметр дренажных труб, располагаемых в фильтрующей загрузке фильтров АКХ, ДДФ - по скорости движения воды не более 1 м/с.
Потеря напора в распределительной системе (в м) определяется по формуле (12.53).
Литература
1. Алексеев Л.С., Гладков В.А. Улучшение качества мягких вод. М., Стройиздат, 1994 г.
2. Алферова Л.А., Нечаев А.П. Замкнутые системы водного хозяйства промышленных предприятий, комплексов и районов. М., 1984.
3. Аюкаев Р.И., Мельцер В.З. Производство и применение фильтрующих материалов для очистки воды. Л., 1985.
4. Вейцер Ю.М., Мииц Д.М. Высокомолекулярные флокулянты в процессах очистки воды. М., 1984.
5. Егоров А.И. Гидравлика напорных трубчатых систем в водопроводных очистных сооружениях. М., 1984.
6. Журба М.Г. Очистки воды на зернистых фильтрах. Львов, 1980.
Похожие рефераты:
Водоотведение поселка Песочное с доочисткой сточных вод
Очистка подземных и поверхностных вод по озоно-сорбционной технологии для хозяйственного назначения
Установка для переработки отходов слюдопластового производства
Умягчение воды катионированием
Современные конструкции фильтровальных аппаратов
Бурение и оборудование скважин при подземном выщелачивании полезных ископаемых
Ремонт и обслуживание скважин и оборудования для бурения
Проект реконструкции цеха первичной переработки нефти и получения битума на ОАО «Сургутнефтегаз»
Повышение качества полиэтиленовых газопроводных труб
Автоматизация процесса фильтрации вискозы в химическом цехе ООО "Сибволокно"