| Похожие рефераты | Скачать .docx |
Реферат: Умягчение воды катионированием
Умягчение воды катионированием
Кинетика работы катионитового фильтра
Сущность ионного обмена заключается в способности ионе обменных материалов или ионитов поглощать из воды (раствора электролита) положительные или отрицательные ионы в обмен на эквивалентное количество ионов ионита. Процесс водообработки методом ионного обмена, в результате которого происходит обмен катионов, называют катионированием. Катиониты в воде разбухают, увеличиваясь в объеме. Отношение объемов одинаковых масс катионитов в набухшем и воздушно- сухом состоянии называют коэффициентом набухания. Он выражается отношением насыпных плотностей воздушно-сухого и набухшего ионитов.
Ионный состав и степень разбухания частиц ионообменной смолы являются результатом равновесия движущих сил в системе частица—вода. Наряду с небольшой долей энергии, освобождающейся вследствие гидратации функциональных групп, движущие силы возникают в основном из-за разности концентраций между внутренней набухшей частью зерна и окружающей его водой. Вода набухания в частице смолы с мобильными противоионами функциональных групп имеет концентрацию 1,5 ...6 г-экв/л. Следуя за перепадом концентрации, противоионы функциональных групп пытаются покинуть частицу смолы и протолкнуть в нее молекулы воды. Это влечет за собой смещение потенциала Доннана на граничной поверхности частицы. Миграция противоионов и набухание смолы прекращаются по достижении условий минимального запаса энергии. Внутри частицы аккумулируются те многоатомные противоионы с небольшим радиусом, которые вступают с функциональными группами в ассоциации с малым запасом энергии. Эта селективность, являющаяся основой процесса, понижается с увеличением концентрации среды и уменьшением степени «сшивания» ионообменника.
Энергия вхождения различных катионов в катионит по величине их динамической активности может быть охарактеризована для одинаковых условий следующим рядом: Na+<NH4+<K+<Mg2+<Ca2+<Al3+<Fe3+, т. е. чем больше заряд катионов, тем больше их энергия вхождения в катионит. Для катионов одинаковой валентности энергия вхождения в катионит зависит от их гидратации; что касается энергии вхождения иона водорода в катионит, то она в 17 раз больше, чем у натрия, и в 4 раза больше, чем у кальция.
Основополагающим фактором кинетики процесса является скорость ионообмена между ионами воды и омываемой частицей смолы. Непосредственно на наружной поверхности омываемой частицы образуется неподвижная водяная пленка, толщина которой зависит от скорости потока умягчаемой воды и размеров зерна смолы. Ион Са2+ или Mg2+, который стремится попасть внутрь частицы смолы, в функциональную группу, должен диффундировать из воды через пленку, пройти через граничную поверхность частицы и внутри смолы в растворе набухания устремиться к ассоциации с функциональной группой.
У чистых смол, диффузионные пути которых не загрязнены и не заблокированы, диффузия ионов через пленку является важнейшим этапом процесса. С увеличением скорости потока уменьшается толщина водяной пленки, что облегчает прохождение через нее ионов. Повышение температуры умягчаемой воды влечет уменьшение ее вязкости, что способствует увеличению скорости диффузии и улучшению кинетики ионообмена. Другим важным фактором является отношение объема частицы к ее поверхности. С уменьшением диаметра частицы на каждую функциональную группу приходится большая поверхность обмена.
Скорость обмена катионов зависит от их диффузии к поверхности раздела катионит — вода и определяется структурой катионита. При компактной структуре катионита обмен происходит быстро и в основном на наружных поверхностях — экстрамицеллярный обмен. Однако, при этом не полностью используется сорбционная емкость катионита. При пористой структуре катионита, когда размеры капиллярных каналов больше диаметра гидратированных ионов, обмен происходит на внутренних поверхностях — интермицеллярный обмен. Скорость его меньше, а обменная способность катионита больше. Скорости реакции обмена ионов в катионитах и достижения полного равновесия весьма велики. По данным В. А. Клячко, даже в пористых катионитах реакция обмена Са2+, Mg2+, Na+ на ионы водорода достигает 90 ... 98% в течение долей минуты, а равновесие устанавливается за 5 ... 6 мин. Поэтому допустимы большие скорости фильтрования умягчаемой воды через катиониты.
Каждый катионит обладает определенной обменной емкостью (способностью) выражающейся количеством катионов, которые катионит может обменять в течение фильтроцикла. Обменную емкость катионита измеряют в грамм-эквивалентных задержанных катионов на 1 м3 катионита, находящегося в набухшем (рабочем) состоянии после пребывания в воде, т. е. в таком состоянии, в котором катионит находится в фильтре. Различают полную и рабочую обменную емкость катионита (рис. 20.11). Полной обменной емкостью называют то количество катионов кальция и магния, которое может задержать 1 м3 катионита, находящегося в рабочем состоянии, до того момента, когда жесткость фильтрата сравнивается с жесткостью исходной воды. Рабочей обменной емкостью катионита называют то количество катионов Са2^- и Mg2+, которое задерживает 1 м3 катионита до момента «проскока» в фильтрат катионов солей жесткости. Обменную емкость, отнесенную ко всему объему катионита, загруженного в фильтр, называют емкостью поглощения.
При пропуске воды сверху вниз через слой катионита происходит ее умягчение, заканчивающееся на некоторой глубине. Слой катионита, умягчающий воду, называют работающим слоем или зоной умягчения. При дальнейшем фильтровании воды верхние слои катионита истощаются и теряют обменную способность. В ионный обмен вступают нижние слои катионита и зона умягчения постепенно опускается. Через некоторое время наблюдаются три зоны: работающего, истощенного и свежего катионита. Жесткость фильтрата будет постоянной до момента совмещения нижней границы зоны умягчения с нижним слоем катионита.
Рис. 20.11. Кинетика работы катионитового фильтра (а) и графики для определения удельного расхода поваренной соли на регенерацию в зависимости от требуемой жесткости фильтрата Жф и жесткости исходной воды (б), мг-экв/л.
А и А+Б — рабочая и полная обменная способность катионита; 1 — 5,0; 2 — 7,0; 3 — 10; 4 — 15,0; 5 — 20,0 мг-экв/л
В момент совмещения начинается «проскок» катионов Са2+ и Mg2+ и увеличение остаточной жесткости, пока она не станет равной жесткости исходной воды, что свидетельствует о полном истощении катионита. Пренебрегая жесткостью умягченной воды, рабочую обменную емкость фильтра Ер, г-экв/м3, можно выразить уравнениями:
(20.14)
Объем загруженного в фильтр катионита в набухшем состоянии
VK=ahK. (20.15)
Преобразовав это выражение, получим формулу для определения рабочей обменной емкости катионита, г-экв/м3,
(20.16)
где Жи — жесткость исходной воды, г-экв/м3; Q— количество' умягченной воды, м3; а — площадь катионитового фильтра, м2; hк — высота слоя катионита, м.
Обозначив скорость фильтрования воды в катионитовом фильтре υK, количество умягченной воды можно найти по формуле
(20.17)
откуда длительность работы катионитового фильтра (межрегенерационный период) находим по формуле
(20.18)
По исчерпанию рабочей обменной способности катионита его подвергают регенерации, т. е. восстановлению обменной емкости истощенного ионообменника путем пропуска раствора кислоты или поваренной соли.
Катиониты и их свойства
вода умягчение катионирование
Катиониты по составу разделяют на минеральные и органические, которые, в свою очередь, делят на естественного и искусственного происхождения (табл. 20.2).
Минеральные катиониты естественного происхождения ха-: растеризуются малой обменной способностью и недостаточной химической стойкостью, что привело к замене их искусственными катионитами. Минеральные катиониты искусственного происхождения приготовляют смешением раствора сульфата алюминия с растворами соды и жидкого стекла.
В технологии подготовки воды широко применяют органические катиониты искусственного происхождения. Они содержат функциональные химически активные группы, водород которых способен замещаться другими катионами: четвертичные амины
Таблица 20.2
Катионнты
| минеральные | органические | ||
| естественные | искусственные | естественные | искусственные |
| Глауконит Волконскоит Алюмосиликаты натрия, калия, кальция, магния, железа, хрома | Алюмосиликаты | Гумусовые и бурые угли, торф | Сульфоуголь, КУ-1; КУ-2; IR-100; IR-120; КБ-4; IRS-50; Зеролит 216 и Зеролит 225 и др. |
NH3OH, сульфогруппу HSO3-, одновалентную фенольную группу ОН-, фосфорную группу НРО3-, карбоксильную группу СООН-. Группа HSO3- обладает сильнокислотными, а группы СООН- и ОН- слабокислотными свойствами. В зависимости от содержащейся функциональной группы катиониты делят на сильнокислотные и слабокислотные. Сильнокислотные катиониты обменивают катионы в щелочной, нейтральной и кислой средах, слабокислотные — только в щелочной среде.
Катионит может содержать несколько функциональных групп. Катиониты с однотипными функциональными группами называют монофункциональными, а имеющие несколько функциональных групп — полуфункциональными. Если подвижные ионы функциональных групп имеют положительные заряды, ионит обладает катионообменными, а если отрицательные — анионо-обменными свойствами.
Ионообменные смолы подразделяют на гетеропористые, макропористые и изопористые. Гетеропористые смолы на дивинилбензоловой основе характеризуются гетерогенным характером гелевидной структуры и небольшими размерами пор. Макропористые имеют губчатую структуру и поры свыше молекулярного размера. Изопористые имеют однородную структуру и полностью состоят из смолы, поэтому их обменная способность выше, чем у предыдущих смол.
Качество катионитов характеризуется их физическими свойствами, химической и термической стойкостью, рабочей обменной емкостью и др. Физические свойства катионитов зависят от их фракционного состава, механической прочности и насыпной плотности (набухаемости). Фракционный (или зерновой) состав характеризует эксплуатационные свойства катионитов. Он определяется ситовым анализом. При этом учитываются средний размер зерен, степень однородности и количество пылевидных частиц, непригодных к использованию.
Мелкозернистый катионит, обладая более развитой поверхностью, имеет несколько большую обменную емкость, чем крупно-зернистый. Однако, с уменьшением зерен катионита гидравлическое сопротивление и расход электроэнергии на фильтрование воды увеличиваются. Оптимальные размеры зерен катионита, исходя из этих соображений, принимают в пределах 0,3 ... 1,5 мм. Рекомендуется применять катиониты (для удобства эксплуатации) с коэффициентом неоднородности Кн = 2.
Механическая прочность, термическая и химическая стойкость имеют важное значение для установления износа катионитов в процессе эксплуатации и выбора марки катионита. Неправильный выбор катионита может привести к измельчению его при фильтровании и взрыхлении. Кроме того, при высокой температуре обрабатываемой воды и повышенных значениях кислотности или щелочности, катиониты способны пептизироваться, т. е. переходить в состояние коллоидного раствора и терять обменную способность.
Рабочая обменная емкость катионита зависит от вида извлекаемых из воды катионов, соотношения солей в умягчаемой воде, значения рН, высоты слоя катионита, скорости фильтрования, режима эксплуатации катионитовых фильтров, удельного расхода регенерирующего реагента и от других факторов. В табл. 20.3 приведены технологические характеристики катионитов.
Таблица 20.3

Умягчение воды натрий-катионированием
Натрий-катионитовый метод применяют для умягчения воды с содержанием взвеси не более 8 мг/л и цветностью не более 30 град. Жесткость воды снижается при одноступенчатом натрий-катионировании до 0,05... 0,1, при двухступенчатом — до Ф,01 мг-экв/л. Процесс Na-катионирования описывается следующими реакциями обмена:

где [K] — нерастворимая матрица полимера.
После истощения рабочей обменной емкости катионита он теряет способность умягчать воду и его необходимо регенерировать. Процесс умягчения воды на катионитовых фильтрах слагается из следующих последовательных операций: фильтрование воды через слой катионита до момента достижения предельно допускаемой жесткости в фильтрате (скорость фильтрования в пределах 10... 25 м/ч); взрыхление слоя катионита восходящим потоком умягченной воды, отработанного регенерата или отмывных вод (интенсивность потока 3 ... 4 л/(с*м2); спуска водяной подушки во избежание разбавления регенерирующего раствора; регенерации катионита посредством фильтрования соответствующего раствора (скорость фильтрования 3... 5 м/ч); отмывки катионита неумягченной водой (скорость фильтрования 8 ... 10 м/ч). На регенерацию обычно затрачивают около 2 ч, из них на взрыхление — 10... 15, на фильтрование регенерирующего раствора — 25 ... 40, на отмывку — 30 ... 60 мин.
Выбор метода катионирования диктуется требованиями, предъявляемыми к умягченной воде, свойствами исходной воды и технико-экономическими соображениями. Наиболее простой является схема одноступенчатой Na-катионитовой установки (рис. 20.12). Вода, пройдя Na-кэтионитовые фильтры, отводится в сборный бак, откуда насосом подается потребителю. При работе по этой схеме отсутствуют вода и растворы с кислой реакцией, отпадает необходимость в применении кислотостойкой арматуры труб и защитных покрытий фильтров.

Рис. 20.12. Схема одноступенчатого натрий-катионирования воды.
1,7 — подача исходной и отвод умягченной воды; 2 — натрий- катионитовый фильтр; 3 — бак с раствором поваренной соли; 4 — бак с частично умягченной водой для взрыхления катионита; 5 — резервуар умягченной воды; 6 — насос
Регенерация Na-катионита достигается фильтрованием через него со скоростью 3... 4 м/ч хлористого натрия концентрацией 5... 8%. При жесткости умягченной воды до 0,2 мг-экв/л принимают концентрацию соли 5%, при жесткости менее 0,05 мг-экв/л предусматривают ступенчатую регенерацию: сначала 5%-ным раствором NaClв количестве 1,2 м3 раствора на 1 м3 катионита, затем остальным количеством соли в виде 8%-ного раствора.
Процесс регенерации описывается следующей реакцией:
![]()
Поваренную соль применяют для регенерации из-за ее доступности, дешевизны, а также вследствие того, что получают при этом хорошо растворимые соли СаС12 и MgCl2, легко удаляемые с регенерационным раствором и отмывочной водой.
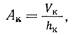
Расход соли р на одну регенерацию Na-катионитового фильтра первой ступени находят из выражения
![]()
где а — площадь фильтра, м2; hK— высота слоя катионита в фильтре, м; epNa— рабочая обменная емкость катионита при Na-катионировании; а — удельный расход соли на 1 г-экв рабочей обменной емкости катионита (для фильтров I ступени в двухступенчатой схеме 120... 150, а в одноступенчатой а=150... 200 г/г-экв, удельный расход соли на фильтрах II ступени 300 ...400 г/г-экв).
При фильтровании раствора поваренной соли сверху вниз при регенерации полный обмен ионов натрия на содержащиеся в катионите Са2+ и Mg2+ происходит в верхних слоях ионообменника, при этом в фильтре возрастает концентрация вытесненных из катионита Са2+ и Mg2+ и снижается концентрация ионов натрия. Возрастание концентрации противоионов (в рассматриваемом случае Ca(II) и Mg(II) в регенерационном растворе подавляет диссоциацию истощенного катионита и ослабляет процесс ионного обмена. Образующийся при этом противоионный эффект тормозит регенерацию, в результате чего по мере продвижения регенерационного раствора в нижние слои катионита их регенерация происходит не полно, и некоторое количество катионов Ca(II) и Mg(II) остаются невытесненными из нижних слоев катионита. Устранение этого недостатка возможно пропуском через катионит свежих порций раствора реагента. Однако, это увеличивает удельный расход поваренной соли и повышает стоимость обработки воды. На практике ограничиваются однократным пропуском соли при жесткости умягченной воды до 0,20 мг-экв/л или двукратным — при жесткости ниже 0,05 мг-экв/л. По аналогии, при фильтровании умягчаемой воды сверху вниз также возникает противоионный эффект, снижающий глубину умягчения воды, при этом противоионами являются катионы натрия. Этот недостаток устраняется путем подачи регенерационного раствора и умягчаемой воды в разных направлениях, последняя, фильтруясь снизу вверх при выходе из фильтра, соприкасается с наиболее полно отрегенерированными слоями катионита, благодаря чему обеспечивается более глубокое умягчение воды. Такой метод умягчения воды называется методом противоточного катионирования. При этом значительно снижается расход реагентов на регенерацию катионита без уменьшения глубины умягчения.
На рис. 20.13 показан фильтр противоточного катионирования.
Схема одноступенчатого Na-катионирования имеет недостатки, лимитирующие ее применение: невозможность глубокого умягчения воды (до 0,01 ... 0,02 мг-экв/л); высокий удельный расход соли на регенерацию; неполное использование емкости поглощения катионита.
Более глубокого умягчения воды, экономии соли и увеличения фильтроцикла достигают двухступенчатым Nа-катионированием (рис. 20.14). В этом случае в фильтрах 1 ступени вода подвергается умягчению до остаточной жесткости 0,1 ...0,20 мг-экв/л при обычной скорости фильтрования 15 ... 25 м/ч. Затем умягченная вода передается на натрий-катионитовые фильтры II ступени, где жесткость предварительно умягченной воды снижается до 0,02... 0,01 мг-экв/л. Так как количество солей жесткости, поступающих на фильтры II ступени незначительно, скорость фильтрования принимают до 40 м/ч, а высоту слоя катионита 1,5 м. Фильтры II ступени создают своего рода барьер, препятствующий проскоку удаляемых катионов при случайных отклонениях в работе фильтров первой ступени. Поэтому натрий-катионитовые фильтры второй ступени называют барьерными.

Рис. 20.13. Противоточный катионитовый фильтр
1,2 — ввод исходной и отвод умягченной воды; 3, 10 — подача регенерационного раствора и сброс отмывочной воды; 4 — воздушник; 5 — люк; 6 — реагентораспределитель; 7, 9 — дренажная и распределительная колпачковая система; 8 — слой катионита
При их наличии упрощается эксплуатация установки, поскольку катионитовые фильтры первой ступени отключаются на регенерацию не по проскоку катионов солей жесткости, требующему тщательного контроля жесткости фильтрата, а по количеству воды, прошедшей через них. Некоторое повышение количества солей жесткости после фильтров первой ступени неопасно, так как они будут задержаны барьерными фильтрами. Емкость поглощения на фильтрах и сроки их полезной работы при двухступенчатом катионировании увеличиваются. Так как фильтры второй ступени несут небольшую нагрузку по умягчению воды, продолжительность межрегенерационной их работы достигает 200 ч.

Рис. 20.14. Схема двухступенчатого натрий-катионитового умугчения воды
1,9— подача исходной и отвод умягченной воды; 2, 6 — натрий-катионитовые фильтры I и II ступени; 3, 5 — баки с раствором соли для регенерации фильтров I и II ступени; 4 — бак с водой для взрыхления загрузки фильтров; 7 — резервуар умягченной воды; 8 — насос
Катионит после регенерации фильтров первой ступени отмывают неумягченной водой до тех пор, пока содержание хлоридов в фильтрате не станет примерно равным содержанию их в отмывочной воде. Половину отмывочной воды направляют в водостоки, а вторую половину в баки для использования при взрыхлении катионита или для приготовления регенерационного раствора. Удельный расход воды на отмывку принимают равным 4... 5 м3/м3 катионита. Катионит в фильтрах второй ступени отмывают фильтратом первой ступени. Удельный расход соли принимают 300 ... 400 г/г-экв задержанных катионов жесткости.
Таблица 20.4

Примечания: 1. В скобках даны скорости фильтрования при загрузке мелким катионитом с крупностью зерен 0,3—0,8 мм.
1 Допускается кратковременное увеличение скорости на 10 м/ч по сравнению с указанными при выключении фильтра на регенерацию (максимально допустимая скорость). Скорость фильтрования менее 5 м/ч не допускается из-за возможного резкого снижения обменной емкости катионита.
Вода на взрыхляющую промывку должна подаваться насосами из бака, объем которого выбирается в зависимости от диаметра и числа фильтров, подлежащих одновременной промывке; кроме того, этот объем должен обеспечивать одну дополнительную промывку сверх расчетной. Насос, подающий воду в промывочный бак, должен обеспечивать его наполнение за время, меньшее, чем интервалы между промывками фильтров.
Допускается взрыхляющая промывка из трубопровода осветленной воды, если расход на взрыхление не превышает 50% общего расхода фильтрата. Промывка может осуществляться из бака осветленной воды, емкость которого должна предусматривать расход воды на промывку и дополнительную промывку сверх расчетного их числа. Скорости в трубопроводах, подающих и отводящих промывную воду, принимаются равными 1,5—2 м/с. Должны быть исключены возможность подсоса воздуха промывочным трубопроводом, а также подпор воды в отводящих трубопроводах.
2 Число регенераций каждого натрий — катионитного фильтра первой ступени в сутки принимается от одного до трех.
3 При производительности установки менее 20 м3/ч целесообразно при проектировании рассмотреть вариант промывки и регенерации только в дневную смену.
Объем катионита, м3, в фильтрах первой ступени
(20.19)
где Q— расход умягченной воды, м3/ч; Жи — общая жесткость исходной воды, г-экв/м3; epNa— рабочая обменная емкость катионита при натрий-катионировании, г-экв/м3; п— 1 ...3 — число регенераций каждого фильтра в сутки.
Рабочая обменная емкость катионита при натрий-катионировании
(20-20)
где αэNа — коэффициент эффективности регенерации (зависит от удельного расхода соли на регенерацию); βNa— коэффициент, учитывающий снижение обменной емкости катионита по катионам Са(П) и Mg(II) вследствие частичного задержания катионов Na+; Еп — полная обменная емкость катионита, определяемая по паспортным данным; qy=4 ... 6 — удельный расход воды на отмывку катионита, м3/м3 (табл. 20.4).
Площадь катионитовых фильтров первой ступени
(20.21)
где hK — 2 ... 3 — высота слоя катионита в фильтре, м.
Скорость фильтрования воды на катионитовых фильтрах первой ступени принимают в зависимости от жесткости исходной воды
Общая жесткость воды, мг-экв/л . . . . до 5 5... 10 10...15
Скорость фильтрования, м/ч 25 15 10
Допускается кратковременное увеличение скорости фильтрования на 10 м/ч по сравнению с указанными выше значениями при выключении фильтров на регенерацию или ремонт.
Количество катионитовых фильтров первой ступени принимают: рабочих — не менее 2, резервных — 1.
Таблица 20.5
Потеря напора (м) в катнонитных фильтрах (включены потери в коммуникациях фильтра, в дренажной системе и катионите)

Примечание. В скобках даны потери иапора для мелкого катионита (зер- на крупностью 0,3—0,8 мм).
Водород-натрий-катионитовое умягчение воды
Обработка воды водород-катионированием (Н-катионированием) основана на фильтровании ее через слой катионита, содержащего в качестве обменных ионов катионы водорода. Процесс описывается следующими реакциями:

При Н-катионировании воды (табл. 20.6) значительно снижается ее рН из-за кислот, образующихся в фильтрате. Выделяющийся при Н-катионировании оксид углерода (IV) можно удалить дегазацией, и в растворе останутся минеральные кислоты в количествах, эквивалентных содержанию сульфатов и хлоридов в исходной воде.
Таблица 20.6
Н-катионирование в различных схемах обработки воды
| Технологическая схема обработки воды | Показатель отключения Н-катнонитного фильтра на регенерацию | Результат обработки воды | Рекомендации к применению |
| Н-катиоиирование с «голодной» регенерацией фильтров и последующим фильтрованием через буферные саморегенерирующиеся фильтры | Повышение щелочности фильтрата | Що< 0,7-4-1,5 мг-экв/л; Жо = Жн + +(0,7-f-l,5) мг-экв/л; снижение солесодержания | рис. 20.15 |
| Последовательное H-Na- катионирование с «голодной» регенерацией Н-ка- тионитных фильтров | То же | Що < 0,7 мг-экв/л; Жо = 0>01 мг-экв/л; снижение ссшесодер- жания | Схема используется при подготовке добавка к питательной воде паровых котлов, испарителей и т. п. |
| Параллельное Н- Nа-катионирование | Повышение общей жесткости фильтрата | Жо = 0>1 мг-экв/л; Щ0 = 0,4 мг-экв/л; снижение солесо держания. При наличии Na-катионитного фильтра второй ступени Жо = 0,01 мг-экв/л | Применяется, когда по составу исходной воды невозможно осуществить схему с «голодной» регенерацией. Пригодна для обработки мало- и средне- минерализованных вод при содержании (С1—— < 4 мг-экв/л; Na+ < 2 мг-экв/л |
| Частичное химическое обессоливание | «Проскок» жесткости | 0,1 мг-экв/л; снижение щелочности; снижение ссшесодержания | рис. 20.15, а. Схема используется, когда ие требуется удалять из воды ионы натрия |
| Частичное химическое обессоливание | Снижение кислотности фильтрата |
Снижение солесодер- жания, удаление углекислоты; удаление части Na+ в соответствии с необходимым снижением солесодержания | рис. 20.15, б, в. |
| Полное химическое обессоливание | «Проскок» ионов натрия | Полное удаление катионов, анионов и кремниевой кислоты | В котельных низкого и среднего давления не применяется |
Из приведенных выше реакций для натрий-катионитового умягчения воды видно, что щелочность воды в процессе ионного обмена не изменяется. Следовательно, пропорционально смешивая кислый фильтрат после Н-катионитовых фильтров со щелочным фильтратом после Na-катионитовых фильтров, можно получить умягченную воду с различной щелочностью. В этом заключается сущность и преимущество Н—Na-катионитового метода умягчения воды. Применяют параллельное, последовательное и смешанное (совместное) Н—Nа-катионирование,
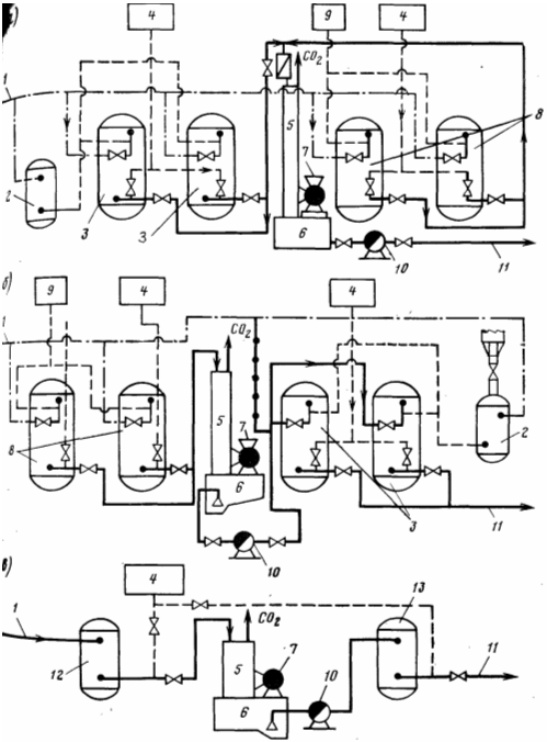
При параллельном Н—Nа-катионировании (рис. 20.15, а) одна часть воды пропускается через Na-катионитовые фильтры, другая — через Н-катионитовые фильтры, а затем оба потока смешивают. Образующиеся щелочные и кислые воды смешивают в такой пропорции, чтобы их остаточная щелочность не превышала 0,4 мг-экв/л. Для получения устойчивого и глубокого умягчения (до 0,01 мг-экв/л) воду после дегазатора пропускают через барьерный натрий-катионитовый фильтр.
Схему параллельного Н—Na-катионирования целесообразно применять в тех случаях, когда суммарная концентрация сульфатов и хлоридов в умягчаемой воде не превышает 4 мг-экв/л и содержание натрия не более 2 мг-экв/л.
При последовательном Н—Nа-катионировании (рис. 20.15,6) часть воды пропускают через Н-катионитовые фильтры, затем смешивают с остальной водой, полученную смесь пропускают через дегазатор для удаления оксида углерода (IV), а затем всю воду подают на натрий-катионитовые фильтры. Количество воды, подаваемое на Н-катионирование, определяют, как и при параллельном Н—Nа-катионировании. Подобная схема позволяет более полно использовать обменную емкость Н-катионита и снизить расход кислоты на его регенерацию, поскольку отключение Н-катионитовых фильтров в данном случае диктуется не проскоком катионов жесткости порядка 0,5 мг-экв/л, а допускаемым их содержанием — 1,0 мг-экв/л. При повышенных требованиях к умягчению воды схема дополняется барьерными натрий-катионитовыми фильтрами. К недостатку схемы следует отнести большой расход электроэнергии, затрачиваемой на передачу воды через последовательно включенные фильтры. Схему последовательного Н—Nа-катионирования применяют при умягчении воды с повышенными жесткостью и содержанием солей; остаточная щелочность при этом составляет примерно 0,7 мг-экв/л.
Известна схема последовательного Н-Nа-катионирования воды при «голодном» режиме регенерации Н-катионитовых фильтров.
При обычном Н-катионировании регенерация проводится с удельным расходом кислоты, в 2,5—2 раза больше теоретически необходимого, который отвечает процессу эквивалентного обмена катионов между раствором и катионитом. Избыток кислоты, не участвующий в реакциях обмена ионов, сбрасывается из фильтра вместе с продуктами регенерации. При «голодной» регенерации Н-катионитного фильтра удельный расход кислоты равен его теоретическому удельному расходу, т. е. 1 г-экв/г-экв, или в пересчете на граммы для H2S04 — 49 г/г-экв. Все ионы водорода регенерационного раствора при этом полностью задерживаются катионитом, вследствие чего сбрасываемый регенерационный раствор и отмывочные воды не содержат кислоты. В отличие от обычных Н-катионитных фильтров, в которых весь слой катионита при регенерации переводится в Н-форму, при «голодном» режиме регенерируются, т. е. переводятся в Н-форму, только верхние слои, а нижние слои остаются в солевых формах и содержат катионы Ca(II), Mg(II) и Na(I).

Рис. 20.15. Схемы параллельного (а), последовательного (б) и совместного (в) водород-натрий-катионитового умягчения воды.
1,11 ~ подача исходной и отвод умягченной воды; 2 — солерастворитель; 3 — группа натрий-катионитовых фильтров; 4 — бак для взрыхления; 5 — дегазатор; 6 - резервуар умягченной воды; 7 — вентилятор; 8 — группа водород-катионитовых натрий фильтров; 9- бак для хранения раствора кислоты; 10 — насос; 12 — водород— катионитовый фильтр; 13 — буферный натрий-катионитовый фильтр
В верхних слоях катионита, отрегенерированного «голодной» нормой кислоты, при работе фильтра имеют место все реакции ионного обмена, приведенные выше. В нижележащих, неотрегенерированных слоях катионита ионы водорода образовавшихся минеральных кислот обмениваются на ионы Ca(II), Mg(II) и Na(I) по уравнениям

т. е. происходит нейтрализация кислотности воды и при этом восстанавливается ее некарбонатная жесткость, а зона слоя, содержащего ионы Н+, смещается постепенно книзу.
Так как содержащаяся в воде угольная кислота является слабой, в реакциях ионного обмена она может участвовать лишь после удаления сильных кислот. В самых нижних слоях фильтра этот процесс завершиться до полного восстановления карбонатной жесткости не успевает. Поэтому фильтрат имеет малую карбонатную жесткость (численно она равна щелочности) и содержит много углекислоты. К моменту окончания рабочего цикла фильтра ионы водорода, введенные в катионит при регенерации, полностью удаляются из катионита в виде Н2С03, которая находится в равновесии с дегидратированной формой СО2.
Технология Н-катионирования с «голодной» регенерацией обеспечивает получение фильтрата с минимальной щелочностью (исключение сброса кислых стоков при регенерации и кислого фильтрата в рабочем цикле). Она рекомендуется для обработки природных вод определенного состава и при использовании катионита средне- или слабокислотного типа при условиии правильного осуществления режима регенерации.
При непостоянстве качества исходной воды, неточном соблюдении рекомендаций по применению рассматриваемой технологии Н-катионирования во избежание колебаний щелочности и проскоков кислого фильтрата после Н-катионитных фильтров с «голодной» регенерацией в схеме ВПУ устанавливаются буферные нерегенерирующиеся фильтры с высотой слоя катионита 2 м и скоростью фильтрования до 40 м/ч. К буферным фильтрам не допускается подвод регенерационного раствора кислоты; взрыхляющая промывка осуществляется осветленной исходной водой.
Разработанная Н. П. Субботиной технология Н-катионирования с «голодной» регенерацией предназначена для обработки природных вод гидрокарбонатного класса. В гидрохимии к водам этого класса принято относить воды, в которых из числа главных анионов (SO42-, С1~, НСО3-) наибольшую концентрацию, выраженную в мг-экв/л, имеет ион НСО3-. Воды около 80% рек России принадлежат к гидрокарбонатному классу.
В процессе Н-катионирования с «голодной» регенерацией происходит частичное умягчение воды и существенное снижение ее щелочности; в результате удаления карбонатной жесткости достигается уменьшение общего солесодержания воды; концентрация углекислоты увеличивается на величину снижения щелочности. На эффект очистки воды влияет присутствие в исходной воде ионов натрия. Когда концентрация натрия невелика, общая жесткость фильтрата по величине близка к некарбонатной жесткости исходной воды и незначительно изменяется на протяжении рабочего цикла фильтра, так же как и общая щелочность фильтрата, которая составляет 0,3—0,5 мг- экв/л. Когда в исходной воде много натрия, щелочность фильтрата от начала рабочего цикла снижается, затем возрастает и в среднем за цикл составляет 0,7—0,8 мг-экв/л; в начале и конце рабочего цикла получается глубокоумягченный фильтрат, появление некарбонатной жесткости наблюдается в средней части фильтроцикла.
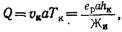
Если для ионного состава исходной воды ввести обозначения для соотношения концентраций катионов (К) и анионов (А) в виде выражений
![]()
где [Na+], [Са2+], [Mg2+] — концентрации в воде соответственно ионов натрия, кальция и магния, мг-экв/л; [НС03~], [С1~], [S042-] — концентрации в воде соответственно бикарбонатов, хлоридов и сульфатов, мг-экв/л; Жо — общая жесткость исходной воды, мг-экв/л; то условия применения Н-катионирования с «голодной» регенерацией фильтров определяются данными, приведенными в табл. 20.7, а их расчет согласно данных табл. 20.8.
Таблица 20.7
Область применения Н-катиоиироваиия с «голодной» регенерацией

В случае Н-катионирования с «голодной» регенерацией весь поток умягчаемой воды последовательно проходит через Н-катинитовые фильтры, регенерируемые стехиометрическим количеством кислоты, затем через дегазатор для удаления оксида углерода (1У) и далее через одну или две ступени натрий-катинитовых фильтров. Стехиометрический расчет режима регенерации Н-катионита позволяет устранить из воды лишь карбонатную жесткость, некарбонатная жесткость удаляется при Nа-катионировании. По этой схеме отсутствуют кислые стоки и можно получить глубоко умягченную воду с остаточной щелочностью Що<0,7 мг-экв/л. Эту схему используют для умягчения вод, содержащих до 3 г/л солей при различной концентрации натрия, но карбонатная жесткость должна быть не менее 1 мг-экв/л.
Таблица 20.8
Технологические данные для расчета Н-катиоиитиых фильтров

Совместное Н—Nа-катионирование (рис. 20.15, е) осуществляют в одном фильтре, верхним слоем загрузки которого является Н-катионит, а нижним — натрий-катионит. Катионит регенерируют следующим образом. После взрыхления слоя его обрабатывают сначала раствором кислоты, затем раствором поваренной соли с последующей отмывкой. При совместном Н— Na-катионировании остаточная щелочность воды составляет 1,5... 2,0 мг-экв/л, а жесткость 0,1... 0,3 мг-экв/л. Жесткость исходной воды должна составлять не более 6 мг-экв/л, содержание натрия до 1 ... 1,5 мг-экв/л, отношение карбонатной жесткости к некарбонатной должно быть больше единицы. Достоинством данной схемы является отсутствие кислых стоков, недостатком — сложность регенерации.
Расход воды qnNа подаваемой на натрий-катионитовые фильтры, и qnп, подаваемый на Н-катионитовые, определяют по формулам
(20.22)
(20.23)
;
где qn— полезная производительность Н—Nа-катионитовой ус- становки, м3/ч; и q*— полезная производительность NaН-катионитовых фильтров, м3/ч; Щу — требуемая щелочность умягченной воды, мг-экв/л; Щ — щелочность исходной воды мг-экв/л; Л, — суммарное содержание в умягченной воде анионов сильных кислот, мг-экв/л.
Объем катионита VH, м3, в Н-катионитовых и VNa, м3, Na-катионитовых фильтрах определяют по формулам

где Жо — общая жесткость умягчаемой воды, г-экв/м3; CNa— концентрация в воде натрия, г-экв/м3; п=1...3 — число регенераций каждого фильтра в сутки; и е— рабочая обменная емкость Naи Н-катионита, г-экв/м3.
Рабочая обменная емкость, г-экв/м3, Н-катионита
(20.26)
где аэн — коэффициент эффективности, регенерации Н-катионита, зависящий от удельного расхода кислоты; Еа — полная обменная емкость катионита (паспортная) в нейтральной среде; qУ — удельный расход воды на отмывку катионита после регенерации, принимаемый 4... 5 м3/м3 объема катионита в фильтре; Ск — общее содержание в воде катионов кальция, магния, натрия и калия, г-экв/м3.
Суммарная площадь, м2, Н и Nа-катионитовых фильтров
![]()
где Ак=2... 2,5 — высота слоя катионита в фильтре, м.
Количество Naи Н-катионитовых фильтров в установке должно быть не менее двух. При количестве фильтров на установке менее шести принимают один резервный фильтр, при большем их количестве — два.
Для удаления оксида углерода(1У) из воды после Н-катионирования, а также из смешанной воды после Н—Nа-катионирования применяют вакуумно-эжекционные аппараты или дегазаторы с кольцами Рашига 25*25*3 мм. Высоту сдоя насадки подбирают в зависимости от концентрации, мг/л, оксида углерода (IV) в воде, подаваемой в дегазатор:
![]()
где [С02]и — концентрация свободного оксида углерода(IV) в исходной воде, мг/л; Щ — щелочность умягчаемой воды, мг-экв/л.
Вентилятор к дегазатору подбирают, исходя из условия подачи 20 м3 воздуха на 1 м3 обрабатываемой воды. Развиваемый им напор определяют на основании учета сопротивления насадки, для колец Рашига — 294,3 Па на 1 м высоты слоя, все другие сопротивления принимают равными 294,3... 392,4 Па.
Н-катионитовые фильтры регенерируют 1 ... 1,5%-ным раствором серной кислоты. Регенерационный раствор серной кислоты фильтруют через слой катионита со скоростью не менее 10 м/ч с последующей его отмывкой неумягченной водой, пропускаемой через катионит сверху вниз со скоростью 10 м/ч. Расход 100%-ной кислоты, кг, на одну регенерацию Н-катионитового фильтра qк
![]()
где а — площадь одного Н-катионитового фильтра, м2; qУД — удельный расход кислоты для регенерации катионита, г/г-экв.
Процесс регенерации Н-катионитовых фильтров описывается следующей реакцией:
![]()
Методы известково-катионитовый и частичного катионирования
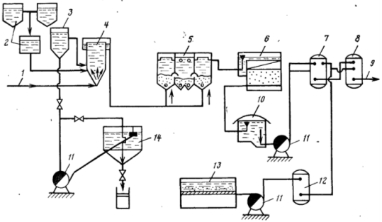
Известково-катионитовый метод умягчения воды (рис. 20.17) является смешанным способом и относятся к реагентно-катионитовому. Карбонатную жесткость исходной воды устраняют известкованием, затем вода поступает на последующее натрий-катионированпе. Известкование применяют для снижения щелочности (или карбонатной жесткости). Введение в воду гашеной извести в виде известкового молока или раствора вызывает нейтрализацию свободной углекислоты по уравнению
![]()

Рис. 20.17. Схема известково-иатрий-катионитового умягчения воды.
1,9 — подача исходной и отвод умягченной воды; 2 — аппаратура для коагулирования воды; 3 — дозатор известкового молока; 4 — смеситель (реактор); 5 — осветлитель со слоем взвешенного осадка; 6 — скорый осветлительный фильтр; 7,8 — натрий-катионитовый фильтр I и II ступени; 15 — промежуточный резервуар; 11 — повысительный насос; 12 — фильтр для осветления солевого раствора; 13 — бак мокрого хранения поваренной соли; 14 — бак известкового молока с гидравлическим перемешиванием
Затем добавление извести в большем количестве вызывает распад бикарбонатов Са (НС03)2 + Са (ОН)2 = 2СаС03 + 2Н20.
Известкованием устраняют из воды и некарбонатную жесткость при рН> 10,2... 10,3. При значительном содержании Na(I) в; умягчаемой воде, если оно более 20% от суммарного содержания Ca(II) и Mg(II), целесообразно применять реагентно-катионитовое умягчение (известкование — натрий-катионирование). При регенерации водород-катионитовых фильтров кислотой в количестве, недостаточном для полного вытеснения катионов, катионит в фильтре будет находиться в двух формах: в. верхней части — в Н-форме, в нижней — в Ca(II) и Mg(II) - формах. При фильтровании воды через такой фильтр в верхней части фильтра все растворенные соли в результате обмена1 катионов на Н-ион будут превращаться в кислоты
![]()
При этом угольная кислота будет распадаться с образованием Н20 и С02. В нижних слоях фильтра будет иметь, место реакция обмена между Са и Mg-катионитами и кислотой
![]()
в результате чего все некарбонатные соли будут оставаться в воде, а карбонатные удаляться из нее. Такой метод позволяет удалять только соли карбонатной жесткости, снижая щелочность воды до 0,4 .. . 0,5 мг-экв/л.
Частичное катионирование можно применять при умягчении; воды в том случае, если потребитель не предъявляет высоких- требований к жесткости воды. Часть воды поступает на умягчение, затем умягченная вода смешивается с исходной в пропорциях, определяемых качеством воды, необходимым потребителю.
Коэффициент разбавления
![]()
Расход исходной воды
![]()
Расход фильтрата
![]()
где Жтр — требуемая жесткость воды, мг-экв/л; Жф — жесткость фильтрата; Ки — исходная жесткость; Qo— общий расход воды; qф — расход фильтрата; Qw— расход исходной воды, т. е. воды, не подвергшейся умягчению.
Катионитовые фильтры, вспомогательные устройства катионитовых установок
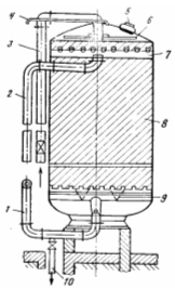
Катионитовые фильтры бывают напорные и открытые. Напорные катионитовые фильтры (горизонтальные, вертикальные) состоят из цилиндрического корпуса, дренажной системы для отвода из фильтров умягченной воды и подачи на него воды для взрыхления катионита, распределительной системы для подачи в фильтр регенерационного раствора и сборной системы для отвода из фильтра воды при взрыхлении катионита и распределения по площади фильтра умягчаемой воды (см. рис. 20.13). Наиболее широко применяют напорные фильтры, главным образом вертикальные. Открытые катионитовые фильтры применяют только на установках большой производительности (более 500 м3/ч) и только при одноступенчатом катионировании.
Напорные катионитовые фильтры выпускают серийно отечественной промышленностью семи типоразмеров различных диаметров и с различной высотой загрузки катионитов, рассчитанные на рабочее давление 0,6 МПа и рабочую температуру до 60°С (табл. 20.9). Фильтр оборудуют необходимым количеством задвижек (или гидравлических затворов) и вентилей для управления работой фильтра, отбора проб воды. Кроме того, каждый фильтр снабжают следующей контрольно-измерительной аппаратурой: расходометром для измерения производительности фильтра, счетчиком для замера общего количества умягченной воды и двумя манометрами, один из которых показывает давление воды до фильтра, другой — после него. Вся аппаратура сконцентрирована с одной стороны фильтра, называемой фронтом фильтра.
В катионитовых фильтрах поддерживающие слои обычно не устраивают, а применяют щелевые или колпачковые дренажи, не требующие их устройства.
Для предотвращения коррозии внутреннюю поверхность корпуса и все детали катионитовых фильтров, соприкасающиеся с агрессивной средой, либо изготовляют из коррозионно-стойких материалов, либо надежно защищают специальными покрытиями. При использовании для изготовления Н-катионитовых фильтров обычной листовой стали внутреннюю поверхность корпуса фильтра гуммируют, оклеивают винипластовой фольгой или пластикатом, окрашивают перхлорвиниловым или бакелитовым лаком.
В состав катионитовых водоумягчительных установок кроме фильтров входят вспомогательные устройства для регенерации и отмывки фильтров в процессе их эксплуатации. На водоумягчительных установках малой производительности с расходом поваренной соли меньше 0,5 т/сут ее можно хранить в сухом виде в неотапливаемых складах и растворять в проточных солерастворителях непосредственно перед регенерацией натрий-катионитового фильтра. Они представляют собой металлические цилиндрические резервуары с двумя полусферическими днищами, рассчитанные на рабочее давление до 0,6 МПа. В нижней части солерастворителя укреплено дренажное устройство в виде коробки со щелями у основания. Над ним расположены гравийные подстилающие слои с уменьшающимися кверху размерами зерен, на которые загружается поваренная соль в количестве, необходимом для одной регенерации.
Концентрация раствора соли, выходящего из проточного солерастворителя, неблагоприятная для регенерации натрий-ка- тионитовых фильтров — вначале она большая и по мере растворения соли падает. Поэтому иногда раствор соли из солерастворителя направляют в отдельный бак, где поддерживают концентрацию рассола в пределах до 10%, затем при регенерации его разбавляют. При больших расходах соли применяют мокрое хранение (рис. 20.19), при котором поступающую на водоумягчительную установку поваренную соль засыпают в большую емкость и заливают водой. Объем баков для мокрого хранения соли Vм. х, м3, рассчитывают по формуле
(20.32)
где q— расход воды на натрий-катионитовые фильтры, м3/сут; Жо — удаляемая при натрий-катионировании общая жесткость воды, г-экв/м3; т — срок хранения запаса соли (обычно 20...40 сут); (qуд — удельный расход соли на регенерацию катионита, г/г-экв поглощенной жесткости; р — плотность раствора соли, г/см3; С — концентрация раствора соли (обычно равна 20... 25%).
По приведенной формуле 1 т поваренной соли занимает 5... 6 м3 емкости бака. Для сокращения его объема соль можно хранить не в виде раствора, а в замоченном состоянии; необходимая при этом емкость составляет 2... 2,5 м3 на 1 т соли.
Железобетонные баки-хранилища обычно располагают вне здания с некоторым заглублением в грунт и перекрывают дощатыми щитами. При однорядном расположении хранилищ мокрой соли их располагают параллельно стене здания водоумягчительной установки, при двухрядном — между ними устраивают железнодорожную колею, а также оборудуют насосную станцию с насосами и воздуходувками. Для ускорения растворения соли применяют перемешивание воздухом, циркуляцию рассола или сочетают оба способа; при низкой температуре окружающей среды желательно применять подогретую воду. На дне емкостей-хранилищ прокладывают лоток или сборную дырчатую трубу и ограждают коробом с отверстиями, который

Рис. 20.19. Схема солевого хозяйства. 3 — резервуар-хранилище поваренной соли; 4 — гравийно-песчаный осветлительный фильтр; 5 — слой соли; 1 — подача воды; 2 — бак постоянного уровня; 6 — отвод раствора соли на регенерацию; 7 — эжектор; 8 — расходные баки соли
Обсыпают гравием или щебнем крупностью 3... 4 до 30 ... ...40 мм, что позволяет освободить рассол от грубодисперсных примесей. Более полно раствор поваренной соли осветляется на кварцевых фильтрах. Рекомендуется применять открытые фильтры со скоростью фильтрования 4... 5 м/ч при толщине слоя песка 0,6...0,8 м (размер зерен 1... 1,5 мм). Осветленный концентрированный раствор соли собирают в бак из двух отделений, используемых в качестве мерников. Целесообразно подавать рассол на катионитовые фильтры эжектором, одновременно разбавляя его до нужной концентрации. При этом на трубопроводе эжектирующей воды (давление не менее 0,40... ...0,45 МПа) устанавливают расходомер, а за эжектором автоматический концентратомер.
При Н—Nа-катионитовом методе умягчения воды установку оборудуют также кислотным хозяйством, которое должно обеспечивать месячный запас реагента (рис. 20.20). В связи с тем, что железнодорожные цистерны, в которых поставляют серную кислоту, имеют грузоподъемность до 50... 60 т (вместимость баков при плотности раствора 1,8 составляет 28... 33 м3), объем хранилищ должен обеспечивать их опорожнение. Кислотное хозяйство состоит из цистерн-хранилищ, мерников для концентрированной кислоты и вакуум-насосов.

Рис. 20.20. Схема кислотного хозяйства.
1 — отвод 1% регенерационного раствора кислоты; 2 — эжектор; 3 — подача воды; 4 — мерный бак; 5, 7 — стационарная и железнодорожная цистерна; 6 — промежуточный бачок
Объем цистерн для хранения серной кислоты и полезную емкость мерника, м3, определяют по формулам
(20.33)
где QH— расход воды на Н-катионитовые фильтры, м3/ч; Жо — общая жесткость исходной воды, мг-экв/л; qУД — удельный расход кислоты на регенерацию катионита, г/г-экв; т — срок хранения запаса кислоты, сут; С — концентрация серной кислоты (принимается равной 90... 92%); ρ — плотность кислоты, г/см3; Т — фильтроцикл, ч; n — число рабочих фильтров, шт.
При проектировании установок с применением серной кислоты необходимо избегать схем, в которых кислота находится или транспортируется под давлением.
Объем баков для регенерационного раствора поваренной соли Vc, м3, и серной кислоты Ук, м3, если предусмотрено их разбавление до фильтров, рассчитывают по формулам
(20.34)
где qс и qк — соответственно расход поваренной соли и кислоты на регенерацию, м3.
Бак для воды, используемой для взрыхления слоя катионита, рассчитывают на последовательное проведение этой операции в двух фильтрах. Объем его, м3, определяют по формуле
(20.35)
где w— интенсивность изрыхления катионита, л/(м2-с); а — площадь одного фильтра, м2; Тв — продолжительность Взрыхления, мин.
Бак располагают так, чтобы его дно было на 4 м выше сборной воронки фильтра.
Расход воды на собственные нужды Н—Nа-катионитовых установок слагается из потребления воды на следующие технологические операции: приготовление регенерационных растворов соли и кислоты; взрыхление катионита в фильтрах перед регенерацией; отмывка катионита после регенерации. На эти цели используют осветленную, неумягченную воду. На катионитовую установку воды должно поступать Q, м3/сут,
![]()
где Qy— полезная производительность установки по умягчению воды; Q1 Q2, Q3 — соответственно расход воды на приготовление регенерационного раствора, взрыхление и отмывку катионита.
При повторном использовании отмывочной воды для взрыхления фильтров расход воды на собственные нужды сокращается на Q2.
Расчетный расход воды, м3/сут, на приготовление растворов поваренной соли Q1 и серной кислоты Q2 равен

где nиn — соответственно число Naи Н-катионитовых фильтров и регенераций каждого фильтра в сутки; а и h— площадь, м2, и высота, м, загрузки фильтра катионитом; Ер и ЕРн — рабочая обменная емкость соответственно Naи Н-катионита, г-экв/м3; qУД.с и qУД.к — соответственно удельные расходы соли и кислоты, г/г-экв, удаляемой жесткости; Сс = 5 . . . 8— средняя концентрация регенерационного раствора соли, %; Ск — средняя концентрация регенерационного раствора кислоты (в расчетах принимается равной 1%).
Расход воды на взрыхление катионита, м3/сут,
(20.38)
где Т= 15 — продолжительность взрыхления, мин; w— интенсивность взрыхления, принимается в зависимости от крупности зерен катионита в пределах 3 ... 4 л/(м2*с). Расход воды на отмывку катионита, м3/сут,
(20.39)
где qуд.о — удельный расход отмывочной воды (qrA.0=4...5 м3/м3 катионита).
ЛИТЕРАТУРА
1. Алексеев Л.С., Гладков В.А. Улучшение качества мягких вод. М., Стройиздат, 1994 г.
2. Алферова Л.А., Нечаев А.П. Замкнутые системы водного хозяйства промышленных предприятий, комплексов и районов. М., 1984.
3. Аюкаев Р.И., Мельцер В.3. Производство и применение фильтрующих
4. материалов для очистки воды. Л., 1985.
5. Вейцер Ю.М., Мииц Д.М. Высокомолекулярные флокулянты в процессах очистки воды. М., 1984.
6. Егоров А.И. Гидравлика напорных трубчатых систем в водопроводных очистных сооружениях. М., 1984.
7. Журба М.Г. Очистки воды на зернистых фильтрах. Львов, 1980.
Похожие рефераты:
Очистка воды на ионитных фильтрах
Изучение и анализ производства медного купороса
Проектирование тепловой электрической станции для обеспечения города с населением 190 тысяч жителей
Усовершенствование системы водоподготовки производства этил-бензол-стирола
Влияние предприятия на окружающую природную среду
Научные основы школьного курса химии. методика изучения растворов
Получение гидроксида натрия каустификацией содового раствора
Промышленная очистка сточной воды машиностроительного предприятия