| Похожие рефераты | Скачать .docx |
Курсовая работа: Производство синтетического каучука
АГТА
Кафедра Химической Технологии Топлива.
Курсовая работа по курсу
«Общая химическая технология »
Производство синтетического каучука.
Выполнил:
Студент 2курса
гр.МАХПуск-08-1
Шаферов Ю.А
Проверил:
Кандидат хим. наук
Раскулова Т.В.
Ангарск 2011
СОДЕРЖАНИЕ
1. Введение
2. Основные свойства каучуков общего назначения
2.1 Сопоставление свойств основных видов каучуков
3. Технологии и производство
3.1 Виды полимеризации
4. Бутадиен-стирольные каучуки
4.1 Физические характеристики эмульсионных бутадиен-стирольных каучуков с различным содержанием стирольных звеньев
4.2 Свойства вулканизаторов низкотемпературных эмульсионных бутадиен-метилстирольных каучуков, содержащих около 23% стирольных звеньев
5. Реактор-полимеризатор
6. Заключение
6. Список литературы
1. Введение
В настоящее время на рынке присутствует большое разнообразие каучуков, по свойствам и характеристикам их можно разделить на два крупных сегмента: каучуки общего назначения и каучуки специального назначения.
Целый ряд событий повлиял на изобретение синтетического каучука: индустриальная революция, прогресс в моторостроении, две мировые войны, растущий спрос на каучук и дефицит натурального каучука спровоцировали мировой спрос на эластомеры. Синтетические каучуки стали необходимой альтернативой натуральному каучуку и придали дополнительные свойства изделиям.
В настоящее время на рынке присутствует большое разнообразие каучуков по свойствам и характеристикам. Но в самом общем виде их можно разделить на два крупных сегмента: каучуки общего назначения и каучуки специального назначения.
Таблица 1
| Синтетические каучуки | |
| Каучуки общего назначения | Каучуки специального назначения |
| Бутадиен-стирольный каучук | Хлоропреновый каучук |
| Бутадиен-метил-стирольный каучук | Бутадиен-нитрильный каучук |
| Полибутадиеновый каучук | Галогенированные изобутилены |
Бутилкаучук |
Уретаны |
| Этиленпропиленовый каучук | Силиконы |
| Этиленпропилендиеновый каучук | Полисульфидные каучуки |
| Цис-1,4-полиизопреновый каучук | |
Каучуки общего назначения используются в тех изделиях, в которых важна сама природа резины и нет каких-либо особых требований к готовому изделию. Каучуки специального назначения имеют более узкую сферу применения и используются для придания резино-техническому изделию (шинам, ремням, обувной подошве и т.д.) заданного свойства, например, износостойкости, маслостойкости, морозостойкости, повышенного сцепления с мокрой дорогой и т.д. Чаще всего один каучук сочетает в себе несколько свойств, поэтому подбор каучуков в рецептуре резино-технического изделия для определенных областей является тщательной работой технологов.
Спецкаучуки применяются в резино-технической промышленности в гораздо меньших количествах по сравнению с каучуками общего назначения. Области применения каучуков общего назначения и специального назначения также имеют различия. Поэтому в данном обзоре будут подробно рассмотрены только каучуки общего назначения, которые имеют схожие способы получения, переработки и применения.
Свойства синтетических каучуков определяют их области применения. Создание рецептуры резино-технического изделия сопровождается подбором различных видов каучуков, наполнителей, мягчителей и др. Правильное сочетание всех компонентов в рецептуре позволяет получить резино-техническое изделие с заданными свойствами.
2.Основные свойства каучуков общего назначения
Бутадиен-стирольный каучук
Бутадиен-стирольный каучук обладает отличным сочетанием функциональных свойств в различных областях применения. Этот каучук считают лучшим каучуком общего назначения благодаря отличным свойствам высокой стойкости к истиранию и высокому проценту наполняемости. С увеличением содержания звеньев стирола (α-метилстирола) в сополимере снижается эластичность каучука, ухудшается морозостойкость, но увеличиваются прочностные показатели. Характерной особенностью бутадиен-стирольных (α-метилстирольных) каучуков является низкое сопротивление разрыву ненаполненных вулканизатов. Эти каучуки имеют более высокую температуру стеклования по сравнению с натуральным каучуком и уступают натуральному каучуку по морозостойкости. Важным преимуществом бутадиен-стирольных каучуков перед натуральным каучуком является меньшая склонность к образованию трещин, более высокая износостокость, паро- и водонепроницаемость, лучшее сопротивление тепловому, озонному и световому старению. Хорошими диэлектрическими свойствами обладают каучуки с высоким содержанием стирола (количество стирола в смеси мономеров 50 вес. % и выше).
Полибутадиеновый каучук
Большая часть полибутадиенового каучука в настоящее время производится 1,4-цис типа, но некоторые имеют смешанную структуру звеньев. Будучи ненасыщенным каучуком, он с легкостью вулканизуется с серой. Полибутадиеновый каучук обладает отличной стойкостью к низким температурам и к истиранию. Но при этом, он не обладает высокой прочностью при растяжении и обычно наполняется упрочняющими добавками. Он также имеет меньшую прочность на растяжение, плохую технологическую переработку и плохое сцепление с дорогой по сравнению с натуральным каучуком. Поэтому в рецептурах резинотехнических изделий он перемешивается с натуральным каучуком или бутадиен-стирольным каучуком.
Полибутадиеновые каучуки используются в большом количестве в смесях с другими эластомерами, для придания хорошего свойств гистерезиса и стойкости к истиранию. Смеси полибутадиена с бутадиен-стирольным или натуральным каучуками широко используются в легковых и грузовых шинах для улучшения устойчивости к растрескиванию. Кроме этого полибутадиеновый каучук используется как модификатор в смесях с другими эластомерами для улучшения морозостойких свойств, стойкости к тепловому старению, истиранию и растрескиванию.
Бутилкаучук
Бутилкаучук имеет уникальную способность удерживать воздух, что обеспечивает ему безусловный приоритет в шинной промышленности при производстве камер и диафрагм. Автомобильные камеры из бутилкаучука сохраняют исходное давление воздуха в 8-10 раз дольше, чем аналогичные камеры из натурального каучука, что повышает срок службы шины минимум на 10-18% по сравнению с натуральным каучуком. Каучук стоек к воздействию озона и имеет хорошую стойкость к полярным растворителям, водным растворам кислот и окисляющих реагентов. Он обладает хорошей стойкостью к животному и растительному маслу, но бутилкаучук нестоек к воздействию минеральных масел.
Прочность на разрыв бутилкаучука немного меньше по сравнению с натуральным каучуком, но при высоких температурах этот показатель одинаковый для обоих каучуков. Стойкость к истиранию хорошая, когда каучук тщательно наполнен (также как остаточная деформация сжатия), но упругость все же остается очень низкой. К недостаткам бутилкаучука относятся его низкая скорость вулканизации, неудовлетворительная адгезия к металлам, плохая совместимость с некоторыми ингредиентами, малая эластичность при обычных температурах, высокое теплообразование при многократных деформациях.
Некоторые из этих существенных недостатков бутилкаучука (такие, как низкая скорость вулканизации, препятствующая его применению в смесях с другими каучуками, низкая адгезия ко многим материалам, особенно металлам) устраняются частичным изменением химической природы полимера. Например, введением в макромолекулы каучука небольшого количества атомов галогенов. Бромбутилкаучук (от 1 до 3.5 вес. % брома) перерабатывается и смешивается с ингредиентами так же, как и бутилкаучук. Но при этом бромбутилкаучук вулканизуется значительно быстрее, чем бутилкаучук. Скорость вулканизации бромбутилкаучука сравнима со скоростью вулканизации натурального, бутадиен-стирольного и других каучуков, что делает возможным его применение в смесях с этими эластомерами. Близкими свойствами обладают и другие галогенированные бутилкаучуки, например, хлорбутилкаучук (1.1 - 1.3 вес. % хлора). Однако скорость вулканизации и свойства вулканизатов хлорбутилкаучука несколько ниже, чем бромбутилкаучука.
Этиленпропиленовые каучуки
Этиленпропиленовые каучуки самые легкие каучуки, которые имеют плотность от 0,86 до 0,87. Свойства зависят от содержания и вариации этиленовых звеньев в сополимерных звеньях. Этиленпропиленовый каучук не содержит двойных связей в молекуле, бесцветный, имеет отличную стойкость к воздействию тепла, света, кислорода и озона. Для насыщенных этилен-пропиленовых каучуков применяется перекисная вулканизация. Каучук этилен-пропилен-диеновый, который содержит частичную ненасыщенность связей, допускает вулканизацию с серой. Он немного меньше устойчив к старению, чем этилен-пропиленовый каучук.
Насыщенный характер сополимера этилена с пропиленом сказывается на свойствах резин на основе этого каучука. Устойчивость данных каучуков к теплу и старению намного лучше, чем у бутадиен-стирольного и натурального каучуков. Готовые резиновые изделия имеют также отличную стойкость к неорганическим или высокополярным жидкостям таким, как кислоты, щелочи и спирты. Свойства резины на основе данного вида каучука не изменяются после выдерживания ее в течение 15 суток при 25С в 75%-ной и 90%-ной серой кислоте и в 30%-ной азотной кислоте. С другой стороны стойкость к алифатическим, ароматическим или хлорсодержащим углеводородам достаточно низкая.
Все виды этилен-пропиленовых каучуков наполняются упрочняющими наполнителями, такими как сажа, чтобы придать хорошие механические свойства. Электрические, изоляционные и диэлектрические свойства чистого этилен-пропиленового каучука экстраординарны, но также зависят от выбора наполняющих ингредиентов. Их эластичные свойства лучше, чем у многих синтетических каучуков, но они не достигают уровня натурального каучука и бутадиен-стирольного каучука. Эти каучуки имеют два значительных недостатка. Они не могут быть перемешаны с другими простыми каучуками и неустойчивы к воздействию масла.
Наиболее сложными проблемами, сдерживающими использование этилен-пропиленовых каучуков в шинном производстве, являются неудовлетворительная прочность с кордом и невозможность совулканизации протекторных резин с резинами на основе других каучуков. После решения этих проблем потребление этилен-пропиленовых каучуков может значительно расшириться.
Цис-1,4-полиизопреновый каучук
Синтетический каучук цис-1,4-полиизопрен довольно легок (плотность 0,90 до 0,91). Полиизопреновый каучук на все 100% состоит из углеводородного каучука (за исключением маслонаполненных марок) в отличие от натурального каучука, который имеет в своем составе протеины, смолы и т.д. (до 6%).
Несмотря на химическую идентичность с натуральным каучуком, синтетический полиизопреновый каучук имеет небольшие различия с преимуществами и недостатками по сравнению с натуральным каучуком. В то время как натуральный каучук не очень однородный в цвете, вязкости и чистоте, синтетический полиизопрен более однородный, легок в переработке, светлее в цвете и более чистый. Но он имеет немного худшие характеристики в прочности сырого полимера (эта характеристика особенно важна при изготовлении шины) и в модуле. Полиизопреновый каучук обладает более высоким удлинением, чем натуральный каучук. Вот небольшие различия свойств вулканизованных каучуков.
2.1Сопоставление свойств основных видов каучуков
Сопоставление некоторых свойств каучуков общего и специального назначения представлены на диаграмме ниже. Ось абсцисс характеризует маслостойкость каучуков – ординат – теплостойкость.
Сопоставление некоторых свойств каучуков общего и специального назначения

Рис 1.
(а) SBR - бутадиен-стирольный каучук, BR - бутадиеновый каучук, NR - натуральный каучук, IIR - бутилкаучук, EPDM - этилен-пропилен-диеновый каучук, EPM - этилен-пропиленовый каучук, CR - хлоропреновый каучук, CO - эпихлоргидриновый каучук, ACM - акрилатный каучук, NBR - бутадиен-нитрильный каучук, CSM, EACM, CR, MQ, FMQ
3.Технологии и производство
В основе производства синтетических каучуков лежит процесс полимеризации в присутствии различных катализаторов.
Исходным сырьем в получении каучуков является сырая нефть, которую разделяют на фракции (углеводороды определенного размера) и далее уже используют в синтезе необходимых мономеров. Мономеры используют для производства синтетических каучуков различными методами полимеризации.



Рис.2
3.1 Виды полимеризации
В зависимости от фазового состояния среды, в которой протекает реакция полимеризации, различают несколько видов процесса: жидкофазная, газофазная, эмульсионная и растворная полимеризация. Синтетические каучуки, полученные по разным способам полимеризации, отличаются структурой, следовательно, и свойствами.

Рис 3.
Газофазная и жидкофазная полимеризация
Полимеризация бутадиена под влиянием металлического натрия в жидкой среде мономера была первым промышленным методом синтеза каучука. Немного позже был разработан и внедрен в промышленность газофазный метод полимеризации бутадиена. Газофазная полимеризация имела ряд преимуществ по сравнению с полимеризацией в среде жидкого мономера (жидкофазная полимеризация): щелочной металл использовался в виде катализаторной пасты, что увеличивало его поверхность. Получаемый полимер получался более однородным по качеству, производство каучука упростилось и стало более безопасным, также появилась возможность частичной механизации.
В качестве основного компонента катализаторной пасты использовались щелочные металлы: натрий, калий и литий. Наибольшее распространение получил натриевый катализатор, но получаемый каучук характеризовался недостаточной морозостойкостью и эластичностью. В присутствии лития каучук получался с меньшим содержанием 1,2-звеньев в составе полибутадиена, каучук имел лучшую морозостойкость и эластичность. При полимеризации на щелочных металлах получались полимеры с высоким молекулярным весом. Из-за возможных неоднородностей катализатора и местных перегревов реакционной массы иногда наблюдалось образование «хрящей» - твердых трехмерных образований, резко ухудшающих качество каучука.
Газофазная полимеризация применялась в 30-е годы, но после введения эмульсионной полимеризации, ее популярность резко снизилась. Сегодня газофазная полимеризация сохранилась на единичных заводах, но объем производства каучука по данной технологии очень незначителен.
Общим недостатком жидкофазного и газофазного способа полимеризации считается периодичность и невысокое качество каучука по ряду технических показателей.
Эмульсионная полимеризация
Основными преимуществами полимеризации в эмульсии перед полимеризацией в массе мономера (жидкофазной полимеризацией) заключается в том, что процесс протекает с большей скоростью и его можно организовать по непрерывной схеме. Кроме этого процесс хорошо регулируется, так как тепло реакции отводится равномерно, и получаемый полимер имеет более высокий молекулярный вес, более однороден по структуре и качеству. В зависимости от температуры, при которой протекает реакция полимеризации в эмульсии, различают высокотемпературную и низкотемпературную эмульсионную полимеризацию. Низкотемпературные эластомеры обладают более высокими физико-механическими показателями по сравнению с высокотемпературными.
Растворная полимеризация
Полимеризация в растворе обеспечивает эффективный теплообмен в массе раствора, в котором протекает реакция. Поэтому полученный полимер более однороден и обладает лучшим комплексом свойств. Применение органических растворов позволяет использовать в процессе полимеризации различные эффективные каталитические системы, с помощью которых можно осуществлять направленный синтез эластомеров, создавать высокомолекулярные соединения с заданной структурой и свойствами. Технологическая трудность при проведении таких процессов заключается в необходимости работы с катализаторами, многие из которых являются высоко реакционными соединениями, которые изменяют свойства при хранении. Использование таких каталитических систем требует тщательной подготовки и очистки мономеров и растворителей, которые используются в синтезе.
4. Бутадиен-стирольные каучуки
Дивинил-стирольные каучуки, стирольные каучуки, БСК, СКС, СКМС, ДССК, америпол, интол, карифлекс, крилен, нипол, плайофлекс, SBR, синпол, солпрен, стереон, тьюфден, филпрен, юниден), сополимеры бутадиена со стиролом илиметилстиролом общей формулылы:
(R-H![]()
или СН3).
Мономеры сополимеризуют в эмульсии или растворе.
Структура и свойства каучуков. Содержание стирольных (метилстирольных) звеньев в макромолекуле бутадиен-стирольных каучуков различных типов составляет 8-45%. В макромолекулах наиб. распространенных эмульсионных сополимеров, содержащих 23-25% стирольных звеньев, 60-70% звеньев бутадиена присоединены в положениях 1,4-транс, 12-20% - в положениях 1,4-цис и 15-18% - в положениях 1,2. В макромолекулах таких же каучуков, синтезированных в р-ре, содержание бутадиеновых звеньев 1,4-транс, 1,4-цис и 1,2 составляет соотв. > 40, 35-40 и ок. 25%. Вследствие нерегулярности строения бутадиен-стирольные каучуки не кристаллизуются.
Среднечисловая мол. Масса
эмульсионных каучуков составляет ~ 105, полученных в р-ре - 1,5*105, индекс полидисперсности
-соотв. 4-7 и 1,5-2,0 (
среднемассовая мол. масса). Макромолекулы бутадиен-стирольных каучуков имеют разветвленное строение. Каучуки содержат значит. кол-no микрогеля. Их ненасыщенность составляет, как правило, до 90% от теоретической. Бутадиен-стирольные каучуки растворяются в ароматич., алициклич. и алифатич. углеводородах. Многие физ. св-ва каучуков зависят от содержания в них стирольных звеньев (см. табл. 1).
4.1 Физические характеристики эмульсионных бутадиен-стирольных каучуков с различным содержанием стирольных звеньев
Таблица 2

Под действием BF3 или Н2 [SnCl6] при 160-180 °С бутадиен-стирольные каучуки изомеризуются. При обработке в растворе серной кислотой (180°С) они циклизуются. Гидрохлорирование каучуков при 70-100°С и повышенном давлении сопровождается их деструкцией. При действии л-толуолсульфонилгидразида на раствор бутадиен-стирольного каучука в диметиловом эфире диэтиленгликоля (диглиме) происходит исчерпывающее гидрирование двойных связей.
Окисление бутадиен-стирольных каучуков приводит к глубоким структурным изменениям, сопровождающимся ухудшением их свойств. Для стабилизации каучуков в условиях хранения и переработки применяют обычные антиоксиданты, напр. N-фенил-2-нафтиламин, его смесь с N,N'-дифенил-1,4-фенилендиамином, три(n-ионилфенил)фосфит (обычно не более 2 мас. ч. на 100 мас. ч. каучука).
Получение каучуков, их модификации. Бутадиен-стирольные каучуки синтезируют по непрерывной схеме в батарее последовательно соединенных реакторов (мономеры и др. компоненты реакционной смеси подают в первый реактор). Эмульсионные каучуки получают радикальной сополимеризацией при 5 или 50°С (соотв. низкотемпературные, или "холодные", и высокотемпературные, или "горячие", каучуки). При синтезе "горячих" каучуков инициатором служит K2S2O8, при синтезе "холодных" - окислительно-восстановительная система, например - содержащая гидропероксид циклогексилизопропилбензола, соль Fe2+, этилендиаминтетраацетат Na (трилон Б), Na-соль формальдегидсульфокислоты (ронгалит). В кач-ве эмульгатора применяют мыла высших жирных кислот или кислот канифоли. Молярную массу сополимеров регулируют при помощи меркаптанов, например - трет-додецилмеркаптана. Степень превращения мономеров обычно 60-70%, продолжительность процесса 10-12 ч. После обрыва полимеризации (для этого используют диметилдитиокарбамат Na), отгонки непрореагировавших мономеров и введения в латекс водной дисперсии стабилизатора каучук коагулируют, промывают водой и сушат. Товарные формы бутадиен-стирольных каучуков - брикеты и смотанная в рулоны лента.
При синтезе бутадиен-стирольных каучуков в растворе в реактор подают смесь мономеров, углеводородного растворителя (тщательно очищенных от следов влаги и кислорода) и катализатора - обычно комплекса LiAlk с электронодонорным соединением. После окончания полимеризации, дезактивации катализатора, введения раствора стабилизатора и отгонки растворителя с водяным паром полученную крошку каучука сушат и прессуют.
Эмульсионные бутадиен-стирольные каучуки содержат до 8-9% некаучуковых веществ, главным образом органических кислот. Количество примесей в каучуках, синтезированных в растворе, намного меньше. На основе низкотемпературных сополимеров получают масло-, саже- и сажемаслонаполненные каучуки. Наполнители вводят в латекс (после обрыва полимеризации и отгонки непрореагировавших мономеров) с целью облегчения последовательной переработки каучука и улучшения технологических характеристик резиновых смесей (см. также Наполненные каучуки).
Технологические характеристики каучуков. Резиновые смеси. Вязкость по Муни (100 °С) большинства типов бутадиен-стирольных каучуков составляет 40-60; за рубежом вырабатывают спец. эмульсионные каучуки С вязкостью по Муни 25-35 и 100-130 (соотв. "мягкие" и "жесткие"). Перерабатывают бутадиен-стирольные каучуки на обычном оборудовании резиновых заводов (вальцах, смесителях, каландрах, экструдерах). Изделия вулканизуют при 140-180°С в прессах, котлах, спец. агрегатах. Технологические свойства каучуков улучшаются с повышением содержания в них стирольных звеньев. Наиболее легко перерабатываются низкотемпературные эмульсионные каучуки, наиболее трудно - синтезируемые в растворе. "Жесткие" каучуки в случае необходимости подвергают термоокислительной пластикации при 130-140 °С.
Бутадиен-стирольные каучуки технологически совместимы с др. каучуками - натуральным, синтетическим изопреновым, бутадиеновым, бутилкаучуком и др. Для улучшения клейкости резиновых смесей бутадиен-стирольные каучуки совмещают, напр., с феноло-формальд. или инден-кумароновыми смолами, для повышения стойкости вулканизатов к действию растворителей - с бутадиен-нитрильными, хлоропреновыми или полисульфидными каучуками.
Основной вулканизующий агент для бутадиен-стирольных каучуков - сера; при получении резин с улучшенной теплостойкостью применяют тетраметилтиурамдисульфид или органические пероксиды. Ускорителями серной вулканизации служат ди (2-бензотиазолил) ди-сульфид, N-циклогексилбензотиазол-2-сульфенамид (сульфенамид Ц) и др. В качестве наполнителей резиновых смесей используют техн. углерод (чаще активный), а также мел, каолин и др.; количество этих ингредиентов может достигать 100-150 массовых частей на 100 массовых частей каучука.
Свойства вулканизатов. Резины на основе бутадиен-стирольных каучуков, содержащие активные наполнители, характеризуются достаточно высокими прочностными свойствами, износостойкостью и эластичностью (см. табл. 2). Вулканизаты низкотемпературных эмульсионных каучуков превосходят по прочностным свойствам вулканизаты высокотемпературных. Резины из бутадиен-стирольного каучука, синтезированного в растворе, обладают несколько лучшей морозостойкостью, эластичностью и износостойкостью и меньшим теплообразованием, чем резины из эмульсионных каучуков. С увеличением содержания в макромолекуле каучука стирольных звеньев возрастают прочность при растяжении и сопротивление раздиру, но ухудшаются эластичность и морозостойкость резин.
В настоящее время основное количество бутадиен-стирольного каучука выпускается при температуре полимеризации 50 С («холодные каучуки»), меньше при температуре полимеризации 500 С («горячие каучуки»).
Каучуки низкой температурной полимеризации характеризуются более высокой молекулярной массой, меньшим содержанием низкомолекулярных фракций, лучшими технологическими свойствами, хорошей совместимостью с другими каучуками.
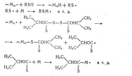
С целью регулирования молекулярной массы каучука и улучшения технологических свойств в полимеризационную систему вводят специальные вещества – регуляторы, являющиеся агентами передачи цепи. При этом регулятор не должен замедлять полимеризацию и ухудшать качество каучука. Этим требованиям в определённой степени отвечает широко применяемая на практике смесь трет-алкилмеркаптанов с числом углеродных атомов 12-16 и диизопропилксантоггендисульфид (дипроксид). Схемы передачи цепи этими веществами будут следующими:

4.2. Свойства вулканизаторов низкотемпературных эмульсионных бутадиен-метилстирольных каучуков, содержащих около 23% стирольных звеньев*
Таблица 3

* Наполнитель - активный технический углерод (40-50 мас. ч.). Вулканизация 80 мин при 143°С
Резины из бутадиен-стирольных каучуков достаточно стойки к действию концентрированных растворов щелочей и кислот, а также спиртов, кетонов и эфиров. По устойчивости в ароматичных и алифатичных углеводородах, минеральных маслах, раститительных и животных жирах они превосходят резины из НК, а по газопроницаемости практически равноценны им. По теплофизическим свойствам вулканизаты бутадиен-стирольных каучуков мало отличаются от вулканизатов др. каучуков: их коэффициент объемного расширения (5,3-6,6)*10-4 К-1, коэффициент теплопроводности 0,22-0,30 Вт/(м*К), удельная теплоемкость 1,5-1,9 кДж/(кг*К). Электрическая характеристика резин:~7 ТОм*м; 2,4-2,6 (1,5-20 МГц); tg 0,006.
Применение каучуков . Бутадиен-стирольные каучуки - типичные каучуки общего назначения, используемые главным образом в производстве шин (обычно в комбинации с НК, синтетическим изопреновым или стереорегулярным бутадиеновым каучуком). На основе бутадиен-стирольных каучуков изготовляют также многочисленные РТИ (конвейерные ленты, рукава, профили, формовые детали), а также изоляцию кабелей, обувь, спортивные изделия и др.
Мировое производство бутадиен-стирольных каучуков превышает 4 млн. т/год (1982); по объему выпуска они занимают первое место среди всех СК.
5 . Реактор-полимеризатор
Реактор включает сборный корпус 1, состоящий из отдельных секций с определенным соотношением диаметра перетока к диаметру секции d/d, имеющих термостатирующие рубашки. В верхней части корпуса 1 установлен расширитель 2, снабженный термостатирующей рубашкой, штуцером 3 для подачи реакционной смеси, воздушником 4 для соединения с атмосферой и другими технологическими штуцерами. На выходе из секционированного аппарата реакционная смесь поступает в сборник 5, также имеющий термостатирующую рубашку. Сборник устроен таким образом, чтобы гранулы ДФ не попадали в подключенный к нему пульсатор.
Реактор - полимеризатор работает следующим образом. Частицы ДФ со степенью конверсии 35% через штуцер 3 вследствие разности плотностей СФ и ДФ поступают в реактор по наклонной трубе. Пульсатор обеспечивает возвратно-поступательное, движение СФ в секциях реактора, в результате чего в каждой секции происходит устойчивое вихреобразование и, как следствие, интенсивное перемешивание реакционной массы, что повышает в 3-4 раза удерживающую способность аппарата по сравнению с цилиндрическим и обеспечивает заданное время пребывания частиц ДФ в реакционной зоне аппарата. По мере увеличения плотности частиц они осаждаются в нижнюю часть аппарата, сборник и далее поступают в аппаратуру для окончательного дозревания. При этом наличие расширителя, сечение которого превышает в 4-6 раз сечение наклонного подающего патрубка, исключает пульсации СФ в предыдущих аппаратах технологической схемы. Применение пульсационного воздействия на реакционную систему в таком реакторе позволяет осуществить перемешивание ДФ без значительной деформации и дробления частиц, а также исключить слипание частиц и, следовательно, образование агломератов. Частота пульсаций находится в интервале 1-1,5 Гц. Соотношение объема жидкости, выталкиваемой пульсатором за половину периода пульсаций, и объема секции находится в пределах 0,3-0,5. Угол раствора диффузорной части секции составляет 90-100°.
Технологическая схема процесса получения бутадиен-стирольных и бутадиен-α-метилстирольных каучуков
Описание технологической схемы процесса сополимеризации бутадиена со стиролом.
Смесь бутадиена ёмк.1 со стиролом ёмк.2 или α-метилстиролом предварительно эмульгируют в водной фазе в смесителе 3 или трубопроводе и охлаждают. Соотношение углеводородной и водной фаз из ёмк.4 регулируется автоматически в ёмк.5. В поток эмульсии мономеров из ёмк.5 попадают компоненты инициирующей системы и регулятор, после чего она поступает в первый аппарат батареи полимеризаторов (6-I – 6-XII) и далее в последующие аппараты. Температура полимеризации поддерживается автоматически. Конверсия мономеров контролируется непрерывно с помощью специальных приборов или периодически путём определения сухого остатка латекса. По окончании процесса на выходе из батареи в латекс подаётся раствор стоппера. Для хорошей воспроизводимости и стабильности процесса важно, чтобы все исходные вещества, и прежде всего мономеры и эмульгаторы, были высокого и постоянного качества. Незаполимеризовавшиеся мономеры отгоняют острым паром в две ступени на прямо- или противоточных колоннах 7-8 под вакуумом. Предварительно проводится дегазация латекса в ёмк.7, при которой испаряется бутадиен. После отгонных колонн 7-8 латекс поступает в ёмкость 9 и уже оттуда в цех выделения каучука.
Технологическое оформление процесса выделения каучука из латекса как в виде ленты, так и в виде крошки
В случае получения каучука, не содержащего масла, латекс с температурой 45-500 С предварительно подщелачивается раствором щёлочи до рН 10,4-10,6, смешивается с омыленным раствором костного клея и поступает на коагуляцию. Подщелачивание латекса не производится при получении маслонаполненных каучуков типа 1712,СКС(МС)-30АРКМ. Большинство действующих схем предусматривает введение масла на стадии флокуляции латекса. В некоторых схемах масло (чаще всего высокоароматизированное) вводится в латекс в виде эмульсии непосредственно перед коагуляцией. При получении каучуков не содержащих масла, антиоксидант вводится в виде дисперсии или эмульсии в латекс. В случае маслонаполненных каучуков антиоксидант может быть растворён в масле и таким образом введён в каучук.
Во всех схемах флокулят из первого аппарата (или смесителя) поступает во второй, в который подаётся серум, подкисленный серной кислотой.
При выделении каучука в виде ленты рН во втором аппарате 7,8-8,2, в третьем 6,5-7,2, температура 45-500 С. В этом случае для получения для получения прочной пористой ленты и полноты перевода эмульгаторов в свободные карбоновые кислоты на первой части лентоотливочной машины проводится промывка каучука водой, подкислённой серной кислотой, её избыток удаляется при дальнейшей отмывке.
При выделении каучука в виде крошки рН во втором аппарате 6,5-7,2, в третьем 2,5-3,5, температура 500 С.
Промывка крошки каучука проводится на лентоотливочной машине или в емкостях водой при температуре 45-600 С. Перед сушкой крошку каучука обезвоживают в червячных машинах, где влажность крошки, поступающей на сушку, уменьшается до 10-15%. Сушка каучуков осуществляется в воздушных многоходовых ленточных сушилках; при выпуске других типов каучуков кошку сушат в воздушных многоходовых конвейерных сушилках или в червячных сушильных агрегатах. В настоящее время разработаны и начинают внедрять способы бессолевой коагуляции.
Смесь бутадиена со стиролом или α-метилстиролом предварительно эмульгируют в водной фазе в смесителе или трубопроводе и охлаждают. Соотношение углеводородной и водной фаз регулируется автоматически. В поток эмульсии мономеров попадают компоненты инициирующей системы и регулятор, после чего она поступает в первый аппарат батареи и далее в последующие аппараты. Температура полимеризации поддерживается автоматически. Конверсия мономеров контролируется непрерывно с помощью специальных приборов или периодически путём определения сухого остатка латекса. По окончании процесса на выходе из батареи в латекс подаётся раствор стоппера. Для хорошей воспроизводимости и стабильности процесса важно, чтобы все исходные вещества, и прежде всего мономеры и эмульгаторы, были высокого и постоянного качества. Незаполимеризовавшиеся мономеры отгоняют острым паром в две ступени на прямо- или противоточных колоннах под вакуумом. Предварительно проводится дегазация латекса, при которой испаряется бутадиен.
Заключение
Промышленное применение
Наиболее массовое применение каучуков — это производство резин для автомобильных, авиационных и велосипедных шин.
Из каучуков изготавливаются специальные резины огромного разнообразия уплотнений для целей тепло- звуко- воздухо- гидроизоляции разъёмных элементов зданий, в санитарной и вентиляционной технике, в гидравлической, пневматической и вакуумной технике.
Каучуки применяют для электроизоляции, производства медицинских приборов и средств контрацепции.
В ракетной технике синтетические каучуки используются в качестве полимерной основы при изготовлении твердого ракетного топлива, в котором они играют роль горючего, а в качестве наполнителя используется порошок селитры (калийной или аммиачной) или перхлората аммония, который в топливе играет роль окислителя.
Технологическое оформление процесса выделения каучука из латекса как в виде ленты, так и в виде крошки.
Латекс после отгонки поступает в емкость 1. В случае получения каучука, не содержащего масла , латекс с температурой 45-500 С предварительно подщелачивается в ёмкости 3 раствором щёлочи из ёмкости до рН 10,4-10,6, смешивается с омыленным раствором костного клея в емкости 4 и поступает на коагуляцию.
Большинство действующих схем предусматривает введение масла из ёмкость 2 на стадии флокуляции латекса. В некоторых схемах масло (чаще всего высокоароматизированное) вводится в латекс в виде эмульсии непосредственно перед (ёмкость 3) коагуляцией. При получении каучуков не содержащих масла, антиоксидант вводится в виде дисперсии или эмульсии в латекс. В случае маслонаполненных каучуков антиоксидант может быть растворён в масле и таким образом введён в каучук.
Во всех схемах флокулят из первого аппарата (или смесителя)3 поступает во второй 4-5, в который подаётся серум из ёмкости 17, подкисленный серной кислотой.
При выделении каучука в виде ленты - в этом случае для получения для получения прочной пористой ленты и полноты перевода эмульгаторов в свободные карбоновые кислоты на первой части лентоотливочной машины 7 проводится промывка каучука водой, подкислённой серной кислотой, её избыток удаляется при дальнейшей отмывке Н2 О. затем каучук поступает на многоярусную сушильную машину 8 и через дробильную машину 9, и магнитодетектор идёт на упаковку.
При выделении каучука в виде крошки – промывка каучука производится на ленточноотливочной машине или в ёмкостях с водой 13-14 при температуре 45-60о С. Перед сушкой крошку каучука обезвоживают в червячных машинах 15, где влажность крошки поступающей на сушку уменьшается до 10-15%. Сушка каучука в воздушных многоходовых ленточных машинах 16, затем он поступает на брикетировочную машинку и магнитодетектор идёт на упаковку.
Список литературы
1. Говорова О. А. Свойства резин на основе этилен пропиленовых каучуков. - М.: Высшая школа,1986.
2. Кузнецов Д.А. Общая химическая технология. - М.: Высшая школа,1970.
3. Кузнецов С.В. Процесс производства Этилен-пропиленовых каучуков. – М.: Энциклопедия полимеров, т. 3, 1977.
4. Попов И.С. процесс производства термоморозомаслобензостойких фторсилоктановых каучуков широкого назначения и материалов на их основе. – М.: Высшая школа, 1979.
Похожие рефераты:
Бутадиен-стирольные каучуки, получаемые в растворе и эмульсии
Обработка каучука и производство резины
Термическое разложение и горение полимеров
Влияние технологических добавок на структуру и свойства резин
Анализ сополимеризации индена с малеиновым ангидридом
Модификация биологически активными системами синтетического полиизопрена
Разработка системы защиты атмосферы при производстве поливинилхлорида
Каучук, строение, свойства, виды и применение в профессии коммерсанта
Исследование способов введения белковых компонентов в синтетический полиизопрен
Программа для поступающих в вузы (ответы)
Разработка школьного элективного курса "Полимеры вокруг нас"
Технология получения синтетических каучуков
Влияние содержания 1,2-полибутадиена на свойства динамических термоэластопластов