| Похожие рефераты | Скачать .docx |
Реферат: Полистирол
Министерство образования Российской Федерации и науки
Российской Федерации
Государственное образовательное учреждение высшего
профессионального образования
“Алтайский Государственный Технический Университет
им. И.И. Ползунова”
Реферат.
По дисциплине «органическая химия» на тему:
«Полистирол (поливинилбензол)»
Выполнила студентка гр. ПКМ-71:
Бархатова Л. Н.
Проверила старший преподаватель
кафедры ФиТКМ: Арсентьева С.Н.
Подпись:
Барнаул 2008г.
Содержание
Введение, общая характеристика и классификация полимеров
1. Историческая справка
2. Описание полистирола
3. Основные свойства
3.1.Физические свойства
3.2.Химические свойства
4. Получение
5. Надмолекулярная структура, конформация, конфигурация
6. Способы отверждения
7. Применение в промышленности
Заключение
Список литературы
Введение
Общая характеристика и классификация полимеров
Полимером называется органическое вещество, длинные молекулы которого построены из одинаковых многократно повторяющихся звеньев – мономеров.
Размер молекулы полимера определяется степенью полимеризации n, т.е. числом звеньев в цепи. Если n= от 10 до 20, вещества представляют собой легкие масла. С возрастанием n увеличивается вязкость, вещество становится воскообразным, наконец, при n=1000 образуется твердый полимер. Степень полимеризации неограниченна: она может быть 104 , и тогда длина молекул достигает микрометров. Молекулярная масса полимера равна произведению молекулярной массы мономера и степени полимеризации. Обычно она находится в пределах от 103 до 3×105 . Столь большая длина молекул препятствует их правильной упаковке, и структура полимеров варьирует от аморфной до частично кристаллической. Доля кристалличности в значительной мере определяется геометрией цепей. Чем ближе укладываются цепи, тем более кристалличным полимер становится. Кристалличность даже в лучшем случае оказывается несовершенной [1].
Аморфные полимеры плавятся в диапазоне температур, зависящем не только от их природы, но и от длины цепей; кристаллические имеют точку плавления.
По происхождению полимеры делятся на три группы: синтетические полимеры (искусственные), природные органические и природные неорганические полимеры.
Синтетические полимеры получаются путем ступенчатой или цепной полимеризации низкомолекулярных полимеров.
Природные неорганические полимеры – это например расплав магмы, оксид кремния.
Природные органические полимеры образуются в результате жизнедеятельности растений и животных и содержатся в древесине, шерсти, коже. Это протеин, целлюлоза, крахмал, шеллак, лигнин, латекс.
Обычно природные полимеры подвергаются операциям выделения очистки, модификации, при которых структура основных цепей остается неизменной. Продуктом такой переработки являются искусственные полимеры. Примерами являются натуральный каучук, изготовляемый из латекса, целлулоид, представляющий собой нитроцеллюлозу, пластифицированную камфарой для повышения эластичности.
Природные и искусственные полимеры сыграли большую роль в современной технике, а в некоторых областях остаются незаменимыми и до сих пор, например в целлюлозно-бумажной промышленности. Однако резкий рост производства и потребления органических материалов произошел за счет синтетических полимеров – материалов, полученных синтезом из низкомолекулярных веществ и не имеющих аналогов в природе. Развитие химической технологии высокомолекулярных веществ – неотъемлемая и существенная часть современнойНТР. Без полимеров уже не может обойтись ни одна отрасль техники, тем более новой. По химической структуре полимеры делятся на линейные, разветвленные, сетчатые и пространственные. Молекулы линейных полимеров химически инертны по отношению друг к другу и связаны между собой лишь силами Ван-дер-Ваальса. При нагревании вязкость таких полимеров уменьшается и они способны обратимо переходить сначала в высокоэластическое, а затем и в вязкотекучее состояния (рисунок 1). Поскольку единственным следствием нагрева является изменение пластичности, линейные полимеры называют термопластичными. Не следует думать, что термин «линейные» обозначает прямолинейные, наоборот, для них более характерна зубчатая или спиральная конфигурация, что придает таким полимерам механическую прочность.
Термопластичные полимеры можно не только плавить, но и растворять, так как связи Ван-дер-Ваальса легко рвутся под действием реагентов.
Разветвленные (привитые) полимеры более прочны, чем линейные. Контролируемое разветвление цепей служит одним из основных промышленных методов модификации свойств термопластичных полимеров.
![]() |
| Рисунок 1 – Схематическая диаграмма вязкости термопластичных полимеров в зависимости от температуры: Т1 – температура перехода из стеклообразного в высоко эластичное состояние, Т2 – температура перехода из высокоэластичного в вязкотекучее состояние |
Сетчатая структура характерна тем, что цепи связаны друг с другом, а это сильно ограничивает движение и приводит к изменению как механических, так и химических свойств. Обычная резина мягка, но при вулканизации серой образуются ковалентные связи типа S-ноль, и прочность растет. Полимер может приобрести сетчатую структуру и спонтанно, например, под действием света и кислорода произойдет старение с потерей эластичности и работоспособности. Наконец, если молекулы полимера содержат реакционноспособные группы, то при нагревании они соединяются множеством поперечных прочных связей, полимер оказывается сшитым, т. е. приобретает пространственную структуру. Таким образом, нагрев вызывает реакции, резко и необратимо изменяющие свойства материала, который приобретает прочность и высокую вязкость, становится нерастворимым и неплавким. Вследствие большой реакционной способности молекул, проявляющейся при повышении температуры, такие полимеры называют термореактивными. Нетрудно представить, что их молекулы активны не только по отношению друг к другу, но и к поверхностям инородных тел. Поэтому термореактивные полимеры, в отличие от термопластичных, обладают высокой адгезионной способностью даже при низких температурах, что позволяет использовать их в качестве защитных покрытий, клеев и связующего в композиционных материалах.
Термопластичные полимеры получают по реакции полимеризации, протекающей по схеме (рисунок 2).
![]() |
| Рисунок 2 – Реакции образования полимеров: а) – полимеризация, б) - поликонденсация |
При цепной полимеризации молекулярная масса нарастает почти мгновенно, промежуточные продукты неустойчивы, реакция чувствительна к присутствию примесей и требует, как правило, высоких давлений. Неудивительно, что такой процесс в естественных условиях невозможен, и все природные полимеры образовались иным путем. Современная химия создала новый инструмент — реакцию полимеризации, и благодаря ему большой класс термопластичных полимеров. Реакция полимеризации реализуется лишь в сложной аппаратуре специализированных производств, и термопластичные полимеры потребитель получает в готовом виде.
Реакционноспособные молекулы термореактивных полимеров могут образоваться более простым и естественным путем – постепенно от мономера к димеру, потом к тримеру, тетрамеру и т. д. Такое объединение мономеров, их «конденсацию», называют реакцией поликонденсации; она не требует ни высокой чистоты, ни давлений, но сопровождается изменением химического состава, а часто и выделением побочных продуктов (обычно водяного пара) (рисунок 2). Именно эта реакция реализуется в природе; она может быть легко осуществлена за счет лишь небольшого нагрева в самых простых условиях, вплоть до домашних. Такая высокая технологичность термореактивных полимеров предоставляет широкие возможности изготовлять различные изделия на нехимических предприятиях, в том числе на радиозаводах [1].
Независимо от вида и состава исходных веществ и способов получения материалы на основе полимеров можно классифицировать следующим образом: пластмассы, волокниты, слоистые пластики, пленки, покрытия, клеи.
1. Историческая справка
Промышленность ластмасс зародилась на рубеже XX века. Легко полимеризующийся стирол и его стеклообразный твердый полимер сразу же привлекли внимание. Основы химии и технологии производства полистирола заложили Остромысленский и Штау-дингер. Последний предложил цепной механизм образования макромолекул полистирола.
Первый патент на получение полистирола (способом термической спонтанной полимеризации в массе) был взят в Германии в 1911г. Там же в 1920 г. началось промышленное производство полимера. В 1936г. уже производилось 6000 т/год.
За пределами Германии рост производства полистирола долгое время сдерживался высокой ценой на мономер. Стимулом к бурному развитию послужило создание в США во время второй мировой войны крупнотоннажного производства бутадиен-стирольного каучукачто, естественно, привело к снижению цен на стирол. После Войныпроизводство полистирола и сополимеров стирола, содержащихболее 50 процентов стирола по составу (в отличие от бутадиен-стирольного каучука, где стирола около 30 процентов), развивалось самостоятельно. Разработка таких эффективных продуктов; как пенополистирол, ударопрочные полимеры стирола, АБС-пластики, позволила полистирольным пластикам в целом занять третье место в мировом производстве пластмасс после полиэтилена и поливинилхлорида.
В СССР производство полистирола развернулось в послевоенные годы. Как и в других странах, основу производства составляют процессы свободнорадикальной полимеризации в блоке (массе), суспензии и эмульсии [2].
В настоящее время производятся практически все основные типы сополимеров стирола, включая сополимеры с α-метилстиролом, метилметакрилатом, ударопрочные сополимеры с каучуком, двойные и тройные сополимеры с акрилонитрилом (включая АВС-пластики) и др.
2. Описание полистирола
Полистирол – термопластичный аморфный полимер с формулой
[-СН2 -С(С6 Н5 )Н-]n
Структурная формула:

Полистирол – прозрачное стеклообразное вещество, молекулярная масса 30-500 тыс., плотность 1,06 г/см3 (20 °С), температура стеклования 93°С.
Для полистирола характерно коптящее пламя с цветочным сладковатым запахом (Этот запах корицы обычно можно обнаружить, уколов исследуемый предмет раскаленной иглой). Если к тому же предмет падает на пол с металлическим звоном то, скорее всего полистирол [8].
Это твердое, упругое, бесцветное вещество. Фенильные группы препятствуют упорядоченному расположению макромолекул и формированию кристаллических образований. Это жесткий, аморфный полимер с невысокой механической прочностью при растяжении и изгибе. Полистирол имеет низкую плотность, низкую термическую стойкость, обладает отличными диэлектрическими свойствами и весьма низкой прочностью при ударе. Он легко деформируется при относительно невысоких температурах (80°C). При контакте с жирами выделяет мономер стирола. Для улучшения свойств полистирола его модифицируют различными сополимерами и подвергают сшиванию.
Полистирол – дешёвый крупнотоннажный термопласт; характеризуется высокой твёрдостью, хорошими диэлектрическими свойствами, влагостойкостью, легко окрашивается и формуется, химически стоек, растворяется в ароматически и хлорированных алифатических углеводородах. Лучшими эксплуатационными свойствами обладают различные сополимеры стирола. Так, повышения теплостойкости и прочности при растяжении (на ~ 60 процентов) достигают сополимеризацией стирола с акрилонитрилом или a-метилстиролом, повышения прочности и ударной вязкости (от 5-10 до 50-100 кДж/м2 ) – получением привитых сополимеров стирола с 5-10% каучука, например бутадиенового (ударопрочный полистирол), а также тройных сополимеров акрилонитрила, бутадиена и стирола (т. н. АБС-пластик). Заменой акрилонитрила на метилметакрилат синтезируют прозрачные тройные сополимеры [5].
3. Основные свойства
3.1. Физические свойства
Стирол горюч и взрывоопасен. Пределы взрывоопасности в смеси с воздухом при комнатной температуре от 1,1 до 6,1 объемн. %. Допустимая концентрация паров в воздухе не выше 0,5 мг/м систематическое вдыхание паров стирола в концентрации выше допустимой приводит к хроническому заболеванию печени.
Важнейшие физические свойства стирола и α-метилстирола приведены ниже:
Таблица 1 – Физические свойства стирола и α-метилстирола
| Стирол | α-метилстирол | |
| Структурная формула | ![]() |
![]() |
| Молекулярный вес | 104,14 | 119,14 |
| Т. кипения при 760 мм рт. ст., °C | 145,2 | 165,38 |
| Градиент кипения, °C/мм рт. ст. | 0,049 | 0,052 |
| Т. замерзания при 760 мм рт.ст., °C | –30,628 | – |
| Плотность при 20 °C, г/см3 | 0,90600 | 0,88 (25 °C) |
| Дипольный момент, Кл×м | 0,37×10-30 | – |
| Удельная теплоемкость при 20 °C, кДж/(кг×К) | 1,735 | 2,04 |
| Вязкость при 20 °C, Па×с | 0,078 | 0,080 |
| Поверхностное натяжение, Н/м | 0,0322 (20 °C) | 0,0317 (25 °C) |
| Теплота испарения при 20 °C, кДж/моль | 44,6 | 40,4 |
| Термический коэффициент объемного расширения при 25 °C, 1/°C | 9,719×10-4 | 11×10-4 |
| Критическая температура, °C | 373 | 386 |
| Критическое давление, МПа | 3,93 | 4,84 |
| Коэффициент преломления |
1,54682 | 1,5386 |
Таблица 2 – Зависимость температуры кипения стирола от давления
| Т, кип., °C | 32,40 | 45,60 | 53,86 | 60,05 | 65,45 | 69,68 | 76,60 | 82,19 |
| Р, мм рт.ст. | 10 | 20 | 30 | 40 | 50 | 60 | 70 | 80 |
Зависимость ряда физических свойств стирола от температуры дается эмпирическими уравнениями:
для давления паров (P-в мм рт. ст., Т-в °C): ![]()
для плотности: ![]()
для поверхностного натяжения (30-90°C): ![]()
Распространенные в технике три основных процесса полимеризации стирола приводят к получению продукта, разного внешнего вида. При блочной полимеризации процесс ведут путем постепенного нагревания жидкого мономера. Температурный режим подбирают таким образом, чтобы полимеризующаяся масса все время находилась в вязкотекучем состоянии. Это означает, что в конце процесса, когда конверсия мономера достигает значения, близкого к предельному, температура расплавленного полистирола должна быть порядка 200–230 °С. Массу продавливают через фильеры путем экструзии и в горячем или холодном состоянии разрезают на гранулы. Путем повторной экструзии блочный полистирол окрашивают и используют для дальнейшей переработки в изделия.
Таблица 3 –Зависимость некоторых свойств стирола от температуры
| Температура, °C | Плотность, Мг/см3 | Вязкость, Па×с | Удельная теплоемкость, кДж/(кг×К) | Давление, мм рт.ст. | Теплота испарения, кДж/моль |
0 10 20 25 30 40 50 60 70 80 90 100 110 120 130 140 150 |
0,9238 0,9150 0,9063 0,9019 0,8975 0,8887 0,8800 0,8712 0,8624 0,8537 0,8449 0,8361 0,8274 0,8186 0,8098 0,8011 0,7925 |
9,76 8,77 7,81 7,30 6,94 6,21 5,52 4,90 4,38 3,92 3,48 3,12 2,78 2,48 2,21 1,96 1,75 |
1,634 1,660 1,686 1,700 1,719 1,748 1,781 1,809 1,843 1,884 1,927 1,980 2,042 2,110 2,165 2,240 2,320 |
1,3 2,6 4,9 6,6 8,8 15,2 25,0 39,8 61,0 92,0 134 196 270 371 500 665 880 |
44,6 44,2 43,8 43,6 43,3 42,9 42,5 42,0 41,6 41,2 40,7 40,2 39,7 39,3 38,7 38,2 37,6 |
Продукты, получающиеся в результате суспензионной и эмульсионной полимеризации, представляют собой шарообразные частицы, различающиеся размером. Суспензионный полистирол крупнее – средний размер частиц – 4×5 мм. Эмульсионный продукт – «бисер» – имеет средний размер частиц
1–10 мкм [3].
Таблица 4 – Основные физические свойства полистирола
| Плотность при 20 °C, г/см3 | 1,04–1, 965 (аморфного) 1,12 (кристаллического) |
| Удельная теплоемкость при 20 °C, кДж/(кг×К) | 1,258 (20 °C) 1,84 (100 °C) |
| Термический коэффициент объемного расширения при 25 °C, 1/°C | (1,7–2,1) ×10-4 при Т<Тст (5,1–6,0) ×10-4 при Т>Тст |
| Коэффициент теплопроводности, Вт/(м×К) | 0,1165 (50 °C ) 0,1276 (100 °C) |
| H сгорания, кДж/моль | – 434×10-3 |
| H растворения, кДж/моль | – 3,59 |
| H плавления кристаллов, кДж/моль | 8,373 |
| Вязкость расплава, Па×с при 217 °C | K=13,40 – 2,65 ×10-4 при Т<Тст – 6,05×10-4 при Т>Тст |
| Коэффициент преломления nD (в блоке) | 1,59–1,60 |
| Коэффициент Пуассона | 0,325 |
| Диэлектрическая проницаемость | 2,49–2,55 |
3 .2. Химические свойства
Химические свойства стирола обусловлены высокой реакционной способностью боковой винильной группы. Фенильное ядро затрагивается в процессе термической полимеризации на стадии инициирования. При окислении стирола на воздухе происходит образование полимера, формальдегида и бензальдегида.
Полистирол относится к группе весьма инертных пластмасс. Он стоек к действию щелочей и галогеноводородных кислот. Нестоек к действию концентрированной азотной кислоты и ледяной уксусной кислоты.
Термическая деструкция полистирола с заметной скоростью протекает при температурах выше 200 °С. Основным продуктом разложения является мономерный стирол. Полистирол горюч. Для того чтобы понизить опасность возгорания, в него добавляют фосфорсодержащие соединения. Широкое использование полистирола в быту,строительстве, пищевой индустрии диктует необходимость максимального снижения содержания в нем остаточного мономера. По действующим нормам пищевой полистирол должен содержать менее 0,3% мономера [3].
4. Получение полистирола
Основным методом производства стирола в технике до сих пор является каталитическое дегидрирование этилбензола при высоких температурах. Этилбензол, в свою очередь, получают каталитическимжидкофазным алкилированием бензола этиленом на безводном AlCl3 в мягких условиях. Выход полупродукта и мономера в обоих процессах близок к 90 % от теории. Наибольшую сложность вызывает очистка конечного, продукта от этилбензола и побочных веществ (бензола, толуола и др.), которая производится многоступенчатой ректификацией смеси [3].
Исследования, проводящиеся крупнейшими фирмами-производителями стирола, позволяют постепенно совершенствовать технологию его производства. Применяются три типа реакторов дегидрирования – адиабатические с неподвижным слоем катализатора, трубчатые изотермические и секционные.
Поиски новых путей синтеза стирола, по-видимому, не являются совершенно безнадежными. Так, опубликовано сообщение о пуске в Испании установки производства стирола мощностью 79,4 тыс. т/год, работающей по следующей схеме: этилбензол в мягких условиях окисляется в гидроперекись этилбензола, которая затем взаимодействует с пропиленом в присутствии нафтената молибдена, образуя метилфенилкарбинол и окись пропилена. Метилфенилкарбинол выделяют и дегидратируют в стирол. Таким образом, установка производит стирол, и окись пропилена (50 % от выпуска стирола). Хотя запатентовано много других способов получения стирола, включая прямой пиролиз нефти, проблема выделения продукта из смеси компонентов с близкой температурой кипения до сих пор остается неодолимым препятствием для промышленного внедрения. Правда, и в этом; направлении возможны принципиально новые решения, например, японская фирма «Тогау» сообщила о разработке высокоэффективного процесса экстрактивной ректификации стирола из фракций, образующихся при пиролизе бензина в этилен и содержащих обычно до 30–35 % стирола, около 52 % ксилола и его изомеров, а также этилбензол и другие компоненты. Конкретные детали процесса неизвестны, но авторы утверждают, что при производстве мощностью 20 тыс. т/год себестоимость стирола, получаемого в этом процессе, будет на 30–40 % ниже обычной [3].
Товарный стирол обычно содержит 99,6–99,7 % основного продукта и в большинстве случаев используется для проведения полимеризации без какой-либо предварительной очистки. В лабораторных условиях, когда к воспроизводимости результатов предъявляют высокие требования, стирол очищают вакуум-перегонкой.Стирол весьма плохо растворяет воду (таблица 5), так что специальной очистки от нее при радикальной полимеризации обычно не требуется. Для проведения ионной полимеризации стирол осушают, используя слабощелочные осушающие реагенты – окись кальция, силикагель, сернокислый или хлористый кальций [7].
Ярко выраженная склонность стирола к спонтанной (термической) полимеризации, протекающей по радикальному механизму, часто заставляет
Таблица 5 – растворимость воды в стироле и стирола в воде
| Температура, °C | Растворимость воды, вес % | Растворимость стирола, вес % |
25 40 60 80 |
0,07 0,10 0,14 0,18 |
0,031 0,040 0,051 0,062 |
применять при его хранении ингибиторы типа гидрохинона (илиn - mpem - бутилпирокатехина). Ингибиторы препятствуют также окислению стирола на воздухе и накоплению в нем перекисей, однако они эффективны при температурах ниже 100 °С [3].
Полимеризация стирола. Процесс состоит из трех стадий. Вначале в некоторых из многих молекул, содержащихся в реакционном сосуде, благодаря повышенной температуре и присутствию катализатора расщепляются двойные связи. Иными словами, эти молекулы активируются (первая стадия полимеризации). Затем активные частицы активируют следующие молекулы стирола, соединяются с ними, образуя цепь (следующая стадия).
Рост цепи прекращается, если соединяются две растущие цепи или если к растущей цепи присоединяется другой остаток, например фрагмент катализатора. Эта стадия называется обрывом цепи.
5. Структура полистирола
Первичные ламели имеют значительную поверхностную энергию, поэтому происходит их агрегация, приводящая к образованию монокресталов - более сложных надмолекулярных образований. При кристаллизации из расплава или концентрированного раствора полимера наиболее общего типа вторичного кристаллического образования является сферолит (рисунок 3), имеющий кольцевую или сферическую форму и достигающую гигантских размеров до 1см. В радикальных или сферических сферолитах каркас формируется из ленточных, кристаллических образований направленных от центра к периферии [6].

Рисунок 3 – Надмолекулярная структура полимеров: г) сферолитная лента (изотактический полистирол)
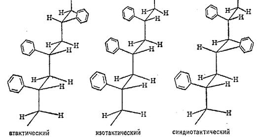
Полученные обычным способом поливинилхлорид, поливинилфторид и полистирол обладают гораздо меньшей степенью кристалличности и имеют более низкие температуры плавления; у этих полимеров физические свойства сильно зависят от стереохимической конфигурации. Полистирол, полученный методом свободнорадикальной полимеризации в растворе, является атактическим. Этот термин означает, что если ориентировать углеродные атомы полимерной цепи, придав ей, правильную зигзагообразную форму, то фенильные боковые группы окажутся распределенными случайным образом по одну и по другую сторону вдоль цепи (как это показано на рисунке 4). При полимеризации стирола в присутствии катализатора Циглера образуется изотактический полистирол, отличающийся от атактиче-ского полимера тем, что в его цепях все фенильные группы расположены по одну или по другую сторону цепи. Свойства атактического и изотактического полимеров различаются весьма существенно. Атактический полимер можно формовать при значительно более низких температурах, и он растворим в большинстве растворителей намного лучше изотактического. Существует много других типов стереорегулярных полимеров, один из которых назван синдиотакти ческим; в цепях этого полимера боковые группы расположены попеременно то по одну, то по другую сторону цепи, как это показано на рисунке 4 [5].

Рисунок 4 – Конфигурации атактического, изотактического и синдиотактического полистирола [5]
6. Способы отверждения, температура стеклования
Температура стеклования (Тст ) соответствует температуре, при которой возникает подвижность сегментов полимерных цепей.
В таблице 6 приведены значения температур стеклования полистирола. Эти данные показывают влияние скорости нагревания от Тст .
Таблица 6 – Температура стеклования полистирола [3]
| Тст полистирола, °C | Скорость нагревания, град/мин |
89 – 100 101 108 113 – – 106 – |
~0,1 ~0,1 ~1 10 10 10 16 20 40 40 |
Форму изделия из термопласта получают в результате развития в полимере пластической или высокоэластичной деформации под действием давления при нагреве полимера. При переработке реактопластов формирование изделия обеспечивают путем сочетания физических процессов формирования с химическими реакциями отверждения полимеров. При этом свойства изделий определяют скорость и полнота отверждения. Неполное использование при отверждении реакционных способностей полимера обусловливает нестабильность свойств изделия из реактопластов во времени и протекание деструкционных процессов в готовых изделиях. Низкая вязкость реактопластов при формировании приводит к снижению неравномерности свойств, увеличению скорости релаксации напряжений и меньшему влиянию деструкции при переработке на качество готовых изделий из реактопластов.
В зависимости от способа переработки отверждение совмещается с формованием изделия (при прессовании), происходит после оформления изделия в полости формы (литьевое прессование и литье под давлением реактопластов) или при термической обработке сформованной заготовки (при формовании крупногабаритных изделий, например, листов гетинакса, стеклотекстолита и др.). Полное отверждение реактопластов требует в некоторых случаях нескольких часов. Для увеличения съема продукции с оборудования окончательное отверждение может производиться вне формующей оснастки, так как устойчивость формы приобретается задолго до завершения этого процесса. По этой же причине изделие извлекают из формы без охлаждения.
При переработке полимеров (особенно термопластов) происходит ориентация макромолекул в направлении течения материала. Наряду с различием в ориентации на разных участках неоднородных по сечению и длине изделий возникает структурная неоднородность и развиваются внутренние напряжения.
Наличие температурных перепадов по сечению и длине детали ведет к еще большей структурной неоднородности и появлению дополнительных напряжений, связанных с различием скоростей охлаждения, кристаллизации, релаксации, и различной степенью отверждения.
Неоднородность свойств материала (по указанным причинам) не всегда допустима и часто приводит к браку (по нестабильности физических свойств, размеров, короблению, растрескиванию). Снижение неоднородности молекулярной структуры и внутренних напряжений удается достигнуть термической обработкой готового изделия. Однако более эффективно использование методов направленного регулирования структур в процессах переработки. Для этих целей в полимер вводят добавки, оказывающие влияние на процессы образования надмолекулярных структур и способствующие получению материалов с желаемой структурой [9].
7. Применение в промышленности
Существуют 2 основных вида полистирола полистирол общего назначения (GPPS), ударопрочный полистирол (HIPS)
Прозрачный полистирол (GPPS - General Purpose PolyStyrene) —неударопрочный материал. Используется в основном для внутреннего остекления, служит экономичной альтернативой оргстеклу.
HIPS (High Impact Polystyrene) обладает повышенной ударопрочностью, благодаря добавкам из бутадиенового или других специальных каучуков, которые обладают ударной вязкостью до 60-70 кДж/м2 . Его область применения довольна широка – наружная реклама, торговое оборудование, детали холодильников и так далие.
Полистирол общего назначения (GPPS)
Материал используется в основном для внутреннего остекления, служит экономичной альтернативой оргстеклу.
Основные преимущества: влагоустойчивы, долговечны легкость в обработке, обладают великолепной оптической прозрачностью – 94 %, имеют хорошую гладкую поверхность, имеют низкую плотность, устойчивы к химическим воздействиям, обладают высокой жесткостью.
Экструдированный полистирол изготовляется в виде прозрачных, молочных, дымчатых, цветных листов. Изготавливаются антибликовые и декоративные листы с разнообразной фактурой. По специальному заказу листы полистирола могут производиться без УФ – стабилизации. Такие листы можно использовать в контакте с пищевыми продуктами, поскольку они отвечают всем действующим правилам использования материала в контакте с продуктами питания.
Прозрачный полистирол – хрупкий, ломкий и неударопрочный. В связи с этим возникают осложнения при хранении и транспортировке изделий из него. Помимо этого, для достижения необходимого светорассеивания приходится использовать листы с рифленой поверхностью, что зачастую не соответствует современному дизайну. Существенным недостатком ПС является и его низкая устойчивость к воздействию УФ-излучения. Однако полистирол является очень экономичным материалом.
Типичное применение: декоративные перегородки и ширмы защитное покрытие изображений остекление душевых кабин ценники подставки производство светильников все виды остекления внутри помещения и др.
Полистирол ударопрочный ( HIPS )
Ударопрочный полистирол высококачественный листовой материал, производится для процессов термо – или вакуумного формования. HIPS используется в производстве наружной рекламы, деталей холодильников, сантехники, игрушек, пищевой упаковки и тому подобное. Поверхность материала может быть глянцевой, матовой, гладкой или тисненой, с зеркальной поверхностью, различных цветов. Возможно изготовление листов методом соэкструзии. Это позволяет соединить два слоя различных цветов или добавить верхний слой с глянцевой поверхностью.
Ударопрочный полистирол обладает определенной эластичностью и тем самым расширяет возможность его использования при изготовлении светотехнических изделий сложной конфигурации с глубокой вытяжкой. Коэффициент светопропускания (35–38 %) и белизна полностью соответствуют существующим в России стандартам на светотехнические изделия.
Основные преимущества: повышенная ударопрочность слабая чувствительность к надрезам легкость морозостойкость до –40°С влагостойкость отличная формуемость легкость в обработке химическая стойкость к кислотам и щелочам
В своем «родном» состоянии полистирол представляет собой довольно хрупкий материал, непригодный для многих задач. Поэтому в производстве в исходное сырье добавляют специальные добавки, повышающие ударную прочность и гибкость, и таким образом получают ударопрочный полистирол. Одной из разновидностей ударопрочного полистирола является фреоностойкий полистирол, применяемый в производстве холодильного оборудования. Структура поверхности: матовая с обеих сторон или с одной стороны глянцевая (верхний глянцевый слой получают путем соэкструзии с полистиролом обшего назначения), тисненная. При необходимости лист с одной стороны обрабатывается коронным разрядом, на лист наносится защитная термоформуемая пленка. При наружном применении добавляется УФ-стабилизатор, обеспечивающий защиту от пожелтения под воздействием УФ-излучения.
Полистирол светотехнический является одной из разновидностей ударопрочного полистирола, полностью заменяет акриловое стекло при изготовлении конструкций с внутренней подсветкой. В отличие от оргстекла имеет только одну глянцевую поверхность. Высокая популярность светотехнического полистирола обуславливается большей ударной прочностью (по сравнению с акрилом), легкостью обработки, стойкостью к окружающей среде и меньшей стоимостью.
Ударопрочный полистирол является более экономичным вариантом по сравнению с оргстеклом из-за низкой плотности, а так же возможностью применения более тонких (2-3 мм) листов благодаря повышенной ударопрочности по сравнению с оргстеклом (3-5 мм), что обеспечивает экономию в 2 раза, из расчета на 1 кв. м. светорассеивателя [7].
Катушки, кассеты и бобины для магнитофонной ленты, цоколи радиоламп, облицовочные плиты, шкалы приборов, скобы и хомуты для крепления кабелей, аккумуляторные банки, ручки инструментов и приборов, пленки, абажуры, детали клемм, футляры, принадлежности для бритья, игрушки, посуда, плитки для отделки мебели, пудреницы, крышки для банок и бутылок, коробки, детали электрических выключателей, авторучки – этот перечень изделий из полистирола можно было бы продолжать еще долго. Применение полистирола очень разнообразно - от пленки в конденсаторах толщиной 0,02 мм до толстых плит из пенополистирола, используемых в качестве изоляционного материала в холодильной технике [8].
Заключение
Изучение полимеров, их физических, химических свойств, а так же взаимодействие различных полимеров друг с другом, приводит к появлению новых соединений, которые соответствовали бы нужным свойствам. Например, можно создавать ударопрочные соединения, или соединения сочетающие несколько нужных свойств, например ударопрочность, морозостойкость, стойкость к воздействию солнечных лучей.
Так изучение полистирола одного из известных полимеров привело к его повсеместному использованию. Мы порой даже не задумываемся из чего сделан тот, или иной предмет окружающий нас. Все чаще натуральные материалы, например дерево, заменяется пластмассам, который гораздо дешевле, и износа стойкий.
Можно сделать один большой вывод: нужно изучать новые материалы, во-первых, натуральных материалов осталось не так уж и много, во-вторых, изучая полимеры можно создавать соединения которые в разы превосходят натуральные, а в третьих, полимеры стали использоваться в промышленности относительно недавно и есть возможность открывать что-то новое.
Список литературы
1. Арзамасом Б.Н. Материаловедение – Москва: Машиностроение, 1986. – 456 с.
2. Беккер Х. Органикум: Пер. с нем. – 2-й том. – М.: Мир, 1992 – 474 с.
3. Малкин А.Я.Полистирол. Физ. хим. основы получения и переработки. – М.: Химия, 1975 – 263 с.
4. Пол Д., Ньюмен С., Полимерные смеси: Пер с англ./под редакцией Д.Пола, С.Ньюмена. 1-й том, – М.: Мир, 1981 – 541 с.
5. Дж.Робертс, М.Касерио. Основы органической химии. том 2-й. – М.: Мир, 1978 – 345 с.
6. Лекционный материал по органической химии.
7. Turkavkaz [Электронный ресурс] / Полимер – Спектр; В. Симонов; ред. А. Маркин; Майкоп.: Адыгейский государственный университет, 2005. Режим доступа: http://www.poli.turkavkaz.ru, свободный. Туркавказ, Turkavkaz.
8. Alhimik [Электронный ресурс] / Кунсткамера, Химия для любознательных. Основы химии и занимательные опыты; Гроссе Э., Вайсмантель X.; ред. L.Alikberova; М.: МИТХТ им. М.В. Ломоносова, 2006 .Режим доступа: http://www.alhimik.ru, свободный. Алхимик, Alhimik.
9. Mixport [Электронный ресурс] / Рефераты, Химия, Полимеры; А. Лебедев; ред. И. Водонов; М.: Российский химико-технологический университет (РХТУ) им. Д.И.Менделеева, 2008. Режим доступа: http://www.mixport.ru, свободный. Микспорт, Mixport.
Похожие рефераты:
Переработка одноразовых шприцов
Термоэластопласты, фторкаучуки, полисульфон
Анализ сополимеризации индена с малеиновым ангидридом
Программа для поступающих в вузы (ответы)
Перспективы развития экологического сознания школьников при изучении темы "Полимеры" в курсе химии
Разработка системы защиты атмосферы при производстве поливинилхлорида
Разработка школьного элективного курса "Полимеры вокруг нас"
Адсорбция полимеров на границе раздела твердое тело - водный раствор
Получение и исследование биоактивных композиций на основе полиэтилена высокой плотности и крахмала



