| Похожие рефераты | Скачать .docx |
Дипломная работа: Расчет и конструирование лифтов и комплектующего их оборудования
Министерство образования и науки российской федерации
Московский государственный строительный университет
Факультет механизации и автоматизации строительства
Кафедра строительных и подъемно-транспортных машин
Курсовой проект на тему:
Расчет и конструирование лифтов и комплектующего их оборудования
лифт расчет тяговой штурвал
Москва 2008
Содержание
Введение
Исходные данные
1. Статический расчет
1.1 Расчет тяговых канатов
1.2 Расчет массы подвижных частей лифта
1.3 Расчет сопротивления движению груза, кабины, противовеса
1.4 Расчет натяжения канатов консольной и окружной нагрузки КВШ, а также соотношение натяжений подвески кабины и противовеса
1.5 Расчетное обоснование параметров и выбор узлов лебедки
1.5.1 Параметры противовеса и обоснование размеров поперечного сечения шахты
1.5.2 Расчетное обоснование параметров двигателя лебедки
1.5.3 Расчетное обоснование параметров редуктора
2. Динамический расчёт
2.1 Приближённое значение расчетной величины момента инерции системы привода
2.2 Расчётная величина момента инерции штурвала ручного привода
2.3 Расчет геометрических параметров штурвала
2.4 Расчёт приведённой к ободу КВШ поступательно движущейся массы
2.5 Расчёт приведённого момента инерции поступательно движущихся частей лифта
2.6 Расчётный момент инерции системы привода в эксплуатационных режимах
2.7 Расчёт ускорений в переходных режимах движения кабины ( пуск, генераторное торможение , выбег , механическое торможение )
2.8 Расчёт коэффициента динамичности соотношения натяжения канатов подвески кабины и противовеса
2.9 Расчёт точности остановки кабины
3.Расчётное обоснование величины коэффициента тяговой способности и определение параметров канавки обода КВШ
3.1 Определение расчётной величины коэффициента тяговой способности
3.2 Расчёт приведённого значения коэффициента трения
3.3 Расчётный коэффициент приведения коэффициента приведения
3.4 Расчёт величины угла подреза профиля канавки КВШ
4.Расчет ловителей резкого торможения
4.1 Определение максимального ускорения торможения
4.2 Определение величины тормозной силы
4.3 Расчетная тормозная сила и давление приходящееся на одну колодку ловителей
4.4 Расчетная ширина крупного зуба или насечки
4.5 Глубина врезания зуба в поверхность направляющей
4.6 Определение тормозного пути при минимальной и максимальной величине улавливаемой массы
Список используемой литературы
Введение
Существует большое разнообразие лифтов, различающихся по назначению и конструктивным особенностям.
По назначению можно выделить следующие типы лифтов: пассажирский – предназначен для подъема и спуска людей; грузопассажирский – предназначен для транспортировки пассажиров и грузов, имеет увеличенные в размерах площади пола и дверного проема; больничный – предназначен для подъема и спуска больных, в том числе и на специальных транспортных средствах в сопровождении медперсонала; грузовой - предназначен для подъема и спуска грузов; грузовой малый - для подъема и спуска небольших грузов с размерами кабины, исключающими возможность транспортировки людей; специальный (нестандартный) – предназначен для особых условий применения и изготавливаемый по специально разработанным техническим условиям.
По типу привода подъемного механизма: лифты электрические с приводом от электродвигателя переменного или постоянного тока; лифты гидравлические с приводом в виде подъемного гидроцилиндра или лебедки с гидродвигателем вращательного типа.
По конструкции механизма передачи движения кабине: лифты канатные, кабина которых перемещается посредством тяговых канатов лебедки; лифты цепные, реечные и винтовые, в которых движение кабины осуществляется посредством тяговых цепей, системы винт-гайка или приводная шестерня-зубчатая рейка.
По способу передачи движения от канатоведущего органа лебедки тяговым канатам: лифты с барабанной лебедкой и лифты с канатоведущим шкивом (КВШ).
По способу воздействия канатов на кабину: лифты с прямой, с полиспастной подвеской кабины и с канатным мультипликатором.
По расположению машинного помещения: лифты с верхним и нижним машинным помещением.
По конструкции привода лебедки: лифты с редукторным и безредукторным приводом лебедки.
По величине скорости подъема кабины: лифты тихоходные – при скорости кабины до 1 м/с; лифты быстроходные – при скорости кабины от 1,4 до 2 м/с; скоростные – при скорости свыше 2 м/с.
Можно отметить следующие основные тенденции развития лифтостроения.
Применение новых конструкционных и отделочных материалов, включая композиционные.
Совершенствование конструкции и дизайна кабин и оборудования посадочных площадок с учетом фактора вандалостойкости.
Совершенствование конструкции всех систем оборудования лифта с целью снижения уровня шума и вибрации в здании и в кабине лифта.
Расширение сферы применения наружной установки лифтов в углублении наружных стен жилых и административных зданий башенного типа.
Повышение надежности устройств, обеспечивающих безопасное применение лифтов.
Совершенствование систем привода и расширение области применения привода переменного тока с тиристорным и амплитудно-частотным управлением.
Совершенствование систем управления на основе достижений промышленной электроники и микропроцессорной техники.
Расширение масштабов применения гидравлических лифтов плунжерного типа с канатными мультипликаторами в зданиях малой и средней этажности.
Комплексное решение проблем внутреннего транспорта зданий и сооружений на основе комбинированного применения лифтов, многокабинных подъемников, эскалаторов и пассажирских конвейеров.
Широкое использование методов унификации и стандартизации с целью повышения качества изготовления, снижения стоимости массового производства и эксплуатационных затрат.
Расширение практики модернизации действующего лифтового оборудования.
Повышение эффективности системы технического обслуживания лифтов на основе применения современных методов компьютерной обработки информации и управления в сочетании с внедрением микропроцессорной системы самодиагностики лифтового оборудования.
Совершенствование методов проектирования лифтов на основе широкого применения САПР.
Совершенствование технологии изготовления лифтового оборудования на основе роботизации производственных процессов.
Повышение эффективности и качества монтажа лифтового оборудования на основе совершенствования технологии и механизации трудоемких процессов.
Госгортехнадзор разработал Правила устройства безопасной эксплуатации лифтов (ПУБЭЛ), которые регламентируют деятельность проектных, монтажных и эксплуатирующих организаций.
Цель и задачи курсового проектирования.
Курсовая работа выполняется в процессе изучения дисциплины «Лифты и подъемники».
Цель работы – закрепить полученные знания и приобрести навык самостоятельной работы при расчете и конструировании лифтов и комплектующего их оборудования.
Работа предусматривает проектирование лифта в соответствии с заданием, его расчет, а также расчет его основных узлов и приводного подъемного механизма.
Характеристика объекта проектирования.
Лифтом называется стационарная подъемная машина периодического действия, предназначенная для подъема и спуска людей и (или) грузов в кабине, движущейся по жестким прямолинейным направляющим, угол наклона которых к вертикали не более 15 градусов.
Лифт является неотъемлемой частью инженерного оборудования жилых, административных зданий и сооружений.
Проектируемый лифт имеет редукторный привод переменного тока с червячным редуктором. Система управления лифтом – кнопочная внутренняя, с вызовом кабины на любой этаж, с попутными остановками по вызовам при движении кабины вниз.
Подвеска кабины балансирная, противовеса – пружинная.
В качестве тягового органа применяется канатоведущий шкив с четырьмя ручьями, профиль каждого из которых представляет собой клиновую канавку.
В целях безопасности лифт оборудуется ловителями плавного торможения – клиновыми подпружиненными.
Исходные данные
Таблица
| № | Тип | Q, кг | V,м/с | H,м | А▪В▪h м |
Полож. Против. |
Qк, кг | qпк, кг/м | Тип двер. | ПВ % | Схем. | Мп. |
| 9 | ПП | 630 | 1,0 | 45 | 1,1X2,16X2,1 | сбоку | 1250 | 1,5 | Автоматические |
40 | Г | Верх. |

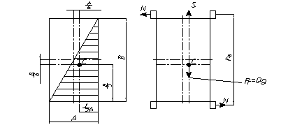
Рис 1.1 Расчетная схема лифта
Цель статического расчета:
Расчет производиться с целью определения основных параметров и выбора основных узлов оборудования лифта в соответствии с исходными данными, параллельно с этим решается вопрос размещения оборудования в шахте, с целью обоснования поперечных размеров шахты.
1. Статический расчет
1.1 Расчет тяговых канатов
Расчетное статическое натяжения канатов:
где
m– число параллельных ветвей канатов подвески, принимаем для Q=400кг, m=3
![]()
LК – длина каната от обода КВШ до подвески
![]()
q`к – масса одного метра каната, ориентировочно
![]()
![]()
![]()
где n– коэффициент запаса разрывного усилия ![]()
![]()
![]()
Выбираем тяговый канат:
dК = 11,5 мм – диаметр каната;
АК = 49,67 мм2 – площадь сечения всех проволок;
Вес 100м смазанного каната q= 0,487кг/м
RР = 66150Н – разрывное усилие каната.
Маркировочная группа по величине предела прочности проволоки на разрыв 1568 МПа
Расчет фактического значения коэффициента запаса прочности на разрыв:
,где
![]()
1.2 Расчет массы подвижных частей лифта
Масса противовеса:
,где ![]()
Масса уравновешивающих или компенсирующих цепей (применяется для уравновешивания тяговых канатов):
кг
![]()
Масса неуравновешенной части тяговых канатов:
![]()
Масса подвесного кабеля:
![]()
1.3 Расчет сопротивления движению груза, кабины, противовеса
Расчет сопротивления движения груза (кабина условно невесома):

Рис.
где
ω = 0,12 – коэффициент удельных сопротивлений башмака;
ω = 0,04 – если используются роликовые башмаки;
а1 ≈ в1 = 0,03 – смещение точки подвеса;
![]()
![]()
Сопротивление движению порожней кабины:
где
а,в – поперечное и продольное смещение центра масс кабины относительно центра пола;
Для автоматических раздвижных дверей а ≈ в = 0,045
Для распашных дверей а ≈ в = 0,003
![]()
Сопротивление движению противовеса:
Предполагаем, что сопротивление движению противовеса составляет 0,75 от силы тяжести противовеса.
![]()
1.4 Расчет натяжения канатов консольной и окружной нагрузки КВШ, а также соотношение натяжений подвески кабины и противовеса
Расчет производится в 11 режимах.
Подъем неуравновешенного груза.
1 режим: груженая кабина внизу, подъем:
- натяжение канатов подвески кабины:
,кН
![]()
- расчет натяжений каната подвески противовеса:
,кН
![]()
- расчет консольной нагрузки КВШ:
![]()
- расчетная окружная нагрузка КВШ:
,кН
![]()
![]()
![]()
- коэффициент соотношения величины статического натяжения канатов на КВШ:
![]()
2 режим: груженая кабина вверху, подъем:
- натяжение канатов подвески кабины:
,кН
![]()
- расчет натяжений каната подвески противовеса:
,кН
![]()
- расчет консольной нагрузки КВШ:
![]()
- расчетная окружная нагрузка КВШ:
,кН
![]()
![]()
![]()
- коэффициент соотношения величины статического натяжения канатов на КВШ:
![]()
3 режим: порожняя кабина внизу спуск:
- натяжение канатов подвески кабины:
,кН
![]()
- расчет натяжений каната подвески противовеса:
,кН
![]()
- расчет консольной нагрузки КВШ:
![]()
- расчетная окружная нагрузка КВШ:
,кН
![]()
![]()
![]()
- коэффициент соотношения величины статического натяжения канатов на КВШ:
![]()
4 режим: порожняя кабина вверху, спуск:
,кН
![]()
- расчет натяжений каната подвески противовеса:
,кН
![]()
- расчет консольной нагрузки КВШ:
![]()
- расчетная окружная нагрузка КВШ:
,кН
![]()
![]()
![]()
- коэффициент соотношения величины статического натяжения канатов на КВШ:
![]()
5 режим: груженая кабина внизу, спуск:
- натяжение канатов подвески кабины:
,кН
![]()
- расчет натяжений каната подвески противовеса:
,кН
- расчет консольной нагрузки КВШ:
![]()
- расчетная окружная нагрузка КВШ:
,кН
![]()
![]()
![]()
- коэффициент соотношения величины статического натяжения канатов на КВШ:
![]()
6 режим: груженая кабина вверху, спуск:
- натяжение канатов подвески кабины:
,кН
![]()
- расчет натяжений каната подвески противовеса:
,кН
- расчет консольной нагрузки КВШ:
![]()
- расчетная окружная нагрузка КВШ:
,кН
![]()
![]()
![]()
- коэффициент соотношения величины статического натяжения канатов на КВШ:
![]()
7 режим: порожняя кабина внизу, подъем:
- натяжение канатов подвески кабины:
,кН
![]()
- расчет натяжений каната подвески противовеса:
,кН
- расчет консольной нагрузки КВШ:
![]()
- расчетная окружная нагрузка КВШ:
,кН
![]()
![]()
![]()
- коэффициент соотношения величины статического натяжения канатов на КВШ:
![]()
8 режим: порожняя кабина вверху, подъем:
- натяжение канатов подвески кабины:
,кН
![]()
- расчет натяжений каната подвески противовеса:
,кН
- расчет консольной нагрузки КВШ:
![]()
- расчетная окружная нагрузка КВШ:
,кН
![]()
![]()
![]()
- коэффициент соотношения величины статического натяжения канатов на КВШ:
![]()
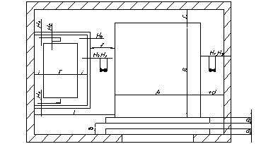
1.5 Расчетное обоснование параметров и выбор узлов лебедки.
1.5.1 Параметры противовеса и обоснование размеров поперечного сечения шахты:

Рис.
Определение массы грузов противовеса:
![]()
Определение количества грузов
![]()
где
(для чугунных плит)
![]()
![]()
![]()
Выбираем 27 штук по 50кг.
Размеры ![]()
Разработка схемы размещения оборудования в плане шахты (рис. 1.5.1.)

Рис.
![]()
![]()
Размеры лифтовых направляющих, профиль №2
В = 100мм ; Н = 90мм ; в = 16мм ; h= 50мм ; в1 = 12мм ; S= 10мм.
1.5.2 Расчетное обоснование параметров двигателя лебедки:
![]()
P0max– максимальная окружная нагрузка КВШ из первых четырех режимов.
Pmax= P2 = 4,108 кН
Выбираем двигатель (с вентилятором): 5АФ200МВ6/24НЛБУХЛ4
Характеристики двигателя при работе на большой скорости :
N= 7,5кВт ;
n= 1000 об/мин (синхронная); n= 940 об/мин (номинальная);
МКР = 200-230Нм (номинальный);
МКР = 210-250Нм (максимальный);
ПВ = 40%
JД = 2,10 кг∙м2;
Характеристики двигателя при работе на малой скорости :
N= 1,9кВт ;
n= 250 об/мин (синхронная); n= 220 об/мин (номинальная);
МКР >160Нм (номинальный);
МКР > 160Нм (максимальный);
МКР.ГЕН = 200 – 230 Нм
ПВ = 15%;
JД = 0,60 кг∙м2;
1.5.3 Расчетное обоснование параметров редуктора
Предварительно производиться определение рабочего диаметра КВШ.
мм
E=40 – допустимое значение между диаметром КВШ и канатом.
![]()
Расчет эквивалентный момент на валу КВШ:
, где
; принимаем ![]()
![]()
![]()
;
; ![]()
Выбираем редуктор типа: РЧ 180-45
Uр=36;
![]()
МК = 2250Н∙м (при ПВ = 40%)
Прямой КПД :
- η = 0,6 (пусковой) – 200 об/мин
- η = 0,62 (малой скорости) – 280 об/мин
- η = 0,71 (номинальные обороты) – nН об/мин
Обратный КПД :
- η = 0,45 (пусковой) – 200 об/мин
- η = 0,47 (малой скорости) – 280 об/мин
- η = 0,69 (номинальные обороты) – nН об/мин
Фактическое значение ![]()
![]()
Принимаем ![]()
1.5.4 Расчетное обоснование параметров тормоза
Расчетный тормозной момент

прямой КПД редуктора на номинальных оборотах большой скорости;
коэффициент запаса тормозного момента;
Выбираем тормоз типа МП-201
;
тяговое усилие – 32кг;
ПВ = 100%;
максимальный ход якоря 4мм;
Время отпадания якоря - t= 0,15с;
МТ = 65 Н∙м (при μ = 0,35)
2. Динамический расчёт
Цель динамического расчёта : определить ускорения в переходных режимах разгона и торможения , расчёт точности остановки и определение коэффициента динамичности соотношение натяжения канатов.
Исходные позиции динамического расчета- уравнение движения динамики привода лебедки:
![]()
м;
![]()
расчетная величина ускорения торможения кабины;

![]()

2.2 Расчётная величина момента инерции штурвала ручного привода
![]()
- по данным малой скорости
![]()
![]()
2.3 Расчет геометрических параметров штурвала
![]()
Принимаем диаметр штурвала ![]()
δ-толщина обода штурвала
![]()
– плотность стального (чугунного) листа;

2.4 Расчёт приведённой к ободу КВШ поступательно движущейся массы
режим 1: гружёная кабина внизу , подъём:
![]()
![]()
режим 2: гружёная кабина вверху , подъём:
режим 3:
порожняя кабина внизу спуск:
![]()
![]()
режим 4: порожняя кабина вверху, спуск:
![]()
![]()
режим 5: груженая кабина внизу, подъем:
![]()
![]()
режим 6: груженая кабина вверху, спуск:
режим 7:
порожняя кабина внизу, спуск:
![]()
![]()
режим 8: порожняя кабина вверху, подъем:
![]()
2.5 Расчёт приведённого момента инерции поступательно движущихся частей лифта
![]()
- с 1 по 4 режимы
- с 5 по 8 режимы
![]()
![]()
![]()
![]()
![]()
![]()
![]()
![]()
![]()
![]()
![]()
![]()
![]()
![]()
![]()
![]()
2.6 Расчётный момент инерции системы привода в эксплуатационных режимах
, ![]()
![]()
![]()
![]()
![]()
![]()
![]()
![]()
![]()
![]()
![]()
![]()
![]()
![]()
![]()
![]()
![]()
2.7 Расчетное ускорение кабины в переходных режимах
Ускорение генераторного режима:
, ![]()
![]()
![]()
![]()
![]()
![]()
![]()
![]()
![]()
![]()
![]()
![]()
![]()
![]()
![]()
![]()
![]()
![]()
Ускорение пуска
, ![]()
Приведенный момент внешней нагрузки при пуске:
, ![]()
![]()
![]()
![]()
![]()
![]()
![]()
![]()
![]()
![]()
![]()
![]()
![]()
![]()
![]()
![]()
![]()
Ускорение выбега:
![]()
(с 1 по 4 режимы)
(с 5 по 8 режимы)
![]()
![]()
![]()
![]()
![]()
![]()
![]()
![]()
![]()
![]()
![]()
![]()
![]()
![]()
![]()
![]()
![]()
![]()
![]()
![]()
![]()
![]()
![]()
![]()
![]()
![]()
![]()
![]()
![]()
![]()
![]()
![]()
Расчет ускорений механического торможения.
, м/с2
, Нм (с 1-го по 4-й режим, знак «+»).
, Нм (с 5-го по 8-й режим, знак «-»).
МТ – расчётный тормозной момент.
Нм
м/с2
м/с2
м/с2
м/с2
м/с2
м/с2
м/с2
м/с2
2.8 Расчёт коэффициента динамичности соотношения натяжения канатов подвески кабины и противовеса
, м/с2
amax– наибольшее значение ускорения в каждом из 8 режимов.
, м/с2
, м/с2
, м/с2
, м/с2
, м/с2
, м/с2
, м/с2
, м/с2
2.9 Расчёт точности остановки кабины
Количественной характеристикой точности остановки кабины на этажной площадке является величина отклонения уровня пола кабины от уровня пола этажной площадки, которая определяется полуразностью тормозных путей перемещения гружёной и порожней кабины при движении в одном направлении. По ПУБЭЛ
мм.
Схема к расчёту точности остановки.(Рис.2.7.1)

Рис.
Расчёт величины малой остановочной скорости кабины для 10 расчётных режимов.
, м/с
– синхронная частота вращения ротора на малой скорости.
об/мин
– номинальная частота вращения ротора на малой скорости.
об/мин
– приведённый момент внешних сопротивлений на валу ротора.
– номинальный момент ротора на малой скорости.
Нм
м/с
м/с
м/с
м/с
м/с
м/с
м/с
м/с
Расчёт пути замедления кабины для 8 режимов.
, м
– путь кабины в период выбега.
– путь кабины при механическом торможении.
![]()
, мм
, мм
«+» – при движении кабины вниз.
«–» – при движении кабины вверх.
с, время выбега для тормоза МП-201
м
м
м
м
м
м
м
м
м
м
м
м
м
м
м
м
м
м
м
м
м
м
м
м
Точность остановки кабины на этажной площадке:
м
мм
м
мм
м
мм
м
мм
м
мм
м
мм
м
мм
м
мм
3.Расчётное обоснование величины коэффициента тяговой способности и определение параметров канавки обода КВШ
Цель: обеспечить работу КВШ без проскальзывания при допустимом уровне контактных давлений между канатом и поверхностью канавки КВШ.
3.1 Определение минимальной велечины тяговой способности КВШ
, (для режимов с 1 по 8)
![]()
![]()
![]()
![]()
![]()
![]()
![]()
![]()
3.2 Расчетная величина коэффициента тяговой способности КВШ
![]()
коэффициент запаса тяговой способности КВШ;
канавка полукруглая с подрезом;
канавка клиновая.
3.3 Расчёт приведённого значения коэффициента трения между канатом и ободом КВШ
![]()
– угол обхвата шкива канатом.
![]()
, рад
рад
![]()
3.4 Расчётный коэффициент приведения коэффициента приведения
![]()
– коэффициент трения, который зависит от свойств, взаимодействующих материалов без учёта поверхности.
для режима статических испытаний.
для эксплуатационного режима.
![]()
3.5 Расчёт величины угла подреза профиля канавки КВШ

| δ | 60ْ | 70ْ | 80ْ | 90ْ | 105ْ |
| Kм | 1,63 | 1,74 | 1,88 | 1,35 | 2,40 |

Рис.
Т.к. полученный коэффициент не входит в график, то определяем угол подреза по формуле:
;
;
;
; ![]()
![]()
3.5 Расчёт контактных давлений между канавкой и ободом КВШ
, МПа
– наибольшее натяжение каната подвески кабины и противовеса.
кН
m– число ветвей каната
- допускаемые контактные давления

Z= 240 интенсивно используемый режим


![]()
5,28<6,6 – условие не выполнено.
Табличный коэффициент
до умножаем на 1,25
5,28
1,25=6,6
6,6<6,6 – условие выполнено.
4.Расчет ловителей резкого торможения
Рис.4.1.1. Расчетная схема ловителей.
4.1 Определение максимального ускорения торможения
![]()
где V- номинальная скорость V=0,5 м/c,
=0,185 – для крупного зуба
, при А=45 – 50
![]()
4.2 Определение величины тормозной силы
,
где
-минимальное значение улавливаемой массы, кг
кг;
- масса пассажира ![]()
![]()
4.3 Расчетная тормозная сила и давление, приходящееся на одну колодку ловителей
;
где
- количество ловителей,
угол заострения клина, принимаем ![]()
![]()
![]()
4.4 Расчетная ширина крупного зуба или насечки
;
где
- коэффициент неравномерности нагрузки зубьев;
=0,07
Z- число зубьев на колодке; Z=3-5, для крупного зуба.
допустимое давление на единицу ширины зуба при закалке до твердости 600 НВ
![]()
![]()
4.5 Глубина врезания зуба в поверхность направляющей
![]()
где
предел текучести, ![]()
минимальное ускорение торможения, ![]()
;
где
максимальное значение улавливаемой массы, кг;
![]()
![]()
![]()
4.6 Определение тормозного пути при минимальной и максимальной величине улавливаемой массы
![]()
![]()
Список используемой литературы
1. Лифты. Волков Д.П. М.: АСВ, 1999.
2. Основы расчета и проектирование лифтов. Архангельский Г.Г., Ионов А.А., М.: МИСИ, 1985.
3. Атлас конструкций лифтов. Волков Д.П., Ионов А.А., Чутчиков П.И. М.: АСВ 2003
Похожие рефераты:
Модернизация подвески автомобиля ЗАЗ1102 Таврия
Разработка электропривода лифта
Автоматическая система управления процессом передвижения пассажирского лифта
Расчет устойчивости башенного крана
Проектирование электропривода лифтовой установки
Отчет о практике специальности Разработка и эксплуатация нефтегазовых месторождений
Разработка электропривода лифта для высотного здания
Традиционные и специальные судовые устройства
Механизм подъема с увеличенной высотой перемещения груза (перематывающая лебедка)
Ремонт и обслуживание скважин и оборудования для бурения
Эксплуатационные скважины для освоения месторождений Западной Сибири