| Похожие рефераты | Скачать .docx |
Реферат: Предпринимательство
Предпринимать - затевать, решаться
исполнить какое-либо новое дело,
приступать к совершенью чего-либо
значительного.
В. И. Даль
Введение.
Целью моей работы является определения понятия «Предпринимательство». Исследовать его историю и роль в современном мире, в том числе и в России.
Ведь предпринимательство есть, прежде всего, мыслительный процесс, но поскольку каждый из нас обладает собственным аппаратом, стереотипом мышления, то применительно к этой конкретной сфере деловой активности и успехи у каждого предпринимателя различны. Но уровень успеха не может не отражать уровень мышления, хотя одного этого недостаточно - большую роль играет в этом случай, удача, везение и т. п. Однако случай, удача, везение сопутствуют лишь тому, кто научился и может мыслить. Именно к этому - к попытке помочь каждому индивиду выработать свой собственный стереотип мышления - и сводится основная задача процесса обучения.
Реалии наших дней свидетельствуют, что и в кругах экономической общественности, и среди практиков закрепилось упрощенное толкование экономической сущности предпринимательства, отождествляющее последнее с любым бизнесом. При таком подходе и в разработке законов, и в регулировании предпринимательства едва ли могут быть выбраны правильные ориентиры. Вот почему сегодня так остро стоит проблема теоретического осмысления сущности, организационных форм и принципов предпринимательства применительно к условиям России.
Глава 1 Предпринимательство как особая форма
экономической активности.
1.1История развития теории предпринимательства.
Ни за рубежом, ни у нас еще пока не создана общепринятая экономическая теория предпринимательства, хотя потребность в такой теории давно уже стала весьма насущной. "Три волны" развития теории предпринимательской функции - так условно можно охарактеризовать развитие процесса научного осмысления практики предпринимательства[1] .
"Первая волна", которая возникла еще в XVIII в, была связана с концентрацией внимания на несении предпринимателем риска. Французский экономист шотландского происхождения Р. Кантильон в XVIII в впервые выдвинул положение о риске в качестве основной функциональной характеристики предпринимательства. Согласно Р. Кантильону, предприниматель есть любой индивид, обладающий предвидением и желанием принять на себя риск, устремленный в будущее, чьи действия характеризуются и надеждой получать доход, и готовностью к потерям.
"Вторая волна" в научном осмыслении предпринимательства связана с выделением инновационности как его основной отличительной черты. Основоположником этого направления является один из крупнейших представителей мировой экономической мысли Йозеф Шумпетер. В своих новаторских работах Й. Шумпетер рассматривал предпринимателя как центральный элемент механизма экономического развития. По его мнению, в основе экономического развития лежит особая функция предпринимателя, проявляющаяся в стремлении использовать "новую комбинацию" факторов производства, следствием чего является нововведение, инновация.
И первая, и вторая "волны" развития теории предпринимательской функции были основаны на многофункциональности предпринимательской роли, что вело к излишней односторонности в толковании проблем предпринимательства. Полифункциональная модель предпринимательства связана с появлением "третьей волны" в результате теоретических изысканий Й. Шумпетера, а также неоавстрийской школы экономического анализа, наиболее видными представителями, которой были Л. Мизес и Ф. Хайек.
"Третья волна"отличается сосредоточением внимания на особых личностных качествах предпринимателя и на роли предпринимательства как регулирующего начала в уравновешивающей экономической системе.
Современный этап развития теории предпринимательской функции можно отнести к "четвертой волне", появление которой связывается с переносом акцента на управленческий аспект в анализе действий предпринимателя, а, следовательно - с переходом на междисциплинарный уровень анализа проблем предпринимательства.[2]
Предпринимательство - это особый вид экономической активности, которая основана на самостоятельной инициативе, ответственности и инновационной предпринимательской идее.
1.2Особая форма экономической активности.
Экономическая активность представляет собой форму участия индивида в общественном производстве и способ получения финансовых средств для обеспечения жизнедеятельности его самого и членов его семьи. Такой формой участия индивида в общественном производстве является одна функциональная общественная обязанность или их комбинация, когда он выступает в качестве:
· собственника каких-либо объектов, недвижимости и т. д., приносящих ему постоянный и гарантированный доход;
· наемного работника, продающего свою рабочую силу;
· индивидуального производителя;
· государственного или муниципального служащего;
· менеджера;
· пенсионера;
· учащегося или студента;
· безработного;
· занятого оборонно-охранной деятельностью;
· вовлеченного в экономически преступную деятельность.
Предпринимательство выступает в качестве особого вида экономической активности, ибо его начальный этап связан, как правило, лишь с идеей - результатом мыслительной деятельности, впоследствии принимающей материализованную форму.
Предпринимательство характеризуется обязательным наличием инновационного момента - будь то производство нового предприятия. Новая система управления производством, качеством, внедрение новых методов организации производства или новых технологий - это тоже инновационные моменты.
Основным субъектом предпринимательской активности выступает предприниматель. Однако предприниматель — не единственный субъект, в любом случае он вынужден взаимодействовать с потребителем как основным его контрагентом, а также с государством, которое в различных ситуациях может выступать в качестве помощника или противника. И потребитель и государство также относятся к категории субъектов предпринимательской активности, как и наемный работник (если, конечно, предприниматель работает не в одиночку), и партнеры по бизнесу (если производство не носит изолированного от общественных связей характера) (рис. 1).

Рисунок 1 Субъекты предпринимательской деятельности
1.3Предпринимательская среда.
Осуществление предпринимательской деятельности на эффективном уровне возможно лишь при наличии определенной общественной ситуации - предпринимательской среды, под которой понимается прежде всего рынок, рыночная система отношений, а также личная свобода предпринимателя, т. е. его личная независимость, позволяющая принять такое предпринимательское решение, которое, с его точки зрения, будет наиболее эффективным, действенным и максимально прибыльным. Бытующие еще в некоторой части нашего общества опасения, что предприниматель в таких условиях действует только в своих интересах, беспочвенны и вредны: предприниматель в условиях рынка не может не ориентироваться на потребителя, ибо только от него одного зависит его прибыль, благополучие и перспектива.
Предпринимательская среда - общественная экономическая ситуация, включающая в себя степень экономической свободы, наличие (или возможность появления) предпринимательского корпуса, доминирование рыночного типа экономических связей, возможность формирования предпринимательского капитала и использования необходимых ресурсов. Показателем степени общественной свободы предпринимательства служит число вновь появляющихся самостоятельных предприятий.[3]
Развитие предпринимательства ведет к росту национального богатства и благосостояния нации (но не наоборот). Формирование предпринимательской среды - проблема не только национальная, но и межстрановая. В рамках замкнутых межгосударственных группировок происходит процесс создания единого предпринимательского пространства, т. е. условия для осуществления предпринимательских функций становятся во всех этих странах все более схожими. Весьма актуальной для России остается проблема ее включения в европейское и мировое предпринимательское пространство. Только в случае такого включения может приостановиться процесс "утечки" российского капитала за рубеж.
1.4Экономическая сущность предпринимательства.
При выявлении этой сущности важно опираться на огромный мировой опыт исследования данного феномена. Именно практика направила мировую экономическую мысль на его осмысление, обобщение, на создание экономической теории предпринимательства. Последняя не может, естественно, рассматриваться как статичная система. Экономические реалии второй половины текущего столетия со сложнейшими внутрихозяйственными и межгосударственными отношениями значительно усложнили практику предпринимательства. В его развитии возникли новые закономерности, что требует постоянного углубления и совершенствования соответствующей теории.
В современной отечественной и зарубежной экономической литературе есть немало определений понятия " предпринимательство ". Наиболее удачными представляются те, где оно трактуется как специфический ( по сравнению с землей, капиталом, трудом ) фактор общественного воспроизводства. Его специфика и функции заключаются в том, что субъект предпринимательской деятельности - предприниматель - способен особым образом соединять, комбинировать факторы производства. Предпринимательство как процесс прямо, непосредственно связано с личностными качествами предпринимателя как основного субъекта этих действий.
Анализ зарубежной литературы и первых отечественных работ по теории и практике предпринимательства показывает, что к пониманию его экономической сущности целесообразно идти через характеристику категории " предприниматель ".
Предприниматель, с моей точки зрения, - это субъективный (личностный) фактор воспроизводства, способный на инициативной и инновационной основе, не боясь полной экономической ответственности, идти на риск и особым образом соединять другие факторы производства так, чтобы в перспективе появлялся дополнительный доход.
Движущим мотивом предпринимательской деятельности является прежде всего получение предпринимательского дохода, который идет на развитие этой деятельности и на самообогащение. Здесь речь о чисто экономических мотивах. В литературе нередко отмечают и другой фактор - самоутверждение личности, когда предпринимательство становится не просто деятельностью, а образом жизни.
Какими же качествами должен обладать предприниматель, чтобы успешно выполнять предпринимательские функции, вытекающие из данного выше определения?
Прежде всего среди таких субстанциональных качеств нужно назвать следующие умения (способности):
· принимать нестандартные новаторские решения в стандартных и особенно в неопределенных ситуациях;
· генерировать новые производственные и коммерческие идеи, оценивать их перспективность с точки зрения получения дополнительного дохода;
· оперативно оценивать инновации с позиции их конечной эффективности; оценивать рыночную конъюнктуру с позиции получения дополнительной прибыли;
· рисковать;
· анализировать информацию и делать правильные с позиции рыночной конъюнктуры выводы.
Эти способности предпринимателя реализуются в совокупности основных его практической деятельности. Среди них:
· изучение потребностей покупателей и их платежеспособности;
· определение параметров изделий, вида производства, объемов выпуска товаров, намеченных к производству, рынков сбыта и каналов движения продукции;
· выявление, исходя из намеченной производственной программы необходимых сырьевых ресурсов и рынков, где нужное сырье можно закупить по наиболее низким ценам;
· выбор наиболее совершенной технологической схемы производства и источник ее постоянного обновления;
· организация и управление производством товаров, намеченных к продаже.
Исходя из предложенной характеристики понятия "предприниматель" и из выше приведенного перечня функций, которые он выполняет в ходе своих практических действий, и попытаюсь определить сущность такого экономического явления, как предпринимательство (ибо сущность в практике хозяйственной деятельности проявляется именно через функции, выполняемые субъектом предпринимательской деятельности, т. е. предпринимателем).

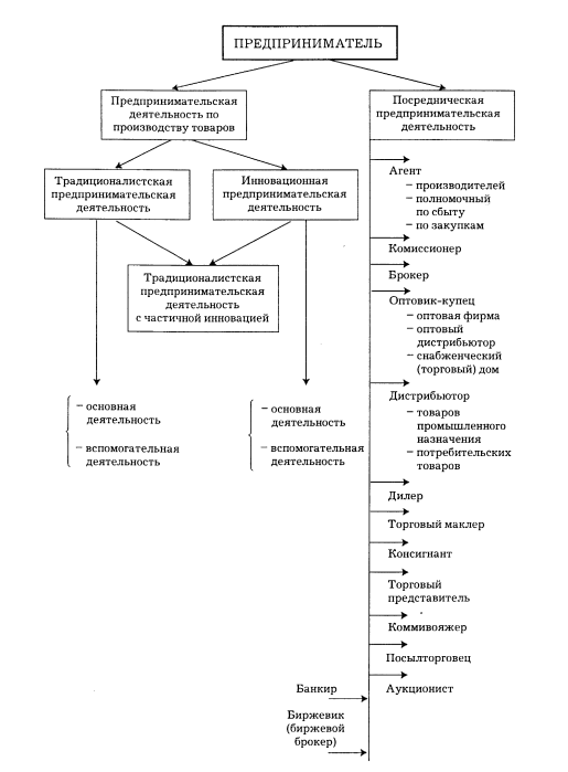
Рисунок 7 Типология предпринимательской деятельности
В современной экономической литературе четкого выделения глубинной сущности предпринимательства нет. В большинстве случаев сущность этого явления подменяется целью предпринимательской деятельности. К сожалению, такой подход господствует ныне и в России. Хуже всего, он закреплен у нас законодательно. В Законе РФ "О предприятиях и предпринимательской деятельности" предпринимательство приравнивается к обычному бизнесу.
Предпринимательство - это особый вид бизнеса. Его целью является получение не прибыли вообще, а сверхприбыли, т. е. предпринимательского дохода[4] .
Иными словами, предпринимательство - это особая инновационная форма производства, которая в соответствующих исторических и социально - экономических условиях становится преобладающей, что и обеспечивает всему общественному воспроизводству необходимую динамику. Страна, которой присущ такой тип воспроизводства, во многом защищена от сбоев и тем более потрясений в хозяйственной сфере; ее общественно - экономический прогресс динамичен и устойчив, перспективы обнадеживающие.
Рассмотрение предпринимательства как особого типа общественного воспроизводства было бы неполным без указания на еще одну его имманентную составляющую. Речь в данном случае идет об организации и управлении всем процессом создания предпринимательского дохода, во многом оригинальных и зачастую даже уникальных. Этот момент органически связан с экономической сущностью предпринимательства и определяет конкретную структуру последнего в каждый данный период времени. Организационно-управленческая компонента предпринимательства включает в себя не только производство, но и фазы обмена и распределения.
Глава 2 Формы предпринимательства.
2.1Многообразие предпринимательских форм
и проблема их эффективного выбора.
Успех предпринимательской деятельности в значительной мере зависит от того, насколько эффективен выбор ее формы, в частности организационно-правовой. В современной России этот вопрос - один из главных для перехода к предпринимательскому типу хозяйствования. Правда, в настоящее время, при многократно критиковавшихся в литературе “командно-административных” методах приватизации, выбор той или иной формы (во всяком случае, организационно-правовой) во многом предопределен соответствующей законодательно-нормативной базой. Однако, во-первых, элементы свободы в рассматриваемом отношении все же имеются, и они сильнее выражены применительно к малым и вновь создаваемым предприятиям (по сравнению с крупными и с приватизированными). Во-вторых, законодательство и иные нормативные акты, вне всякого сомнения, будут совершенствоваться, и раньше или позже проблема выбора формы предпринимательской деятельности полностью останется за самими ее субъектами.
Эффективными для данных места и времени должны быть признаны те формы предпринимательства, которые позволяют максимально результативно использовать наличный производственный аппарат, производственную и социальную инфраструктуру, трудовые, интеллектуальные и природные ресурсы, существующие экономические, прежде всего рыночные, и правовые отношения.
По критерию формы собственности выделяют личные, частные (включая частно-коллективные), государственные, муниципальные и смешанные предприятия. Различают производственный, коммерческий и финансовый виды предпринимательства . По масштабам последнее подразделяют на малое, среднее и крупное (корпоративное); по ареалу (широте территориального охвата ) - на местное, региональное, общегосударственное и межгосударственное; по отраслевой направленности - на промышленное, аграрное, строительное, транспортное, торговое и т. д.
Особый вопрос - организационно-правовые параметры предпринимательства. До недавнего времени в перечень его организационно-правовых форм большинство авторов включали индивидуально-частные, кооперативные и арендные предприятия, акционерные общества, товарищества и др. По Гражданскому кодексу РФ к числу таких форм относятся: 1) хозяйственные товарищества (полные, коммандитные и с ограниченной ответственностью) и общества (АО открытого и закрытого типа); 2) производственные кооперативы; 3) государственные и муниципальные унитарные предприятия; 4) некоммерческие организации.
На выбор формы хозяйственной деятельности влияют размеры капитала, мера готовности предпринимателя брать на себя ответственность (в полной мере или частично) за результаты своей деятельности. Большое влияние здесь оказывают и такие факторы, как размах предполагаемой деятельности, ее виды, а также отраслевая и функциональная направленность, общеэкономическая ситуация в стране и в данном регионе, социальная и политическая обстановка в государстве. Все это должно быть учтено и просчитано при составлении бизнес-плана - документа, без которого нельзя начинать дело. Именно в бизнес-плане надлежит проанализировать всю совокупность факторов, способных оказывать хоть какое-то воздействие на предпринимательскую деятельность и ее эффективность, связанную с нацеленностью на максимум предпринимательского дохода с единицы капитала. Только комплексный учет всей этой совокупности дает ответ на вопрос, какая из организационно-правовых форм может обеспечить такой максимум.
Вопрос о прибыли часто бывает решающим при определении степени ответственности, возлагаемой на себя предпринимателем. Когда создается частноиндивидуальное предприятие предпринимательского типа, его владелец при результативной работе получает весь доход лично: соответственно, при неудаче, а тем более банкротстве, он рискует всем своим капиталом. При образовании же товарищества или акционерного общества, инициатор появления нового предприятия вынужден делить доход с другими собственниками. Но в этом случае и ответственность за неудачу, и банкротство делится в зависимости от доли вложенного капитала. Все это также играет большую роль в выборе формы предпринимательской деятельности.
Предпринимательские преимущества акционерных обществ открытого типа (как подлинно акционерных обществ, акции которых свободно продаются и покупаются на фондовом рынке) - инвестиционные, инновационные, организационно-управленческие, связанные с модернизацией, диверсификацией и структурной перестройкой производства, и т. п., - подробно описаны в литературе и хорошо известны. Но можно ли эту форму абсолютизировать? Думается, нет, особенно если речь идет о приватизации не крупных, а средних российских предприятий, которые в отличие от первых во многих случаях находятся на сравнительно высоком технико-технологическом уровне, располагают относительно малоизношенными производственными фондами и имеют достаточно средств для осуществления инновационного расширенного воспроизводства. В этих случаях (принимая во внимание и опасность поглощения подобных предприятий “сомнительным” отечественным или иностранным капиталом) целесообразным представляется создавать акционерные общества закрытого типа.
Глава 3 Предпринимательство в России
3.1 История развития предпринимательства в России
Предпринимательство в России родилось давно и прошло долгий и трудный путь. Его зачатки можно найти уже во времена Рюрика, хотя тогда, как известно, господствовало натуральное хозяйство. Зачинателями предпринимательской деятельности были российские купцы. Основываясь на своей инициативе и интуиции, на свой страх и риск они налаживали торговые отношения с Византией, Закавказьем, Средней Азией, Прибалтикой, Ближним Востоком, Африкой, Европой.
В XV в. формируются торговые центры, купеческие объединения. Предпринимательство из внешнеэкономической сферы постепенно переносится на российскую почву и начинает внедряться в хозяйственные внутренние отношения.
Переломным моментом в становлении предпринимательства в России считается начало XIX в. Если в XVIII в. развитие предпринимательства инициировали государственные заказы, то в XIX в. появились первые признаки свободы. Александр I издал указ о вольных хлебопашцах, разрешавший помещикам отпускать крестьян на волю с землей за выкуп. В Петербурге был открыт первый коммерческий банк с отделениями в шести городах России. Начали активно создаваться объединения предпринимателей, которые участвовали в подготовке проектов законов по хозяйственной политике и в пропаганде технических новаций, давали консультации и советы по различным аспектам бизнеса и предпринимательства.
Мощным стимулом к его развитию стала отмена крепостного права. Деловые люди получили возможность более свободно заниматься предпринимательской деятельностью. На этот же период времени приходится величайшее событие - промышленный переворот. К 1888 г. в России стали активно возникать акционерные общества, начинается реконструкция тяжелой промышленности с привлечением и иностранного капитала. Возникают кредитные коммерческие банки, расширяется и совершенствуется вся система кредитования.
В 1870 г. состоялся. Первый всероссийский торгово-промышленный съезд, на котором было сформулировано: "Ныне свобода труда, свобода промышленности сделались девизом современного промышленного прогресса". В 1886 г. был принят закон, регламентировавший отношения между предпринимателями и рабочими, причем он отвечал всем требованиям международного права. Россия того времени вплотную подошла к интенсивному развертыванию системы свободного предпринимательства.
В 90-е годы XIX столетия сложилась достаточно мощная индустриальная база предпринимательства. В результате реформы С. Ю. Витте российский рубль стал конвертируемым, в России усилился приток иностранного капитала. Иностранцы предоставляли российским предпринимателям кредиты под гарантии российского правительства.
В начала XX в. в России создаются новые для нее объединения: картели, синдикаты, тресты, концерны, финансово-промышленные группы. В первом десятилетии текущего столетия предпринимательство в России становится массовым явлением, а к 1914 г. вступает в стадию устойчивого развития. Однако это развитие было прервано сначала первой мировой войной, затем гражданской войной и "военным коммунизмом".
В годы нэпа свободное предпринимательство вновь стало возрождаться. На долю частного сектора в те годы приходилась ¼ промышленного производства и ¾ розничной торговли. В дальнейшем, с 1929 г., свободное предпринимательство было свернуто и объявлено нелегитимным, произошло полное огосударствление экономики. Ситуация начала принципиально меняться лишь со второй половины 80-х годов и особенно после 1991 г. Ныне постепенно создаются необходимые правовая, идеологическая, нравственная основы для возрождения предпринимательской деятельности. Однако должной экономической базы для этого пока нет.
Сегодня процессы воссоздания предпринимательства идут в условиях тяжелейшего экономического и инвестиционного кризисов, при деградации материального производства, при отсутствии качественного законодательства, при постоянном риске, при дезиндустриализации производства, дефиците капитала и отсутствии "критической массы" цивилизованных рыночных субъектов.[5]
И тем не менее первые ростки предпринимательской деятельности уже налицо. Правда, всходы эти появились в торговле и посреднической деятельности, где основным источником предпринимательского дохода является разница в ценах при покупке и продаже товаров, ценных бумаг. Возродить же российскую экономику может лишь промышленное инновационное предпринимательство. Государство должно стимулировать его восстановление налоговой и кредитной политикой, правовым обеспечением, всеми другими доступными мерами.
Экономическая наука обязана помочь этому процессу своевременными научными рекомендациями по организации и управлению предпринимательской деятельностью, по подготовке высококвалифицированных кадров предпринимателей
3.2Современное состояние предпринимательства в РФ.
Начиная с конца 80-х годов сначала в СССР, затем и в России происходило бурный развитие предпринимательства. Предпринимательство - это такой тип деятельности, который имеет следующие признаки:
- основной мотив этой деятельности
- получение прибыли;
- свобода и автономность принятия решений предпринимателем;
- самостоятельность, выражающаяся в личном риске и ответственности предпринимателя.
Предприниматель - это лицо, занимающееся предпринимательской деятельностью. Предприниматели входят в особый слой общества - бизнес-слой. Формирование этого общества происходит вместе с развитием предпринимательства.
Бизнес-слой - общее понятие,объединяющее всех россиян,
в той или иной степени занятых в бизнесе, начиная с классических предпринимателей и кончая наемными работниками, в свободное время тоже пытающиеся "делать деньги". Этот слой охватывает всю совокупность субъектов производительной, коммерческой и финансовой деятельности, осуществляемой на базе автономно принимаемых решений и с целью получения прибыли.
Этот слой далеко не однороден по составу. В нем можно выделить несколько основных бизнес-групп:
- предприниматели - частные собственники преимущественно мелких предприятий и фирм, лично управляющие последними, не совмещающие эту деятельность с работой по найму;
- самозанятые - лица, занятые мельчайшим предпринимательством на базе индивидуальной трудовой деятельности с помощью собственных средств производства;
- бизнесмены-менеджеры - наеиные директора мелких и средних предприятий, главным образом акционированного и частного секторов экономики, совмещающие управленческую работу по найму с ведением собственного бизнеса;
- полупредприниматели - наемные работники, в основном акционированного и частного секторов экономики, не выполняющие управленческих функций и совмещающие основную работу с теми или иными видами предпринимательства;
- менеджеры-совладельцы - хозяйственные руководители мелких и средних акционированных предприятий, работающие по найму, но вместе с тем располагающие пакетами акций управляемых предприятий;
- "классические" менеджеры - хозяйственные руководители, управляющие государственными или частными предприятиями на основе найма.
Небольшое число предпринимателей в общей структуре бизнес-слоя (11%) объясняется тем, что для многих представителей бизнес-слоя сохранение должности (рабочего места) играет защитно-вспомогательную роль - одним она служит социальным прикрытием, другим - способом накопления трудового стажа, третьим - страховкой на случай банкротства, чествертым - источником дефицитных ресурсов, деловых связей и льгот.
Бизнес-слой можно также дифференцировать по показателям
доходов различных бизнес-групп. Он делится на три ступени:
1 - Предприниматели, бизнесмены-менеджеры и самозанятые.
Доходы предпринимателей превашают средний уровень доходов основных бизнесменов почти в 2 раза, а "работников вне бизнеса" - почти в 5 раз.
2 - Полупредприниматели и менеджеры-совладельцы. Доходы
этой группы в 2 раза ниже доходов 1-й группы и в 2 раза выше заработков "работников вне бизнеса".
3 - "Классические" менеджеры. их заработок всего на 40 %
выше зарплаты работников исполнительного труда, что вряд ли компенсирует разницу в уровнях образования, квалификации и ответственности труда тех и других.
Из этого можно сделать вывод, что никакой вид труда по найму, включая самый квалифицированный и управленческий, не обеспечивает доходов, сравнимых с простейшим предпринимательством.
Проанализируем важнейшую часть бизнес-слоя России - предпринимателей .
Если рассмотреть их возрастные рамки, то можно выделить следующие закономерности:
- Крупные предприниматели: 40% из них стали предпринимателями в возрасте 31 до 40 лет, 18% - от 41 до 45 .
- Мелкие и средние прелприниматели: около 30% из них стали предпринимателями не старше 30 лет , 30-40% - от 30 до 40 лет и около 30% - старше 40 лет.
В мире бизнес всегда был преимущественно мужским занятием. В России доля мужчин-предпринимателей достигает 83 %.
Самой же характерной чертой, отличающей российский предпринимателей - это их уровень образования. По данным различных опросов доля лиц с высшим образованием среди предпринимателей превышает 80%. Среди крупных предпринимателей доля лиц с кандидатской степенью почти 38% , имеющих второе высшее - 6,5%. опросов. Если сопоставить эти данные с уровнем образования предпринимателей в других странах, то оказывается, что российский предприниматель самый интеллектуальный предприниматель в мире.
Сейчас в России преобладает мнение, что главными качествами предпринимателя являются инициативность, находчивость, энергичность и хорошие организаторские способности. Профессионализм отступил на второй план. На мой взгляд, это неправильно, так как дальнейшее развитие предпринимательства в России возможно только при наличии высокообразованных и профессиональных людей. Только профессионал может правильно оценить состояние рынка и сделать правильные выводы. В связи с этим встает проблема повышения доли специалистов, получивших именно экономическое высшее образование.
Развитие предпринимательства в России происходит в достаточно неблагоприятных для формирования слоя цивилизованных бизнесменов условиях. На них давит гнет налогов и рэкета, своеобразного вида налога. Но, несмотря ни на что, российские предприниматели постепенно завоевывают твердые позиции на мировой арене, и наверняка через какой-то промежуток времени они будут лидировать, так как по своим качествам они не только не отстают, но и во многом опережают западных коллег.
3.3.Предпринимательский потенциал России.
Характер предпринимательского потенциала России обусловлен переходным состоянием российской экономики. С одной стороны, Россия продемонстрировала способность к быстрому формированию предпринимательской инфраструктуры и самого класса предпринимателей, тем более что сами эти понятия на протяжении многих предшествовавших десятилетий воспринимались исключительно негативно. С конца 80-х гг. в стране образовались тысячи рыночных институтов, возникли миллионы собственников.
С другой стороны, многие рыночные структуры делают лишь первые шаги, например рынок ценных бумаг (фондовый рынок). Остается весьма заметной доля государства, как в национальном богатстве, так и в собственности акционированных и частично приватизированных предприятий. Есть все основания полагать, что в силу многих исторических и культурных традиций Россия сохранит значительный государственный сектор и в будущем. Весьма велика, будет и роль государственного регулирования в экономике. При этом одной из характерных черт переходной экономики России является тесное переплетение частного и государственного капитала, заметная роль государственного аппарата, а значит, и государственного предпринимательства. Одновременно с этим сохраняется сильная зависимость частных предпринимателей (как сохранивших свои позиции прежних директоров приватизированных государственных предприятий, так и новых менеджеров, возглавивших вновь созданные коммерческие структуры) от органов государственного управления и их многочисленных чиновников, имеющих огромные возможности для контроля за деятельностью частного бизнеса, его разрешения или запрещения, часто небескорыстно.
Нельзя не отметить специфику состава формирующегося российского предпринимательского класса. Согласно проведенным исследованиям, 61% российской бизнес элиты являются выходцами из прежней советской номенклатуры (партийной, комсомольской, хозяйственной) со всеми присущими ей традициями клановой закрытости, специфической моралью и привычкой функционировать в контролируемой государством высокомонополизированной экономике. Часть этих кадров сумела адаптироваться к требованиям рынка, успешно осваивает новые знания и стиль поведения, другая продолжает руководить предприятиями и фирмами во многом по старинке, полагаясь главным образом на личные связи и покровительство государственных чиновников.
Довольно пестрым является и «не номенклатурный» сегмент российского предпринимательства: здесь и рядовые граждане, прежде всего молодежь, активно работающая в бизнесе (в основном в мелкорозничной и «челночной» торговле, не требующей значительного первоначального капитала, в посреднических услугах), и высококвалифицированные специалисты, открывающие консультативные фирмы, например, в области управления, программного обеспечения. Расширяется малый бизнес в сфере ремонта, строительства и технического обслуживания. К сожалению, немалая часть нового предпринимательства вышла из прежнего «теневого» бизнеса и находится под прямым контролем криминальных структур. Криминальные структуры втягивают в свою орбиту и вполне «чистый» бизнес, облагая его всевозможными поборами. Рэкет стал почти неотъемлемой частью российского предпринимательства 90-х гг.[6]
Таким образом, исходные рубежи для формирования российского предпринимательского класса являются далеко не самыми благоприятными. Потребуется немало лет и усилий для выращивания не только умелых и опытных, но и «цивилизованных» предпринимателей. Пожалуй, одним из ключевых факторов, наряду с продолжением либеральных экономических реформ, является система образования, способная дать нынешним и будущим российским предпринимателям не только современные управленческие знания, но и привить определенную систему моральных ценностей, выработать новую предпринимательскую этику, широко распространившуюся в развитых странах. Учитывая весьма высокий образовательный и квалификационный уровень российских трудовых ресурсов, развитую систему образования, возможности для этого имеются.
Другой ключевой фактор — осознание предпринимателями своей социальной ответственности. В такой стране, как Россия, где чувство социальной справедливости обострено, а от руководителя ожидают решения социальных проблем его подчиненных, предприниматели могут стать потенциально более важным элементом общественно-политической жизни, чем в некоторых странах с развитой рыночной экономикой.
Еще одна важная задача — перевести большинство старых российских предприятий (фирм) на рельсы рыночной экономики за счет учета воздействия рынка не только на его внешние условия хозяйствования, но и на внутренние, т. е. перестроить отношения в рамках компаний, внедрить современную систему управления, расширить экономическую демократию. Чрезвычайно важной представляется также задача формирования на приватизированных и акционированных предприятиях новой культуры отношений между работниками, многие из которых стали одновременно и собственниками, и управляющими, осознания акционерами своих прав и обязанностей.
В этой связи чрезвычайно важны роль и усилия государства, а также других общественных институтов (образования, средств массовой информации и др.), направленные на формирование цивилизованного класса предпринимателей в нашей стране, законодательное и организационное обеспечение этого процесса.
Заключение.
В заключении хотелось бы сказать следующее.
Предпринимательство выступает в качестве особого вида экономической деятельности, ибо его начальный этап связан, как правило, лишь с идеей – результатом мыслительной деятельности, впоследствии принимающей материализованную форму.
Предпринимательство характеризуется обязательным наличием инновационного момента – будь то производство нового товара, смена прфиля деятельности или основания нового предприятия. Новая система управления производством, качеством, внедрение новых методов организации производства или новых технологий – это тоже инновационный момент.
Основным субъектом предпринимательской деятельности выступает предприниматель. Однако предприниматель не единственный субъект, в любом случае он вынужден взаимодействовать с потребителем как основным его контрагентом (- лицо или учреждение, берущее на себя определенные обязательства по договору), а также с государством, которое в различных ситуациях может выступать в качестве помощника или противника.
В современных условиях хозяйствования каждый предприниматель функционирует в условиях достаточно глубокой специализации производства, возникшей на основе разделения труда.
Любой предприниматель нуждается в эффективных партнерским связях: только в таком случае он может эффективно действовать в рамках того или иного фрагмента целостного производственного процесса. Идеальной является ситуация, когда все предприниматели образуют относительно изолированную от общего экономического процесса цепочку партнерских связей.
В условиях рынка от предпринимателя требуется умение – и даже предрасположенность – действовать в союзе с другими предпринимателями и вести постоянный поиск наиболее эффективных партнерских связей, в ходе которых предприниматель осуществляет переориентацию своей деятельности.
Целью предпринимательской активности является производство и предложение рынку такого товара, на который имеется спрос и который приносит предпринимательскую прибыль.
Однако получение прибыли свойственно не только предпринимательству, но и любой другой форме деловой активности. Важно обратить в этой связи внимание на выделение такой экономической категории, как предпринимательская прибыль, или предпринимательский доход, под котором понимается прежде всего дополнительный доход, доход от управления, излишек, получаемый предпринимателем благодаря его природным качествам или особому умению анализировать и по-новому комбинировать факторы производства в зависимости от внешних условий.
Всякий предприниматель, таким образом, выступает в качестве делового человека, но не всякий деловой человек может быть отнесен к категории предпринимательства, если речь идет о действительном феномене предпринимательства.
Список литературы:
1. Агеев А. И. Предпринимательство: проблемы собственности и культуры. -М., 1991. Введение и гл. 1, с. -15.
2. Борисов Е.Ф. Основы экономики. Москва: «Юристъ», 1999г.
3. Баликоев В.З. Общая экономическая теория. – Новосибирск: 1999г.
Бусыгин Л. Предпринимательство: Основной курс. - Москва. 1997.
4. Гусейнов Р. История экономики России. – Москва, 1999г.
5. Грузинов В., Грибов В. Предпринимательские формы и методы организации предпринимательской деятельности // Экономика предприятия. – Моск
6. К. Р. Макконнелл, С. Л. Брю, Экономикс издательство "Инфра - М", 2000.
ва. 1996.
7. Курс экономики: Учебник 2-е издание дополненное/Под ред. Б.А. Райзберга.-М.:Инфра-М,1999.-716с.
8. Курс экономической теории: общие основы экономической теории. Микро экономика, макроэкономика, переходная экономика: Учебное пособие/Руководитель авторского коллектива и научный редактор профессор
9. А.В.Свиридович - М.: МГУ им. М.В.Ломоносова. Издательство ДИС, 1997.-736с.
10. Курс экономической теории: Учебник/Под ред. проф. М.Н.Чепурина и проф. Е.А. Киселёвой
Азимов Камил Азимович 4 ФМ
Саратовский филлиал РГТЭУ
[1] 1
[2] 1
[3] 3
[4] 8
[5] 4
[6] 7
Похожие рефераты:
Программа развития и поддержки малого предпринимательства в Новгородской области в конце 90-х годов
Развитие инфраструктуры малого бизнеса
Виды предприятий и предпринимательства
Сущность предпринимательства и прибыль
Основы общей экономической теории
Экономическая наука и общество
Предпринимательство и его виды
Национальная экономика: результаты и их измерение
Билеты и ответы по туризму и экскурсиям
Формирование делового кредо в системе организационной культуры предприятия
Коррупция в нефтедобывающих странах