| Похожие рефераты | Скачать .zip |
Реферат: Совершенствование валютных операций Проминвестбанка
ВВЕДЕНИЕ
В период становления банковской системы и вступления Украины в мировое сообщество, особое значение имеет развитие и совершенствование валютных операций коммерческих банков так как, именно благодаря их развитому спектру возможны наиболее продуктивные контакты со странами с развитой рыночной экономикой, что в свою очередь благоприятно влияет на оздоровление экономической ситуации в стране.
Исходя из актуальности темы целью данной дипломной работы является - анализ проведения валютных операций современным коммерческим банком и на базе выявленных закономерностей предложить комплекс мероприятий по совершенствованию существующих и внедрению новых валютных операций.
Для достижения поставленной цели необходимо расчленить на составляющие анализируемые операции, качественно и количественно определить объективные и субъективные факторы оказавшие влияние на изменение доходности, и в заключении установить основные направления выхода для достижения оптимальной доходности от проведения валютных операций коммерческим банком.
Для достижения указанной выше цели решим следующие задачи:
- всесторонне изучим и приведем теоретические аспекты проведения валютных операций коммерческим банком на современном этапе;
- приведем современную систему методик, дающую оценку эффективности проведения валютных операций;
- дадим оценку и проведем общий анализ структуры валютных операций коммерческого банка;
- проведем факторный анализ процентных доходов от проведения валютных операций;
- проведем анализ непроцентных доходов от проведения валютных операций;
- проведем анализ процентных расходов от проведения валютных операций;
- проведем анализ непроцентных расходов от проведения валютных операций;
- проведем анализ эффективности проведения валютных операций, как результат разумного управления деятельностью коммерческого банка;
- выявим упущенную выгоду;
- предложим комплекс мероприятий по совершенствованию существующих и внедрению новых валютных операций;
- экономически обоснуем эффективность использования предложенных мероприятий в плане оценки проектной прибыли от их внедрения;
- приведем в приложениях к дипломной работе необходимые документы, сопровождающие проведение валютных операций.
Для решения поставленной задачи предварительно изучив теоретические аспекты и проанализировав в первом разделе проведение валютных операций коммерческим банком, во втором разделе на базе выявленных закономерностей предложим комплекс мероприятий по повышению доходности валютных операций и в третьем разделе рассчитаем экономическую эффективность предложенных мероприятий.
1. Анализ существующего положения банка.
Анализ валютных операций коммерческого банка проводится на основе работы валютного отдела александрийского отделения Проминвестбанка Украины (далее ПИБ).
Общие сведения о ПИБ.
Банк занимает первое место в банковской системе Украины. Он самый большой по капиталу и по надежности.
В течение 90-х годов руководство банка проводило стратегию качественного роста. Это воплотилось в политике уменьшения кредитных и операционных рисков, повышении ликвидности, финансовой поддержке ключевых секторов экономики, высококачественного обслуживания клиентуры банка.
Верность избранной дороги подтвердила жизнь. Эти годы были очень сложными для всей экономики страны и в особенности для финансово - банковской системы. По данным НБУ капитал банковской системы Украины только за 1998 год в результате финансового кризиса обесценился почти на 1 млрд. дол. США. Фактически заблокированной оказалась система расчетов украинских предприятий с российскими контрагентами. В то время, когда много банков оказались в бедственном финансовом состоянии, а немало банков обанкротилось, перегрузив инвестиционный портфель облигациями внутреннего государственного займа и безнадежными межбанковскими кредитами, Проминвестбанку удалось избежать многих таких неудач.
Ориентация в своей кредитно-инвестиционной политике на национальных товаропроизводителей, отказ от рискованных финансовых операций дали возможность уменьшить отрицательное влияние на банк кризисных явлений.
Этому оказывала содействие и более взвешенная, чем у других банков, структурная политика. На начало 2001 года удельный вес наиболее надежных и доходных вложений - кредитов субъектам хозяйствования - в валюте баланса составил 65%, високоликвидные средства достигли 11,8% активов, обязательства почти наполовину были обеспечены собственным капиталом банка. Все эти показатели значительно лучшы, чем по банковской системе в целом.
Проминвестбанк был фактически единым банковским Институтом Украины, который обеспечивал проведение расчетов своих клиентов с их российскими партнерами. Это является следствием того, что еще 8 лет тому назад по инициативе Проминвестбанка был создан общий украинско-российский банк - Кредитимпексбанк, который выдержал российский кризис и вошел в сотню самых больших банков России. Две трети торгового оборота между Украиной и Россией осуществляется через этот банк. Несмотря на установленные НБУ осенью 1998 года ограничения на кредитные операции, на операции с иностранной валютой, повышение норм резервирования, банк обеспечивает качественное кредитно-расчетное обслуживание клиентов.
В 2000 году Проминвестбанк сохранил лидирующие позиции в финансово - банковской системе Украины. По состоянию на 01.01.2001 года собственный капитал банка составил 888 млн.грн. или 16% собственного капитала всей банковской системы Украины, предоставлено кредитов свыше 4655 млн.грн., кредитный портфель равнялся 1420,2 млн.грн., что адекватно 16% кредитного портфелю всех коммерческих банков страны. В центре внимания банка были приоритетные области экономики Украины: самолетостроение, судостроение, металлургия, которые составили самую большую часть кредитного портфеля банка. Чистые доходы банка в 2000 году превысили 860 млн.грн. Расширилась материально-техническая база.
Значительное внимание было уделено развитию банковских услуг. Сумма доходов, полученных от предоставления банковских услуг, возросла в сравнении с 1997 годом на 69 млн.грн., что позволило поднять их удельный вес в общей массе доходов банка до 26%. А это, вместе с наибольшим среди банков Украины уставным фондом, весомая основа высокой надежности и платежеспособности банка. По результатам опрашивания, проведенного известной газетой "Бизнес", большинство читателей признали Проминвестбанк самым лучшим банком Украины по результатам работы за 1998 год. Подтверждением этого является высокое доверие к банку со стороны клиентов. Состоянием на 01.01.01 2,1 млн. граждан доверели свои сбережения банку на общую сумму 526,4 млн.грн. Постоянно расширялся спектр банковских услуг: устанавливались банкоматы и реализовывались зарплаты проекты, осуществлялась инкассация, предоставляли услуги вечерние кассы, проводились операции с векселями и сберегательными сертификатами банка.
В 1998 году банк перешел на международные стандарты бухгалтерского учета, был высоко оценен по результатам аудита заграничной аудиторской компанией. Повысился положительный имидж банка на международной арене, прежде всего, благодаря своевременному выполнению своих обязательств и ведущему участию в Украино-Российско-Беларуском банковском консорциуме. Банк является членом международных платежных систем VISA, EUROPAY MASTERCARD INTERNATIONAL, SWIFT И REUTER.
Быстрое и качественное обслуживание клиентов обеспечивают 16,8 тысяч специалистов банка, 95,5% с которых имеют высшее и среднее специальное образование. Банк имеет свой учебный центр - Киевский институт банковского дела. За счет собственных средств банк готовит свыше 700 специалистов банковского дела.
Проминвестбанк Украины - активный участник благотворительных мероприятий и общественных весомых проектов. Банк предоставил реальную помощь в восстановлении Михайловского собора. Проминвестбанк является генеральным спонсором футбольного клуба "Динамо", который победителем группового турнира вошел в четверть финал Лиги чемпионов.
Проминвестбанк Украины - самый большой коммерческий акционерный банк Украины. Универсальный, имеет лицензию №1 Национального банка Украины на осуществление банковских операций. Финансирует ключевые области экономики страны, обслуживает больше 108 тыс. юридических лиц, 2,142 млн. физических лиц.
В отчетном году Проминвестбанк Украины остался самым большим плательщиком налогов среди всех коммерческих банков страны. Было уплачено налогов на общую сумму 124 млн.грн., в том числе 58,5 млн.грн. налога на доход.
Банком сформирована солидная клиентская база. На конец года филиалы обслуживали 108 тыс. юридических лиц и 2142 тыс. физических лиц, которые открыли 2680 тыс. счетов. Юридические лица - это ведущие предприятия металлургической, угольной промышленности, электроэнергетики, машиностроения и металлообработки, строительства, других областей народного хозяйства Украины. В банке успешно обслуживались клиенты всех форм собственности.
При дальнейшей активизации работы по постоянными клиентами, которые давно сделали свой выбор в пользу Проминвестбанка, в 2000 году свыше 9,8 тысяч клиентов перешли на обслуживание с других банков или впервые открыли счета в банка. Среди новых клиентов - предприятия государственных и предпринимательских структур, общественных организаций и учреждений.
Определяющим в работе банка с клиентами является взвешенная экономическая политика, направленная на защиту интересов клиентов, ведение банковского дела на уровне современных требований, своевременное предоставление и расширение спектра банковских услуг.
На протяжении года клиенты в особенности были заинтересованные в расширении следующих банковских продуктов: эмиссия и эквайринг карточек VISA, операции с векселями, сберегательными сертификатами, дорожными чеками, внедрении вкладов "праздничный", "выигрышный", "пенсионный".
Приобрела распространение система "Голосовая служба", "Клиент банка - Банк", отдаленного рабочего места операциониста, цифровых каналов связи.
С помощью систем международных платежей SWIFT и REUTERS банк проводил прямые платежи клиентов с 92 финансовыми учреждениями 29 стран мира.
Стратегия банка относительно компъютеризации дала возможность обеспечить быстрое и качественное проведение расчетов между филиалами банка, другими банками, в том числе иностранными.
Созданный с участием банка Международный банковский консорциум успешно сотрудничает на межгосударственном уровне Украины, России, Беларуси. Его деятельность охватывает 7,5 тыс, предприятий Украины, которые представляют ключевые сферы экономики.
К услугам клиентов банка - учрежденное в 1998 году новое издание газеты "Горизонт ПИБ", на страницах которой освещаются проблемы денежной, кредитной, налоговой политики, предоставляются консультации, репрезентуются клиенты банка.
Банк смотрит уверенно в будущее, создавая условия для комплексного обслуживания своих клиентов, роста их экономического могущества.
В 1998 году банк продолжал успешно осуществлять кредитную политику по поддержке национального товаропроизводителя. Учреждениями банка предоставлена кредитная поддержка за год в всех видах валют на 3655,1 млн.грн,, что на 4 процента больше, чем в 1997 году.
Задолженность на конец года по всем заемщиками банка составляла 1420,2 млн.грн. Кредиты на производственные нужды составили 49% всего объема кредитования, на экспортно-импортные операции - 38%, на внутренне-торговые операции --12%, по учтеным векселям - 1%. В структуре предоставленных кредитов традиционно преобладают кредиты предприятиям промышленности - 969,6 млн.грн. (68,2%і), из них по базовым отраслям: машиностроению - 413,9 млн.грн. (42,7%), металургии-280,1 млн.грн. (28,9%), угольной-44,2 млн.грн. (4,6%), топливной-59,9 млн.грн. (6,2%). При кредитовании предприятий ведущих отраслей экономики Украины, банк учитывал экспортный потенциал отрасли вместе с наличием обеспеченного контрактами рынка сбыта продукции. Банк предоставлял кредиты наиболее успешно работающим предприятиям всех форм собственности со стабильными рынками сбыта, доминирующей частью экспорта в объеме реализации продукции. Среди них флагманы украинской Индустрии: ВАТТ "Мариупольський меткомбинат им.Ильича", комбинат "Криворожсталь", ВАТТ "Алчевский металлургический комбинат", ВАТТ "Днепровский металлургический комбинат им. Дзержинского", ВАТТ "Авдеевский коксохимический завод", ВАТТ "Запорожтрансформатор" и много других. Благодаря кредитной поддержке банка, на тысячах предприятий государства обеспечивались рабочие места, возрастал экспортный потенциал страны, наполнялся бюджет, внебюджетные фонды.
Для обеспечения кредитной деятельности банк проводил постоянную работу по увеличению ресурсной базы. За 1998 год общий объем кредитных ресурсов увеличился на 94,8 млн.грн.
Проминвестбанк Украины имеет достаточно высокий уровень платежеспособности и обеспечивает своевременность расчетов клиентов. Весомый капитал банка гарантирует вкладчикам сохранение их средств и свидетельствует о надежности банка. В продолжение последних десяти лет банк соблюдал выполнение экономических нормативов, установленных Национальным банком Украины.
Валютные операции и АКБ ПИБ.
1.3. Анализ финансового состояния банка.
Выводы по разделу
В данном разделе предложены мероприятия, позволяющие улучшить депозитную политику Банка. Разработка путей улучшения депозитной политики Банка осуществлялась на основе следующих принципов: приоритетность ликвидности над доходностью, содействие экономическому развитию корпоративных и улучшения благосостояния индивидуальных клиентов на основе взаимовыгодного партнерства, диверсификация депозитных услуг по наиболее перспективным сегментам финансового рынка.
Пути улучшения депозитной политики Банка направлены на увеличение объемов привлеченных средств, что позволит Банку получить дополнительную прибыль, разместив эти средства в доходные активы. Большое внимание уделяется повышению устойчивости депозитного портфеля в случае возникновения кризисных ситуаций в экономике Украины. Одним из направлений усовершенствования депозитной политики является стабилизация депозитного портфеля на уровне оптимального объема. Оптимизация депозитного портфеля по валютам произведена с применением экономико-математических методов, в частности теории игр. Уделено внимание развитию депозитных услуг целевого назначения, а также операций, связанных с получением комиссионного дохода. Следует учесть, что многие мероприятия помимо экономического приносят еше и значительный социальный эффект.
Выполнение предложенных мероприятий позволит не только сохранить клиентскую базу, но и значительно ее расширить, увеличить объем привлеченных средств, улучшить структуру депозитного портфеля с точки зрения его стоимости и ликвидности, выйти на новый качественный уровень обслуживания и обеспечить Банку лидирующие позиции на рынке депозитных услуг в Украине.
Выводы по разделу
Анализ предложенных мероприятий по усовершенствованию депозитной политики говорит об их высокой эффективности. Внедрение каждого в отдельности мероприятия принесет Банку положительный результат, будь-то повышение прибыли или увеличение количества клиентов. Однако интерес представляет эффективность внедрения программы всех предложенных мероприятий в целом. Внедрение программы мероприятий позволит получить Банку в прогнозируемом периоде дополнительную прибыль
в размере 15570,23 тыс.грн. Совершенствование деятельности банка в сфере оказания депозитных услуг положительно отражается на основных показателях финансовой деятельности Банка. Так, по результатам анализа, после внедрения мероприятий основные показатели финансовой деятельности Банка (ROA, ROE, процентная маржа) возрастут, что еще раз подтверждает эффективность предложенных мероприятий. Для анализа эффективности внедрения программы мероприятий применялась экономико-математическая модель, решение которой еще раз подтвердило эффективность предложенных мероприятий.
Overview
NormativPart1
Вал дох
Доходы
Расходы
Дох-Расх
Polyan
лист1
Лист5
Sheet 1: Normativ
| Standard | Fact | |||||
| Норматив капитала коммерческого банка | H1 | не м 2 млн | 41.49 | |||
| Мин размер устав капитала | H2 | не м 1 млн | 12.43 | |||
| Норматив платежеспособности | H3 | не м 8% | 29.89 | |||
| Норматив достаточности капитала | H4 | не м 4% | 26.78 | |||
| Норматив мгновенной ликвидности | H5 | не м 20% | 51.48 | |||
| Норматив общей ликвидности | H6 | не м 100% | 104.66 | |||
| Норматив соотношения высоколиквидных активов к рабочим активам банка (Н7), % | H7 | не м 20% | 21.03 | |||
| Макс размер риска на одного заемщика (Н8), % | H8 | не б 25% | 24.25 | |||
| Норматив "больших" кредитных рисков (Н9), % | H9 | не б 800% | 45.28 | |||
| Норматив макс размера кредитов, гарантий и поручительств, предоставленных одному инсайдеру (Н10), % | H10 | не б 5% | 1.85 | |||
| Норматив макс совокупного размера кредитов, гарантий и поручительств, предоставленных инсайдерам (Н11), % | H11 | не б 40% | 3.22 | |||
| Норматив макс размера выданых межбанковских займов (Н12), % | H12 | не б 200% | 11 | |||
| Норматив рефинансирования (Н13), % | H13 | не б 300% | 40.25 | |||
| Норматив инвестирования (Н14), % | H14 | не б 50% | 1.35 | |||
| H16 | не б 40% | 0-90 | 1 | |||
| H17 | не б 20% | 91-180 | 1.2 | |||
| H18 | не б 10% | 181-365 | 1.4 | |||
| H19 | не б 50% | 366 и б | 1.5 | |||
| H20 | не б 30% | бессроч | 1.2 | |||
| H21 | не б 15% |
Sheet 2: Part1
| страница 7 | ||||||||||
| 2000 | Приб | % от всех дох | Активы и обязательства банка по видам иностранных валют | |||||||
| банк пункты | 4 | 43616 | 1.36 | 10904 | Таблица 3.3 | |||||
| ПОВ по АС | 1 | 7456 | 0.23 | 7456 | ||||||
| Разреш на вывоз | 62 | 2586 | 0.08 | 41.71 | Иностранная валюта | Активы банка по балл. и внебал. Счетах по каждой иностранной валюте | Обязательство банка по баланс. и внебал. счетах по каждой иностранной валюте | Открытая валютная позиция по каждой иностранной валюте | ||
| командировоч | 2988 | 0.09 | Доллар США | 2,000,000.00 | 1,500,000.00 | 500,000.00 | ||||
| чеки | 34500 | 800 | 0.03 | Немецкая марка | 10,000.00 | 500 | 9,500.00 | |||
| кредиты | USD | 280000 | Французский франк | 2,000.00 | 10,000.00 | -8,000.00 | ||||
| DM | 15000 | Российский рубль | 50,000.00 | 70,000.00 | -20,000.00 | |||||
| задолж по кред | USD | 10500 | ||||||||
| DM | 8000 | курсы, установленные Национальным Банком Украины сведены в таблицу 3.4. | ||||||||
| доход от вал опер | грн | 320000 | 10 | |||||||
| комиссион | 76000 | 2.38 | Иностранная валюта | Официальные курсы НБУ (действующие на отчетную дату) (за 1 украинскую гривну) | ||||||
| приб от вал опер | 297500 | 85 | Доллар США | 4.896 | ||||||
| приб от вал-обмен опер | 17850 | 5.1 | 5.85 | от вал опер | Немецкая марка | 2.0671 | ||||
| общ приб банка | 350000 | Французский франк | 1.318 | |||||||
| 3200000 | Российский рубль | 0.19319 | ||||||||
| Активы и обязательства банка по видам иностранных валют в гривневом эквиваленте на отчетную дату Таблица 3.5 | ||||||||||
| Иностранная валюта | Длинная открытая валютная позиция | Короткая открытая валютная позиция | Общая открытая валютная позиция | |||||||
| Доллар США | 948,000.00 | 948,000.00 | ||||||||
| 1998 | %от общ сум дох | 1999 | Немецкая марка | 10,137.00 | 10,137.00 | |||||
| дох от авл оп | 18.2 | 13.7 | 22 | 14.6 | Французский франк | -2,544.00 | -2,544.00 | |||
| процентные | 15.5 | 16.2 | Российский рубль | -6 | -6 | |||||
| Всего: | 958,137.00 | -2,550.00 | 960,687.00 |
Sheet 3: Вал дох
| соотношение вал депозитов юр и физ лиц % | 0 | 100 | |||
| удель вес оборотов НКВ и СКВ | 70 | 30 | |||
| дох и расх отдела в объеме банка | 10 | 3 | |||
| структура доходов отдела | |||||
| расчетное и кассовое обсл клиентов % | 70 | ||||
| биржевые опер(пок-прод вал по поруч клиентов через бирж управление ПИБ) | 30 | ||||
| работа с ресурсами(пок-прод на МВР) % | 30 | ||||
| пок-прод нал вал через кассы(банк и безбаланс) | 10 | ||||
| Комиссион усл клиентам | 20 | ||||
| переводы по поруч клиентов | |||||
| открытие вал счетов | |||||
| выдача справок | |||||
| использ каналов связи для перевода и получения средств | |||||
| кассовое обслуживание(выдача средств на коммандировоч расх) | |||||
| обслуж аккредитивов | |||||
| Выплата компенсаций по фонду "Взаимопонимания и примирения" и по Швейцарскому фонду | 10 | ||||
| Итого | 100 |
Sheet 4: Доходы
| ДОХОДЫ | |||||||||||||||||||||
| процентные | Общая сумма, грн. | Доля в доходе, % | |||||||||||||||||||
| 1.Проценты по остаткам на счетах «НОСТРО» | 26,458.58 | 8.2 | |||||||||||||||||||
| 2.Проценты по МБК банков-нерезидентов в гривне | 16,134.54 | 5.0 | 1996 | 1997 | 1998 | 1999 | 2000 | ||||||||||||||
| 3.Проценты по МБК в СКВ | 18,247.45 | 5.6 | процентные | 91.00 | 87.00 | 91 | 94 | 92.2 | процентные | 92.2 | |||||||||||
| 4.Доходы от конверсионных операций | 181,614.76 | 56.1 | непроцентные | 9.0 | 13.0 | 9.0 | 6.0 | 7.8 | непроцентные | 7.8 | |||||||||||
| 5.Комиссия от переводов средств по поручению клиентов | 1,919.85 | 0.6 |
|
||||||||||||||||||
| 6.Доход от разрешений на вывоз валюты | 2,479.00 | 0.8 | |||||||||||||||||||
| 7.Доход от продажи валюты на командировочные расходы | 2,988.00 | 0.9 |
|
||||||||||||||||||
| 8.Доход от продажи дорожных чеков | 1,275.58 | 0.4 | |||||||||||||||||||
| 9.Доход от продажи валюты ПОВ № 1 | 14,980.00 | 4.6 | |||||||||||||||||||
| 10.Доход от продажи валюты ПОВ № 2 | 16,158.00 | 5.0 | |||||||||||||||||||
| 11.Доход от продажи валюты ПОВ № 3 | 15,450.00 | 4.8 | |||||||||||||||||||
| 12.Доход от продажи валюты ПОВ № 4 | 847.00 | 0.3 | 92.2 | ||||||||||||||||||
| непроцентные | |||||||||||||||||||||
| 1.Доход за выдачу справок на таможню | 547.60 | 0.2 | |||||||||||||||||||
| 2.Доход за выдачу справок клиентам | 289.50 | 0.1 | |||||||||||||||||||
| 3.Комиссия за банковские переводы, запросы, уточнения | 16,658.56 | 5.1 | |||||||||||||||||||
| 4.Доход за оформление справок о декларировании валютных ценностей | 314.58 | 0.1 | |||||||||||||||||||
| 5. Доход от пункта обмена валют по агентским соглашениям | 7,456.00 | 2.3 | 7.8 | ||||||||||||||||||
| Доход - всего | 323,819.00 | 100 | |||||||||||||||||||
| Каналы поступления доходов | Сумма, грн. | Уд вес в дох, % | |||||||||||||||||||
| 1.Неторговые операции | 63,553.43 | 19.6 | |||||||||||||||||||
| 2.Конверсионные операции | 181,614.76 | 56.1 | |||||||||||||||||||
| 3.Расчетные операции | 77,499.13 | 23.9 | |||||||||||||||||||
| 4.прочие доходные операции | 1,151.68 | 0.4 | |||||||||||||||||||
| И Т О Г О | 323,819.00 | 100 | |||||||||||||||||||
| 1.Неторговые операции | 19.6 | ||||||||||||||||||||
| 2.Конверсионные операции | 56.1 | ||||||||||||||||||||
| 3.Расчетные операции | 23.9 | ||||||||||||||||||||
| 4.прочие доходные операции | 0.4 | ||||||||||||||||||||
|
|||||||||||||||||||||
| процентные доходы | Сумма, грн. | Уд вес в дох, % | |||||||||||||||||||
| 1.Неторговые операции | 52278.43 | 17.7 | |||||||||||||||||||
| 2.Конверсионные операции | 181614.76 | 61.6 | |||||||||||||||||||
| 3.Расчетные операции | 60840.57 | 20.6 | |||||||||||||||||||
| И Т О Г О | 294733.76 | 100 | |||||||||||||||||||
|
|||||||||||||||||||||
| процентные | Сумма, грн. | Уд вес, % | |||||||||||||||||||
| Проценты по остаткам на счетах «НОСТРО» | 26,458.58 | 8.9 | |||||||||||||||||||
| Проценты по МБК | 34,381.99 | 11.5 | |||||||||||||||||||
| Доходы от конверсионных операций | 181,614.76 | 60.8 | |||||||||||||||||||
| Доход от продажи валюты | 50,423.00 | 16.9 | |||||||||||||||||||
| Прочие доходы | 5,674.43 | 1.9 | |||||||||||||||||||
| И Т О Г О | 298,552.76 | 100.0 | |||||||||||||||||||
|
|||||||||||||||||||||
| непроцентные | Сумма, грн. | Уд вес, % | |||||||||||||||||||
| 1.Неторговые операции | 11,275.00 | 38.8 | |||||||||||||||||||
| 2.Расчетные операции | 16,658.56 | 57.3 | |||||||||||||||||||
| 3.прочие доходные операции | 1,151.68 | 4.0 | |||||||||||||||||||
| И Т О Г О | 29,085.24 | 100 | |||||||||||||||||||
|
|||||||||||||||||||||
Sheet 5: Расходы
| Статья расхода | Общая сумма, грн | Доля в расходе, % | Статья расхода | Сумма, грн | Уд. вес, % | ||||||||||
| процентные | MAZUR | процентные | процентные | 177911.57 | |||||||||||
| 1.Проценты по остаткам на корсчетах «ЛОРО» | 777,241.48 | 51.8 | 1.Проценты по остаткам на корсчетах «ЛОРО» | 111034.50 | 49.4 | непроцентные | 46772.48 | ||||||||
| 2.Расход от покупки-продажи валюты | 126,196.64 | 8.4 | 2.Расход от покупки-продажи валюты | 18028.09 | 8.0 | ||||||||||
| 3.Проценты по МБК в СКВ | 228,724.29 | 15.2 | 3.Проценты по МБК в СКВ | 32674.90 | 14.5 | ||||||||||
| 4.Проценты по МБК банков-нерезидентов в гривне | 113,218.57 | 7.5 | 4.Проценты по МБК банков-нерезидентов в гривне | 16174.08 | 7.2 | 177911.57 | |||||||||
| непроцентные | 0.0 | непроцентные | 35582.31 | ||||||||||||
| 1.Расход по корсчетам «НОСТРО» | 220,429.46 | 14.7 | 1.Расход по корсчетам «НОСТРО» | 31489.92 | 14.0 | ||||||||||
| 2.Расход от работы ПОВ № 1 | 30,516.88 | 2.0 | 2.Расход от работы ПОВ № 1 | 4359.55 | 1.9 | ||||||||||
| 3.Расход от работы ПОВ № 2 | 259.27 | 0.0 | 3.Расход от работы ПОВ № 2 | 3684.56 | 1.6 | ||||||||||
| 4.Расход за оформление справок по декларированию валютных ценностей | 4,050.00 | 0.3 | 4.Расход от работы ПОВ № 3 | 3687.87 | 1.6 | ||||||||||
| И Т О Г О | 1,500,636.59 | 100 | 5.Расход от работы ПОВ № 4 | 2972.00 | 1.3 | 14703.98 | 6.5 | ||||||||
| 6.Расход за оформление справок по декларированию валютных ценностей | 578.57 | 0.3 | 46772.48 | ||||||||||||
| MAZUR | И Т О Г О | 224684.05 | 100 | 9354.5 | |||||||||||
| 1.Неторговые операции | 30,776.15 | 2.1 | 44936.81 | ||||||||||||
| 2.Конверсионные операции | 126,196.64 | 8.4 |
|
||||||||||||
| 3.Расчетные операции | 1,339,613.80 | 89.3 | |||||||||||||
| 4.прочие доходные операции | 4,050.00 | 0.3 | |||||||||||||
| И Т О Г О | 1,500,636.59 | 100 | Каналы поступления расходов | Сумма, грн. | Уд вес в дох, % | ||||||||||
| 1.Неторговые операции | 2940.80 | 2.1 | |||||||||||||
| MAZUR | 2.Конверсионные операции | 3605.62 | 8.4 | ||||||||||||
| источники процентных расходов | Сумма, грн. | Уд вес в дох, % | 3.Расчетные операции | 38274.68 | 89.3 | ||||||||||
| 2.Конверсионные операции | 25,239.33 | 10.1 | 4.прочие доходные операции | 115.71 | 0.3 | ||||||||||
| 3.Расчетные операции | 223,836.87 | 89.9 | И Т О Г О | 44936.81 | 100 | ||||||||||
| И Т О Г О | 249,076.20 | 100.0 | |||||||||||||
|
|||||||||||||||
| источники процентных расходов | Сумма, грн. | Уд вес в дох, % | |||||||||||||
| Конверсионные операции | 3,605.62 | 10.1 | |||||||||||||
| Расчетные операции | 31,976.70 | 89.9 | |||||||||||||
| И Т О Г О | 35,582.31 | 100.0 | |||||||||||||
|
|||||||||||||||
| Структура расчетных операций | Сумма, грн. | Уд вес в дох, % | |||||||||||||
| 1.Проценты по остаткам на корсчетах «ЛОРО» | 22206.90 | 69.4 | |||||||||||||
| 2.Проценты по МБК в СКВ | 6534.98 | 20.4 | |||||||||||||
| 3.Проценты по МБК банков-нерезидентов в гривне | 3234.82 | 10.1 | |||||||||||||
| 31976.70 | 100 | ||||||||||||||
| непроцентные | Сумма, грн. | Уд вес в дох, % | |||||||||||||
| 1.Расход по корсчетам «НОСТРО» | 31489.92 | 67.33 | |||||||||||||
| 2.Расход от работы ПОВ № 1 | 4359.55 | 9.32 | |||||||||||||
| 3.Расход от работы ПОВ № 2 | 3684.56 | 7.88 | |||||||||||||
| 4.Расход от работы ПОВ № 3 | 3687.87 | 7.88 | |||||||||||||
| 5.Расход от работы ПОВ № 4 | 2972.00 | 6.35 | |||||||||||||
| 6.Расход за оформление справок по декларированию валютных ценностей | 578.57 | 1.24 | |||||||||||||
| И Т О Г О | 46772.48 | 100 | |||||||||||||
|
|||||||||||||||
| источники непроцентных расходов | Сумма, грн. | Уд вес в дох, % | |||||||||||||
| 1.Неторговые операции | 2940.80 | 31.44 | |||||||||||||
| 2.Расчетные операции | 6297.98 | 67.33 | |||||||||||||
| 3.прочие доходные операции | 115.71 | 1.24 | |||||||||||||
| И Т О Г О | 9354.50 | 100 | |||||||||||||
Sheet 6: Дох-Расх
| доходы | процентные | непроцентные | |||||||||||
| 1996 | 91.0 | 9.0 | |||||||||||
| процентные | 1997 | 87.0 | 13.0 | ||||||||||
| общ | 1998 | 91.0 | 9.0 | ||||||||||
| дох | 298,553 | 1999 | 94.0 | 6.0 | |||||||||
| расх | 177,912 | 2000 | 92.2 | 7.8 | |||||||||
| 91.04 | 8.96 | ||||||||||||
|
|||||||||||||
| процентные доходы | процентные расходы | процентная прибыль | |||||||||||
| 1996 | 49756 | 29567 | 20189 | ||||||||||
| 1997 | 57172 | 41782 | 15390 | ||||||||||
| 1998 | 61487 | 36459 | 25028 | ||||||||||
| 1999 | 64556 | 35971 | 28585 | ||||||||||
| 2000 | 65582 | 34132 | 31450 | ||||||||||
| непроцентные доходы | непроцентные расходы | непроцентная прибыль | |||||||||||
| 25,266.24 | 1996 | 4920.92 | 9267 | -4346.08 |
|
||||||||
| 5053.25 | 1997 | 8542.94 | 14873 | -6330.06 | |||||||||
| 1998 | 6081.13 | 10457 | -4375.87 | ||||||||||
| 46772.48 | 1999 | 4120.6 | 7826 | -3705.4 | |||||||||
| 9354.5 | 2000 | 5550.14 | 4349 | 1201.14 | |||||||||
| 29215.74 | 46772 | -17556.26 | |||||||||||
| доходы | затраты | прибыль | |||||||||||
| 1996 | 54676.92 | 38834 | 15843 |
|
|||||||||
| 1997 | 65714.94 | 56655 | 9060 | ||||||||||
| 1998 | 67568.13 | 46916 | 20652 | ||||||||||
| 1999 | 68676.6 | 43797 | 24880 | ||||||||||
| 2000 | 71132.14 | 38481 | 32651 | ||||||||||
| прибыль | |||||||||||||
| 1996 | 15843 | ||||||||||||
| 1997 | 9060 | ||||||||||||
| 1998 | 20652 | ||||||||||||
| 1999 | 24880 | ||||||||||||
| 2000 | 32651 | ||||||||||||
Sheet 7: Polyan
| Статья дохода | Обшая сумма,грн. | Удельный вес,% |
| Проценты по остаткам на корсчетах | 299124.88 | 1.36 |
| Доходы по кредитам | 15096128.35 | 68.62 |
| Доходы от продажи кредитных ресурсов и размещения средств в депозит | 1733461.9 | 7.87 |
| Доходы по операциям на валютном рынке(биржевые операции) | 2034327.86 | 9.23 |
| Доходы от расчетно-кассового обслуживания клиентов | 442976 | 2.01 |
| Доходы от деятельности обменных пунктов | 175164 | 0.8 |
| Доходы от конверсионных операций | 497396.51 | 2.26 |
| Доходы от торговли ценными бумагами | 42464.55 | 0.19 |
| Доходы от операций с другими банками | 23697.44 | 0.11 |
| Доходы на счетах покрытых аккредитивов | 26484.59 | 0.12 |
| Доходы от обменных пунктов на агенских соглашениях | 78675 | 0.36 |
| Доходы от проверки подленности купюр | 771.7 | 0 |
| Комиссии за выдачу справок на таможню | 2641.88 | 0.02 |
| Доходы от выдачу разрешений на вывоз валюты | 17352.28 | 0.08 |
| Доходы от услуг по декларированию | 2232.28 | 0.01 |
| Доходы от продажи дорожных чеков | 7000 | 0.08 |
| Результат от торговли собственной валютой(переоценка собственной валюты) | 455656.09 | 2.07 |
| Комиссионные доходы от услуг по кредитованию | 15118.55 | 0.07 |
| Доходы от продажи собственной валюты | 15001.71 | 0.07 |
| Доходы от продажи валюты на командировочные расходы | 20915.65 | 0.09 |
| Итого | 22031020.33 | 100 |
Sheet 8: лист1
| 18.2 | 22 | |||||||||||||||||
| 132.9 | 150.9 | |||||||||||||||||
|
||||||||||||||||||
| 17.2 | 18.3 | 22 | ||||||||||||||||
| 9.8 | 10.8 | 10.8 | ||||||||||||||||
| 7.4 | 7.5 | 11.2 | ||||||||||||||||
|
||||||||||||||||||
| 1.54 | 4.19 | |||||||||||||||||
| 1.12 | 3.82 | |||||||||||||||||
| 1.07 | 4.12 | |||||||||||||||||
| 1.14 | 5.03 | |||||||||||||||||
| 1.29 | 3.86 | |||||||||||||||||
|
||||||||||||||||||
| 5.41 | ||||||||||||||||||
| 4.64 | ||||||||||||||||||
| 4.85 | ||||||||||||||||||
| 7.13 | ||||||||||||||||||
| 5.15 | ||||||||||||||||||
| 15.5 | 16.2 | |||||||||||||||||
| 84.5 | 83.8 | |||||||||||||||||
| 23.7 | 25.9 | |||||||||||||||||
| 76.3 | 74.1 | |||||||||||||||||
| 908.3 | 425.8 | 157.5 | 40.5 | |||||||||||||||
| 631.1 | 309.1 | 114.6 | 35.2 | |||||||||||||||
| 660.6 | 356.7 | 109.5 | 48.4 | |||||||||||||||
| 760.8 | 315.2 | 131.9 | 35.8 | |||||||||||||||
| 672.4 | 295.9 | 116.6 | 33.6 | |||||||||||||||
| 600 | ||||||||||||||||||
| 4700 | ||||||||||||||||||
| 300 | ||||||||||||||||||
| 1700 | ||||||||||||||||||
| 450 | ||||||||||||||||||
| 10.7 | 10.8 | |||||||||||||||||
| 127.5 | 129.7 | |||||||||||||||||
| 221.94 | 2518.88 | |||||||||||||||||
| 307.16 | 2642.87 | |||||||||||||||||
| 174.2 | 1976.72 | |||||||||||||||||
| 173.91 | 2826.32 | |||||||||||||||||
| 145.83 | 1654.2 | |||||||||||||||||
| 1500 | ||||||||||||||||||
| 2700 | ||||||||||||||||||
| 3200 | ||||||||||||||||||
| 6300 | ||||||||||||||||||
| 3700 | 1.25 | 1.1 | 1.23 | |||||||||||||||
| 7 | 15 | 2 | 1.47 | |||||||||||||||
| 15 | 23 | 16.9 | 19.3 | |||||||||||||||
| 77 | 60 | 80 | 78 | |||||||||||||||
|
||||||||||||||||||
| 4190 | 2518.9 | |||||||||||||||||
| 3820 | 2642.87 | |||||||||||||||||
| 4120 | 1976.72 | |||||||||||||||||
| 5030 | 2826.32 | |||||||||||||||||
| 1540 | 221.94 | |||||||||||||||||
| 1120 | 307.14 | |||||||||||||||||
| 1070 | 174.2 | |||||||||||||||||
| 1140 | 173.91 | |||||||||||||||||
|
||||||||||||||||||
| 2670.18 | ||||||||||||||||||
| 1690 | ||||||||||||||||||
| 2699 | ||||||||||||||||||
| 4129.77 | ||||||||||||||||||
| расчетные операции | 58.98 | 58.98 | ||||||||||||||||
| неторговые операции | 27.65 | 27.65 | ||||||||||||||||
| конверсионные операции | 10.23 | 10.23 | ||||||||||||||||
| прочие | 3.14 | 3.14 | ||||||||||||||||
| процентные расходы | 91.9 | |||||||||||||||||
| комиссионные расходы | 4.68 | |||||||||||||||||
| другие статьи расходов | 3.42 | |||||||||||||||||
| кредитные операции | 76.46 | 76.46 | ||||||||||||||||
| расчетно-кассовые операции | 13.02 | 13.02 | ||||||||||||||||
| неторговые операции | 6.1 | 6.1 |
|
|||||||||||||||
| конверсионные операции | 2.26 | 2.26 | ||||||||||||||||
| прочие | 2.16 | 2.16 | ||||||||||||||||
| процентные доходы | 77.8 | 2.3 | ||||||||||||||||
| комиссионные доходы | 19.9 | 19.9 | ||||||||||||||||
| другие статьи доходов | 2.3 | 77.8 | ||||||||||||||||
| проценты по кредитам | 87.93 | |||||||||||||||||
| проценты от продажи кредитных ресурсов и размещения средств в депозит | 10.1 | |||||||||||||||||
| проценты по остаткам на корсчетах | 1.74 | |||||||||||||||||
| проценты по сч.покрытых аккредитивов | 0.16 | |||||||||||||||||
| доходы от торговли цен.бумагами | 0.07 | |||||||||||||||||
|
||||||||||||||||||
| 22031 | 36882 | |||||||||||||||||
| 10842 | 10700 | |||||||||||||||||
| 11189 | 26182 | |||||||||||||||||
Sheet 9: Лист5
| Сумма | доход банка | дох вал оп | приб банка | приб вал |
| 100 | 3200000 | 320000 | 297500 | 76000 |


Промінвестбанк України має достатньо високий рівень платоспроможності і забезпечує своєчасність розрахунків клієнтів. Вагомий капітал банку гарантує вкладникам збереження їх коштів і свідчить про надійність банку. Протягом року банк дотримував виконання економічних нормативів, встановлених Національним банком України.
|
№ 3/П |
Назва економічного нормативу | Норматив | Факт |
| 1. |
Мінімальний розмір капіталу банку (НІ), ЕКЮ за поточним курсом |
не менше 2 млн, |
166,490 млн. |
| 2. |
Мінімальний розмір статутного капіталу (Н2), (на01.01.99р.:за100 ЕКЮ-401,3257 грн.) |
не менше 1 млн. |
49,878 млн. |
| 3. |
Норматив платоспроможності (НЗ), |
не менше 8 |
29,89 |
| 4. |
Норматив достатності капіталу банку (Н4), % |
не менше 4 |
26,78 |
| 5. |
Норматив миттєвої ліквідності (Н5), % |
не менше 20 |
51,48 |
| 6. |
Норматив загальної ліквідності (Н6), % |
не менше 100 |
104,66 |
| 7. |
Норматив співвідношення високоліквідних активів до робочих активів банку (Н7), % |
не менше 20 |
21,03 |
| 8. |
Максимальний розмір ризику на одного позичальника (Н8), % |
не більше 25 |
24,25 |
| 9. |
Норматив "великих" кредитних ризиків (Н9), % |
не більше 800 |
45,28 |
| 10. |
Норматив максимального розміру кредитів, гарантій та поручительств, наданих одному інсайдеру (Н10), % |
не більше 5 |
1,85 |
| 11. |
Норматив максимального сукупного розміру кредитів, гарантій та поручительств, наданих Інсайдерам (Н11), % |
не більше 40 |
3,22 |
| 12. |
Норматив максимального розміру наданих міжбанківських позик (Н12), % |
не більше 200 |
11,00 |
| 13. |
Норматив рефінансування (Н13), % |
не більше 300 |
40,25 |
| 14. |
Норматив інвестування (Н14), % |
не більше 50 |
1,35 |
*Курс ЕКЮ на01.01.99р.:за100 ЕКЮ-401,3257 грн.
Р
ис.
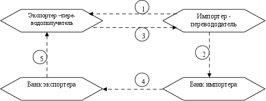
1. Схема расчета
банковским
переводом
Рис. 2. Схема расчетов по инкассо

Р
ис.3
Схема расчета
аккредитивом
Мероприятие |
Эффект |
| 1. Использование остатков на корреспондентских счетах в овернайт | Дополнительный доход 151306,84 грн. |
| 2. Операции по выполнению форвардных контрактов на приобретение-продажу валюты | Расширяет круг клиентов Банка. Позволяет привлечь практически бесплатные дополнительные средства, а также получить довольно высокий комиссионный доход. |
| 3. оптимизация процентных ставок по валютным депозитам и кредитам | Дополнительный доход 5321,4 тыс. грн. |
| 4. технологии проведения срочных операций | Снижение валютного риска, усреднение позиции и увеличение дохода |
| 5. оптимизация работы банковских пунктов обмена валют | Повышение доходов от неторговых операций |
| 6. открытие 10 новых банкоматов | Расширение рынка пластиковых карт |
| 7. выпуск кредитных, дисконтных и мультивалютных смарт-карточек | Во-первых – аккумулирование при помощи проекта средств держателей карт, а во-вторых – реализация таких проектов, направленных на определенный целевой сегмент клиентов открывает возможности к дальнейшему продвижению и расширению рынка пластиковых карт и в целом рынка банковских услуг |
|
8. управление счетом через сеть Интернет, мобильные телефоны |
Расширение клиентуры банка |
| 9. работа в системе Рейтер | Привлекает средства клиентов для работы на рынках Форекс |
| 10. Оптимизация депозитного портфеля Банка по валютам | Позволяет минимизировать валютный риск. Устанавливается такое соотношение между депозитами в различных валютах, при котором гарантировано получение максимальной прибыли при любых состояниях финансового рынка. |
1 АНАЛИЗ ВАЛЮТНЫХ ОПЕРАЦИЙ КОММЕРЧЕСКОГО БАНКА
1.1 Валютная политика банка на современном этапе
Валютная политика Проминвестбанка Украины направлена в первую очередь на оказание услуг предприятиям большого, среднего и малого бизнеса, от которых в значительной степени зависит расцвет отечественной экономики. Среди клиентов банка предприятия государственного сектора, предпринимательские структуры, общественные организации и учреждения. Не существует ограничений и препятствий для того, чтобы стать клиентом Проминвестбанка.
Проминвестбанк Украины – наиболее крупный коммерческий банк Украины, он имеет лицензию № 1 Национального банка Украины, позволяющую осуществлять ему весь спектр валютных операций как на внутреннем, так и на мировом рынке валют. Он финансирует ключевые отрасли экономики, обслуживает более 108 тыс. юридических лиц,1,842 млн. физических лиц[21]. На сегодняшний день банк располагает всем необходимым для того, чтобы его клиенты чувствовали себя уверенно, осуществляя свои внешнеторговые операции. Имея опыт конвертации всех основных видов валют и обладая развитой сетью банков-корреспондентов, банк предоставляет возможность клиентам осуществлять платежи в любой валюте и в любой стране.
Для качественного обслуживания клиентов банк сосредоточил валютные счета на 196 корреспондентских счетах НОСТРО в 67 зарубежных странах. Среди них: Bank Of New York, Bankers Trust Co, Deutsche Bank AG, Commers Bank AG и т.д. В свою очередь 24 банками этих стран в Проминвестбанке открыто 36 счетов ЛОРО для осуществления операций в гривнях. Планируется дальнейшее расширение сети корреспондентских счетов «ЛОРО». Банк является членом международных платежных систем VISA,EUROPAY,MASTERCARD INTERNATIONAL.
Особо нужно сказать о проведениии Проминвестбанком межгосударственных расчетов между Украиной и Россией. С целью защиты денежных средств своих клиентов в 1994 году Проминвестбанк стал учредителем первого Российско-Украинского КБ “Кредитимпексбанк” – одного из наиболее прогрессирующих банков г.Москвы. Представляя интересы Украины на территории России, КБ “Кредитимпексбанк” проводит около 80% всех расчетов между Украиной и Россией. Отработанная и внедренная специалистами Проминвестбанка и “Кредитимпексбанка” технология проведения платежей дала возможность сократить сроки их прохождения в 3 раза, срок конвертации российских рублей в украинскую гривну сократился до 2-х дней.
Банк постоянно сотрудничает с иностранными банками в которых открыты кредитные линии в пользу клиентов Проминвестбанка, среди которых:CREDIT SUISSE (FIRST BOSTON) (Швейцария), VSEOBECNA UVEROVA BANKA (Словения).С банками:DUETSCHE BANK AG, COMMERZBANK AG, DRESDNER BANK, BANK OF NEW YORK проводилась работа по подтверждению аккредитивов и гарантий.
В 1999 году Проминвестбанк определен банком –агентом по обслуживанию иностранных кредитных линий, что привлекаются под гарантию Кабинета Министров Украины. Филиалами банка проводится активная финансовая поддержка 1166 субъектов внешнеэкономической деятельности. Валютные кредиты выдаются предприятиям ключевых отраслей экономики Украины.
В 1999 году банк успешно проводил кредитную политику по поддержке национального производителя. Учреждениями банка выдано кредитов во всех видах валют на 3655,1 млн. грн., что на 4% больше ,чем 1998 году.
Структура выданных кредитов в 1999 году представлена на рисунках 1.1-1.3.
Кредиты на производственные цели составили –49%, на экспортно-импортные операции –38%, на внутренние торговые операции-12%, по учтенным векселям-1%.
В структуре выданных кредитов традиционно имеют перевес кредиты предприятиям промышленности- 68,2%, из них базовым отраслям: металлургии-28,9%, угольной-4,6%, топливной-6,2%.

Рисунок 1.1 - Структура
выданных кредитов
по видам валют
Рассматривая структуру выданных кредитов по видам валют за 1999 год преобладающее значение имеют кредиты в национальной валюте -60,4 %, кредиты в иностранной валюте составили 39,6 %.

Рисунок
1.2 - Структура
выданных кредитов
по целевому
использованию
По формам собственности в структуре выданных кредитов за 1999 год большой перевес имеют кредиты предприятиям негосударственной собственности – 67,5%, кредиты выданные предприятиям государственной собственности составили –32,5%.
По субьектам хозяйственной деятельности преобладающее значение в структуре кредитов за 1999 год имеют кредиты, выданные юридическим лицам, они составляют – 98,4% от общей суммы кредитов, планируется расширение спектра услуг по кредитованию физических лиц, за 1999 год кредиты физическим лицам составили 1,6% .
Р
исунок
1.3 - Структура
выданных кредитов
по субьектам
хозяйствования
Для обеспечения кредитной деятельности банк проводит постоянную работу по увеличению ресурсной базы. За 1999 год общий объем кредитных ресурсов увеличился на 94,8 млн.грн. Банк имеет достаточно высокий уровень платежеспособности и обеспечивает своевременность расчетов клиентов. Весомый капитал банка гарантирует вкладчикам сбережение их средств и свидетельствует о надежности банка. В течение года банк поддерживал исполнение экономических нормативов, установленных Национальным банком Украины. Экономические показатели банка на 01.01.2000 г. приведены в таблице 1.1.
Таблица 1.1 - Экономические нормативы банка
| № | Наименование экономического норматива |
Норматив |
Фактический показатель |
|
| в млн. экю | в млн. грн | |||
| 1 | Минимальный размер капитала банка (Н1) Экю по текущему курсу | Не мен 2 млн. | 41,49 | 166,49 |
| 2 | Минимальный размер уставного капитала (Н2) Экю по текущему курсу | Не мен 1 млн. | 12,43 | 49,878 |
| 3 | Норматив платежеспособности (Н3),% | Не мен 8 | 29,89 | |
| 4 | Норматив достаточности капитала (Н4), % | Не мен 4 | 26,78 | |
| 5 | Норматив мгновенной ликвидности (Н5), % | Не мен 20 | 51,48 | |
| 6 | Норматив общей ликвидности (Н6), % | Не мен 100 | 104,66 | |
| 7 | Норматив соотношения высоколиквидных активов и рабочего капитала (Н7), % | Не мен 20 | 21,03 | |
| 8 | Максимальный размер Рисунокка на одного вкладчика (Н8), % | Не более 25 | 24,25 | |
| 9 | Норматив «больших» кредитных Рисунокков (Н9), % | Не более 800 | 45,28 | |
| 10 | Норматив максимального размера кредитов, гарантии и поручительств, данных одному инсайдеру (Н10), % | Не более 5 | 1,85 | |
| 11 | Норматив максимального совокупного размера кредитов, гарантий поручительств, данных инсайдерам (Н11), % | Не более 40 | 3,22 | |
| 12 | Норматив максимального размера данных межбанковских займов (Н12), % | Не более 200 | 11,00 | |
| 13 | Норматив рефенансирования (Н13), % | Не более 300 | 40,25 | |
| 14 | Норматив инвестирования (Н14), % | Не более 50 | 1,35 | |
На сегодняшний день остаются неизменными основные принципы деятельности Проминвестбанка: высокая степень доверительности в работе с любыми клиентами и стремление оказать все виды услуг, которые возможны сегодня на валютном рынке Украины.
Основные валютные услуги Проминвестбанка:
1) Расчетно-кассовое обслуживание юридических лиц
Открытие, переоформление различных видов счетов в национальной и Иностранной валютах.
Проведение операций по счетам. Списание и зачисление средств с использованием систем электронных платежей.
Выдача справок о состоянии счетов, выписок, дубликатов, бланков различных финансовых документов.
Оформление и выдача чековых книжек, операции с чеками.
2) Кассовое обслуживание.
Поиск неверно перечисленных средств.
Инкассовые и аккредитивные операции при международных расчетах.
Выполнение инкассовых поручений.
Установление банкоматов, зарплатные проекты.
3) Кредитные операции.
Овердрафт. Кредит, предоставляемый на текущий счет клиента с хорошим финансовым состоянием в пределах определенного лимита, рассчитанного на основании данных о поступлениях на расчетный счет клиента, на определенный период времени для финансирование платежных разрывов в его текущей деятельности.
Кредитные линии. Целевое кредитование коммерческих сделок юридических лиц с использованием суммы кредита частями на протяжении периода времени, определенного договором. Кредитная линия может быть как возобновляемая так и не возобновляемой.
Срочный кредит. Краткосрочное целевое кредитование коммерческих сделок, рассчитанных на быстрое получение клиентом прибыли от кредитуемой сделки.
Авальный кредит. Краткосрочный кредит, предоставляемый банком посредством авалировании векселей, выписанного клиентом, или домициляция векселя клиента за счет кредитных средств.
Факторинг. Краткосрочная торгово-комиссионная операция, заключающаяся в выкупе банком неоплаченных платежных требований своего клиента за поставленный товар, выполненный работы, оказанные услуги. Банк покупает краткосрочную кредиторскую задолженность, обеспечивая гарантию сбыта клиентам с устойчивым финансовым положением. Факторинг включает в себя инкассирование дебиторской задолженности клиента, кредитование и гарантию от кредитных и валютных Рисунокков.
Форфейтинг. Краткосрочная или среднесрочная торгово-комиссионная операция при экспорте сочетающаяся с кредитованием оборотного капитала клиента.
Лизинговый кредит. Финансирование клиента путем передачи в долгосрочную аренду основных средств с правом выкупа.
Инвестиционный кредит. Долгосрочный валютный кредит, предоставляемый клиентам на срок от 1 года до 5 лет для закупки импортных основных средств по кредитным линиям для малых и средних предприятий.
4) Услуги населению
Депозиты различных видов: срочные, до востребования, выигрышные. А именно:
а) договоры о текущем депозитном счете - свободное оперирование остатком денежных средств, находящихся на депозитном счете (путем довложений и частичных снятий), на остаток по счету производится начисление сложных процентов;
б) договор о срочном депозитном счете - размещение средств на фиксированный срок, начисление и выплата процентов производится как по окончании срока действия договора, так и помесячно;
в) договор о счете "до востребования" - условия договора предусматривают свободное снятие денежных средств по первому требованию, минимальный срок размещения –один день без учета дня поступления и снятия средств.
Перечисление средств со счетов физических лиц на счета юридических лиц.
Перевод средств, в т.ч. за границу.
Выплаты остарбайтерам.
Осуществление платежей и зачисление поступлений в "твердых" и "мягких" валютах.
Конвертация наличной и безналичной валюты. Проверка достоверности, замена изношенных банкнот.
Выдача разрешений на вывоз валюты.
Купля и продажа дорожных и коммерческих чеков, выплаты по международным пластиковым карточкам.
Обслуживание международных кредитных линий.
Валютный дилинг.
5) Операции с карточками VISA
Выпуск пластиковых платежных карточек международной платежной системы VISA физическим и юридическим лицам.
Расчетное обслуживание торговых и сервисных (отелей, туРисуноктических агенств, автокомпаний и тому подобных) предприятий по операциям, осуществленных с помощью карточек VISA.
Выдача денежной наличности собственникам карточек VISA.
6) Иные услуги
Сохранение и перевозка ценностей.
Индивидуальные сейфы.
Внедрение системы "Клиент-банк" и "Голосовой связи".
Консультационные услуги.
1.2 Анализ валютных операций банка
Анализ валютных операций коммерческого банка проводится на основе работы валютного отдела александрийского отделения Проминвестбанка Украины.
Каждый банк с учетом особенностей его структуры может сам определить внутреннюю классификацию валютных операции.
Проанализируем структуру валютных операций, проводимых валютным отделом александрийского отделения Проминвестбанка Украины.
На протяжении 2000 года отделом проводилась работа по привлечению клиентов и открытию счетов в иностранной валюте. На данный период в александрийском отделении ПИБ открыто 584 счетов в иностранной валюте, что на 14% больше по сравнению с 1999годом, открыто - 523 счета в иностранной валюте физическим лицам.
В городе работает 4 банковских пунктов обмена валют (БПОВ). Прибыль от первого БПОВ составила 14980гривен, от второго – 16158гривен, от третьего – 15450 гривен, и от четвертого – убыток 2972 гривны. Таким образом, средняя доходность одного банковского пункта обмена валют составила (14980+16158+15450-2972)/4 = 10904 гривен. В этот период работал 1 обменный пункт по агентским соглашениям, прибыль - 7456 гривен. Производится выдача разрешений на вывоз валюты, выдано 62 разрешения - прибыль составила около 2586 гривен. Доходы от выдачи валюты на командировочные расходы составили 2988 гривен. Отдел неторговых операций продает чеки «ТOMAS COOK», реализовано чеков на сумму 34500 долларов, прибыль составила 800 гривен. Подписан договор о продаже дорожных чеков с «АМЕКIСАN ЕХРRЕSS СОМРАNУ».
За 2000 год предприятия фактически получили кредиты на 280 тыс. дол США и 15 тыс. немецких марок. На 01.01.2001 года задолженность по кредитам составляет 10,5 тыс. долларов США и 8 тыс. марок. Анализ состояния международных расчетов показал, что на протяжении нескольких лет наблюдается тенденция сокращения экспортных поставок. Так в 2000 году объем экспортных поступлений составил 5,6 млн. долларов США, что на 19% меньше, чем в 1999 году. Из-за уменьшения объема экспортных поступлений объем биржевых операций сократился по сравнению с 1998 годом на 1,8%.
Наиболее популярной формой расчетов остается банковский перевод как в свободно конвертируемой валюте, так и в неконвертируемой валюте. В общем объеме экспортных операций он составляет 98,8%,в импортных –95,6%.Однако по сравнению с 1998 годом на 0,76% возросли расчеты по импортным аккредитивам (0,87 млн. долларов США).В 2000 году от валютных операций получено отделом 320 тыс. грн. доходов, в том числе комиссионных 76 тыс. грн., что составляет 10% и 2,38% от общего объема доходов. Прибыль составила 297,5 тыс. грн. или 85% от общей прибыли. Прибыль от валютообменных операций составила 17850 грн. или 6% прибыли от валютных операций и 5,1% от общей прибыли.
Согласно тарифам банка за каждую проведенную валютную операцию банк взимает с клиента комиссионное вознаграждение, как в национальной валюте Украины, так и в СКВ.
Все валютные операции связаны как с доходными статьями, так и с расходными.
1.2.1 АНАЛИЗ НОРМАТИВОВ ОТКРЫТОЙ ВАЛЮТНОЙ ПОЗИЦИИ БАНКА
Одним из показателей надежности и стабильности банка при работе с валютными средствами является выполнение нормативов открытой валютной позиции[8].
Нормативы открытой валютной позиции уполномоченного банка подразделяются на:
- нормативы открытой валютной позиции банка;
- нормативы взвешенной открытой валютной позиции банка.
Норматив общей открытой валютной позиции банка (Н16) рассчитывается как соотношение общей величины открытой валютной позиции банка к капиталу банка:
Н16=х100%, (1.1)
где Вп - общая открытая валютная позиция банка по всем, балансовым и внебалансовыми активами и обязательствами банка по каждой иностранной валюте в гривневом эквиваленте;
К - капитал банка.
Нормативное значение общей открытой валютной позиции банка может быть не больше 40%.
Норматив длинной (короткой) открытой валютной позиции по каждой иностранной валюте (Н17) рассчитывается как соотношение длинной (короткой) открытой валютной позиции по каждой иностранной валюте в гривневом эквиваленте к капиталу банка:
Н17=
х
100%, (1.2)
где Вин - длинная (короткая) валютная позиция по каждой иностранной валюте в гривневом эквиваленте;
К - капитал банка.
Нормативное значение длинной (короткой) открытой валютной позиции банка по каждой иностранной валюте может быть не больше 20%.
Норматив длинной (короткой) открытой валютной позиции во всех банковских металлах (Н18) рассчитывается как соотношение длинной (короткой) открытой валютной позиции во всех банковских металлах в гривневом эквиваленте к капиталу банка:
Н18=х100%, (1.3)
где Вм - длинная (короткая) валютная позиция во всех банковских металлах в гривневом эквиваленте;
К - капитал банка.
Нормативное значение длинной (короткой) открытой валютной позиции банка во всех банковских металлах может быть не больше 10%.
Норматив взвешенной открытой валютной позиции (Н19) рассчитывается как соотношение взвешенной открытой валютной позиции к капиталу банка:
Н19 = х 100%, (1.4)
где Вз - открытая валютная позиция за активами и обязательствами по каждой иностранной валюте, взвешенной на коэффициент, который определяется по сроку, что остался расчетным;
К - капитал банка.
Коэффициенты которые устанавливаются с учетом срока, что остался до расчета приведены в таблице 1.2.
Таблица 1.2 - Коэффициенты, установленные с учетом срока оставшегося до окончательного расчета.
-
Срок, что остался до расчета Коэффициент 0 - 90 дней 1 91 - 180 дней 1,2 180 - 365 дней 1,4 366 и больше 1,5
Для бессрочных депозитов, текущих и расчетных счетов, срок расчета по которым не предусмотрен, используется коэффициент 1,2.
Нормативное значение взвешенной открытой валютной позиции банка должно быть не больше 50%. Норматив длинной (короткой) взвешенной открытой валютной позиции банка в свободно конвертируемой валюте (Н20) рассчитывается как соотношение длинной (короткой) взвешенной открытой позиции банка в свободно конвертируемой валюте к капиталу банка
Н20= х 100%, (1.5)
где Вв - длинная (короткая) взвешенная открытая валютная позиция банка в свободно конвертируемой валюте;
К - капитал банка.
Нормативное значение длинной (короткой) взвешенной открытой валютной позиции банка в свободно конвертируемой валюте должно быть не более 30%.
Норматив длинной (короткой) взвешенной открытой валютной позиции банку в несвободно конвертированной валюте (Н21) рассчитывается как соотношение длинной (короткой) взвешенной открытой позиции банка в несвободно конвертированной валюте к капиталу банка
Н21= х 100%, (1.6)
где Вн - длинная (короткая) взвешенная открытая валютная позиция банка в несвободно конвертируемой валюте;
К - капитал бака.
Нормативное значение длинной (короткой) взвешенной открытой валютной позиции банку в несвободно конвертированной валюте может быть не более 15%.
Отчеты об открытой и взвешенной открытой валютной позиции предоставляются по форме N540 и N541[10].
Уполномоченный банк, который имеет сеть филиалов (дирекций, отделений и тому подобное), что имеют разрешения на ведение валютных операций, самостоятельно устанавливает сублимиты на открытые валютные позиции Головной конторы банку и филиалов (дирекций, отделений). При этом ответное распределение сублимитов осуществляется уполномоченными банками в пределах общего норматива валютной позиции банка.
Уполномоченный банк не позднее дня, следующего за днем установления сублимитов, сообщает соответствующему областному управлению НБУ информацию об установленных сублимитах. Валютная позиция уполномоченного банка определяется ежедневно и отдельно касательно каждой иностранной валюты.
Операции, влияющие на открытую валютную позицию уполномоченного банка:
- купля (продажа) наличной и безналичной иностранной валюты, как текущие, так и срочные операции (на условиях своп, форвард, опцион и прочие), по которым возникают требования и обязательства в иностранных валютах, независимо от способов и форм расчетов по ним;
- получение (уплата) иностранной валюты в виде доходов или затрат и начисления доходов или затрат, которые учитываются на гривневых счетах;
- купля (продажа) основных способов и товарно-материальных ценностей за иностранную валюту;
- поступление средств в иностранной валюте в уставный фонд;
- погашение банком безнадежной задолженности в иностранной валюте (списание, которое осуществляется с гривневого счета затрат);
- прочие обменные операции с иностранной валютой (возникновения требований в одной валюте при расчетах за ими в прочей валюте, во т. ч. и национальной).
Валютная позиция возникает на дату операции из купли (продажи) иностранной валюты, а также начисления доходов (затрат), зачисления на счета (списания с счетов) прочих доходов (затрат) и в соответствии с пересчитанными операциями.
Уполномоченный банк получает право на открытую валютную позицию с даты получения ним от Национального банка Украины банковской лицензии на право проведения операций с валютными ценностями и утрачивает это право с даты ее отзыва Национальным банком Украины.
Подсчет общей величины открытой валютной позиции в гривневом эквиваленте проводится по действующему на отчетную дату официальным курсом гривны, установленным Национальным банком Украины. При этом длинная открытая валютная позиция показывается со знаком плюс, а короткая открытая валютная позиция - со знаком минус.
Общая величина открытой валютной позиции в целом по уполномоченному банку определяется как сумма абсолютных величин всех длинных открытых валютных позиций и всех коротких открытых валютных позиций в гривневом эквиваленте (без учета знака) по всем валютам.
Пример расчета общей открытой валютной позиции банка.
Первичные данные:
а) капитал банка по состоянию на первое число отчетного месяца - 5000000 грн. Активы и обязательства банка по балансовыми и внебалансовыми счетами по каждой иностранной валюте, которые отображены в балансе согласно перечню операций, что влияют на открытую валютную позицию банка отображены в таблице 1.3.
Таблица 1.3 - Активы и обязательства банка по видам иностранных валют
|
Иностранная валюта |
Активы банка по балл. и внебал. Счетах по каждой иностранной валюте |
Обязательство банка по баланс. и внебал. счетах по каждой иностранной валюте |
Открытая валютная позиция по каждой иностранной валюте |
| Доллар США |
2 000 000,00 |
1 500 000,00 |
500 000,00 |
| Немецкая марка |
10 000,00 |
500,00 |
9 500,00 |
| Французский франк |
2 000,00 |
10 000,00 |
-8 000,00 |
| Российский рубль |
50 000,00 |
70 000,00 |
-20 000,00 |
Длинные и короткие открытые валютные позиции по каждой иностранной валюте переводятся в гривневый эквивалент по официальному курсу НБУ и складываются.
б) курсы, установленные Национальным Банком Украины сведены в таблицу 1.4.
Таблица 1.4 - Курсы, установленные Национальным Банком Украины
Иностранная валюта |
Официальные курсы НБУ (действующие на отчетную дату) (за 1 украинскую гривну) |
| Доллар США | 5.4288 |
| Немецкая марка | 2.529497 |
| Французский франк | 1.318 |
| Российский рубль | 0.18942 |
Общая величина открытой валютной позиции банку равняется сумме абсолютных величин длинной и короткой открытой валютной позиции банка по каждой иностранной валюте. Расчет установленного норматива общей величины открытой валютной позиции банка:
(960 687: 5 000 000) х 100% =19, 2%
Таблица 1.5 - Активы и обязательства банка по видам иностранных валют в гривневом эквиваленте на отчетную дату
|
Иностранная валюта |
Длинная открытая валютная позиция | Короткая открытая валютная позиция | Общая открытая валютная позиция |
| Доллар США |
948 000,00 |
948 000,00 |
|
Таблица 1.5 (продолжение) |
|||
| Немецкая марка | 10 137,00 | 10 137,00 | |
| Французский франк | -2 544,00 | -2 544,00 | |
| Российский рубль | -6,00 | - 6,00 | |
| Всего: | 958 137,00 |
-2 550,00 |
960 687,00 |
При расчете взвешенной открытой валютной позиции банка активы и обязательства по балансовым и внебалансовым счетам банка, обращают внимание на коэффициенты с учетом срока, что остался до окончательного расчета. Механизм расчета взвешенной открытой валютной позиции такой же, как и при расчете общей открытой валютной позиции.
1.2.2 СТРУКТУРНЫЙ АНАЛИЗ ДИНАМИКИ И ОБЪЕМОВ ДОХОДОВ ОТ ПРОВЕДЕНИЯ ВАЛЮТНЫХ ОПЕРАЦИЙ
Доходы банка – это сумма денежных средств, полученных от результатов активных операций. В соответствии с разработанной учетной политикой в доходы банка включаются доходы, непосредственно связанные с банковской деятельностью, и не относящиеся к основной деятельности банка, но обеспечивающие общую банковскую деятельность. Все доходные статьи можно разделить на доходы процентные и доходы непроцентные в зависимости от вида доходной операции. При учете процентных и комиссионных доходов в учреждениях банка используется принцип начисления. Все осуществленные операции регистрируются тогда, когда они имели место, независимо от времени получения или оплаты средств. Доходы считаются заработанными в том периоде, когда связанная с ними операция имела место, а не тогда когда средства были фактически получены. Процентные доходы начисляются на остатки по корсчетам, открытым в других банках, а также по депозитным счетам, по операциям с ценными бумагами. Размер процентных ставок, порядок начисления процентов, порядок их оплаты определяется в договорах между банком и клиентом. Доходы за последний день в некоторых случаях учитываются в следующем месяце, когда отчетная дата является датой окончания операции. Такая ситуация возникает также, когда нельзя определить сумму дохода через отсутствие необходимых данных для их определения, несмотря на то, что услуга оказана в предыдущем месяце. Начисление процентов осуществляется по методу «факт/факт» (в расчет принимается фактическое количество календарных дней в месяце и году).
Учет доходов, полученных в иностранной валюте, ведется с помощью технических счетов 3800 «Позиция банка в иностранной валюте и банковских металлов» и 3801 «Эквивалент позиции банка в иностранной валюте и банковских металлов».
С
огласно
с Правилами
бухгалтерского
учета процентные
и комиссионные
доходы подразделяются
на: доходы за
одноразовые
услуги, доходы
за услуги с
обязательным
результатом,
доходы за
беспрерывные
услуги, доходы
за услуги, что
осуществляются
поэтапно.
Рисунок - 1.4 Удельный вес доходов от валютных операций в общей сумме доходов.
Количественный анализ структуры доходов банка рассматривается в определении удельного веса статей дохода в общей сумме. Сравнительный анализ как общих доходов так и каждой их статей осуществляется за соответствующий временной период. Анализ структуры базируется на процентных значениях каждого к общей сумме. Изменения процентных показателей указывают на изменения удельного веса статей в общих показателях.
В 1998 году доходы от валютных операций составили 18,2 млн. грн., что составило 13,7% от общей суммы доходов, в 1999 году доходы от валютных операций выросли на 3,8 млн. грн. и составили 22 млн. грн., что составило 14,6% общей суммы доходов. Это наглядно изображено на Рисунок.1.4.
Все доходные статьи можно разделить на доходы процентные и доходы непроцентные в зависимости от вида доходной операции. Это наглядно изображено в таблице 1.6.
Таблица 1.6 - Структура доходов и доходность от проведения валютных операций за анализируемый период.
| процентные | Общая сумма, грн. | Доля в доходе, % |
| 1.Проценты по остаткам на счетах «НОСТРО» |
26 458,58 |
8,2 |
| 2.Проценты по МБК банков-нерезидентов в гривне |
16 134,54 |
5,0 |
| 3.Проценты по МБК в СКВ |
18 247,45 |
5,6 |
| 4.Доходы от конверсионных операций |
181 614,76 |
56,1 |
| 5.Комиссия от переводов средств по поручению клиентов |
1 919,85 |
0,6 |
| 6.Доход от разрешений на вывоз валюты |
2 479,00 |
0,8 |
| 7.Доход от продажи валюты на командировочные расходы |
2 988,00 |
0,9 |
| 8.Доход от продажи дорожных чеков |
1 275,58 |
0,4 |
| 9.Доход от продажи валюты ПОВ № 1 |
14 980,00 |
4,6 |
| 10.Доход от продажи валюты ПОВ № 2 |
16 158,00 |
5,0 |
| 11.Доход от продажи валюты ПОВ № 3 |
15 450,00 |
4,8 |
| 12.Доход от продажи валюты ПОВ № 4 |
847,00 |
0,3 |
| непроцентные | ||
| 1.Доход за выдачу справок на таможню |
547,60 |
0,2 |
| 2.Доход за выдачу справок клиентам |
289,50 |
0,1 |
| 3.Комиссия за банковские переводы, запросы, уточнения |
16 658,56 |
5,1 |
| 4.Доход за оформление справок о декларировании валютных ценностей |
314,58 |
0,1 |
| 5. Доход от пункта обмена валют по агентским соглашениям |
7 456,00 |
2,3 |
| Доход - всего |
323 819,00 |
100 |
Источники поступления доходов представим в виде таблицы 1.7, а также рисунке 1.5.
Таблица 1.7 - Источники поступления доходов и их структура
|
Источники поступления доходов |
Сумма, грн. | Уд вес, % |
| 1.Неторговые операции | 63 553,43 | 19,6 |
| 2.Конверсионные операции | 181 614,76 | 56,1 |
| 3.Расчетные операции | 77 499,13 | 23,9 |
| 4.прочие доходные операции | 1 151,68 | 0,4 |
| И Т О Г О | 323 819,00 | 100 |
Р
исунок.1.5
- Источники
поступления
доходов и их
структура
Далее проведем анализ с большей детализацией по каждой группе операций, разделив доходы на процентные и непроцентные. Распределение процентных и непроцентных доходов за последние пять лет представим в виде рисунке 1.6.
Р
исунок.1.6
- Соотношение
процентных
и непроцентных
доходов
1.2.2.1 ПОФАКТОРНЫЙ АНАЛИЗ ПРОЦЕНТНЫХ ДОХОДОВ
К процентным доходам относятся доходы, которые рассчитываются пропорционально времени и сумме и являются компенсацией банку за взятый на себя кредитный риск. К ним относятся:
1.Доходы по кредитам и депозитам и другими процентными финансовыми инструментами и том числе по ценным бумагам с фиксированной прибылью;
2.Доходы в виде амортизационного дисконта(премии) по ценным бумагам;
3.Комиссионные,подобные за природой к процентам. Например, доходы от размещения средств в виде займа или обязательство его выдать, что определяться пропорционально времени и сумме обязательства, доходы от осуществления операций аренды.
Способы перечисления процентных платежей определяется в кредитном договоре.
Процентные доходы занимают наибольший удельный вес в структуре доходов. В 1998 году процентные доходы от валютных операций составили
1
5,5%
в общем объеме
доходов банка,
в 1999 году – 16,2%,что
составляет
0,7 пункта прироста
по сравнению
с 1998 г. Это видно
на рисунке 1.7.
Рисунок - 1.7 Удельный вес процентных доходов от валютных операций в общей структуре доходов.
Рассмотрим источники и структуру процентных доходов в таблице 1.8 и 1.9, и на рисунках 1.8 и 1.9.
Таблица 1.8 - Источники процентных доходов
|
Процентные доходы |
Сумма, грн. |
Уд вес в дох, % |
|
1.Неторговые операции |
52278,43 |
17,7 |
|
2.Конверсионные операции |
181614,76 |
61,6 |
|
3.Расчетные операции |
60840,57 |
20,6 |
|
И Т О Г О |
294733,76 |
100 |
Р
исунок.1.8
- Источники
процентных
доходов
Таблица 1.9 - Структура распределения процентных доходов
|
процентные |
Сумма, грн. |
Уд вес, % |
|
Проценты по остаткам на счетах «НОСТРО» |
26 458,58 |
9,0 |
|
Проценты по МБК |
34 381,99 |
11,7 |
|
Доходы от конверсионных операций |
181 614,76 |
61,6 |
|
Доход от продажи валюты |
46 604,00 |
15,8 |
|
Прочие доходы |
5 674,43 |
1,9 |
|
И Т О Г О |
294 733,76 |
100,0 |
Р
исунок.1.9
- Структра
процентных
доходов.
Удельный вес показателей в табл.1.9 дает возможность оценить, за счет каких валютных операций достигнут такой объем процентных доходов.Удельный вес валютных операций в структуре процентных доходов изображен на Рисунокунке 1.9. После проведения подобного анализа определим факторы, повлиявшие на размер процентных доходов от валютных операций.
Основной источник доходов составляет кредитная деятельность банка. На кредитную деятельность оказывает влияние сложившаяся ситуация в экономике: инфляционные процессы, центральные меры НБУ по ограничению нижних (верхних) границ предоставляемых кредитов, которые принимались в течение анализируемого периода, а также такие факторы как:
1.Увеличение в совокупных активах доли ссудных активов, приносящих доход в виде процентов;
2.Изменение ссудных активов по сравнению с прошлым годом.
Как показывают данные в анализируемом банке на протяжении 1999-2000 года темп роста объемов кредитов увеличился с 0,95 до 1,26 т.е. вышел на положительный уровень для характеристики банка более 1. Существенное влияние на доходность кредитования оказывает уровень процентной ставки, что видно из таблицы 1.10.
Таблица 1.10 - Общая оценка выполнения плана по процентным доходам
| ДОХОДЫ |
На 01.01.2000г. Удельный вес в общем объеме доходов, % |
На 01.01.2001г. Удельный вес в общем объеме доходов, % |
ОТКЛОНЕНИЕ +,- |
| Процентные доходы от кредитной деятельности | 91,50 | 80,72 | - 10,78 |
| Всего доходов | 100 | 100 |
Из приведенных данных видно, что удельный вес доходов от кредитования в 2000 году снизился против 1999года на 10,78 процентных пункта.
Рассмотрим два фактора (сумма выданных кредитов и процентная ставка по выданному кредиту), повлиявшие на величину процентных доходов.
Как свидетельствуют данные таблицы 1.11 на 01.01.2001г. из-за снижения процентной ставки на 13,18 процентных пункта банком недополучено процентного дохода против предыдущего года на 6,23%.Уменьшение дохода из-за снижения процентной ставки почти перекрыто полученным доходом на 48,71 % от увеличения суммы выданных кредитов.
Таблица 1.11 - Расчет влияния объема выданных кредитов и процентной ставки за кредит на сумму полученного дохода
|
Показатели |
Отклонение всего , +,- Удельный вес превышения по отношению к процентному доходу, % |
||
|
Всего 99-00гг. |
Суммы кредитов | % ставки | |
Выданные кредиты |
+48,71 | +48,71 | |
| Средняя процентная ставка по кредиту | -13,18 | ||
| Полученные проценты | -6,23 | -6,23 | |
Таким же методом проведем пофакторный анализ изменения процентных доходов от размещения средств в депозит и продажи кредитных ресурсов. Анализ структуры ресурсов и вложений в иностранной валюте приведем в таблице 1.12 . Таблица 1.12 - Структура ресурсов и вложений в иностранной валюте
Показатель |
Удельный вес в общей сумме ресурсов На 01.01.2000г. |
Удельный вес в общей сумме ресурсов на 01.01.2001г. |
|
Ресурсы:
|
100 20,58 28,07 51,35 |
100 16,28 18,36 65,36 |
|
Вложения: - не приносящие доход - приносящие доход |
100 18,03 81,97 |
100 12,01 87,99 |
Анализ структуры ресурсов и вложений в иностранной валюте свидетельствует,что положительным за этот период стало снижение активов, не приносящих доход на 6,02 процентных пункта, т..е. стало выгоднее размещение сводобных средств. Однако наблюдается увеличение дорогих ресурсов на 14,01 процентных пункта и снижение бесплатных ресурсов на 4,3 процентных пункта,что объясняется уменьшением собственной валюты и размещением более дорогих средств заемщиков.
Что касается процентных доходов от полученных процентов по корсчетам, их доля в общей сумме доходов за 1998 год составляет 2,87%,за 1999 год -1,74% ,снижение объясняется уменьшением средней процентной ставки на мировом рынке валют.
1.2.2.2 АНАЛИЗ НЕПРОЦЕНТНЫХ ДОХОДОВ
В условиях инфляции и жесткой конкуренции рост доходов за счет процентов уменьшается. Насколько банк активно использует прочие источники получения доходов, показывает анализ структуры непроцентных доходов.
Банк постоянно расширяет спектр платных услуг и нетрадиционных операций, которые увеличивают полученный совокупный доход.
Основными каналами поступления непроцентных доходов являются: неторговые операции, расчетно-кассовые операции, прочие непроцентные операции. Если рассматривать структуру непроцентных доходов на 01.01.2001 года наибольший удельный вес составляют расчетно-кассовые операции –65.9%, затем неторговые операции – 29.5%, прочие – 4.6%. Данные непроцентных доходов за 1999 год сведены в таблице 1.13.
Таблица 1.13 - Структура непроцентных доходов
| Каналы поступления доходов | Сумма, грн. | Уд вес, % |
| 1.Неторговые операции | 7 456,00 | 29,5 |
| 2.Расчетные операции | 16 658,56 | 65,9 |
| 3.прочие доходные операции | 1 151,68 | 4,6 |
| И Т О Г О | 25 266,24 | 100 |
1.2.3 СТРУКТУРНЫЙ АНАЛИЗ ДИНАМИКИ И ОБЪЕМОВ РАСХОДОВ ОТ ПРОВЕДЕНИЯ ВАЛЮТНЫХ ОПЕРАЦИЙ
Расходы банка по валютным операциям классифицируются следующим образом:
- уплаченные проценты;
- курсовые разницы по иностранным валютам;
- прочие расходы.
Расходные статьи разделим на расходы процентные и непроцентные в зависимости от вида расходной операции.
Проведем анализ с соответствующей детализацией каждой из рассмотренных основных статей расходов с представлением полученных данных в виде таблиц 1.14-1.15 и рисунков 1.10-1.11.
Таблица 1.14 - Расход от проведения валютных операций за анализируемый период
| Статья расхода | Сумма, грн | Уд. вес, % |
| процентные | ||
| 1.Проценты по остаткам на корсчетах «ЛОРО» |
111034,50 |
49,4 |
| 2.Расход от покупки-продажи валюты | 18028,09 | 8,0 |
| 3.Проценты по МБК в СКВ | 32674,90 | 14,5 |
| 4.Проценты по МБК банков-нерезидентов в гривне | 16174,08 | 7,2 |
| непроцентные | ||
| 1.Расход по корсчетам «НОСТРО» | 31489,92 | 14,0 |
| 2.Расход от работы ПОВ № 1 | 4359,55 |
1,9 |
| 3.Расход от работы ПОВ № 2 | 3684,56 | 1,6 |
| 4.Расход от работы ПОВ № 3 | 3687,87 | 1,6 |
| 5.Расход от работы ПОВ № 4 | 2972,00 | 1,3 |
| 6.Расход за оформление справок по декларированию валютных ценностей | 578,57 | 0,3 |
| И Т О Г О | 224684,05 | 100 |
Таблица 1.15 - Источники формирования расходов и их структура
| Источники формирования расходов | Сумма, грн. | Уд вес, % |
| 1.Неторговые операции | 14703,98 | 2,1 |
| 2.Конверсионные операции | 18028,09 | 8,4 |
| 3.Расчетные операции | 191373,40 | 89,3 |
| 4.прочие доходные операции | 578,57 | 0,3 |
| И Т О Г О |
224684,05 |
100 |
Рисунок
1.10 - Удельный вес
источников
расходов 
Р
исунок
1.11 - Удельный вес
процентных
и непроцентных
расходов
1.2.3.1 АНАЛИЗ ПРОЦЕНТНЫХ РАСХОДОВ
Процентные расходы составляют основную часть расходов от валютных операций, поэтому их детальный анализ имеет большое значение. Исходя из пяти периодов, рассчитаем средние затраты от проведения валютных операций и представим их в виде таблицы 1.16 и рисунка 1.12.
Таблица 1.16 - Средние затраты от проведения валютных операций в общей структуре процентных расходов
| Источники затрат | Средняя сумма затрат, грн. | Удельный вес, % |
| 1. Конверсионные операции | 3 605,62 | 10,1 |
| 2. Расчетные операции | 31 976,70 | 89,9 |
|
|
35 582,31 | 100 |
Рисунок 1.12 - Удельный вес источников затрат в их структуре
Приведенные данные подтверждают, что преобладающую роль в общей сумме расходов банка по валютным операциям играют процентные расходы и, следовательно, необходимо провести их более детальный анализ с выявлением причин, повлиявших на их размеры.
Проведем детализированный анализ некоторых наиболее существенных из рассмотренных статей процентных расходов.
В
общей структуре
процентных
расходов наибольший
удельный вес
по расходам
занимают: расходы
по расчетным
операциям. Их
структура
приведена на
рисунке 1,13:
Рисунок 1,13 - Структура расходов по расчетным операциям.
Как видим, основной удельный вес занимают проценты по остаткам на корсчетах «ЛОРО». В наиболее общей форме счета «ЛОРО» - это счета, открываемые банками для банков-корреспондентов. Здесь учитываются все средства, которые выдаются или поступают согласно поручениям банка-корреспондента. Операции по «ЛОРО»-счетам осуществляются либо за счет находящихся здесь средств, либо на основе взаимного кредитования (овердрафт). Банкам-корреспондентам (нерезидентам) выгодно работать через «ЛОРО»-счета в коммерческих банках на Украине, так как на остатки средств начисляются высокие проценты (особенно если банк-корреспондент по договору либо дополнительному соглашению оставляет на счете в течении месяца неснижаемый остаток). Процентная ставка может меняться в зависимости от суммы остатка, и колебаться в пределах 40-45 % годовых при 500 000 гривен на остатке.
Коммерческие банки сознательно идут на такие расходы. Учитывая средства остающиеся на корреспондентских счетах в распоряжении банка, можно существенным образом координировать работу по привлечению и размещению денежных ресурсов.
Проминвестбанк также несет такие расход - это связано с постоянным поиском новых банков-корреспондентов, открытием новых корреспондентских счетов и активизацией работы по ранее открытым.
Из вышеизложенного можно сделать вывод, что на рост процентных расходов влияют:
внешние факторы (политические, законодательные и т.д.)
внутренние факторы (политика банка).
1.2.3.2 АНАЛИЗ НЕПРОЦЕНТНЫХ РАСХОДОВ
При анализе непроцентных расходов следует рассмотреть их структуру, определить место каждой группы расходов в их общей сумме. Основную часть непроцентных расходов составляют расчетные операции –67,33% от общей суммы непроцентных расходов, затем неторговые операции –31,44%, прочие –1,24%.Структура распределения средних по пяти перидам непроцентных расходов приведена в таблице 1.17 и на рисунке 1.14.
Таблица 1.17 - Средние затраты от проведения валютных операций в общей структуре непроцентных расходов
| Группы непроцентных расходов | Сумма, грн. | Уд вес, % |
| 1.Неторговые операции | 2940,80 | 31,44 |
| 2.Расчетные операции | 6297,98 | 67,33 |
| 3.прочие доходные операции | 115,71 | 1,24 |
| И Т О Г О | 9354,50 | 100 |

Рисунок. 1.14 - Удельный вес групп непроцентных доходов
Теперь классифицируем данные расходы по видам операций:
-расчетные операции: комиссионные расходы на расчетно-кассовое обслуживание, комиссионные расходы по операциям с другими банками, комиссионные расходы по операциям на валютном рынке и рынке банковских металлов;
-неторговые операции: уплата 1% в Пенсионный Фонд Украины от покупки валюты банком, расходы по покупке-продаже наличной иностранной валюты;
-прочие: расходы по внебалансовым операциям; штрафы, пени уплаченные банком; другие операции.
Рассмотрим более подробно непроцентные затраты по неторговым операциям. Основную их часть составляет 1% уплаты в Пенсионный Фонд Украины [9], согласно постановлению Кабинета Министров Украины №1740 от 03.11.1998 г. «О порядке уплаты сбора на обязательное государственное пенсионное страхование с отдельных операций хозяйственной деятельности", это 31,44 % от общего объема непроцентных расходов. Другие расходы могут быть образованы в следующих случаях:
-покупка валюты по курсу выше курса НБУ,
-продажа валюты по курсу ниже курса НБУ.
За анализируемый период, можно сделать вывод о том, что расходы по данным операциям в основном образованы за счет покупки долларов США по курсу выше курса НБУ. Отрицательное значение расхода при покупке немецких марок и рублей России говорит о том, что курсы покупки немецких марок и рублей России за данный период были ниже соответствующих курсов НБУ.
Анализ непроцентных расходов показывает, что банку следует рационально уменьшить другие статьи затрат, не допуская неоправданных расходов, таких как штрафы, пени, уплаченные за банковские операции.
Теперь рассмотрим непроцентные расходы по неторговым операциям, образованные в результате форс-мажорных обстоятельств. Такие расходы, по банковским ПОВ могут быть образованы в следующих случаях:
1. Покупка валюты по курсу выше курса НБУ.
2. Продажа валюты по курсу ниже курса НБУ.
Анализируя расходные операцию по банковским ПОВ видно, что расходы по данной операции в основном образованы за счет покупки долларов США по курсу выше курса НБУ. Отрицательные значения расхода при покупке немецких марок и рублей РФ говорит о том, что курсы покупки немецких марок и рублей РФ за данный период были ниже соответствующих курсов НБУ. Все это объясняется тем, что в тот период времени стратегия банка заключалась в скупке иностранной валюты в виду ее нехватки и продажи избыточной гривны. Всвязи с этим было принято решение завысить курс покупки с целью привлечения дополнительной валюты. Кроме того, такие операции проводились в случаях прогнозируемых скачков курсов валют, с целью недопущения потери доходности, ликвидности и снижения капиталла в результате обесценивания гривны. Безусловно, при необходимости соответствия нормативам НБУ, банковская политика сводится к подгонке параметров под требования НБУ. В ситуациях, когда речь может зайти о закрытии отделения, политика сводится к тому, чтобы удержаться, не считаясь при этом ни с какими расходами. В принципе нормальной считается ситуация, при которой курс НБУ лежит между курсами покупки и продажи банка. В этом случае ни при покупке, ни при продаже банк не работает себе в убыток. Но опять же, при необходимости в валюте курс покупки завышается, а при необходимости в продаже занижается курс продажи. Но по большей части данные ситуации являются форс-мажорными. Поэтому банком создаются резервные фонды для покрытия возможных убытков. В целом по Проминвестбанку проблем с ликвидностью или с соответствием банковским нормативам не возникает.
Анализ непроцентных расходов показывает, что банку следует рационально уменьшить другие статьи затрат,недопуская неоправданных расходов, таких как штрафы и пени, уплаченные за банковские операции.
1.3 АНАЛИЗ ДОХОДНОСТИ ВАЛЮТНЫХ ОПЕРАЦИЙ
Понятие доходности коммерческого банка отражает положительный совокупный результат деятельности банка во всех спектрах его хозяйственной и коммерческой деятельности. За счет доходов банка покрываются все его операционные расходы, включая административно-управленческие, формируется прибыль, собственные средства, уровень возможных дивидендов, развиваются активные и пассивные операции.
Доходность банка характеризуется не только денежными выражением превышения полученных доходов над расходами. Необходимо выявлять размер источников получения конкретных видов доходов их удельный вес в общем объеме активов и пассивов, сравнивать собственные финансовые результаты со средним значением доходности в соответствующем секторе финансового рынка, а также с усредненными результатами деятельности других кредитных институтов.
Хотя существуют определенные элементы планирования банковской деятельности, универсальные стандарты планирования доходности коммерческого банка достаточно трудно установить. Целый ряд факторов вносит весомый элемент неопределенности, особенно в Украине с ее развивающейся экономикой. Банковскую систему в целом регулируют макроэкономические факторы денежно-кредитной политики, определяемые НБУ. Только такой важный показатель как ставка рефинансирования, которая во многом определяет стоимость размещения и привлечения средств коммерческих банков в течение последних пяти лет изменяется по несколько раз в год. Несколько раз в год пересматривались ставки отчислений в фонд обязательных резервов. Доходность на рынке государственных краткосрочных операций также сильно подвержена коньюктуре денежного рынка.
Кроме того, доходность зависит от стратегических, тактических, частных задач, решаемых конкретным банком, специализации и квалификации банковских подразделений, Рисунокков, которые готов принять на себя банк, также действий конкурирующих кредитных организаций.
В финансовом мененджменте применяется концепция взаимодействия «Рисунокк-доход», согласно которой повышение доходности, а следовательно, и прибыли, сопровождается увеличением банковских Рисунокков. Данная концепция определяет тренд доходности как прямо пропорциональную величину к «Рисуноккованности» портфеля и операций банка. Таким образом, доходность рассматривается, скорее как компромиссный, а не жесткий параметр. Главной задачей банковского менеджмента является управление доходностью с учетом минимизации Рисунокков. Например, коммерческие банки США придерживаются концепции «высокорентабельной банковской деятельности», состоящей из 3 компонентов:
-максимизация доходов, путем поддержания достаточно гибкой структуры активов, пРисунокпособленной к изменениям процентной ставки;
-минимизация расходов путем поддержания оптимальной структуры пассивов;
-грамотный менеджмент, охватывающий реализацию первых двух компонентов.
Таким образом, на первоначальном этапе на основе предполагаемых макроэкономических тенденций прогнозируется уровень доходности различных финансовых операций. Важным обеспечением доходности банка является рационализация структуры доходов и расходов, а также поддержание оптимальной структуры баланса в части активов и пассивов. Вместе с тем, необходимым условием обеспечения доходности банковской деятельности является, безусловно, поддержание ликвидности, управление банковскими Рисунокками и их минимизации. На основе данных показателей делается вывод о надежности банка в целом.
Рассмотрим анализ доходности на основе принципа зеркальности.
Для общей оценки деятельности банка за анализируемый период производится сравнение доходов и расходов. Такое сравнение позволяет выявить, какие операции являются прибыльными, какие убыточными и не покрываются ли убытки от одних операций за счет прибыли от других.
Наличие «зеркальных» статей в доходных и расходных статьях «Отчета о прибылях и убытках» позволяет соотносить их друг с другом и делать заключения об эффективности использования того или иного финансового инструмента в различных секторах (кредитном, фондовом, валютном и т.д.). Использование разности зеркальных статей, соотнесенной чистым доходом в целом или раздельно величине доходов (расходов), позволяет выявить удельный вес и степень влияния каждого источника доходов в общую сумму доходов.
Полученные положительные значения показателей при наличии общего чистого дохода отражают по данному финансовому инструменту доход, а при наличии общего чистого убытка - убыток. Отрицательные коэффициенты, соответственно, меняют картину наоборот: прибыль по данному финансовому инструменту при наличии общего чистого убытка или убыток при наличии общего общей чистой прибыли. В случае признания структуры доходов и расходов банка неблагоприятной, банк должен корректировать свою политику в соответствующих секторах (кредитном, валютном, фондовом и т.д.).
Банковская прибыль важна для всех участников экономического процесса. Акционеры заинтересованы в прибыли, так как она представляет собой доход на инвестированный капитал. Прибыль приносит выгоды вкладчикам,ибо благодаря увеличению резервов и повышению качества услуг складывается более прочная, надежная и эффективная банковская система. Прибыль –показатель результативности деятельности банка. Ее анализ следует начинать с рассмотрения составляющих компонентов. В общем плане прибыль, остающаяся в распоряжении банка,зависит от трех глобальных компонентов: доходов, расходов и уплаченных в бюджет налогов.
Анализ доходов и расходов раскрывает причины их изменений. Сопоставим данные, полученные в результате анализа доходов и расходов и:
- вычислим процентную прибыль;
- определим степень покрытия непроцентных расходов непроцентными доходами;
- определим полученную прибыль от валютных операций за 2000 год;
- рассчитаем эффективность от проведения валютных операций.
Процентная прибыль получается в результате вычитания из процентных доходов процентных расходов. Для удобства сравнения темпы роста процентных доходов, расходов и прибыли от валютных операций за анализируемый период изображены на рисунке 1.15.

Рисунок
1.15 - Изменение
процентных
доходов, расходов
и процентной
прибыли от
валютных операций
в гривнах за
пять лет.
О
пределим
степень покрытия
непроцентных
расходов
непроцентными
доходами, т.е.
определим
непроцентную
прибыль (убыток)
за анализируемый
период (Рисунок.1.16).
В американской
практике уровень
непроцентных
доходов составляет
не менее 50% непроцентных
расходов.
Рисунок 1.16 - Изменение непроцентных доходов, расходов и непроцентной прибыли (убытка) от валютных операций в гривнах за пять лет.
Итого за анализируемый период полученная прибыль по валютным операциям составила минус 17556 грн. Динамика прибыли от валютных операций в целом изображена на рисунке 1.17.
Р
исунок
1.17 - Динамика
изменения
прибыли от
валютных операций
за пять лет.
Д
ля
сравнения
полученной
прибыли от
валютных операций
проведем ее
анализ за
анализируемый
период и покажем
это на рисунке
1.18. Т.о. можно сделать
вывод, что валютный
отдел несколько
улучшил свою
работу, предоставляя
новый спектр
услуг и привлекая
к сотрудничеству
крупные предприятия,
работающие
на мировом
рынке, что дало
прирост прибыли
начиная с 1997 года.
Рисунок 1.18 - Валютные операции за 5 лет.
2 Мероприятия по повышению доходности валютных операций банка
В результате проведенного анализа предлагается комплекс мероприятий по увеличению доходности банка от проведения валютных операций.
На современном этапе развития увеличение прибыли возможно за счет совершенствования уже внедренных операций и введения новых.
На основании проведенного в данной дипломной работе анализа валютных операций предлагаются следующие пути по повышению доходности валютных операций банка:
использование остатков на счетах в овернайт;
Операции по выполнению форвардных контрактов на приобретение-продажу валюты;
оптимизация процентных ставок по валютным депозитам и кредитам;
технологии проведения срочных операций
оптимизация работы банковских пунктов обмена валют;
открытие 10 новых банкоматов;
выпуск кредитных карточек;
выпуск дисконтных карточек;
выпуск мультивалютных смарт-карточек;
управление счетом через сеть Интернет, мобильные телефоны;
работа в системе Рейтер.
Рассмотрим целесообразность и доходность использования в банковской практике наиболее доходных из предлагаемых мероприятий.
2.1 Использование остатков на корреспондентских счетах в овернайт
Необходимо дополнительно ввести операцию по размещению в депозит остатков на корреспондентских валютных счетах в других банках.
Целесообразно размещать остатки на валютных корреспондентских счетах в овернайт, то есть на ночь. Депозиты с большими сроками размещения нецелесообразны, поскольку в этом случае ухудшаются показатели ликвидности и платежеспособности банка. Также возникнет необходимость резервировать определенные суммы на счетах клиентов, что повлечет за собой выплату больших процентов клиентам банка, чем проценты по остаткам на валютных счетах клиентов.
Наибольшие остатки на корреспондентских счетах банк имеет в долларах США и российских рублях. В среднем ежедневные свободные остатки в день в этих валютах составляют:
- в долларах США - 300 000.00 USD;
- в рублях РФ - 1 000 000 000 RUR.
Определим планируемый доход от введения рассматриваемой операции.
За остатки на своих корреспондентских счетах банк получает доход в виде процентов. По долларам США эти проценты составляют 4% годовых, по рублям РФ - 8% годовых. Процентные ставки по овернайтам в странах СНГ (взяты средние минимальные ежедневные ставки за I квартал 1997 г.) составляют:
- по долларам США - 18% годовых;
- по рублям РФ - 30% годовых.
Для расчета предполагаемого дохода количество дней в году, в течение которых возможно размещать свободные валютные средства в овернайт принимается равным 248 дней (количество рабочих дней в году).
Дополнительный доход от введения данной операции за год составит:
а) по долларам США:
б) в рублях РФ:
Для удобства восприятия и наглядности необходимо доход от этой операции представить в гривневом эквиваленте. Для этого принимаем средние за I квартал 1999 г. курсы для долларов США – 5,43 грн./доллар США, для рубля РФ - 19 грн./ 10 000 рублей РФ.
Дополнительный доход в гривневом эквиваленте составит:
а) по долларам США:
ДUSDUAH = 22 733 x 5,43 = 123440,19 грн.
б) в рублях РФ:
ДRURUAH = 146 666 667 x 19/10 000 = 27866,65 грн.
Общий доход от введения данной операции составит:
ДUAHO/N = 123440.19 + 27866,65 = 151306,84 грн.
Рассчитав доход, который получит банк от проведения этой операции можно с уверенностью сказать, что для банка этот доход является упущенной прибылью, и самое главное не требует лишних затрат.
2.2 Операции по выполнению форвардных контрактов на приобретение-продажу валюты
Содержание приведенной услуги сводится к следующему. На день продажи форварда клиенту предлагается заплатить незначительную часть денежных средств за возможность через определенное время купить у банка валюту по предварительно обусловленному курсу или же продать ему валюту на таких же условиях. Сумма, которую платит клиент на момент продажи, называется комиссией или банковским доходом. К моменту выполнения форварда содержание операции сводится к обычной неторговой операции. Клиент также вносит определенный задаток подтверждения серьезности намерений на период между продажей и выполнением форварда.
Выгода банка при осуществлении данной услуги является двойной:
привлекаются бесплатные денежные средства;
возникает возможность практически полностью спланировать работу в неторговых операциях, поскольку известно, сколько и по какому курсу следует продать (купить) иностранную валюту через определенный период времени.
Следует также помнить, что осуществление этих операций связано с определенным риском для банка – возможно резкое изменение курса против предварительно запланированного и придется продавать или покупать валюту на невыгодных для себя условиях. Минимизировать этот риск возможно, применяя такие методы:
рассчитать форвардные курсы, использовав специальную технологию;
четко вести платежный календарь по этим обязательствам;
проводить полнопрофильные «форвардные неторговые операции, согласовывая отдаленные обязательства по приобретению и продаже валюты».
Операция с форвардом имеет определенные особенности. Она предусматривает со стороны банка и со стороны покупателя (юридического или физического лица) покупку права приобретения (продажи) валютных ценностей (форварда) на оговоренную условиями форварда дату с фиксацией цены реализации на момент заключения (продажи) форварда.
Покупатель форварда имеет право отказаться от приобретения (продажи) валюты или право на перепродажу форварда третьим лицам.
Держателем форварда может выступать как физическое, так и юридическое лицо, но реализовать свое право на покупку (продажу) иностранной валюты может лишь физическое лицо.
Держатель форварда может реализовать свое право на приобретение (продажу) валюты лишь в срок, определенный при заключении форварда. В случае нереализации держателем своего права на приобретение (продажу) валюты в определенный форвардом срок последний теряет свою силу и уже не является обязательным для выполнения банком.
Формула для расчета задатка при реализации форварда на покупку иностранной валюты имеет такой вид:
СУММА задатка = (А-В)*360/С*К*Ост, (2.1)
где А - предусматриваемый рыночный курс валюты на момент реализации
форварда;
В – курс продажи по условиям форварда;
(А-В) – разница в курсах, которую необходимо покрыть путем привлечения задатка и его использования как кредитного ресурса;
С – срок выполнения обязательств по форварду, дней;
К – коэффициент привлечения ресурсов банка в сравнении с учетной ставкой НБУ;
Ост. – учетная ставка НБУ на момент заключения форварда.
Формула для расчета задатка по форвардам на продажу имеет аналогичный вид, только элементы в скобках меняются местами:
СУММА задатка = (В – А)*360/С*К*Ост, (2.2)
где В – курс покупки по условиям форварда;
А – ожидания банка по поводу минимального курса покупки.
Общий принцип реализации форварда сводится к следующему: он может быть привлекательным по курсу, а возможные при этом потери в курсе должны легко покрываться выгодами от использования как ресурса сумм задатка.
2.3 Оптимизация процентных ставок по валютным депозитам и кредитам
Ценовая конкуренция заключается в предоставлении наиболее выгодных финансовых условий по аналогичным услугам. Например, самые высокие процентные ставки или самые низкие тарифы. Использование этого вида конкурентой борьбы дает достаточно быстрые и хорошие результаты.
Несомненно, одним из наиболее важных и решающих факторов, стимулирующих клиентов к сбережению ресурсов именно в этом банке является размер процентной ставки по депозиту, режим начисления процентов и т.п, то есть процентная политика банка.
Размер депозитного процента устанавливает коммерческий банк самостоятельно, исходя из учетной ставки НБУ, состояни денежного рынка и собственной депозитной политики.
С целью заинтересовать вкладчиков в помещении своих средств в банк используются различные способы исчисления и уплаыт процентов. Рассмотрим некоторые из них.
Традиционным видом начисления дохода являются простые проценты, когда в качестве базы для расчета используется фактический остаток вклада, и с установленной периодичностью, исходя из предусмотренного договором процента происходят расчет и выплата дохода по вкладу.
Другим видом расчета дохода являются сложные проценты (начисление процента на процент). В этом случае по истечении расчетного периода на сумму вклада начисляется процент и полученная величина присоединяется к сумме вклада. Таким образом, в следующем расчетном периоде процентная ставка применяется к новой возросшей на сумму начисленного ранее дохода базе. Сложные проценты целесообразно использовать в том случае, если фактическая выплата дохода осуществляется по окончании срока действия вклада.
Привлекательным для вкладчиков является применение процентной ставки, прогрессивно возрастающей в зависимости от времени фактического нахождения средств во вкладе. Такой порядок начисления дохода стимулирует увеличение срока хранения средств и защищает вклад от инфляции.
Некоторые банки с целью компенсации инфляционных потерь предлагают выплату процентов вперед. В данном случае вкладчик при помещении средств на срок сразу же получает причитающийся ему доход. Если договор будет расторгнут досрочно, то банк пересчитает проценты по вкладу и излишне выплаченные суммы будут удержаны из суммы вклада.
Для вкладчика, выбирающего банк с целью размещения средств, определяющим (при прочих равных условиях) может стать порядок расчета величины процента. Дело в том, что при исчислении одни банки исходят из точного количества дней в году (365 или 366), а другие из приближенного числа (360 дней), что отражается на величине дохода.
Привлечение средств вкладчиков в коммерческие банки способствует изменение порядка выплаты процентов. Ведь большая часть КБ выплачивает проценты по вкладам один раз в год. Поэтому в условиях острого дефицита на банковские ресурсы КБ стали выплачивать проценты по вкладам ежеквартально или даже ежемесячно, что позволило им привлекать средства по более низким процентным ставкам.
Как показывает зарубежный и отечественный опыт, для вкладчика важнейшим стимулом служит уровень процента, выплачиваемого банками по депозитным счетам. Поэтому, очевидным мероприятием по привлечению дополнительных банковских ресурсов, является увеличение процентной ставки по депозитам.
По результатам маркетинговых исследований установлено, что эластичность процентной ставки по депозитам составляет 3,6. Т.е. увеличение депозитной процентной ставки на 1% приведет к возрастанию объема привлеченных средств на 3,6%. Опираясь на информацию о размере депозитных средств Банка в 2000 г, а также используя результаты маркетинговых исследований, можно приблизительно расчитать как отразится увеличение процентной ставки по депозитам физических лиц на 1% на объеме привлеченных средств. Следует учитывать, что процентные ставки по различным видам депозитов существенно отличаются, и поэтому для расчета необходимо применять среднюю процентную ставку. Среднюю процентную ставку по депозитам расчитывают как отношение процентных расходов ко всем средствам, привлеченным в депозиты.
По данным годовой отчетности Банка в 2000 г. процентные расходы Банка составили 95 186,7тыс. грн. Объем привлеченных в депозиты средств физических лиц составил 559922 тыс.грн. Следовательно, средняя процентная ставка по депозитам физических лиц составляла :
95 186,7 / 559922*100 = 17%.
Учитывая эластичность депозитной процентной ставки расчитаем каким будет объем средств, привлеченных в депозиты физических лиц, если ставка увеличится на один процент.
559922*1,036 = 580079 тыс.грн.
Следовательно, возрастание процентной ставки на 1% приведет к увеличению привлеченных средств на 20 157 тыс. грн. Т.о. банковские ресурсы увеличились на 20 157 тыс.грн, разместив их в доходные активы Банк сможет получить дополнительную прибыль. Приблизительный размер дохода от привлечения дополнительных ресурсов можно вычислить, зная средний по Банку доход от размещения привлеченных ресурсов. Он вычисляется аналогично средней процентной ставке по депозитам, и равен отношению процентных доходов ко всей сумме активов. В 2000 г средний по Банку доход от размещения ресурсов составил
677 753 / 2 259 178 *100 = 30%
При расчете прибыли полученной от размещения (таблица 2.2) дополнительно привлеченных средств необходимо учитывать ставку резервирования привлеченных средств, которая на момент расчета составляла 12%.
Таблица 2.2 – Расчет результата от повышения депозитной процентной ставки на 1%
| 1.Объем ресурсов, тыс.грн | 20 157 |
| 2.Ставка резервирования, % | 12 |
| 3.Сумма резервирования, тыс. грн | 2 419 |
| 4.Средства для размещени,тыс.грн (п.1 –п.3) | 17 738 |
| 5.Средний доход от размещения ресурсов, % | 30 |
| 6. Доход от размещения ресурсов, тыс.грн (п.4*п.5) |
5 321,4 |
Таким образом, видно, что увеличение процентной ставки по депозитам на 1% приведет к привлечению дополнительных ресурсов в размере 20 157 тыс. грн, от последующего размещения которых Банк получит дополнительный доход в размере 5 321,4 тыс. грн.
Однако постоянное использование такого метода ведет к повышенным расходам и, следовательно, снижению эффективности работы банка. Применение данного метода целесообразно в период быстрого роста рынков, большую часть которых банк надеется завоевать.
2.4 Технологии проведения срочных операций
Дилинг (операции финансовых институтов по управлению своими активами) на международных рынках, по сути, не является чем-то новым для нынешней украинской действительности.
Наиболее прибыльным считается дилинг на международных валютных рынках Fоrex (сокращение от Foreign Exchange). Потенциал для получения прибыли на Forex значительно выше, чем на каком-либо другом финансовом рынке. Осуществлять дилинговые операции на валютных рынках можно через банки, которые проводят такие операции как для юридических, так и физических лиц, предоставляя кредитный рычаг, который варьируется от 1:20 до 1:50. Это значит, что на вложенную сумму клиент может оперировать в 20-50 раз большей.
Характерной особенностью операций с фьючерсными контрактами является то, что при их покупке или продаже вносится не вся сумма контракта, а лишь залог, составляющий от 2 до 5% от стоимости контракта. Таким образом, появляется возможность совершать операции с рычагом от 1:50 до 1:20, что существенно увеличивает денежный потенциал.
Эти сделки предоставляют практически неограниченные возможности для спекуляций. Кроме того, они просто необходимы для целей страхования (хеджирования) ценовых рисков при заключении экспортно-импортных торговых сделок.
Привлекательность международных финансовых рынков для отечественных инвесторов очевидна. Котировки на мировых валютных рынках меняются ежесекундно, что позволяет получать солидный доход.
Непременным требованием успешного дилинга является высокая оперативность в двух вопросах: в получении свежей информации о движении курсов валют и в осуществлении сделок на рынке. Промедление даже на долю секунды порой может привести к немалым денежным потерям.
Спекуляция на валютном рынке является сегодня одним из основных источников дохода современных банков во всем мире. К примеру, 80% от всей прибыли крупнейшего швейцарского банка (United Bank of Switzerland (UBS) в 1994 году составила спекуляция валютой US$/DM, US$/Yen, и только 20% от всей прибыли составили доходы от кредитов, торговли ценными бумагами и т.д. (смотрите финансовый отчет "UBS Annual Report of 1994 г." Доходы от валютных спекуляций стоят на первом месте у таких банков как: Chase Manhattan Bank, Barclays Bank, Soceite Generale Bank&Trust, Swiss Bank Coporation, ABN-Amrobank, Greditanstalt Bankverein и других. Основное состояние Сороса является результатом валютных спекуляций.
Рассмотрим технологии проведения некоторых сделок.
2.4.1 Страхование валютного риска
Примером страхования валютного риска является операция, проведенная одним украинским импортером шведской мебели. Размер контракта составлял примерно 300 000 USD, курс USD/SEK (доллар США / шведская крона) 7,8100 крон за доллар. Поступление средств в долларах и оплата контракта в кронах ожидались через три месяца. Ожидая усиления кроны, импортер продал 300 000 долларов США против шведской кроны на условиях маржевой торговли, для чего ему понадобилось открыть гарантийный счет в банке в размере 3000 USD. Через три месяца курс USD/SEK был равен 7,7200. Импортер закрыл позицию (купил доллары США против шведской кроны) по этому курсу, что принесло ему прибыль 27000 SEK. Эта сумма была бы потеряна импортером в результате роста курса кроны, если бы контракт не был захеджирован описанным образом.
2.4.2 Валютные спекуляции
Примером
спекуляции
может служить
торговля в
течение одного
операционного
дня. Ожидая
выхода благоприятных
данных для
доллара по ВВП
США, клиент
купил 1
000
000 долларов
США против
швейцарского
франка, по котировке
USD/CHF = 1,5510. После выхода
данных (через
30 минут, после
заключения
клиентом сделки)
курс доллара
вырос до
USD/CHF = 1,
5580. Клиент закрыл
позицию по этой
котировке,
получив прибыль
в 7000 швейцарских
франков.
2.4.3 Валютные опционы
Валютный опцион - сделка между покупателем опциона и продавцом валют, которая дает право покупателю опциона покупать или продавать по определенному курсу сумму валюты в течение обусловленного времени за вознаграждение, уплачиваемое продавцу. Валютные опционы применяются, если покупатель опциона стремится застраховать себя от потерь, связанных с изменением курса валюты в определенном направлении.
2.4.4.Форвардные сделки
Предположим, импортеру из Украины через 1 месяц на 15.06.2000 необходимо 1 000 000 долларов для оплаты продукции, которая будет поставлена от американского экспортера. Так как импортер опасается повышения курса доллара, он решает застраховаться, заключив форвардный контракт с КБ «Приватбанк». Банк производит котировку курса доллара к украинской гривне по форвардной сделке со сроком погашения 1 месяц. При продаже на форвардной основе у банка возникнет задолженность, и как следствие банк будет иметь короткую позицию в долларах. Возникнет риск, связанный с открытой позицией. Банк хочет застраховать этот риск. Страхование происходит при помощи двух вариантов: посредством комбинации процентной и валютной сделок или форвардной сделки на межбанковском валютном рынке. Так как на форвардный курс оказывают влияние процентные ставки, то для того, чтобы рассчитать форвардный курс банк будет руководствоваться первым вариантом страхования, а именно комбинацией процентной и валютной сделок:
Курс спот на 15.05.2000 UAH/USD 5,4412 5,5062
Процентная ставка на 1 месяц:
По долларам – 6%; по гривнам – 48%
Банк берет кредит в гривнах, равный 5 506 200 грн. по курсу спот, под 48 % годовых на 1 месяц для покупки 1 000 000 долларов.
Проценты по кредиту = 5 506 200*0,48*30/360 = 220 248 грн за 1 месяц
При погашении кредита банку нужно выплатить 5 726 448 грн.
Далее банк покупает доллары, чтобы закрыть валютную позицию. Поскольку банку доллары не нужны в течение 1 месяца (когда они будут поставлены импортеру), он разместит их на межбанковском валютном рынке на одномесячный период под 6% годовых и получит проценты:
Проценты по
депозиту = 1 000
000*0,06*30/360 = 5000 долларов
за 1 месяц. То
есть через 1
месяц банк
выплачивает
5 726 448 грн. и получает
1 005 000 долларов.
Практически банк применит следующую формулу (2.3):
(2.3)
![]()
Банк устанавливает форвардный курс в 5,699 грн за 1 USD, что с учетом риска и получения прибыли несколько превышает рассчитанную величину.
Затем банк выбирает для себя один из вариантов покрытия валютного риска: либо комбинацию процентной и валютной сделок, либо заключение сделки по меньшему форвардному курсу. Банк решает компенсировать клиентскую сделку на межбанковском валютном рынке посредством заключения форвардной сделки, сыграв на разнице курсов.
На межбанковском валютном рынке форвардный курс UAH/USD составил 5,6860. Заключив межбанковскую сделку, банк получит прибыль от страхования.
Таким образом, банком заключаются следующие сделки:
Сделки банка |
Продажа |
Покупка |
Форвардный курс UAH/USD |
| Клиентская сделка | $ 1 000 000 | 5 697 900 грн. | 5,6979 |
| Межбанковская сделка | 5 686 000 грн. | $ 1 000 000 |
5,6860 |
Итак, при
проведении
этих операций
банк получает
прибыль равную
5 697 900 – 5 686 000 = 11 900 грн.
2.4.5 Сделки своп
С использованием форвардных контрактов совершаются также сделки своп. Свопы позволяют так же, как и форвардные соглашения, страховать валютные риски, то есть уменьшать возможные убытки в результате неблагоприятных изменений экономической среды, и, во вторых получать дополнительные доходы, принимая на себя процентный риск, соразмеримый с ожидаемой прибылью.
Валютный своп – комбинация двух конверсионных сделок с валютами на условиях спот и форвард. Иностранная валюта, покупаемая по сделке спот продается через определенный срок, и соответственно валюта, продаваемая по сделке спот через более поздний срок покупается вновь. Одна конверсия заключается с немедленной поставкой (сделка спот), а другая, обратная – с поставкой в будущем на заранее оговоренных условиях (форвардная сделка). Обе сделки заключаются с одним и тем же партнером, при этом курсы, даты валютирования и способы платежа устанавливаютя в момент заключения сделки. Обменные курсы, по которым производится обмен валют могут изменяться, если обе стороны полагают, что стоимости валют со временем изменятся. В этой сделке отсутствует значительный кредитный риск, так как неисполнение валютного свопа означает, что в будущем не состоится предусмотренный валютный обмен. Своп помогает уменьшить долгосрочный операционный риск. Однако в с лучае, если одна сторона не в состоянии выполнить обязательство по контракту, другой компании прийдется обменивать валюту на валютных рынках по новому обменному курсу. Валютная позиция соотношение обязательств по кодам валют и срокам. Возможна позиция закрытая – когда обязательства по каждой валюте совпадают по срокам и суммам. При невыполнении этого условия позиция считается открытой. Открытая позиция в соотношении каждого кода валют может быть короткой и длинной. Длинная позиция предполагает преобладание требований в валюте по сравнению с обязательствами. Короткая позиция предполагает преобладание обязательств в валюте по отношению к требованиям по ней. Сделки своп позволяют управлять процентным и валютным риском в условиях нестабильности валютных курсов и процентных ставок.
Рассмотрим следующий пример: Предприятие взяло кредит у банка “Аваль“ на сумму 1 млн.долл. на срок 3 года по ставке 8% с уплатой процентов ежегодно. “Приватбанк” взял кредит на межбанковском валютном рынке 1.5 млн. немецких марок на срок 3 года по ставке FIBOR 3.8% с уплатой процентов раз в полгода. Курс спот 1.5000.
Валютный своп имеет 3 стадии:
первоначальная продажа привлеченных сумм;
покупка сумм, причитаюцихся к оплате процентов;
покупка суммы для погашения основного долга.
Стадия 1: Предприятие продает 1 млн. долларов Приватбанку, приобретая у него немецкие марки по курсу спот 1,7.
Стадия 2: Через 6 месяцев Приватбанк купит у предприятия 45 тыс. марок – сумму процентов по ставке FIBOR на дату заключения по курсу форвард на 6 месяцев, действовавшему на дату заключения сделки. У предприятия возникнет открытая валютная позиция по курсу USD/DEM в размере разницы между ставкой FIBOR по немецким маркам и ставкой 8% по долларам на сумму полугодичных процентов контрагента.
Стадия 3: Через 12 месяцев банк купит у предприятия еще 45 тыс. немецких марок (1 500 000*0,06*6/12) – сумму процентов по ставке FIBOR на дату заключения по курсу форвард на 12 месяцев, действовавшему на дату заключения сделки. У предприятия возникнет еще одна открытая позиция курсу USD/DEM в размере второй разницы в процентах. Одновременно предприятие купит у банка 80 тыс. долларов (1 000 000*0,08*12/12) – сумму процентов по своему привлечению в долларах за первый год. Покупка будет осуществлена по курсу форвард на 12 месяцев, действовавшему на дату заключения сделки. Открытая позиция USD/DEM, возникшая от первых 2-х сделок, погасится последней сделкой.
Приведем еще несколько примеров.
Пример1: Позиция Long. Прибыли и убытки. (длинная позиция)
Допустим, Вы купили 1 000 000 английских фунтов за американские доллары по котировке 1.5800. Для этого Вам потребовалось 1 580 000 долларов США. До тех пор пока Вы их не продали, считается, что у Вас открыта длинная позиция (Long) по финансовому инструменту GBP/USD. Позицию Long иногда еще называют позицией "наверх", т. к. купив английские фунты, Вы предполагаете, что доллар будет слабеть по отношению к фунту, т. е., количество долларов за 1 фунт будет увеличиваться.
Что происходит после открытия позиции? Курс изменяется в ту или другую сторону. Допустим, Вы угадали и доллар начал слабеть, достигнув котировки 1.5900. Вы решаете продать купленные ранее 1000000 английских фунтов и тем самым закрываете позицию и получаете за них 1 590 000 американских долларов.
Сделав простой подсчет $1 590 000 – $1 580 000 = $10 000 , видно что получается 10 000 долларов прибыли.
Таким образом, если у Вас на депозите лежало $10 000, то в результате успешно проведенных действий Вы получите $20 000.
Теперь рассмотрим другую ситуацию. Вы не угадали и доллар начал укрепляться, достигнув отметки 1.57 доллара за фунт. Вы решаете продать купленные ранее 1 000 000 английских фунтов и тем самым закрываете позицию и получаете за них $1 570 000 американских долларов.
Произведя расчет $1 570 000 - $1 580 000 = - $10 000
Поэтому недостача пополняется за счет Вашего депозита и у Вас на депозите остается $ 0. Таким образом, депозит служит своего рода страховым взносом от изменения валютного курса. Конечно Вы можете сказать, что не будете закрывать свою позицию до лучших времен. Однако здесь ограничивается свобода принятия решений размером Вашего депозита. Дело в том, что компьютеры отслеживают открытую позицию в режиме реального времени, т. е. каждую секунду компьютер пересчитывает вашу текущую прибыль исходя из котировки на данный момент.Так, например, если на данный момент котировка 1.575, то Ваш текущий убыток исчисляется как (1.575 - 1.58)*1 000 000 = $5000. Компьютер сравнивает Ваш текущий убыток с депозитом и когда он достигает размеров Вашего же депозита выдается принудительная команда закрыть позицию.
Пример 2: Позиция Short. Прибыли и убытки. (короткая позиция)
Допустим,
Вы продали 1
000 000 английских
фунтов за
американские
доллары по
котировке
1.5800. До тех пор,
пока Вы не откупили
свой
1 000 000 английских
фунтов, считается,
что у Вас открыта
короткая позиция
(Short) по финансовому
инструменту
GBP/USD. Позицию Short
иногда еще
называют позицией
"вниз", т. к., продав
английские
фунты, Вы предполагаете,
что доллар
будет укрепляться
по отношению
к фунту (а старый
добрый англиский
фунт соответственно
слабеть к доллару),
т. е. количество
долларов за
1 фунт будет
уменьшаться.
Допустим, Вы угадали и доллар начал укрепляться, достигнув котировки 1.57. Вы решаете купить проданные ранее 1 000 000 английских фунтов и тем самым закрываете позицию, потратив на это $1570000 долларов. У вас остаются (1 580 000-1 570 000) = $10 000, которые являются Вашей прибылью и вследствии чего попадают Вам на депозит. Таким образом, если у Вас на депозите лежало $10000, то в результате успешно проведенных действий Вы получите $20 000.
Теперь
рассмотрим
другую ситуацию.
Вы не угадали
и доллар начал
слабеть, достигнув
отметки 1.59 доллара
за фунт. Вы решаете
купить проданные
ранее 1 000 000 английских
фунтов и тем
самым закрываете
позицию, но
есть одна проблема
вы получили
$1 580 000, а для покупки
1 000 000 фунтов сейчас
требуется $1
590 000. Получается
убыток в $10
000.
С вашего депозита
снимается $10
000.
Таким образом, депозит служит своего рода страховым резервом от изменения валютного курса.
Но, прежде чем рассматривать следующие примеры, введем несколько терминов:
Объем сделки (V) - количество одной валюты, купленной или проданной за другую валюту.
Объем открытой позиции (Volume) - сумма всех объемов сделок, в которой каждый объем сделки учитывается в соответствии со своим знаком(направлением открытия): Buy - учитывается со знаком "+", SELL учитывается со знаком "-". Поэтому объем открытой позиции для Long всегда положительное число, а для Shot - всегда отрицательное число.
Цена сделки (Pr) - котировка, по которой совершается сделка: покупка (продажа) одной валюты за другую валюту.
Цена открытой позиции (Price) - средневзвешенная величина, получаемая как отношение суммы произведений объемов сделки на цену сделки к объему открытой позиции, причем объемы сделок учитываются в соответствии с их знаком.
Понятие "цена открытой позиции" существует, если объем открытой позиции отличен от нуля, т. е. если открытая позиция имеется как таковая.
Price = (V1*Pr1+V2*Pr2+....)/(V1+V2+...) (2.4)
Цена открытой позиции это та ценовая планка, преодолев которую, рыночный курс выводит Вас в зону прибыли. Так, например, для позиции Long зона прибыли лежит выше цены открытой позиции, т. е. если текущая котировка выше, чем цена открытой позиции, то Вы можете легко закрыть позицию (сделав сделку Sell), зафиксировав при этом прибыль. Для позиции Short зона прибыли лежит ниже цены открытой позиции, т. е. если текущая котировка ниже чем цена открытой позиции, то Вы можете легко закрыть позицию (сделав сделку Buy) , зафиксировав при этом прибыль.
Прибыль (убыток) по позиции (текущая прибыль) PROFIT.
Прибыль по позиции является величиной переменной и зависит от текущей котировки, объема открытой позиции и цены открытой позиции. Для позиции Long текущая прибыль равна произведению разности между котировкой Bid (цена, по которой можно закрыть позицию) и ценой открытой позиции на объем открытой позиции.
PROFIT= (Bid-Price) *Volume (2.5)
Если Bid>Price, то Вы находитесь в зоне прибыли.
Если Bid
rice, то Вы находитесь в зоне убытков.
Для позиции Short текущая прибыль равна произведению разности между котировкой Ask (цена, по которой можно закрыть позицию) и ценой открытой позиции на объем открытой позиции.
PROFIT = (Ask-Price) *Volume (2.6)
Если Ask>Price, то Вы находитесь в зоне убытков (PROFIT < 0), т к (Ask-Price)>0, а Volume<0 (для Short Volume<0 всегда)
Если Bid < PRICE, то Вы находитесь в зоне прибыли (PROFIT > 0).
Вообще-то зоны прибылей и убытков можно опредилить и более просто. Когда Вы стоите в Long, то это значит, что для Вас хорошо, если котировки будут идти наверх как можно выше цены, по которой у Вас открыта позиция. Если Вы стоите в Short, то для Вас будет хорошо, если котировки пойдут вниз ниже цены, по которой Вы открыли позицию.
Прибыль (убыток), результат получаемый в при закрытии позиции.
Купить (BUY) Вы всегда можете по котировке Ask, а продать (Sell) по котировке Bid. Когда Вы закрываете позицию, у Вас образуется прибыль или убыток, в зависимости от того угадали Вы направление движения или нет. Чтобы закрыть позицию, вы должны сделать сделку, равную по объему, но противоположную по знаку уже имеющейся открытой позиции: если у Вас имеется позиция Long, то, чтобы ее закрыть, Вы должны продать (SELL), а если у Вас позиция Short, то Вы должны откупить (BUY). В результате закрытия позиции у Вас образуется прибыль (убыток), которая добавляется (списывается) к Вашему депозиту.
Для позиции Long прибыль (убыток) равна произведению разности между ценой сделки закрытия (Pr) и ценой открытой позиции (Price) на объем открытой до этой сделки позиции(Volume).
PROFIT = (Pr-Price) *Volume (2.7)
Если Pr>Price, то на депозит падает прибыль(PROFIT>0).
Если Pr
Для позиции Short текущая прибыль равна произведению разности между ценой сделки закрытия (Pr) и ценой открытой позиции (Price) на объем открытой до этой сделки позиции.
PROFIT = (Pr-Price) *Volume (2.8)
Если Pr>Price, то с Вашего депозита списывается убыток(PROFIT<0), т к (Pr-Price)>0, а Volume<0 (для Short позиции Volume<0 всегда)
Если Pr
Пример 3. Частичное закрытие позиции
Допустим, Вы купили 1 000 000 английских фунтов за американские доллары по котировке 1.5800. Предположим также, что курс вырос до отметки 1.59. У Вас возникает дилемма закрыть позицию, зафиксировав прибыль, или подождать еще. Однако здесь имеются и промежуточные решения частично закрыть, т. е., продать не 1 000 000 фунтов а только например 500 000, а остальное оставить в рост. В этом случае у Вас все равно остается открытая наверх позиция в размере 500 000 фунтов. До тех пор, пока Вы ее поностью не закроете, Вы остаетесь в позиции Long. Причем цена открытой позиции усреднится и составит:
(1000000*1.58 - 500000*1.59) / (1000000-500000) = 1.57
Таким образом, за счет прибыли у Вас улучшилась средняя цена открытой позиции. Система расчетов такова, что до тех пор пока Вы не закрыли полностью позицию, Ваша прибыль не попадает на депозит, а улучшает цену открытия оставшейся позиции по данному финансовому инструменту.
Пример 4. Усреднение позиции.
Допустим, Вы купили 1 000 000 евро за американские доллары по цене 1.0365, образовав при этом позицию Long. Пусть курс изменился не в Вашу пользу, и европейская валюта упала до котировки 1.03 доллара за евро. Допустим также, что, проанализировав ситуацию, Вы полагаете, что ниже 1.03 евро уже не пойдет, поэтому Вы решаете усреднить позицию и купить еще 1 000 000 по цене 1.03. В результате этого у Вас образуется позиция Long: наверх открыто 2 000 000 евро по средней цене (1 000 000*1.0365+1 000 000*1.03)/2 000 000=1.0332.
Чем хорошо усреднение позиции? Усреднение позиции хорошо тем, что ценовая планка, преодолев которую Вы становитесь в прибыли, в результате усреднения получается ближе к текущей цене (1.0332 вместо 1.0365) и, следовательно, стоит курсу немного двинуться наверх, как Вы уже сможете закрыться в плюсе.
Чем плохо усреднение? Усреднение позиции ведет к увеличению объема открытой позиции, в результате чего величина убытков, если курс продолжает идти не в Вашу сторону, возрастает.
2.4.6 Фьючерсные сделки
Валютным фьючерсом называется контракт на будущий обмен определенного количества одной валюты на другую по заранее определенному курсу. На фьючерсных биржах мира обычно используется прямое котирование курсов валют, при котором указывается количество национальной валюты, необходимое для покупки единицы иностранной валюты. В валютных фьючерсах, котируемых на биржах США, фьючерсные цены отражают долларовую стоимость единицы базисной валюты. Цена покупки валютного фьючерсного контракта определяется главным образом форвардным курсом базисной валюты.
Громадное большинство валютных фьючерсов обращается до даты поставки, т.е. сделки на покупку заменяются сделками на продажу равной суммы и наоборот, закрывая таким образом открытые позиции и избегая физической поставки валюты. При торговле валютными фьючерсами важно предвидеть изменение курса базисной валюты в будущем и постоянно следить за изменением курса в течение всего срока действия фьючерса, а уловив нежелательную тенденцию, своевременно избавиться от контракта. Спекулянты закрывают позиции, когда они либо достигли прибыли, либо принимают решение об уменьшении убытков.
Выглядит
фьючерсная
сделка так:
банк по поручению
клиента заключает
сделку, скажем,
на продажу 100
000 долл. за немецкие
марки по объявленному
банком курсу,
например 2,1600, т.
е. на 216 000 марок.
Клиент вносит
на гарантийный
счет 1000 долл. в
качестве маржи,
обеспечивающей
риски по этому
контракту. Если
прогноз клиента
оправдается
и курс доллара
по отношению
к марке опустится
до 2,1400, то банк,
купив в этот
момент
100 000 долл.
за марки, закрывает
открытую позицию
по доллару и
получает прибыль
в размере 2000 марок,
или около 925 долл.
Таким образом,
за одну сделку,
которая по
времени может
занять всего
один день, так
как колебания
валютного курса
в пределах 100
- 200 пунктов в
течение дня
дело обычное,
на вложенную
тысячу долларов
получается
прибыль в 92,5%.
Ясно, что при неправильном прогнозе такая сделка приведет к потере гарантийной маржи, т. е. к убытку.
Рассмотрим еще один пример. На момент начала операций на счету клиента находилась 51тыс.долларов. Клиент решил использовать 50тыс. для покупки лотом в 1 млн.долларов немецких марок по курсу 1,5530 немецких марок за американский доллар. Предположим, что к середине дня курс немецкой марки к доллару упал до 1,5561 немецких марок за один американский доллар. Это в динамике счета клиента отразилось потерей 2000 долларов. В этой ситуации клиент может пойти по одному из двух следующих путей:
Если клиент уверен в том, что тенденция изменится к концу дня, то он может оставить позицию открытой и ждать увеличения курса немецкой марки к доллару США. При благоприятном исходе клиент может отыграть проигрыш.
Если клиент не уверен в возможности отыграть проигрыш в течение дня, то он может закрыть позицию с проигрышем (т.е., на его счете останется 49000 долларов). Для возобновления операций клиент будет должен либо довнести 1000 долларов до минимальной суммы страхового депозита, либо взять кредит у банка на сумму 1000 долларов под 10% годовых.
2.4.7 Сделки спот
Рассмотрим пример покупки банком безналичной иностранной валюты на условиях «СПОТ».
Операции, проводимые на условиях спот, это операции с датой валютирования не позднее, чем на второй рабочий день после заключения договора.
Итак, 10 июня 2000 г. банк-резидент «А» договаривается купить 1000 долларов США у банка-резидента «В» на условиях ‘спот’ по курсу 5,4421 за 1 доллар США. Расчеты в иностранной валюте проводятся через банки-нерезиденты 12 июня.
Официальный курс: 1 доллар США = 5,4375 грн.
10 июня производится оприходование по внебалансовому счету №9200 «Валюта и банковские металлы, купленные на условиях спот» на сумму 1000 долларов США и на счету №9210 «Национальная валюта и банковские металлы, проданные на условиях спот» на сумму 5442,1 гривен.
12 июня производятся бухгалтерские проводки за исключением №9210 «Национальная валюта и банковские металлы, проданные на условиях спот» на сумму 5442,1 гривен и №9200 «Валюта и банковские металлы, купленные на условиях спот» на сумму 1000 долларов США и отображаются операции в балансе:
Д-т 072/840 К-т 150/840 Сумма 1000 долларов США.
(при наличии выписки)
Д-т 939/840 К-т 960 Сумма 5442,1 гривен.
2.4.8 Маржевая торговля.
Купля/продажа валют между участниками валютного рынка осуществляется, как правило, фиксированными объемами ( лотами ) .
Размер минимального торгового лота равен 100 000 единиц первой валюты котировки, для простоты будем говорить о долларах США. Банки и финансовые компании оперируют объемами в несколько миллионов, а иногда и несколько сотен миллионов долларов.
Если оперировать на рынке реальной сотней тысяч, то в действительности доходность от спекулятивных операций будет составлять в лучшем случае 30 – 40 % годовых, что, вообще говоря, тоже очень неплохо.
При этом существует механизм маржевой торговли, который позволяет повысить доходность до 5 - 20 % процентов в месяц, в зависимости, как уже говорилось, от конъюнктуры и квалификации торгующего.
Суть маржевой торговли состоит в том, что банки и брокерские конторы, предоставляющие услуги для клиентов по проведению конверсионных операций, проводят их при наличии средств на счете клиентов, существенно меньших, чем требуемый объем рыночного лота. Для того, чтобы оперировать объемом средств в 100 000 долларов, на торговом счете достаточно иметь 10 000 долларов. Брокерская контора будет, таким образом, совершать операции по указанию клиента на сумму в 10 раз большую, чем денег у него на счету. Это и есть принцип маржевой торговли или торговли "с плечом". В данном случае "плечо" соотношение между объемом сделки и собственными средствами клиента - равно 10 . Обычно на практике его размер колеблется от 20 до 100, в зависимости от конкретных рыночных условий. В данном случае, соответственно, будет расти и доходность этих операций.
Примеры подсчета результатов сделки:
1. Куплено 1 000 000 USD против швейцарского франка (CHF), по курсу (PRICE) 1,5550. Затем продано 1 000 000 USD по курсу (PRICE) 1,5560.
| USD |
CHF |
PRICE |
| + 1 000 000 | - 1 555 000 | 1,5550 |
| - 1 000 000 |
+ 1 556 000 |
1,5560 |
| 0 | +1000 |
Прибыль составила 1000 швейцарских франков (примерно 650 долларов США).
2. Продано 100 000 USD против японской йены (JPY), по курсу 105,15. Затем куплено 100 000 USD по курсу 104,88
USD |
JPY |
PRICE |
| - 1 000 000 | + 10 515 000 | 105,15 |
| + 1 000 000 | - 11 488 000 | 104,88 |
| 0 | +27 000 |
Прибыль составила 27 000 йен (примерно 260 долларов).
Маржевая торговля с банком дает возможность страховать валютные риски также как известные биржевые инструменты - фьючерс, опцион и варрант, но является более доступной и удобной для клиента.
При этом необходимо заметить, что огромный объем финансовых рынков, и большое число их участников приводит к возникновению строго детерминированных внутренних закономерностей, не зависящих от воли участников.
2.4.9 Схема страхования типичной валютной сделки
Хеджирование риска экспортера. Экспортер заключает со своим банком форвардный контракт на продажу долларов сроком на 1 месяц, рассчитывая на повышение курса относительно доллара. экспортер покупает на валютной бирже фьючерсные контракты на поставку долларов сроком на 1 месяц на сумму товарного контракта.
Хеджирование риска банка экспортера. Банк экспортера, заключивший контракт со своим клиентом на покупку долларов по курсу-форвард с отсроченным исполнением, одновременно покупает на бирже фьючерсы на поставку долларов с тем же сроком исполнения.
Хеджирование риска импортера. Импортер, ожидающий повышения курса, находится в выигрышном положении, т. к. в этом случае для оплаты контракта ему потребуется меньше долларов. Но динамика валютного курса может быть и другой. Чтобы застраховать себя от роста курса доллара:
импортер покупает на валютной бирже фьючерсные контракты на сумму сделки. Заключает со своим банком форвардный контракт на покупку валюты с отсрочкой исполнения.
Хеджирование риска банка-импортера. Банк импортера рискует при заключении форвардного контракта со своим клиентом. В случае повышения курса доллара относительно марки. С его стороны возможны следующие действия:
одновременно с заключением форвардной сделки на продажу, банк покупает на валютной бирже фьючерсы на покупку валюты на сумму форвардного контракта с той же датой исполнения, что и дата исполнения форвардной сделки.
Таким образом, теоретически все участники сделки имеют возможность застраховать свои валютные риски и даже получить дополнительную прибыль в случае благоприятной для них динамики валютного курса. В условиях плавающих валютных курсов фьючерсные котировки валют подвержены значительным и часто непредсказуемым изменениям, что делает задачу правильного прогнозирования валютного курса трудно разрешимой в принципе.
2.5 Оптимизация депозитного портфеля банка по валютам
Депозитные и кредитные процентные ставки колеблются в зависимости от валюты. Поэтому, банку целесообразно оптимизировать депозитный портфель по валютам, что бы при любом положении финансового рынка получать максимальную прибыль. Для оптимизации депозитного портфеля можно применить такой экономико-математический метод как теория игр. Прежде всего приведем общие сведения из теории игр. Теория игр — математическая теория оптимальных решений конфликтных ситуациях. Поскольку участники конфликта, как правило, заинтересованы в том, чтобы скрывать от противника свои действия, ситуация задач теории игр является ситуацией принятия решений в условиях неопределенности. Логической основой теории игр. является формализация понятий конфликта, принятия решений в нем и оптимальности этого решения. Конфликтом называется явление, в котором присутствуют участники (игроки), имеющие различные цели и располагающие определенным множеством способов действия — стратегий.
Для того, чтобы число v было ценой игры, а v* и z* – оптимальными стратегиями, необходимо и достаточно выполнение неравенств:
j=1,n (2.9)
I=1,m (2.10)
С помощью этой программы можно решить задачу теории игр любого размера mxn, предварительно преобразовав ее к задаче ЛП.
Рассмотрим игру mxn, определяемую матрицей:
![]()
a
11 a
11 …
a 1n
A=
a 21 a 22 … a 2n
……………….
a m1 a m2 … a mn
Разделим обе части неравенства (2.9) на V:
j=1,n (2.11)
О
бозначим
/v=
i=1,m. Тогда:
j=1,n,
,
i=1,m (2.12)
Используя
введённое
обозначение,
перепишем
условие
в
виде
![]()
Т.к. первый игрок стремится получить максимальный выигрыш, то он должен стремится обеспечить минимум величине1/V. Имеем задачу ЛП:
(2.13)
j=1,n (2.14)
>0,
j=1,n (2.15)
Рассуждая аналогично в отношении второго игрока, можно составить задачу, двойственную по отношению к (2.13)-(2.15)
(2.16)
i=1,n (2.17)
>=0,
j=1,n (2.18)
Используя решение пары двойственных задач, получаем выражение для определения стратегий и цены игры
V=1/
=1/
(2.19)
=V*
, i=1,m,
,
j=1,n (2.20)
Применим теорию игр для оптимизации депозитного портфеля Банка по валютам. Банк привлекает депозиты в следующих валютах: гривны, американские доллары, немецкие марки и другие валюты. Доходность от привлечения средств в различных валютах и дальнейшего их размещения различна и зависит от финансового положения рынка. Прогнозные показатели для различных видов депозитов и состояний финансового рынка представлены в матрице А.
![]()
14 12,3 13
12
А = 13 14,2 15 14
14 11 11 15
Необходимо определить, в каких соотношениях требуется привлекать депозиты, чтобы гарантированный доход при любом состоянии финансового рынка был бы максимальным.
Имеем игру размером 3*4. Нижняя и верхняя цена игры соответственно
a=max (12;13;11)=13,
b=min (14;14,2;15;15)=14.
Значит эта
игра без седловой
точки 13
Так как Банк стремится получить максимальный выигрыш, то он должен стремится обеспечить минимум величине1/V. Составим задачу линейного программирования:
F![]()
=
у1+у2+у3+у4
min,
14у1+12,3у2+13у3+12у4 1
13y1+14.2y2+15y3+14y4 1
14y1+11y2+11y3+15y41
y1, y2, y3, y4 0
Найдем решение данной задачи используя надстройку «Поиск решения» в Excel. Решив задачу получаем следующие результаты:
у = (0,0488; 0,0128; 0,0116; 0,0005)
Значит цена игры равна:
V==1/
=
1/(0,0488 + 0,0128 + 0,0116 + 0,0005) = 13,532
Оптимальные стратегии игроков пересчитываются по выражениям
U1= V * y1 = 13.552 * 0.0488 = 0.6608
U2= V * y2 = 13.522 * 0.0128 = 0.1741
U3= V * y3 = 13.522 * 0.0116 = 0.1582
U4= V * y4 = 13.522 * 0.0005 = 0.0067
По результатам, можно сделать вывод, что для Банка оптимальной будет следующая стратегия: привлекать гривневые депозиты в размере 66,08% от всех депозитов; депозиты в американских долларах – 17,41%; депозиты в немецких марках – 15,82%; в иных валютах – 0,67%. Именно такое соотношение депозитов в различных валютах гарантирует получение максимальной прибыли при различных состояниях финансового рынка.
Сравним структуру оптимального депозитного портфеля с депозитным портфелем Банка. Графически структура оптимального и имеющегося депозитного портфеля Банка по валютам изображены на рис.2.1.

Рисунок 2.1 – Сравнение структур имеющегося и оптимального депозитного портфеля Банка
После сравнения, можно сделать выводы, что Банку для получения гарантированного дохода необходмо увеличить привлечение депозитов в немецких марках, что можно сделать за счет уменьшения доли депозитов в долларах США и другой валюте. Для достижения этой цели можно предложить для клиентов новую депозитную программу по вкладам в марках. Так, например, с учетом введения с 1 января 2002 года в странах Европейского Союза наличного обращения единой валюты ЕВРО, Банк мог бы предложить депозитную программу, в рамках которой все клиенты, разместившие в банке срочные депозиты в марках Германии, по окончании срока действия договора - в 2002 году, смогли бы получить свои вклады в новой европейской валюте. Установление минимальной суммы вклада в размере 100 DM могло бы сделать программу доступно широким слоям населения.
РАЗДЕЛ 3 ЭФФЕКТИВНОСТЬ ЭКОНОМИЧЕСКОГО АНАЛИЗА С УЧЕТОМ ПРЕДЛОЖЕННЫХ МЕРОПРИЯТИЙ
В результате предложенных мероприятий проведем анализ того, как изменилось состояние валютных операций при проведении мероприятий. Насколько эффективны наши мероприятия можно узнать с помощью экономико – математических моделей, расчета коэффициентов и нормативов и их сравнение с предыдущими показателями, а также сравнительные таблицы изменений, с учетом предложенных мероприятий, процентных и непроцентных статей доходов и расходов.
3.1 Эффективность предложенных мероприятий с помощью экономико – математических моделей
С помощью ЭММ, рассчитаем насколько эффективны предложенные нами мероприятия.
При составлении планов улучшения финансового состояния банка возникает необходимость оценки их реализации. Обычно в таких планах указываются различные программы организационных и экономических мероприятий, направленных на улучшение некоторых критериев финансового состояния. Для коммерческих банков такими критериями могут быть прибыль, количество рабочих активов, заемные средства и т.д. Программами и мероприятиями могут служить, например, предоставление большего количества услуг: выдача кредитов на более выгодных условиях, предоставление услуг новых пластиковых карточек, валютные операции направление на увеличение прибыли путем продажи валют не пользующиеся спросом на УМВР и т.д. В этих планах устанавливаются сроки реализации или внедрения предлагаемых мероприятий.
Как показывает практика, не все запланированное достигает цели, а некоторые планы не только не улучшают экономическую ситуацию предприятия, а даже ухудшают ее.
Осуществление отдельных планов и программ представляет собой результат управления сложной системой. Для эффективного управления необходимо реализовать определенное соотношение между параметрами разрабатываемых планов. Основные из них - число предлагаемых мероприятий и программ, их эффективность и сроки внедрения. Главный показатель успешного управления - устойчивость процесса управления процессом финансового оздоровления, в противном случае возникают неустойчивые режимы процессов управления, которые характеризуются кризисными явлениями.
Используем методы классической теории управления для оценки эффективности, в смысле устойчивости, процесса управления экономическим развитием, банка.
Рассмотрим структурную схему организационной системы управления финансово-экономическим объектом (рисунок 3.1)

Рисунок 3.1 - Структурная схема организационной системы управления
ОУ - орган управления; К0 (p) - передаточная функция финансово-экономического объекта; К1(p) - передаточная функция органа управления; nп – плановое количество показателей функционирования финансового - экономического объекта; np – реальное количество показателей функционирования объекта, соответствующих плановым показателям; n-количество параметров, не соответствующих плановым значениям; Мк - количество мероприятий или программ.
Передаточные функции указанной схемы:

(3.1)

(3.2)
(3.3)
где К – коэффициент передачи органа управления; Т – инерционность органа управления; τ - время внедрения мероприятия.
По логике управления, количество параметров, которые не соответствуют плановым значениям
n = nп - np . (3.4)
О
б
устойчивости
объекта можно
судить по его
амплитудно-фазовой
характеристике
(АФХ) (рисунок
3.2)
Рисунок 3. 2 - АФХ система
(м)─аргумент вектора ОМ; м─частота в точке М амплитудно-фазовой характеристики; (-1, j0)─координаты критической точки K, где система теряет устойчивость.
Условие потери устойчивости системы может быть записано в виде
![]()
(3.5)
Минимальное запаздывание, которое приводит к потере устойчивости:
(3.6)
Для нашего случая, система имеет частотную характеристику:

(3.7)
г
де
На границе устойчивости должно выполняться требование (3.5), поэтому

(3.8)
Откуда значение критической частоты:
(3.9)
Подставив (3.9) в (3.6), получим условие потери устойчивости процессом управления финансово-экономической системой:
(3.10)
Для разных значений К по выражению (3.10) построим зависимость критического времени к внедрения финансово - экономических мероприятий от их эффективности К (рисунок 3.3):

1
Рисунок 3.3 - Области устойчивости системы
А – область устойчивого, т.е. успешного управления; В – область неустойчивого, т.е. неуспешного управления, когда запланированные мероприятия будут ухудшать состояние финансово-экономического объекта.
В соответствии с вариантом плана финансово-экономических мероприятий система, например, попала в точку 1 (рисунок 3.3). В этом случае внедрение плана мероприятий по управлению финансово-экономическим объектом даст отрицательный результат. Необходимо предложить пути улучшения первоначального плана, для чего хотя бы уменьшить время внедрения мероприятий с 1 до 2 или повысить их эффективность (K1>K2) . Тогда перейдем в зону А (см. точку 2). Скорректированный план принесет успех, и процессы управления будут устойчивее.
Рассмотрим на этом примере предложенные мною мероприятия по улучшению состояния валютных отношений и получения большей прибыли.
Намечен план организационно-экономических мероприятий по увеличению прибыли от проведения данных мероприятий и как изменница состояние банка и как повлияют предложенные мероприятия на экономическое и финансовое состояние банка в частности валютного отдела (таблица 3.1).
Расчетное значение планового коэффициента передачи системы:

(3.11)
г
де
nп - среднее
число экономических
показателей,
на которые
влияют разработанные
мероприятия:
Таблица 3.1 - Зависимость мероприятий от срока внедрения и влияние их на экономические показатели
-
№ п/п
Мероприятие
Число экономических показателей n і
Время внедрения мероприятия , мес.
1 Использование остатков на коррсчетах в овернайт
3 2 2 Форвардные контракты на приобретение-продажу валюты
6 6
3 оптимизация процентных ставок по валютным депозитам и кредитам
5 3 4 технологии проведения срочных операций 4 3 5 оптимизация работы банковских пунктов обмена валют 2 2 6 выпуск кредитных, дисконтных и мультивалютных смарт-карточек 4 5
Подставляя значение Мк=6 из таблицы и nп=3 в формулу (11), получаем Кп=1,5
Время реализации всего плана финансово-экономических мероприятий соответствует максимальному времени реализации мероприятия при условии параллельного и одновременного внедрения каждого из них
п = 6мес
Для разного значения К насчитаем значение Т по формуле 3.10, для того чтобы построить график и по нем выявим, эффективны ли наши мероприятия.
|
К 1,1 2 2,5 3 3,5 4 4,5 5 5,5 6 |
Т 15,5794466 4,83495927 3,75271879 3,09073504 2,63620168 2,30216124 2,04522915 1,84097052 1,67444064 1,53593204 |

Рисунок 3.4 – определение эффективности мероприятий
Построим график по теоретическим примерным данным (рисунок 3.4), и проанализируем, в какой области находится точка, согласно которой определим насколько эффективны наши мероприятия.
Наша точка находится в зоне A, ниже графика, значит, согласно данной модели наш план мероприятий является успешным.
3.2 Изменение банковских коэффициентов и нормативов после внедрения предложенных мероприятий
Для выявления эффективности предложенных ранее мероприятий необходимо определить их влияние на основные нормативы и коэффициенты, характеризующие банковскую деятельность. Результативность предложенных мероприятий можно выявить путем сопоставления рассчитанных ранее коэффициентов и нормативов за анализируемый период с прогнозными показателями и проследить динамику их изменений.
Норматив капитала коммерческого банка.
При расчете общей суммы капитала, размер дополнительного капитала не должен превышать размер основного капитала.
При невыполнении программы капитализации до 01.04.1999г. в размере 2 млн. евро и 3 млн. евро, следовательно, НБУ мажет отозвать все или отдельные пункты лицензии на осуществление банковской деятельности. Анализируемый банк имеет уставной капитал на конец 1999г. свыше 30 млн. евро.
Норматив платежеспособности.
Норматив платежеспособности - соотношение капитала банка и суммарных активов, взвешенных с учетом риска.
В соотношении капитала и активов определяю достаточность капитала банка для проведения активных операций с учетом риска, пригодных для различной банковской деятельности. Норматив платежеспособности рассчитывается по формуле:
Н1 = К / Ар * 100%, (3.12)
Рассчитаем данный коэффициент для нашего банка
Так как мы анализируем период с 1996-1999гг., то рассчитаем этот коэффициент за четыре периода, а также прогнозный показатель.
Н1 (прогноз) = 13,87 %
Н1(1999) = 241108/750407 *100=13,8 %
Н1(1998) =14,5 %
Н1(1997) = 12,1 %
Н
1(1996)
=13,2 %
Рисунок 3.4 Динамика изменения платежеспособности
Нормативное значение этого коэффициента должно быть не меньше 8%. Анализируя полученные значения (рисунок 3.4), можно сказать о том, что банк является платежеспособным и надежным для клиентов, банк может рассчитаться по своим обязательствам. Как видим, данный показатель по сравнению с 1999 годом увеличился, что свидетельствует о положительном влиянии предложенных мероприятий.
Норматив достаточности капитала.
Норматив достаточности капитала банка- соотношение капитала к общим активам банка уменьшенных на соответствующие резервы.
Норматив достаточности капитала рассчитается по формуле:
Н2= К / ОА * 100 %, (3.13)
где К- капитал банка, ОА- общие активы.
Рассчитаем этот коэффициент для периода 1996-1999гг.
Н2(прогноз) = 10,87 %
Н2(1999) = 241108/2259178* 100=10,6 %
Н2(1998) = 12,7 %
Н2(1997) = 6,5 %
Н
2(1996)
= 6,85 %
Рисунок 3.5 Динамика норматива достаточности капитала
Норматив достаточности капитала характеризует достаточность капитала банка для защиты интересов кредиторов и вкладчиков. При нормативе этого показателя не меньше 4 %, можно сделать вывод,(рисунок 3.5) что состояние капитала с 1996г. увеличилось почти в два раза (эта тенденция наблюдается и после внедрения мероприятий), что говорит о том, что все привлеченные средства имеют покрытие и находятся в надежных руках.
Норматив мгновенной ликвидности.
Рассчитывается как соотношение суммы средств на корреспондентских счетах (Ккр) и в кассе (Ка) к текущим счетам (Тс) и рассчитывается по формуле:
Н3 = ( Ккр + Ка) / Пр * 100%, (3.14)
где Ккр- средства на корреспондентских счетах
Ка- средства в кассе
Тс- текущие счета
Рассчитаем этот показатель для нашего периода
Н3(прогноз) = 20,98 %
Н3(1999) = 287208/1386831* 100 =20,9 %
Н3(1998) =20,3 %
Н3(1997) =21,12 %
Н3(1996) =22,2 %
Норматив мгновенной ликвидности характеризует возможность банка ежедневно рассчитываться по своим обязательствам. При нормативе не меньше 20%, мы видим, что за анализируемый и прогнозный период банк вполне может рассчитаться по своим обязательствам в любой момент времени.
Норматив общей ликвидности.
Рассчитывается как соотношение общих активов (А) и общих обязательств банка (О) по формуле:
Н4 = А / О * 100 %, (3.15)
Где А- активы банка
О- обязательства банка.
Н4 (прогноз) = 110,8 %
Н4(1999) = 2259178/2018070* 100 %= 111,9 %
Н4(1998) = 114,6 %
Н4(1997) = 106,9 %
Н4(1996) = 107,4 %
Норматив общей ликвидности должен быть не меньше 100 %, из наших расчетов можно сделать вывод, что активов достаточно для того, что бы покрыть все обязательства.
Сделав анализ основных показателей деятельности банка можно сказать, банк является финансово устойчивым и надежным для кредиторов и вкладчиков. А также при сравнении с проектными показателями коэффициентов можно сделать вывод, что предложенные мероприятия увеличивают на несколько сотых ликвидность банка.
3.3 Изменение процентных и непроцентных доходов и расходов после внедрения предложенных мероприятий
После проведения предложенных мероприятий в большей степени изменились процентные доходы т. к. наши мероприятия были направлены в основном на увеличение процентных доходов. Так как сведетельствует практика большая часть доходов приходится на процентные, это говорит о том, что этот канал поступлений направление следует с большей степенью расширять т.к. процентный доход не требует больших расходов для получения прибыли.
Для большей наглядности прироста процентного дохода после проведения мероприятий представим полученный доход и предыдущие доход в таблице 3.
|
Каналы поступления Процентных доходов |
Средняя сумма процентных доходов |
Средняя доходность, % |
| 1. Неторговые операции | 21 080,91 | 5,4 |
|
2. Конверсионные операции |
259 660,11 |
66,3 |
| 3. Расчетные операции | 110 817,40 | 28,3 |
| И Т О Г О | 391 558,42 | 100 |
|
Основные каналы Поступления непроцентных Доходов |
Средняя сумма непроцентных доходов (грн.) |
Средняядоходность, % |
| 1. Неторговые операции | 12 661,30 | 32,7 |
| 2. Расчетные операции | 24 395,36 | 63 |
|
3. Прочие непроцентные доходы |
1 644,43 | 4,3 |
| И Т О Г О | 38 701,09 | 100 |
|
Каналы поступления Процентных расходов |
Средняя сумма расходов, грн |
Средний расход, % |
|
1. Конверсионные операции |
25 239,33 | 10,1 |
| 2. Расчетные операции | 223 836,86 | 89,9 |
| И Т О Г О | 249 076,19 | 100 |
|
Каналы поступления Непроцентных расходов |
Средняя сумма непроцентных расходов |
Средний непроцентный расход, % |
| 1. Неторговые операции | 6 155,23 | 12,1 |
| 2. Расчетные операции | 44 085,89 | 86,3 |
| 3. Прочие расходы | 810,00 | 1,6 |
| И Т О Г О | 51 051,12 | 100 |
Список литературы
Декрет Кабинета Министров Украины "О системе валютного регулирования и валютного контроля" от 19 февраля 1993г. № 15-93.
“Инструкция № 1 по организации эмиссионно-кассовой работы в учреждениях банков Украины" утверждена постановлением Правления НБУ от 7 июля 1994г. № 129.
Инструкция НБУ №10 от 14.04.98 «О порядке регулирования и анализа деятельности коммерческих банков».
Инструкция НБУ № 3 "Об открытии банками счетов в национальной и иностранной валюте" от 27.05.1996г.
“Инструкция о порядке применения ст.16 Декрета Кабинета Министров Украины от 19.02.93г. "О системе валютного регулирования и валютного контроля" № 16010/1568 от 30 июля 1993г.
"О порядке заключения агентских соглашений между уполномоченными банками и юридическими лицами относительно открытия обменного пункта" Письмо НБУ от 25 мая 1993г. № 19029/936.
“Положение о пунктах обмена иностранной валюты" от 7 июля 1994 г № 129.
“Порядок ведения уполномоченными банками Украины открытой валютной позиции по покупке-продаже иностранной валюты на валютном рынке Украины", утвержденный постановлением Правления Национального банка Украины от 18 сентября 1995г. № 227.
Постановление Кабинета Министров Украины №1740 от 03.11.1998 г. «О порядке уплаты сбора на обязательное государственное пенсионное страхование с отдельных операций хозяйственной деятельности"
“Правила организации финансовой и статистической отчетности банков Украины”, утвержденные постановлением Правления Национального банка Украины от 12.12. 1997р. За N436“.
“Правила осуществления операций по покупке и продаже иностранной валюты на украинской межбанковской валютной бирже", утвержденные на заседании Биржевого Комитета 3 марта 1993г. протокол № 3, с изменениями и дополнениями, утвержденными на заседании Биржевого Комитета 15 ноября 1994г., протокол № 13.
Соглашение между государствами - членами СНГ от 9.09.1994г. "О порядке переводов денежных средств гражданам по социально обозначенным неторговым платежам". (Письмо - разъяснение НБУ № 13-134/766 от 22.05.1996г.)
Анализ надежности банков. В.В. Иванов. М.: Русская деловая литература, 1996. 320 с.
Банковские операции. под ред. А.М. Мороза. – К.: КНЕУ, 2000. – 384 с.
Банковские риски. В.Т. Севрук. М: «Дело Лтд», 1995. - 72 с.
Банковский менеджмент. П. Роуз. - М.: «Дело Лтд.»,
Банковское дело. Колесников В.И., Кроливецкая Л.П. - М.: Финансы и статистика, 1997 г., - 480 с.
Банковское дело. Под ред. О.И. Лаврушина. М.: Финансы и статистика, 2000. 672 с.
Банковское дело и финансирование инвестиций. П. Брук.
Годовой отчет Проминвестбанка за 1998 год.
Деньги, банковское дело и денежно-кредитная политика. Эдвин Дж. Долан. СПб.: «Санкт-Петербург ОРКЕСТР», 1994. - 496 с.
Коммерческие банки. Рид, Р. Коттер, Р. Смит, Э. Гилл. - М.: Прогресс, 1983. - 501 с.
Устойчивость коммерческих банков. Как банкам избежать банкротства. Л.П. Белых. - М.: Банки и биржи, ЮНИТИ, 1996. - 192 с.
| Число экономических показателей n і | Время внедрения мероприятия t, мес | ||||||
| № п/п | Мероприятие | ||||||
| 1 | Изменение структуры операций | 4 | 1 | ||||
| 2 | ПОВ | 3 | 1 | ||||
| Т | 0.1 |
|
|||||
| Nn= | 3.5 | ||||||
| Kn= | 0.57 | ||||||
| K | Tk | ||||||
| 1.01 | 2.12 | ||||||
| 1.06 | 0.8 | ||||||
| 1.11 | 0.56 | ||||||
| 1.16 | 0.44 | ||||||
| 1.21 | 0.37 | ||||||
| 1.26 | 0.32 | ||||||
| 1.31 | 0.29 | ||||||
| 1.36 | 0.26 | ||||||
| 1.41 | 0.24 | ||||||
| 1.46 | 0.22 | ||||||
| 1.51 | 0.2 | ||||||
| 1.56 | 0.19 | ||||||
| 1.61 | 0.18 | ||||||
| 1.66 | 0.17 | ||||||
| 1.71 | 0.16 | ||||||
| 1.76 | 0.15 | ||||||
| 1.81 | 0.14 | ||||||
| 1.86 | 0.14 | ||||||
| 1.91 | 0.13 | ||||||
| 1.96 | 0.12 | ||||||
Overview
Лист4Лист1
Лист2
Лист3
Sheet 1: Лист4
| 8 | 9 | 12 | 5 | F= | 0.14 | |
| 6 | 8 | 10 | 12 | огранич | 1 | |
| 7 | 9 | 4 | 6 | 1.18 | ||
| 1.55 | ||||||
| 1 | ||||||
| x1 | x2 | x3 | x4 | ЦФ= | 0.14 | |
| 0.11 | 0 | 0 | 0.03 | огранич | 1 | |
| 1 | ||||||
| 8 | 6 | 7 | 0.92 | |||
| 9 | 8 | 9 | ||||
| 12 | 10 | 4 | ||||
| 5 | 12 | 6 | ||||
| y1 | y2 | y3 | ||||
| 0.09 | 0.05 | 0 | ||||
| оптимальные стратегии | ||||||
| V= | 7.33 | U1= | 0.67 | Z1= | 0.78 | |
| 7.33 | U2= | 0.33 | Z2= | 0 | ||
| U3= | 0 | Z3= | 0 | |||
| Z4= | 0.22 |
Sheet 2: Лист1
| 5 | 4 | 9 | F= | 0.17 | ||
| 8 | 7 | 4 | огранич | 1.17 | ||
| 6 | 3 | 8 | 1 | |||
| 7 | 5 | 4 | 1 | |||
| x1 | x2 | x3 | ЦФ= | 0.17 | ||
| 0 | 0.11 | 0.06 | огранич | 1 | ||
| 1 | ||||||
| 5 | 8 | 6 | 7 | 0.83 | ||
| 4 | 7 | 3 | 5 | 0.79 | ||
| 9 | 4 | 8 | 4 | |||
| y1 | y2 | y3 | y4 | |||
| 0.06 | 0.11 | 0 | 0 | |||
| оптимальные стратегии | ||||||
| V= | 5.87 | U1= | 0.37 | Z1= | 0 | |
| 5.88 | U2= | 0.63 | Z2= | 0.62 | ||
| U3= | 0 | Z3= | 0.37 | |||
| U4= | 0 |
Sheet 3: Лист2
| 6 | 8 | 7 | F= | 0.11 | ||
| 9 | 10 | 9 | огранич | 1 | ||
| 8 | 11 | 4 | 1 | |||
| 12 | 7 | 13 | 1 | |||
| x1 | x2 | x3 | ЦФ= | 0.11 | ||
| 0.05 | 0.05 | 0 | огранич | 0.74 | ||
| 1 | ||||||
| 6 | 9 | 8 | 12 | 1 | ||
| 8 | 10 | 11 | 7 | 1 | ||
| 7 | 9 | 4 | 13 | |||
| y1 | y2 | y3 | y4 | |||
| 0 | 0.08 | 0 | 0.02 | |||
| оптимальные стратегии | ||||||
| V= | 9.5 | U1= | 0 | Z1= | 0.5 | |
| 9.5 | U2= | 0.77 | Z2= | 0.5 | ||
| U3= | 0.05 | Z3= | 0 | |||
| U4= | 0.18 |
Sheet 4: Лист3
| 5 | 6 | 9 | F= | 0.14 | ||
| 8 | 9 | 6 | огранич | 1 | ||
| 7 | 4 | 8 | 1 | |||
| 6 | 5 | 9 | 1 | |||
| x1 | x2 | x3 | ЦФ= | 0.14 | ||
| 0.07 | 0.01 | 0.06 | огранич | 0.94 | ||
| 1 | ||||||
| 5 | 8 | 7 | 6 | 1 | ||
| 6 | 9 | 4 | 5 | 1 | ||
| 9 | 6 | 8 | 9 | |||
| y1 | y2 | y3 | y4 | |||
| 0 | 0.08 | 0.01 | 0.05 | |||
| оптимальные стратегии | ||||||
| V= | 7.21 | U1= | 0 | Z1= | 0.5 | |
| 7.21 | U2= | 0.57 | Z2= | 0.07 | ||
| U3= | 0.07 | Z3= | 0.43 | |||
| U4= | 0.36 |
| Число экономических показателей n і | Время внедрения мероприятия t, мес | |||||
| № п/п | Мероприятие | |||||
| 1 | Изменение структуры операций | 4 | 1 | |||
| 2 | ПОВ | 3 | 1 | |||
|
||||||
| Nn= | 3.5 | |||||
| Kn= | 0.57 | |||||
| K | Tk | |||||
| 1.1 | 11.83 | |||||
| 1.6 | 3.59 | |||||
| 2.1 | 2.24 | |||||
| 2.6 | 1.64 | |||||
| 3.1 | 1.29 | |||||
| 3.6 | 1.07 | |||||
| 4.1 | 0.91 | |||||
| 4.6 | 0.8 | |||||
| 5.1 | 0.71 | |||||
Overview
Лист4Лист1
Лист2
Лист3
Sheet 1: Лист4
| Столбец 1 | Столбец 2 | Столбец 3 | Столбец 4 | Столбец 5 | Столбец 6 | |
| Столбец 1 | 1.41 | |||||
| Столбец 2 | 0.92 | 0.77 | ||||
| Столбец 3 | 2.4 | 1.4 | 4.43 | |||
| Столбец 4 | 1.23 | 1.03 | 2.15 | 2.48 | ||
| Столбец 5 | 2.47 | 1.58 | 4.31 | 2.07 | 4.42 | |
| Столбец 6 | 2.04 | 1.56 | 3.57 | 2.51 | 3.75 | 4.16 |
Sheet 2: Лист1
| 10.16 | 12.14 | 10.54 | 13.4 | 10.22 | 12.27 | 12 | 1.2 |
| 11.49 | 12.95 | 11.89 | 12.3 | 12.1 | 11.58 | ||
| 12.43 | 12.9 | 15.23 | 13.41 | 14.46 | 14.33 | ||
| 12.42 | 13.05 | 14.57 | 15.24 | 13.73 | 13.28 | ||
| 10.81 | 12.38 | 12.01 | 14.13 | 10.97 | 11.68 | ||
| 13.39 | 14.64 | 15.66 | 16.73 | 15.63 | 16.92 | ||
| 10.09 | 10.99 | 11.56 | 11.97 | 11.15 | 11.3 | ||
| Столбец 1 | Столбец 2 | Столбец 3 | Столбец 4 | Столбец 5 | Столбец 6 | ||
| Столбец 1 | 1.41 | ||||||
| Столбец 2 | 0.92 | 0.77 | |||||
| Столбец 3 | 2.4 | 1.4 | 4.43 | ||||
| Столбец 4 | 1.23 | 1.03 | 2.15 | 2.48 | |||
| Столбец 5 | 2.47 | 1.58 | 4.31 | 2.07 | 4.42 | ||
| Столбец 6 | 2.04 | 1.56 | 3.57 | 2.51 | 3.75 | 4.16 | |
| x1 | x2 | x3 | x4 | x5 | x6 | ||
| 0 | 0 | 0 | 1 | 0 | 0 | ||
| 1 | |||||||
| 12 | |||||||
| 2.49 | |||||||
| x1 | x2 | x3 | x4 | x5 | x6 | ||
| 0 | 0.38 | 0.08 | 0.54 | 0 | 0 | ||
| 1 | |||||||
| 1.2 | |||||||
| 11.56 |
Sheet 3: Лист2
| Года | Ценные бумаги, | Ценные бумаги | Инвестиционные |
| рефинансированные и | на продажу | ценные бумаги | |
| эмитированные НБУ | |||
| 1996 | 32645 | 5123 | 1013 |
| 1997 | 39871 | 12568 | 1162 |
| 1998 | 47610 | 17634 | 1364 |
| 1999 | 40115 | 31105 | 2574 |
| 0 | |||
| 0.18 | |||
| 0.16 | |||
| -0.19 |
Sheet 4: Лист3
| Года | Межбанковские | Кредиты физ. | Кредиты юр. | Краткоср. | Долгосрочные | Просроченные |
| кредиты | лицам | лицам | кредиты | кредиты | сомнит. кредиты | |
| 1996 | ||||||
| 1997 | ||||||
| 1998 | ||||||
| 1999 | 80.87 | 49.17 | 1205.61 | 517.69 | 628.61 | 215.81 |
Формирование оптимального портфеля ценных бумаг
Задача 1. Формирование оптимального портфеля ценных бумаг по модели Марковица
Цель работы: Получить практические навыки и умения формирования портфелей ценных бумаг.
Порядок выполнения задания
Рассчитать по формулам (3-4) параметры математической модели (2).
Составить математическую модель оптимального портфеля (2) по критерию минимального риска.
Решить задачу и определить доли капитала на покупку ценных бумаг каждого вида.
Составить математическую модель оптимального портфеля по критерию максимальной доходности и заданного риска
Решить задачу.
Краткие теоретические сведения.
На
финансовом
рынке обращается,
как правило,
несколько типов
ценных бумаг:
государственные
ценные бумаги,
муниципальные
облигации,
корпоративные
акции и т.п. Если
у участника
рынка есть
свободные
деньги, то их
можно отнести
в банк и получать
проценты или
купить на них
ценные бумаги
и получать
![]()
дополнительный
доход. Но в какой
банк отнести?
Какие ценные
бумаги купить?
Ценные бумаги
с низкими рисками,
как правило,
и малодоходны,
высокодоходные,
как правило,
более рискованны.
Экономическая
наука может
дать некоторые
рекомендации
для решения
этого вопроса.
Постановка задачи об оптимальном портфеле Марковица
Рассмотрим общую задачу распределения капитала, который участник рынка хочет потратить на приобретение ценных бумаг. Цель инвестора – вложить деньги так, чтобы сохранить свой капитал, а при возможности и нарастить его.
Набор ценных бумаг, находящихся у участника рынка, называется его портфелем. Стоимость портфеля – это суммарная стоимость всех составляющих его бумаг. Если сегодня его стоимость есть Р, а через год она окажется равной Р/, то ( Р/- Р)/Р естественно назвать доходностью портфеля в процентах годовых. Т.е. доходность портфеля – это доходность на единицу его стоимости.
Пусть xi – доля капитала, потраченная на покупку ценных бумаг i-го вида. Весь выделенный капитал принимается за единицу. Пусть di- доходность в процентах годовых бумаг i-го вида в расчете на одну денежную единицу.
Найдем
доходность
всего портфеля
dp.
С одной стороны,
через год капитал
портфеля будет
равен 1+dp,
с другой – стоимость
бумаг i-го
вида увеличится
с х
до хi+dixi,
так что суммарная
стоимость
портфеля будет
+![]()
=1+
xidi.
Приравнивая
оба выражения
для стоимости
портфеля, получаем
1+dp
=
1+
xidi.
dp=
xidi
(1)
Итак, задача увеличения капитала портфеля эквивалентна аналогичной задаче о доходности портфеля, выраженной через доходности бумаг и их доли формулой (1).
Как
правило, доходность
колеблется
во времени, так
что будем считать
ее случайной
величиной.
Пусть mi,
i
– средняя ожидаемая
доходность
и среднее
квадратическое
отклонение
( СКО ) этой случайной
доходности,
т.е.
![]()
mi=M
- математическое
ожидание доходности
и ri=
,
где Vii
– дисперсия
i
– й доходности.
Будем называть
mi,ri
соответственно
эффективностью
и риском i
–
й ценной бумаги.
Через Vij
обозначим
ковариацию
доходностей
ценных бумаг
i
–
го и j
–
го видов (или
кореляционный
момент
Кij).
Так
как доходность
составляющих
портфель ценных
бумаг случайна,
то и доходность
портфеля есть
также случайная
величина.
Математическое
ожидание доходности
портфеля есть
M
=x1M
+…+xnM
=
,
обозначим его
через mp.
Дисперсия
доходности
портфеля есть
D
=
.
Так же, как и
для ценных
бумаг назовем
mp-
эффективностью
портфеля, а
величину
p=
- риском портфеля
rp.
Обычно дисперсия
доходности
портфеля обозначается
Vp.
Каждый владелец портфеля ценных бумаг сталкивается с дилеммой: хочется иметь эффективность больше, а риск меньше. Однако поскольку “нельзя поймать двух зайцев сразу”, необходимо сделать определенный выбор между эффективностью и риском (этот выбор, в конечном счете, определяется отношением ЛПР к эффективности и риску).
Модель оптимального портфеля Марковица , которая обеспечивает минимальный риск и заданную доходность имеет вид:
(2)
Необходимо определить:
x1,x2…xn
Оптимальный портфель Марковица максимальной доходности и заданного, (приемлемого) риска rp можно представить в виде:
(3)
Основные расчетные формулы для вычисления работы
Исходные данные для расчета является таблица доходности ценных бумаг:
-
1
2
… i
… j
… n-1
n
di1
dj1
di2
dj2
… … dik
djk
… … din
djn
Среднее арифметическое доходности i – ой ценной бумаги рассчитывается по формуле:
di
(4)
Kовариация или корреляционный момент доходностей ценных бумаг:
Vij=M
![]()
(5), где
и
![]()
- отклонения
доходностей
i-
й
и j–
й
бумаг от средней
арифметической
доходности.
Рассмотренные модели относятся к моделям нелинейного программирования. Для решения следует применить метод сопряженных градиентов или метод Ньютона. При решении рекомендуется использовать табличный процессор Excel и его надстройки Анализ данных и Пакет анализа.
Варианты заданий:
Виды ценных бумаг и их доходности
|
вариант |
Акции типа 1 |
Акции типа 2 |
Акции типа 3 |
Акции типа 4 |
Акции типа 5 |
Акции типа 6 |
mp |
rp |
|
1 |
11,954 |
13,907 |
14,263 |
14,611 |
13,491 |
12,424 |
13 |
0,088 |
|
11,913 |
12,074 |
11,960 |
15,207 |
13,367 |
14,318 |
|||
|
11,572 |
12,654 |
14,203 |
11,762 |
13,568 |
14,922 |
|||
|
12,591 |
12,880 |
13,333 |
13,217 |
14,256 |
15,677 |
|||
|
11,638 |
12,269 |
12,537 |
13,624 |
13,694 |
13,718 |
|||
|
12,536 |
13,659 |
13,864 |
12,909 |
12,687 |
14,753 |
|||
|
2 |
11,820 |
13,783 |
12,361 |
14,612 |
12,084 |
13,537 |
12,5 |
1 |
|
11,806 |
11,931 |
12,132 |
13,444 |
13,332 |
15,209 |
|||
|
13,376 |
13,424 |
14,519 |
14,817 |
13,918 |
16,153 |
|||
|
12,175 |
12,381 |
14,647 |
13,911 |
13,596 |
14,714 |
|||
|
10,139 |
12,112 |
11,820 |
10,399 |
11,604 |
13,345 |
|||
|
11,786 |
13,505 |
13,440 |
14,856 |
12,688 |
13,533 |
|||
|
3 |
11,574 |
12,955 |
14,174 |
14,016 |
13,100 |
13,394 |
13,3 |
0,2 |
|
12,602 |
13,421 |
14,663 |
15,042 |
13,572 |
15,713 |
|||
|
12,012 |
12,654 |
12,996 |
13,896 |
13,463 |
12,148 |
|||
|
12,245 |
13,043 |
14,517 |
15,338 |
14,976 |
14,063 |
|||
|
12,502 |
13,879 |
13,744 |
14,726 |
13,145 |
12,669 |
|||
|
12,976 |
13,482 |
14,434 |
15,594 |
15,467 |
14,364 |
|||
|
4 |
14,162 |
15,191 |
16,511 |
15,118 |
14,409 |
17,416 |
14 |
0,77 |
|
12,522 |
12,995 |
15,415 |
15,263 |
14,700 |
13,072 |
|||
|
13,123 |
15,042 |
13,177 |
16,430 |
14,913 |
14,860 |
|||
|
12,043 |
12,570 |
14,005 |
14,864 |
12,917 |
12,820 |
|||
|
11,472 |
12,600 |
11,845 |
12,878 |
14,097 |
14,554 |
|||
|
12,441 |
13,296 |
13,139 |
15,486 |
12,849 |
14,172 |
|||
|
5 |
11,265 |
12,891 |
11,612 |
12,845 |
11,401 |
13,668 |
12,8 |
2 |
|
12,131 |
12,365 |
12,890 |
12,283 |
13,833 |
15,160 |
|||
|
14,480 |
15,143 |
17,277 |
15,657 |
14,960 |
15,963 |
|||
|
12,572 |
13,837 |
12,596 |
13,157 |
15,296 |
16,424 |
|||
|
10,865 |
12,623 |
11,558 |
14,056 |
10,873 |
14,489 |
|||
|
11,962 |
12,287 |
13,799 |
12,841 |
13,769 |
15,677 |
|||
|
6 |
10,908 |
11,940 |
12,719 |
11,464 |
12,486 |
11,458 |
13,123 |
3,23 |
|
9,766 |
9,842 |
10,987 |
10,843 |
12,003 |
13,471 |
|||
|
11,702 |
12,463 |
13,454 |
12,725 |
13,619 |
13,226 |
|||
|
11,472 |
12,097 |
12,784 |
12,302 |
14,188 |
12,603 |
|||
|
13,503 |
13,740 |
13,848 |
14,758 |
15,457 |
13,570 |
|||
|
15,456 |
16,452 |
16,450 |
17,013 |
17,052 |
17,229 |
|||
|
7 |
10,161 |
12,144 |
10,537 |
13,397 |
10,223 |
12,266 |
12 |
1,2 |
|
11,492 |
12,945 |
11,892 |
12,298 |
12,097 |
11,582 |
|||
|
12,428 |
12,895 |
15,227 |
13,407 |
14,462 |
14,330 |
|||
|
12,416 |
13,050 |
14,567 |
15,240 |
13,731 |
13,284 |
|||
|
10,813 |
12,380 |
12,008 |
14,134 |
10,968 |
11,675 |
|||
|
13,388 |
14,643 |
15,659 |
16,734 |
15,631 |
16,916 |
|||
|
8 |
9,889 |
11,603 |
11,612 |
12,721 |
11,453 |
12,102 |
13,25 |
2 |
|
12,517 |
13,256 |
12,947 |
12,596 |
12,853 |
13,036 |
|||
|
12,786 |
12,822 |
15,447 |
14,452 |
15,143 |
16,247 |
|||
|
11,863 |
12,114 |
13,359 |
13,437 |
11,913 |
15,300 |
|||
|
11,444 |
13,292 |
13,703 |
11,504 |
13,406 |
15,255 |
|||
|
14,696 |
15,946 |
16,829 |
17,698 |
16,051 |
17,140 |
|||
|
9 |
11,999 |
13,995 |
13,415 |
12,868 |
12,339 |
13,682 |
13,333 |
0,08 |
|
12,241 |
12,793 |
14,227 |
13,426 |
12,656 |
15,808 |
|||
|
12,120 |
13,933 |
14,592 |
13,354 |
12,278 |
14,786 |
|||
|
11,506 |
13,401 |
12,193 |
13,845 |
12,406 |
13,317 |
|||
|
12,376 |
13,710 |
15,068 |
13,133 |
12,707 |
14,716 |
|||
|
12,148 |
13,970 |
15,119 |
12,886 |
14,518 |
13,300 |
|||
|
10 |
11,293 |
11,493 |
13,753 |
12,936 |
12,881 |
13,820 |
12 |
0,3 |
|
12,112 |
12,919 |
12,415 |
14,048 |
14,770 |
14,310 |
|||
|
11,429 |
13,098 |
14,277 |
14,551 |
11,639 |
13,524 |
|||
|
10,526 |
11,988 |
11,705 |
12,466 |
11,825 |
10,864 |
|||
|
11,467 |
13,364 |
12,171 |
11,631 |
11,923 |
13,764 |
|||
|
11,467 |
13,334 |
12,338 |
14,208 |
12,271 |
13,324 |
|||
|
11 |
11,954 |
13,381 |
14,468 |
12,274 |
13,094 |
13,014 |
12 |
0,4 |
|
11,913 |
12,754 |
14,452 |
13,449 |
14,079 |
14,121 |
|||
|
11,572 |
12,623 |
11,901 |
12,132 |
13,555 |
14,708 |
|||
|
12,591 |
14,289 |
12,943 |
15,645 |
15,376 |
15,788 |
|||
|
11,638 |
12,955 |
12,637 |
11,702 |
12,786 |
13,542 |
|||
|
12,536 |
14,495 |
14,612 |
14,490 |
12,852 |
12,658 |
|||
|
12 |
11,820 |
12,832 |
13,906 |
12,432 |
13,609 |
12,919 |
12,8 |
0,5 |
|
11,806 |
12,724 |
14,135 |
14,936 |
14,227 |
14,873 |
|||
|
13,376 |
14,119 |
14,326 |
15,519 |
15,372 |
15,364 |
|||
|
12,175 |
12,236 |
14,132 |
13,943 |
12,417 |
13,732 |
|||
|
10,139 |
12,117 |
10,606 |
10,683 |
10,995 |
12,416 |
|||
|
11,786 |
12,572 |
14,074 |
15,135 |
14,459 |
12,269 |
|||
|
13 |
11,574 |
11,725 |
11,798 |
12,740 |
13,207 |
13,470 |
13,5 |
0,25 |
|
12,602 |
14,100 |
13,887 |
14,496 |
13,683 |
15,434 |
|||
|
12,012 |
13,772 |
14,191 |
13,929 |
13,937 |
13,956 |
|||
|
12,245 |
12,743 |
14,992 |
15,045 |
14,583 |
12,772 |
|||
|
12,502 |
13,123 |
15,173 |
13,344 |
12,592 |
14,666 |
|||
|
12,976 |
13,812 |
15,706 |
15,414 |
15,655 |
14,494 |
|||
|
14 |
14,162 |
15,519 |
16,403 |
17,273 |
15,211 |
18,008 |
12 |
0,596 |
|
12,522 |
12,853 |
15,488 |
15,031 |
14,035 |
14,447 |
|||
|
13,123 |
13,967 |
13,330 |
14,221 |
13,849 |
16,304 |
|||
|
12,043 |
13,658 |
13,493 |
13,774 |
14,343 |
13,151 |
|||
|
11,472 |
12,136 |
14,103 |
12,386 |
12,564 |
13,363 |
|||
|
12,441 |
13,616 |
12,717 |
14,347 |
15,090 |
15,575 |
|||
|
15 |
11,265 |
12,052 |
14,016 |
14,047 |
12,064 |
11,667 |
13 |
0,7 |
|
12,131 |
12,983 |
12,296 |
15,291 |
14,095 |
13,940 |
|||
|
14,480 |
16,275 |
16,717 |
16,194 |
15,413 |
15,427 |
|||
|
12,572 |
13,244 |
14,897 |
14,571 |
15,340 |
15,674 |
|||
|
10,865 |
11,659 |
10,923 |
11,533 |
13,089 |
11,709 |
|||
|
11,962 |
13,388 |
12,492 |
14,907 |
13,977 |
14,358 |
|||
|
16 |
10,908 |
11,114 |
13,790 |
11,873 |
13,029 |
11,012 |
13,5 |
2 |
|
9,766 |
11,117 |
12,354 |
11,287 |
12,546 |
10,249 |
|||
|
11,702 |
12,455 |
13,484 |
12,153 |
13,075 |
12,310 |
|||
|
11,472 |
12,053 |
11,617 |
14,065 |
11,503 |
13,322 |
|||
|
13,503 |
14,469 |
14,195 |
16,018 |
14,812 |
15,556 |
|||
|
15,456 |
17,355 |
16,685 |
15,598 |
16,603 |
19,311 |
|||
|
17 |
10,161 |
10,431 |
10,695 |
13,393 |
11,153 |
11,751 |
12 |
0,68 |
|
11,492 |
13,087 |
11,889 |
12,564 |
13,613 |
11,699 |
|||
|
12,428 |
14,259 |
12,561 |
13,100 |
13,888 |
14,348 |
|||
|
12,416 |
14,059 |
12,522 |
13,706 |
14,389 |
13,536 |
|||
|
10,813 |
10,818 |
12,951 |
12,192 |
11,765 |
14,450 |
|||
|
13,388 |
14,590 |
14,628 |
14,764 |
14,307 |
16,962 |
|||
|
18 |
9,889 |
11,198 |
10,095 |
12,783 |
11,183 |
10,835 |
13,33 |
1,5 |
|
12,517 |
13,735 |
14,247 |
13,208 |
15,072 |
15,429 |
|||
|
12,786 |
13,231 |
15,070 |
13,013 |
14,133 |
16,174 |
|||
|
11,863 |
12,183 |
13,377 |
13,203 |
11,916 |
12,421 |
|||
|
11,444 |
11,999 |
13,243 |
14,233 |
13,024 |
12,491 |
|||
|
14,696 |
14,906 |
14,730 |
17,126 |
17,331 |
15,297 |
|||
|
19 |
11,999 |
12,509 |
12,361 |
14,850 |
14,026 |
15,078 |
10 |
0,1 |
|
12,241 |
13,124 |
15,153 |
14,655 |
15,038 |
15,460 |
|||
|
12,120 |
12,240 |
12,945 |
12,701 |
13,006 |
13,616 |
|||
|
11,506 |
12,815 |
13,497 |
13,746 |
13,218 |
14,658 |
|||
|
12,376 |
12,808 |
14,477 |
15,690 |
14,127 |
12,427 |
|||
|
12,148 |
13,932 |
13,771 |
14,039 |
14,440 |
12,250 |
|||
|
20 |
11,293 |
11,563 |
14,165 |
14,763 |
12,874 |
14,426 |
12 |
0,28 |
|
12,112 |
13,348 |
13,988 |
12,222 |
14,409 |
13,381 |
|||
|
11,429 |
11,680 |
14,364 |
11,472 |
13,201 |
11,925 |
|||
|
10,526 |
11,960 |
11,740 |
12,709 |
12,061 |
12,319 |
|||
|
11,467 |
11,774 |
11,862 |
12,466 |
12,013 |
12,865 |
|||
|
11,467 |
11,747 |
12,326 |
13,699 |
13,968 |
12,173 |
|||
|
21 |
11,954 |
13,543 |
13,158 |
14,299 |
14,420 |
12,797 |
13,6 |
0,06 |
|
11,913 |
12,292 |
13,565 |
13,888 |
13,886 |
12,930 |
|||
|
11,572 |
11,745 |
12,146 |
12,162 |
13,720 |
15,055 |
|||
|
12,591 |
14,354 |
12,829 |
14,346 |
13,412 |
16,083 |
|||
|
11,638 |
13,317 |
13,026 |
11,899 |
14,227 |
13,862 |
|||
|
12,536 |
14,156 |
14,004 |
15,164 |
14,165 |
12,651 |
|||
|
22 |
11,820 |
12,499 |
11,834 |
15,220 |
12,420 |
12,394 |
13,281 |
0,5 |
|
11,806 |
12,803 |
14,115 |
14,830 |
12,295 |
14,506 |
|||
|
13,376 |
13,724 |
15,571 |
14,055 |
15,511 |
14,009 |
|||
|
12,175 |
13,275 |
14,218 |
14,957 |
13,936 |
12,930 |
|||
|
10,139 |
10,635 |
10,975 |
12,273 |
10,431 |
13,031 |
|||
|
11,786 |
13,607 |
14,470 |
14,452 |
13,871 |
12,949 |
|||
|
23 |
11,574 |
12,615 |
12,977 |
14,600 |
11,962 |
12,629 |
12,6304 |
1 |
|
12,602 |
14,600 |
13,219 |
12,806 |
14,657 |
13,855 |
|||
|
12,012 |
12,482 |
12,072 |
13,876 |
13,781 |
12,645 |
|||
|
12,245 |
14,012 |
13,432 |
14,994 |
14,489 |
14,450 |
|||
|
12,502 |
12,511 |
12,574 |
12,581 |
13,727 |
13,138 |
|||
|
12,976 |
14,279 |
15,732 |
15,464 |
15,332 |
15,686 |
|||
|
24 |
14,162 |
15,097 |
16,664 |
15,119 |
15,614 |
16,602 |
14 |
0,99 |
|
12,522 |
13,107 |
13,259 |
15,520 |
14,122 |
15,000 |
|||
|
13,123 |
13,462 |
14,243 |
15,733 |
14,196 |
13,900 |
|||
|
12,043 |
12,656 |
14,471 |
13,502 |
13,883 |
15,184 |
|||
|
11,472 |
12,402 |
14,301 |
11,937 |
12,424 |
13,662 |
|||
|
12,441 |
12,922 |
12,501 |
14,496 |
14,711 |
16,107 |
|||
|
25 |
11,265 |
12,585 |
11,693 |
11,892 |
12,272 |
11,771 |
13,0503 |
1,8 |
|
12,131 |
13,804 |
14,553 |
12,888 |
12,203 |
13,570 |
|||
|
14,480 |
15,883 |
16,938 |
17,964 |
15,827 |
16,217 |
|||
|
12,572 |
13,682 |
14,710 |
13,215 |
14,412 |
12,883 |
|||
|
10,865 |
11,008 |
12,093 |
10,942 |
11,787 |
14,353 |
|||
|
11,962 |
12,771 |
12,948 |
12,553 |
14,741 |
14,898 |
|||
|
26 |
10,908 |
12,573 |
13,457 |
13,093 |
13,315 |
12,251 |
13,4768 |
2,5 |
|
9,766 |
11,044 |
11,508 |
11,785 |
10,927 |
10,205 |
|||
|
11,702 |
13,345 |
13,567 |
14,966 |
14,416 |
13,449 |
|||
|
11,472 |
11,740 |
12,569 |
12,698 |
13,065 |
11,547 |
|||
|
13,503 |
14,632 |
16,452 |
14,309 |
15,559 |
16,024 |
|||
|
15,456 |
16,674 |
17,416 |
16,571 |
17,512 |
19,215 |
|||
|
27 |
10,161 |
12,013 |
12,309 |
13,480 |
10,737 |
10,362 |
12,6531 |
2 |
|
11,492 |
12,874 |
12,130 |
11,774 |
12,208 |
13,078 |
|||
|
12,428 |
14,133 |
13,361 |
15,555 |
13,970 |
12,772 |
|||
|
12,416 |
13,743 |
12,485 |
15,630 |
14,477 |
14,736 |
|||
|
10,813 |
10,866 |
12,196 |
10,991 |
12,082 |
11,145 |
|||
|
13,388 |
15,128 |
13,703 |
16,777 |
13,895 |
17,200 |
|||
|
28 |
9,889 |
11,361 |
10,420 |
10,167 |
10,772 |
11,689 |
13,209 |
1,8 |
|
12,517 |
12,568 |
13,011 |
12,590 |
13,770 |
14,967 |
|||
|
12,786 |
14,656 |
12,976 |
13,292 |
14,371 |
13,211 |
|||
|
11,863 |
13,064 |
14,263 |
15,093 |
13,658 |
12,023 |
|||
|
11,444 |
12,354 |
13,277 |
12,915 |
13,978 |
15,040 |
|||
|
14,696 |
16,068 |
17,289 |
15,475 |
15,921 |
16,822 |
|||
|
29 |
11,999 |
13,785 |
12,086 |
13,075 |
12,001 |
14,557 |
12,4891 |
0,488 |
|
12,241 |
13,972 |
12,655 |
15,409 |
14,427 |
15,364 |
|||
|
12,120 |
12,223 |
13,483 |
14,749 |
13,943 |
15,458 |
|||
|
11,506 |
12,741 |
13,154 |
14,019 |
13,421 |
14,352 |
|||
|
12,376 |
12,607 |
15,165 |
15,504 |
12,505 |
16,273 |
|||
|
12,148 |
13,647 |
13,685 |
13,575 |
13,531 |
13,580 |
|||
|
30 |
11,293 |
11,455 |
11,496 |
13,262 |
12,301 |
13,370 |
12,12605 |
0,5 |
|
12,112 |
13,212 |
14,231 |
14,946 |
12,130 |
13,687 |
|||
|
11,429 |
12,990 |
11,766 |
14,277 |
12,649 |
12,901 |
|||
|
10,526 |
10,985 |
11,664 |
10,955 |
12,575 |
11,408 |
|||
|
11,467 |
13,087 |
13,639 |
12,660 |
11,969 |
14,170 |
|||
|
11,467 |
12,661 |
13,769 |
11,926 |
13,023 |
14,202 |
Задача 2. Формирование оптимального портфеля ценных бумаг по модели Тобина.
Порядок выполнения задачи.
В соответствии с вариантом задания получить данные по эффективности безрисковых бумаг
и
допустимому
риску портфеля
.Данные по эффективности рисковых бумаг
и необходимые
результаты
расчетов взять
из предыдущей
задачи.Составить математическую модель портфеля Тобина минимального риска (1) и решить ее.
Составить математическую модель портфеля Тобина максимальной доходности и решить ее. При численном решении использовать метод сопряженных градиентов или Ньютона. Для вычислений можно использовать ЭВМ.
Сделать выводы по работе.
Краткие теоретические сведения.
Портфель Тобина минимального риска
(1)
где m0 – эффективность безрисковых бумаг;
x0 – доля капитала вложенная в безрисковые бумаги;
xi,xj - доля капитала вложенная в ценные бумаги i-го и j–го видов;
mi – математическое ожидание (среднее арифметическое) доходности i - й ценной бумаги;
vij – корреляционный момент между эффективностью бумаг i-го и j –го видов;
Портфель Тобина максимальной эффективности
(2)
где rp – риск портфеля
Расчетные формулы аналогичны формулам задачи составления оптимального портфеля ценных бумаг Марковица.
Варианты заданий
|
№ варианта |
m0 |
rp |
mp |
№ варианта |
m0 |
rp |
X0 |
|
1 |
10 |
0,3 |
13,5 |
16 |
9 |
0,05 |
12,2 |
|
2 |
10 |
0,3 |
13,3 |
17 |
9 |
0,05 |
12,2 |
|
3 |
10 |
0,3 |
12,55 |
18 |
9 |
0,05 |
12,2 |
|
4 |
10 |
0,3 |
12,55 |
19 |
9 |
0,05 |
12,2 |
|
5 |
10 |
1 |
12,55 |
20 |
9 |
0,05 |
12,2 |
|
6 |
10 |
0,5 |
12,7 |
21 |
9 |
0,05 |
|
|
7 |
10 |
0,04 |
12,7 |
22 |
9 |
0,088 |
12,8 |
|
8 |
10 |
0,04 |
12,7 |
23 |
9 |
0,09 |
12,8 |
|
9 |
10 |
0,04 |
12,7 |
24 |
9 |
0,12 |
12,8 |
|
10 |
10 |
0,04 |
12,7 |
25 |
9 |
0,1 |
12 |
|
11 |
8 |
0,05 |
12,7 |
26 |
9 |
0,05 |
12 |
|
12 |
8 |
0,05 |
12,7 |
27 |
9 |
0,05 |
12,3 |
|
13 |
8 |
0,09 |
12,5 |
28 |
9 |
0,12 |
12,2 |
|
14 |
8 |
0,05 |
12,5 |
29 |
8 |
0,1 |
12 |
|
15 |
9 |
0,05 |
12,2 |
30 |
8 |
0,1 |
12 |
3. Расчет экономической эффективности предложенных мероприятий.
Оценить экономический эффект от предложенных мероприятий по бухгалтерским документам невозможно потому, что по отдельно взятым операциям в банке прибыль не вычисляется. В связи с этим введем понятие Пр* –эффективная прибыль. Она будет давать оценку целесообразности использования предполагаемых мероприятий.
Эффективная прибыль от внедрения кодированных счетов:
В апреле 2001 года:
Пр.1 *= 1 000 + 11 398 – 5 000 = 7 398 гривень.
Таким образом уже в апреле месяце отдел по работе с КВС не только окупит все затраты, но и заработает прибыль в размере 7 398 гривень т.е. введение данного мероприятия целесообразно и расходы на его внедрение окупятся за 1 месяц.
Определение эффективной прибыли от перевода двух банковских обменных пунктов.
Эффективная прибыль от внедрения:
В январе 2001 года:
Пр.2 *= 3406,40 – 2170-2710 2917= -1680,60 гривен ЯЯЯЯЯ
В феврале 2001 года:
Пр.2 *=3406,40-2170-1680,6= -444,20 гривен
В марте 2001 года:
Пр.2 *=3406,40 –2170-444,20= 792,20 гривен
Таким образом, если рассматривать прибыль по банковскому пункту обмена валюты отдельно от других операций, то видно, что в январе и феврале результатом финансовой деятельности был убыток, а в марте месяце пункт сможет не только окупить все расходы за 2 предыдущих месяца, но и заработать прибыль в размере 792,20 гривен. Т.е. видно, что введение данного мероприятия – экономически целесообразно и начнет получать доход уже в 3 месяце после внедрения.
Определим возможный резерв увеличения прибыли в текущем году от предлагаемых мероприятий и на основе полученных данных заполним таблицу 2.1.
Резервы увеличения прибыли от предлагаемых мероприятий
Таблица 2.1
Резервы |
Удельный вес к общей сумме прибыли 1999года, % |
Снижение доли задолженности по просроченным ссудам в валюте |
14,0 |
Расширение сферы комиссионных услуг |
22,41 |
Недопущение неоправданных расходов по непроцентным расходам |
1,0 |
Итого
|
37,41 |
Полученные данные наглядно изображены на рисунке 2.3.

Рис.2.3.Резервы увеличения прибыли
Эффективность деятельности банка характеризуется показателями рентабельности, которая определяется как отношение балансовой прибыли к расходам банка.
Уровень общий рентабельности с учетом выявленных резервов увеличения прибыли на 36,41% и снижения расходов банка на 1% составит:
Р общ.= прибыль 99г. + 36,41% х 100% = 62,25%
расходы 99г. - 1%
Резерв повышения уровня общей рентабельности составит 7,15% (62,25%-55,1%).
Внесем полученные данные в таблицу 2.2 и проведем анализ предполагаемых доходов, расходов, прибыли за 2000год от внедрения новых видов услуг и совершенствования проводимых валютных операций.
СРАВНЕНИЕ ОСНОВНЫХ ПОКАЗАТЕЛЕЙ ДЕЯТЕЛЬНОСТИ УПРАВЛЕНИЯ ВЭД ПОСЛЕ ВНЕДРЕНИЯ ПРЕДЛАГАЕМЫХ МЕРОПРИЯТИЙ
Таблица 2.2
ПОКАЗАТЕЛЬ |
ЕДИН.ИЗМ. |
1999 ГОД |
2000 ГОД |
% 2000 К 1999 + РОСТ -СНИЖЕНИЕ |
ДОХОДЫ |
ТЫС.ГРН. |
22031 |
30052 |
+36,41 |
РАСХОДЫ |
ТЫС.ГРН. |
10842 |
10700 |
- 1,00 |
ПРИБЫЛЬ |
ТЫС.ГРН. |
11189 |
15375 |
+37,41 |
УРОВЕНЬ РЕНТАБЕЛЬНОСТИ |
% |
55,1 |
62,25 |
+7,15 |
Предлагаемые мероприятия могут дать следующие результаты:
-увеличение доходов на 36,41%, что соответственно составит прирост на 8 млн. грн., таким образом сумма доходов составит 30052 тыс. грн.
-уменьшение расходов на 1%, что соответственно приведет к уменьшению расходов на 142 тыс. грн., планируемая сумма расходов составит 10700 тыс.грн.
-прирост прибыли на 37,41 пункта, что соответственно составит увеличение на 4 млн. грн., тогда планируемая прибыль –15374,8 тыс. грн.
-повышение уровня рентабельности на 7,15 пунктов, что приедет к планируемому уровню рентабельности, который составит 62,25 %.

Данные
изменения
основных показателей
от внедрения
новых путей
повышения
доходности
в 2000 году приведены
на рисунке 2.4.
Рис.2.4.Изменение основных показателей от внедрения новых путей повышения доходности в 2000 году
Анализ эффективности мероприятий с помощью экономико-математических методов.
Для анализа воспользуемся моделью оценки эффективности бизнес-планов. Для этого составим таблицу мероприятий:
|
№ |
Мероприятие |
Число показателей |
Время реализации, мес |
|
1 |
Изменение структуры операций |
4 |
1 |
|
2 |
ПОВ |
3 |
1 |
|
3 |
Банкоматы |
2 |
1 |
Мк=3
Пс=9/3=3
К=Мк/Пс=3/3=1
Показатели:
Неторговые операции
Конверсионные операции
Расчетные операции
прочие доходные операции
Похожие рефераты:
Оценка методов установления, начисления и взыскания процентов по кредитам в коммерческом банке
Анализ деятельности коммерческого банка "Правекс-Банк"
Теория и практика валютного дилинга
Валютный рынок и валютные операции в России
Управление кредитным портфелем и пути его совершенствования в банках Республики Беларусь
Оснобенности формирования депозитной политики коммерческих банков в современных условиях
Управление процентным риском в коммерческом банке
Депозитная политика банков и пути ее совершенствования на современном этапе
Управління вартістю кредитного портфеля банку
Совершенствование депозитной политики коммерческого банка на примере ОАО ГБ Нижний Новгород
Валютные операции банка (на примере АО "Казкоммерцбанк")
Депозитная политика коммерческого банка на примере ОАО "Банк Петровский"
