| Похожие рефераты | Скачать .docx |
Дипломная работа: Кредитный риск: методы оценки и регулирования
Кредитный риск: методы оценки и регулирования
СОДЕРЖАНИЕ
Введение
1.Теоретические аспекты управления рисками в банковском секторе
1.1 Понятие банка, операций и кредитных рисков
1.2 Виды кредитных рисков и особенности управления ими
1.3 Методические аспекты расчета и диагностики кредитных рисков
2.анализ управления банковскими рисками в ОАО "банк24.ру"
2.1 Краткая характеристика ОАО "Банк24.ру"
2.2 Анализ кредитного портфеля и кредитных рисков в ОАО "Банк24.ру"
2.3 Оценка кредитоспособности заемщика при управлении кредитными рисками
3. Проблемы управления рисками в коммерческом банке и пути их решения
3.1 Комплекс рекомендаций по сокращению кредитных рисков в ОАО "Банке24.ру"
3.2 Разработка рекомендаций по выбору оптимального графика платежей для заемщика с целью снижения банковских рисков
Заключение
Список используемой литературы
ПРИЛОЖЕНИЯ
Банк как коммерческая организация ставит своей задачей получение прибыли, которая обеспечивает устойчивость и надежность его функционирования и может быть использована для расширения его деятельности. Но ориентация на прибыльность операций всегда связана с различными видами рисков, которые при отсутствии системы их ограничения могут привести к убыткам. Поэтому любой банк при определении стратегии своей деятельности формирует такую систему мероприятий, которая с одной стороны, направлена на получение прибыли, а, с другой стороны, максимально учитывает возможности предотвращения потерь при осуществлении банковской деятельности.
Успешное решение проблемы оптимизации соотношения "прибыльность – риск" при осуществлении кредитных операций банка во многом определяется применением эффективного кредитного механизма.
Отметим, что именно кредитная деятельность – эта та деятельность, ради которой банк и создается как кредитная организация. И хотя с течением времени банки, безусловно, расширяют комплекс оказываемых услуг, именно доходы от кредитных операций остаются для них основным источником получения прибыли.
Однако любое кредитование связано с определенным риском, тем более в условиях развивающейся рыночной экономики. Когда, на любом этапе может возникнуть риск.
Управление рисками является основным в банковском деле. Хотя первоначально банки только принимали депозиты, они быстро созрели, став посредниками при передаче средств, тем самым приняв на себя другие риски, например кредитный. Кредит стал основой банковского дела и базисом, по которому судили о качестве и о работе банка. Особого внимания заслуживает процесс управления кредитным риском, потому что от его качества зависит успех работы банка.
Социально - экономическая и политическая обстановка в современной России подчас выражается в неустойчивости финансового рынка. Эксперты Всемирного банка прогнозировали возникновение серьезных проблем с грамотной оценкой финансового состояния коммерческого банка.
В условиях продолжающейся рыночной нестабильности и кризиса в банках, принявшего скрытые формы, проблема рисков в банковской деятельности, управления банковскими рисками становится особенно актуальна.
Ключевыми элементами эффективного управления являются: хорошо развитые кредитная политика и процедуры; хорошее управление портфелем; эффективный контроль за кредитами; и, что наиболее важно - хорошо подготовленный для работы в этой системе персонал.
В данной работе проводится исследование управления кредитными рисками на современном этапе развития банковской системы в нашей стране.
Целью дипломной работы является проведение анализа рисков банка и возможности их минимизации через управление, с целью повышения эффективности и устойчивости банковской деятельности.
Поставленная цель предполагает реализую следующих задач::
1) Рассмотреть теоретические аспекты управления рисками в банковском секторе;
2) Изучить особенности управления кредитными рисками в ОАО "Банк24.ру";
3) Разработать рекомендации по повышению эффективности управления кредитными рисками в ОАО "Банк24.ру".
Предметом исследования является оценка теории банковских рисков, определение видов рисков, определение методов управления и оценки рисков.
Объектом выпускной квалификационной работы является кредитное учреждение – ОАО "Банк24.ру".
Особое внимание в практическом исследовании уделяется риску ссудной деятельности банка, как наиболее активному направлению деятельности подавляющего большинства действующих сегодня в нашей стране банков.
Для достижения поставленных цели и задач исследования композиционная его составляющая предполагает деление работы на три основных части.
Выпускная квалификационная работа состоит из введения, трех глав, заключения, списка используемой литературы и приложений.
Во введение обосновывается актуальность данной темы, определены цели и задачи исследования, а также предмет и объект работы.
В первой главе рассмотрены теоретические аспекты управления банковскими рисками, изучено возникновение рисков как экономической категории, дано понятие банковского риска и методы расчета рисков, раскрыты особенности управления банковским риском за рубежом и в России. Здесь же представлена методика анализа банковских рисков и методика оценки кредитоспособность заемщика. Во второй главе выпускной квалификационной работы проведена оценка и анализ кредитных рисков в ОАО "Банк24.ру". При этом рассмотрена экономическая характеристика ОАО "Банк24.ру", проведен анализ кредитного портфеля и кредитных рисков, рассмотрено управление рисками в кредитном отделе ОАО "Банк24.ру" и дана оценка кредитоспособности заемщика. В третьей главе даны рекомендации по совершенствованию управления банковскими рисками в кредитном отделе ОАО "Банк24.ру", рассмотрены возможности сокращения банковских рисков и представлена рекомендуемая схема процесса кредитования с целью уменьшения банковских рисков.
В заключении представлены обобщенные выводы по выпускной квалификационной работы и сформулированы рекомендации по совершенствованию управления рисками в ОАО "Банк24.ру".
1. ТЕОРЕТИЧЕСКИЕ АСПЕКТЫ УПРАВЛЕНИЯ РИСКАМИ В БАНКОВСКОМ СЕКТОРЕ
1.1 Понятие банка, операций и кредитных рисков
Банк - это организация, созданная для привлечения денежных средств и размещения их от своего имени на условиях возвратности, платности и срочности [12, С. 9].
Основное назначение банка - посредничество в перемещении денежных средств от кредиторов к заемщикам и от продавцов к покупателям. Наряду с банками перемещение денежных средств на рынках осуществляют и другие финансовые и кредитно-финансовые учреждения: инвестиционные фонды, страховые компании, брокерские, дилерские фирмы и т.д. Но банки как субъекты финансового рынка имеют два существенных признака, отличающие их от всех других субъектов [18, С. 12].
Во-первых, для банков характерен двойной обмен долговыми обязательствами: они размещают свои собственные долговые обязательства (депозиты, сберегательные сертификаты и пр.), а мобилизованные таким образом средства размещают в долговые обязательства и ценные бумаги, выпущенные другими. Это отличает банки от финансовых брокеров и дилеров, которые не выпускают своих собственных долговых обязательств.
Во-вторых, банки отличает принятие на себя безусловных обязательств с фиксированной суммой долга перед юридическими и физическими лицами. Этим банки отличаются от различных инвестиционных фондов, которые все риски, связанные с изменением стоимости ее активов и пассивов, распределяет среди своих акционеров.
В Российской Федерации создание и функционирование коммерческих банков основывается на Законе РФ "О банках и банковской деятельности в РФ". В соответствии с этим законом банки России действуют как универсальные кредитные учреждения, совершающие широкий круг операций на финансовом рынке: предоставление различных по видам и срокам кредитов, покупка-продажа и хранение ценных бумаг, иностранной валюты, привлечение средств во вклады, осуществление расчетов, выдача гарантий, поручительств и иных обязательств, посреднические и доверительные операции и т.п.
В России банки могут создаваться на основе любой формы собственности - частной, коллективной, акционерной, смешанной. Не исключается возможность создания банков, основанных исключительно на государственной форме собственности, которые в соответствии с действующим законодательством могут осуществлять свою деятельность на коммерческой основе. Для формирования уставных капиталов российских банков допускается привлечение иностранных инвестиций.
Термин "коммерческий банк" возник на ранних этапах развития банковского дела, когда банки обслуживали преимущественно торговлю, товарные операции и платежи (банки кредитовали транспортировку, хранение и другие операции, связанные с товарным обменом).
Современный коммерческий банк - это организация, созданная для привлечения денежных средств и размещения их от своего имени на условиях возвратности, платности и срочности.
Банки как субъекты финансовой системы имеют два существенных признака, отличающих их от всех других субъектов (страховых компаний, бирж). Во-первых, для банков характерен двойной обмен долговыми обязательствами: они размещают свои собственные долговые обязательства (депозитные и сберегательные сертификаты, облигации, векселя), а мобилизованные таким образом средства размещают в долговые обязательства и ценные бумаги, выпущенные другими. Во-вторых, банки отличает принятие на себя безусловных обязательств с фиксированной суммой долга перед юридическими и физическими лицами.
По российскому законодательству, банк отличается от всех других финансовых посредников тем, что только он имеет исключительное право осуществлять, в совокупности, следующие банковские операции:
1. Привлечение во вклады денежных средств физических и юридических лиц;
2. Размещение привлеченных денежных средств юридических и физических лиц от своего имени и за свой счет на условиях возвратности, платности, срочности;
3. Открытие и ведение банковских счетов физических и юридических лиц.
Исключительное значение банков определяется, прежде всего тем, что они могут: образовывать платежные средства; выпускать платежные средства в оборот; осуществлять изъятие платежных средств из оборота.
Банки создают новые деньги в виде кредитов. Выпуск их в оборот осуществляется в виде записи на счет клиента суммы кредитных денег. Изъятие из оборота осуществляется в процессе погашения кредита заемщиком. Таким образом, банки могут влиять на развитие отраслей и сфер экономики, кредитуя это развитие.
Во-вторых, возрастание роли банков в экономической жизни общества связано с изменением вещественной формы денег, а именно широким использованием безналичных средств и расчетов. Платежным агентом по безналичным расчетам является банк. Денежные расчеты в экономике осуществляются в форме движения наличных денег в безналичной форме.
Наличные деньги физические и юридические лица могут хранить в выбранном ими хранилище, а платежи могут осуществляться ими по мере необходимости. Безналичные деньги могут храниться только в банках на счетах юридических лиц. Банки зачисляют поступающие на эти счета суммы, выполняют распоряжения предприятий об их перечислении и выдаче со счетов, а также проводят другие банковские операции, предусмотренные банковскими правилами и договорами. Безналичные расчеты все шире вторгаются и в сферу денежных отношений физических лиц. Зачисление доходов на банковские счета, использование чеков, пластиковых карт для расчетов расширяет зависимость физических лиц от банков, делая банки кровеносной системой рыночной экономики.
Основными формами безналичных расчетов в РФ являются: платежные поручения, аккредитивы, чеки, инкассо, пластиковые карты.
Совокупность оснований, которыми субъекты хозяйствования руководствуются в процессе деятельности, называется принципами.
Первым и основополагающим принципом деятельности коммерческого банка является работа в пределах реально имеющихся ресурсов (коммерческий банк должен обеспечивать не только количественное соответствие между своими ресурсами, кредитными вложениями и другими активами, но и добиваться соответствия характера банковских активов специфике мобилизованных ресурсов).
Вторым важнейшим принципом, на котором базируется деятельность коммерческих банков, является экономическая самостоятельность, подразумевающая и экономическую ответственность банка за результаты своей деятельности. Экономическая самостоятельность предполагает:
-свободу распоряжения собственными средствами банка и привлеченными ресурсами;
-свободный выбор клиентов и вкладчиков;
-свободное распоряжение доходами банка [31, С. 82].
Действующее законодательство предоставляет всем коммерческим банкам экономическую свободу в распоряжении своими фондами и доходами. Прибыль банка, остающаяся в его распоряжении после уплаты налогов, распределяется в соответствии с решением Общего собрания акционеров. Оно устанавливает нормы и размеры отчислений в различные фонды банка, а также размеры дивидендов по акциям.
По своим обязательствам коммерческий банк отвечает всеми принадлежащими ему средствами и имуществом, на которое может быть наложено взыскание. Весь риск от своих операций коммерческий банк берет на себя. Третий принцип заключается в том, что взаимоотношения коммерческого банка со своими клиентами строятся как обычные рыночные отношения. Предоставляя ссуды, коммерческий банк исходит прежде всего из рыночных критериев прибыльности, риска, ликвидности.
Четвертый принцип работы коммерческого банка заключается в том, что государство может осуществлять регулирование его деятельности только косвенными экономическими методами, а не прямыми приказами, т.е. без вмешательства в оперативную деятельность.
Операции коммерческого банка представляют собой конкретное проявление банковских функций на практике. По российскому законодательству к основным банковским операциям относят следующие:
- привлечение денежных средств юридических и физических лиц во вклады до востребования и на определенный срок;
- предоставление кредитов от своего имени за счет собственных и привлеченных средств;
- открытие и ведение счетов физических и юридических лиц;
- осуществление расчетов по поручению клиентов, в том числе банков-корреспондентов;
- инкассация денежных средств, векселей, платежных и расчетных документов и кассовое обслуживание клиентов;
- покупка у юридических и физических лиц и продажа им иностранной валюты в наличной и безналичной формах;
- осуществление операций с драгоценными металлами в соответствии с действующим законодательством;
- выдача банковских гарантий;
- осуществление переводов денежных средств по поручению физических лиц без открытия банковских счетов (за исключением почтовых переводов).
Кроме того, в соответствии с российским банковским законодательством коммерческие банки помимо перечисленных выше банковских операций вправе производить следующие сделки:
1) выдачу поручительств за третьих лиц, предусматривающих исполнение обязательств в денежной форме;
2) приобретение права требования от третьих лиц исполнения обязательств в денежной форме;
3) доверительное управление денежными средствами и иным имуществом по договору с физическими и юридическими лицами;
4) осуществление операций с драгоценными металлами и драгоценными камнями в соответствии с законодательством Российской Федерации;
5) предоставление в аренду физическим и юридическим лицам специальных помещений или находящихся в них сейфов для хранения документов и ценностей;
6) лизинговые операции;
7) оказание консультационных и информационных услуг.
В условиях рыночной экономики все операции коммерческого банка можно условно разделить на три основные группы (см. Приложение):
- пассивные операции (привлечение средств);
- активные операции (размещение средств);
- активно-пассивные (посреднические, трастовые и пр.) операции.
1. Пассивные операции - операции по привлечению средств в банки, формированию ресурсов последних. Значение пассивных операций для банка велико.
Суть пассивных операций заключается в привлечении различных видов вкладов в рамках депозитных сберегательных операций, получении кредитов от других банков, эмиссии различных ценных бумаг, а также проведении других операций, в результате которых увеличиваются денежные средства в пассиве баланса коммерческих банков [36, С. 28].
К пассивным операциям банка относят: привлечение средств на расчетные и текущие счета юридических и физических лиц; открытие срочных счетов граждан, предприятий и организаций; выпуск ценных бумаг; займы, полученные от других банков, и т.д.
Все пассивные операции банка, связанные с привлечением средств, в зависимости от их экономического содержания делятся на:
· депозитные, включая получение межбанковских кредитов;
· эмиссионные (размещение паев или ценных бумаг банка).
2. Активные операции - операции, посредством которых банки размещают имеющиеся в их распоряжении ресурсы для получения прибыли и поддержания ликвидности. К активным операциям банка относятся: краткосрочное и долгосрочное кредитование производственной, социальной, инвестиционной и научной деятельности предприятий и организаций; предоставление потребительских ссуд населению; приобретение ценных бумаг; лизинг; факторинг; инновационное финансирование и кредитование; долевое участие средствами банка в хозяйственной деятельности предприятий; ссуды, предоставляемые другим банкам [12, С. 34].
Банк – коммерческая организация, деятельность которой сопровождается постоянными рисками. Банковский риск определяется как вероятность понесения кредитной организацией потерь или ухудшения ликвидности вследствие наступления неблагоприятных событий, связанных с внутренними или внешними факторами деятельности кредитной организации. Эта формулировка представляется неполной, поскольку указывает только на негативную сторону банковского риска. Положительное влияние риска на деятельность банка определяется увеличением его прибыли [14, С. 67].
Риски во многом определяются различными отклонениями от прогнозируемых событий. Отклонения в отрицательную сторону и есть проявление риска. В соответствии с Положением Банка России от 16 декабря 2003 года N 242-П "Об организации внутреннего контроля в кредитных организациях и банковских группах", риски возникают под влиянием множества факторов, основными из которых являются внутренние и внешние.
Внутренние факторы – это банковские причины (результаты кредитной деятельности, процентной политики, некачественная депозитная политика, недостаточная квалификация кадров).
Внешние – общие события, происходящие в экономике и в обществе (то есть изменения в политической ситуации, социальная напряженность, различные стихийные бедствия, влияющие на конъектуру рынка и состояние экономики в стране) [24, С. 32].
Существует большое количество классификаций банковских рисков. Согласно классификации банковские риски делятся на финансовые, функциональные и прочие виды рисков.
Финансовые риски занимают особое место в системе банковских рисков. Такие риски могут повлиять на объемы, структуру активов и пассивов, на конечные результаты деятельности банка – показатели рентабельности, ликвидности и на размер капитала и платежеспособность банка. К финансовым рискам относятся следующие виды рисков: кредитный риск, валютный риск, процентный риск, риск ликвидности, рыночный риск, риск инфляции и риск неплатежеспособности.
Кредитный риск - риск возникновения у кредитной организации убытков вследствие неисполнения, несвоевременного либо неполного исполнения должником финансовых обязательств перед кредитной организацией в соответствии с условиями договора. Концентрация кредитного риска проявляется в предоставлении крупных кредитов заемщикам [31, С. 63].
Кредитный риск - риск невозврата заёмщиком основного долга и процентов (в более широком понимании сюда относятся любые риски банка, связанные с неисполнением другими участниками рынка своих обязательств перед банком). Выражением степени риска кредитных операций является наиболее высокая процентная ставка по операциям, имеющим кредитную природу (собственно кредиты, факторинг, учет векселей, предоставление гарантий) по сравнению с другими активами. Ставки по кредиту должны компенсировать банку стоимость предоставляемых на срок средств, риск изменения стоимости обеспечения и риск неисполнения заемщиком обязательств. Риск неисполнения заемщиком обязательств определяется большим количеством факторов, объединенным в понятие кредитоспособность клиента: юридическая правоспособность, финансовое положение, репутация клиента, качество предлагаемого обеспечения, прогноз развития фирмы, рыночный риск и так далее. Правильность оценки зависит от обоснованности выбора методики оценки, своевременного реагирования на изменение финансового состояния клиента [20, С. 26].
Очень часто кредитный риск, возникающий по балансовым операциям, распространяется и на внебалансовые операции, например, при банкротстве предприятия. Важным является правильный учёт степени возможных потерь от одной и той же деятельности, проходящей одновременно как по балансовым, так и по внебалансовым счетам. К балансовым рискам банка относят риски – кредитный, процентный, ликвидности, структуры капитала (несоблюдения норматива достаточности капитала, нерациональной организации его структуры).
Степень кредитного риска зависит от таких факторов, как:
- степень концентрации кредитной деятельности банка в какой - либо сфере (отрасли), чувствительной к изменениям в экономике, т.е. имеющей эластичный спрос на свою продукцию, что выражается степенью концентрации клиентов банка в определенных отраслях или географических зонах, особенно подверженных конъюнктурным изменениям;
- удельный вес кредитов и других банковских контрактов, приходящихся на клиентов, испытывающих определенные специфические трудности;
- концентрация деятельности банка в малоизученных, новых, нетрадиционных сферах;
- внесение частых или существенных изменений в политику банка по предоставлению кредитов, формированию портфеля ценных бумаг;
- удельный вес новых и недавно привлеченных клиентов;
- введение в практику слишком большого количества новых услуг в течение короткого периода (тогда банк чаще подвергается, по теории маркетинга, наличию отрицательного или нулевого потенциального спроса);
- принятие в качестве залога ценностей, труднореализуемых на рынке или подверженных быстрому обесцениванию [30, С. 85].
Риск кредитования заемщиков зависит от вида предоставляемого кредита [18, С. 52].
Уровень и вид внутренних рисков, с которыми сталкиваются различные виды коммерческих банков, в основном зависят от специфики их деятельности.
В специализированных коммерческих банках, например инновационных, преобладают риски, связанные с кредитованием новых технологий. Согласно результатам выборочного статистического анализа самый большой риск представляет ввод в эксплуатацию технологической новинки без квалифицированной предварительной оценки ее потенциальной эффективности.
Вместе с тем многие инвестиционные банки имеют, например, более низкий уровень портфельных рисков, так как они имеют возможность предлагать своим клиентам разнообразные услуги по управлению кредитными портфелями ценных бумаг.
С целью снижения уровня таких рисков не только сами банки, но и их благожелательные и искомые контактные аудитории должны проводить активную маркетинговую деятельность по выявлению реальной и потенциальной емкости рынка, реального и потенциального спроса на конкретную банковскую услугу [36, С. 126].
В отраслевых банках самое главное значение для уровня рисков имеют вид и специфика конкретной отрасли (перспективной, стратегической и пр.).
1.2 Виды кредитных рисков и особенности управления ими
Кредитный риск, или риск невозврата долга, в одинаковой степени относится как к банкам, так и к их клиентам и может быть разделен на:
- промышленный (связанный с вероятностью спада производства или спроса на продукцию определенной отрасли);
- риск урегулирования и поставок (обусловленный невыполнением по каким-то причинам договорных отношений);
- риск, связанный с трансформацией видов ресурсов (чаще всего по сроку);
- риск форс - мажорных обстоятельств.
Степень кредитного риска зависит от таких факторов, как:
- степень концентрации кредитной деятельности банка в какой - либо сфере (отрасли), чувствительной к изменениям в экономике, т.е. имеющей эластичный спрос на свою продукцию, что выражается степенью концентрации клиентов банка в определенных отраслях или географических зонах, особенно подверженных конъюнктурным изменениям;
- удельный вес кредитов и других банковских контрактов, приходящихся на клиентов, испытывающих определенные специфические трудности;
- концентрация деятельности банка в малоизученных, новых, нетрадиционных сферах;
- внесение частых или существенных изменений в политику банка по предоставлению кредитов, формированию портфеля ценных бумаг;
- удельный вес новых и недавно привлеченных клиентов;
- введение в практику слишком большого количества новых услуг в течение короткого периода (тогда банк чаще подвергается, по теории маркетинга, наличию отрицательного или нулевого потенциального спроса);
- принятие в качестве залога ценностей, труднореализуемых на рынке или подверженных быстрому обесцениванию.
Риск кредитования заемщиков зависит от вида предоставляемого кредита [47, c. 52].
Уровень и вид внутренних рисков, с которыми сталкиваются различные виды коммерческих банков, в основном зависят от специфики их деятельности.
В специализированных коммерческих банках, например инновационных, преобладают риски, связанные с кредитованием новых технологий. Согласно результатам выборочного статистического анализа самый большой риск представляет ввод в эксплуатацию технологической новинки без квалифицированной предварительной оценки ее потенциальной эффективности.
Вместе с тем многие инвестиционные банки имеют, например, более низкий уровень портфельных рисков, так как они имеют возможность предлагать своим клиентам разнообразные услуги по управлению кредитными портфелями ценных бумаг.
С целью снижения уровня таких рисков не только сами банки, но и их благожелательные и искомые контактные аудитории должны проводить активную маркетинговую деятельность по выявлению реальной и потенциальной емкости рынка, реального и потенциального спроса на конкретную банковскую услугу.
В отраслевых банках самое главное значение для уровня рисков имеют вид и специфика конкретной отрасли (старой или новой, перспективной, стратегической и пр.).
Деятельность универсальных банков подвержена рискам обоих типов, а также их сочетаниям.
Таким образом, проведенный анализ позволяет сформулировать основные направления исследования проблемы оценки риска в банковской сфере, которые в общем случае включают:
- определение источников (факторов) неопределенности;
- разработку механизмов выявления степени достоверности возможных (предполагаемых) результатов действия;
построение оценочных критериев, на основании которых будут приниматься решения, и процедур контроля их уровня.
Наиболее важными элементами, положенными в основу классификации кредитных рисков, являются [19, С. 84]:
• тип, или вид, коммерческого банка;
• сфера возникновения и влияния банковского риска;
• состав клиентов банка;
• метод расчета риска;
• степень банковского риска;
• распределение риска во времени;
• характер учета риска;
• возможность управления банковскими рисками;
• средства управления рисками.
Рассмотрим подробно особенности классификации банковских рисков в зависимости от состояния каждого из перечисленных элементов.
Тип (вид) банка и риски. В настоящее время с учетом направления деятельности банков можно говорить о трех типах (видах) коммерческих банков: специализированные, отраслевые, универсальные. Ясно, что набор ровиск для этих банков будет разным.
Сфера возникновения и влияния банковских рисков. В зависимости от сферы возникновения банковские риски классифицируются на:
• риск стран;
• риск финансовой надежности отдельного банка (риски недостаточности капитала банка, несбалансированной ликвидности, недостаточности обязательных резервов);
• риск отдельного вида банковской операции (риск неплатежа, невозмещения, инкассирования — банковской гарантии, юридического риска, риска нерентабельности кредита и т.д.).
Состав клиентов банка и методы расчета рисков. Составом клиентов банка определяется метод расчета риска и его степень. Мелкий заемщик подвержен большей зависимости от случайностей рыночной экономики, чем крупный. В то же время крупные кредиты, выданные одному заемщику или группе связанных заемщиков, отрасли, региону или стране, нередко служат причиной банковских банкротств. Поэтому одним из методов регулирования риска от предоставления крупных кредитов является ограничение его размера 10—15% уставного капитала банка. Существенное значение имеет и правильный выбор предпочтительного клиента для банка. Обычно к таким партнерам относятся предприятия, обладающие высокой степенью финансовой устойчивости и имеющие хорошие показатели ликвидности и платежеспособности балансов, достаточный уровень доходности, и хорошо обеспеченные собственными средствами [44, С. 15].
В зависимости от методов расчета риски бывают комплексными и частными. Комплексный риск включает оценку и прогнозирование величины риска банка и соблюдение экономических нормативов банковской ликвидности. Частный риск основывается на создании шкалы коэффициентов риска или взвешивании риска по отдельной банковской операции или группе.
Степень банковского риска (взвешивание риска). Степень банковского риска учитывает полный, умеренный и низкий риск в зависимости от расположения по шкале рисков. Степень банковского риска характеризуется вероятностью события, ведущего к потере банком средств по данной операции. Она выражается в процентах или определенных коэффициентах.
Распределение риска по времени. Это важный фактор в условиях нынешней экономики. Основные операции банка подвержены прошлому и текущему риску (в отдельных случаях — и будущему). Текущему риску подлежат операции по выдаче гарантий, акцепта переводных векселей, документарные аккредитивные операции, продажа активов с правом регресса и др. Но сама возможность оплаты гарантии через определенное время, оплата векселей, осуществление аккредитива за счет банковского кредита подвергают эти операции и будущему риску. При наступлении времени оплаты гарантии, если банк не учел вероятность этих потерь, он несет и прошлый риск, т.е. тот, который банк принял на себя непосредственно при выдаче гарантий. Распределение риска во времени играет очень важную роль для прогнозирования предстоящих банку потерь. При учете этого фактора можно избежать наложения прошлых рисков и ошибок на будущую деятельность банка [31, С. 157].
Характер учета операций и риски. По характеру учет а банковские риски делятся на риски по балансовым операциям и по забалансовым операциям. Зачастую кредитный риск, возникающий по балансовым операциям, распространяется и на внебалансовые операции, например, при банкротстве предприятия. Здесь важно правильно учесть степень возможных потерь от одной и той же деятельности, проходящей одновременно как по балансовым, так и по внебалансовым счетам. Так, оценку степени риска операции по валютным опционам (новым видам ценных бумаг) следует производить исходя не только из валютного риска, но и рыночного, риска по операциям с ценными бумагами, а также рисков по отдельным забалансовым операциям: с казначейскими обязательствами, евродепозитами, биржевыми индексами и т.д.
Надёжность банка определяется не только тем, какому риску подвергается банк, но и насколько банк способен им управлять. К основным средствам (методикам) управления рисками, можно отнести использование принципа взвешенных рисков; осуществление систематического анализа финансового состояния клиентов банка, его платёжеспособности и кредитоспособности, применение принципа разделения рисков, рефинансирование кредитов; проведение политики диверсификации (широкое перераспределение кредитов в мелких суммах, предоставленных большому количеству клиентов, при сохранении общего объёма операций банка; страхование кредитов и депозитов; применение залога; применение реальных персональных и "мнимых" гарантий, хеджирование валютных сделок, увеличение спектра проводимых операций (диверсификация деятельности) [37, c 176].
Основной задачей регулирования рисков является поддержание приемлемых соотношений прибыльности с показателями безопасности и ликвидности в процессе управления активами и пассивами банка, то есть минимизация банковских потерь.
Эффективное управление уровнем риска должно решать целый ряд проблем - от отслеживания (мониторинга) риска до его стоимостной оценки.
Уровень риска, связанного с тем или иным событием, постоянно меняется из-за динамичного характера внешнего окружения банков. Это заставляет банк регулярно уточнять свое место на рынке, давать оценку риска тех или иных событий, пересматривать отношения с клиентами и оценивать качество собственных активов и пассивов, следовательно, корректировать свою политику в области управления рисками [24, c. 71].
Каждый банк должен думать о минимизации своих рисков. Это нужно для его выживания и для здорового развития банковской системы страны. Минимизация рисков - это борьба за снижение потерь, иначе называемая управлением рисками. Этот процесс управления включает в себя: предвидение рисков, определение их вероятных размеров и последствий, разработку и реализацию мероприятий по предотвращению или минимизации связанных с ними потерь. Все это предполагает разработку каждым банком собственной стратегии управления рисками, то есть основ политики принятия решений таким образом, чтобы своевременно и последовательно использовать все возможности развития банка и одновременно удерживать риски на приемлемом и управляемом уровне.
Цели и задачи стратегии управления рисками в большой степени определяются постоянно изменяющейся внешней экономической средой, в которой приходится работать банку.
Банк должен уметь выбирать такие риски, которые он может правильно оценить и которыми способен эффективно управлять. Решив принять определенный риск, банк должен быть готов управлять им, отслеживать его. Это требует владения навыками качественной оценки соответствующих процессов [14, c. 90].
В основу банковского управления рисками должны быть положены следующие принципы:
- прогнозирование возможных источников убытков или ситуаций, способных принести убытки, их количественное измерение;
- финансирование рисков, экономическое стимулирование их уменьшения;
- ответственность и обязанность руководителей и сотрудников, четкость политики и механизмов управления рисками;
- координируемый контроль рисков по всем подразделениям и службам банка, наблюдение за эффективностью процедур управления рисками [24, c. 93].
Завершающий, важнейший этап процесса управления рисками - предотвращение (предупреждение) возникновения рисков или их минимизация. Соответствующие способы вместе со способами возмещения рисков составляют содержание так называемого регулирования рисков.
Отметим, что поскольку управление рисками является частью практического менеджмента, оно требует постоянной оценки и переоценки принятых решений. В противном случае могут сложиться статистические, бюрократические и технологические иллюзии, которым не суждено осуществиться на практике. При всех существующих различиях и деталях принятые в банках англосаксонских стран модели управления рисками являются образцом для организации такого управления.
Важнейшими элементами систем управления рисками являются:
- четкие и документированные принципы, правила и директивы по вопросам торговой политики банка, управления рисками, организации трудового процесса и используемой терминологии;
- создание специальных групп управления рисками, не зависимых от коммерческих подразделений банка; руководитель подразделения, ведающего рыночными рисками, отчитывается перед исполнительным директором банка ("ChiefExecutiveOfficer"), руководитель подразделения кредитных рисков - перед директором по кредитам ("ChiefCreditOfficer"), т.е. перед членами высшего руководства банка;
- установление лимитов рыночных и кредитных рисков и контроль за их соблюдением, а также агрегирование (объединение) рисков по отдельным банковским продуктам, контрагентам и регионам;
- определение периодичности информирования руководства банка о рисках. Как правило, такая информация представляется ежедневно, особенно по рыночным рискам;
- для всех типов рисков создаются специальные немногочисленные группы по управлению, не зависимые от коммерческих подразделений банка;
- все элементы системы контроля и управления рисками регулярно проверяются аудиторами, не зависящими от коммерческих служб банка [31, c. 56].
По возможностям управления риски бывают открытыми и закрытыми. Открытые риски не подлежат регулированию, закрытые регулируются. По некоторым операциям вводятся специальные ограничения по рискам. Например, одним из преобразований к инвалютным счетам является обязательно закрытая позиция в валюте на конец каждого рабочего дня, т.е. пересчет обесценивающейся валюты в валюту, курс которой повышается.
Строго говоря, при всесторонней оценке риска следовало бы устанавливать для каждого абсолютного или относительного значения величины возможных потерь соответствующую вероятность возникновения такой величины. При этом исходной стадией оценки должно стать построение кривой (таблицы) вероятностей получения определенного уровня прибыли (убытка). Но применительно к деятельности коммерческих банков это чаще всего чрезвычайно сложная задача. Поэтому на практике ограничиваются упрощенными подходами, оценивая риск по одному или нескольким показателям, представляющим обобщенные характеристики, наиболее важные для вывода о приемлемости риска [20, С. 63].
В условиях финансового кризиса весьма актуальной выглядит проблема эффективного, профессионального управления банковскими рисками, оперативного учета факторов риска.
Проблема управления рисками в каждом банке занимает одно из главных мест, поскольку неправильный подход в этом вопросе может не просто привести к большим убыткам, но и к закрытию кредитной организации.
В настоящее время во многих российских банках осуществляется выделение специальных сотрудников и подразделений, функцией которых является организация системы управлении рисками банковской деятельности или риск-менеджмент. В определении стратегии в области риск-менеджмента российские банки руководствуются рекомендациями Центрального банка Российской Федерации и частично рекомендациями Базельского комитета.
Целью управления рисками является сокращение финансовых потерь банка и, соответственно, повышение рентабельности, обеспечение надлежащего уровня надежности банка [25, С. 33].
С помощью пассивных операций банк регулирует свои ресурсы для осуществления активных банковских операций. Основной пассивной операцией банка является привлечение вкладов и депозитов. Риски пассивных операций связаны с возможными затруднениями в обеспечении активных операций ресурсами. Чаще всего этот риск связан с эффективностью деятельности определенного вкладчика. Для предупреждения риска по формированию депозитов банкам следует соблюдать оптимальное соотношение между пассивными и активными депозитными операциями.
Управление рисками по активным операциям предполагает управление кредитным, валютным, процентным рисками, риском ликвидности и некоторыми другими.
Политика управления кредитным риском очень многообразна. Но конкретные меры по управлению кредитным риском обычно включат три вида директив.
Первый вид – это директивы, направленные на ограничение или уменьшение кредитных рисков. Такой способ управления предусматривает установление лимита на сумму кредита одному заемщику. Базельский комитет по банковскому надзору рекомендует максимальное значение данного лимита, равное 25% [43, С. 56].
Второй вид включает директивы по классификации активов. Сюда входит анализ вероятности погашения портфеля кредитов включая начисленные и невыплаченные проценты, которые подвергают банк кредитному риску. Классификация активов является основным инструментом управления рисками.
Третий вид включает директивы по кредитному резервированию. Классификация активов является базой для определения адекватного уровня резервов под возможные кредитные потери. Для определения адекватного размера резервов нужно учитывать кредитную историю, залог и все другие значимые факторы, которые влияют на вероятность погашения кредитов кредитного портфеля.
Изменение уровня процентных ставок на рынке могут снизить уровень прибыльности банка, сократить собственный капитал. Для снижения риска банки включают в процентную ставку по размещенным средствам риск-премию или размер страхового процента.
Механизм контроля и принятия решения по оценке ликвидности банка предполагает распределение полномочий и ответственности между подразделениями банка. Анализ ликвидности банка проводят казначейство (текущая и краткосрочная ликвидность) и планирующее финансовую деятельность подразделение банка (средне- и долгосрочную ликвидность). Департамент рисков готовит заключение, содержащее выявление факторов риска ликвидности, анализ состояния ликвидности и предложения по ее оптимизации. Комитет по управлению актива и пассивами банка на основе предоставленных материалов утверждает политику управления ликвидностью банка.
К факторам, увеличивающим риск ликвидности относят подрыв доверия к банку; неустойчивость финансовых рынков; зависимость от одного рынка или малого количества контрагентов.
К факторам, снижающим риск ликвидности относят возможность получения средств у родственной организации; поддержание на высоком уровне ликвидных средств (наличности, легкореализуемых ценных бумаг); государственное страхование депозитов; поддержание жесткой структуры совпадения сроков погашения по активам и пассивам [34, С. 141].
Таким образом, чтобы свести потери от рисков к минимуму, банковские работники, особенно руководители, должны грамотно управлять рисками и уметь приспосабливаться к новым обстоятельствам. Вместе с тем, чем большую долю риска принимает на себя банк, тем выше должны быть его доходы. Поэтому банки должны использовать различные способы страхования рисков, а также систематически осуществлять контроль за соблюдением нормативов, установленных ЦБ РФ. Эффективное управление банковскими рисками становится одним из главных направлений по приближению российских банков к международным стандартам.
1.3 Методические аспекты расчета и диагностики кредитных рисков
Кредитование юридических и физических лиц является одним из основных видов деятельности коммерческих и государственных крупных, средних и мелких банков. Поэтому большое значение для обеспечения устойчивого функционирования банка имеют методы количественной оценки и анализа кредитного риска. Цена за риск должна максимально точно учитывать величину риска каждого кредита. Кроме средней величины риска, определяемой по статистике предыдущей деятельности, банк должен знать количественную оценку и составляющие риска для каждого кредита.
Оценка риска – это количественное определение затрат, связанных с проявлением рисков, на определенном этапе деятельности банка. Целью оценки рисков является определение соответствия результатов деятельности банка рыночным условиям [14, С. 78].
Анализ общего кредитного портфеля и его характеристик обычно дает достаточно полную картину деятельности банка, его приоритетов, видов кредитных рисков, которым он подвержен. При этом нужно проанализировать список основных видов кредитов, включая информацию о клиенте, среднем сроке кредитов и средней процентной ставке; распределение кредитного портфеля, включая анализ общей суммы кредитов в разных ресурсах, например, по валютам, срокам погашения; кредиты с правительственными или другими гарантиями; кредиты по видам рисков; неработающие кредиты.
Инструменты, используемые аналитиком, позволяют производить всестороннюю оценку состава и характеристик общего кредитного портфеля. Анализ указанных выше данных позволит определить степень концентрации кредитного риска, оценить тенденции изменений показателей, качество ссудной задолженности.
Каждый банк разрабатывает свою модель риска для количественной оценки и анализа риска кредитов с учетом общих рекомендаций Базельского комитета по банковскому надзору. Чем выше точность оценки риска кредитов, тем меньше потери банка, меньше процент за кредит и выше конкурентоспособность банка. От повышения точности и прозрачности методик выигрывает все общество в целом. Создание эффективной модели риска и оптимальное управление кредитным риском возможны только на основе постоянного количественного анализа статистической информации об успехах кредитов [43, С. 56].
Существуют различные подходы к определению кредитного риска частного заемщика, начиная с субъективных оценок специалистов банка и заканчивая автоматизированными системами оценки риска. Мировой опыт показывает, что основанные на математических моделях системы являются более действенными и надежными. В целях построения модели кредитного риска сначала производится выборка клиентов кредитной организации, о которых уже известно, хорошими заемщиками они себя зарекомендовали или нет. Такая выборка может варьироваться от нескольких тысяч до сотен тысяч, что не является проблемой на Западе, где кредитный портфель компаний может состоять из десятков миллионов клиентов. Выборка содержит информацию по двум группам кредитов, имевшим место в деятельности банка: "хорошим" и "плохим" (проблемным или невозвращенным).
К методикам для количественной оценки кредитных рисков предъявляется особое требование по прозрачности, включающей количественные оценки точности и робастности.
Прозрачность методики кредитного риска - это возможность видеть не только явление в целом, но и его детали. Прозрачность стала важнейшей характеристикой методик оценки кредитных рисков в силу необходимости наиболее полной идентификации как кредитного риска, так и самой модели кредитного риска. Под прозрачностью методики будем понимать строгость используемых математических методов, сглаживание субъективности экспертных оценок, наглядность результатов оценки и анализа риска, полное их понимание самими работниками банков, открытость методик для контролирующих органов и заемщиков. Прозрачность методики и результатов достигается вычислением вкладов инициирующих событий (критериев) в кредитный риск [31, С. 90].
Для анализа, прогнозирования и управления кредитным риском каждому банку необходимо уметь количественно определять названные характеристики, анализировать риск и выполнять постоянный мониторинг компонент характеристик кредитного риска.
От точности распознавания зависит решение о выдаче или отказе в кредите, цена (процент) за риск и уровень резервирования на случай дефолта кредита. Точность оценивается количеством относительных ошибок в распознавании "плохих" и "хороших" кредитов (клиентов) и их средним количеством. Обычно выдвигается требование, чтобы "плохие" кредиты распознавались лучше. Отношение неправильно распознанных "хороших" и "плохих" кредитов выбирают от 2 до 10. Аналогично формулируется задача точности, если кредиты классифицируются не на два, а несколько классов. Сравнение разных методик на одних и тех же данных показало, что разные методики оценки риска отличаются по точности почти в два раза.
Робастность характеризует стабильность методик оценки кредитных рисков. Разные методики риска или одна методика при разных алгоритмах обучения по статистическим данным неодинаково классифицируют кредиты на "хорошие" и "плохие". Один и тот же кредит по одной методике может быть признан "плохим", а по другой методике "хорошим". Такая нестабильность в классификации достигает 20% от общего числа кредитов. Сравнение разных методик на одних и тех же данных показало, что разные методики риска могут отличаться по робастности в семь раз.
Таким образом, риск представляет собой вероятностную категорию, которая может быть с достаточной степенью точности оценена при помощи анализа потерь. В зависимости от величины потерь выделяют зоны риска [45, С. 154]:
- зона допустимого риска – это когда потери от какого-то вида деятельности возможны, но они меньше ожидаемой прибыли.
- зона критического риска – характеризуется опасностью потерь, которые заведомо превышают ожидаемую прибыль и в максимуме ведут к потере средств вложенных в операцию.
- зона катастрофического риска – это когда потери превышают критический уровень и распространяются на имущество банка.
Пределы зон устанавливаются с помощью коэффициентов риска. Коэффициент риска определяется как отклонение максимально возможной величины убытка к собственному капиталу. Если коэффициент риска не превышает 0,3 – это зона допустимого риска; от 0,3 до 0,7 – зона критического риска; 0,7 и более – зона катастрофического риска.
Как правило, анализ и прогноз финансового риска требует больших затрат. Поэтому необходим простой и относительно дешевый экспресс-анализ банкротства организации. В экономически развитых странах для этих целей используют двухфакторную, пятифакторную и семифакторную Z-модели по оценке степени банкротства организации. Кроме того, применяется также Модель надзора за ссудами Чессера [34,c . 128].
Линейная модель Альтмана, или уравнение Z- оценки выглядит следующим образом:
(1)
где:
Z - показатель риска банкротства;
Х1 , Х2 ...Хn -отобранные коэффициенты, число которых достигает n;
C1 ,C2 ...Cn -показатели, характеризующие значимость R1 ,R2 ...Rn .
Модель Э. Альтмана была построена с использованием пяти коэффициентов, которые были отобраны из первоначальных 27 показателей. Эти пять показателей были использованы для определения значения Z. Высокое значение Z свидетельствует о стабильном состоянии компании, а низкое - о потенциальном банкротстве.
В результате статистического анализа были определены как сами показатели, так и числовые показатели, характеризующие значимость каждого коэффициента:
(2)
где: X1 - отношение оборотных активов (оборотного капитала) к общей
сумме активов фирмы; Х2 - отношение нераспределенной прибыли (дохода) к общей сумме активов; Х3 - отношение операционной прибыли(до вычета процентов и налогов)- брутто доходы к общей сумме активов; Х4 - отношение рыночной стоимости собственного капитала (акций фирмы)к балансовой стоимости заемных средств; Х5 - отношение объема реализации(сумма продаж) к общей сумме активов.
Для расчета числовых параметров модели Альтман применил метод дискриминантного анализа. Классификационное "правило", полученное на основе уравнения, гласило [37, С. 75]:
1. если значение Z менее 2,675 , то фирму следует отнести к группе потенциальных банкротов;
2. если значение Z более 2,675 , то фирме в ближайшей перспективе банкротство не угрожает и её можно отнести г группе успешных.
3. при значении Z от 1,81 до 2,99 модель не работает, этот интервал - "область неведения".
Для компаний, акции которых не котируются на бирже, Альтман получил модифицированный вариант формулы:
(3)
В этой формуле коэффициент Х4 характеризует уже балансовую, а не рыночную, стоимость акций. Его "пограничное" значение для этой формулы равно 1,23. Если же не имеется данных о рыночной стоимости акций, то показатель Х4 может быть рассчитан как отношение суммы дивидендов к среднему уровню ссудного процента.
Модели Альтмана используются для быстрой оценки финансового состояния делового партнера и входят в закрытый пакет прикладных программ "Определение финансового состояния предприятия (DFSF)".Хочется отметить, что выборка Альтмана рассчитана на американские компании. В других странах, с другими критериями состояния экономики могут быть использованы монет прогнозирования, основанные на том же принципе Z-модели, но с иными финансовыми коэффициентами и значениями С1 ,С2 ... Сn .
Данную количественную модель в процессе анализа можно использовать как дополнение к качественной характеристике, данной служащими кредитных отделов. Однако она не может заменить качественную оценку. Модель и получаемые посредством нее Z-оценки могут послужить ценным инструментом определения общей кредитоспособности клиента.
Хотя одной из важнейших задач банковских служащих является оценка политики и эффективности управленческой деятельности на предприятии, но прямая оценка - трудная задача, поэтому прибегают к косвенной - путем анализа относительных показателей, отражающих не причины, а симптомы. Однако, выявляя аномальные значения показателей, кредитный аналитик может очертить проблемные области и выявить причины возникающих проблем.
Фактически коэффициенты Z-оценки содержат элемент ожидания. Это означает, что если Z-оценка некоторой компании находится ближе к показателю средней компании-банкрота, то при условии продолжающегося ухудшения ее положения она обанкротится. Если же менеджеры компании и банк, осознав финансовые трудности, предпринимают шаги, чтобы предотвратить усугубление ситуации, то банкротства не произойдет, то есть Z-оценка является сигналом раннего предупреждения.
Таким образом, модель Альтмана пригодна для оценки общей деятельности компании.
Для российских организаций, в том числе и для кредитных, эффективность применения Z-модели для прогноза кредитного риска и вероятности банкротства нуждается в подтверждении. Кроме необходимости изменения показателей, входящих в формулу, и корректировки числовых коэффициентов, при использовании Z-модели возникают также проблемы из-за того, что финансовые коэффициенты, входящие в модель, рассчитываются на основе данных официальной отчетности предприятий, которые попадая в затруднительное положение, "улучшают" свои отчеты о прибылях и убытках. Это не позволяет объективно оценивать финансовые затруднения, возникающие у организации.
В последние десятилетия в западных банках кроме модели, предложенной Э. Альтманом, применяется такой метод оценки качества потенциальных заемщиков с помощью другой статистической модели - модели оценки коммерческой ссуды, предложенной американским ученым Чессером.
Чессер использовал данные ряда банков по 37 "удовлетворительным" ссудам и 37 "неудовлетворительным" ссудам, причем для расчета были взяты показатели балансов фирм- заемщиков за год до получения кредита. Подставив расчетные показатели модели в формулу "вероятности нарушения условий договора" Чессер правильно определил три из каждых четырех исследуемых случаев.
Модель надзора за ссудами Чессера, включающая шесть переменных, прогнозирует случаи невыполнения клиентом условий договора о кредите. При этом под "невыполнением условий" подразумевается не только непогашение ссуды, но и любые другие отклонения, делающие ссуду менее выгодной для заемщика [35, С. 129].
(4)
где е = 2,71828.
Получаемая оценка у может рассматриваться как показатель вероятности невыполнения условий кредитного договора. Чем больше значение у, тем выше вероятность невыполнения договора для данного заемщика.
В модели Чессера для оценки вероятности невыполнения договора используются следующие критерии:
- если Р. > 0,50, следует относить заемщика к группе, которая не выполнит условий договора;
- если Р. < 0,50, следует относить заемщика к группе надежных.
Модель оценки рейтинга заемщика Чессера подходит для оценки надежности кредитов [32, С. 116].
Однако, математические модели не учитывают роль межличностных отношений, а в практике кредитного анализа и кредитования этот фактор необходимо учитывать.
В заключение хочется отметить, что, определив кредитоспособность хозяйствующего субъекта или же частного лица, можно оценить кредитный риск и, следовательно, минимизировать убытки коммерческого банка. Поэтому при исследовании системы управления рисками в банке в следующей главе будет проведен анализ кредитного портфеля и кредитных рисков объекта исследования, а также проведена оценка кредитоспособности как способ управления кредитными рисками в банковском секторе.
2. АНАЛИЗ УПРАВЛЕНИЯ БАНКОВСКИМИ РИСКАМИ В ОАО "БАНК24.РУ"
2.1 Краткая характеристика ОАО "Банк24.ру"
Банк работает на рынке финансовых услуг Московской области с 19 ноября 2002 г. За это время Банк зарекомендовал себя как устойчивое и надежное финансово-кредитное учреждение.
Имя служит точным отражением конкурентных преимуществ банка. "24" в названии отражает время обслуживания клиентов — 24 часа в сутки. "Ру" показывает, что название является адресом в сети Интернет. Имя Банка раскрывает его Миссию: Банк24.ру — круглосуточный банк для деловых людей. Создан для качественного предоставления фундаментальных банковских услуг.
Стратегия развития Банка — создание автоматизированного банка, осуществляющего круглосуточное обслуживание клиентов.
Место банка в современной экономике уникально: с одной стороны банк-это предприятие, с другой стороны деятельность этого предприятия специфична по сравнению с иными субъектами предпринимательства. Банковский бизнес выступает неотъемлемой частью как национальной, так и мировой экономической системы. Именно поэтому его деятельность теснейшим образом связана с общественными интересами. Реализуемый банками продукт должен отвечать потребностям, как частных лиц, так и субъектов бизнеса и нацелен на решение основной проблемы общественного развития – повышение жизненного уровня населения и обеспечение благоприятных условий развития национальной экономики.
В соответствии с выданными Банком России лицензиями, Банк может осуществлять следующие банковские операции:
1) привлечение денежных средств физических и юридических лиц во вклады (до востребования и на определенный срок);
2) размещение указанных в пункте 1 привлеченных средств от своего имени и за свой счет;
3) открытие и ведение банковских счетов физических и юридических лиц;
4) осуществление расчетов по поручению физических и юридических лиц, в том числе банков-корреспондентов, по их банковским счетам;
5) инкассация денежных средств, векселей, платежных и расчетных документов и кассовое обслуживание физических и юридических лиц;
6) купля-продажа иностранной валюты в наличной и безналичной формах;
7) выдача банковских гарантий;
8) осуществление переводов денежных средств по поручению физических лиц без открытия банковских счетов (за исключением почтовых переводов).
Банк, помимо перечисленных банковских операций, вправе осуществлять следующие сделки:
1) выдачу поручительств за третьих лиц, предусматривающих исполнение обязательств в денежной форме;
2) приобретение права требования от третьих лиц исполнения обязательств в денежной форме;
3) доверительное управление денежными средствами и иным имуществом по договору с физическими и юридическими лицами;
4) осуществление операций с драгоценными металлами и драгоценными камнями в соответствии с законодательством Российской Федерации;
5) предоставление в аренду физическим и юридическим лицам специальных помещений или находящихся в них сейфов для хранения документов и ценностей;
6) лизинговые операции;
7) оказание консультационных и информационных услуг.
Банк вправе осуществлять иные сделки в соответствии с законодательством Российской Федерации. Банку запрещается заниматься производственной, торговой и страховой деятельностью.
Правовое регулирование банковской деятельности регламентируется Конституцией РФ, Федеральными законами "О банках и банковской деятельности", "О Центральном банке РФ (Банке России)", а также другими федеральными законами и нормативными актами Банка России.
Следует отметить, что каждый конкретный отдел изучает и действует в своей работе на основании различных законов, положений и инструкций в зависимости от специфики деятельности. Например, проходя практику в Отделе обслуживания частных клиентов, знакомишься со следующими нормативными актами: ФЗ "О страховании вкладов физических лиц в банках РФ" N177-ФЗ, положение N 39-П о порядке начисления % по вкладам, ФЗ "О валютном регулировании и валютном контроле" N173-ФЗ.
В расчетном центре банка специалисты по обслуживанию юридических лиц руководствуются Положением "О безналичных расчетах в РФ" N2-П. В целом отделы, которые занимаются работой с клиентами, опираются на Гражданский кодекс РФ, Налоговый кодекс РФ.
Отдел финансового мониторинга обязан отслеживать весь поток платежей, который проходит в течение операционного дня, отслеживать сомнительные операции, таким образом, данное подразделение банка действует на основании ФЗ "О противодействии легализации доходов, полученных преступным путем и финансированию терроризма" N115-ФЗ.
Валютный отдел работает в рамках ФЗ "О валютном регулировании и валютном контроле" N 173-ФЗ и т.д. Отделы взаимодействуют друг с другом в течение всего дня и некоторые отделы даже в ночное время, т.е. запросить какую-либо информацию о клиенте или каком-либо процессе можно достаточно быстро.
Все банковские операции и другие сделки осуществляются в рублях, а при наличии соответствующей лицензии Банка России - и в иностранной валюте. Правила осуществления банковских операций, в том числе правила их материально-технического обеспечения, устанавливаются Банком России в соответствии с федеральными законами.
Банк действует на основании Устава, который принимается его участниками. Взаимоотношения банка с клиентами строятся на основе договоров. Банк и организация, вступая в договорные отношения, друг с другом, стремятся к осуществлению своих хозрасчетных интересов, эффективному сотрудничеству.
Банк является юридическим лицом, имеет в собственности обособленное имущество, учитываемое на его самостоятельном балансе. Банк может от своего имени заключать договоры, приобретать и осуществлять имущественные и личные неимущественные права, нести обязанности, быть истцом и ответчиком в суде.
Ни одно юридическое лицо в РФ, за исключением получившего от Банка России лицензию на осуществление банковских операций, не может использовать в своем наименовании слова "банк", "кредитная организация" или иным образом указывать на то, что данное юридическое лицо имеет право на осуществление банковских операций.
Управление банком осуществляется следующими органами:
· Совет директоров Банка;
· единоличный исполнительный орган - Председатель Правления Банка;
· коллегиальный исполнительный орган - Правление Банка.
Совет директоров осуществляет общее руководство деятельностью Банка, за исключением решения вопросов, отнесенных к компетенции Общего Собрания акционеров. К компетенции Совета директоров Банка относятся следующие вопросы:
1) определение приоритетных направлений деятельности Банка;
2) созыв годового и внеочередного Общих Собраний акционеров, за исключением случаев предусмотренных законодательством;
3) утверждение повестки дня Общего Собрания акционеров;
4) определение даты составления списка лиц, имеющих право на участие в Общем Собрании акционеров, и другие вопросы, отнесенные действующим законодательством к компетенции Совета директоров Банка и связанные с подготовкой и проведением Общего Собрания акционеров;
5) размещение Банком облигаций и иных эмиссионных ценных бумаг, кроме облигаций и иных эмиссионных ценных бумаг конвертируемых в акции;
6) определение цены (денежной оценки) имущества, цены размещения и выкупа ценных бумаг в случаях, установленных законодательством;
7) приобретение размещенных Банком акций, облигаций и иных ценных бумаг в случаях, предусмотренных действующим законодательством;
8) образование коллегиального исполнительного органа - Правления Банка и досрочное прекращение его полномочий, установление вознаграждения членам Правления Банка;
9) рекомендации по размеру выплачиваемых членам ревизионной комиссии Банка вознаграждений и компенсаций и определение размера оплаты услуг аудитора;
10) рекомендации по размеру дивидендов по акциям и порядку их выплаты;
11) использование резервного фонда и иных фондов Банка;
Руководство текущей деятельностью Банка осуществляется единоличным исполнительным органом - Председателем Правления и коллегиальным исполнительным органом Банка - Правлением.
В ходе изучения организационной структуры банка за 2009 г., было выявлено, что данные организационные структуры больше соответствуют механистической бюрократии.
Организационной структуре ОАО "Банк24.ру" присущи следующие характеристики механистической бюрократии: ключевой частью организации является техноструктура; чрезвычайно - формализованные процедуры в операционном ядре; крупные операционные подразделения; четкое разделение полномочий и высокая роль инструкции; координация работы опирается на стандартизацию; группирование по функциональному принципу; сравнительно высокая централизация власти при принятии решений.
Описание функций экономических служб банка.
Функции экономических служб банка направлены на поддержание внутреннего контроля в банке. Система внутреннего контроля банка представляет собой совокупность субъектов внутреннего контроля, объектов внутреннего контроля и направлений осуществления внутреннего контроля:
· Служба внутреннего контроля;
· Ревизионная комиссия;
· Менеджеры по финансовому мониторингу;
· Контролер профессионального участника рынка ценных бумаг;
· Ответственный сотрудник по правовым вопросам;
· Служба безопасности Банка;
· Главный бухгалтер Банка и его заместители;
· Руководители и главные бухгалтера (их заместители) филиалов Банка;
· Специальные комитеты и комиссии (Кредитный комитет, Комиссия по взысканию просроченной ссудной задолженности и др.), создаваемые на постоянной основе;
· Специальные комиссии, создаваемые на временной основе по распоряжению (приказу) Председателя Правления Банка для проведения инвентаризаций, ревизий, тематических проверок, служебных расследований и т.д.;
· Руководители структурных подразделений;
· Прочие сотрудники Банка.
1) Служба внутреннего контроля - полномочия по осуществлению внутреннего контроля в сфере деятельности Банка в соответствии внутренними документами Банка, должностными инструкциями сотрудников, планами работы службы внутреннего контроля на год, а также действующим законодательством Российской Федерации.
Служба внутреннего контроля действует под непосредственным контролем Совета директоров Банка. Руководитель службы внутреннего контроля подотчетен Совету директоров Банка, назначается и освобождается от занимаемой должности Советом директоров Банка по представлению Председателя Правления Банка.
Иные подразделения Банка не могут функционально подчиняться руководителю службы внутреннего контроля. Совмещение служащими службы внутреннего контроля (включая руководителя и его заместителей) своей деятельности с деятельностью в других подразделениях Банка невозможно.
2) Менеджеры по финансовому мониторингу - полномочия по осуществлению внутреннего контроля в сфере противодействия легализации (отмывания) доходов, полученных преступным путем, и финансированию терроризма в соответствии с Правилами внутреннего контроля в целях противодействия легализации (отмыванию) доходов, полученных преступным путем, и финансированию терроризма, а также иные полномочия по осуществлению внутреннего контроля в соответствии с их должностными инструкциями, и действующим законодательством Российской Федерации.
3) Контролер профессионального участника рынка ценных бумаг - полномочия по осуществлению внутреннего контроля в сфере деятельности Банка, как профессионального участника рынка ценных бумаг, а также иные полномочия по осуществлению внутреннего контроля в соответствии с Инструкцией о внутреннем контроле Банка, как профессионального участника рынка ценных бумаг, и действующим законодательством Российской Федерации.
4) Юридическое управление - полномочия по осуществлению внутреннего контроля в сфере правового обеспечения эффективного функционирования Банка, его структурных подразделений, а также иные полномочия по осуществлению внутреннего контроля в соответствии с Положением о юридическом управлении, в соответствии с должностными инструкциями сотрудников юридического управления, и действующим законодательством Российской Федерации.
5) Служба безопасности Банка - полномочия по осуществлению внутреннего контроля в сфере соблюдения внутренних документов Банка, регламентирующих экономическую и физическую безопасность деятельности Банка, включая планы мероприятий на случаи нештатных ситуаций, а также в сфере защиты информации и сохранности материальных активов, иные полномочия по осуществлению внутреннего контроля в соответствии с Положением о службе безопасности, а также действующим законодательством Российской Федерации.
6) Главный бухгалтер Банка и его заместители - полномочия по осуществлению внутреннего контроля в сфере обеспечения достоверности, полноты, объективности учета и отчетности Банка (финансовой, бухгалтерской, статистической, налоговой и иной отчетности), представляемой внешним и внутренним пользователям, а также иные полномочия по осуществлению внутреннего контроля в соответствии их должностными инструкциями, внутренними документами Банка, а также действующим законодательством Российской Федерации.
7) Руководители и главные бухгалтеры (их заместители) филиалов Банка - полномочия по осуществлению внутреннего контроля в сфере деятельности филиалов, а также иные полномочия по осуществлению внутреннего контроля в соответствии их должностными инструкциями, положениями о филиалах Банка, внутренними документами Банка, а также действующим законодательством Российской Федерации.
8) Специальные комитеты и комиссии (Кредитный комитет, Комиссия по взысканию просроченной ссудной задолженности и др.), создаваемые на постоянной основе - полномочия по осуществлению внутреннего контроля в сфере деятельности указанных комитетов и комиссий, а также иные полномочия по осуществлению внутреннего контроля в соответствии с положениями (о комитетах), решениями Правления Банка, приказами Председателя Правления Банка, а также действующим законодательством Российской Федерации.
9) Специальные комиссии, создаваемые на временной основе по распоряжению (приказу) Председателя Правления Банка для проведения инвентаризаций, ревизий, тематических проверок, служебных расследований — полномочия по осуществлению внутреннего контроля в сфере деятельности указанных специальных комиссий, а также иные полномочия по осуществлению внутреннего контроля в соответствии указанными распоряжениями (приказами) Председателя Правления Банка, и действующим законодательством Российской Федерации.
10) Руководители структурных подразделений полномочия по осуществлению внутреннего контроля в сфере деятельности возглавляемых ими структурных подразделений, а также иные полномочия по осуществлению внутреннего контроля в соответствии с их должностными инструкциями, положениями о структурных подразделениях, внутренними документами Банка, а также действующим законодательством Российской Федерации.
11) Прочие сотрудники Банка, осуществляющие контрольные функции в соответствии с полномочиями, определенными их должностными инструкциями, а также внутренними документами Банка, и действующим законодательством Российской Федерации.
Кредитная организация обязана по требованию физического или юридического лица представить копию лицензии на осуществление банковских операций, копии иных выданных ей разрешений (лицензий), если необходимость получения указанных документов предусмотрена федеральными законами.
Банк24.ру — участник специальной государственной программы создания системы обязательного страхования банковских вкладов населения. Ее основная задача — защита сбережений населения, размещаемых во вкладах и на счетах в российских банках на территории РФ. 24 февраля 2005 года "Банк24.ру" (ОАО) был включен в реестр банков-участников системы обязательного страхования вкладов под номером 716 и имеет Свидетельство о включении банка в реестр банков-участников системы обязательного страхования вкладов.
Банк имеет следующие лицензии:
1. Лицензия на эксплуатацию взрывоопасных производственных объектов.
2. Лицензия профессионального участника рынка ценных бумаг на осуществление брокерской деятельности.
3. Лицензия профессионального участника рынка ценных бумаг на осуществление депозитарной деятельности.
4. Лицензия профессионального участника рынка ценных бумаг на осуществление деятельности по управлению ценными бумагами.
5. Лицензия на право осуществлять деятельность по распространению шифровальных (криптографических) средств.
6. Лицензия на право осуществлять предоставление услуг в области шифрования информации.
7. Лицензия на право осуществлять деятельность по техническому обслуживанию шифровальных (криптографических) средств.
8. Лицензия профессионального участника рынка ценных бумаг на осуществление дилерской деятельности.
9. Лицензии на осуществление банковских операций в рублях и иностранной валюте юридических и физических лиц.
Уникальным является опыт Банка24.ру в области создания и сертификации системы менеджмента качества: Банк24.ру реализует принцип денежной гарантии качества услуг — Money Back и является первым Российским финансово-кредитным учреждением, прошедшим сертификацию по международному стандарту качества ISO 9001:2000 В 2003 году Банк24.ру первым среди российских финансово-кредитных учреждений прошел сертификацию по международному стандарту качества ISO 9001:2000. В июле 2006, по итогам ресертификационного аудита, сертифицирующая компания "BVС" (Bureau Veritas Certification) рекомендовала Банк24.ру к продлению действия сертификата соответствия требованиям международного стандарта менеджмента качества на следующие 3 года. Кроме того, в Банке постоянно проходят надзорные аудиты, которые подтверждают, что система менеджмента качества Банка функционирует на стабильно высоком уровне.
Высокое качество финансовых услуг, которое обеспечивается системами ISO 9001:2000 и Money Back, подтверждено независимыми экспертами: в апреле 2007 года Банк24.ру стал победителем "Фестиваля качества услуг кредитования физических лиц" сразу в двух номинациях: "Лучшая программа ипотечного кредитования" и "Лучшая программа потребительского кредитования".
Банк планирует продолжать свою деятельность в качестве кредитной организации. Основные задачи Банка на ближайшие годы:
1. Оптимизация всех аспектов деятельности Банка в условиях кризиса.
2. Повышение эффективности бизнеса.
3. Сохранение высокого качества кредитного портфеля.
4. Дальнейшая сегментация клиентской базы, предполагающая увеличение количества продуктов и услуг, направленных на определенные группы клиентов.
5. Концентрация усилий на укреплении конкурентных преимуществ Банка в области продаж массовых продуктов и стандартизированных услуг.
6. Дополнение потребительских свойств продуктов Банка целостной системой продаж, адекватным информационным и кадровым обеспечением.
7. Оптимизация сети продаж Банка в регионах России.
8. Обеспечение высокого качества предоставляемых клиентам услуг, соответствие внедренных банковских и информационных технологий международным стандартам.
11. Модернизация IT-обеспечения для эффективного решения задач, стоящих перед Банком.
12. Постоянное повышение профессионализма сотрудников и их способности вносить необходимый вклад в дальнейшее развитие Банка.
2.2. Анализ кредитного портфеля и кредитных рисков в ОАО "Банк24.ру"
Для ОАО "Банк24.ру" структура кредитных вложений по отраслям экономики за рассматриваемый период 01.07.2009г. следующая (рис. 1 и 2):

Рис. 1. Структура кредитного портфеля по отраслям экономики на 01.07.09г.

Рис. 2. Структура кредитного портфеля по отраслям экономики на 01.07.09г.
Структура кредитных вложений определяется расчетом удельного веса каждого вида ссуд в общем объеме кредитов. Динамика изменения общей ссудной задолженности за 2009 г. в ОАО "Банк24.ру" приведена на рис. 5.
Таблица 1 Структура выданных кредитов в ОАО "Банк24.ру"
| Статья баланса | на 01.01.09г. (тыс.руб.) | Уд. вес в общ. сумме кредитов, % | на 01.07.09г. (тыс.руб.) | Уд. вес в общ. сумме кредитов, % |
| 1. Краткосрочная задолженность по кредитам (Кк) | 92165,0 | 25,69 | 143908,0 | 48,44 |
| 1.1 кредиты населению | 4`614,0 | 1,29 | 15`967,0 | 5,37 |
| 1.2. кредиты юр. лиц | 87`551,0 | 24,4 | 127`941,0 | 43,07 |
| 2. Долгосрочная задолженность по кредитам (Кд) | 100401,0 | 27,99 | 76756,0 | 25,84 |
| 2.1. кредиты населению | 44`692,0 | 12,46 | 36`598,0 | 12,32 |
| 2.2 кредиты юр. Лиц | 55`709,0 | 15,53 | 40`158,0 | 13,52 |
| 3. Просроченная задолженность (Кпр) | 166`147,0 | 46,32 | 76414,0 | 25,72 |
| 1.2.6.1. Просроченная задолженность по юр. лицам | 150`526,0 | 41,96 | 67`153,0 | 22,6 |
| 1.1.2.6.2. Просроченная задолженность по физ. .лицам | 15`621,0 | 4,36 | 9`261,0 | 3,12 |
| ИТОГО общий объем кредитов (Ко) | 358713,0 | 100 | 297078,0 | 100 |

Рис. 3. Структура общей ссудной задолженности по срокам на 01.07.09 г. в ОАО "Банк24.ру"

Рис. 4. Структура общей ссудной задолженности по срокам на 01.07.09г.

Рис. 5. Динамика изменения общей ссудной задолженности по срокам в ОАО "Банк24.ру" за первое полугодие 2009 г.
Из представленных рисунков (рис. 3,4,5) видно, что в ОАО "Банк24.ру" проводится политика на улучшение качества кредитного портфеля, так за анализируемый период просроченная задолженность заметно снизилась и ее удельный вес в общей сумме ссудной задолженности по состоянию на 01.01.09г. составил 25,7% против 46,3% по состоянию на 01.07.09г.
Динамика изменения удельный веса средних остатков ссудных активов, приносящих доход, в совокупных активах приведена в табл. 2.
Таблица 2 Динамика изменения удельный веса средних остатков ссудных активов, приносящих доход, в совокупных активах, %
| Отчетная дата | |||||||
| 01.01.09 | 01.02.09 | 01.03.09 | 01.04.09 | 01.05.09 | 01.07.09 | 01.07.09 | |
| Асс, тыс.руб. | 192,6 | 174,0 | 167,7 | 183,5 | 217,6 | 223,9 | 220,7 |
| А, тыс.руб. | 9`799,3 | 11`013,2 | 11`047,5 | 11`776,9 | 10`885,8 | 11`575,4 | 11`737,2 |
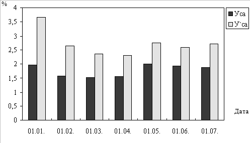
| Уса, % | 1,97 | 1,58 | 1,52 | 1,56 | 2,0 | 1,93 | 1,88 |
В ОАО "Банк24.ру" кроме срочной ссудной задолженности имеется и просроченная, которая классифицируется как активы не приносящие доход. Теперь проанализируем удельный вес средних остатков ссудных активов, приносящих доход в совокупных активах, условно считая, что просроченная задолженность отсутствует (остаток перенесен в срочную ссудную задолженность (табл. 3).
Таблица 3 Динамика изменения удельный веса средних остатков ссудных активов, приносящих доход (с учетом просроченной), в совокупных активах, %
| Отчетная дата | |||||||
| 01.01.09 | 01.02.09 | 01.03.09 | 01.04.09 | 01.05.09 | 01.07.09 | 01.07.09 | |
| А`сс, тыс.руб. | 358,7 | 292,4 | 261,4 | 273,1 | 299,4 | 300,8 | 320,1 |
| А, тыс.руб. | 9`799,3 | 11`013,2 | 11`047,5 | 11`776,9 | 10`885,8 | 11`575,4 | 11`737,2 |
| У`са, % | 3,66 | 2,65 | 2,37 | 2,32 | 2,75 | 2,6 | 2,73 |
Полученные результаты изобразим графически (рис. 6)

|
Данное соотношение характеризует эффективность кредитных вложений и показывает размер средних остатков ссудных активов, приходящихся на 1 руб. совокупных активов. Условно считается, что если соотношение меньше 80%, то банку следует улучшить структуру активов в сторону увеличения ссудных активов. В ОАО "Банк24.ру" отрицательным моментом в процессе формирования структуры активных операций является крайне низкий удельный вес срочной ссудной задолженности в совокупных активах.
Изменение ссудных активов в анализируемом периоде по сравнению с соответствующим периодом прошлого года можно измерить показателем, характеризующим темп роста (Тр), значения которого для ОАО "Банк24.ру" приведены в табл. 4.
Таблица 4 Динамика изменения темпа роста остатков ссудных активов, приносящих доход, совокупных активов и коэффициента опережения
| Показатель | Отчетная дата | |||||||
| 01.01.09 | 01.02.09 | 01.03.09 | 01.04.09 | 01.05.09 | 01.07.09 | 01.07.09 | ||
| Асс, млн.руб. | 192,6 | 174,0 | 167,7 | 183,5 | 217,6 | 223,9 | 220,7 | |
| ТрАсс, % | 0 | 90,3 | 96,4 | 109,4 | 118,6 | 102,9 | 98,6 | |
| А, млн.руб. | 9`799,3 | 11`013,2 | 11`047,5 | 11`776,9 | 10`885,8 | 11`575,4 | 11`737,2 | |
| ТрА, % | 0 | 112,4 | 100,3 | 106,6 | 92,4 | 106,3 | 101,4 | |
| Коп | 0 | 0,8 | 0,96 | 1,03 | 1,28 | 0,97 | 0,97 | |
Коэффициент опережения показывает, во сколько раз рост средних остатков ссудных активов опережает рост совокупных активов.
На основании полученных данных можно сделать вывод, что в - 2009 г. ОАО "Банк24.ру" проводилась активная работа в области кредитования, о чем свидетельствует значение коэффициента опережения в этот период более 1.
В целях контроля за уровнем просроченной задолженности, а также качеством кредитного портфеля рекомендуется проводить ежемесячный анализ кредитного портфеля с точки зрения его доходности, надежности и степени риска
Основной задачей анализа качества кредитного портфеля является выявление зон повышенного риска, улучшение эффективности кредитных операций, обеспечения сбалансированности кредитной политики, направленной на получение максимальных доходов при оптимальном риске.
Анализ движения кредитов может проводиться на основе оперативной статистической отчетности и приложения 7.11 "Сведения о кредитовании населения и юридических лиц" перечня форм статистической отчетности коммерческого банка.
В динамике проанализируем: остатки ссудной задолженности; остатки просроченной задолженности и процентов; выдача кредитов; гашение кредитов.
Аналитические данные на каждую отчетную дату по ОАО РФ "Банк24.ру" оформим в табл. 5 и рис. 7.
Таблица 5 Анализ кредитного портфеля ОАО "Банк24.ру"
| Показатели, млн.руб. | Период | ||||||
| 01.01. | 01.02. | 01.03. | 01.04. | 01.05. | 01.06. | 01.07. | |
| Население | |||||||
| Выдача | 1,5 | 4,7 | 10,5 | 16,6 | 24,3 | 33,9 | |
| Гашение | 4,9 | 10,5 | 16,1 | 21,4 | 27,7 | 33,3 | |
| в т.ч. просроченных | 0,5 | 1,8 | 3,1 | 3,6 | 4,0 | 4,6 | |
| Списание за счет резерва | 0 | 0,02 | 0,43 | 0,43 | 0,46 | 0,48 | |
| Остатки задолженности | 64,9 | 63,0 | 56,1 | 53,0 | 56,5 | 58,0 | 61,8 |
| Просроченная задолженность | 15,6 | 15,8 | 10,5 | 9,7 | 9,5 | 9,4 | 9,3 |
| Просроченные проценты | 7,5 | 7,6 | 7,3 | 7,0 | 7,1 | 6,9 | 6,8 |
| Гашение просроченных процентов | 0,2 | 0,5 | 1,0 | 1,2 | 1,5 | 1,7 | |
| Юридические лица | |||||||
| Выдача | 20,5 | 192,5 | 235,5 | 296,8 | 450,4 | 513,9 | |
| В т.ч. межбанковских | 0 | 0 | 0 | 0 | 0 | 0 | |
| Гашение | 90,1 | 275,6 | 312,4 | 340,5 | 485,9 | 555,6 | |
| В т.ч. межбанковских | 0 | 0 | 0 | 0 | 0 | 10,3 | |
| В т.ч. просроченных | 52,4 | 58,4 | 64,0 | 64,6 | 65,3 | 66,0 | |
| Списание за счет резерва | 0 | 0 | 5,6 | 5,6 | 5,8 | 6,2 | 6,2 |
| Остатки задолженности | 293,8 | 229,3 | 205,3 | 217,1 | 242,9 | 242,7 | 235,3 |
| В т.ч. межбанковских | 0 | 0 | 0 | 0 | 0 | 0 | 0 |
| Просроченная задолженность | 150,5 | 102,5 | 83,2 | 79,9 | 72,3 | 67,5 | 67,2 |
| Просроченные проценты | 29,9 | 29,5 | 27,8 | 25,8 | 34,9 | 34,6 | 34,3 |
| Гашение просроченных процентов | 0,6 | 2,7 | 5,0 | 5,1 | 5,4 | 5,7 | |
| Удельные веса | |||||||
| Просроченная задолженность в общей задолженности населения | 24,0 | 25,1 | 18,7 | 18,3 | 16,8 | 16,2 | 15,0 |
| Просроченная задолженность в общей задолженности юр.лиц | 51,2 | 44,7 | 40,5 | 36,8 | 29,8 | 27,8 | 28,6 |
| Просроченная ссудная задолженность в активе баланса | 1,69 | 1,07 | 0,85 | 0,83 | 0,75 | 0,66 | 0,65 |

Рис. 7. Динамика изменения срочной и просроченной задолженности населения и юридических лиц
Одним из этапов анализа является оценка снижения (темпы роста) ссудной и просроченной задолженности, удельный вес ссудной задолженности в активе баланса.
Особое внимание уделяем факту списания безнадежных ссуд за счет резерва на возможные потери по ссудам. Расчетные данные по ОАО "Банк24.ру" приведены в табл. 6.
Таблица 6 Расчет удельного веса списанных кредитов за счет РВПС в общем объеме просроченных ссуд
| Показатели. | Отчетная дата | |||||
| 01.02. | 01.03. | 01.04. | 01.05. | 01.09. | 01.09. | |
| КСрвпс, млн. руб. | 0 | 5,62 | 6,03 | 6,23 | 6,66 | 6,68 |
| ПЗ, млн. руб. | 118,3 | 93,7 | 89,6 | 81,8 | 76,9 | 76,5 |
| Уск,% | - | 6,0 | 6,7 | 7,6 | 8,6 | 8,7 |
Удельный вес списанных кредитов (Уск) показывает, что в ОАО "Банк24.ру" по состоянию на 01.07.09г. списано за счет РВПС 8,7% просроченных кредитов. Кроме анализа динамики роста кредитных вложений банка необходим их качественный анализ. Качество кредитного портфеля определяем на основе коэффициентов риска. Для этого проводим анализ кредитных вложений с точки зрения отнесения их к той или иной группе риска, рассчитываем удельный вес, каждой группы риска в структуре кредитного портфеля и оцениваем в динамике созданный расчетный резерв. Формализованные критерии оценки кредитных рисков представлены в таблице классификации выданных ссуд и оценок кредитных рисков можно представить в табл. 7.
Таблица 7 Критерии оценки кредитных рисков согласно Инструкции ЦБ РФ № 62-а
| Критерии оценки кредитных рисков | Обеспеченная | Недостаточно обеспеч. | Необеспеченная |
| текущая ссудная задолженность при отсутствии просроченных процентов по ней | 1 | 1 | 1 |
| ссудная задолженность с просроченной выплатой по основному долгу до 5 дней включительно | 1 | 2 | 3 |
| текущая задолженность с просроченной выплатой процентов до 5 дней включительно | |||
| переоформленная один раз без каких-либо изменений условий договора | |||
| ссудная задолженность с просроченной выплатой по основному долгу от 6 до 30 дней включительно | 2 | 3 | 4 |
| текущая задолженность с просроченной выплатой процентов от 6 до 30 дней включительно | |||
| переоформленная один раз с изменениями условий договора по сравнению с первоначальным либо переоформленная два раза без изменений условий договора | |||
| ссудная задолженность с просроченной выплатой по основному долгу от 31 до 180 дней включительно | 3 | 4 | 4 |
| текущая задолженность с просроченной выплатой процентов от 31 до 180 дней включительно | |||
| переоформленная два раза с изменением условий договора или более двух раз независимо от наличия таких изменений | |||
| ссудная задолженность с просроченной выплатой по основному долгу свыше 180 дней или текущая задолженность с просроченной выплатой процентов свыше 180 дней | 4 | 4 | 4 |
Банк в обязательном порядке должен формировать резерв на возможные потери по ссудам по нормативам, утвержденным Центральным банком России, приведенным в табл. 8.
Таблица 8 Нормативы формирования РВПС согласно Инструкции ЦБ РФ № 62-а
| Группа риска | 1 | 2 | 3 | 4 |
| Размер отчислений (в %) от суммы основного долга | 1 | 20 | 50 | 100 |
Структуру кредитного портфеля в зависимости от качества ссуд можно представить следующим образом (в табл. 9, 10).
Таблица 9 Структура кредитного портфеля по группам риска на 01.07.09г.
Группа риска |
Срочная зад-ть, тыс. руб. |
Просроченная задолженность, тыс. руб. | Всего, тыс.руб | Уд. вес, % |
Величина резерва, тыс. руб. | ||||
| до 5 | от 6 до 30 | от 31 до 180 | свыше180 | расч. | факт | ||||
| I | 106542,0 | 15,0 | 0 | 0 | 0 | 106542,0 | 29,7 | 1066,0 | 0 |
| II | 1824,0 | 1,0 | 11,0 | 6,0 | 0 | 1842,0 | 0,5 | 368,0 | 0 |
| III | 9064,0 | 95,0 | 463,0 | 1504,0 | 10 | 11136,0 | 3,1 | 5568,0 | 0 |
| IV | 75133,0 | 4070,0 | 2472,0 | 69056,0 | 88446,0 | 239177,0 | 66,7 | 239177,0 | 96322,0 |
| Итого: | 192563,0 | 4181 | 2946,0 | 70566,0 | 88456,0 | 358712,0 | 100 | 246179,0 | 96322,0 |
Проанализировав сформированный резерв по группам риска на отчетные даты (рис. 8), можно сделать вывод, что на 01.07.09г. в целом по банку фактически резерв сформирован только по IV группе риска.
Таблица 10 Структура кредитного портфеля по группам риска на 01.07.09г.
Группа риска |
Срочная зад-ть, тыс. руб. |
Просроченная задолженность, тыс. руб. | Всего, тыс.руб | Уд. вес, % |
Величина резерва, тыс.руб. | ||||
| до 5 | от 6 до 30 | от 31 до 130 | свыше180 | расч. | факт | ||||
| I | 201669,0 | 34,0 | 0 | 0 | 0 | 201703,0 | 68,0 | 2017,0 | 1512,0 |
| II | 3210,0 | 15,0 | 4,0 | 1,0 | 0 | 3230,0 | 1,0 | 646,0 | 488,0 |
| III | 3057,0 | 81,0 | 0 | 42,0 | 12,0 | 3192,0 | 1,0 | 1596,0 | 1196,0 |
| IV | 12729,0 | 7,0 | 32,0 | 288,0 | 75898,0 | 88954,0 | 30,0 | 88954,0 | 66716,0 |
| Итого: | 220665,0 | 137,0 | 36,0 | 331,0 | 75910,0 | 297079,0 | 100 | 93213,0 | 69912,0 |

Рис. 8. Динамика изменения структуры кредитного портфеля по группам риска в ОАО "Банк24.ру"
Объем созданного резерва по кредитам юридических и физических лиц покрывает просроченную задолженность на 60%. На 01.07.09г. объем созданного резерва по кредитам юридических и физических лиц покрывает просроченную задолженность на 91%.
За анализируемый период произошли улучшения в структуре кредитного портфеля, так, прослеживается тенденция сокращения просроченной задолженности. По состоянию на 01.01.09г. объем кредитов, отнесенных к IV группе риска составлял 66,7% в общей сумме ссудной задолженности, тогда как по состоянию на 01.07.09г. данный показатель снизился до 30%. При этом на 01.07.08г. 68% общей ссудной задолженности относится к I группе риска, т.е. по этим кредитам практически отсутствует риск невозврата (по состоянию на 01.01.08г. к I группе риска было отнесено 29,7% общей ссудной задолженности).
Одним из показателей "порога выживания" является коэффициент резерва (Крезерва ), позволяющий определить степень защищенности банка от возможного невозврата ссуд, который рассчитаем по формуле (5):
(5)
где : Крезерва - коэффициент резерва, %;
РВПСф - сумма фактически созданного резерва на возможные потери по ссудам, млн. руб.;
КВ - кредитные вложения, млн.руб.
Для ОАО "Банка24.ру" по состоянию на 01.01.09г.

по состоянию на 01.07.07г.

Значение данного коэффициента по банкам России считается оптимальным на уровне 15%. Тогда как из расчетов видно, что для ОАО "Банк24.ру" это значение гораздо выше оптимального, что говорит о низкой степени защищенности от возможного невозврата ссуд.
Качество кредитного портфеля с точки зрения кредитного риска позволяет оценить коэффициент риска (Криска ), который рассчитаем по следующей формуле (6):
(6)
где : Криска - коэффициент риска, %;
КВ - кредитные вложения, млн.руб.;
РВПСф - сумма фактически созданного резерва на возможные потери по ссудам, млн.руб.
Для ОАО "Банк24.ру" по состоянию на 01.01.09г.

по состоянию на 01.07.09г.

Чем больше значение данного коэффициента ближе к 1, тем лучше качество кредитного портфеля с точки зрения возвратности. Расчет коэффициента риска для ОАО "Банк24.ру" еще раз подтверждает слабую защищенность банка от возможного невозврата ссуд (Криска равно 0,73, 0,76).
Объем сформированного резерва по кредитам юридических и физических лиц представлены в табл. 11 и на рис. 9:
Таблица 11 Анализ изменения удельного веса объема РВПС по годам выдачи кредитов в общей сумме, фактически созданного РВПС
| Дата выдачи | Сумма фактического резерва, млн. руб. | Уд. вес в общем объеме созданного резерва, % | ||
| 01.01.09г. | 01.07.09 г. | 01.01.09 г. | 01.07.09 г. | |
| до 2001 года | 1,4 | 0,8 | 1,4 | 1,0 |
| 2001 год | 44,1 | 30,6 | 44,5 | 43,0 |
| 2002 год | 37,6 | 20,9 | 37,9 | 30,0 |
| 2003 год | 6,8 | 3,9 | 6,9 | 6,0 |
| 2004 год | 9,3 | 8,6 | 9,3 | 12,0 |
| 2005 год | 0 | 5,1 | 0 | 7,0 |
| ИТОГО: | 99,2 | 69,9 | 100 | 100 |

Рис. 9. Динамика изменения удельного веса объема РВПС по годам выдачи кредитов в общей сумме, фактически созданного РВПС
Таким образом, низкое качество кредитного портфеля обусловлено кредитами, выданными в 2006-2009 гг., вследствие чего банком понесены дополнительные расходы на создание резерва на возможные потери по ссудам.
Также проанализируем коэффициент проблемности кредитов (Кп) , иначе уровень сомнительной задолженности, который показывает долю проблемных кредитов в общей сумме задолженности. Коэффициент проблемности кредитов рассчитывается по формуле (5)
(7)
где : Кп - коэффициент проблемности, %;
ПЗ - остаток просроченной задолженности на отчетную дату, млн.руб.;
КВ - кредитные вложения на отчетную дату, млн.руб.
По состоянию на 01.01.09г. для ОАО "Банк24.ру" рассчитаем:
![]()
по состоянию на 01.07.09г

Значение данного коэффициента не должно превышать 10% и должно стремиться к нулю. Из расчета Кп для ОАО "Банк24.ру" видно, что структура кредитного портфеля далека от оптимальной.
2.3 Оценка кредитоспособности заемщика при управлении кредитными рисками
Исследование, проведенное выше, показало, что наиболее серьезным для ОАО "Банка24.ру" является банковский риск не возврата размещенных ресурсов, под которым, в данном случае понимается:
- Риск не возврата конкретным заемщиком предоставленных кредитов и (или) процентов по ним.
- Риск потерь по вложениям в ценные бумаги конкретного эмитента.
- Риск по предоставленным гарантиям в пользу конкретного принципала (предоставление гарантий банком будем рассматривать как одну из форм размещения ресурсов банка).
- Риск не возврата при других формах движения на рынке капитала, генерируемых банком в пользу конкретного клиента (например, лизинг).
Для оценки риска в ОАО "Банке24.ру" использует метод экспертных оценок, который строится на базе изучения оценок, сделанных экспертами банка, и включает в себя составление обобщающих рейтинговых оценок. В рамках этого метода специалисты ОАО "Банк24.ру" используют: рейтинговую оценку кредитоспособности клиента банка, метод соблюдения экономических нормативов банковской деятельности, расчет размера риска по кредитному портфелю банка и определение размера необходимого банку резерва для покрытия потерь от кредитных рисков, классификацию кредитов в зависимости от степени риска и т.д.
В марте 2009 г. в ОАО "Банк24.ру" поступили заявки на предоставление кредитов от двух организаций: ООО "Вира-плюс" и ООО "Московское молоко".
Анализ кредитоспособности заемщика будет осуществляться в 2 этапа:
1 этап: используется система финансовых коэффициентов, которые объединяются как правило в несколько групп:
– коэффициент ликвидности;
– коэффициенты финансовой устойчивости;
- коэффициенты оборачиваемости;
– коэффициенты рентабельности;
2 этап: рейтинг в баллах.
1) Расчет показателей ликвидности ООО "Вира-плюс" представлен в табл. 12,13.
Таблица 12 Расчет показателей ликвидности ООО "Вира-плюс"
| Обозначение коэффициента | Алгоритм расчета | 2008 г. | 2009г. | ||
| Расчет | Знач. | Расчет | Знач. | ||
| 2008г. | Знач. | 2009 г. | Знач. | ||
| Кал | А1 | 10616 | 0,05 | 48396 | 0,36 |
| П1+П2 | 176065+40402 | 81856+52379 | |||
| Ксл | А1 +А2 | 10616+128969 | 0,64 | 48396+85223 | 1 |
| П1+П2 | 176065+40402 | 81856+52379 | |||
| Ктл | А1+А2+А3 | 10616+128969 | 1,07 | 48396+85223+162462 | 2,21 |
| П1+П2 | 176065+40402 | 81856+52379 | |||
ООО "Вира-плюс" может погасить в ближайшее время за счет денежных средств 36% краткосрочной задолженности. то есть за период происходит улучшение абсолютной ликвидности имущества предприятия.
Таблица 13 Расчет показателей ликвидности ООО "Московское молоко"
| Обозначение коэффициента | Алгоритм расчета | 2008 г. | 2009 г. | ||
| Расчет | Знач. | Расчет | Знач. | ||
| Кал | А1 | 1920 | 0,1 | 2612 | 0,16 |
| П1+П2 | 17375+2000 | 13754+3000 | |||
| Ксл | А1 +А2 | 1920+0 | 0,1 | 2612+0 | 0,16 |
| П1+П2 | 17375+2000 | 13754+3000 | |||
| Ктл | А1+А2+А3 | 1920+0 | 1,31 | 2612+0+20727 | 1,39 |
| П1+П2 | 17375+2000 | 13754+3000 | |||
Как свидетельствуют проведенные расчеты, ООО "Московское молоко" значение показателей на начало года находится вне пределов допустимых значениях, к концу года происходит улучшение показателей ликвидности.
2) Расчет показателей финансовой устойчивости анализируемых предприятий представлен в табл. 14, 15.
Таблица 14 Расчет показателей финансовой устойчивости ООО "Вира-плюс"
| Обозначение | Алгоритм расчета | 2008 г. | 2007 г. | ||
| Расчет | Знач. | Расчет | Знач. | ||
| Ка | П4+ П3 | 98202+45150 | 0,4 | 274386+27628 | 0,69 |
| А1+А2+А3+А4 | 10616+128969+93105+127129 | 48396+85223+162462+140168 | |||
| Кмс | А1+А2+А3 | 10616+128969+93105 | 1,83 | 48396+85223+162462 | 2,11 |
| А4 | 127129 | 140168 | |||
| Коск | П4+П3* | 98202+0 | 0,38 | 274386+0 | 1,7 |
| П1+П2+П3–П3* | 176065+40402+45150-0 | 81856+52379+27628-0 | |||
Коэффициент автономии на начало периода составил 0,4. Таким образом, в 2008 г. доля активов, покрываемая за счет собственного капитала, составила 40%, к 2009 г. эта доля увеличилась до 69%. Это положительная тенденция.
Таблица 15 Расчет показателей финансовой устойчивости ООО "Московское молоко"
| Обозначение | Алгоритм расчета | 2008 г. | 2009г. | ||
| Расчет | Знач. | Расчет | Знач. | ||
| Ка | П4+ П3 | 11890+0 | 0,38 | 11968+311 | 0,42 |
| А1+А2+А3+А4 | 1920+0+23444+5901 | 2612+0+20727+5694 | |||
| Кмс | А1+А2+А3 | 1920+0+23444 | 4,3 | 2612+0+20727 | 4,1 |
| А4 | 5901 | 5694 | |||
| Коск | П4+П3* | 11890+0 | 0,61 | 11968+0 | 0,7 |
| П1+П2+П3–П3* | 17375+2000+0-0 | 13754+3000+311-0 | |||
Коэффициент автономии на начало периода составил 0,38. Таким образом, в 2008 г. доля активов, покрываемая за счет собственного капитала, составила 38%, к 2009 г. эта доля увеличилась до 42%. Это положительная тенденция.
3) Расчет показателей оборачиваемости себестоимости представлен в табл. 16, 17.
Таблица 16 Расчет показателей оборачиваемости ООО "Московское молоко"
| Обозначение | Алгоритм расчета | 2008 г. | 2009г. | ||
| Расчет | Знач. | Расчет | Знач. | ||
| Кда | П5 | 288960 | 0,8 | 239909 | 0,55 |
| А1+А2+А3+А4 | 10616+128969+93105+127129 | 48396+85223+162462+140168 | |||
| F | П5 | 288960 | 2,27 | 239909 | 1,71 |
| А4 | 127129 | 140168 | |||
| Кота | П5 | 288960 | 1,24 | 239909 | 0,81 |
| А1+А2+А3 | 10616+128969+93105 | 48396+85223+162462 | |||
За 2008 г. текущие активы сделали 1,24 оборота, тогда как за 2009 г. обернулись 0,81 раза. Таким образом, проведенный расчет позволяют сделать вывод, что эффективность использования текущих активов понизилась, так как скорость оборачиваемости текущих активов замедляется в течение анализируемого периода – в 2008 г. текущие активы обернулись 1,24 раза, в 2009 г. – 0,81. Снижение эффективности использования текущих активов отрицательно сказывается на кредитоспособности ООО "Московское молоко".
Таблица 17 Расчет показателей оборачиваемости ООО "Московское молоко"
| Обозначение | Алгоритм расчета | 2008 г. | 2009 г. | ||
| Расчет | Знач. | Расчет | Знач. | ||
| Кда | П5 | 127625,9 | 4,08 | 136418 | 4,7 |
| А1+А2+А3+А4 | 1920+0+23444+5901 | 2612+0+20727+5694 | |||
| F | П5 | 127625,9 | 21,63 | 136418 | 23,96 |
| А4 | 5901 | 5694 | |||
| Кота | П5 | 127625,9 | 5,03 | 136418 | 5,85 |
| А1+А2+А3 | 1920+0+23444 | 2612+0+20727 | |||
Коэффициент деловой активности на начало периода составил 4,08, а наконец периода - 4,7. Таким образом, проведенный расчет позволяют сделать вывод, что за анализируемый период деловая активность ООО "Вира-плюс" повысилась, так как коэффициент деловой активности повысился с 4,08 в 2008г. до 4,7 в 2009 г.
4) Расчет показателей рентабельности представлен в табл. 18, 19.
В целом динамика показателей рентабельности имеет отрицательный характер, однако, на конец анализируемого периода предприятие остается эффективным и рентабельным, хотя и отдача от деятельности снизилась.
Таблица 18 Расчет показателей рентабельности ООО "Вира-плюс"
| Обозначение | Алгоритм расчета | 2008 г. | 2009 г. | ||
| Расчет | Знач. | Расчет | Знач. | ||
| Рn | П7 | 26912 | 0,09 | 15972 | 0,07 |
| П5 | 288960 | 239909 | |||
| Pa | П7 | 26912 | 0,07 | 15972 | 0,04 |
| А1+А2+А3 + А4 | 10616+128969+93105+127129 | 48396+85223+162462+140168 | |||
| Рск | П7 | 26912 | 0,27 | 15972 | 0,06 |
| П4 | 98202 | 274386 | |||
Таблица 19Расчет показателей рентабельности
| Обозначение | Алгоритм расчета | 2008г. | 2009 г. | ||
| Расчет | Знач. | Расчет | Знач. | ||
| Рn | П7 | 3019 | 0,02 | 895 | 0,01 |
| П5 | 127625,9 | 136418 | |||
| Pa | П7 | 3019 | 0,1 | 895 | 0,03 |
| А1+А2+А3 + А4 | 1920+0+23444+5901 | 2612+0+20727+5694 | |||
| Рск | П7 | 3019 | 0,25 | 895 | 0,07 |
| П4 | 11890 | 11968 | |||
В целом динамика показателей рентабельности имеет отрицательный характер, однако, на конец анализируемого периода предприятие остается эффективным и рентабельным, хотя и отдача от деятельности снизилась.
В зависимости от величины этих коэффициентов (1-2-3-4) предприятие обычно делится на 3 класса кредитоспособности (табл. 20).
Таблица 20 Классы кредитоспособности
| Коэффициенты | 1 класс | 2 класс | 3 класс | Доля в % |
| 1. к-т текущей ликвидности | Ктл=2,0 И выше |
От 1,0 до 2,0 | Меньше 1,0 | 30% |
| 2. к-т срочной ликвидности | 1-0 и выше | 0,5-1 | Меньше 0,5 | 20% |
| 3. к-т абсолютной ликвидности | 0,2 и выше | 0,15-0,2 | Меньше 0,15 | 30% |
| 4. к-т автономии | 0,7 и выше | 0,5-0,7 | Меньше 0,5 | 20% |
| Итого: | 100% |
Далее необходимо сложить все коэффициенты (найти общую) затем определить классность.
Далее необходимо определить рейтинг в баллах, сумма которых рассчитывается путем умножения классности каждого коэффициента на его долю (найти общую)
Классность заемщиков:
1 класс – сумма баллов = 100-150 баллов
2 класс – сумма баллов = 151-250 баллов
3 класс – сумма баллов = 251-300 баллов.
Рейтинговая оценка ООО "Вира-плюс" представлена в табл. 21 и 22.
Таблица 21 Расчет рейтинга кредитоспособности ООО "Вира-плюс" на 2008 г.
| Показатель | Фактическое значение | Категория | Вес показателя | Расчет суммы баллов |
| 1. Коэффициент текущей ликвидности | 1,07 | 2 | 30 | 60 |
| 2. Коэффициент срочной ликвидности | 0,64 | 2 | 20 | 40 |
| 3. Коэффициент абсолютной ликвидности | 0,05 | 3 | 30 | 90 |
| 4. Коэффициент автономии | 0,4 | 1 | 20 | 20 |
| Итого | 100 | 210 |
Таким образом, за анализируемый период предприятие понижает свой рейтинг кредитоспособности с 210 баллов в 2008 г. до 100 баллов в 2009 г., то есть на конец анализируемого периода предприятие относится к 1-му классу заемщиков.
Таблица 22 Расчет рейтинга кредитоспособности ООО "Вира-плюс" на 2009 г.
| Показатель | Фактическое значение | Категория | Вес показателя | Расчет суммы баллов |
| 1. Коэффициент текущей ликвидности | 2,21 | 1 | 30 | 30 |
| 2. Коэффициент срочной ликвидности | 1 | 1 | 20 | 20 |
| 3. Коэффициент абсолютной ликвидности | 0,36 | 1 | 30 | 30 |
| 4. Коэффициент автономии | 0,69 | 1 | 20 | 20 |
| Итого | 100 | 100 |
Кроме того, необходимо провести прогнозирование возможного банкротства заемщика,
Если Z < 1,8 , то вероятность банкротства в будущем очень велика
Если Z > 2,99 – предприятие относится к группе успешно действующих
Если Z < 2,675 предприятие уже можно отнести к группе банкротств
Проведем расчет указанных коэффициентов на начало периода:
x1нач.года=(10616+128969+93105)/(10616+128969+93105+127129)=0,65;
x2нач.года=3911/(10616+128969+93105+127129)=0,01;
x3нач.года=26912/(10616+128969+93105+127129)=0,07;
x4нач.года=(10616+128969+93105+127129)/(176065+40402+45150)=1,38;
x5нач.года=288960/(10616+128969+93105+127129)=0,8.
Пятифакторный показатель равен:
Zнач.года =1,2*0,65+1,4*0,01+3,3*0,07+0,6*1,38+1*0,8=2,65;
Таким образом, проведенный расчет позволяют сделать вывод, что в 2009 г. показатель Z находится в диапазоне от 2,7 до 2,9, поэтому вероятность банкротства была высокая.
Проведем расчет указанных коэффициентов на конец периода:
x1кон.года=(48396+85223+162462)/(48396+85223+162462+140168)=0,68;
x2кон.года=153768/(48396+85223+162462+140168)=0,35;
x3кон.года=15972/(48396+85223+162462+140168)=0,04;
x4кон.года=(48396+85223+162462+140168)/(81856+52379+27628)=2,7;
x5кон.года=239909/(48396+85223+162462+140168)=0,55.
Пятифакторный показатель равен:
Zкон.года =1,2*0,68+1,4*0,35+3,3*0,04+0,6*2,7+1*0,55=3,61;
На конец анализируемого периода показатель Z находится в диапазоне больше 3, поэтому вероятность банкротства очень низкая.
Таким образом, проведенные расчеты показали, что кредитоспособность заемщика на конец периода находится на высоком уровне.
Определим рейтинговую оценку в ООО "Московское молоко" в табл. 23, 24.
Таблица 23 Расчет рейтинга кредитоспособности ООО "Московское молоко" на 2008 г.
| Показатель | Фактическое значение | Категория | Вес показателя | Расчет суммы баллов |
| 1. Коэффициент текущей ликвидности | 1,31 | 2 | 30 | 60 |
| 2. Коэффициент срочной ликвидности | 0,1 | 3 | 20 | 60 |
| 3. Коэффициент абсолютной ликвидности | 0,1 | 3 | 30 | 90 |
| 4. Коэффициент автономии | 0,38 | 1 | 20 | 20 |
| Итого | 100 | 230 |
Таблица 24 Расчет рейтинга кредитоспособности ООО "Московское молоко" на 2009 г.
| Показатель | Фактическое значение | Категория | Вес показателя | Расчет суммы баллов |
| 1. Коэффициент текущей ликвидности | 1,39 | 2 | 30 | 60 |
| 2. Коэффициент срочной ликвидности | 0,16 | 3 | 20 | 60 |
| 3. Коэффициент абсолютной ликвидности | 0,16 | 2 | 30 | 60 |
| 4. Коэффициент автономии | 0,42 | 1 | 20 | 20 |
| Итого | 100 | 200 |
Таким образом, за анализируемый период предприятие понижает свой рейтинг кредитоспособности с 230 баллов в 2008 г. до 200 баллов в 2009 г., то есть на конец анализируемого периода предприятие относится к 2-му классу заемщиков.
Кроме того, необходимо провести прогнозирование возможного банкротства заемщика, это прогнозирование осуществляется с использованием следующего уравнения:
Z = 1,2 × x1 + 1,4 × x2 + 3,3 × x3 + 0,6 × x4 + 1,0 × x5 ,
где х определяется:

Если Z < 1,8 , то вероятность банкротства в будущем очень велика
Если Z > 2,99 – предприятие относится к группе успешно действующих
Если Z < 2,675 предприятие уже можно отнести к группе банкротств
Проведем расчет указанных коэффициентов на начало периода:
x1нач.года=(1920+0+23444)/(1920+0+23444+5901)=0,81;
x2нач.года=3019/(1920+0+23444+5901)=0,1;
x3нач.года=3019/(1920+0+23444+5901)=0,1;
x4нач.года=(1920+0+23444+5901)/(17375+2000+0)=1,61;
x5нач.года=127625,9/(1920+0+23444+5901)=4,08.
Пятифакторный показатель равен:
Zнач.года =1,2*0,81+1,4*0,1+3,3*0,1+0,6*1,61+1*4,08=6,49;
Таким образом, проведенный расчет позволяют сделать вывод, что в 2009 г. показатель Z находится в диапазоне больше 3, поэтому вероятность банкротства была очень низкая.
Проведем расчет указанных коэффициентов на конец периода:
x1кон.года=(2612+0+20727)/(2612+0+20727+5694)=0,8;
x2кон.года=4106/(2612+0+20727+5694)=0,14;
x3кон.года=895/(2612+0+20727+5694)=0,03;
x4кон.года=(2612+0+20727+5694)/(13754+3000+311)=1,7;
x5кон.года=136418/(2612+0+20727+5694)=4,7.
Пятифакторный показатель равен:
Zкон.года =1,2*0,8+1,4*0,14+3,3*0,03+0,6*1,7+1*4,7=6,98;
На конец анализируемого периода показатель Z находится в диапазоне больше 3, поэтому вероятность банкротства ООО "Московское молоко" очень низкая. Таким образом, проведенные расчеты показали, что кредитоспособность ООО "Московское молоко" на конец периода находится на низком уровне.
Таким образом, в процессе сравнительного анализа кредитоспособности двух предприятий ООО "Вира-плюс" и "Московское молоко" было выявлен, что у ООО "Московское молоко" риск не возврата кредита очень высокий, так как предприятие является практически банкротом. В то же время показатели ООО "Вира-плюс" являются достаточными для принятия положительного решения о предоставлении кредита.
Выводы:
Банк24.ру - круглосуточный банк для деловых людей. Создан для качественного предоставления фундаментальных банковских услуг. Стратегия развития - создание автоматизированного банка, осуществляющего круглосуточное обслуживание клиентов.
В ОАО "Банк24.ру" проводится политика на улучшение качества кредитного портфеля, так за анализируемый период просроченная задолженность заметно снизилась и ее удельный вес в общей сумме ссудной задолженности по состоянию на 01.01.09г. составил 25,7% против 46,3% по состоянию на 01.07.09г.
На основании полученных данных можно сделать вывод, что в 2009 г. ОАО "Банк24.ру" проводилась активная работа в области кредитования.
Основной задачей анализа качества кредитного портфеля является выявление зон повышенного риска, улучшение эффективности кредитных операций, обеспечения сбалансированности кредитной политики, направленной на получение максимальных доходов при оптимальном риске.
Банк в обязательном порядке должен формировать резерв на возможные потери по ссудам по нормативам, утвержденным Центральным банком России.
Объем созданного резерва по кредитам юридических и физических лиц покрывает просроченную задолженность на 60%. На 01.07.09г. объем созданного резерва по кредитам юридических и физических лиц покрывает просроченную задолженность на 91%.
Проведенное исследование показало, что наиболее серьезным для ОАО "Банка24.ру" является банковский риск не возврата размещенных ресурсов
В 2009 г. в ОАО "Банк24.ру" поступили заявки на предоставление кредитов от двух организаций: ООО "Вира-плюс" и ООО "Московское молоко".
Анализ, проведенный "Банком24.ру" в процессе управления рисками показал нестабильное финансовое положение заемщика в лице предприятия "Московское молоко", т.е. кредитование данного предприятия связано с риском невозврата ссуды и требует взвешенного подхода. При анализе рисков предприятия ООО "Вира-плюс" выявлено, что рейтинг кредитоспособности на конец периода имеет 1 класс кредитоспособности. Таким образом, ООО "Вира-плюс" имеет достаточную кредитоспособность и можно рекомендовать кредитное обслуживание данной организации.
3. Проблемы управления рисками в коммерческом банке и пути их решения
3.1 Комплекс рекомендаций по сокращению кредитных рисков в ОАО "Банке24.ру"
Процесс кредитования в ОАО "Банк24.ру" можно разделить на несколько этапов, каждый из которых вносит свой вклад в качественные характеристики кредита и определяет степень его надежности и прибыльности для банка:
- рассмотрение заявки на получение кредита и интервью с будущим заемщиком;
- изучение кредитоспособности клиента и оценка риска по ссуде
- подготовка и заключение кредитного соглашения;
- контроль за выполнением условий соглашения и погашением кредита.
1) Рассмотрение заявки на получение кредита и интервью с будущим заемщиком. Клиент, обращающийся в банк за получением кредита, представляет заявку, где содержатся исходные сведения о требуемой ссуде: цель, размер кредита, вид и срок ссуды, предполагаемое обеспечение. Банк требует, чтобы к заявке были приложены документы и финансовые отчеты, служащие обоснованием просьбы о предоставлении ссуды и объясняющие причины обращения в банк. Эти документы - необходимая составная часть заявки. Их тщательный анализ проводится на последующих этапах, после того как представитель банка проведет предварительное интервью с заявителем и сделает вывод о перспективности сделки. В состав пакета сопроводительных документов, представляемых в банк вместе с заявкой, входят следующие:
1. Финансовый отчет: включающий баланс банка и счет прибылей и убытков за последние 3 года. Баланс составляется на дату (конец года) и показывает структуру активов, обязательств и капитала компании. Отчет о прибылях и убытках охватывает годичный период и дает подробные сведения о доходах и расходах компании, чистой прибыли, распределении ее (отчисления в резервы, выплата дивидендов и т. д.).
2. Отчет о движении кассовых поступлений: основан на сопоставлении балансов компании на две даты и позволяет определить изменения различных статей и движение фондов. Отчет дает картину использования ресурсов, времени высвобождения фондов и образования дефицита кассовых поступлений и т. д.
3. Внутренние финансовые отчеты: характеризуют более детально финансовое положение компании, изменение ее потребности в ресурсах в течение года (поквартально, помесячно).
4. Внутренние управленческие отчеты: Составление баланса требует много времени. Банку могут потребоваться данные оперативного учета, которые содержатся в записках и отчетах, подготовленных для руководства компании. Эти документы касаются операций и инвестиций, изменения дебиторской и кредиторской задолженности, продаж, величины запасов и т. д.
5. Прогноз финансирования: Прогноз содержит оценки будущих продаж, расходов, издержек на производство продукции, дебиторской задолженности, оборачиваемости запасов, потребности в денежной наличности, капиталовложениях и т. д. Есть два вида прогноза: оценочный баланс и кассовый бюджет. Первый включает прогнозный вариант балансовых счетов и счет прибылей и убытков на будущий период, второй прогнозирует поступление и расходование денежной наличности (по неделям, месяцам, кварталам).
6. Налоговые декларации. Это важный источник дополнительной информации. Там могут содержаться сведения, не включенные в другие документы. Кроме того, они могут характеризовать заемщика, если будет обнаружено, что он уклоняется от уплаты налогов с части прибыли.
7. Бизнес-планы. Многие кредитные заявки связаны с финансированием начинающих предприятий, которые еще не имеют финансовых отчетов и другой документации. В этом случае представляется подробный бизнес-план, который должен содержать сведения о целях проекта, методах ведения операций и т. д. В частности, документ должен включать:
- описание продуктов или услуг, которые будут предложены на рынке (включая патенты, лицензии); планы исследований и разработок и т. д.;
- отраслевой и рыночный прогнозы (описание рынков, других компаний, которые предлагают аналогичный продукт, государственное регулирование соответствующих отраслей, преимущества и слабые стороны конкурентов);
- планы маркетинга (цели, реклама, стоимость компании по продвижению продукта на рынок и т. д.);
- план производства (потребность в производственных мощностях и рабочей силе, имеющееся оборудование и т. д.);
- план менеджмента (структура компании, руководящие органы, консультанты и т. п.);
- финансовый план (прогноз операционного и инвестиционного бюджетов, прогноз движения наличности, перспективный баланс на пять будущих лет).
Заявка поступает к соответствующему кредитному работнику, который после ее рассмотрения проводит предварительную беседу с будущим заемщиком - владельцем или представителем руководства фирмы. Эта беседа имеет большое значение для решения вопроса о будущей ссуде: она позволяет не только выяснить многие важные детали кредитной заявки, но и составить психологический портрет заемщика, выяснить профессиональную подготовленность руководящего состава компании, реалистичность его оценок положения и перспектив развития предприятия.
Далее проводится интервью с клиентом. В ходе беседы интервьюеру не следует стремиться выяснить все аспекты работы компании; он должен сконцентрировать внимание на ключевых, базовых вопросах, представляющих наибольший интерес для банка. Рекомендуется распределить вопросы по 4 - 5 группам. Примеры вопросов приводятся ниже.
1. Сведения о клиенте и его компании.
2. Вопросы по поводу просьбы о кредите.
3. Вопросы, связанные с погашением кредита.
4. Вопросы по поводу обеспечения займа.
На втором этапе анализируется кредитоспособности и оценка риска.
После беседы кредитный инспектор должен принять решение: продолжать ли работу с кредитной заявкой или ответить отказом. Если предложение клиента расходится в каких-то важных аспектах с принципами и установками политики, которую проводит банк в области кредитных операций, то заявку следует решительно отвергнуть. При этом необходимо объяснить заявителю причины, по которым кредит не может быть предоставлен. Если же кредитный инспектор по итогам предварительного интервью решает продолжить работу с клиентом, он заполняет кредитное досье и направляет его вместе с заявкой и документами, представленными клиентом, в отдел по анализу кредитоспособности. Там проводится углубленное и тщательное обследование финансового положения компании-заемщика. При этом кредитный инспектор должен решить, кто из работников отдела лучше подходит для проведения экспертизы. Например, если речь идет об оценке обеспечения, предложенного клиентом, то требуется заключение опытного аналитика, так как оценка имущества представляет сложную процедуру. Если же требуется получить сведения у кредитного агентства, то этим может заняться менее квалифицированный работник. Эффективность работы кредитного инспектора определяется его умением давать поручения тем служащим банка, которые наилучшим образом подходят для этого.
При анализе кредитоспособности используются разные источники информации:
- материалы, полученные непосредственно от клиента;
- материалы о клиенте, имеющиеся в архиве банка;
- сведения, сообщаемые теми, кто имел деловые контакты;
- отчеты и другие материалы частных и государственных учреждений и агентств (отчеты о кредитоспособности, отраслевые аналитические исследования, справочники по инвестициям и т. п.).
Эксперты отдела кредитоспособности прежде всего обращаются к архивам своего банка. Если заявитель уже получал ранее кредит в банке, то в архиве имеются сведения о задержках в погашении долга или других нарушениях.
Важные сведения можно получить у банков и других финансовых учреждений, с которыми имел дело заявитель. Банки, инвестиционные и финансовые компании могут предоставить материал о размерах депозитов компании, непогашенной задолженности, аккуратности в оплате счетов и т. д. Торговые партнеры компании сообщают данные о размерах предоставленного ей коммерческого кредита, и по этим данным можно судить о том, использует ли клиент эффективно чужие средства для финансирования оборотного капитала.
Отдел кредитоспособности может также обратиться к специализированным кредитным агентствам и получить у них отчет о финансовом положении предприятия или физического лица (в случае персональной ссуды). Отчет содержит сведения об истории компании, ее операциях, рынках продукции, филиалах, регулярности оплаты счетов, размерах задолженности и т. д.
При изучении заявки на кредит кредитный инспектор может произвести инспекцию фирмы на месте и побеседовать с ключевыми должностными лицами. Очень важно выяснить уровень компетенции людей, возглавляющих финансовые, операционные и маркетинговые службы, административный аппарат. Во время посещения фирмы можно выяснить многие технические вопросы, которые не были затронуты во время предварительного интервью, а также составить представление о состоянии имущества, зданий и оборудования компании, о привычках и поведении сотрудников и т. д.
4) Подготовка к заключению договора по выдачи кредита заемщику. В случае благоприятного заключения банк приступает к разработке условий кредитного договора. Этот этап называется структурированием ссуды. В процессе структурирования банк определяет основные характеристики ссуды: вид кредита; сумму; срок; способ погашения; обеспечение; цену кредита; прочие условия.
Структурирование может оказать серьезное влияние на успех кредитной сделки. Если банк определил в договоре слишком напряженные сроки погашения ссуды, то заемщик может остаться без капитала, необходимого для нормального функционирования. В результате выпуск продукции не будет расти согласно первоначальным наметкам. Напротив, если банк предоставит слишком либеральные условия выплаты долга (скажем, если денежные средства для погашения полугодовой ссуды будут получены в течение одного месяца), то заемщик будет длительное время бесконтрольно использовать полученный кредит.
Неправильное определение суммы кредита тоже может вызвать серьезные проблемы. Если сумма занижена (например, вместо необходимых 300 тыс. долл. получено 100 тыс. долл.), то заемщику вскоре потребуется еще 200 тыс. долл., и первоначальный заем не будет погашен в срок. В обратной ситуации (выдано 200 тыс. долл., когда необходимо 100 тыс.) клиент будет располагать излишними суммами, и затратит их на финансирование расходов, не предусмотренных кредитным договором.
Первый шаг, который должен сделать кредитный инспектор, разрабатывая условия будущей ссуды - определить вид кредита. Это зависит от цели кредита, характера операций, для финансирования которых берется ссуда, возможности и источников погашения кредита. Как было сказано выше, коммерческие ссуды могут быть использованы для финансирования оборотного капитала и для финансирования основных фондов компании. Средства для погашения ссуды в этих двух случаях аккумулируются по-разному. Если ссуда берется для финансирования запасов или дебиторской задолженности, то средства, необходимые для ее погашения, образуются после продажи этих запасов или оплаты счетов покупателями продукции. Во втором случае ссуда применяется для покупки оборудования, зданий и т. п., и средства для погашения кредита будут получены в процессе длительной эксплуатации этих элементов основного капитала. Ясно, что при финансировании запасов или дебиторской задолженности клиент нуждается в краткосрочном кредите, погашаемом в течение нескольких месяцев, тогда как во втором случае кредит должен соответствовать срокам службы оборудования и соответственно иметь более длительный срок - от 1 до 25 - 30 лет.
Банк предлагает клиенту тот вид кредита и те условия погашения, которые в наибольшей степени отвечают характеру сделки, лежащей в основании займа. В первом случае это может быть сезонная ссуда, возобновляемая кредитная линия, перманентная ссуда для пополнения оборотного капитала, во втором - срочная ссуда, лизинговое соглашение, ссуда под закладную и т. д.,. .
Погашение ссуды может производиться единовременным взносом по окончании срока или равномерными взносами на протяжении всего периода действия кредита. В последнем случае разрабатывается шкала погашения в соответствии со сроками оборачиваемости капитала.
Большое внимание уделяется вопросу о стоимости кредита, куда входят определение процентной ставки, размер компенсационного остатка на счете, комиссии за выдачу и оформление кредита и т. д. При определении ставки по кредиту должны учитываться различные факторы: стоимость для банка привлеченных средств (депозитов и недепозитных источников); надежность заемщика и степень риска, связанная со ссудой; расходы по оформлению и контролю за погашением кредита; характер отношений между банком и заемщиком и ряд других моментов. Специалисты банка при определении ставки по кредиту исходят из расчета требуемой минимальной нормы доходности по ссуде, которая рассчитывается по следующей формуле:
Требуемая норма доходности = Предельные издержки + Целевая прибыль = Доход по ссуде - Расходы по ссуде / Чистая сумма использованных средств.
При расчете процентной ставки по ссуде банк учитывает всю гамму своих взаимоотношений с клиентом. Если эти отношения не ограничиваются разовым получением кредита, а имеют более широкие масштабы (например, клиент хранит крупный стабильный остаток на текущем счете, пользуется услугами инвестиционного и трастового отделов, имеет кредитную карточку банка и т. д.), банк получает дополнительный доход. Естественно, он стремится сохранить и упрочить эти отношения и может установить более льготный процент по ссуде.
Когда работа по структурированию ссуды окончена, кредитный инспектор должен принять принципиальное решение: перейти ли к окончательным переговорам о заключении кредитного соглашения или отказать в выдаче ссуды. Необходимо еще раз подчеркнуть, что если на одной из стадий обследования и подготовки материалов становится ясно, что какие-то важные характеристики ссуды (цель, сумма, обеспечение, условия погашения) не соответствуют политике банка в области кредитования и принятым стандартам, следует отказаться от предоставления кредита. Поэтому, закончив структурирование ссуды, кредитный инспектор должен еще раз оценить всю имеющуюся информацию (архивы, материалы, интервью с заемщиком, отчеты о кредитоспособности, балансовые коэффициенты и т. д.) и принять окончательное решение о целесообразности ссуды. Если заключение положительно, то работа переходит в стадию переговоров об окончательных условиях кредитного соглашения, после чего проект договора должен быть представлен ссудному комитету банка для утверждения.
Таким образом, можно выделить следующие предложения о путях защиты от кредитного риска в "Банк24.ру", которые могут быть связаны с:
- кредитованием клиентов, с которыми банк работает длительное время;
- привлечением других банков для консорциумного кредитования;
- особой осторожностью в кредитовании новых клиентов;
- высоколиквидным обеспечением кредитных операций;
- страхованием рисков и обеспечения;
- выполнением текущего мониторинга кредитных операций;
- диверсификацией кредитного портфеля по отраслям экономики;
- дополнениями (изменениями) оценки финансового состояния заемщика;
- введением (улучшением) мониторинга кредитных операций;
- оценкой стоимости обеспечения;
- правом собственности на обеспечение;
- регистрацией обеспечения;
- проверочными процедурами;
- надежностью управленческой информации.
3.2 Разработка рекомендаций по выбору оптимального графика платежей для заемщика с целью снижения банковских рисков
График платежей (график погашения кредита) - документ, с указанием сроков (точных дат), в которые клиент (заемщик) обязан производить выплаты процентов и основной суммы по полученному кредиту. Этот документ выдается на руки заемщику вместе с подписанным кредитным договором.
Кредитный договор является особой, самостоятельной разновидностью договора займа. Именно это обстоятельство дает возможность в субсидиарном порядке применять для его регулирования правила о займе, если иное не вытекает из существа кредитного договора (п. 2 ст. 819 ГК).
Большинство участников имущественного оборота, прежде всего профессиональные предприниматели, испытывают постоянную потребность в денежном кредите. Ее удовлетворение в рамках договора займа невозможно, так как он носит реальный характер и не может создать у заемщика уверенности в получении денег в нужный ему момент, поскольку заимодавца невозможно принудить к выдаче займа. Поэтому финансовый рынок, в рамках которого, по сути, осуществляется "торговля деньгами", нуждается в другом договоре консенсуального характера. Данное обстоятельство и предопределило появление относительно самостоятельного кредитного договора (в рамках общего института кредитных или заемных обязательств).
По кредитному договору банк или иная кредитная организация (кредитор) обязуется предоставить денежные средства (кредит) заемщику в размере и на условиях, предусмотренных договором, а заемщик обязуется возвратить полученную денежную сумму с процентами (п. 1 ст. 819 ГК).
По своей юридической природе кредитный договор является консенсуальным, возмездным и двусторонним. В отличие от договора займа он вступает в силу уже в момент достижения сторонами соответствующего соглашения, до реальной передачи денег заемщику (тем более что во многих случаях такая передача производится периодически, а не однократно). Это дает возможность заемщику при необходимости понудить кредитора к выдаче кредита, что исключается в заемных отношениях.
От договора займа кредитный договор отличается также по субъектному составу. В роли кредитора (заимодавца) здесь может выступать только банк или иная кредитная организация, имеющая соответствующую лицензию Центрального банка РФ на совершение таких операций. Иные субъекты гражданского права лишены возможности предоставлять кредиты по кредитному договору и могут выступать лишь в роли заемщиков.
Предметом кредитного договора могут быть только деньги, но не вещи. Более того, выдача большинства кредитов осуществляется в безналичной форме, т.е. предметом кредитных отношений становятся права требования, а не деньги в виде денежных купюр (вещей). Именно поэтому закон говорит о предоставлении кредита в виде "денежных средств" (п. 1 ст. 819 ГК), а не "денег или других вещей" (п. 1 ст. 807 ГК), как это имеет место в договоре займа. Таким образом, предметом кредитного договора являются безналичные деньги ("денежные средства"), т.е. права требования, а не вещи. Если же в договоре речь идет об обязанности предоставить в кредит вещи (определенные родовыми признаками), а не деньги, то такой договор подпадает под действие специальных норм о товарном кредите (ст. 822 ГК).
Следовательно, кредитный договор и по субъектному составу, и по предмету имеет более узкую сферу применения, чем договор займа. Кроме того, и к его оформлению предъявляются более жесткие требования. Согласно ст. 820 ГК он должен быть заключен в письменной форме под страхом признания его ничтожным, что вовсе не требуется для договоров займа.
Наконец, кредитный договор в отличие от договора займа всегда является возмездным. Вознаграждение кредитору определяется в виде процентов, начисленных на сумму кредита за все время его фактического использования. Размер таких процентов определяется договором, а при отсутствии в нем специальных указаний – по правилам п. 1 ст. 809 ГК, т.е. по ставке рефинансирования.
Несоблюдение заемщиком (клиентом) графика платежей приводит к нежелательным последствиям, в частности к наложению штрафных санкций, и наносит ущерб кредитной истории заемщика.
Заемщик при выборе кредитной программы должен знать, по какой схеме он будет погашать кредит: аннуитетными платежами - ежемесячно равными частями, включающие в себя сумму долга и проценты или дифференцированными (уменьшающимися) частями, процент начисляется на остаток задолженности.
Сегодня в мировой практике используется не менее десятка видов процентных ставок и способов начисления процентов по кредитам. Российские банки обычно предлагают своим заемщикам два способа погашения кредита: ежемесячные аннуитетные платежи и дифференцированные выплаты по фактическому остатку.
Ежемесячный аннуитетный платеж – это постоянная сумма, которую заемщик каждый месяц отдает банку. Он складывается из двух составляющих: возвращения основного долга и начисленных процентов. В начале выплат в структуре ежемесячного платежа основная доля – проценты, и незначительная – выплаты основного долга. В финале все изменяется с точностью до наоборот: в структуре аннуитетного платежа преобладает уже погашение основного долга.
Ежемесячный дифференцированный платеж также складывается из двух составляющих – возвращения "тела" кредита и процентных выплат. Сумму кредита делят на количество месяцев, в течение которых она будет погашаться: это и есть ежемесячное погашение основного долга. Проценты начисляются на остаток. Так как сумма долга постоянно уменьшается, уменьшается и размер процентных выплат. Следовательно, сокращается и ежемесячный платеж. Поэтому иногда вместо определения "дифференцированные платежи" говорят "уменьшающиеся".
С арифметической точки зрения дифференцированные платежи, как правило, выгоднее для заемщика. Причина проста: в этом случае "тело" долга уменьшается быстрее, что и способствует минимизации процентных выплат.
С целью обеспечения возврата выданной ссуды ОАО "Банк24.ру" для ООО "Вира-плюс" определим наиболее приемлемый график погашения кредита.
ООО "Вира-плюс" планирует взять кредит (под обеспечение) в размере 5 миллионов рублей, сроком на 12 месяцев, процентная ставка составляет 14 процентов годовых. Банку требуется определить наиболее приемлемый график погашения кредита.
Вид кредитного продукта – кредит на пополнение оборотных средств.
Рассмотрим три варианта графика погашения кредита и определим наиболее приемлемый для предприятия и банка.
Вариант 1. Банк кредитует предприятие с ежемесячным погашением части основного долга и процента по нему.
Расчеты приведены в табл. 25.
Таблица 25 График погашения кредита, тыс. рублей
| Дата | Сумма кредита | % ставка | Сумма % выплаты за кредит | Сумма выплаты основного долга | Ежемесячные выплаты |
| 01.10.08 | 5000 | 14 | 59 | 417 | 476 |
| 01.11.08 | 4523,9 | 14 | 52 | 417 | 469 |
| 01.12.08 | 4055,2 | 14 | 48 | 417 | 465 |
| 01.01.09 | 3590,3 | 14 | 41 | 417 | 458 |
| 01.02.09 | 3132,3 | 14 | 37 | 417 | 454 |
| 01.03.09 | 2678,4 | 14 | 32 | 417 | 449 |
| 01.04.09 | 2229,9 | 14 | 26 | 417 | 442 |
| 01.05.09 | 1787,5 | 14 | 21 | 417 | 438 |
| 01.06.09 | 1349,6 | 14 | 16 | 417 | 432 |
| 01.07.09 | 917,4 | 14 | 11 | 417 | 428 |
| 01.08.09 | 489,9 | 14 | 6 | 417 | 422 |
| 01.09.09 | 67,4 | 14 | 1 | 417 | 417 |
| итого | 350 | 5350 |
Сумма процентов выплаты за кредит =сумма кредита×%ставка/100/365×31
Сумма выплаты основного долга = Сумма кредита/12
Ежемесячные выплаты = Сумма %+Сумма выплаты основного долга
Как видно из графика погашения кредита итог к выплате составляет 5350,00 тыс. рублей. Первоначальная сумма кредита составляла 5 000,00 тыс. рублей, используя данную схему предприятие выплатит сумму процентов в сумме 350,00 тыс. рублей.
Вариант 2
Банк кредитует предприятие по следующей схеме возврата кредита: предприятие ежемесячно выплачивает процент по кредиту, а по истечению срока договора кредитования выплачивает всю сумму кредита и процент за последний месяц выплаты кредита. Расчет графика кредитования приведен в табл. 26.
Таблица 26 График погашениям кредита, тыс. рублей
| Дата | Сумма кредита | % ставка | Сумма % выплаты за кредит | Сумма выплаты основного долга | Ежемесячные выплаты |
| 01.10.08 | 5 000 | 14 | 59 | 59 | |
| 01.11.08 | 5 000 | 14 | 58 | 58 | |
| 01.12.08 | 5 000 | 14 | 59 | 59 | |
| 01.01.09 | 5 000 | 14 | 58 | 58 | |
| 01.02.09 | 5 000 | 14 | 59 | 59 | |
| 01.03.09 | 5 000 | 14 | 59 | 59 | |
| 01.04.09 | 5 000 | 14 | 58 | 58 | |
| 01.05.09 | 5 000 | 14 | 59 | 59 | |
| 01.06.09 | 5 000 | 14 | 58 | 58 | |
| 01.07.09 | 5 000 | 14 | 59 | 59 | |
| 01.08.09 | 5 000 | 14 | 59 | 59 | |
| 01.09.09 | 5 000 | 14 | 54 | 5000 | 5054 |
| итого | 700 | 5 700 |
Как видно из графика погашения кредита по окончанию договора кредитования предприятие должно выплатит банку 5 700,00 тыс. рублей.
Применяя данную схему погашения кредита, предприятие выплачивает банку проценты в сумме 700,00 тыс. рублей. По третьему варианту "Банк24.ру" кредитует предприятие по следующей схеме возврата кредита: возобновляемый гибкий кредит с поквартальной выплатой основного долга и с ежемесячным погашением процентов по его основной части (табл. 27).
Таблица 27 Схема возврата кредита: возобновляемый гибкий кредит с поквартальной выплатой основного долга и с ежемесячным погашением процентов по его основной части
| Дата | Сумма кредита | % ставка | Сумма % выплаты за кредит | Сумма выплаты основного долга | Ежемесячные выплаты |
| 2 квартал | |||||
| 01.10.08 | 5 000 | 14 | 59 | 59 | |
| 01.11.08 | 5 000 | 14 | 58 | 58 | |
| 01.12.08 | 5 000 | 14 | 59 | 1 250 | 1309 |
| 3 квартал | |||||
| 01.01.09 | 5 000 | 14 | 58 | 58 | |
| 01.02.09 | 5 000 | 14 | 59 | 59 | |
| 01.03.09 | 5 000 | 14 | 59 | 1 250 | 1309 |
| 4 квартал | |||||
| 01.04.09 | 5 000 | 14 | 58 | 58 | |
| 01.05.09 | 5 000 | 14 | 59 | 59 | |
| 01.06.09 | 5 000 | 14 | 58 | 1 250 | 1308 |
| 1 квартал | |||||
| 01.07.09 | 5 000 | 14 | 59 | 59 | |
| 01.08.09 | 5 000 | 14 | 59 | 59 | |
| 01.09.09 | 5 000 | 14 | 54 | 1 250 | 1304 |
| Итого | 700 | 5700 | |||
Как видно из графика погашения кредита по окончанию срока действия кредитного договора предприятие должно выплатить банку 5700,00 тыс. рублей. Используя данную схему, предприятие выплатит процентов в сумме 700,00 тыс. рублей.
Рассчитав три графика погашения кредита наглядно видно (рис. 10 и 11), что для предприятия выгоден первый вариант погашения кредита, в этом случае процентные выплаты составят 350,00 тыс. рублей. Такой вариант погашения кредита в основном используется в банках, этот вариант является наименее рискованным для банка, так как предприятие ежемесячно уменьшает свой долг перед банком, следовательно, с каждым месяцем уменьшается риск непогашения кредита. Таким образом, ежемесячное погашение фиксированной суммы кредита и процента по нему, наиболее выгодно и наименее рискованно для банка.

Рис. 10. Графическое представление погашения кредита по трем вариантам

Рис. 11. Динамика ежемесячных платежей по кредиту по различным вариантам
Просчитав, второй вариант погашения кредита мы видим, что он достаточно прибыльный с точки зрения банка, но в свою очередь он достаточно рискованный, так как возможно, что по окончанию срока кредита предприятие не сможет накопить и выплатить сразу всю сумму кредита и процент за последний месяц. Но этот вариант может быть, принят в том случае, если предприятие внедряет новую технологию производства, и у предприятия будет достаточно хорошие поручители и залогодатели.
Третий вариант графика погашения кредита для предприятия является хорошим, так как предприятие выплачивает основную сумму долга один раз в квартал, а ежемесячно только проценты. Это способствует увеличению оборотных средств за счет увеличения среднемесячной прибыли.
С точки зрения банка третий вариант погашения кредита выгоден как для ООО "Вира-плюс" так и для самого ОАО "Банк24.ру", этот вариант не слишком рискованный для банка, а также отвечает всем законодательным требованиям по налогообложению прибыли банков с выданных кредитов. Этот вариант погашения кредита наиболее оптимален для представленного предприятия, а так же для предприятий данной отрасли.
В дипломной работе проведено исследование теоретических и практических аспектов управления банковскими рисками на примере банковского сектора.
В соответствии с поставленной целью в дипломной работе были решены следующие задачи:
В первой главе рассмотрены теоретические аспекты управления банковскими рисками, изучено возникновение рисков как экономической категории, дано понятие банковского риска и методы расчета рисков, раскрыты особенности управления банковским риском за рубежом и в России. Здесь же представлена методика анализа банковских рисков и методика оценки кредитоспособность заемщика.
Цель управления рисками заключается в том, чтобы максимизировать стоимость конкретного учреждения, которая определяется прибыльностью и степенью риска. Управление рисками часто связывают с управлением финансами. Хотя функция управления финансами не отвечает исключительно за управление всеми рисками, она играет центральную роль в определении, установлении объема, отслеживании и планировании эффективного управления рисков. Решения, принимаемые в процессе планирования управления финансами существенно влияют на финансовые риски, в которых можно выделить несколько компонентов, на которые необходимо обратить внимание:
- достаточность капитала - поддержание достаточного уровня капитала для решения стратегических задач и выполнения требований регулятивных органов;
- качество активов - минимизация убытков, возникающих в результате инвестиционной или кредитной деятельности;
- ликвидность - доступность недорогих средств для удовлетворения текущих потребностей бизнеса;
- чувствительность к изменениям процентной ставки и валютных курсов-управление балансовой и забалансовой деятельностью и для удержания риска в границах общей политики и т.д.
Каждый элемент риска требует конкретной политики и характеристики параметров риска, вырабатываемых совместно директорами и управление банка. Ключевой задачей является балансирование, при этом не обязательно уравнение, этих взаимозависимых элементов риска. Полное равновесие здесь невозможно, поскольку действия, предпринимаемые для снижения одних рисков могут увеличить другие.
Цели и задачи стратегии управления рисками в большой степени определяются постоянно изменяющейся внешней экономической средой, в которой приходится работать банку.
Во второй главе выпускной квалификационной работы проведена оценка и анализ кредитных рисков в "Банк24.ру". При этом рассмотрена экономическая характеристика "Банк24.ру", проведен анализ кредитного портфеля и кредитных рисков, рассмотрено управление рисками в кредитном отделе "Банк24.ру" и дана оценка кредитоспособности заемщика.
Что касается деятельности объекта исследования дипломной работы "Банка24.ру", то здесь можно отметить как позитивные, так и негативные тенденции. К положительным моментам в работе банка можно отнести постоянно расширяющуюся клиентскую базу, рост активов, собственного капитала и привлеченных средств. Однако в структуре привлеченных средств необходимо больше уделять внимания средствам, привлекаемым от юридических лиц, так как именно юридические лица на фоне экономической стабилизации являются наиболее перспективными клиентами и расширения спектра услуг для них должен быть приоритетным направлением банковского роста.
В ОАО "Банк24.ру" проводится политика на улучшение качества кредитного портфеля, так за анализируемый период просроченная задолженность заметно снизилась и ее удельный вес в общей сумме ссудной задолженности по состоянию на 01.01.09г. составил 25,7% против 46,3% по состоянию на 01.07.09г.
На основании полученных данных можно сделать вывод, что в 2009 г. ОАО "Банк24.ру" проводилась активная работа в области кредитования.
Основной задачей анализа качества кредитного портфеля является выявление зон повышенного риска, улучшение эффективности кредитных операций, обеспечения сбалансированности кредитной политики, направленной на получение максимальных доходов при оптимальном риске.
Банк в обязательном порядке должен формировать резерв на возможные потери по ссудам по нормативам, утвержденным Центральным банком России.
Объем созданного резерва по кредитам юридических и физических лиц покрывает просроченную задолженность на 60%. На 01.07.09г. объем созданного резерва по кредитам юридических и физических лиц покрывает просроченную задолженность на 91%.
Проведенное исследование показало, что наиболее серьезным для ОАО "Банка24.ру" является банковский риск не возврата размещенных ресурсов
В 2009 г. в ОАО "Банк24.ру" поступили заявки на предоставление кредитов от двух организаций: ООО "Вира-плюс" и ООО "Московское молоко".
Анализ кредитоспособности заемщика осуществлялся в два этапа:
1 этап: используется система финансовых коэффициентов.
2 этап: рейтинг в баллах.
В процессе сравнительного анализа кредитоспособности двух предприятий ООО "Вира-плюс" и "Московское молоко" было выявлен, что у ООО "Московское молоко" риск не возврата кредита очень высокий, так как предприятие является практически банкротом. В то же время показатели ООО "Вира-плюс" являются достаточными для принятия положительного решения о предоставлении кредита.
С целью обеспечения возврата выданной ссуды ООО "Вира-плюс" в дипломной работе был определен наиболее приемлемый график погашения кредита.
Рассчитав три графика погашения кредита наглядно видно, что для предприятия выгоден первый вариант погашения кредита, в этом случае процентные выплаты составят 350,00 тыс. рублей. Такой вариант погашения кредита в основном используется в банках, этот вариант является наименее рискованным для банка, так как предприятие ежемесячно уменьшает свой долг перед банком, следовательно, с каждым месяцем уменьшается риск непогашения кредита. Таким образом, ежемесячное погашение фиксированной суммы кредита.
Просчитав, второй вариант погашения кредита мы видим, что он достаточно прибыльный с точки зрения банка, но в свою очередь он достаточно рискованный, так как возможно, что по окончанию срока кредита предприятие не сможет накопить и выплатить сразу всю сумму кредита и процент за последний месяц. Но этот вариант может быть, принят в том случае, если предприятие внедряет новую технологию производства, и у предприятия будет достаточно хорошие поручители и залогодатели.
С точки зрения банка третий вариант погашения кредита выгоден как для ООО "Вира-плюс" так и для самого "Банк24.ру", этот вариант не слишком рискованный для банка, а также отвечает всем законодательным требованиям по налогообложению прибыли банков с выданных кредитов. Этот вариант погашения кредита наиболее оптимален для представленного предприятия, а так же для предприятий данной отрасли.
Таким образом, рассчитанные рекомендации позволят "Банк24.ру" наиболее выгодно и оптимально для обеих сторон кредитовать ООО "Вира-плюс".
Список используемой литературы
кредитный риск банковский заемщик платеж
1. Гражданский кодекс Российской Федерации от 30.11.1994 № 51-ФЗ (ред. от 17.07.2009 № 145-ФЗ)
2. Федеральный Закон от 10.06.2002 № 86-ФЗ "О Центральном Банке Российской Федерации (Банке России)" (ред. от 29.07.2004).
3. Федеральный Закон от 3.03.1996 года № 17-ФЗ "О банках и банковской деятельности" (ред. от 28.04.2009 № 73-ФЗ)
4. Федеральный закон от 23.12.2003 №177-ФЗ "О страховании вкладов физических лиц в банках Российской Федерации" (ред. от 22.12.2008).
5. Положение ЦБ РФ от 16.12.2003 № 242-П "Об организации внутреннего контроля в кредитных организациях и банковских группах"
6. Положение ЦБ РФ от 29.03.2004 № 255-П "Об обязательных резервах кредитных организаций"
7. Положение ЦБ РФ от 14.11.2007 №313-П "О порядке расчета кредитными организациями размера рыночных рисков".
8. Инструкция Банка России от 16.01.2004 г. № 110-И "Об обязательных нормативах банков" (ред. от 14.06.2007).
9. Указание ЦБ РФ от 16.01.2004 №1379-У "Об оценке финансовой устойчивости банка в целях признания ее достаточной для участия в системе страхования вкладов".
10. Банковская система России. Настольная книга банкира. – М.: ДеКА, 2007.
11. Банковское дело / Под ред. Белоглазовой Г.Н., Кроливецкой Л.П. – СПб.: Питер, 2008.
12. Банковское дело / Под ред. О.И. Лаврушина. – М.: Финансы и статистика, 2008. – 420с.
13. Беляков А.В. Банковские риски: проблемы учета, управления и регулирования.- М.: БДЦ-Пресс, 2008. – 341с.
14. Буевич С.Ю., Королев О.Г. Анализ финансовых результатов банковской деятельности.- М.: 2005.
15. Бурдина Е.В., Ковалёв В.Л., Криштопенко О.С. Статистический анализ состояния и тенденций развития банковской системы // Вопросы статистики. – 2008. - №6.
16. Додинов В.Н., Крылова М.А., Шестаков А.В. Финансовое и банковское право. Словарь-справочник / Под ред. д.ю.н. О.Н. Горбуновой. – М.: ИНФРА-М, 2006. – 277 с.
17. Ежов Ю.А. Банкротство коммерческих организаций: учебное пособие.- М.: "Дашков и К", 2008.
18. Жарковская Е.П., Арендс И.О. Банковское дело: Курс лекций. – М.: Омега-Л, 2009.
19. Жуков Е.Ф. Банковский менеджмент: учебник. – 2-е изд. – М.: ЮНИТИ-ДАНА, 2007.
20. Кабушкин С.Н. Управление банковским кредитным риском: учебное пособие.- М.: 2009.
21. Казимагомедов А.А., Ильясов С.М. Организация денежно-кредитного регулирования. – М.: Финансы и статистика, 2007.
22. Коблев М.С. Итоги и тенденции развития банков и кредитного риск-менеджмента// Финансы и кредит. – 2009. – № 10. – С. 46 – 49.
23. Ковалев П.П. Стратегия банковского риск-менеджмента// Финансы и кредит. – 2009. – № 15. – С. 12 – 17.
24. Колесников В.И., Кроливецкая Л.П. Банковское дело. – М.: Финансы и статистика, 2008.
25. Корнилов Ю.А. Некоторые вопросы управления кредитным риском в кризисных условиях//Деньги и кредит. – 2009. - №5. – С. 33-37.
26. Котина О.И. Системы страхования вкладов: обзор зарубежной практики // Деньги. - 2008. - №3.
27. Лаврушин О.И. Баковское дело. Учебник. – М.: КНОРУС, 2008. – 768с.
28. Литук О.Н. Стратегический подход к реструктуризации коммерческих банков// Деньги и кредит. – 2008. - № 7. - С. 17- 22.
29. Львин Б. О некоторых вопросах банковской и денежной системы // Вопросы экономики. – 2008. - №11.
30. Макеев С.Р. Денежно-кредитная политика: теория и практика. М.: Экономистъ, 2007.
31. Максютов А.А. Банковский менеджмент: учебно-практическое пособие.- М.: "Альфа-Пресс", 2009.
32. Мелкумов Я.С. Теоретическое и практическое пособие по финансовым вычислениям. – М.: ИНФРА-М, 2009.
33. Моисеев Б. С. О методике стресс-тестирования банка//Деньги и кредит. – 2008. - №9. – С. 22-26.
34. Никонова И.А., Шамгунов Р.Н. Стратегия и стоимость коммерческого банка.- М.: Альпина Бизнес БУКС, 2007.
35. Петров А.Ю., Петрова В.И. Комплексный анализ финансовой деятельности банка.- М.: Финансы и статистика, 2008.
36. Полищук А.И. Кредитная система: опыт, новые явления, прогнозы и перспективы,- М.: Финансы и статистика, 2008.
37. Полфреман Д., Форд Ф. Основы банковского дела. – М.: ИНФРА-М, 2007.
38. Рыбин Е.В. Риск-менеджмент в банках и банковских группах: проблемы и тенденции//Банковское дело. – 2009. - №9. - С. 34- 38.
39. Сагитдинов М.Ш., Марданов Р.Х., Кощегулова И.Р. О необходимости статистического подхода к разработки концепции развития банковской системы России // Деньги и кредит. – 2008. - №7.
40. Современный экономический словарь. Под. ред. Б.А. Райзберг, Л.Ш. Лозовский, Е.Б. Стародубцева. – М., 2007.
41. Солнцев О. Российская банковская система: смена модели развития // Проблемы прогнозирования. – 2009. - №2.
42. Татаринова Л.Ю. Роль организации информационной безопасности в предотвращении рисков в банковской деятельности// Финансы и кредит. – 2009. – № 30. – С. 18 – 22.
43. Трофимова Е.С. Характеристика отдельных рисков банковской системы Российской Федерации //Рынок ценных бумаг. – 2008. – №8. – С. 56-59.
44. Тысячникова Н.А. Тенденции и приоритеты развития систем риск-менеджмента в российских банках//Банковское дело. – 2009. - №7 - С. 15- 18.
45. Фетисов Г.Г. Устойчивость банковской системы. – М.: Финансовая академия – 2008.
46. Финансы. Денежное обращение. Кредит. Учебник для вузов / Под ред. Л.А. Дробзиной. – М., 2007.
47. Черкасов В.Е. Финансовый менеджмент в кредитных организациях. – М.: МЭСИ, 2008.
48. Шульгин А.В. Внутренний контроль и управление рисками в коммерческом банке// Финансы и кредит. – 2009. - № 2. - С. 14- 18.
49. Официальный сайт ОАО "Банк24.ру": www.bank24.ru.
50. Официальный сайт Банка России: www.cbr.ru.
51. Официальный сайт Федеральной службы государственной статистики: www.gks.ru.
52. Официальный сайт Министерства Финансов РФ: www.minfln.ru.
Приложение 1
Анализ структуры баланса и финансовых результатов ОАО "Банк24.ру"
| Наименование статьи доходов | Сумма на 01.01.09 | Сумма на 01.07.09 | Отклонения | Темп роста | Удельн. вес |
| 1.1.01 Проценты по кредитам населения | 5791,14 | 20623,69 | 14832,55 | 356,12 | 72,05 |
| 1.1.02 Проценты по кредитам предпринимателей | 44,05 | 132,43 | 88,38 | 300,64 | 0,46 |
| 1.1.03 Проценты по кредитам юридических лиц | 33,42 | 168,07 | 134,65 | 502,90 | 0,59 |
| 1.1.04 Условная положительная переоценка по ОФЗ | 0 | 0 | 0 | 0,00 | 0,00 |
| 1.1.05 Доходы по ОГСЗ | 0 | 0 | 0 | 0,00 | 0,00 |
| 1.1.07 Условные доходы пл купону ЕВРО | 0 | 0 | 0 | 0,00 | 0,00 |
| 1.1.07 Условные доходы от Челябинского ОАО | 0 | 0 | 0 | 0,00 | 0,00 |
| 1.1.08 Проц доход от ОФЗ(купон.переоценка) | 0 | 0 | 0 | 0,00 | 0,00 |
| 1.1.09 Условные доходы от банка(сальдо) | 0 | 0 | 0 | 0,00 | 0,00 |
| 1.1.10 Проц. доход от влож. в субфед. долг. обязат | 0 | 0 | 0 | 0,00 | 0,00 |
| 1.1.11 Условные доходы от вл. в субфед. долг.РФ для ОАО | 0 | 0 | 0 | 0,00 | 0,00 |
| 1.1.12 Проц доход по прочим долг. Обязательствам | 0 | 0 | 0 | 0,00 | 0,00 |
| 1.1.13 Проц. доход по векселям | 0 | 0 | 0 | 0,00 | 0,00 |
| 1.1.14 Доходы по счету МФР | 956,22 | 3400,96 | 2444,74 | 355,67 | 11,88 |
| 1.1.15 Доходы по Внутрирегиональной передаче ресурсов | 0 | 0 | 0,00 | 0,00 | |
| 1.1.16 Доходы полученные от других тербанков | 0,52 | 1,04 | 0,52 | 200,00 | 0,00 |
| 1.1.17 Доходы от перепродажидр.ценных бумаг РФ | 0 | 0 | 0 | 0,00 | 0,00 |
| 1.1.18 Доходы от переоценки ценных бумаг (пол. курс) | 0 | 0 | 0 | 0,00 | 0,00 |
| 1.1.19 Прочие процентные доходы | 0 | 0 | 0 | 0,00 | 0,00 |
| 1.1.20 Условные доходы от тербанка | 0 | 0 | 0 | 0,00 | 0,00 |
| 1.1 ПРОЦЕНТНЫЕ ДОХОДЫ | 6825,35 | 24326,19 | 17500,84 | 356,41 | 84,98 |
| 1.2.1.01Комиссия, получ по операц. с ценн.бумагами | 0 | 0 | 0 | 0,00 | 0,00 |
| 1.2.1.02 Доходы по др. операц. С ценн. бумагами | 0 | 0 | 0,00 | 0,00 | |
| 1.2.1.03 Доходы получ. от обмен. операц. с инвалютой | 0 | 0 | 0,00 | 0,00 | |
| 1.2.1.04Комиссия полученная (17201-17205,13103) | 1111,92 | 4103,5 | 2991,58 | 369,05 | 14,33 |
| 1.2.1.04.1 вт.ч. по расчетным операциям | 100,84 | 664,83 | 563,99 | 659,29 | 2,32 |
| 1.2.1.04.2вт.ч. по кассовым операциям | 421,33 | 1542,52 | 1121,19 | 366,11 | 5,39 |
| 1.2.1.04.3в т.ч. по операциям с ценными бумагами | 5,43 | 29,07 | 23,64 | 535,36 | 0,10 |
| 1.2.1.04.4 в т.ч. прочие комиссионные доходы | 584,32 | 1867,08 | 1282,76 | 319,53 | 6,52 |
| 1.2.1.05 Дох.от реализ. имущества кред. Организ. | 0 | 0,47 | 0,47 | 0,00 | 0,00 |
| 1.2.1.07 Дох. От списания кредит. Задолжен. | 0 | 1,03 | 1,03 | 0,00 | 0,00 |
| 1.2.1.07 Дох. От операций с банковскими картами | 0 | 0 | 0 | 0,00 | 0,00 |
| 1.2.1.08 Дох от излишков денежной нал., матер. ценностей | 0 | 2 | 2 | 0,00 | 0,01 |
| 1.2.1.09 Дох. От переоценки бал. Счетов(сальдо) | 0 | 0 | 0 | 0,00 | 0,00 |
| 1.2.1.10 Дох. От проведения лизинговых операций | 0 | 0 | 0 | 0,00 | 0,00 |
| 1.2.1.11 Дох. По кред. прош. лет, поступ в отчет год | 2,75 | 7,25 | 4,5 | 263,64 | 0,03 |
| 1.2.1.12 Др доходы прош лет, поступивш. в отчетн. году | 0 | 0 | 0 | 0,00 | 0,00 |
| 1.2.1.13 Дох, получ за обраб док., от инф услуг | 0 | 0 | 0 | 0,00 | 0,00 |
| 1.2.1.14 Прочие непроцентные доходы | 57,2 | 146,48 | 89,28 | 256,08 | 0,51 |
| 1.2.1.16 Условно восст. на доход налог на прибыль | 0 | 0 | 0 | 0,00 | 0,00 |
| 1.2.1.17 Штрафы,пени,неустойки полученные | 0 | 39 | 39 | 0,00 | 0,14 |
| 1.2.1.18 Внутрисистемные доходы по прибыли | 0 | 0 | 0 | 0,00 | 0,00 |
| 1.2.1 Непроцентные доходы | 1171,87 | 4299,73 | 3127,86 | 366,91 | 15,02 |
| 1.2.2.01 Восстановление сумм за счет РВПС | 0 | 0 | 0 | 0,00 | 0,00 |
| 1.2.2.02 Восстановление сумм за счет рез. по прочим | 0 | 0 | 0 | 0,00 | 0,00 |
| 1.2.2.03 Штрафы, пени, неустойки полученные | 0 | 0 | 0 | 0,00 | 0,00 |
| 1.2.2.04 Доходы от переоценки счетов в инвалюте | 0 | 0 | 0 | 0,00 | 0,00 |
| 1.2.2.05 Условные доходы от переоценки ЕВРО | 0 | 0 | 0 | 0,00 | 0,00 |
| 1.2.2. ВНЕБАНКОВСКИЕ ДОХОДЫ | 0 | 0 | 0 | 0,00 | 0,00 |
| 1.2 Непроцентные и внебанковские доходы | 1171,87 | 4299,73 | 3127,86 | 366,91 | 15,02 |
| 2 ДОХОДЫ | 7997,22 | 28625,92 | 20628,7 | 357,95 | 100,00 |
| РАСХОДЫ : ПРОЦЕНТ, НЕПРОЦ И ВНЕБАНКОВСКИЕ. | 0 | 0,00 | |||
| 0 | 0,00 | ||||
| 2.1.01 Проц., уплач.за получ кредиты | 0 | 0,00 | 0,00 | ||
| 2.1.02 Проц., уплач.по депозитам клиент. банка | 8,7 | 22,31 | 13,61 | 256,44 | 0,10 |
| 2.1.03 Проц., уплач.СБ.РФ.по своб.кред.рес.и центр.фондам | 0 | 0,00 | 0,00 | ||
| 2.1.04 Расходы согласно регламента 745-р | 0 | 0 | 0,00 | 0,00 | |
| 2.1.05 Проц., уплач.по своб кред.рес.внутррегиональным | 157,29 | 600,46 | 443,17 | 381,75 | 2,66 |
| 2.1.07 Проц., уплач.по своб кред рес от др. тербанков | 0,26 | 0,78 | 0,52 | 300,00 | 0,00 |
| 2.1.07 Проц., уплач.физ лицам по депозитам | 1175,75 | 4075,99 | 2900,24 | 346,67 | 18,08 |
| 2.1.08 Проц., расходы по расчетным и тек-им счетам юр. | 21,76 | 60,4 | 38,64 | 277,57 | 0,27 |
| 2.1.09 Проц., расходы по сберег. сертифик. | 0,12 | 0,12 | 0 | 100,00 | 0,00 |
| 2.1.10 Проц., расходы по векселям | 0 | -30,42 | -30,42 | 0,00 | -0,13 |
| 2.1.11 Дисконтный расход по векселям | 0 | 0,00 | 0,00 | ||
| 2.1.12 Прочие процентные расходы | 0 | 0,00 | 0,00 | ||
| 2.1.13 Условные расходы от тербанка | 3,5 | 0 | -3,5 | 0,00 | 0,00 |
| 2.1 Процентные расходы | 1367,38 | 4729,64 | 3362,26 | 345,89 | 20,98 |
| 2.2.1.01 Расх при перепродаже и погашении ценн. бумаг | 0 | 0 | 0,00 | 0,00 | |
| 2.2.1.02 Условные расходы (прочие) | 0 | 0 | 0 | 0,00 | 0,00 |
| 2.2.1.03 расх. От переоценки ценных бумаг | 0 | 0 | 0,00 | 0,00 | |
| 2.2.1.04 Условная отрицательная переоценка по ОФЗ | 0 | 0 | 0 | 0,00 | 0,00 |
| 2.2.1.05 Комисс., по операц с ценн. бумагами | 0 | 0 | 0,00 | 0,00 | |
| 2.2.1.07 Расх по др операц с ценн. Бумагами | 0 | 0 | 0 | 0,00 | 0,00 |
| 2.2.1.07 Расх по операц.с ценными бумагами, в т.ч обменные | 0 | 0 | 0,00 | 0,00 | |
| 2.2.1.08 Расх на содержание аппарата управления в т.ч. | 0 | 0 | 0,00 | 0,00 | |
| 2.2.1.09 Оплата труда, включая премии | 2324 | 6906,07 | 4582,07 | 297,16 | 30,63 |
| 2.2.1.10 начисления на з/п (внебюджетные фонды) | 603,28 | 1739,24 | 1135,96 | 288,30 | 7,71 |
| 2.2.1.11 Комиссия уплаченная | 153,16 | 423,97 | 270,81 | 276,82 | 1,88 |
| 2.2.1.12 Расходы пл смете АХР | 790,00 | 3313,67 | 2523,67 | 419,45 | 14,70 |
| 2.2.1.12.01 Расходы на содержание спецавтотранспорта | 0 | 0 | 0 | 0,00 | 0,00 |
| 2.2.1.12.02 Расходы на рекламу | 4,63 | 25,47 | 20,84 | 550,11 | 0,11 |
| 2.2.1.12.03 Расх на инфор-ые и конс-ые услуги | 8,91 | 37,89 | 28,98 | 425,25 | 0,17 |
| 2.2.1.12.04 Подготовка кадров и повышение квалификации | 0 | 32,75 | 32,75 | 0,00 | 0,15 |
| 2.2.1.12.05 Пересылка операционно-бланковского материала | 27,49 | 120,45 | 92,96 | 438,16 | 0,53 |
| 2.2.1.12.07 Канцелярские расходы | 194,07 | 680,14 | 486,07 | 350,46 | 3,02 |
| 2.2.1.12.07 Охрана,стоимость оружия | 125,46 | 364,4 | 238,94 | 290,45 | 1,62 |
| 2.2.1.12.08 Содержание автотранспорта | 104,8 | 310,28 | 205,48 | 296,07 | 1,38 |
| 2.2.1.12.09 Представительские расходы | 0,00 | 0,00 | 0 | 0,00 | 0,00 |
| 2.2.1.12.10 Аренда,лизинг | 21,9 | 583,27 | 561,37 | 2663,33 | 2,59 |
| 2.2.1.12.11 Содержание зданий и сооружений | 209,4 | 633,65 | 424,25 | 302,60 | 2,81 |
| 2.2.1.12.12 Эксплуатационные расходы | 40,26 | 223,98 | 183,72 | 556,33 | 0,99 |
| 2.2.1.12.13 Износ МБП | 5,34 | 177,24 | 171,9 | 3319,10 | 0,79 |
| 2.2.1.12.14 Расходы на служебные командировки | 17,55 | 58,95 | 41,4 | 335,90 | 0,26 |
| 2.2.1.12.15 Капитальный и текущий ремонт основных средств | 6,09 | 11,86 | 5,77 | 194,75 | 0,05 |
| 2.2.1.12.16 Добровольное страхование | 11,28 | 13,52 | 2,24 | 119,86 | 0,06 |
| 2.2.1.12.17 Прочие по смете | 12,82 | 39,82 | 27 | 310,61 | 0,18 |
| 2.2.1.12.18 Транспортные расходы | 0 | 0 | 0 | 0,00 | 0,00 |
| 2.2.1.12.19 Прочие операционные расходы | 0,00 | 0,00 | 0 | 0,00 | 0,00 |
| 2.2.1.13 Амортизационные отчисления по основным средствам | 313,64 | 1028,53 | 714,89 | 327,93 | 4,56 |
| 2.2.1.14 Амортизациоонные отчисления по нематериал. активам | 0 | 0 | 0 | 0,00 | 0,00 |
| 2.2.1.15 Списание дебиторской задолженности | 0 | 0 | 0 | 0,00 | 0,00 |
| 2.2.1.16 Прочие операционные расходы | 0,54 | 0,95 | 0,41 | 175,93 | 0,00 |
| 2.2.1.16 Расходы прошлых лет,выявленные в отчетном году | 0 | 0 | 0 | 0,00 | 0,00 |
| 2.2.1.17 Налоги,относимые на расходы | 136,95 | 746,75 | 609,8 | 545,27 | 3,31 |
| 2.2.1.18 Прочие | 0,26 | 355,28 | 355,02 | 136646,15 | 1,58 |
| 2.2.1.19 Внутрисистемный налог на прибыль (с-до) | 453,07 | 1810,43 | 1357,36 | 399,59 | 8,03 |
| 2.2.1 НЕПРОЦЕНТНЫЕ РАСХОДЫ | 4774,9 | 16324,89 | 11549,99 | 341,89 | 72,40 |
| 2.2.2.01 Отчисления на создание РВПС(сальдо) | 226,66 | 1493,37 | 1266,71 | 658,86 | 6,62 |
| 2.2.2.02 Отчисления на соз-ие рез. по прочим (с-до) | 0 | 0,75 | 0,75 | 0,00 | 0,00 |
| 2.2.2.03 Отчисления в ф-ды и резервы по др. опер | 0 | 0,00 | 0,00 | ||
| 2.2.2.04 Штрафы, пени, неустойки уплаченные | 0 | 0,00 | 0,00 | ||
| 2.2.2.05 Прочие условные расходы | 0 | 0 | 0 | 0,00 | 0,00 |
| 2.2.2.07 Условные расходы от переоценки ЕВРО | 0 | 0 | 0 | 0,00 | 0,00 |
| 2.2.2 ВНЕБАНКОВСКИЕ РАСХОДЫ | 226,66 | 1494,12 | 1267,46 | 659,19 | 6,63 |
| 2.2 НЕПРОЦЕНТНЫЕ И ВНЕБАНКОВСКИЕ РАСХОДЫ | 5001,56 | 17819,01 | 12817,45 | 356,27 | 79,02 |
| 2. РАСХОДЫ | 6368,94 | 22548,65 | 16179,71 | 354,04 | 100,00 |
| 3.Валовая прибыль | 1628,28 | 6077,27 | 4448,99 | 373,23 | |
| 4.Налоги из прибыли | 0 | 0 | 0 | 0,00 | |
| 5. Остаток сч.61401.08.10 | 0 | 0 | 0 | 0,00 | |
| 6. Чистая прибыль | 1628,28 | 6077,27 | 4448,99 | 373,23 |
Приложение 2
Бухгалтерская отчетность ООО "Вира-плюс" за 2008 год
БУХГАЛТЕРСКИЙ БАЛАНС


ОТЧЕТ О ПРИБЫЛЯХ И УБЫТКАХ


Приложение 3
Бухгалтерская отчетность ООО "Московское молоко" за 2008 год
БУХГАЛТЕРСКИЙ БАЛАНС




Похожие рефераты:
Управление кредитным портфелем и пути его совершенствования в банках Республики Беларусь
Управление процентным риском портфеля ГКО-ОФЗ в посткризисный период
Совершенствование кредитования населения
Организация анализа кредиторской и дебиторской задолженности
Цели и задачи управления банковскими рисками на кредитном рынке
Системный анализ и управление кредитами
Система кредитования в коммерческих банках
Анализ кредитоспособности физических лиц на примере ЗАО "Банк Русский Стандарт"
Совершенствование управления кредитными рисками коммерческого банка
Банковские риски и управление ими
Эффективности методики оценки кредитоспособноcти клиентов коммерческого банка
Особенности учета, аудита и анализа кредитов коммерческого банка
Оценка кредитоспособности строительной организации
Кредитная политика коммерческого банка
Кредитование юридических лиц, как одно из направлений кредитной политики банка