| Похожие рефераты | Скачать .docx |
Дипломная работа: Управління залученими коштами банку (за матеріалами ТОВ Банк "Фінанси та кредит")
КИЇВСЬКИЙ НАЦІОНАЛЬНИЙ ТОРГОВЕЛЬНО-ЕКОНОМІЧНИЙ УНІВЕРСИТЕТ
Управління залученими коштами банку (за матеріалами ТОВ БАНК „ФІНАНСИ ТА КРЕДИТ”)
ЗМІСТ
ВСТУП
РОЗДІЛ 1. ТЕОРЕТИЧНІ ЗАСАДИ УПРАВЛІННЯ ЗАЛУЧЕНИМИ КОШТАМИ БАНКУ
1.1 Джерела формування і фактори впливу на формування зобов’язань банку за коштами клієнтів
1.2 Інструментарій і показники ефективності управління залученими коштами банку
РОЗДІЛ 2. ДІАГНОСТИКА СИСТЕМИ УПРАВЛІННЯ ЗАЛУЧЕНИМИ КОШТАМИ БАНКУ ТОВ БАНК “ФІНАНСИ ТА КРЕДИТ”
2.1 Загальна оцінка потенціалу банку щодо залучення коштів
2.2 Аналіз залучених коштів
2.3 Організаційне, методичне і програмне забезпечення управління залученими коштами банку
2.4 Інструментарій з управління залученими коштами банку
РОЗДІЛ 3. УДОСКОНАЛЕННЯ ІНСТРУМЕНТАРІЮ З УПРАВЛІННЯ ЗАЛУЧЕНИМИ КОШТАМИ ТОВ БАНК “ФІНАНСИ ТА КРЕДИТ”
3.1 Світовий досвід з інтегрованого управління залученими коштами банку
3.2 Інструментарій з управління структурою залучених коштів банку в концепції інтегрованого управління активами та пасивами банку
ВИСНОВКИ
СПИСОК ВИКОРИСТАНИХ ДЖЕРЕЛ
ДОДАТКИ
АНОТАЦІЯ
ВСТУП
Актуальність обраної теми дипломного проекту та доцільність проведення досліджень для оцінки стану та перспектив розвитку методів управління залученими коштами в комерційних банках полягає в необхідності впровадження методології комплексного аналізу ефективності діяльності комерційного банку не тільки в внутрішньому мікросередовищі, але і при порівняльному аналізі положення банку у банківській системі України (макросередовищі), оскільки формування попиту та пропозиції на залучені кошти є результатом конкурентної взаємодії банків банківської системи України і загального фінансового стану юридичних і фізичних осіб в Україні, який формує їх схильність до пропозиції тимчасового збереження вільних коштів в банківській системі.
Залучені та запозичені кошти комерційного банку є платними ресурсами, ціна на які залежить від їх виду, суми, валюти та строку залучен-ня(запозичення).
Об’єктом дипломного дослідження є – діяльність комерційного банку по залученню коштів юридичних та фізичних осіб на прикладі діяльності ТОВ БАНК “Фінанси та Кредит” та порівнянні його діяльності з іншими комерційними банками України першої групи рейтингу Національного банку України.
Предметом дипломного дослідження є – комплекс системи управління залученими коштами в ТОВ БАНК “Фінанси та Кредит”, а також в інших банківських установах банківської системи України.
Методами дипломного дослідження є – структурний аналіз, первинні статистичні спостереження, групування та статистистичний аналіз хроноло-гічних рядів параметрів, побудова математичної моделі розрахунку рентабель-ності операційної діяльності банку як функції вартості ресурсів та дохідності активних операцій, побудова розрахункового алгоритму математичної моделі в “електронних таблицях” EXCEL-2000 та проведення прогнозного регресійного моделювання впливу структури залучених коштів на рентабельність роботи банківської установи.
Мета дипломного дослідження полягає у теоретичному обгрунтуванні важливості інтегрованого управління активами та пасивами комерційного банку для визначення алгоритму управління залученням ресурсів(пасивів) у юридичних та фізичних осіб, розкриттю діючої практики залучення коштів в ТОВ БАНК “Фінанси та Кредит”, а також пошуку напрямків удосконалення розвитку програмних моделей управління оптимальністю структури залучених коштів в комерційному банку.
Для досягнення поставленої мети в дипломній роботі вирішуються такі завдання:
- досліджено сутність та класифікацію ресурсної бази комерційного банку, як структурний розподіл коштів на власний капітал, залучені кошти юридичних та фізичних осіб у вигляді поточних та строкових депозитів, запозичені кошти у інших комерційних банків та Національного банку України у вигляді короткострокових та довгострокових кредитів;
- досліджено структуру залучених коштів в ТОВ БАНК “Фінанси та Кредит”, її динаміку у 2003 – 2007 роках та порівняльні особливості структур залучених коштів в інших комерційних банках першої групи рейтингу НБУ;
- розглянуто процес функціонування та управління залученими коштами в ТОВ БАНК “Фінанси та Кредит”;
- проведено аналіз діючої практики управління залученими коштами в комерційних банках розвинутих країн світу;
- проведена розробка регресійної багатовимірної математичної моделі розрахунку впливу структури пасивів комерційного банку на рентабельність його роботи;
- на основі розрахунків побудованої моделі запропоновано шляхи удосконалення оптимальної структури залучених коштів в ТОВ БАНК “Фінанси та Кредит” для підвищення рівня рентабельності роботи банку;
На вирішення проблеми оптимального управління залученими коштами в комерційних банках спрямовані дослідження, викладені в монографіях наступних авторів: – Азаренкова Г.М., Васюренко О.В., Герасимович А.М., Жуков Е.Ф., Коцовська Р.Н., Ричаківська В.І., Мороз А.М., Українська Л.О., Савлук М.І., Панова Г.С., Примостка Л.О. , Пуховкіна М.Ф., Спіцин І.О., Спіцин Я.О., Шевченко Р. І..
Впровадження пропозицій і рекомендацій щодо шляхів оптимізації структури залучених коштів в комерційному банку, наданих в дипломній роботі, дозволить:
- зосередити увагу банківських установ на доцільності оптимальних структурних обсягів залучення коштів відносно рівня статутного капіталу з точки погляду на максимальний рівень досягнення дивідендної рентабельності роботи комерційного банку;
- звернути увагу акціонерів комерційних банків на необхідність опти-мального нарощення власного капіталу, оскільки результати дипломного дослідження доводять, що максімум частки ринку залучених коштів не є основою для максимуму дивідендної доходності акціонерного капіталу банку, та навпаки, існує нелінійна функція рентабельності від структурної частки власного капіталу з можливим максимумом в районі 19-20%, яка потребує додаткового дослідження.
Інформаційною базою дипломного дослідження були – звітні документи ТОВ БАНК “Фінанси та Кредит” за 2000 – 2006 роки, статистичні матеріали Національного банку України, Асоціації українських банків, Держкомстату України.
РОЗДІЛ 1. ТЕОРЕТИЧНІ ЗАСАДИ УПРАВЛІННЯ ЗАЛУЧЕНИМИ КОШТАМИ БАНКУ
1.1 Джерела формування і фактори впливу на формування зобов’язань банку за коштами клієнтів
Ресурси комерційного банку – це сукупність грошових коштів, що знахо-дяться у його розпорядженні і використовуються ним для виконання активних операцій. Операції, завдяки яким комерційні банки формують свої ресурси, мають назву пасивних.
Згідно з джерелами утворення банківських ресурсів в існуючій банківській практиці ресурси комерційних банків поділяють на власні, залучені та запозичені.
Метою менеджменту в сфері управління зобов’язаннями банку є залучення достатнього обсягу коштів з найменшими витратами для фінансування тих активних операцій, які має намір здійснити банк і підтримка достанього рівня ліквідності.
Основними завданнями щодо управління залученими коштами банку є:
- дотримання нормативів ліквідності;
- дотримання нормативів обов’язкового резервування;
- реалізація депозитної політики банку;
- підтримка структури пасивів (коефіцієнт фінансового важеля) на рівні, який відповідає стратегічним цілям банку;
- використання підходів до управління зобов’язаннями, які відповідають стратегії управління ризиком ліквідності;
- застосування інструментів управління зобов’язаннями банку, адекватних стану фінансового ринку;
- встановлення відповідності обсягів і структури зобов’язань обсягам і структурі активних операцій, спираючись на стратегію інтегрованого управління пасивами і активами банку;
- формування собівартості ресурсів на ринку, що забезпечують стабільну доходність активних операцій.
Формування зобов’язань банку знаходиться під впливом двох груп факторів: зовнішніх і внутрішніх:
1. До факторів зовнішнього впливу відносяться:
а) міжнародні фактори:
- кон’юнктура міжнародних фінансових ринків;
- доступ банків України до кредитних ресурсів на міжнародних фінансових ринках.
б) Фактори внутрішньодержавні:
- кон’юнктура ринку кредитних ресурсів;
- кон’юнктура фондового ринку;
- кон’юнктура ринку нерухомості;
- податкове законодавство;
- інструментарій НБУ з регулювання депозитних операцій і операцій банків із запозиченням коштів в НБУ та інших банках.
2. До факторів внутрішнього впливу відносяться:
- доступ банку до міжнародних фінансових ринків, до коштів міжнародних фінансових організацій;
- доступ до національних фінансових ринків;
- доступ до коштів НБУ:
- участь банку у міжнародних платіжних системах;
- участь банку у внутрішньодержавних платіжних системах;
- географічне розташування філій банку;
- кількісна мережа філій банку;
- клієнтська база;
- види пасивних операцій, які здійснює банк;
- організація розрахункових та касових операцій з клієнтами;
- ведення кореспондентських рахунків банку.
Власний капітал комерційного банку займає невелику питому вагу у сукупному капіталі, при цьому, якщо для суб ' єктів підприємницької діяльності норма власного капіталу повинна становити біля 50%, то для комерційних банків загальноприйнята норма може бути не більше 8%. Це обумовлено специфікою банківської діяльності, при якій банк користується, в основному, чужими грошима, а власні кошти служать передусім для страхування інтересів вкладників і кредиторів банку, а також для покриття поточних збитків від банківської діяльності. Інакше кажучи, власний капітал комерційного банку виконує захисну функцію, а функція забезпечення оперативної діяльності для власного банківського капіталу є другорядною.
Залучені кошти комерційного банку – це кошти, які банк залучає на вклади і депозити. Депозит (вклад) – кошти в безготівковій чи готівковій формі, що надаються фізичними чи юридичними особами в управління резиденту, визначеному фінансовою організацією згідно із чинним законодавством України, або нерезиденту на чітко визначений строк та під процент і оформлюються відповідною угодою.
Практично усі клієнтські рахунки називаються депозитними. Депозитним може бути будь-який відкритий клієнту у банку рахунок, на якому зберігаються його грошові кошти. За формою використання рахунків вони поділяються на :
депозити (вклади) до запитання, термінові або строкові депозити, умовні депозити.
До запозичених коштів комерційного банку належать кошти, отримані від емісії і продажу облігацій, та кредити, отримані у інших банків, в тому числі в Національному банку України.
Залучені та запозичені кошти комерційного банку є платними ресурсами, ціна на які залежить від їх виду, суми, валюти та строку залучен-ня(запозичення). Cтруктура статей власних, залучених та запозичених коштів в пасивних ресурсах комерційного банку наведена в табл. 1.1 [13].
Таблиця 1.1 ПАСИВИ БАНКА (факторні агрегати)
| Безплатний власний капіталу (статутний капітал +фонди + прибуток) |
Низькооплатні залучені кошти до запитання фізичних осіб |
Платні залучені строкові депозити фізичних осіб |
Низькооплатні залучені кошти до запитання юридичних осіб |
Платні залучені та запозичені строкові депозити юридичних осіб |
Платні технологічні пасиви (кредиторська заборгованість, власні ЦП, відсотки за депозити) |
| 1 |
2 |
3 |
4 |
5 |
6 |
| Статутний капітал банку |
Кошти на вимогу фізичних осіб |
Строкові кошти фізичних осіб |
Кошти на вимогу інших банків |
Короткострокові креди-ти, що отримані від Наці-онального банку України |
Кредиторська заборгованість за операціями з банками |
| Емісійні різниці |
Кошти виборчих фондів |
Короткострокові ощадні (депо-зитні) сертифі-кати, емітовані банком |
Бюджетні кошти клієнтів, які утри-муються за раху-нок місцевих бюджетів |
Довгострокові кредити, що отримані від Національного банку України |
Кредиторська заборгованість і транзитні рахунки за операціями з клієнтами банку |
| Загальні резерви та фонди банку |
Ощадні (депозитні) сертифікати на вимогу, емітовані банком |
Довгострокові ощадні сертифікати, емітовані банком |
Кошти спеціального фонду бюд-жетів АРК, областей, міст Києва і Севастополя |
Кредити, що отримані від міжнародних та інших фінансових організацій |
Цінні папери власного боргу, крім субординованого боргу |
| Результати минулих років |
Кошти позабюд-жетних фондів |
Строкові вклади (депозити) інших банків |
Інші пасиви банку |
||
| Результати звітного року, що очікують затвердження |
Кошти на вимогу суб'єктів господарювання |
Короткострокові кредити, що отримані від інших банків |
Банківські резерви на покриття ризиків і витрат |
||
| Результати переоцінки |
Кошти небанків-ських фінансових установ |
Довгострокові кредити, що отримані від інших банків |
Субординований борг банку |
||
| Результат поточного року |
Строкові кошти суб'єктів господарювання |
Виключна актуальність дослідження оптимальної структури запозичених та залучених коштів комерційного банку є в тому, що загальна суми плати за залучені та запозичені ресурси визначає банківську собівартість активних операцій, тобто операційний прибуток від розміщення ресурсів в активні операції по отриманню валового доходу банка.
Згідно з правилами здійснення депозитних операцій для банківських депозитів [11] :
- Суб'єктами депозитних операцій є комерційні банки, які виступають як позичальники, так і кредитори - власники коштів.
- Об'єктом депозитних операцій є кошти, що передані комерційному бан-ку на умовах, визначених двосторонньою угодою.
Сьогодні класифікація вкладів (депозитів) здійснюється за різними ознаками, основними серед яких є :
- вид та статус вкладника;
- валюта вкладу(депозиту);
- термін залучення вкладу(депозиту);
- особливості поточної суми вкладу(депозиту);
- вид депозитної ставки проценту;
- особливості нарахування та сплати процентів по вкладу(депозиту);
За першою ознакою виділяються :
- вклади(депозити) юридичних осіб – резидентів;
- вклади(депозити) фізичних осіб – резидентів;
- вклади(депозити) юридичних осіб – нерезидентів;
- вклади(депозити) фізичних осіб – нерезидентів;
- анонімні вклади (в Україні – ліквідовані після 3 років функціону-вання);
- депозити на пред'явника;
- міжбанківські депозити банків-резидентів;
- міжбанківські депозити банків –нерезидентів;
За валютою вкладу виділяються :
- вклади(депозити) в національній валюті;
- вклади(депозити) в вільноконвертованій валюті(ВКВ);
- вклади(депозити) в неконвертованій валюті (НКВ);
За терміном залучення вклади(депозити) поділяються на:
- до запитання;
- на визначений строк (строкові – короткострокові (до 1 року з статистичним розподілом по строкам - до 1 місяця, 1-3 місяця, 3-6 місяців, 6-12 місяців) та довгострокові( більше 1 року) ) [11];
- на невизначений строк по умові (ощадні вклади по умові – досягнення визначеного віку, одруження, народження дітей, страховий випадок, тяжке захворювання, смерть та інш.);
За особливостями поточної суми депозиту вклади(депозити) розпо-діляються на :
- вклади(депозити) з постійною (початковою) сумою вкладу;
- вклади(депозити) з вільним довкладанням коштів;
- вклади(депозити) з автоматичним довкладанням неотриманої суми нарахованих процентів;
За видом депозитної ставки проценту вклади (депозити) розподіляються на :
- постійна ставка депозиту без права корегування;
- плаваюча ставка депозиту з правом корегування з боку комерційного банку при погодженні з клієнтом;
- плаваюча ставка депозиту , автоматично враховуюча індекс інфляції за погодженим з клієнтом алгоритмом у договорі ( інвестиційні вклади АКБ “Аркада” – в одиницях інвестування);
За особливостями нарахування та сплати процентів по вкладу(депозиту) існують наступні схеми :
- нарахування та сплата процентів по закінченню строку залучення;
- щомісячне на нарахування процентів та довкладання їх до основної суми вкладу з виплатою нарахованих процентів по закінченню строку залучення (“складні проценти”);
- щомісячне нарахування процентів та їх щомісячна сплата вкладнику;
- авансове нарахування процентів та їх авансова виплата вкладнику при залученні вклада(депозита);
- щомісячне нарахування процентів та їх перерахування на картковий рахунок (поточний рахунок) з можливістю депозитного зберігання під проценти для поточних вкладів до запитання чи вільного витрачання;
Депозити до запитання - це кошти, що знаходяться на поточних, бюджетних рахунках, на кореспондентських рахунках комерційних банків і використовуються власниками залежно від потреби в цих коштах. Умови сплати процентів за залишками коштів за цими рахунками визначаються у двосторонніх угодах при відкритті цих рахунків.
Депозити на визначений строк - це кошти, що зберігаються на окремих депозитних рахунках у банку протягом установленого строку, який визначається при відкритті цих рахунків.
Строковими депозитами є також кошти, що отримані від інших комерцій-них банків як депозит (вклад) на конкретний строк.
Вклади(депозити) до запитання розміщуються в банку на поточному рахунку клієнта, який відкривається згідно Інструкція НБУ “ Про відкриття банками рахунків у національній та іноземній валюті” [15].
Вони використовуються для здійснення поточних розрахунків власника рахунку з його партнерами. За вимогою клієнта кошти з поточного рахунку у будь-який час можуть вилучатися шляхом видачі готівки, виконання платіжного доручення, сплати чеків або векселів. До вкладів до запитання прирівнюються внески з попереднім повідомленням банку про намір зняти гроші з рахунку (за умови, що термін повідомлення не перевищує 1 місяця). Вклади до запитання є нестабільними, що обмежує можливість їх використання банком для позичкових та інвестиційних операцій, тому власникам поточних рахунків сплачується низький депозитний процент або не сплачується зовсім (якщо залишок на рахунку є меншим, ніж обумовлено в договорі між клієнтом та банком). Кошти поточних рахунків є найбільш дешевими, тому банки намагаються залучити найбільшу кількість клієнтів , що дає можливість за рахунок разночасовості сплат з поточних рахунків опе-рувати часткою статистичного загального залишку коштів на поточних рахунках як короткочасними кредитними ресурсами (“овернайт”), а другу частку використовувати як обов'язкову норму резервування залучених коштів на кореспондентському рахунку в НБУ [14].
Одним із видів вкладів до запитання є залишок коштів на прямих кореспондентських рахунках банків – резидентів та банків-нерезидентів, відкритих в комерційному банку згідно Положенню НБУ “ Про відкриття коррахунків банків - резидентів /нерезидентів в іноземній валюті та гривнях в банках України”.
Строкові вклади(депозити) – це кошти, що розміщені у банку на певний строк і можуть бути знятими після закінчення цього терміну або після поперед-нього повідомлення банку за встановлений період(як правило не менше 1 місяця по окремій статті депозитного договору). Вилучення строкових вкладів відбувається шляхом переказу грошей на поточний рахунок або видачею готівки через касу банка. Строкові вклади є для банків кращим видом депозитів, оскільки вони стабільні і зручні у банківському плануванні активних операцій банків. За ними сплачується високий депозитний процент, рівень якого диференцюється залежно від терміну, виду внеску, періоду повідомлення про вилучення, загальної динаміки ставок грошового ринку та інших умов.
Однією формою строкових вкладів , які , як правило, не передбачають дострокового вилучення коштів вкладником є депозитні та ощадні сертифікати.
1.2 Інструментарій і показники ефективності управління залученими коштами банку
До депозитів (залучених коштів) банку належать залишки коштів на по-точних, бюджетних і розрахункових рахунках клієнтів, ощадні та строкові вкла-ди фізичних і юридичних осіб, вклади до запитання, різні види депозитних ра-хункі в, таких як умовні, заставні, брокерські, цільові депозити, депозити в іно-земній валюті, а також кошти на кореспондентських рахунках інших банків (лоро-рахунки). Усі ці джерела коштів поділяються на дві групи: трансакційні та ощадні депозити. Ознакою трансакційних депозитів є право клієнта на пере-каз грошей в іншу банківську установу та використання цього права на регу-лярній основі. Тому трансакційні депозити є найбільш рухливою частиною банківських пасивів. Ощадні депозити не мають цієї ознаки, вони стійкіші як джерела фінансування, але їх залучення коштує банку більше (відсоткова ставка).
Для забезпечення бажаної структури, обсягів і рівня витрат за депозитни-ми зобов'язаннями менеджмент використовує різні методи залучення коштів, які загалом зводяться до двох груп: цінові та нецінові методи управління залу-ченими коштами.
Сутність цінових методів полягає у використанні відсоткової ставки за депозитами як головного важеля в конкурентній боротьбі за вільні грошові кошти фізичних і юридичних осіб. Підвищення пропонованої банком ставки дає змогу залучити додаткові ресурси. І навпаки, банк, перенасичений ресурса-ми, але обмежений небагатьма прибутковими напрямами їх розміщення, збері-гає або навіть зменшує депозитні ставки.
Обсяги залучення заощаджень у банківську систему суттєво залежать від цінової політики банків, основним інструментом якої є депозитна ставка. Банки встановлюють диференційовані ставки залежно від виду депозитного рахунку, строку розміщення коштів на депозиті та суми вкладу. Ціноутворення за депо-зитними зобов'язаннями банку базується на аналізі співвідношення між депо-зитною ставкою, яка відображає ринкову вартість залучення коштів, і витратами банку, пов'язаними з обслуговуванням кожного виду депозитних рахунків. Якщо операційні витрати банку за рахунком чималі, наприклад, для розрахункових рахунків клієнтів, то ставка буде низькою або взагалі відсотки не виплачуватимуться. Покриття витрат з обслуговування депозиту банк най-частіше перекладає на клієнта, стягуючи фіксовану комісійну винагороду або встановлюючи вартість проведення кожної операції за рахунком, і водночас виплачує відсотки за залишок коштів на клієнтському рахунку.
На рівень депозитної ставки впливає багато чинників, зокрема такі, як попит і пропозиція грошових коштів на ринку, попит на кредити, норми обов'-язкових резервів за зобов'язаннями банку, обов'язкові вимоги НБУ щодо спів-відношення вкладів фізичних осіб і регулятивного капіталу банку, структура та умови вкладу, правила обліку і оподаткування доходів, завищений рівень від-соткових ставок інсайдерам банку, рівень конкуренції, демпінгова політика ок-ремих банків, які тільки виходять на ринок і прагнуть будь-якою ціною завою-вати свою нішу, необгрунтовано підвищуючи депозитні ставки.
Під час визначення рівня депозитної ставки менеджменту банку потрібно пам'ятати, що ціна ресурсів трансформується в ціну кредиту, яка, своєю чер-гою, відображається в цінах на товари і послуги, кінцевим споживачем яких залишається населення. Відтак необгрунтоване завищення депозитних ставок має негативні наслідки для всього суспільства.
В основу формування депозитних ставок покладено визначення базової ринкової ставки, яка показує той мінімальний рівень дохідності, що задоволь-нить інвестора у разі вкладення власних коштів у конкретний банк. Отже, на рівень базової депозитної ставки впливають такі основні чинники:
- реальні темпи економічного зростання в країні;
- очікуваний рівень інфляції впродовж періоду вкладання коштів;
- ризик неповернення коштів, що пов'язується з конкретною банківською установою.
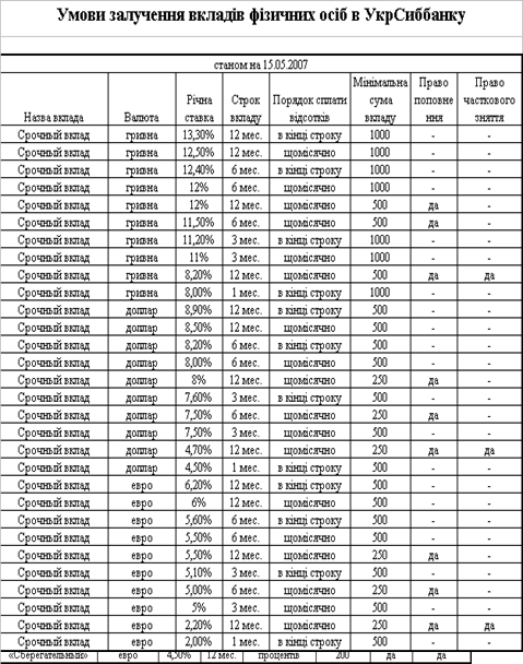
В табл.1.1 – 1.2 наведені умови залучення вкладів в 6 банках м.Києва.
Таблиця 1.1
![]() |
![]() |
Таблиця 1.2
![]() |
Таблиця 1.3
Таблиця 1.4
![]() |

Таблиця 1.5
За своїм економічним змістом відсоткова ставка – це ринкова ціна (вар-тість) грошей, яка відображає альтернативні варіанти їх розміщення та ризики. Депозитна ставка є платою власникові тимчасово вільних грошових коштів за їх використання впродовж певного періоду часу і має компенсувати упущені можливості за інших напрямів їх розміщення.
Аналіз даних табл.1.1 – 1.6 показує, що на сучасному етапі розвитку банківської системи України застосовується набор управління параметрами поточних та строкових депозитів, наведений в табл.1.7 – 1.9, який доповнює основний ціновий параметр – відсоткову ставку депозиту в залежності від валюти вкладу - строком депозиту, умовами сплати відсотків, мінімальної суми депозиту, умовами права на часткове поповнення та зняття суми вкладу.
Таблиця 1.7 Інструменти банку з управління строковими залученими коштами юридичних та фізичних осіб [ ]
| Вид інструмента |
Управляємі параметри, застосовуємі інструментом |
| Лімітування суми залучених коштів |
Мінімальна сума депозиту |
| Мінімальна сума довкладень |
|
| Мінімальна сума часткового зменшення депозиту |
|
| Управління строками депозитів |
Строк депозита по договору |
| Можливість автоматичної пролонгації строку договору |
|
| Строк до кінця дії депозитного договору, після якого поповнення депозитного рахунку припиняється |
|
| Строк повідомлення банку про дострокове повернення грошових коштів на вимогу клієнта |
|
| Управління процентною ставкою |
Вид процентної ставки: фіксована чи плаваюча процентна ставка |
| Спосіб нарахування процентів(прості чи складні) |
|
| Розмір процентної ставки за договором |
|
| Розмір процентної ставки у разі дострокового розірвання договору клієнтом |
|
| Управління періодичністю сплати процентів |
Авансова сплата |
| Періодична (щомісячна, шоквартальна, річна) |
|
| Сплата по закінченню договору |
Таблиця 1.8 Інструменти банку з управління залученими коштами на вимогу (поточні рахунки) юридичних та фізичних осіб [ ]
| Вид інструмента управління |
Управляємі параметри, застосовуємі інструментом |
| Лімітування суми залучених коштів |
Мінімальний незнімаємий залишок суми на рахунку |
| Управління процентною ставкою |
Вид процентної ставки: фіксована чи плаваюча процентна ставка |
| Спосіб нарахування процентів(прості чи складні) |
|
| Розмір процентної ставки за договором |
|
| Управління періодичністю сплати процентів |
Періодична (щомісячна, шоквартальна, річна) |
Таблиця 1.9 Інструменти банку з управління залученими коштами на вимогу (карткові рахунки) юридичних та фізичних осіб [ ]
| Вид інструмента управління |
Управляємі параметри, застосовуємі інструментом |
| Лімітування суми залучених коштів |
Максимальна сума зняття коштів з рахунку за 1 день |
| Управління процентною ставкою |
Вид процентної ставки: фіксована чи плаваюча процентна ставка |
| Спосіб нарахування процентів(прості чи складні) |
|
| Розмір процентної ставки за договором |
|
| Управління періодичністю сплати процентів |
Періодична (щомісячна, шоквартальна, річна) |
| Ліміт транзакцій |
Максимальна кількість трансакцій за 1 день |
Банки, які не мають на ринку репутації надійних і стабільних установ, змушені для залучення клієнтів пропонувати високі депозитні ставки. У такому разі менеджмент банку повинен точно знати напрями та обсяги можливого роз-міщення ресурсів та їх дохідність. Підвищення депозитної ставки за відсутності високодохідних напрямів розміщення залучених ресурсів може призвести до появи від'ємного спреду, а отже, збиткової діяльності банку.
В умовах загострення конкурентної боротьби в банківській сфері менед-жмент велику увагу приділяє саме неціновим методам управління, оскільки підвищення депозитних ставок має обмеження і не завжди такий метод управ-ління можна застосовувати.
До нецінових методів управління депозитами належать реклама, поліпшений рівень обслуговування; розширення спектра пропонованих банком рахунків і послуг, комплексне обслуговування, додаткові види безкоштовних послуг, розташування філій у місцях, максимально наближених до клієнтів, пристосування графіка роботи до потреб клієнтів та ін. У боротьбі за клієнтів банки вдаються до таких прийомів, як проведення лотереї серед клієнтів, безкоштовне розсилання витягів з рахунків, відкриття депозитів новона-родженим як подарунок від банку, обладнання безкоштовних автомобільних стоянок біля банку, розташування банкоматів у громадських місцях, проведен-ня безготівкових розрахунків за допомогою пластикових карток, надсилання клієнтам привітань і подарунків до свят від імені керівництва банку та ін.
Нецінові методи управління базуються на маркетингових дослідженнях того сектора ринку, який обслуговується банком, вивченні потреб клієнтури, розробці нових фінансових інструментів та операцій, що пропонуються клієн-там. У цілому застосування нецінових методів потребує деяких (іноді чималих) витрат. Тому, обираючи метод управління залученими коштами, менеджмент банку має порівняти витрати, пов'язані з підвищенням депозитної ставки, та витрати, які супроводжуватимуть впровадження нецінових прийомів. На прак-тиці ці методи застосовують паралельно.
Основним інтегральним показником ефективності процесу управління залученими коштами є чистий процентний спред, тобто різниця сум отриманих процентів за розміщення залучених коштів в процентні кредити, віднесених до сум кредитів, та сум сплачених процентів за залучення поточних та строкових депозитів, віднесених до сум залучених депозитів.
Чистий процентний спред - визначає здатність банку приносити прибуток у вигляді його доходу від процентної різниці підпроцентних активів та залуче-них коштів.
Другим основним показником ефективності управління залученими коштами є рівень обов’язкового резервування залучених коштів на кореспондентському рахунку банку в НБУ, який знижує частку залучених коштів, що можуть бути розміщені комерційним банком в активні операції, тобто частка розміщених коштів повинна дати процентний дохід, якій покриє витрати на залучення усієї суми залучених коштів, та ще й дати прибуток. Підвищення норм обов’язкового резервування для різних строків та валют приводить до змін в політиці комерційного банку по залученню коштів з боку мінімізації недоходних обов’язкових резервів, а також відповідному підняттю ставок активних операцій по кредитуванню (розміщенню залучених коштів).
В таблиці 1.10 наведена динаміка встановлення Національним банком нормативів обов’язкового резервування окремих агрегатів залучених банками коштів у 1998-2006 роках.
Як показує, аналіз даних табл.1.10, регулююча політика НБУ на сучасно-му етапі робить вигідним залучення строкових коштів юридичних та фізичних осіб, оскільки рівень обов’язкового резервування за цими видами залучених ре-сурсів знизився з 6,0% на початок 2006 року до 0,5% на кінець 2006 року та у 2007 році. Одночасно НБУ суттєво знизив рівень обов’язкового резервування за поточними коштами юридичних та фізичних осіб в національній валюті з рівня 8% на початок 2006 року до 1% на кінець 2006 року та на протязі 2007 року. Та-ким чином, НБУ у кінці 2006 - на протязі 2007 року мінімізував вплив зовніш-нього страхового інструменту обов’язкового резервування залучених коштів.
Таблиця 1.10 Динаміка ставок обов‘язкового резервування залучених коштів комерційними банками з 1998 по 2006 роки
| Дата вста-новлення НБУ |
Загаль-на ставка на всі залу-чені кошти |
Індивідуальна ставка на Кошти до запитання |
Індивідуальна ставка на Короткострокові кошти та депозити |
Індивідуальна ставка на Довгострокові кошти та депозити |
|||
| Нац. Валюта |
Іноз. Валюта |
Нац. Валюта |
Іноземн. Валюта |
Нац. Валюта |
Іноземн. Валюта |
||
| 10.10.2006 |
1% |
5% |
0,5% |
0,5% |
0,5% |
0,5% |
|
| 01.08.2006 |
3% |
5% |
2% |
3% |
2% |
3% |
|
| 10.05.2006 |
6% |
6% |
4% |
4% |
4% |
4% |
|
| 10.08.2005 |
8% |
8% |
6% |
6% |
6% |
6% |
|
| 25.12.2004 |
7% |
7% |
6% |
6% |
6% |
6% |
|
| 09.11. 2004 |
8% |
8% |
7 % (ЮО) 14 % (ФО) |
3 % (ЮО) 5 % (ФО) |
8% (ЮО) 16 % (ФО) |
5 % (ЮО) 7 % (ФО) |
|
| 01.10. 2004 |
8% |
8% |
7% |
7% |
7% |
7% |
|
| 20.08. 2004 |
8% |
12% |
6% (ЮО) 2% (ФО) |
10% |
0 % |
8% |
|
| 8.07.2002 |
10% |
12% |
6% (ЮО) 2% (ФО) |
10% |
0% |
8% |
|
| 10.04.2002 |
14% |
14% |
6% (ЮО) 2% (ФО) |
12% |
0% |
10% |
|
| 01.03.2002 |
14% |
14% |
6% (ФО) |
12% |
4% (ЮО) 2% (ФО) |
6% (ЮО 10% (ФО |
|
| 10.12.2001 |
14% |
14% |
12% (ЮО) 10% (ФО) |
12% (ЮО) 12% (ФО) |
8% (ЮО) 10% (ФО) |
6% (ЮО 10% (ФО |
|
| 15.04.2001 |
15% |
15% |
11% (ЮО) 9% (ФО) |
15% |
15% |
15% |
|
| 15.04.2000 |
15% |
15% |
15% |
15% |
15% |
15% |
15% |
| 01.02.2000 |
16% |
16% |
16% |
16% |
16% |
16% |
16% |
| 01.02.1999 |
17% |
17% |
17% |
17% |
17% |
17% |
17% |
| 01.09.1998 |
16,5 % |
16,5% |
16,5% |
16,5% |
16,5% |
16,5% |
16,5% |
| 01.01.1998 |
15% |
15% |
15% |
15% |
15% |
15% |
15% |
1 ЮО — юридичні особи; ФО — фізичні особи
РОЗДІЛ 2. ДІАГНОСТИКА СИСТЕМИ УПРАВЛІННЯ ЗАЛУЧЕНИМИ КОШТАМИ БАНКУ ТОВ БАНК “ФІНАНСИ ТА КРЕДИТ”
2.1 Загальна оцінка потенціалу банку щодо залучення коштів
За станом на 1 січня 2007 року ліцензію Національного банку на здійснення банківських операцій в Україні мали 170 банків, у тому числі: 135 банків (79,4 % від загальної кількості діючих банків) - акціонерні товариства (з них: 91 банк (53,5%) - відкриті акціонерні товариства, 44 банки (25,9%) - закриті акціонерні товариства), 35 банків (20,6%) - товариства з обмеженою відповідальністю [81].
У 2006 року капітал (балансовий) банків збільшився на 70,0 % і за станом на 01.01.2007 р. становить 43,3 млрд.грн.
За 2006 рік зобов’язання банків України збільшилися на 57,7% або на 108,7 млрд.грн. і на 01.01.2007 становили 297,2 млрд.грн., в т.ч. нерезиденти – 23,7 % від зобов’язань.
Збільшення зобов`язань банків відбулось, в основному, за рахунок строкових вкладів (депозитів) інших банків та кредитів, що отримані від інших банків – на 40,2 млрд.грн. або в 2,5 разів, збільшення коштів фізичних осіб - на 33,5 млрд.грн. або на 46,2 %, коштів суб’єктів господарювання – на 15,7 млрд.грн. або на 25,6%, кредитів, що отримані від міжнародних та інших фінансових організацій – на 4,8 млрд.грн. або в 2,4 рази, коррахунків інших банків – на 3,7 млрд.грн. або в 2 рази, цінних паперів власного боргу – на 3,3 млрд.грн. або в 2,2 рази, субординованого боргу - на 2,1 млрд.грн. або на 83,0%.
Зобов`язання банків мають таку структуру. Кошти Національного банку України складають 0,5 % від загальної суми зобов’язань; коррахунки інших банків – 2,5%; строкові вклади (депозити) інших банків та кредити, що отримані від інших банків – 22,8%; кошти суб’єктів господарювання – 25,9 %; кошти фізичних осіб – 35,7 %; кошти небанківських фінансових установ – 2,5 %; кошти бюджету та позабюджетних фондів – 0,6 %; кредити, що отримані від міжнародних та інших фінансових організацій – 2,8%, цінні папери власного боргу – 2,1 %; субординований борг – 1,6 %; інші зобов`язання – 3,0%.
Банки мають таку структуру коштів населення з точки зору строковості. Строкові кошти складають 81,8 млрд.грн. або 77,2 % від загальної суми вкладів, а кошти до запитання – 24,2 млрд.грн. або 22,8 %. Кошти в національній валюті складають 53,8% від загальної суми коштів фізичних осіб.
Згідно рішення комісії НБУ з питань нагляду та регулювання діяльності банків [19], визначено такі граничні межі розміру активів для окремих груп банків банківської системи України на 2007 рік:
- група I: більше 5000 млн. грн.;
- група II: більше 2000 млн. грн.;
- група III: більше 700 млн. грн.;
- група IV: менше 700 млн. грн.
Таблиця 2.1 Групування банків на 2007 рік за розміром активів за станом на 01.12.2006 [19] (тис. грн.)
| N з/п |
Назва банку |
Активи |
| Група 1. |
||
| 1 |
ПРИВАТБАНК |
31 556 790 |
| 2 |
РАЙФФАЙЗЕН БАНК АВАЛЬ (бувший АППБ “АВАЛЬ”) |
26 174 268 |
| 3 |
УКРСИББАНК |
21 118 102 |
| 4 |
ПРОМІНВЕСТБАНК |
17 498 664 |
| 5 |
УКРЕКСІМБАНК |
17 358 945 |
| 6 |
УКРСОЦБАНК |
15 701 129 |
| 7 |
ОТП БАНК ( бувший РАЙФФАЙЗЕНБАНК УКРАЇНА) |
10 668 667 |
| 8 |
ОЩАДБАНК |
10 472 989 |
| 9 |
"НАДРА" |
9 654 333 |
| 10 |
"ФІНАНСИ ТА КРЕДИТ" |
6 950 295 |
| 11 |
КРЕДИТПРОМБАНК |
6 687 150 |
| 12 |
"ФОРУМ" |
6 581 898 |
| 13 |
БРОКБІЗНЕСБАНК |
6 431 775 |
| 14 |
УКРПРОМБАНК |
6 176 224 |
| 15 |
ПЕРШИЙ УКР. МІЖНАРОДНИЙ БАНК |
5 631 563 |
| кількість: 15 |
Аналізуємий в дипломному проекті Банк "Фінанси та Кредит" зареєстро-вано 19 липня 1990 року [83] як Комерційний Банк "Український комерційний банк ділової співпраці", з 13 жовтня 1995 року перереєстровано як Комерцій-ний Банк "Фінанси та Кредит". У грудні 2002 року згідно з Законом "Про банки і банківську діяльність" до Статуту Банку було внесено зміни: Банк зареєстро-вано як Банк "Фінанси та Кредит", ТОВ. Аудитор Банку – KPMG.
Членство у міжбанківських об'єднаннях, біржах, асоціаціях і міжнарод-них організаціях:
- Українська міжбанківська валютна біржа (УМВБ)
- Українська Фондова Біржа (УФБ)
- Асоціація Українських Банків (АУБ)
- Позабіржова Фондова Торгівельна Система (ПФТС)
- Київський Банківський Союз (КБС)
- Фонд гарантування вкладів фізичних осіб
- VISA International (Принциповий член)
- MasterCard International (Принциповий член)
- Western Union (Прямий агент компанії)
- МБРР (Банк-агент з обслуговування кредитних ліній, гарантованих Кабінетом Міністрів України)
- Професійна асоціація реєстраторів та депозитаріїв (ПАРД)
Кореспондентський рахунок у грн. № 32001170801 у Головному управ-лінні НБУ по м. Києву та Київській області. Кореспондентський рахунок у дол. США - Citibank, New York, Кореспондентський рахунок у євро - Сitibank, Frankfurt/Main, МФО: 300131, Код ЄГПОУ: 09807856
Ліцензії та дозволи, які має Банк:
- Банківська ліцензія № 28 від 20.01.2003 р.
- Ліцензія ДКЦПФР АБ № 113408 от 27.10.2004 р. на здійснення діяльності з випуску та обігу цінних паперів
- Ліцензія ДКЦПФР АБ № 113408 от 27.10.2004 р. на право виконання професійної депозитарної діяльності зберігача цінних паперів
Банком "Фінанси та Кредит" емітовано понад 350 тис. платіжних карток міжнародних платіжних систем "VISA" і "MasterCard". Банк має ліцензії на торгівельний еквайринг за картками міжнародних платіжних систем і станом на 01.10.2006 року надає послуги еквайрингу 1601 торгівельній точці на базі власного процесингового центру, що працює з 1997 року. До інфраструктури карткового бізнесу Банку входить 245 банкоматів, понад 1300 POS-терміналів і 302 пункти видачі готівки.
За станом на 01.10.2006 року система Банку "Фінанси та Кредит" вклю-чає 16 філій і 233 безбалансових відділення по всій Україні.
24 листопада 2006 року кошти від розміщення євробондів були отримані Банком "Фінанси та Кредит" у повному обсязі. Доходність дебютного випуску єврооблігацій Банку "Фінанси та Кредит" було втановлено на рівні 10, 375 % річних з погашенням у січні 2010 року. Це найбільш тривалий термін для де-бютних облігацій, випущених недержавними банками України (3,2 роки). Лід- менеджерами розміщення виступили Deutsche Bank, UBS Investment Bank і VTB Europe (no books).
15 грудня 2006 року відбулися збори учасників Банку "Фінанси та Кре-дит" на яких було прийнято рішення про реорганізацію Банку. Банк "Фінан-си та Кредит", який наразі зареєстрований у формі товариства з обмеженою відповідальністю (ТОВ), буде реорганізований у відкрите акціонерне товарист-во (ВАТ) - прості іменні акції номіналу 0,5 грн., загальна сума емісії при цьому становитиме 519 000 062,5 грн.
На даний момент учасниками Банку є: ЗАТ "F&C Realty"(48,95%), ТОВ "Асканія"(48,6%), Національна акціонерна компанія "Нафтогаз України" (2,44%), Центральне правління Українського товариства глухих (УТОГ) (0,003%).
В таблицях Додатку Г наведені основні характеристики балансу та звітів про фінансові результати БАНК “Фінанси та Кредит” у 2004 –2007 роках.. На рис.2.1 – 2.5 наведені графіки динаміки характеристик банку у 2003 –2007 роках [82].

Рис.2.1. – Динаміка прибутковості статутного капіталу та активів в БАНК “Фінанси та кредит” за 2004 – 2007 роки
![]() |
Рис.2.2. – Динаміка росту активів, залучених коштів та власного капіталу в БАНК “Фінанси та кредит” за 2003 – 2007 роки
Рис.2.3. – Динаміка рівня відношення залучених коштів до власного
![]() |
капіталу в БАНК “Фінанси та кредит” у 2003 –2007 роках
![]() |
Рис.2.4. – Порівняльні показники відношення залучених коштів до власного капіталу в найбільших банках України станом на 01.04.2007 року
![]() |
Рис.2.5. – Положення БАНК “Фінанси та Кредит” на ринку залучених коштів в банківській системі України станом на 01.04.2007 року
Як показують наведені на рис.2.3 - 2.4. порівняльні показники відношен-ня залучених коштів до власного капіталу в найбільших банках України станом на 01.04.2007 року, цей показник для БАНК “Фінанси та Кредит” дорівнює 5,8, при рівні показника у лідера АКБ “Приватбанк” – 6,4 та максимальному значен-ні до 7,0. Таким чином, потенціал банку для залучення коштів використано у високому ступені.
Як показують результати аналізу, наведені на графіках рис. 2.5 БАНК “Фінанси та Кредит” станом на 01.04.2007 року займає 9-те місце в банківській системі України по обсягам залучених коштів юридичних та фізичих осіб, при цьому ці обсяги в 5 разів менші, ніж у лідера БС України – АКБ “Приватбанк”.
2.2 Аналіз залучених коштів
Динаміка обсягів та структури залучених коштів в БАНК “Фінанси та кредит” у 2003 –2007 роках характеризується графіками, наведеними на рис.2.1 – 2.2. Як показує аналіз наведених графіків, темп зростання залучених коштів фізичних та юридичних осіб в БАНК “Фінанси та Кредит” за 2005 – 2007 роки характеризується:
а) 2005 рік:
- зростання поточних коштів фізичних осіб на 80,10 %
- зростання строкових коштів фізичних осіб на 100,18 %
- зростання поточних коштів юридичних осіб на 38,92 %
- зростання строкових коштів юридичних осіб на 150,37 %
б) 2006 рік:
- зростання поточних коштів фізичних осіб на 75,49 %
- зростання строкових коштів фізичних осіб на 74,87 %
- зростання поточних коштів юридичних осіб на 51,17 %
- зростання строкових коштів юридичних осіб на 34,17 %
в) 2007 рік (приведення темпів 1 кварталу до річної норми):
- зростання поточних коштів фізичних осіб на 104,56 %
- зростання строкових коштів фізичних осіб на 22,44 %
- зростання поточних коштів юридичних осіб на 56,76 %
- зростання строкових коштів юридичних осіб на 56,83 %
Таким чином, у 2007 році майже в 3 рази знизився темп нарощення строкових депозитів фізичних осіб, але на 25% підвищився темп нарощення поточних депозитів фізичних осіб за рахунок розширення карткових платіжних систем та на 75% підвищився темп зростання строкових депозитів юридичних осіб.
На рис.2.3 – 2.8 наведені результати структурного аналізу часток залуче-них коштів та власного капіталу в БАНК “Фінанси та Кредит” у 2003 – 2007 роках.

Рис.2.1. – Динаміка загального обсягу та окремих видів залучених коштів в БАНК “Фінанси та кредит” у 2003 –2007 роках
![]() |
Рис.2.2. – Динаміка обсягів окремих видів залучених коштів в БАНК “Фінанси та кредит” у 2003 –2007 роках
![]() |
Рис.2.3. – Структура залучених коштів в БАНК “Фінанси та кредит” станом на 31.12.2003 року
![]() |
Рис.2.4. – Структура залучених коштів в БАНК “Фінанси та кредит” станом на 31.12.2004 року
Рис.2.5. – Структура залучених коштів в БАНК “Фінанси та кредит” станом на 31.12.2005 року
Як показує аналіз графіків рис.2.3 – 2.7 результати структурного аналізу часток залучених коштів та власного капіталу в БАНК “Фінанси та Кредит” у 2003 – 2007 роках свідчать про наступну політику формування залучених коштів менеджментом банку:
а) Частка поточних коштів фізичних осіб є практично стабільною на протязі 4-х років:
31.12. 2003 - 3,43 %; 31.12. 2004 - 2,56 %; 31.12. 2005 - 2,78 %;
31.12. 2006 - 3,11 %; 01.04. 2007 - 3,47 %
б) Частка строкових коштів фізичних осіб поступово підвищується у 2003 – 2006 роках, а у 2007 році ідентифікується тенденція до зниження частки залучених строкових коштів фізосіб:
31.12. 2003 - 44,64 %; 31.12. 2004 - 43,54 %; 31.12. 2005 - 45,55 %;
31.12. 2006 - 50,83 %; 01.04. 2007 - 47,54 %
![]() |
![]() |
Рис.2.8. – Структура залучених коштів в БАНК “Фінанси та кредит” станом на 31.12.2006 року
Рис.2.7. – Структура залучених коштів в БАНК “Фінанси та кредит” станом на 01.04.2007 року
в) Частка поточних коштів юридичних осіб знизилась у 2003 –2006 роках майже в 2,2 рази та у 2007 році має тенденцію до поступового росту:
31.12. 2003 - 21,33 %; 31.12. 2004 - 17,97 %; 31.12. 2005 - 9,90 %
31.12. 2006 - 9,55 %; 01.04. 2007 - 9,66 %
г) Частка строкових коштів юридичних осіб зросла майже на 50% у 2003 – 2005 роках, та , знизившись, практично стабілізувалась у 2006 –2007 роках:
31.12. 2003 - 17,65 %; 31.12. 2004 - 21,33 %; 31.12. 2005 - 28,41 %
31.12. 2006 - 24,33 %;01.04. 2007 - 24,60 %
д) Частка власного капіталу регулюється менеджментом банку в достатньо вузькому діапазоні та у 2007 році має тенденцію до підвищення, яке , напевне, буде знижено за рахунок випереджаючого нарощення депозитного портфелю:
31.12. 2003 - 12,95 %; 31.12. 2004 - 10,60 %; 31.12. 2005 - 13,77 %;
31.12. 2006 - 12,19 %; 01.04. 2007 - 14,73 %
На рис.Д.1 –Д.9 Додатку Д наведена порівняльна динаміка та структура залучених коштів у 2003 – 2006 роках у найбільших банках 1 групи рейтингу НБУ – “Приватбанк”, “Укрсоцбанк”, “Укрексімбанк”. Порівняльний аналіз структури залучених коштів у цих банках та досліджуємому БАНК “Фінанси та Кредит” показує, що кожний банк дотримується своєї стратегії залучення коштів (рис.Д.4 –Д.9):
- від стратегії випереджаючого залучення виключно строкових коштів фізичних осіб в АКБ “Приватбанк”(рис.Д.1), характерній також і для БАНК “Фінанси та кредит” (стратегія ощадного банку),
- до стратегії зрівноваження часток залучених поточних коштів юридичних осіб та строкових депозитів фізичних і юридичних осіб в АКБ “Укрексімбанк” (рис.Д.3) та АКБ “Укрсоцбанк”(рис.Д.2).
2.3 Організаційне, методичне і програмне забезпечення управління залученими коштами банку
Зовнішня інформація з управління зобов'язаннями пов'язана зі станом міжнародного і внутрішнього фінансового ринку, ринку нерухомості, змінами податкового законодавства, станом банків-контрагентів, станом бізнесу в галузях, де працюють клієнти банку.
Внутрішню інформацію банку треба розглядати за її джерелами та періодичністю (табл. 2.5).
Таблиця 2.2 Класифікація внутрішньої інформації з управління зобов'язаннями банку
| Періодичність |
Джерело інформації |
| Статистична звітність |
|
| Щоденна |
Звіт про суми І процентні ставки за депозитами |
| Щодекадна |
Звіт про структуру активів і пасивів за строками |
| Щомісячна |
Звіт про дотримання економічних нормативів |
| Звіт про двадцять найбільших кредиторів банку |
|
| Звіт про зобов'язання за залученими коштами (класріфікація за секторами економіки) |
|
| Звіт про зобов'язання за залученими коштами (за класифікаціями контрагентів і рахунків) |
|
| Довідка про залучені кошти та стан перерахування коштів обов'язко-вих резервів на окремий рахунок у Національному банку України |
|
| Фінансова звітність |
|
| Щоденна |
Баланс банку |
| Оборотно-сальдова відомість |
|
| Щомісячна |
Баланс банку |
| Оборотно-сальдовий баланс банку |
|
| Щоквартальна |
Баланс у складі квартального фінансового звіту |
| Звіт про фінансові результати |
|
| Щорічна |
Баланс у складі річного фінансового звіту |
| Звіт про рух грошових коштів |
|
| Звіт про фінансові результати |
|
Управління зобов'язаннями банку здійснюється Правлінням банку, КУАП, Казначейством, функціональними підрозділами з вкладних операцій, аналізу, планування, звітності. Розподіл функцій і повноважень з управління зобов'язаннями відрізняється за банками і залежить від типу його організаційної структури, кількості рівнів управління у банку, ступеня централізації прийняття рішень щодо пасивних операцій. У документованій формі розподіл функцій і повноважень передбачається внутрішніми регламентами банку і повинен забезпечити виконання всіх завдань з управління зобов'язаннями банку:.
- Встановлення завдань щодо залучення коштів клієнтів
- Контроль за виконанням завдань щодо залучення коштів
- Встановлення процентних ставок за депозитами клієнтів
- Методика планування залучення коштів
- Методика розрахунку процентної ставки за депозитами
- Облік операцій за депозитами
- Аналіз залучених коштів
- Статистична звітність
- Управлінська звітність
Методичне забезпечення банку з управління зобов'язаннями охоплює політики банку, внутрішні нормативні документи стосовно аналітичного обліку, форм управлінської звітності, ризик-менеджменту, планування, здійснення депозитних операцій з клієнтами та банками, методики з планування і аналізу грошових потоків зі зобов'язань банку (табл. 2.3).
Таблиця 2.3 Групи і види методичного забезпечення банку з управління зобов'язаннями банку
| Групи методичного забезпечення |
Види методичного забезпечення |
| Загальні для всіх зобов'язань |
|
| 3 політик |
Депозитна політика |
| Облікова політика |
|
| 3 обліку |
План аналітичних рахунків |
| Зі звітності |
Форми управлінської звітності |
| 3 ризик-менеджменту |
Положення щодо управління ризиком незбалансованої ліквідності |
| 3 планування |
Методичні рекомендації зі складання бізнес-плану розвитку банку на рік |
| Стосовно залучених коштів |
|
| Зі здійснення депозитних операцій з клієнтами |
Положення про депозитні операції юридичних осіб у національній та іноземній валютах у системі банку |
| Правила здійснення установами банку операцій по вкладах населення |
|
| Правила випуску депозитних сертифікатів банку |
|
| Зі встановлення процентних ставок за депозитами |
Методи ціноутворення на депозити банку |
| 3 вивчення та управління грошовими потоками |
Методичні рекомендації з вивчення та управління грошовими потоками |
Управління залученими коштами в БАНК “Фінанси та кредит” методично входить до загального процесу управління ризиками в Банку – який є безперервним і охоплює всі структурні рівні, від управлінського (Комітет з ризиків при Спостережній Раді і Правлінні Банку) до рівня, на якому безпосередньо виникають ризики.
Організаційно управлінням залученими коштами в банку “Фінанси та кредит” займається Правління Банку, Кредитний комітет і Комітет з управління активами і пасивами є вищими колегіальними, оперативними і виконавчими органами Банку, та несуть відповідальність за організацію і реалізацію процесу управління доходністю та фінансовою стійкістю в Банку.
В результаті реорганізації структури Банку за участю консультантів Про-екту Реформування банківського сектору України TACIS в 2005 році в Банку "Фінанси та Кредит" було створено незалежний від бізнес-підрозділів Департа-мент ризик-менеджменту [83].
Правління Банку взаємодіє зі Спостережною Радою з питань ризик-мене-джменту, виходячи із загальноприйнятих принципів корпоративного управлін-ня.Взаємодія складається з двох частин - звітність і надання рекомендацій.
Залучені кошти банку мають наступні основні методологічні важелі контролю та управління:
- доступність до додаткового залучення та можливість підтримання необхідного рівня залучення;
- вартість залучених коштів, яка реалізується у вигляді ставок залучення;
- стабільність обсягів залучених коштів з точки зору конкурентності умов з іншими банками;
- процентна маржа використання залучених коштів, яка реалізується у вигляді кредитних ставок розміщення залучених коштів, конкурентних з точки зору середньоринкових ставок кредитування в банківській системі України.
В результаті несприятливого коливання на ринку відсоткових ставок Банк піддається відсотковому ризику, джерелом якого є дисбаланс активів і пасивів, чутливих до зміни відсоткових ставок за термінами погашення.
З метою зниження відсоткового ризику при управлінні залученими коштами Банк використовує комплексну систему управління ризиком, яка базується на:
- прогнозуванні тенденцій зміни відсоткових ставок;
- вивченні динаміки зміни спреду між ставками залучення і розміщення коштів;
- визначенні величини GAP-розриву між активами і пасивами, чутливими до зміни відсоткових ставок на різних часових проміжках;
- визначенні співвідношення активів і пасивів, чутливих до зміни відсоткових ставок і співвідношення GAP-розриву до чистих активів Банку;
- встановленні ліміту величини відсоткового ризику в капіталі Банку;
- здійсненні контролю за розривами між активами і пасивами, чутливими до зміни відсоткових ставок на щотижневій основі;
- здійсненні контролю за рівнем чистої відсоткової маржі;
- співвідношення величини відсоткового ризику з прибутком Банку;
- створенні стрес-моделей;
- проведенні зваженої відсоткової політики Банку, яка базується на формуванні відсоткових ставок за кредитами з урахуванням собівартості пасивів і рейтингу позичальника, ризику операції;
- щомісячному перегляді відсоткових ставок активних і пасивних опера-цій з урахуванням ринкової позиції банків-конкурентів;
- управлінні кривою прибутковості активів і пасивів за термінами погашення.
Результати оцінки та аналізу величини відсоткового ризику подаються на засідання Кредитного комітету і КУАП двічі на тиждень. КУАП ухвалює рі-шення про зміну відсоткової політики Банку і внутрішніх лімітів відсоткового ризику. Рішення про зміну рівня відсоткових ставок затверджуються КУАП і доводяться до всіх регіональних підрозділів відповідними наказами і розпоряд-женнями. КУАП здійснює постійний моніторинг і перегляд відсоткових ставок за видами валют, в розрізі термінів, видів продуктів (за активами і пасивами Банку).
Щоденний контроль відповідності фактичних відсоткових ставок, вста-новлених в Банку, здійснює служба бек-офісу Головного Банку. Контроль про-водиться в цілому по системі Банку.
Для підвищення "гнучкості" балансу по відношенню до відсоткового ризику в договорах з фіксованою ставкою (кредитних, депозитних) передбачена можливість перегляду відсоткових ставок, у разі значних коливань ставок на ринку або зміни облікової ставки.
Прийняті Комітетом управлінські рішення виконуються працівниками казначейства банку та інших структурних підрозділів з відповідних напрямів діяльності. Казначейство або департамент активних і пасивних операцій є ос-новним робочим підрозділом комерційного банку, який реалізує інтегрований підхід до управління фінансовими потоками банку та управлінські рішення КУАП.
2.4 Інструментарій з управління залученими коштами банку
Основним інструментом управління зобов'язаннями банку є депозитна ставка. В основу формування депозитних ставок покладено визначення рівня ринкових процентних ставок.
Рівень ринкових процентних ставок може бути визначений за формулою:
(2.1)
де k – рівень ринкової процентної ставки;
r - реальна процентна ставка процентів;
x – очікуваний рівень інфляції;
p - премія за ризик непогашених зобов’язань.
Реальна ставка залежить від попиту та пропозиції грошей. Реальна ставка процента та інфляційна премія разом визначають номінальний рівень вільного від ризику процента (i):
(2.2)
Застосовуємі інструменти управління залученими коштами в БАНК “Фінанси та кредит” та інших банках банківської системи України дають можливість структурувати основні сегменти залучених коштів як:
1. Ощадні депозити, основними признаками яких є:
- сплата відсотків в кінці строку договору депозиту чи авансом;
- відсутність права на довкладення коштів до вкладу на період договору;
- відсутність права на часткове зняття коштів вкладу на період договору;
2. Доходні депозити, основними признаками яких є:
- регулярна (щомісячна чи щоквартальна) сплата відсотків;
- відсутність права на довкладення коштів до вкладу на період договору;
- відсутність права на часткове зняття коштів вкладу на період договору;
3. Накопичувальні депозити, основними признаками яких є:
- умови як сплати відсотків в кінці строку так і регулярна (щомісячна чи щоквартальна) сплата відсотків;
- наявність права на довкладення коштів до вкладу на період договору;
- відсутність права на часткове зняття коштів вкладу на період договору;
4. Універсальні депозити, основними признаками яких є:
- умови як сплати відсотків в кінці строку так і регулярна (щомісячна чи щоквартальна) сплата відсотків;
- наявність права на довкладення коштів до вкладу на період договору;
- наявність права на часткове зняття коштів вкладу на період договору;
У вказаних 4-х сегментах додаткові умови строків сплати відсотків та наявність чи відсутність права управління основним “тілом” депозиту є основою для систематичного регулювання різниці в відсоткових ставках при рівних строках розміщення депозитів.
На рис.2.8 – 2.19 наведені результати оцінки конкурентоспроможності БАНК «Фінанси та кредит» у всіх сегментах ринку залучення депозитів фізичних осіб в Україні. Як показує аналіз даних рис. 2.8- 2.19 маркетингова політика пропозиції банківських послуг фізичним особам БАНК «Фінанси та кредит» характеризується відносно високим рівнем пропонуємих ставок депозитних ресурсів (вкладів населення) – ставки покупки ресурсів. В табл.2.3 наведені коефіцієнти конкурентоспроможності по привабливості ставок покупки ресурсів БАНК «Фінанси та кредит» відносно конкурентів, розраховані як:
а) Коефіцієнт конкурентної привабливості депозитних ставок:
(2.3)
де – ставка_макс(і) – максимальна ставка депозитів населення і-го виду;
Аналіз результатів, наведених в табл.2.3 та на рис.2.8 – 2.19, показує , що в сегменті ринку банківських послуг для фізичних осіб конкурентні коефіцієнти привабливості БАНК “Фінаси та кредит” в середньому становлять 89,725%, а діапазон коефіцієнтів для різних видів вкладів знаходиться серед значень 72,3% –100%, тобто:
- доходна ставка депозитів для фізосіб в банку знаходиться на першій позиції рейтингу, або в верхньому діапазоні рейтингу, тобто ставки депозитів привабливі для клієнтів, але залучені ресурси є відносно “дорогими”;
- банк застосовує середній рівень обмежувальних бар’єрів по мінімальній сумі вкладу відносно інших банків конкурентів, тобто є привабливим для кілєнтів, але з високою собівартістю обслуговування кожного депозиту, яка зростає із зниженням мінімальної суми депозиту.
Таким чином, проведений аналіз показав:
- конкурентні переваги на ринку послуг фізичним особам в БАНК “Фінанси та кредит” на сучасному етапі забезпечуються політикою максимальних ставок залучення депозитів;
- мінімальні ставки по депозитах БАНК “Фінанси та кредит” визначає тільки по євро, оскільки активний портфель банку в цій валюті є нерозвинутим;
- банк не приймає участі у деяких короткострокових діапазонах вкладів (універсальні на 6 місяців, накопичувальні на 3 місяці), у всіх інших діапазонах банк максимально використовує весь набір інструментів управління депозитами.
Таблиця 2.3 Коефіцієнти конкурентоспроможності БАНК «Фінанси та кредит» за рівнем привабливості депозитних послуг фізичним особам
| № з/п |
Назва банківської послуги |
Ставка чи сумарна ставка БАНК «Фінанси та кредит» |
Максимальна (для депо-зитів) ставка на ринку в характерному сегменті |
Коефіцієнт конкурент-тної приваб-ливості про-позицій БАНК «Фінанси та кредит» |
| 1. |
Ощадні вклади на 3 місяці (гривня) |
13,0% |
13,0% |
100,00% |
| 2. |
Ощадні вклади на 3 місяці (долар США) |
10,7% |
10,7% |
100,00% |
| 3. |
Ощадні вклади на 3 місяці (євро) |
6,0% |
11,0% |
54,55% |
| 4. |
Ощадні вклади на 6 місяців (гривня) |
14,0% |
14,1% |
99,29% |
| 5. |
Ощадні вклади на 6 місяців (долар США) |
11,0% |
11,0% |
100,00% |
| 6. |
Ощадні вклади на 6 місяців (євро) |
7,5% |
7,9% |
94,94% |
| 7. |
Ощадні вклади на 12 місяців (гривня) |
14,5% |
16,0% |
90,63% |
| 8. |
Ощадні вклади на 12 місяців (долар США) |
11,0% |
11,3% |
97,35% |
| 9. |
Ощадні вклади на 12 місяців (євро) |
8,5% |
9,5% |
89,47% |
| 10. |
Доходні вклади (зняття процентів, без по-повнення та зняття) на 3 місяці (гривн) |
13,0% |
16,0% |
81,25% |
| 11. |
Доходні вклади на 3 місяці (дол. США) |
10,7% |
11,2% |
95,54% |
| 12. |
Доходні вклади на 3 місяці (євро) |
6,0% |
8,3% |
72,29% |
| 13. |
Доходні вклади (зняття процентів, без по-повнення та зняття) на 6 місяців (гривн) |
13,5% |
14,8% |
91,22% |
| 14. |
Доходні вклади на 6 місяців (дол. США) |
10,5% |
10,5% |
100,00% |
| 15. |
Доходні вклади на 6 місяців (євро) |
7,0% |
8,5% |
82,35% |
| 16. |
Доходні вклади (зняття процентів, без по-повнення та зняття) на 12 місяців (гривн) |
14,0% |
16,0% |
87,50% |
| 17. |
Доходні вклади на 12 місяців (дол. США) |
10,5 |
12,0% |
87,50% |
| 18. |
Доходні вклади на 12 місяців (євро) |
8,0 |
9,7% |
82,47% |
| 19. |
Накопичувальні вклади(поповнення без права зняття сумм) на 3 місяці (гривня) |
- |
15,0% |
|
| 20. |
Накопичувальні вклади на 3 місяці (долар США) |
- |
10,0% |
|
| 21. |
Накопичувальні вклади на 3 місяці (євро) |
- |
7,5% |
|
| 22. |
Накопичувальні вклади(поповнення без права зняття сумм) на 6 місяців (гривня) |
13,5% |
14,7% |
91,84% |
| 23. |
Накопичувальні вклади на 6 місяців (долар США) |
10,5% |
11,0% |
95,45% |
| 24. |
Накопичувальні вклади на 6 місяців (євро) |
7,0% |
7,75% |
90,32% |
| 25. |
Накопичувальні вклади(поповнення без права зняття сумм) на 12 місяців (гривня) |
14,5% |
17,0% |
85,29% |
| 26. |
Накопичувальні вклади на 12 місяців (долар США) |
11,0% |
12,0% |
91,67% |
| 27. |
Накопичувальні вклади на 12 місяців (євро) |
8,5% |
10,0% |
85,00% |
| 28. |
Універсальні вклади(поповнення та зняття сум) на 6 місяців (гривня) |
- |
9,0% |
|
| 29. |
Універсальні вклади на 6 місяців (долар США) |
- |
6,5% |
|
| 30. |
Універсальні вклади на 6 місяців (євро) |
- |
5,0% |
|
| 31. |
Універсальні вклади(поповнення та зняття сум) на 12 місяців (гривня) |
11,0% |
11,0% |
100,00% |
| 32. |
Універсальні вклади на 12 місяців (долар США) |
7,0% |
7,5% |
93,33% |
| 33. |
Універсальні вклади на 12 місяців (євро) |
5,0% |
6,0% |
83,33% |
| 34. |
Середній показник послуг |
89,725% |
![]()
Рис.2.8 – Конкурентне позиціонування пропозицій БАНК “Фінанси@К” в сегменті ощадних строкових депозитів фізичних осіб в гривнях (% ставка депозиту)
Рис.2.9. – Конкурентне позиціонування пропозицій БАНК “Фінанси@К” в сегменті ощадних строкових депозитів фізичних осіб в гривнях (обмеження мінімальної суми депозиту в залежності від % ставка депозиту)
Рис.2.10. – Конкурентне позиціонування пропозицій БАНК “Фінанси@К” в сегменті ощадних строкових депозитів фізичних осіб в
доларах США (% ставка депозиту)
Рис.2.11. – Конкурентне позиціонування пропозицій БАНК “Фінанси@К” в сегменті ощадних строкових депозитів фізичних осіб в доларах США (обмеження мінімальної суми депозиту в залежності від % ставки депозиту)
Рис.2.12. – Конкурентне позиціонування пропозицій БАНК “Фінанси@К” в сегменті ощадних строкових депозитів фізичних осіб в євро

Рис.2.13. – Конкурентне позиціонування пропозицій БАНК “Фінанси@К” в сегменті ощадних строкових депозитів фізичних осіб євро (обмеження мінімальної суми депозиту в залежності від % ставка депозиту)
Рис.2.14. – Конкурентне позиціонування пропозицій БАНК “Фінанси@К” в сегменті доходних строкових депозитів фізичних осіб в гривнях (% ставка депозиту)


Рис.2.15. – Конкурентне позиціонування пропозицій БАНК “Фінанси@К” в сегменті доходних строкових депозитів фізичних осіб в гривнях (обмеження мінімальної суми депозиту в залежності від % ставка депозиту)
Рис.2.16. – Конкурентне позиціонування пропозицій БАНК “Фінанси@К” в сегменті доходних строкових депозитів фізичних осіб в доларах США (% ставка депозиту)
Рис.2.17. – Конкурентне позиціонування пропозицій БАНК “Фінанси@К” в сегменті доходних строкових депозитів фізичних осіб в доларах США (обмеження мінімальної суми депозиту в залежності від % ставки депозиту)
Рис.2.18. – Конкурентне позиціонування пропозицій БАНК “Фінанси@К” в сегменті доходних строкових депозитів фізичних осіб в євро (% ставка депозиту)
Рис.2.19. – Конкурентне позиціонування пропозицій БАНК “Фінанси@К” в сегменті доходних строкових депозитів фізичних осіб євро (обмеження мінімальної суми депозиту в залежності від % ставка депозиту)
РОЗДІЛ 3. УДОСКОНАЛЕННЯ ІНСТРУМЕНТАРІЮ З УПРАВЛІННЯ ЗАЛУЧЕНИМИ КОШТАМИ ТОВ БАНК “ФІНАНСИ ТА КРЕДИТ”
3.1 Світовий досвід з інтегрованого управління залученими коштами банку
Сучасний світовий банківський досвід показує, що внутрішнє управління залученими коштами з точки зору рентабельності, процентного ризику та ризику ліквідності відбувається за допомогою наступних інструментів [24]:
- встановлення GAP-розривів по активам та пасивам;
- управління рівнем процентної маржі;
- встановлення мінімально допустимих процентних ставок по кредитним операціям та максимально допустимих ставок по залученню депозитів;
- встановлення позиційних лімітів по процентним активам і пасивам;
- управління на основі визначення операції активів та пасивів;
- управління за допомогою імітаційних моделей;
- періодичне стрес-тестування.
Порядок управління процентним ризиком та ризиком ліквідності визначається відповідними положеннями та методиками, що затверджені КУАП та Правлінням банку - цільовою стратегією строкового ГЕП-менеджменту в управлінні активами та пасивами банку
Стратегій управління відсотковим ризиком є дві: фіксація спреду та уп-равління гепом. Оскільки прогнозів щодо динаміки ставок і варіантів реструк-туризації балансу в банку може бути багато, в межах цих загальних стратегій банк може сформувати багато альтернативних сценаріїв, які аналізуються за допомогою прийомів імітаційного моделювання. Стратегія фіксації спреду передбачає максимальну збалансованість позицій за чутливими активами та зобов'язаннями, тобто нульовий геп. У такому разі маржа банку залишається стабільною, незалежною від коливань відсоткових ставок на ринку. У разі зас-тосування стратегії фіксації спреду одержання підвищених прибутків унаслідок сприятливої кон'юнктури ринку стає неможливим, тоді як і додатний, і від'єм-ний геп дають таку потенційну можливість. Зате ця стратегія є найпростішою та досить надійною, адже вона не потребує ні точних прогнозів, ні складного аналітичного забезпечення.
Стратегія управління гепом має на меті отримання підвищених прибут-ків і передбачає свідомий ризик банку, а тому характеризується як агресивніша. У разі реалізації ризику маржа банку знизиться, що буде зумовлено підвищен-ням ставок за від'ємного гепу або зниженням ставок за додатного гепу. У про-цесі реалізації стратегії управління гепом необхідно досягти відповідності між видом гепу (додатний чи від'ємний) та прогнозами зміни напряму, швидкості й рівня відсоткових ставок. Очевидно, запорукою успіху цієї стратегії є наявність надійного прогнозу (або можливість отримати такий прогноз) і передбачува-ність економічної ситуації. Якщо спрогнозувати зміну відсоткових ставок не-можливо, наприклад, через нестабільність економіки або під час кризових пері-одів, набагато безпечнішою для банку буде стратегія фіксації спреду.
Зокрема вітчизняна практика засвідчує, що українські банки здебільшого віддають перевагу стратегії фіксації спреду, утримуючи незначний розрив між активами і пасивами з однаковими термінами погашення. Водночас є очевид-ним, що повністю збалансувати активи і пасиви за строками неможливо (та й недоцільно), а тому проблеми, пов'язані з управлінням гепом, не втрачають своєї актуальності.
Основними параметрами управління є строки та обсяги активів і зобов'язань банку. Узгодження строків розміщення активів і залучення зобов'язань – один із методів, з допомогою якого банк фіксує спред і нейтралізує ризик зміни відсоткової ставки. Припускається, що всі відсоткові ставки і за активними, і за пасивними операціями змінюються з однаковою швидкістю в одному напрямі. Це припущення пов'язане з концепцією "паралельного зсуву" кривої дохідності.
Сутність прийомів УАП банку полягає у встановленні співвідношень між строками залучення та розміщення однакових за обсягом коштів.
Збалансований за строками підхід передбачає встановлення повної відпо-відності між термінами залучення та розміщення коштів. Такий прийом не мак-симізує, а стабілізує прибуток, мінімізуючи відсотковий ризик.
Незбалансований за строками підхід є альтернативним прийомом управ-ління, який надає потенційні можливості одержання підвищених прибутків за рахунок зміни відсоткових ставок. Використання цього підходу базується на прогнозі зміни швидкості, напряму та величини відсоткових ставок на ринку. Згідно з незбалансованим підходом до управління, строки залучення коштів мають бути коротшими за строки їх розміщення, якщо прогноз свідчить про майбутнє зниження відсоткових ставок. І навпаки: строки виконання зобов'я-зань банку мають перевищувати строки за активами, якщо прогнозується зрос-тання ставок. Це дає змогу максимізувати прибуток, але супроводжується під-вищеним ризиком, пов'язаним із невизначеністю зміни відсоткових ставок. Як-що прогноз щодо відсоткових ставок не виправдається, банк може отримати збитки.
На вибір того чи іншого підходу до управління строками впливає багато чинників, таких як обрана банком загальна стратегія управління, надійність прогнозу зміни ринкових ставок, конкретна ситуація на ринку, можливості банку щодо залучення та розміщення коштів, схильність до ризику.
Тактика структурного балансування активів і пасивів може застосовува-тись і щодо строків, і щодо обсягів залучених і розміщених коштів. Сутність підходу зводиться до намагання максимально наблизити обсяги активних і па-сивних операцій, які мають однакові строки виконання. Інакше кажучи, банк щоразу намагається зупинити вибір на тому напрямі розміщення коштів, який дасть змогу повністю узгодити структуру активів і зобов'язань. Керуючись правилами структурного балансування, менеджер запропонує клієнтові кредит на таку саму суму і той самий строк, які передбачені умовами угоди, що слугує джерелом фінансування кредитної операції.
Узгодження строків вхідних і вихідних фінансових потоків використову-ється менеджментом банків паралельно з іншими прийомами управління від-сотковим ризиком, оскільки на практиці узгодити всі позиції за строками та су-мами майже неможливо. Здебільшого цей підхід застосовують щодо найбіль-ших за обсягами операцій. Загалом методи структурного балансування є тради-ційним підходом до управління активами і пасивами банку для зниження від-соткового ризику. До переваг цієї групи методів можна віднести простоту та доступність, що особливо важливо для вітчизняних банків за браком інших можливостей, які надає розвинений фінансовий ринок. Недоліками є недостат-ня гнучкість, необхідність проведення реструктуризації балансу у зв'язку зі змі-нами ринкових ставок, брак достатнього простору для маневру. Вимога увідпо-віднення структури активів і пасивів перешкоджає повному врахуванню потреб клієнтів, коли йдеться про укладення кредитних і депозитних угод, потребує деякого часу і може стати неприйнятною для щоденного управління відсотко-вим ризиком. Проведення збалансованих операцій не завжди відповідає потре-бам банку, його планам на майбутнє, а іноді невигідне з погляду витрат.
У процесі управління активами та зобов'язаннями для встановлення конт-ролю над рівнем ризику відсоткової ставки оцінюється чутливість окремих ста-тей і банківського балансу в цілому до відсоткового ризику. Індикатором чут-ливості балансу до відсоткового ризику є показник гепу (gap – розрив, дисба-ланс). Для визначення показника гепу всі активи і пасиви банку поділяють на дві групи – чутливі до змін відсоткової ставки та нечутливі до таких змін.
Актив чи пасив є чутливим до змін відсоткової ставки, якщо впродовж зафіксованого інтервалу він задовольнятиме принаймні одну з таких умов:
- дата перегляду плаваючої відсоткової ставки потрапляє в межі зафіксо-ваного часового інтервалу;
- строк погашення настає в цьому інтервалі;
- термін проміжної або часткової виплати основної суми настає в зафік-сованому інтервалі;
- зміна базової ставки (наприклад, облікової ставки НБУ), покладеної в основу ціноутворення активу чи зобов'язання, можлива або очікується впро-довж цього самого часового інтервалу і не контролюється банком.
До нечутливих активів і зобов'язань належать такі, доходи та витрати за якими впродовж аналізованого періоду не залежать від зміни відсоткових ста-вок на ринку.
Показник гепу визначається як різниця між величиною чутливих активів і чутливих зобов'язань банку в кожному із зафіксованих інтервалів:
(3.1)
де GAP (t) – величина гепу (у грошовому виразі) в періоді t;
FA (t) – активи, чутливі до зміни відсоткової ставки в періоді t;
FL (t) – пасиви, чутливі до зміни ставки в періоді t.
Геп може бути додатним, якщо активи, чутливі до змін ставки, переви-щують чутливі зобов'язання (FA(t) > FL(t)), або від'ємним, якщо чутливі зо-бов'язання перевищують чутливі активи (FA(t) < FL(t)).
Збалансована позиція, коли чутливі активи та зобов'язання рівні між со-бою, означає нульовий геп. За нульового гепу маржа банку буде стабільною, не-залежною від коливань відсоткових ставок, а відсотковий ризик – мінімаль-ним. Проте одержати підвищений прибуток внаслідок сприятливої зміни від-соткових ставок на ринку за нульового гепу неможливо. І додатний, і від'ємний геп надають банку потенційну можливість отримати більшу маржу, ніж у разі нульового гепу.
Для визначення співвідношення чутливих активів і зобов'язань банку ви-користовують коефіцієнт гепу – FGAP (t), який обчислюється як відношення чутливих активів до чутливих зобов'язань:
(3.2)
Якщо коефіцієнт гепу більший за одиницю, це означає, що геп додатний, якщо менший – геп від'ємний. Якщо коефіцієнт дорівнює одиниці, геп нульо-вий.
Головна ідея управління гепом полягає в тому, що величина та вид (до-датний або від'ємний) гепу мають відповідати прогнозам зміни відсоткових ставок.
Правило управління гепом:
- якщо геп додатний, то зі зростанням відсоткових ставок маржа банку зростатиме і, навпаки, у разі їх зниження маржа зменшуватиметься;
- якщо геп від'ємний, то зі зростанням відсоткових ставок маржа банку зменшуватиметься, а з їх зниженням – збільшуватиметься.
Це означає, що для банку не так вже й важливо, як змінюються відсоткові ставки на ринку. Головне – щоб геп відповідав тому напряму руху ставок, який забезпечить підвищення прибутку, тобто був додатним за підвищення ставок і від'ємним – за їх зниження.
Проте менеджменту банку потрібно пам'ятати, що потенційна можливість одержання додаткового прибутку супроводжується підвищеним рівнем відсот-кового ризику. Якщо прогноз зміни ставок виявиться помилковим або не справ-диться, то це може призвести до зниження прибутку і навіть до збитків. Отже, за наявності в банку додатного чи від'ємного гепу цілком реальною є і ймовір-ність одержання додаткових прибутків, і ймовірність фінансових втрат.
Тому геп є мірою відсоткового ризику, на який наражається банк упро-довж зафіксованого часового інтервалу. Незалежно від того, додатний чи від'ємний геп має банк, що більша абсолютна величина гепу, то вищий рівень відсоткового ризику бере на себе банк і то більше змінюється його маржа.
Однак ані абсолютна величина гепу, ані коефіцієнт гепу не дають уявлен-ня про те, яка частина активів чи пасивів банку залежить від зміни відсоткової ставки. Для контролю за рівнем відсоткового ризику використовують індекс відсоткового ризику.
Індекс відсоткового ризику дорівнює відношенню абсолютної величини гепу до працюючих активів і виражається у відсотках:
(3.3)
де IR (t) – індекс відсоткового ризику;
А – працюючі активи банку.
Індекс відсоткового ризику показує, яка частина активів (коли геп додат-ний) чи пасивів (коли геп від'ємний) може змінити свою вартість у зв'язку зі зміною ринкових ставок, а отже, вплинути на ринкову вартість усієї банківської установи. Індекс розраховується без урахування знака, оскільки і додатний, і від'ємний геп можуть призвести до збитків.
Через встановлення лімітів індексу відсоткового ризику банк може здійс-нювати контрольну функцію. Ліміт індексу визначає той рівень ризику відсот-кової ставки, який банк вважає за доцільне на себе взяти. У практиці роботи закордонних банків ліміт індексу відсоткового ризику встановлюється зазвичай на рівні 20–25%, хоча твердих норм не існує.
Зміну маржі банку залежно від коливань ринкових ставок дає змогу оці-нити модель гепу, яка описує залежність між цими показниками:
(3.4)
де
– величина зміни процентної маржі банку (у грошовому виразі) впродовж періоду t;
rp , r – прогнозована та поточна ринкові ставки відповідно.
Збільшення чи зменшення процентної маржі залежить від знака гепу ("плюс" чи "мінус"), а також від того, зростатимуть чи спадатимуть відсоткові ставки на ринку.
Додатне значення
вказує на збільшення маржі і буде результатом під-вищення ставок за додатного гепу або зниження ставок за від'ємного гепу. Від'ємне значення DP (t) означатиме зниження маржі банку, зумовлене підви-щенням ставок за від'ємного гепу або їх зниженням за додатного гепу.
З моделі гепу випливає, що величина змін у показниках прибутковості банку залежить і від темпів зміни відсоткових ставок, і від величини гепу, яку банк може регулювати на власний розсуд. Очевидно, з цих двох чинників точно виміряти можна лише внутрішній, тобто геп, тоді як зовнішній (ставки) можна тільки прогнозувати з певним рівнем імовірності.
Головне завдання менеджменту банку в процесі управління гепом – до-сягти відповідності між видом гепу та прогнозом зміни напряму, швидкості й рівня відсоткових ставок. Необхідною умовою управління гепом є наявність надійного прогнозу (або можливість одержати такий прогноз) і передбачува-ність економічної ситуації.
Метод гепу дає змогу банку зважено керувати співвідношенням обсягів активів і зобов'язань банку, проте на практиці виникає необхідність одночас-ного управління і обсягами, і строками фінансових потоків банку. Для цього застосовують метод кумулятивного гепу.
Метод кумулятивного гепу дає змогу управляти співвідношенням чутли-вих активів і зобов'язань не лише у певний момент часу (статичний аналіз), а й водночас враховувати часовий компонент (динамічний аналіз). Зміст методу полягає в тому, що в кожному з інтервалів, на які поділено досліджуваний пе-ріод (часовий горизонт), зіставляються чутливі активи та зобов'язання й обчис-люється геп. Оскільки показник гепу тісно пов'язаний з конкретним часовим інтервалом, показників гепу буде стільки, скільки й часових інтервалів. Куму-лятивний (нагромаджений) геп – це алгебраїчна сума (з урахуванням знака) гепів у кожному з часових інтервалів, на які поділено часовий горизонт. Для обчислення показника кумулятивного гепу в кожному з інтервалів обчислюють алгебраїчну суму гепів за попередні періоди:
(3.5)
де KGAP(T) – кумулятивний геп;
T – часовий горизонт;
.
Показник кумулятивного гепу показує незбалансованість (різницю) між загальним обсягом чутливих активів і зобов'язань, які впродовж часового гори-зонту можуть бути переоцінені.
![]()
Рис.3.1. – Аналіз часових геп-розривів в обсягах короткострокових активів та пасивів в національній та ВКВ і НКВ валютах в БАНК “Фінанси та кредит” станом на 31.12.2005 року
![]()
Рис.3.2. – Аналіз часових геп-розривів в обсягах довгострокових активів та пасивів в національній та ВКВ і НКВ валютах в БАНК “Фінанси та кредит” станом на 31.12.2005 року
Рис.3.3. – Аналіз часових геп-розривів в обсягах короткострокових активів та пасивів в національній та ВКВ і НКВ валютах в БАНК “Фінанси та кредит” станом на 31.12.2006 року
![]()
Рис.3.4. – Аналіз часових геп-розривів в обсягах довгострокових активів та пасивів в національній та ВКВ і НКВ валютах в БАНК “Фінанси та кредит” станом на 31.12.2006 року
Рис.3.5. – Аналіз стратегії управління геп-розривами в короткострокових активах та пасивах в БАНК “Фінанси та кредит” у 2005 – 2006 роках
Рис.3.6. – Аналіз стратегії управління геп-розривами в довгострокових активах та пасивах в БАНК “Фінанси та кредит” у 2005 – 2006 роках
![]()
На рис. 3.1 – 3.6 наведені результати аналізу величин гепу та кумуля-тивного гепу повалютно для для сумарного гривневого еквіваленту в БАНК «Фінанси та Кредит» у 2005 – 2006 роках..
Порівняльний аналіз ефективності управлінням часовими геп-розривами в короткострокових активах та пасивах БАНК “Фінанси та Кредит” станом на 01.01.2006 року та на 01.01.2007 року, що для короткострокових активів та пасивів часткові (в періодах) гепи (розрив між активами та пасивами) та кумулятивний геп мають від'ємний характер, тобто управління пасивами та активами , начебто, спрямоване на прогноз зниження відсоткових ставок на пасиви та активи в короткостроковому періоді. При цьому у 2006 році величина кумулятивного від’ємного гепу для короткострокових періодів зросла практично в 10 разів за рахунок страте-гії роботи в діапазоні строків активів та пасивів від 1 до 31 дня (“короткі гроші”).
Порівняльний аналіз ефективності управлінням часовими геп-розривами в довгострокових активах та пасивах БАНК “Фінанси та Кредит” станом на 01.01.2006 року та на 01.01.2007 року показує, що для довгострокових активів та пасивів часткові (в періодах) гепи (розрив між активами та пасивами) та кумулятивний геп мають додатний характер, тобто управління пасивами та активами, начебто, спрямоване на прогноз підвищення відсоткових ставок на пасиви та активи в довгостроковому періоді. При цьому у 2006 році величина кумулятивного від’ємного гепу для довгострокових періодів зросла практично в 4 рази за рахунок стратегії роботи в діапазоні строків активів та пасивів більше 365 днів (“довгі гроші”).
Аналіз структури активів та пасивів БАНК “Фінанси та Кредит”, в той же час показує, що довгострокові кредити (строк більше 365 днів) у 2005 – 2006 роках зросли за рахунок масового іпотечного кредитування фізичних осіб, а пасивна база залучених ресурсів має, в основному, короткостроковий характер.
Для дослідження ефективності строкових діапазонів залучення коштів розглянемо кореляційну модель інструменту управління оптимальною структурою залучених коштів з точки зору максимуму рентабельності.
3.2 Інструментарій з управління структурою залучених коштів банку в концепції інтегрованого управління активами та пасивами банку
Нині у світовій банківській практиці інтегрований підхід до управління активами і пасивами банку більшістю фахівців визнано єдиним раціональним способом управління, здатним забезпечити виживання банку у висококонкурентному ринковому середовищі. За сучасних умов підвищеної волатильності фінансових ринків і зростання загального рівня ризиковості саме цей підхід найефективніший.
Незалежно від того, якого підходу до управління активами та пасивами дотримується банк, перед менеджментом неминуче постає важливе питання: чи мають величина та структура зобов'язань впливати на напрями розміщення активів?
Традиційний підхід до вирішення проблеми полягає в об'єднанні джерел фінансування. Згідно з таким методом управління структура зобов'язань не впливає на вибір напрямів розміщення активів, усі кошти розглядаються як єдиний ресурсний потенціал банку без урахування особливостей різних видів зобов'язань. Завдання керівництва банку – визначити пріоритетні напрями розміщення активів, що розглядаються як незалежна величина.
Перевагою методу об'єднання джерел фінансування є простота й доступ-ність його практичного застосування, а головним недоліком – виникнення проблем з ліквідністю. Ризик ліквідності зростає, якщо зв'язки між активами та зобов'язаннями не враховуються. Намагаючись вибрати найприбутковіші нап-рями вкладення ресурсів, банк може видати довгострокові кредити, які фінан-суються за рахунок короткострокових депозитів. Така трансформація з великою ймовірністю призводить до підвищення рівня ризику ліквідності.
Якщо менеджмент банку вирішить застрахуватися від підвищення рівня ризику ліквідності і з цією метою розглядатиме високоліквідні активи як пріо-ритетний напрям розміщення коштів, йому доведеться відмовитися від одер-жання максимально можливого прибутку для акціонерів банку.
Альтернативний підхід до управління структурою активів і зобов'язань банку базується на поділі джерел фінансування. Сутність методу полягає у встановленні відповідності між конкретними видами таких джерел і напрямами використання ресурсного потенціалу. Частина ресурсів, сформована за рахунок мінливих джерел, таких як вклади до запитання, залишки на розрахункових ра-хунках клієнтів, одержані позики "овернайт", має вкладатися в короткострокові кредити та цінні папери. Кошти, одержані зі стабільних джерел, таких як стро-кові вклади, депозити, можуть бути спрямовані на видачу довгострокових кре-дитів і придбання облігацій.
Застосовуючи метод поділу джерел фінансування, менеджмент банку має ретельно стежити за розмірами сум і строками різних видів зобов'язань і увід-повіднювати до них структуру активів. З огляду на потребу постійно балансу-вати між структурою пасивів та активів зазначений метод стає вельми трудо-містким, а отже, ускладнюється практичне його застосування. Іншим недоліком є можливе зменшення доходів банку, спричинене відмовою від прибуткового вкладення коштів, якщо не існує відповідного джерела фінансування. Перевага цього методу полягає у зниженні ризику незбалансованої ліквідності, оскільки потреба в ліквідних засобах у будь-який час може бути передбачена.
Метод поділу джерел фінансування набув практичного поширення в пе-ріод керування банками через пасиви. Встановлення контролю над структурою та стабільністю зобов'язань дає змогу формувати депозитну базу згідно з пот-ребами щодо проведення активних операцій. З розвитком фінансових ринків головна перевага методу поділу джерел, яка полягає в зниженні ризику ліквід-ності, втратила своє значення. Банки дістали можливість у будь-який час залу-чати ліквідні кошти на міжбанківському ринку.
У міжнародній банківській практиці застосовують інтегрований підхід до управління, який включає методи об'єднання та поділу джерел фінансування і забезпечує більшу гнучкість ід час управління активами та зобов'язаннями банку.
При управлінні ризиком процентних ставок менеджмент банку має вирі-шити такі завдання [33]:
- досягти цільового рівня чистої процентної маржі, спреду, стабілізації чистого процентного доходу;
- передбачити рух процентних ставок, визначити тенденції ринку;
- встановити процентні ставки за залученими та наданими коштами, визначити динамічну структуру активів і пасивів на підставі геп-аналізу та дюрації;
- використовувати засоби хеджування.
Перевагою інтегрованого підходу є можливість отримання максимально-го прибутку за прийнятного рівня ризику, а також реалізація зваженого підходу до управління ліквідністю завдяки точнішому визначенню потреби в ліквідних коштах. Такий підхід до управління потребує застосування багатьох складних методів і прийомів та високого рівня кваліфікації банківських менеджерів, що часто перешкоджає його впровадженню у практику роботи українських банків.
Інструментарій управління активами та пасивами включає інформаційні системи, моделі планування, аналіз і оцінку сценаріїв, системи прогнозування, фінансові огляди та спеціальні звіти. Відтак УАП охоплює практично всі сфери фінансового управління банком, такі як стратегічне та середньострокове плану-вання, оперативне управління, включаючи аналіз і контроль, управління при-бутком і ризиками, формування аналітичного інструментарію.
Довгострокове управління активами і пасивами оцінюється конкуренто-спроможним рівнем прибутку на активи (ROA) та прибутку на капітал (ROE). Оперативне управління активами і пасивами зорієнтоване на щоденне управ-ління банківським балансом. У цьому аспекті головними показниками ефектив-ності застосування УАП є процентний прибуток, чиста процентна маржа або прибуток на акцію. Невіддільними складниками процесу стають контроль та управління фінансовими ризиками, передусім ризиком відсоткових ставок, ва-лютним ризиком і ризиком незбалансованої ліквідності.
Щодо управління активами і пасивами загальні стратегії управління фі-нансовою діяльністю банку реалізуються через систему аналітичних моделей і методів управління.
В дипломній роботі розроблений один з можливих комплексних підходів до побудови системи управління залученими коштами комерційного банку за підходами ризик-менеджменту, побудований на побудові економетричної моде-лі по цільовій функції – нормативна дивідендна дохідність статутного капіталу.
Під економетричною моделлю розуміють рівняння регресії, яке встанов-лює кількісне співвідношення між дивідендною доходністю статутного капіта-лу банка і відносною структурою залучених коштів, при цьому вважається що принцип конкуренції банківського ринку приводить до вирівнювання відсот-кових ставок для різних видів депозитів в банках України.
Аналіз формування дивідендної доходності статутного капіталу банка за допомогою економетричних методів включає [45]: з’ясування чинників, що мо-жуть впливати на розмір доходів; формування масиву статистичної інформації; знаходження регресійних залежностей (побудова регресійних моделей); еконо-мічна інтерпретація моделей і практичне використання.
В табл.Б.1 – Б.6 Додатку Б наведені вихідні дані статистичних спосте-режень по БАНК “Фінанси та Кредит” за 2003 – 2007 рік (помісячно) для вияв-лення впливу структури залучених ресурсів на дивідендний рівень доходності статутного капіталу банку.
В якості вхідних параметрів дослідження Х1 – Х11, згідно з доступними для дослідження агломератами балансів банків, публікуємих щомісячно на Інтернет-сайті Асоціації комерційних банків України [81] застосовуються :
Х1 - Частка технологічних (основні засоби, дебіторська заборгованість, нараховані відсотки) та малоприбуткових(каса, коррахунок в НБУ) активів, віднесених до поточного рівня статутного капіталу банку, % ;
Х2 - Частка низькоприбуткових міжбанківських кредитів, віднесених до поточного рівня статутного капіталу банку, % ;
Х3 - Частка високоприбуткових кредитів юридичним особам, віднесених до поточного рівня статутного капіталу банку, % ;
Х4 - Частка високоприбуткових кредитів фізичним особам, віднесених до поточного рівня статутного капіталу банку, % ;
Х5 - Частка високоприбуткових цінних паперів, віднесених до поточного рівня статутного капіталу банку, % ;
Х6 - Частка безплатного власного капіталу (статутний +фонди + прибуток), віднесених до поточного рівня статутного капіталу банку, % ;
Х7 - Частка низьковартісних залучених коштів до запитання фізосіб, віднесених до поточного рівня статутного капіталу банку, % ;
Х8 - Частка високовартісних залучених строкових депозитів фізосіб, віднесених до поточного рівня статутного капіталу банку, % ;
Х9 - Частка низьковартісних залучених коштів до запитання юридосіб, віднесених до поточного рівня статутного капіталу банку, % ;
Х10 - Частка високовартісних залучених строкових депозитів юридосіб, віднесених до поточного рівня статутного капіталу банку, % ;
Х11 - Частка платних технологічних пасивів (дебіторська заборгованість, власні ЦП, відсотки за депозити), віднесених до поточного рівня статутного капіталу банку, % ;
В якості вихідної функції Y досліджується параметр:
Y - Приведена до річної норми прибутковість (дивідендна доходність) статутного капіталу, % на рік.
В розробленій моделі, для того, щоб можна було порівнювати банки з різними статутними капіталами на протязі певного інтервалу часу (чи один банк зі статутним капіталом, що змінюється кожен місяць) переходимо до відносних (зведених) величин, тобто величин віднесених до статутного капіталу.
(3.6)
(3.7)
(3.8)
(3.9)
(3.10)
(3.11)
(3.12)
(3.13)
(3.14)
(3.15)
(3.16)
(3.17)
(3.18)
На основі наведених даних спостережень будуються лінійна одновимірні Y=f(X1) та багатовимірні Y=f(X1,X2,X3) регресійні моделі, яка встановлює залежність доходності статутного капіталу банку
від суми показників статей залученого платного капіталу ресурсів
, (
, n – кількість періодів, що розглядаються) в і-тий період [48].
Одновимірна лінійна регресійна модель представляється як:
, (3.19)
де
– постійна складова доходу
(початок відліку);
– коефіцієнт регресії;
– відхилення фактичних значень доходу
від оцінки (математичного сподівання)
середньої величини доходу в і-тий період.
Існують різні способи оцінювання параметрів регресії. Найпростішим, найуніверсальнішим є метод найменших квадратів[48]. За цим методом пара-метри визначаються виходячи з умови, що найкраще наближення, яке мають забезпечувати параметри регресії, досягається, коли сума квадратів різниць
між фактичними значеннями доходу та його оцінками є мінімальною, що мож-на записати як
. (3.20)
Відмітимо, що залишкова варіація (3.15) є функціоналом
від па-раметрів регресійного рівняння:
(3.21)
За методом найменших квадратів параметри регресії
і
є розв’язком системи двох нормальних рівнянь [48]:
, (3.22)
.
Розв’язок цієї системи має вигляд:
, (3.23)
.
Середньоквадратична помилка регресії, знаходиться за формулою
, (3.24)
Коефіцієнт детермінації для даної моделі
(3.25)
повинен дорівнювати :
>0,75 – сильний кореляційний зв’зок, 0,36>
>0,75 - кореляційний зв’язок середньої щільності;
<0,36 - кореля-ційній зв’язок низької щільності [48].
В табл.3.1 наведені вихідні дані по 48 банках банківської системи України за станом звіту на 01.07.2007 року (за 2006 рік [81]), на рис.3.7 – 3.11 наведені результати регресійних розрахунків лінійних одновимірних моделей Y=f(П1),
Y=f(П2),Y=f(П3),Y=f(П4),Y=f(П5), виконані за допомогою стандартних функ-цій одномірного регресійного аналізу “електронних таблиць” EXCEL-2000.
Як видно з графіків рис.3.1 – 3.5 коефіцієнт детермінації R2 знаходиться в діапазоні 0,05 – 0,2 , тобто лінійний одномірний кореляційний зв’язок є слабої сили або незначущим. Фізичний зміст величини коефіцієнта детермінації R2 : вона показує, яку долю загальної дисперсії пояснює наше рівняння регресії.
Найбільша сила зв”язку (R2 =0,2) виявляється для дослідженої виборки:
- при підвищенні частки “дешевих” поточних депозитів юридичних осіб явно ідентифіковане зростання рентабельності статутного капіталу банку (рис.3.4);
- при підвищенні частки “дорогих” строкових депозитів фізичних осіб явно ідентифіковане падіння рентабельності статутного капіталу банку(рис.3.9);
Таблиця 3.1 Показники структури залучених коштів та рентабельності в банках України [81] станом на 31.12.2006 року
Рис.3.7. – Одномірна регресійна залежність рентабельності статутного капіталу від структурної частки власного капіталу в пасивах банку для вибірки 48 банків України з рівнем рентабельності 10-40%
Рис.3.8. – Одномірна регресійна залежність рентабельності статутного капіталу від структурної частки поточних депозитів фізосіб в пасивах банку для вибірки 48 банків України з рівнем рентабельності 10-40%
Рис.3.9. – Одномірна регресійна залежність рентабельності статутного капіталу від структурної частки строкових депозитів фізосіб в пасивах банку для вибірки 48 банків України з рівнем рентабельності 10-40%
Рис.3.10. – Одномірна регресійна залежність рентабельності статутного капіталу від структурної частки поточних депозитів юросіб в пасивах банку для вибірки 48 банків України з рівнем рентабельності 10-40%
Рис.3.11. – Одномірна регресійна залежність рентабельності статутного капіталу від структурної частки строкових депозитів юросіб в пасивах банку для вибірки 48 банків України з рівнем рентабельності 10-40%

Існує нелінійна функція рентабельності від структурної частки власного капіталу з можливим максимумом в районі 19-20%, яка потребує додаткового дослідження (рис.3.7), так:
а) при частці власного капіталу в пасивах – 12,19% для БАНК “Фінанси та кредит”(10 місце на ринку залучених коштів по обсягу), рівень рентабельності статутного капіталу становить 19,59%;
б) при частці власного капіталу в пасивах – 12,39% для АКБ “Приватбанк”(1 місце на ринку залучених коштів по обсягу), рівень рентабельності статутного капіталу становить 22,66%;
в) при рості частки власного капіталу в пасивах – 19,26 % для АКБ “Державний Укрексімбанк”( 7 місце на ринку залучених коштів по обсягу), рівень рентабельності статутного капіталу зростає до 40,09%;
г) при подальшому рості частки статутного капіталу в пасивах – 24,35 % для АКБ “Перший український міжнародний банк”( 15 місце на ринку залучених коштів по обсягу), рівень рентабельності статутного капіталу знижується до 25,1%;
Лінійна багатовимірна модель (ЛБМ) Y=f(X1,X2,X3) має такий вигляд [68]
y=β0 + β1 x1 + … + βp xp (3.26)
y – залежна змінна – ендогенна змінна
x1 , x2 …xp – залежні змінні – екзогенні змінні.
У зв’язку з тим, що економетрична модель обов’язково має випадкову помилку, модель (3.26) переписується у вигляді (3.27)
y=β0 + β1 x1 + … + βp xp +ε (3.27)
де ε – випадкова помилка або перешкода.
Якщо після необхідних обчислень визначені чисельні значення коефіці-єнтів β, то кажуть, що ми отримали оцінку коефіцієнтів моделі:
, тобто оцінкою коефіцієнта β є його чисельне значення b=
.
Якщо замінити у виразі (3.22) коефіцієнти моделі оцінками, то ми отримаємо такий вираз
(3.23)
Основними передумовами використання моделі (3.26-3.27), а такі моделі ще називаються регресійними багатовимірними моделями, є наступне:
1) M (ε)=0 математичне сподівання перешкоди равно 0;
2) перешкода взаємонезалежна із змінними cov (xi
,
)=0
3) для 2-х визначень перешкоди коефіцієнтів коваріації між ними також дорівнює 0 - cov![]()
4) перешкода ε нормально розподілена величина з параметрами (0;1) ε=N (ε, 0;1)
5) від виміру до виміру дисперсія перешкоди не змінюється ![]()
П’ята властивість. носить спеціальну назву: гомоскедастичність (одно-рідність). Якщо умова 5) не виконана, то кажуть, що дисперсія має властивість гетероскедастичності.
Чисельний аналіз регресійної моделі починають з того, що визначають значення регресійних коефіцієнтів β1 ... βр та коефіцієнтів β0 , який має спеціаль-ну назву – вільний член.
Регресійні коефіцієнти визначають за допомогою методів найменших квадратів.
(3.28)
Візьмемо частичні похідні по кожному з виразів, дорівняти їх і отримаємо систему рівнянь

Ця система рівнянь має спеціальну назву – нормальна система.
(3.29)
Невідомі у системі (3.25) – це коефіцієнти в0 , в1 ...
х1 , y1 – ми маємо внаслідок спостережень
в0 , в1 - це коефіцієнти, які ми повинні визначити
n – кількість спостережень, вони нам завжди відомі.
Використовуючи таблицю вихідних даних (Додаток Б), розраховуємо багатовимірну лінійну регресійну модель за допомогою “електронних таблиць” EXCEL-2000. Результати розрахунків наведені в табл.В.1 – В.4 Додатку В.
Як видно з даних розрахунків табл.В1 – В4 Додатку В, лінійні багатовимірні рівняння регресії описують наступні статистичні процеси:
1. Рівняння багатовимірної лінійної регресії :
а) 11-параметрична модель “активи+пасиви БАНК “Фінанси та Кредит” (n=47).
б) 6-параметрична модель “пасиви БАНК “Фінанси та Кредит”(n=47).
в) 11-параметрична модель “активи+пасиви 4-х банків”(n=191).
г) 6-параметрична модель “пасиви 4-х банків”(n=191).
2. Коефіцієнт детермінації для даних моделей:
а) Коефіцієнт детермінації R2 (11-параметрична модель “активи+пасиви БАНК “Фінанси та Кредит”) = 0,856 (n=47), сила регресійного зв’язка – високої щільності (більше 0,75).
б) Коефіцієнт детермінації R2
(6-параметрична модель “пасиви БАНК “Фінанси та Кредит”) = 0,616 (n=47), сила регресійного зв’язка – середньої щільності (0,36>
>0,75).
в) Коефіцієнт детермінації R2 (11-параметрична модель “активи+пасиви 4-х банків”) = 0,877 (n=191), сила регресійного зв’язка – високої щільності (більше 0,75).
г) Коефіцієнт детермінації R2 (6-параметрична модель “пасиви 4-х банків”) = 0,754 (n=191), сила регресійного зв’язка – високої щільності (більше 0,75).
3. Перевірку значущості регресійного рівня здійснюють за критерієм Фішера F. Якщо величина F буде більше Fтабл , то ми вважаємо, що наше рівняння значуще.
Згідно з таблицями критичних значень критерія Фішера:
- для багатовимірної (і=11) лінійної вибірки з n-1=191 величин табличне значення Fтабл = 1,93 при рівні довірчої ймовірності Р=0,95 [48].
- для багатовимірної (і=6) лінійної вибірки з n-1=47 величин табличне значення Fтабл = 2,31 при рівні довірчої ймовірності Р=0,95 [48].
Як видно з даних розрахунків (табл.3.3 –3.6), проведених за допомогою “електронних таблиць” EXCEL-2000, фактичні значення критерія Фішера для багатовимірних вибірок(і=6) з n-1=47 величин та (і=11) з n-1=191 величина становлять:
а) F (11-параметрична модель “активи+пасиви БАНК “Фінанси та Кредит”) = 19,526 (n=47)> 2,31 (табл.критерій Фішера);
б) F (6-параметрична модель “пасиви БАНК “Фінанси та Кредит”) = 10,981 (n=47)> 2,31 (табл.критерій Фішера);
в) F (11-параметрична модель “активи+пасиви 4-х банків”) = 116,582 (n=191)> 1,93 (табл.критерій Фішера);
г) F (6-параметрична модель “пасиви 4-х банків”) = 94,333 (n=191)> 1,93 (табл.критерій Фішера).
Тобто набагато перевищують мінімально-критеріальні значення по Фішеру і отримані регресійні багатовимірні рівняння є значущими.
На рис. 3.6 – 3.7 наведені результати графічного аналізу якості регресійних багатовимірних моделей по поточним залишкам (різниці фактичних помісячних значень рентабельності статутного капіталу і прогнозних значень, розрахованих по регресійній моделі).
Як показують результати аналізу, при впровадженні 11-параметричної моделі (“Активи+Пасиви”) по відношенню до якості рішення по 6-параметричній моделі (“Пасиви”) значення коефіцієнта детермінації R2 на вибірці помісячних даних для БАНК “Фінанси та Кредит” за 2003 –2006 роки зростає з рівня 0,616 (середня сила зв’язку) до 0,856 (сильний кореляційний зв’язок)
Одночасно, як показують результати аналізу, при впровадженні 11-параметричної моделі (“Активи+Пасиви”) по відношенню до якості рішення по 6-параметричній моделі (“Пасиви”) значення коефіцієнта детермінації R2 на вибірці помісячних даних для 4-х банків (БАНК “Фінанси та Кредит”, БАНК “Приватбанк”, БАНК “Укрсоцбанк”, БАНК “Державний Укрексімбанк” за 2003 –2006 роки зростає з рівня 0,754 (сильний кореляційний зв’язок) до 0,877 (сильний кореляційний зв’язок).
В той же час, як показують результати, наведені на графіках рис.3.6, 3.7 застосування багатовимірної моделі, отриманої по даним вибірки для 4-х банків, при застосуванні до прогнозу поточної рентабельності для БАНК “Фінанси та Кредит” дає систематичне завищення розрахунових даних відносно фактичних даних рентабельності від 7 до 30%.
Таким чином, для управління оптимальною структурою активів та пасивів в комерційому банку доцільно застосування багатовимірної регресійної моделі, отриманої на статистичній вибірці власних результатів діяльності.
В той же час, отримані результати статистичної значущості для багатовимірної регресійної моделі, побудованої на статистичній вибірці діяльності 4-х банків з різною структурою активів та пасивів, а також значно відрізняючимися обсягами залучених коштів, доказують життєздатність запропонованого підходу масштабування характеристик банку і спільного аналізу ефективності діяльності груп різнорідних комерційних банків України.
Рис.3.12. – Аналіз залишків (різниця фактичної рентабельності – прогноз по регресійному рівнянню) для 4-х моделей регресійного аналізу для БАНК “Фінанси та кредит” за 2003 –2006 роки (помісячно)
Рис.3.13. – Динаміки рентабельності статутного капіталу та залишків прогнозування (різниця фактичної ![]()
рентабельності – прогноз по регресійному рівнянню) для моделі “Активи+Пасиви” по 4-х банках для БАНК “Фінанси та кредит” за 2003 –2006 роки (помісячно)
ВИСНОВКИ
Проведене дипломне дослідження мало метою теоретичне обгрунтування важливості інтегрованого управління активами та пасивами комерційного банку для визначення алгоритму управління залученням ресурсів(пасивів) у юридичних та фізичних осіб, розкриттю діючої практики залучення коштів в БАНК “Фінанси та Кредит”, а також пошуку напрямків удосконалення розвитку програмних моделей управління оптимальністю структури залучених коштів в комерційному банку.
Для досягнення поставленої мети в дипломній роботі вирішені такі завдання:
- досліджено сутність та класифікацію ресурсної бази комерційного банку, як структурний розподіл коштів на власний капітал, залучені кошти юридичних та фізичних осіб у вигляді поточних та строкових депозитів, запозичені кошти у інших комерційних банків та Національного банку України у вигляді короткострокових та довгострокових кредитів;
- досліджено структуру залучених коштів в БАНК “Фінанси та Кредит”, її динаміку у 2003 – 2007 роках та порівняльні особливості структур залучених коштів в інших комерційних банках першої групи рейтингу НБУ;
- розглянуто процес функціонування та управління залученими коштами в “Фінанси та Кредит”;
- проведено аналіз діючої практики управління залученими коштами в комерційних банках розвинутих країн світу;
- проведена розробка регресійної багатовимірної математичної моделі розрахунку впливу структури пасивів комерційного банку на рентабельність його роботи;
- на основі розрахунків побудованої моделі запропоновано шляхи удосконалення оптимальної структури залучених коштів в БАНК “Фінанси та Кредит” для підвищення рівня рентабельності роботи банку;
Як показують результати аналізу, досліджуємий банк БАНК “Фінанси та Кредит” станом на 01.04.2007 року займає 9-те місце в банківській системі Ук-раїни по обсягам залучених коштів юридичних (2 215,901 млн.грн.) та фізичих осіб(3 299,168 млн.грн.), при цьому ці обсяги в 5 разів менші, ніж у лідера БС України – БАНК “Приватбанк”.
Порівняння показників відношення залучених коштів до власного капіта-лу в найбільших банках України станом на 01.04.2007 року показало, що цей показник для БАНК “Фінанси та Кредит” дорівнює 5,8, при рівні показника у лі-дера БАНК “Приватбанк” – 6,4 та максимальному значен-ні у банках 1-2 групи рейтингу НБУ до 7,0. Таким чином, потенціал банку для залучення коштів ви-користано у високому ступені.
Дослідження динаміки обсягів та структури залучених коштів в БАНК “Фінанси та кредит” показало, що темп зростання залучених коштів фізичних та юридичних осіб в БАНК “Фінанси та Кредит” за 2005 – 2007 роки характеризується:
а) 2005 рік:
- зростання поточних коштів фізичних осіб на 80,10 %
- зростання строкових коштів фізичних осіб на 100,18 %
- зростання поточних коштів юридичних осіб на 38,92 %
- зростання строкових коштів юридичних осіб на 150,37 %
б) 2006 рік:
- зростання поточних коштів фізичних осіб на 75,49 %
- зростання строкових коштів фізичних осіб на 74,87 %
- зростання поточних коштів юридичних осіб на 51,17 %
- зростання строкових коштів юридичних осіб на 34,17 %
в) 2007 рік (приведення темпів 1 кварталу до річної норми):
- зростання поточних коштів фізичних осіб на 104,56 %
- зростання строкових коштів фізичних осіб на 22,44 %
- зростання поточних коштів юридичних осіб на 56,76 %
- зростання строкових коштів юридичних осіб на 56,83 %
Таким чином, у 2007 році майже в 3 рази знизився темп нарощення строкових депозитів фізичних осіб, але на 25% підвищився темп нарощення поточних депозитів фізичних осіб за рахунок розширення карткових платіжних систем та на 75% підвищився темп зростання строкових депозитів юридичних осіб.
Результати структурного аналізу часток залучених коштів та власного капіталу в БАНК “Фінанси та Кредит” у 2003 – 2007 роках свідчать про наступну політику формування залучених коштів менеджментом банку:
а) Частка поточних коштів фізичних осіб є практично стабільною на протязі 4-х років:
31.12. 2003 - 3,43 %
31.12. 2004 - 2,56 %
31.12. 2005 - 2,78 %
01.07. 2006 - 3,28 %
31.12. 2006 - 3,11 %
01.04. 2007 - 3,47 %
б) Частка строкових коштів фізичних осіб поступово підвищується у 2003 – 2006 роках, а у 2007 році ідентифікується тенденція до зниження частки залучених строкових коштів фізосіб:
31.12. 2003 - 44,64 %
31.12. 2004 - 43,54 %
31.12. 2005 - 45,55 %
01.07. 2006 - 50,52 %
31.12. 2006 - 50,83 %
01.04. 2007 - 47,54 %
в) Частка поточних коштів юридичних осіб знизилась у 2003 –2006 роках майже в 2,2 рази та у 2007 році має тенденцію до поступового росту:
31.12. 2003 - 21,33 %
31.12. 2004 - 17,97 %
31.12. 2005 - 9,90 %
01.07. 2006 - 8,20 %
31.12. 2006 - 9,55 %
01.04. 2007 - 9,66 %
г) Частка строкових коштів юридичних осіб зросла майже на 50% у 2003 – 2005 роках, та , знизившись, практично стабілізувалась у 2006 –2007 роках:
31.12. 2003 - 17,65 %
31.12. 2004 - 21,33 %
31.12. 2005 - 28,41 %
01.07. 2006 - 25,54 %
31.12. 2006 - 24,33 %
01.04. 2007 - 24,60 %
д) Частка власного капіталу регулюється менеджментом банку в достатньо вузькому діапазоні та у 2007 році має тенденцію до підвищення, яке , напевне, буде знижено за рахунок випереджаючого нарощення депозитного портфелю:
31.12. 2003 - 12,95 %
31.12. 2004 - 10,60 %
31.12. 2005 - 13,77 %
01.07. 2006 - 12,46 %
31.12. 2006 - 12,19 %
01.04. 2007 - 14,73 %
Застосовуємі інструменти управління залученими коштами в БАНК “Фінанси та кредит” та інших банках банківської системи України дають можливість структурувати основні сегменти залучених коштів як:
1. Ощадні депозити, основними признаками яких є:
- сплата відсотків в кінці строку договору депозиту чи авансом;
- відсутність права на довкладення коштів до вкладу на період договору;
- відсутність права на часткове зняття коштів вкладу на період договору;
2. Доходні депозити, основними признаками яких є:
- регулярна (щомісячна чи щоквартальна) сплата відсотків;
- відсутність права на довкладення коштів до вкладу на період договору;
- відсутність права на часткове зняття коштів вкладу на період договору;
3. Накопичувальні депозити, основними признаками яких є:
- умови як сплати відсотків в кінці строку так і регулярна (щомісячна чи щоквартальна) сплата відсотків;
- наявність права на довкладення коштів до вкладу на період договору;
- відсутність права на часткове зняття коштів вкладу на період договору;
4. Універсальні депозити, основними признаками яких є:
- умови як сплати відсотків в кінці строку так і регулярна (щомісячна чи щоквартальна) сплата відсотків;
- наявність права на довкладення коштів до вкладу на період договору;
- наявність права на часткове зняття коштів вкладу на період договору;
У вказаних 4-х сегментах додаткові умови строків сплати відсотків та наявність чи відсутність права управління основним “тілом” депозиту є основою для систематичного регулювання різниці в відсоткових ставках при рівних строках розміщення депозитів.
Проведений порівняльний аналіз конкурентного управління ціновими на неціновими інструментами залучення коштів в БАНК «Фінанси та кредит» пока-зує , що в сегменті ринку банківських послуг для фізичних осіб конкурентні коефіцієнти привабливості БАНК “Фінаси та кредит” в середньому становлять 89,725%, а діапазон коефіцієнтів для різних видів вкладів знаходиться серед значень 72,3% –100%, тобто:
- доходна ставка депозитів для фізосіб в банку знаходиться на першій позиції рейтингу, або в верхньому діапазоні рейтингу, тобто ставки депозитів привабливі для клієнтів, але залучені ресурси є відносно “дорогими”;
- банк застосовує середній рівень обмежувальних бар’єрів по мінімальній сумі вкладу відносно інших банків конкурентів, тобто є привабливим для кілєнтів, але з високою собівартістю обслуговування кожного депозиту, яка зростає із зниженням мінімальної суми депозиту.
- конкурентні переваги на ринку послуг фізичним особам в БАНК “Фінанси та кредит” на сучасному етапі забезпечуються політикою максимальних ставок залучення депозитів;
- мінімальні ставки по депозитах БАНК “Фінанси та кредит” визначає тільки по євро, оскільки активний портфель банку в цій валюті є нерозвинутим;
- банк не приймає участі у деяких короткострокових діапазонах вкладів (універсальні на 6 місяців, накопичувальні на 3 місяці), у всіх інших діапазонах банк максимально використовує весь набір інструментів управління депозитами.
Порівняльний аналіз структури залучених коштів у у найбільших банках 1 групи рейтингу НБУ – БАНК “Приватбанк”, БАНК “Укрсоцбанк”, БАНК “Укрексімбанк” та досліджуємому БАНК “Фінанси та Кредит” показав, що кожний банк дотримується своєї стратегії залучення коштів:
- від стратегії випереджаючого залучення виключно строкових коштів фізичних осіб в БАНК “Приватбанк”, характерній для БАНК “Фінанси та кредит” (стратегія ощадного банку),
- до стратегії зрівноваження часток залучених поточних коштів юридичних осіб та строкових депозитів фізичних і юридичних осіб в БАНК “Укрексімбанк” та БАНК “Укрсоцбанк”.
При цьому, якщо рівень рентабельності статутного капіталу за результатами 2006 року у БАНК “Фінанси та Кредит” і БАНК “Приватбанк” знаходяться в діапазоні 19,6 – 22,6 %, то рівень рентабельності статутного капіталу за результататми 2006 року в БАНК “Укрексімбанк” та “Укрсоцбанк” знаходиться в діапазоні 40 – 77 %, тобто стратегія “ощадного банку” є менш рентабельною.
В проектній частині дипломної роботи запропоновані перспективні інструменти управління залученими коштами, які застосовуються у банках розвинутих країн світу, тобто:
- комплексне управління залученими коштами (пасивами) та активами з точки зору процентної маржі та ризику процентної маржі, пов’язаного з динамікою ставок на пасиви (ресурси) та невідповідною динамікою ставок на кредити (активи), а також часових розривів (гепів) у строках залучення пасивів (ресурсів) та строках розміщення активів;
- інструментарій управління оптимальною структурою залучених коштів з точки зору максимізації рентабельності роботи банку у вигляді кореляційно-регресійної моделі.
Порівняльний аналіз ефективності управлінням часовими геп-розривами в короткострокових активах та пасивах БАНК “Фінанси та Кредит” станом на 01.01.2006 року та на 01.01.2007 року показав, що для короткострокових активів та пасивів часткові (в періодах) гепи (розрив між активами та пасивами) та кумулятивний геп мають від'ємний характер, тобто управління пасивами та активами , начебто, спрямоване на прогноз зниження відсоткових ставок на пасиви та активи в короткостроковому періоді. При цьому у 2006 році величина кумулятивного від’ємного гепу для короткострокових періодів зросла практично в 10 разів за рахунок стратегії роботи в діапазоні строків активів та пасивів від 1до 31 дня (“короткі гроші”).
Порівняльний аналіз ефективності управлінням часовими геп-розривами в довгострокових активах та пасивах БАНК “Фінанси та Кредит” станом на 01.01.2006 року та на 01.01.2007 року (повалютно) показав, що для довгостро-кових активів та пасивів часткові (в періодах) гепи (розрив між активами та пасивами) та кумулятивний геп мають додатний характер, тобто управління пасивами та активами, начебто, спрямоване на прогноз підвищення відсоткових ставок на пасиви та активи в довгостроковому періоді. При цьому у 2006 році величина кумулятивного від’ємного гепу для довгострокових періодів зросла практично в 4 рази за рахунок стратегії роботи в діапазоні строків активів та пасивів більше 365 днів (“довгі гроші”).
Таким чином, проведений аналіз показав, що менеджменту управління активами та пасивами в БАНК “Фінанси та Кредит” необхідна більш досконала модель управління активами та пасивами для приведення структури залучених коштів в більш оптимальний діапазон з точки зори максимізації рентабельності статутного капіталу (дивідендна дохідність), оскільки у 2007 році банк перере-єстрований з форми товариства з обмеженою відповідальністю у форму відкри-того акціонерного товариства з торгівлєю акціями на фондовому ринку Укра-їни.
При розробці в дипломному проекті перспективної математичної моделі для апарату управління структурою залучених коштів в комерційному банку в якості вхідних параметрів регресійної багатовимірної моделі Х1 – Х11, згідно з доступними для дослідження агломератами балансів банків, публікуємих щомісячно на Інтернет-сайті Асоціації комерційних банків України в дипломному проекті застосовані:
Х1 - Частка технологічних (основні засоби, дебіторська заборгованість, нараховані відсотки) та малоприбуткових(каса, коррахунок в НБУ) активів, віднесених до поточного рівня статутного капіталу банку, % ;
Х2 - Частка низькоприбуткових міжбанківських кредитів, віднесених до поточного рівня статутного капіталу банку, % ;
Х3 - Частка високоприбуткових кредитів юридичним особам, віднесених до поточного рівня статутного капіталу банку, % ;
Х4 - Частка високоприбуткових кредитів фізичним особам, віднесених до поточного рівня статутного капіталу банку, % ;
Х5 - Частка високоприбуткових цінних паперів, віднесених до поточного рівня статутного капіталу банку, % ;
Х6 - Частка безплатного власного капіталу (статутний +фонди + прибуток), віднесених до поточного рівня статутного капіталу банку, % ;
Х7 - Частка низьковартісних залучених коштів до запитання фізосіб, віднесених до поточного рівня статутного капіталу банку, % ;
Х8 - Частка високовартісних залучених строкових депозитів фізосіб, віднесених до поточного рівня статутного капіталу банку, % ;
Х9 - Частка низьковартісних залучених коштів до запитання юридосіб, віднесених до поточного рівня статутного капіталу банку, % ;
Х10 - Частка високовартісних залучених строкових депозитів юридосіб, віднесених до поточного рівня статутного капіталу банку, % ;
Х11 - Частка платних технологічних пасивів (дебіторська заборгованість, власні ЦП, відсотки за депозити), віднесених до поточного рівня статутного капіталу банку, % ;
В якості вихідної функції досліджєний параметр Y - приведена до річної норми прибутковість (дивідендна доходність) статутного капіталу, % на рік.
В розробленій моделі, для того, щоб можна було порівнювати банки з різними статутними капіталами на протязі певного інтервалу часу (чи один банк зі статутним капіталом, що змінюється кожен місяць) здійснений перехід до відносних (зведених) величин, тобто величин віднесених до статутного капіталу.
Використавши вихідні дані по 48 банках банківської системи України за станом звіту на 01.01.2007 року (за 2006 рік), в дипломному дослідженні на першому етапі побудовані одновимірні моделі Y=f(П1), Y=f(П2), Y=f(П3),Y=f(П4),Y=f(П5), розраховані за допомогою стандартних функцій одномірного регресійного аналізу “електронних таблиць” EXCEL-2000.
Для отриманих одновимірних моделей коефіцієнт детермінації R2 знахо-диться в діапазоні 0,05 – 0,2 , тобто одномірний кореляційний зв’язок є слабої сили або незначущим. Найбільша сила зв”язку (R2 =0,2) виявляється для дослід-женої виборки:
- при підвищенні частки “дешевих” поточних депозитів юридичних осіб явно ідентифіковане зростання рентабельності статутного капіталу банку;
- при підвищенні частки “дорогих” строкових депозитів фізичних осіб явно ідентифіковане падіння рентабельності статутного капіталу банку;
Побудовані на другому етапі дипломного дослідження за допомогою стандартних функцій багатовимірного лінійного регресійного аналізу “електронних таблиць” EXCEL-2000 лінійні багатовимірні рівняння регресії описують наступні статистичні процеси:
а) Коефіцієнт детермінації R2 (11-параметрична модель “активи+пасиви БАНК “Фінанси та Кредит”) = 0,856 (n=47), сила регресійного зв’язка – високої щільності (більше 0,75).
б) Коефіцієнт детермінації R2
(6-параметрична модель “пасиви БАНК “Фінанси та Кредит”) = 0,616 (n=47), сила регресійного зв’язка – середньої щільності (0,36>
>0,75).
в) Коефіцієнт детермінації R2 (11-параметрична модель “активи+пасиви 4-х банків”) = 0,877 (n=191), сила регресійного зв’язка – високої щільності (більше 0,75).
г) Коефіцієнт детермінації R2 (6-параметрична модель “пасиви 4-х банків”) = 0,754 (n=191), сила регресійного зв’язка – високої щільності (більше 0,75).
3. Перевірку значущості регресійного рівня здійснено за критерієм Фішера F. Якщо величина F буде більше Fтабл , то ми вважається, що рівняння значуще.
а) F (11-параметрична модель “активи+пасиви БАНК “Фінанси та Кредит”) = 19,526 (n=47)> 2,31 (табл.критерій Фішера);
б) F (6-параметрична модель “пасиви БАНК “Фінанси та Кредит”) = 10,981 (n=47)> 2,31 (табл.критерій Фішера);
в) F (11-параметрична модель “активи+пасиви 4-х банків”) = 116,582 (n=191)> 1,93 (табл.критерій Фішера);
г) F (6-параметрична модель “пасиви 4-х банків”) = 94,333 (n=191)> 1,93 (табл.критерій Фішера).
Таким чином по критерію Фішера отримані регресійні багатовимірні рівняння є значущими.
Результати графічного аналізу якості регресійних багатовимірних моделей по поточним залишкам (різниці фактичних помісячних значень рентабельності статутного капіталу і прогнозних значень, розрахованих по регресійній моделі) показали, що при впровадженні 11-параметричної моделі (“Активи+Пасиви”) по відношенню до якості рішення по 6-параметричній моделі (“Пасиви”) значення коефіцієнта детермінації R2 на вибірці помісячних даних для БАНК “Фінанси та Кредит” за 2003 –2006 роки зростає з рівня 0,616 (середня сила зв’язку) до 0,856 (сильний кореляційний зв’язок)
Одночасно, як показали результати аналізу, при впровадженні 11-параметричної моделі (“Активи+Пасиви”) по відношенню до якості рішення по 6-параметричній моделі (“Пасиви”) значення коефіцієнта детермінації R2 на вибірці помісячних даних для 4-х банків (БАНК “Фінанси та Кредит”, БАНК “Приватбанк”, БАНК “Укрсоцбанк”, БАНК “Державний Укрексімбанк” за 2003 –2006 роки зростає з рівня 0,754 (сильний кореляційний зв’язок) до 0,877 (сильний кореляційний зв’язок).
В той же час, як показали результати, застосування багатовимірної моделі, отриманої по даним вибірки для 4-х банків, при впровадженні до прогнозу поточної рентабельності для БАНК “Фінанси та Кредит” дає систематичне завищення розрахунових даних відносно фактичних даних рентабельності від 7 до 30%.
Таким чином, для управління оптимальною структурою активів та пасивів в комерційому банку доцільно застосування багатовимірної регресійної моделі, отриманої на статистичній вибірці власних результатів діяльності.
В той же час, отримані результати статистичної значущості для багатовимірної регресійної моделі, побудованої на статистичній вибірці діяльності 4-х банків з різною структурою активів та пасивів, а також значно відрізняючимися обсягами залучених коштів, доказують життєздатність запропонованого підходу масштабування характеристик банку і спільного аналізу ефективності діяльності груп різнорідних комерційних банків України. Впровадження пропозицій і рекомендацій щодо шляхів оптимізації структури залучених коштів в комерційному банку, наданих в дипломній роботі, дозволить:
- зосередити увагу банківських установ на доцільності оптимальних структурних обсягів залучення коштів відносно рівня статутного капіталу з точки погляду на максимальний рівень досягнення дивідендної рентабельності роботи комерційного банку;
- звернути увагу акціонерів комерційних банків на необхідність опти-мального нарощення власного капіталу, оскільки результати дипломного дослідження доводять, що максімум частки ринку залучених коштів не є основою для максимуму дивідендної доходності акціонерного капіталу банку, та навпаки, існує нелінійна функція рентабельності від структурної частки власного капіталу з можливим максимумом в районі 19-20%, яка потребує додаткового дослідження, так:
а) при частці власного капіталу в пасивах – 12,19% для БАНК “Фінанси та кредит”(10 місце на ринку залучених коштів по обсягу), рівень рентабельності статутного капіталу становить 19,59%;
б) при частці власного капіталу в пасивах – 12,39% для БАНК “Приватбанк”(1 місце на ринку залучених коштів по обсягу), рівень рентабельності статутного капіталу становить 22,66%;
в) при рості частки власного капіталу в пасивах – 19,26 % для БАНК “Державний Укрексімбанк”( 7 місце на ринку залучених коштів по обсягу), рівень рентабельності статутного капіталу зростає до 40,09%;
г) при подальшому рості частки статутного капіталу в пасивах – 24,35 % для БАНК “Перший український міжнародний банк”( 15 місце на ринку залучених коштів по обсягу), рівень рентабельності статутного капіталу знижується до 25,1%;
СПИСОК ВИКОРИСТАНИХ ДЖЕРЕЛ
1. ЗАКОН УКРАЇНИ „Про банки і банківську діяльність” // від 7 грудня 2000 року N 2121-III (Із змінами і доповненнями, внесеними Законами України станом від від 16 листопада 2006 року N 358-V)
2. Закон України “Про Національний банк України” // від 20 травня 1999 року N 679-XIV (станом на 10.01. 2002 року N 2922-III)
3. Закон України “Про господарські товариства”//від 19 вересня 1991 року N 1576-XII ( від 17 травня 2001 року N 2409-III)
4. ЗАКОН УКРАЇНИ “Про цінні папери та фондовий ринок” // від 23 лю-того 2006 року N 3480-IV
5. ЗАКОН УКРАЇНИ “Про Фонд гарантування вкладів фізичних осіб” від 20 вересня 2001 року 2740-III
6. Інструкція з бухгалтерського обліку кредитних, вкладних (депозитних) операцій та формування і використання резервів під кредитні ризики в банках України // Постанова Правління Національного банку України від 15 вересня 2004 року N 435
7. Методичні вказівки з інспектування банків "Система оцінки ризиків" // Постанова Правління НБУ від 15.03.2004 № 104.
8. Методичні рекомендації щодо організації та функціонування систем ризик- менеджменту в банках України // Постанова Правління Національного банку України від 02.08.2004 № 361
9. Правила бухгалтерського обліку доходів і витрат банків України // Постанова Правління Національного банку України від 18 червня 2003 року N255 // Законодавчо-довідкова система законодавства України WWW.LIGA-ZAKON.COM.UA , квітень 2006 року
10. Положення про регулювання Національним банком України ліквідності банків України // Постанова Правління Національного банку України від 26 вересня 2006 року N 378
11. Положення про порядок здійснення банками України вкладних (депо-зитних) операцій з юридичними і фізичними особами // Постанова Правління Національного банку України від 3 грудня 2003 року N 516 ( Із змінами і допов-неннями, внесеними постановою Правління Національного банку України від 15 вересня 2004 року N 437)
12. Положення про порядок видачі банкам банківських ліцензій, письмо-вих дозволів та ліцензій на виконання окремих операцій //Постанова Правління Національного банку України від 17 липня 2001 року N 275 (Із змінами і до-повненнями, внесеними постановами Правління Національного банку України станом від 12 жовтня 2005 року N 373)
13. Про затвердження Плану рахунків бухгалтерського обліку банків України та Інструкції про застосування Плану рахунків бухгалтерського обліку банків України // Постанова Правління Національного банку України від 17 червня 2004 року N 280 (Із змінами і доповненнями, внесеними постановами Правління Національного банку України станом від 6 березня 2006 року N 76)
14. Положення про порядок формування обов'язкових резервів для банків України // Постанова Правління Національного банку України від 16 березня 2006 року N 91
15. Про затвердження Інструкції про порядок відкриття, використання і закриття рахунків у національній та іноземних валютах // Постанова Правлін-ня Національного банку України від 12 листопада 2003 року N 492 (Із змінами і доповненнями, внесеними постановами Правління Національного банку України станом від 21 грудня 2005 року N 485)
16. Про затвердження Інструкції про порядок складання та оприлюднення фінансової звітності банків України //Постанова Правління Національного бан-ку України від 7 грудня 2004 року N 598 (Із змінами і доповненнями, внесеними постановами Правління Національного банку України від 21 грудня 2005 року N 484)
17. Про внесення змін до Методики розрахунку економічних нормативів регулювання діяльності банків в Україні // ПРАВЛІННЯ НАЦІОНАЛЬНОГО БАНКУ УКРАЇНИ ПОСТАНОВА від 11 квітня 2005 року N 125(Із змінами і доповненнями, внесеними постановою Правління Національного банку України від 22 грудня 2005 року N 493)
18. Про затвердження Інструкції про порядок регулювання діяльності банків в Україні // Постанова Правління Національного банку України від 28 серпня 2001 року N 368 (Із змінами і доповненнями, внесеними постановами Правління Національного банку України станом від 19 лютого 2007 року N 52)
19. Про розподіл банків на групи // НАЦІОНАЛЬНИЙ БАНК УКРАЇНИ
КОМІСІЯ З ПИТАНЬ НАГЛЯДУ ТА РЕГУЛЮВАННЯ ДІЯЛЬНОСТІ БАНКІВ, РІШЕННЯ від 25 грудня 2006 року N 364
20. Про встановлення мінімального розміру регулятивного капіталу бан-ків у гривнях // ПРАВЛІННЯ НАЦІОНАЛЬНОГО БАНКУ УКРАЇНИ ПОСТА-НОВА від 15 лютого 2006 року N 50
21. Про затвердження Правил організації статистичної звітності, що пода-ється до Національного банку України // Постанова Правління Національного банку України від 19 березня 2003 року N 124 ( Із змінами і доповненнями, внесеними постановами Правління Національного банку України станом від від 16 червня 2005 року N 223)
22. Аналіз банківської діяльності: Підручник / А.М.Герасимович та ін.; За ред. А.М.Герасимовича. — К.: КНЕУ, 2003.— 599 с.
23. Азаренкова Г.М., Дікань Л.В., Новосельцева Т.О. Сучасні комерційні банки: персонал, розвиток, організація: Монографія. – Харків: ВД “ІНЖЕК”, 2003 – 131 с.
24. Арістова А.М., Шульга Н.П. Фінансовий менеджмент у банку. Опорний конспект лекцій – К: КНТЕУ, 2007.- 123 с.
25. Банківський менеджмент: Навч. посібник / За ред. О.А. Кириченка. – К.: Знання-Прес, 2002. – 438 с.
26. Банківські операції: Підручник / За ред. А. М. Мороз. — К.: КНЕУ, друге видання. — 2002. — 476 с.
27. Банківські операції: Підручник. – 2-ге вид., випр. і доп./ А.М.Мороз, М.І.Савлук, М.Ф.Пуховкіна та ін.; За ред. д-ра екон. наук, проф. А.М.Мороза. – К.: КНЕУ, 2002. – 476 с.
28. Банки и банковские операции: Учебник для вузов / Под ред. проф. Е.Ф.Жукова.- М.: Банки и биржи, ЮНИТИ, 1997. - 471 с.
29. Банківські операції:Підручник/За ред.Міщенка В.І., Слав"янської Н.Г.- Київ:Знання-Прес,2006 .-727 с.
30. Банківський нагляд:Навчальний посібник / Міщенко В.І.;Яценюк А.П.; Коваленко В.В.;Коренєва О.Г.- К.: Знання, 2004.- 406 с.-(Вища освіта ХХI століття)
31. Банківський нагляд:Навчальний посібник / Мін-во освіти і науки України; Ун-т економіки та права "Крок";Грушко В.І.;Лаптєв С.М.; Любунь О.С.; Раєвський К.Є.- К.: ЦНЛ, 2004.- 264 с.
32. Бланк, Игорь Александрович. Основы финансового менеджмента/ И.А. Бланк. - 2-е изд., перераб. и доп.. - К.: Эльга: Ника-ЦентрТ.1. - 2004. - 622 с
33. Бланк, Игорь Александрович. Основы финансового менеджмента/ И.А. Бланк. - 2-е изд., перераб. и доп.. - К.: Эльга: Ника-ЦентрТ.2. - 2004. - 618 с
34. Васюренко О.В. Банківські операції : Навчальний посібник . – 4-те вид., перероблене і доповнене – Київ: Знання, 2004. – 324 с. – (Вища освіта ХХІ століття)
35. Васюренко О.В. Банківський менеджмент: Навчальний посібник . – Київ: Академія, 2001. – 313 с.
36. Васюренко О.В., Сердюк Л.В., Сидоренко О.М., Карасьова З.М., Каднічанська В.М., Федоренко Н.С. Облік і аудит у банках: Навчальний посібник.– К.: Знання, 2003. – 524 с.
37. Васюренко Л.В., Федосік І.М. Ресурси комерційного банку: теоретич-ний та прикладний аналіз: Монографія. – Харків: ПП Яковлєва, 2003. – 88 с.
38. Васюренко О.В., Азаренкова Г. Управління ліквідністю банку з погляду зміни швидкості його фінансових потоків // Банківська справа (укр.).- 2003.- № 1.- C.60-64
39. Васюренко, Олег Володимирович. Економічний аналіз діяльності комерційних банків: Навчальний посібник/ О.В. Васюренко, К.О. Волохата. - К.: Знання, 2006. - 464 с. - (Вища освіта XXI століття)
40. Волошина О. Факторные модели анализа ликвидности коммерческого банка // Банковские технологии (рус.).- 2002.- № 12.- C.27-30
41. Голубев И.А. Гэп-анализ структурной ликвидности: теория и практика // Финансы и кредит (рус.).- 2002.- № 18.- C.2-7
42. Гроші та кредит: Підручник / За ред. проф. М. І. Савлука. — К.: КНЕУ, 2002. — 578 с.
43. Деньги, кредиты, банки : Учебник/ Под ред. О.И. Лаврушина. -2-е изд. Перераб. и доп. -М.: Финансы и статистика, 2000
44. Деньги. Кредит. Банки: Учебник для вузов/ под ред. профессора Е. Ф. Жукова. - М.: Банки и биржи, ЮНИТИ, 1999. - 622 с.
45. Доугерти, Кристофер. Введение в эконометрику: Учебник/ К. Доугерти. - 2-е изд.. - М.: ИНФРА-М, 2007. - 419 с. - (Университетский учебник)
46. Збірник задач з аналізу банківської діяльності: Навчальний посібник/ І.М. Парасій-Вергуненко, Л.О. Примостка; Ред. А.М. Герасимович. - К.: КНЕУ, 2006. - 504 с. - (До 100-річчя Київського національного економічного університету)
47. Коцовська Р., Ричаківська В та інш. Операції комерційних банків – Львів : ЛБІ НБУ, 2001 – 276 с.
48. Кулинич, Омелян Іванович. Теорія статистики: Підручник/ О.І. Кулинич, Р.О. Кулинич. - 3-тє вид., переробл. і допов.. - К.: Знання, 2006. - 294 с. - (Вища освіта XXI століття)
49. Лютий, Ігор Олексійович. Банківський маркетинг: Навчальний посібник/ І.О. Лютий, О.О. Солодка. - К.: Знання, 2006. - 395 с. - (Вища освіта XXI століття)
50. Лугінін, Олег Євгенович. Статистика національної економіки та світового господарства: Навчальний посібник для студ. вищих навчальних закладів/ О.Є. Лугінін, С.В. Фомішин. - К.: Центр навчальної літератури, 2006. - 503 с.
51. Миллер Р.Л., Ван-Хуз Д.Д. Современные деньги и банковское дело / Пер.с англ. – М.: ИНФРА - М, 2000. – 856 с.
52. Міжнародні стандарти бухгалтерського обліку/ пер.с.англ. за ред. С.Ф.Голова - К.: Федерація професійних бухгалтерів та аудиторів України, 1998. – 736 с.
53. Молчанов О.В. Теоретичні підходи до управління ліквідністю сучасних банків // Формування ринкових відносин в Україні (укр.).- 2006.- № 10.- C.48-51
54. Надійна практика управління ліквідністю в банківських організаціях // Нормативно-рекомендаційний документ Базельського комітету з банківсь-кого нагляду (№ 69 лютий 2000 року).
55. Нікітін, Андрій Валерійович. Маркетинг у банку: Навчальний посібник/ А.В. Нікітін, Г.П. Бортніков, А.В. Федорченко. - К.: КНЕУ, 2006. - 432 с. - (До 100-річчя Київського національного економічного університету)
56. Никонова И.А., Шамгунов Р.Н. Стратегия и стоимость коммерческого банка. – М.: Альпина Бизнес Букс, 2004. – 304 с.
57. Облік та аудит у комерційних банках / А.М. Герасимович, Т.В. Кривов'яз, О.А. Мазур та ін.; За ред. проф. А.М. Герасимовича. – Львів: Видавництво "Фенікс", 1999. – 512 с.
58. Облік і аудит у банках: Навчальний посібник/ Л.В. Сердюк, О.М. Сидоренко; Ред. О.В. Васюренко. - К.: Знання, 2006. - 596 с. - (Вища освіта XXI століття)
59. Полфреман Д. Основы банковского дела /Пер. с англ. – М.:ИНФРА-М, 1996. – 624 с.
60. Примостка Л.О. Аналіз банківської діяльності: сучасні концепції, методи та моделі: Монографія. — КНЕУ, 2002.— 316 с.
61. Примостка Л.О. Фінансовий менеджмент у банку: Підручник. — 2-е вид., доп. і перероб. — К.: КНЕУ. 2004. — 468 с.
62. Раєвський К.Є., Конопатська Л.В., Домрачев В.М. Банківський нагляд: Навчально-методичний посібник / Мін-во освіти і науки України; КНЕУ/ Раєвський К.Є., Конопатська Л.В., Домрачев В.М.- К.: КНЕУ, 2003.- 174 с.
63. Роуз П.С. Банковский менеджмент. Пер. с англ. со 2-го изд.— М.: «Дело ЛТД»,1995.— 768 с.
64. Семко Т.В. Гроші та кредит у схемах і таблицях: Навчальний посібник/ Т.В. Семко, М.В. Руденко. - К.: Центр навчальної літератури, 2006. - 158 с
65. Симановский А. Ю. Базельские принципы эффективного банковского надзора и их реализация в России // Деньги и кредит. - 2001. - N 3, с. 19-24
66. Синки, Дж. мл. Управление финансами в коммерческих банках. Пер. с англ. 4-го переработанного изд. / под ред. Р.Я.Левиты, Б.С.Пинкерса. — М.: 1994, Catallaxy.— 820 c.
67. Ситник, Людмила Степанівна. Фінансовий менеджмент: Навчальний посібник/ Л.С. Ситник. - К.: Центр навчальної літератури, 2006. - 352 с
68. Статистичне забезпечення управління економікою: прикладна статистика з використанням аналітичних можливостей програмного середовища Microsoft EXCEL: Навчальний посібник/ А.В. Головач, В.Б. Захожай, І.Г. Манцуров, Н.А. Головач. - К.: КНЕУ, 2006. - 322 с. - (До 100-річчя Київського національного економічного університету)
69. Суржинський М. Поняття і сутність банківського регулювання та банківського нагляду в Україні // Юридичний журнал.- 2004.- № 8.- С.83-93.
70. Ткачук В.О. Маркетинг у банку: Навчальний посібник - Тернопіль: “Синтез-Поліграф”, 2006.- 225 с.
71. Уманець, Тетяна Василівна. Економічна статистика: Навчальний посібник/ Т.В. Уманець. - К.: Знання, 2006. - 429 с. - (Вища освіта XXI століття)
72. Управление деятельностью коммерческого банка (банковский менеджмент) / Под ред. доктора экон. наук, профессор О.И. Лаврушина. – М: Юристь, 2003 – 688 с.
73. Шелудько, Валентина Миколаївна. Фінансовий менеджмент: Підручник/ В.М. Шелудько. - К.: Знання, 2006. - 439 с. - (Вища освіта XXI століття)
74. Шевченко Р. І. Банківські операції : Навч.-метод. посіб. для самост. вивч. дисципліни / Київський національний економічний ун-т - К. : КНЕУ, 2003. – 276с.
75. Шиян, Дмитро Вікторович. Фінансовий аналіз: Навчальний посібник/ Д.В. Шиян, Н.І. Строченко. - К.: А.С.К., 2005. - 240 с. - (Університетська б-ка)
76. Щетинін А.І. Гроші та кредит: Підручник для студ. вищих навчальних закладів/ А.І. Щетинін. - К.: Центр навчальної літератури, 2005. - 432 с
77. Щибиволок, Зіновій Іванович. Аналіз банківської діяльності: Навчальний посібник/ З.І. Щибиволок; Відп. за вип. С.І. Шкарабан. - К.: Знання, 2006. - 312 с
78. Эдгар М. Управление финансами в коммерческих банках / Пер.с англ. – М.: Альпина Бизнес Букс, 2004. – 208 с.
79. Ющенко В.А., Міщенко В.І. Управління валютними ризиками.: Навчальний посібник .- Товариство “Знання”, КОО, 1998. – 444 с.
80. Яценюк А.П. Обгрунтування принципів і стандартів банківського регулювання та нагляду // Вісник Української академії банківської справи.- 2003.- № 1.- C. 3-8.
81. Офіційний Інтернет-сайт НБУ – HTTP://www.bank.gov.ua
82. Офіційний Інтернет-сайт Асоціації банків України – HTTP:// WWW.AUB.COM.UA
83. Офіційний Інтернет-сайт БАНК “Фінанси та кредит” - http://www.fc.kiev.ua/, 2007
ДОДАТКИ
Додаток А
Банк «Фінанси та Кредит» - етапи розвитку.
| 2007 |
|
| березень |
Банк "Фінанси та Кредит" став прямим агентом міжнародної системи грошових переказів “MoneyGram” |
| лютий |
Кредитний портфель клієнтів - фізичних осіб Банку «Фінанси та Кредит» перевищив 2 млрд. грн. мультивалютно |
| Банк «Фінанси та Кредит» завершив синдикацію річного кредиту обсягом 70 млн. дол. США |
|
| Кредитний портфель фізичних осіб Банку «Фінанси та Кредит» протягом 2006 року збільшився в 2,7 рази |
|
| Фінансовий результат роботи Банку «Фінанси та Кредит» у 2006 році – 101,69 млн. грн. |
|
| січень |
Депозитний портфель клієнтів - фізичних осіб Банку «Фінанси та Кредит» перевищив 3 млрд. грн. мультивалютно |
| Банк «Фінанси та Кредит» почав надавати юридичним особам послуги «Швидкі виплати» (“Quick Cash”) і «Швидкі платежі» (“Quick Pay”) за системою “Western Union” |
|
| 2006 |
|
| грудень |
Банк "Фінанси та Кредит" став номінантом міжнародної платіжної системи VISA International за підсумками роботи у 2006 році |
| На зборах учасників Банку "Фінанси та Кредит" було прийнято рішення про реорганізацію Банку |
|
| листопад |
Депозитам Банку «Фінанси та Кредит» присвоєно рейтинг А2.ua за національною шкалою міжнародною рейтинговою агенцією Moody's |
| Банк «Фінанси та Кредит» завершив розміщення єврооблігацій на суму 100 млн. дол.США |
|
| Банк «Фінанси та Кредит» збільшив свою банкоматну мережу з 245 до 325 банкоматів |
|
| жовтень |
Депозитний портфель фізичних осіб Банку «Фінанси та Кредит» перевищив 2,5 млрд. грн. |
| Система "Міжнародні грошові перекази ЛІДЕР" і Банк "Фінанси та Кредит" оголосили про створення Міжнародної Союзу Систем Грошових Переказів |
|
| вересень |
Банк «Фінанси та Кредит» збільшує статутний капітал до 494 млн. грн. |
| Банк «Фінанси та Кредит» почав надавати довгострокові іпотечні кредити спільно з Державною іпотечною установою |
|
| серпень |
Банк увійшов до числа українських банків, які отримали кредитний ліміт за гарантіями від Credit Commodity Corporation (USDA), США |
| Банк перейшов на сучасну автоматизовану банківську систему «SR Bank - 4» |
|
| липень |
Банк визнано переможцем конкурсу Міністерства фінансів України на обслуговування проекту Всесвітнього банку «Реабілітація гідроелектростанцій» |
| Фінансовый результат роботи Банку «Фінанси та Кредит» за підсумками I-го півріччя 2006 року – 27,38 млн. грн. |
|
| Портфель споживчого кредитування Банку з початку 2006 року збільшився у 1,5 рази і перевищив 1 млрд. грн. |
|
| Банк «Фінанси та Кредит» залучив синдикований кредит від іноземних банків на суму 35 млн. дол. США |
|
| червень |
Банк і компанія «VISA International» проводять спільну рекламну акцію |
| Випущено 300 - тисячну платіжну картку |
|
| травень |
Банк отримав аудиторський висновок міжнародної аудиторської компанії KPMG |
| Банк ввів у дію програму кредитування клієнтів-фізичних осіб «Швидка фінансова допомога» |
|
| квітень |
Банк залучив у населення понад 2 млрд. грн. |
| Фінансовий результат роботи Банку за підсумками I-го кварталу 2006 року – 20,35 млн. грн. |
|
| березень |
Банк першим увіз на територію СНД банкноти нового зразка номіналом 10 дол. США |
| Банк «Фінанси та Кредит» пропонує своїм клієнтам-власникам платіжних карток нову дисконтну програму |
|
| лютий |
Банк "Фінанси та Кредит" зайняв восьму позицію в рейтингу зберігачів ПАРДу |
| січень |
Банк пропонує нову послугу – оплату послуг оператора мобільного зв"язку «UMC» за допомогою власної системи миттєвих грошових переказів «AVERS» |
| Фінансовий результат роботи Банку "Фінанси та Кредит" за 2005 рік – 14,71 млн. грн. |
|
| Банк надає кредити на придбання залізничних вагонів |
|
| Банк "Фінанси та Кредит" встановив кредитну лінію СЗАТ «Авіакомпанія «Міжнародні авіалінії України» |
|
| 2005 |
|
| грудень |
Банк пройшов сертифікацію з обслуговування чіпових платіжних карток міжнародної платіжної системи VISA International |
| Банк завіз в Україну понад 1 млрд. доларів США |
|
| Уведено в дію нову послугу - оплату послуг "Київстар" за допомогою системи миттєвих грошових переказів "AVERS" |
|
| У Банку розпочав роботу цілодобовий центр підтримки клієнтів |
|
| Банк відкрив обласну дирекцію у м. Кіровоград |
|
| У торгівельній мережі Банку - 200 точок продажу |
|
| листопад |
Банк відкрив обласну дирекцію у м. Тернопіль |
| жовтень |
Банк розпочав емісію платіжних карток «VISA Electron instant issue» |
| Банк відкрив обласну дирекцію у м. Вінниця |
|
| Банк відкрив кредитну лінію ЗАТ «Бобровицький молокозавод» у обсязі 25, 25 млн. грн. |
|
| Фінансовий результат роботи Банку «Фінанси та Кредит» за результатами III кварталу 2005 року - 7, 282 млн. грн. |
|
| вересень |
Банку присвоєно рейтинг B2 стабільний міжнародною рейтинговою агенцією Moody’s Investors Service |
| Банк встановив кредитну лінію у обсязі 3,2 млн. євро дочірньому підприємству ЗАТ „Київський судноремонтний суднобудівний завод” |
|
| Банк пройшов аудиторську перевірку відповідно до міжнародних стандартів аудиту. |
|
| Банк "Фінанси та Кредит" збільшив статутний капітал. |
|
| Кредитний портфель фізичних осіб Банку склав понад 0,5 млрд. грн. |
|
| Банк значно розширив мережу банкоматів. |
|
| август |
Банк запустив власну програму мікрокредитування. |
| июль |
Банк збільшив обсяги кредитування населення у 1,5 рази порівняно з початком року. |
| Банк розширив мережу POS-терміналів. |
|
| Збільшено строк кредитування за програмою "КрАЗ у кредит". |
|
| Розширено мережу переказів платежів за системою "AVERS". |
|
| Банк збільшує статутний капітал у 2,56 рази. |
|
| червень |
Банк «Фінанси та Кредит» завіз в Україну партію золотих монет Банку Росії «Знаки Зодіаку». |
| Банк «Фінанси та Кредит» встановив кредитну лінію ВАТ «Стахановський вагонобудівний завод» ( м.Стаханов, Луганська обл.) у обсязі 13 млн .грн. |
|
| Банк «Фінанси та Кредит» уклав угоду з дочірнім підприємством «ГАЗ України» НАК «Нафтогаз України» про втілення зарплатного проекту. |
|
| травень |
Банк "Фінанси та Кредит" надав перші кредити на придбання мікроавтобусів "Карсан J9" за програмою "Карсан" у кредит". |
| Банк "Фінанси та Кредит" суттєво зменшив ставки кредитів, що надаються у рамках програми"КрАЗ" у кредит". |
|
| Міжнародна аудиторська компанія KPMG надала аудиторський звіт про баланс Банку "Фінанси та Кредит". |
|
| квітень |
Банк "Фінанси та Кредит" збільшив строк іпотечного кредитування з15 до 20 років і суттєво зменшив відсоткові ставки кредитів. |
| Банком "Фінанси та Кредит" підписано угоди про надання агентських послуг у сфері обов"язкового страхування цивільної відповідальності автовласників (ОСАГО) з низкою великих страхових компаній. |
|
| березень |
Станом на 1 березня 2005 року Банк "Фінанси та Кредит" залучив коштів населення на суму понад 1 млрд. грн. |
| лютий |
Банк "Фінанси та Кредит" вперше завіз в Україну золоті монети "Панда" (Китай) і "Кленовий лист" (Канада). |
| 2004 |
|
| лютий |
Банк відкриває філію у м. Дніпропетровську |
| Банком емітована 150-тисячна платіжна картка |
|
| березень |
Банк першим завозить в Україну золоті євро |
| Банк відкриває філію у м. Севастополі |
|
| квітень |
Банк відкриває 100-ту точку продажу банківських послуг |
| травень |
Банк спільно з ХК "АвтоКрАЗ" приступає до реалізації програми з продажу автомобілів у кредит |
| Банк відкриває філію в м. Полтаві |
|
| червень |
Банк відкриває філію в м. Миколаєві |
| Банк збільшує регулятивний капітал до 275 млн. грн. |
|
| Банк першим завозить до України золоті російські червінці та срібні монети "Соболь" |
|
| липень |
Банк відриває філію в м. Сімферополі |
| сересень |
Банк Банк вперше вивіз першу партію готівкової гривні за межі України згідно з договором з "VIP-Банк" (Росія) |
| НБУ розширив банківську ліцензію Банку пунктом, згідно з яким Банк отримав право здійснювати операції з банківськими металами на міжнародних ринках |
|
| жовтень |
Банк "Фінанси та Кредит" ввіз до України першу партію банкнот номіналом 50 дол. США нового дизайну на суму 350 тис. дол. США |
| грудень |
відкрито друге спеціалізоване відділення "Іпотечний центр" у Києві. Готуються до відкриття аналогічні відділення у мм. Дніпропетровську та Донецьку |
| Банк пропонує вкладникам нову депозитну програму. Надано перші кредити на придбання автобусів "Карсан" виробництва ВАТ ХК "АвтоКрАЗ" в рамках програми Банку "Карсан" в кредит" |
|
| 2003 |
|
| січень |
зареєстровано статут Банку у новій редакції, згідно з якою змінено назву Банку – з КБ "Фінанси та Кредит" на "Банк "Фінанси та Кредит", Товариство з Обмеженою Відповідальністю" |
| лютий |
Банк стає прямим агентом компанії Western Union |
| Банк пропонує жителям України програму іпотечного кредитування на строк до 15 років |
|
| Банк та Імпексбанк (Росія) реалізує спеціальну програму зі здійснення грошових переказів приватних осіб між Росією та Україною |
|
| березень |
Банк розпочинає операції з банківським сріблом |
| квітень |
Банк приймає на обслуговування 10 000-го корпоративного клієнта |
| липень |
Банк у 3,7 рази збільшує статутний капітал – до 136,2 млн. грн. |
| Банк став переможцем конкурсу з обслуговування проектів Світового банку "Видача актів на право власності на землю в сільській місцевості та розвиток системи кадастру в Україні" та "Водопостачання та каналізація м. Львова" |
|
| вересень |
Банк став уповноваженим Банком Державного Фонду молодіжного житлового будівництва |
| жовтень |
Банк першим завозить до України партію 20-доларових купюр США нового дизайну |
| Банк підписує генеральну угоду про співпрацю з ВАТ "Рівнеазот" |
|
| листопад |
відкрито перше в Україні спеціалізоване відділення системи Western Union (м.Івано-Франківськ) |
| 2002 |
|
| травень |
Міжнародна аудиторська компанія Deloitte & Touche та ЗАТ АФ "Украудит – ХХІ" завершили перевірку фінансової звітності КБ "Фінанси та Кредит" (Київ) за 2001 рік |
| Банк пропонує послугу - перегляд рахунку через Інтернет |
|
| червень |
Банк пропонує клієнтам нову платіжну картку Eurocard/ MasterCard, номіновану в євро |
| Банк та німецький Drezdner Bank виграли тендер на обслуговування проекту "Фонд соціальних інвестицій" в рамках програми Світового банку |
|
| серпень |
Банк збільшує статутний капітал до 36,2 млн. грн. |
| вересень |
Банк емітує 100-тисячну платіжну картку |
| жовтень |
Банк визнано переможцем конкурсу, оголошеного Пенсійним Фондом України з виплати пенсій та допомог населенню |
| 2001 |
|
| січень |
введена в дію цілодобова служба підтримки клієнтів Банку – власників платіжних карток |
| червень |
Банк приймає на обслуговування 5000-го корпоративного клієнта |
| серпень |
Банком емітовано 50-тисячну платіжну картку |
| вересень |
введено в дію нове програмне забезпечення PRIME |
| 2000 |
|
| січень |
в Банку організовано службу інкасації |
| лютий |
Банк відкриває філію в м. Донецьку |
| Банк починає приймати комунальні та інші платежі у населення |
|
| квітень |
Банк відкриває філію в м. Запоріжжі |
| липень |
відкрито філію Банку в м. Рівному |
| вересень |
Банк отримує ліцензію на депозитарну діяльність зберігача цінних паперів |
| Банк стає учасником Міжрегіонального фондового союзу |
|
| грудень |
Банк отримує ліцензію на ввезення до України австрійських шилінгів |
| 1999 |
|
| березень |
Банк відкриває філію в м. Луганську |
| квітень |
Банк відкриває філію в м. Комсомольську |
| травень |
Банк відриває філію в м. Харкові |
| Банк стає принциповим членом міжнародних платіжних систем VISA та Europay і емітує першу міжнародну платіжну картку |
|
| липень |
Банк приймає на обслуговування 1000-го корпоративного клієнта |
| серпень |
Відкрито Київське регіональне управління Банку "Фінанси та Кредит" |
| вересень |
Банк втілює перший зарплатний проект на базі ДП "Трединг – ІV" |
| жовтень |
Банк почав надавати послуги з прийому-продажу дорожніх чеків Thomas Cook і American Express |
| листопад |
Банк пропонує послуги з прийому зношених та сумнівних банкнот на інкасо |
| грудень |
Банк починає проводити операції з банківським золотом |
| 1998 |
|
| лютий |
Банк отримує дозвіл Міністерства фінансів України № 27 на залучення Банку до обслуговування державної програми приватизації |
| травень |
Банк визначено як банк-агент Кабінету Міністрів України з обслуговування іноземних кредитних ліній, що залучаються під гарантії Кабінету Міністрів України |
| червень |
Банком встановлюється перший банкомат – перший вуличний банкомат в Україні |
| липень |
Банк відкриває філію в м. Одесі |
| грудень |
встановлено першу точку еквайрингу |
| 1997 |
|
| січень |
створено процесинговий центр Банку |
| березень |
Банк відкриває філію в м. Кривому Розі |
| квітень |
відкрито філію Банку в м. Івано-Франківську |
| травень |
Банк стає асоційованим членом міжнародної платіжної системи Europay |
| серпень |
встановлено перший POS - термінал |
| 1996 |
|
| січень |
Банк отримує дозвіл Міністерства фінансів України № 139 на проведення діяльності як депозитарію інвестиційного фонду або інвестиційної компанії |
| квітень |
Банк підключається до міжнародної системи розрахунків S.W.I.F.T. |
| червень |
Банк отримує дозвіл Міністерства фінансів України № 932 на проведення діяльності з випуску та обігу цінних паперів |
| жовтень |
вводиться в дію послуга "Клієнт-Банк" |
| листопад |
Банк стає банком-агентом міжнародних платіжних систем VISA та Europay |
| грудень |
відкрито філію Банку в м. Львові |
| встановлено першу точку еквайрингу |
|
| 1995 |
|
| 13 жовтня |
Банк перереєстровано як Комерційний Банк "Фінанси та Кредит" |
| грудень |
Банк підключається та стає активним учасником інформаційно-дилінгової системи REUTER |
| 1992 |
|
| 30 жовтня |
перереєстрований Національним Банком України (реєстраційний № 63) як Комерційний Банк "Банк ділової співпраці" |
| 1991 |
|
| 20 квітня |
отримує ліцензію НБУ № 28 на право здійснення 30 видів банківських операцій |
| 1990 |
|
| 19 червня |
зареєстрований Державним Банком СРСР як регіональний Комерційний Банк "Український Комерційний Банк ділової співпраці" |
Додаток Б
![]()
Таблиця Б.1
![]()
Таблиця Б.2
![]()
Таблиця Б.3
![]()
Таблиця Б.4
![]()
Таблиця Б.5
Таблиця Б.6
Додаток В
Таблиця В.1 Багатовимірний регресійний аналіз рентабельності (11 параметрів) ![]()
(модель “Активи +пасиви” для помісячної зведеної вибірки по 4-х банках за 2003 – 2006 роки (192 результати) – БАНК “Фінанси та кредит”, БАНК “Приватбанк”, БАНК “Укрсоцбанк”, БАНК “Державний Укрексімбанк”)
Таблиця В.2 Багатовимірний регресійний аналіз рентабельності (6 параметрів) (модель “Пасиви” для помісячної зведеної вибірки по 4-х банках
за 2003 – 2006 роки (192 результати) – БАНК “Фінанси та кредит”, БАНК “Приватбанк”, БАНК “Укрсоцбанк”, БАНК “Державний Укрексімбанк”)
Таблиця В.3 Багатовимірний регресійний аналіз рентабельності (11 параметрів) (модель “Активи +пасиви” для помісячної зведеної вибірки за
2003 – 2006 роки (48 результатів по БАНК “Фінанси та кредит”)
Додаток Г
Основні характеристики БАНК “Фінанси та Кредит”
Таблиця Г.1 Баланс Банку "Фінанси та Кредит" станом на 01 березня 2007 року [83]
| Найменування статті |
(тис.грн.) |
| АКТИВИ |
|
| Грошові кошти та залишки в Національному банку України |
361 380,46 |
| Казначейські та інші цінні папери, що рефінансуються Національним банком України, і цінні папери, емітовані Національним банком України |
107,07 |
| Кошти в інших банках |
646 825,49 |
| Цінні папери в торговому портфелі банку |
14 139,71 |
| Цінні папери в портфелі банку на продаж |
327 293,82 |
| Кредити та заборгованість клієнтів |
6 344 610,55 |
| Цінні папери в портфелі банку до погашення |
0,00 |
| Інвестиції в асоційовані й дочірні компанії |
0,00 |
| Основні засоби та нематеріальні активи |
118 096,46 |
| Нараховані доходи до отримання |
134 103,85 |
| Відстрочений податковий актив |
0,00 |
| Інші активи |
1 829 384,99 |
| УСЬОГО АКТИВІВ |
9 775 942,40 |
| ЗОБОВ"ЯЗАННЯ |
|
| Кошти банків: |
1 630 642,13 |
| У тому числі кредити, які отримані від Національного банку України |
186 000,00 |
| Кошти клієнтів |
4 823 823,42 |
| Ощадні (депозитні) сертифікати, емітовані банком |
0,00 |
| Боргові цінні папери, емітовані банком |
0,00 |
| Відстрочені податкові зобов'язання |
0,00 |
| Інші зобов’язання |
2 609 638,72 |
| УСЬОГО ЗОБОВ"ЯЗАНЬ |
9 064 104,27 |
| ВЛАСНИЙ КАПІТАЛ |
|
| Статутний капітал |
519 000,06 |
| Капіталізовані дивіденди |
0,00 |
| Власні акції (частки, паї), що викуплені в акціонерів (учасників) |
0,00 |
| Емісійні різниці |
0,00 |
| Резерви та інші фонди банку |
60 846,60 |
| Переоцінка: |
|
| Результати переоцінки основних засобів |
16 300,45 |
| Результати переоцінки цінних паперів у портфелі банку на продаж |
5 618,70 |
| Нерозподiлений прибуток (непокритий збиток) минулих років |
101 822,16 |
| Фінансовий результат |
8 250,16 |
| УСЬОГО ВЛАСНОГО КАПІТАЛУ |
711 838,13 |
Таблиця Г.2 Виконання Банком "Фінанси та Кредит" обов'язкових економічних нормативів НБУ (показники станом на 31 грудня 2005 року) [83]
| Назва нормативу |
Значення нормативу Банку "Фінанси та Кредит" |
Значення нормативу НБУ |
| Норматив адекватності регулятивного капіталу |
14,64% |
не менше 10 % |
| Норматив адекватності основного капіталу |
7,57% |
не менше 4 % |
| Норматив миттєвої ліквідності |
67,43 % |
не менше 20 % |
| Норматив поточної ліквідності |
94,06 % |
не менше 40 % |
| Норматив короткострокової ліквідності |
44,17 % |
не менше 20 % |
| Норматив максимального розміру кредитного ризику на одного контрагента |
23,29 % |
не менше 25 % |
| Норматив "великих" кредитних ризиків |
380,46 % |
не менше 800 % |
| Норматив максимального розміру кредитів, гарантій і поручництв, наданих одному інсайдеру |
1,92 % |
не менше 5 % |
| Норматив максимального сукупного розміру кредитів, гарантій і поручництв, наданих інсайдерам |
3,83 % |
не менше 40 % |
| Норматив інвестування у цінні папери по кожній організації окремо |
2,04 % |
не менше 15 % |
| Норматив загальної суми інвестування |
4,38% |
не менше 60 % |
Виконання обов'язкових економічних нормативів [18] свідчить про збалансованість строків та сум активів і пасивів Банку "Фінанси та Кредит", що характеризує здатність Банку своєчасно і у повному обсязі виконувати взяті на себе зобов'язання.
Таблиця Г.3 Виконання Банком "Фінанси та Кредит" обов'язкових економічних нормативів НБУ (станом на 31 грудня 2006 р.) [83]
| Назва нормативу |
Значення нормативу Банку "Фінанси та Кредит" |
Значення нормативу НБУ |
| Норматив адекватності регулятивного капіталу |
16,04% |
не менше 10% |
| Норматив адекватності основного капіталу |
10,46% |
не менше 4% |
| Норматив миттєвої ліквідності |
85,33% |
не менше 20% |
| Норматив поточної ліквідності |
66,89% |
не менше 40% |
| Норматив короткострокової ліквідності |
35,24% |
не менше 20% |
| Норматив максимального обсягу кредитного ризику на одного контрагента |
22,87% |
не більше 25% |
| Норматив "великих" кредитних ризиків |
236,89% |
не більше 800% |
| Норматив максимального обсягу кредитів, гарантій та поручництв, наданих одному інсайдеру |
2,55% |
не більше 5% |
| Норматив максимального сукупного обсягу кредитів, гарантій та поручництв, наданих інсайдерам |
6,47% |
не більше 40% |
| Норматив інвестування у цінні папери по кожній організації окремо |
9,02 % |
не більше 15% |
| Норматив загальної суми інвестування |
37,36% |
не більше 60% |
Таблиця Г.4 Середньозважена процентна ставка в БАНК “Фінанси та Кредит” за деякими активами та зобов’язаннями за звітний 2006 рік (%) [83]
| Рядок |
Найменування статті |
UAH |
EUR |
USD |
RUB |
| АКТИВИ |
|||||
| Кошти в Національному банку України та готівкові кошти банку |
0 |
0 |
0 |
0 |
|
| Казначейські та інші цінні папери, що рефінансуються Національним банком України, і цінні папери, емітовані Національним банком України |
0 |
0 |
0 |
0 |
|
| Кошти в інших банках |
9,77 |
1,61 |
3,32 |
2,12 |
|
| Цінні папери в торговому портфелі банку |
0 |
0 |
0 |
0 |
|
| Цінні папери в портфелі банку на продаж |
6,71 |
0 |
0 |
0 |
|
| Кредити та заборгованість клієнтів |
16,12 |
14,56 |
12,76 |
18,52 |
|
| Цінні папери в портфелі банку до погашення |
0,37 |
0 |
0 |
0 |
|
| ЗОБОВ’ЯЗАННЯ |
|||||
| Кошти банків |
6,35 |
6,36 |
3,74 |
2,35 |
|
| У тому числі кредити, які отримані від Національного банку України |
0 |
0 |
0 |
0 |
|
| Кошти клієнтів |
12,33 |
8,99 |
9,24 |
0 |
|
| Ощадні (депозитні) сертифікати, емітовані банком |
14,56 |
0 |
0 |
0 |
|
| Боргові цінні папери, емітовані банком |
8,15 |
0 |
0 |
0 |
АНОТАЦІЯ
Дипломна робота на тему : „Управління залученими коштами банку (за матеріалами банку ТОВ БАНК „ФІНАНСИ ТА КРЕДИТ”)” складається із вступу, 3 розділів та висновків. Робота викладена на 104 сторін-ках, містить 19 таблиць, 44 рисунки, додатки на 31 сторінці. Перелік викорис-таних джерел містить 84 найменування.
Актуальність обраної теми дипломного проекту та доцільність проведення досліджень для оцінки стану та перспектив розвитку методів управління залученими коштами в комерційних банках полягає в необхідності впровадження методології комплексного аналізу джерел утворення банківських ресурсів, які в існуючій банківській практиці поділяють на власні, залучені та запозичені.
Об’єктом дипломного дослідження є – діяльність комерційного банку по залученню коштів юридичних та фізичних осіб на прикладі діяльності БАНК “Фінанси та Кредит” та порівнянні його діяльності з іншими комерційними банками України першої групи рейтингу Національного банку України.
Предметом дипломного дослідження є – комплекс системи управління залученими коштами в БАНК “Фінанси та Кредит”, а також в інших банківських установах банківської системи України.
Методами дипломного дослідження є – структурний аналіз, первинні статистичні спостереження, групування та статистистичний аналіз хроноло-гічних рядів параметрів, побудова математичної моделі розрахунку рентабель-ності операційної діяльності банку як функції вартості ресурсів та дохідності активних операцій, побудова розрахункового алгоритму математичної моделі в “електронних таблицях” EXCEL-2000 та проведення прогнозного регресійного моделювання впливу структури залучених коштів на рентабельність роботи банківської установи.
Мета дипломного дослідження полягає у теоретичному обгрунтуванні важливості інтегрованого управління активами та пасивами комерційного банку для визначення алгоритму управління залученням ресурсів(пасивів) у юридичних та фізичних осіб, розкриттю діючої практики залучення коштів в БАНК “Фінанси та Кредит”, а також пошуку напрямків удосконалення розвитку програмних моделей управління оптимальністю структури залучених коштів в комерційному банку.
Для досягнення поставленої мети в дипломній роботі вирішуються такі завдання:
- досліджено сутність та класифікацію ресурсної бази комерційного банку, як структурний розподіл коштів на власний капітал, залучені кошти юридичних та фізичних осіб у вигляді поточних та строкових депозитів, запозичені кошти у інших комерційних банків та Національного банку України у вигляді короткострокових та довгострокових кредитів;
- досліджено структуру залучених коштів в БАНК “Фінанси та Кредит”, її динаміку у 2003 – 2007 роках та порівняльні особливості структур залучених коштів в інших комерційних банках першої групи рейтингу НБУ;
- розглянуто процес функціонування та управління залученими коштами в “Фінанси та Кредит”;
- проведено аналіз діючої практики управління залученими коштами в комерційних банках розвинутих країн світу;
- проведена розробка регресійної багатовимірної математичної моделі розрахунку впливу структури пасивів комерційного банку на рентабельність його роботи;
- на основі розрахунків побудованої моделі запропоновано шляхи удосконалення оптимальної структури залучених коштів в БАНК “Фінанси та Кредит” для підвищення рівня рентабельності роботи банку;
Впровадження пропозицій і рекомендацій щодо шляхів оптимізації структури залучених коштів в комерційному банку, наданих в дипломній роботі, дозволить:
- зосередити увагу банківських установ на доцільності оптимальних структурних обсягів залучення коштів відносно рівня статутного капіталу з точки погляду на максимальний рівень досягнення дивідендної рентабельності роботи комерційного банку;
- звернути увагу акціонерів комерційних банків на необхідність опти-мального нарощення власного капіталу, оскільки результати дипломного дослідження доводять, що максімум частки ринку залучених коштів не є основою для максимуму дивідендної доходності акціонерного капіталу банку, та навпаки, існує нелінійна функція рентабельності від структурної частки власного капіталу з можливим максимумом в районі 19-20%, яка потребує додаткового дослідження.
Рік розробки дипломної роботи – 2007, рік захисту - 2007
Похожие рефераты:
Депозитні операції банків на фінансовому ринку України (за матеріалами АТЗТ "АК ПРОМІНВЕСТБАНК")
Фінансова діяльність комерційного банку на прикладі діяльності АКБ "Приватбанк", м. Дніпропетровськ
Управління ресурсами банку (на прикладі ЗАТ "Акціонерний Комерційний Промислово-інвестиційний банк")
Управління кредитними ризиками в діяльності комерційних банків
Управління банківськими ризиками (на прикладі ВАТ КБ "Іпобанк")
Управління кредитними ризиками в комерційних банках
Кредитний ризик комерційного банку та шляхи його мiнiмiзацiЇ
Формування резервів на покриття кредитних ризиків
Валютні операції банку (на прикладі діяльності АКБ "Приватбанк")
Кредитний ризик комерційного банку та способи його мінімізації












