| Скачать .docx |
Дипломная работа: Управління ліквідністю в комерційному банку
Зміст
управління ліквідність банк актив
Вступ
Розділ 1. Теоретико-методологічні засадиуправління ліквідністю банківських установ
1.1Економічна сутність ліквідності комерційного банку
1.2Нормативне та інформаційно-аналітичне забезпеченняпроцесу управління ліквідністю банку
1.3 Теоретичні аспекти процесу управління банківською ліквідністю
1.4 Стратегії і методи управління ліквідністю комерційного банку
Висновки до розділу 1
Розділ 2. Аналіз системи управління ліквідністю вПАТ "Банк "Фінанси та кредит"
2.1Загальна характеристика банку та визначення його місця вбанківській системі України
2.2 Аналіз ліквідності за допомогою нормативів та коефіцієнтів
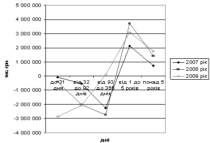
2.3ГЕП-аналіз розривів між активами і пасивами за строками
2.4 Порівняльний аналіз рівня ліквідності ПАТ "Банк "Фінанси та Кредит" з іншими банками України
Висновки до розділу 2
Розділ 3. Шляхи вдосконалення процесууправління ліквідності в банку
3.1Світовий досвід управління ліквідністю комерційного банку
3.2Умови активізації управління ліквідністю
3.3Моделювання ризику ліквідності комерційного банку
Висновки до розділу 3
Висновки
Список використаних джерел
Вступ
Активна інтеграція комерційних банків в міжнародну фінансову систему, яка спостерігається останнім часом ставить на порядок денний питання їх сталості та фінансової стабільності.
Результатом формування і реалізації фінансової політики комерційного банку має бути його стабільний фінансовий стан, здатність розвиватися у перспективі. А одними з головних критеріїв цього виступають платоспроможність і ліквідність банку як категорії, що визначають здатність банківської установи розраховуватись за своїми зобов’язаннями в поточному і майбутніх періодах. Важлива роль у такому процесі належить управлінню ліквідністю комерційного банку.
Актуальність теми. Незважаючи на позитивні зрушення в економіці України, що спостерігалися протягом останніх років, існуючий стан речей не можна вважати сприятливим для банківської діяльності. Такі фактори, як відсутність достатньої кількості платоспроможних позичальників, альтернативних кредитуванню напрямків інвестування коштів, недостатній рівень довіри населення до банківської системи, ставлять перед українськими банками надзвичайно складні завдання. У цій ситуації питання управління ліквідністю є життєво важливим для ефективної діяльності банку. Важливість ліквідності, як окремого банку, так і всієї банківської системи, продемонструвала фінансова криза, яка сильно ослабила позиції банків України. При цьому не слід забувати, що втрата банком своєї ліквідності може стати причиною втрати коштів або навіть банкрутства значної кількості його клієнтів. Це робить банківську ліквідність проблемою не тільки економічного, але й суспільного значення.
Питання управління ліквідністю комерційних банків розглядаються у працях таких вчених, теоретиків та практиків, як Л. О. Примостка, А. М. Мороз, Г.Т. Карчева, О. Дзюблюк, Г. Загорій, І. Волошин, Т. Іванова, О. Мицак, І. Нужна, Д. Олійник, Лаврушин О. та інших. В їх працях висвітлені окремі підходи до управління ліквідністю комерційних банків, аналізуються показники ліквідності, вивчаються підходи до управління банківською ліквідністю. Разом з тим для багатьох українських банків проблема ліквідності є актуальною, тому постає необхідність розробки комплексного підходу до управління банківською ліквідністю в умовах економіки України.
Тому метою даної дипломної роботи є поглиблене вивчення сучасних підходів до управління ліквідністю банку та надання пропозицій щодо напрямів удосконалення управління ліквідністю банку.
Предметом дослідження є стратегія та методи управління ліквідністю банків України.
Об’єктом дослідження є рівень ліквідності та платоспроможності банку.
Для реалізації поставленої мети в дипломній роботі необхідно вирішити наступні задачі:
- визначити економічну сутність ліквідності та платоспроможності комерційного банку;
- розглянути теоретико-методологічні засади щодо управління ліквідністю банків;
- проаналізувати нормативно-правові акти НБУ;
- розкрити механізм існуючих методів управління ліквідністю;
- проаналізувати систему управління ліквідністю банку "Фінанси та кредит" на основі використання методу показників ліквідності, в тому числі і обов’язкових економічних нормативів;
- здійснити порівняльний аналіз рівня ліквідності банку "Фінанси та кредит" з іншими банками першої групи та банківської системи України в цілому;
- визначити розрив між активами і пасивами за строками на основі використання ГЕП-аналізу;
- провести аналіз внутрішніх нормативних документів щодо управління ліквідністю в банку;
- визначити шляхи вдосконалення управління ризиком ліквідності в банку;
- розглянути зарубіжний досвід управління ризиком ліквідності в країнах ЄС та вимоги Базельського комітету щодо управління ліквідністю.
При написанні даної дипломної роботи використовувалиcь математичні та статистичні методи аналізу, які дають змогу дослідити систему управління ліквідністю та зробити порівняльний аналіз рівня ліквідності комерційного банку з іншими банками, а також метод групувань та графічний метод, що дають змогу зробити поглиблений аналіз предмету дослідження та представити графічно отримані результати.
Дипломна робота написана на матеріалах Публічного акціонерного товариства "Банк "Фінанси та Кредит".
Методологічною і інформаційною базою при виконанні дипломної роботи виступає специфіка становлення і розвиток банківської системи України, матеріали нормативного та законодавчого характеру, публікації в спеціальних періодичних виданнях, підручники, внутрішні положення банку та інтернет сайти, використовувались комп’ютерні програми EXCEL та WORD.
Розділ 1.Теоретико-методологічні засади управління ліквідністю банківських установ
1.1 Економічна сутність ліквідності комерційного банку
Ефективне управління ліквідністю є однією з найважливіших проблем у діяльності кожного комерційного банку. Особливо актуальна вона для українських банків, адже об’єктивні економічні умови-нестабільна ресурсна база, обмежений кредитно-інвестиційний ринок-надзвичайно ускладнюють завдання ефективного управління ліквідністю.
Нині кожен комерційний банк щодня перераховує значні суми коштів із рахунків клієнтів-власників. Отож: діяльність банку тісно пов’язана з управлінням рухом грошей. Загальновідомо, що для своєчасного виконання зобов’язань перед клієнтами банку необхідно повсякчас мати у своєму розпорядженні вільні кошти. Разом із тим, аби отримувати прибуток, що є основною метою діяльності будь-якого комерційного банку, він повинен розміщувати наявні у нього вільні кошти (власні та запозичені) у прибуткові активи. Тобто у процесі своєї діяльності банк постійно стикається з дилемою: яким чином розмістити грошові ресурси, аби забезпечити високий рівень прибутковості та своєчасно виконати вимоги клієнтів і кредиторів. Найкращим шляхом розв’язання цієї проблеми є побудова нарівні кожного окремого комерційного банку моделі управління ліквідністю.
Для створення ефективного механізму управління будь-яким економічним процесом важливо досконало володіти відповідними теоретичними знаннями. Звернемося до поняття "банківська ліквідність". Існує чимало дефініцій банківської ліквідності. Серед них виділимо такі:
- спроможність банку своєчасно відповідати за своїми зобов’язаннями;
- можливості щодо використання активу як засобу платежу з огляду на його здатність зберігати свою номінальну вартість незмінною;
- здатність банку забезпечувати вчасне та повне виконання грошових зобов’язань;
- спроможність банку проводити активні операції.
У міжнародній банківській практиці під ліквідністю банку розуміють його здатність швидко і в повному обсязі задовольняти невідкладні потреби у грошових коштах, тому одним з найважливіших завдань управління банком є забезпечення відповідного рівня його ліквідності. [17, с.7]
Ці визначення, як і низка інших, дещо відрізняються за змістом. Але загалом усі вони містять ідею спроможності банку виконувати платежі в необхідних обсягах та в належні терміни.
Інструкція про порядокрегулювання діяльності банків в Україні, яка затверджена Постановою Національного банку України від 28.08.2001 за № 368 визначає:
Ліквідність банку - це здатність банку забезпечити своєчасне виконання своїх грошових зобов’язань, яка визначається збалансованістю між строками і сумами погашення розміщених активів та строками і сумами виконання зобов’язань банку, а також строками та сумами інших джерел і напрямів використання коштів (надання кредитів, інші витрати). [33]
Іншими словами, ліквідність комерційного банку базується на постійній підтримці об’єктивно необхідного співвідношення між трьома її складовими - власним капіталом банку, залученими і розміщеними ним засобами шляхом оперативного управління їх структурними елементами. Ліквідність банку постійно змінюється під впливом попиту і пропозиції на грошові ресурси.
Ліквідність банківської установи знаходиться в обернено пропорційному зв’язку із його дохідністю. Чим більше активів банк тримає в ліквідній формі тим менша їх частина залишається для отримання доходів, і навпаки. Тобто керівництво будь-якого банку постійно вирішує дилему "ліквідність-дохідність".
З урахуванням цього у світовій банківській теорії і практиці ліквідність прийнято розуміти як "запас" або як "потік". При цьому ліквідність як "запас" включає визначення рівня можливості комерційного банку виконувати свої зобов’язання перед клієнтами в певний конкретний момент часу шляхом зміни структури активів на користь їх високоліквідних статей за рахунок наявних у цій області невикористаних резервів. При цьому оцінку ліквідності з точки зору запасу характеризують як доволі вузьке розуміння, оскільки до уваги не беруться ліквідні кошти, які банк може отримати на кредитних ринках або у вигляді доходів.
Ліквідність як "потік" аналізується з погляду динаміки, що припускає оцінку здатності комерційного банку протягом певного періоду часу змінювати несприятливий рівень ліквідності, що склався, або запобігати погіршенню досягнутого, об’єктивно необхідного рівня ліквідності (зберігати його) за рахунок ефективного управління відповідними статтями активів і пасивів, залучення додаткових позикових засобів, підвищення фінансової стійкості банку шляхом зростання доходів. [24, с.29]
Таким чином, кожен комерційний банк повинен самостійно забезпечувати підтримку своєї ліквідності на заданому рівні на основі як аналізу її стану, що складається на конкретні періоди часу, так і прогнозування результатів діяльності і проведення в подальшому науково обґрунтованої економічної політики в області формування статутного капіталу, фондів спеціального призначення і резервів, залучення позикових засобів сторонніх організацій, здійснення активних кредитних операцій.
Крім того, діяльність комерційних банків, які виступають посередниками між тими, хто має у своєму розпорядженні грошові кошти у вигляді заощаджень, і тими, хто їх потребує, полягає в тому, щоб раціонально привертати ці засоби і надавати їх в позику або інвестувати за вищими ставками для забезпечення загальної прибутковості, зокрема отримання прибутку.
Для здійснення операційної діяльності, пов’язаної із залученням грошових коштів і їх розміщенням в умовах ринкової невизначеності майбутнього попиту і надходжень наявних засобів за певний період, банку потрібні засоби в їх ліквідній формі, тобто такі активи, які могли б бути легко і швидко перетворені на готівку з невеликим ризиком втрат або взагалі без нього.
Отже, на наш погляд, ліквідність комерційного банку - це можливість використовувати його активи як наявні грошові кошти або швидко перетворювати їх на такі. Банк вважається ліквідним, якщо суми його грошових коштів, які він має можливість швидко мобілізувати з інших джерел, дозволяють своєчасно виконувати зобов’язання по пасиву. Необхідно підкреслити, що в цілях підтримки своєї стабільності банк повинен мати певний ліквідний резерв для виконання непередбачених зобов’язань, поява яких може бути викликана зміною стану грошового ринку, фінансового положення клієнта або банку партнера.
Діяльність банків на грошовому ринку пов’язана із ризиком ліквідності, який в свою чергу поділяється на: [28, с.26]
- балансовий ризик ліквідності -тобто ризик того, що банк у певний момент часу не зможе виконати свої зобов’язання за рахунок наявних ліквідних активів унаслідок неадекватної структури балансу та незбалансованості між обсягами і термінами погашення активів і пасивів;
- ризик ліквідності ринку - ризик того, що у певний момент часу виникне ситуація, за якої банк не в змозі буде придбати на фінансовому ринку необхідні кошти (позицію) за діючою ринковою ставкою через недостатність поточних обсягів торгівлі або низький кредитний рейтинг самого банку-позичальника;
- ризик події - наявний або очікуваний ризик, що загрожує доходам і капіталу банку, і який спричиняється особливими ситуаціями. Прикладом таких ситуацій можуть бути події в Україні наприкінці 2008 року, що спровокували зародження кризи ліквідності банківської системи країни. Отже, ризик події є наслідком зовнішніх (політичних, соціально-економічних та інших) ризиків.
У свою чергу балансовий ризик ліквідності може поділятися на:
- ризик зобов’язань до запитання -тобто ризик того, що відплив коштівіз поточних рахунків клієнтів банку перевищить залишок коштів на його коррахунках і в касі;
- депозитний ризик - ризик дострокового зняття вкладниками строкових депозитів;
- кредитний ризик - ризик невиконання або несвоєчасного виконання перед банком зобов’язань (за коррахунками, залученими депозитами, отриманими кредитами) іншими банками та позичальниками.
На наш погляд, в сучасних економічних умовах ліквідність необхідно розглядати як багаторівневу систему категорій, яка включає елементи, подані на рисунку 1.1.

Рис. 1.1. Система категорій ліквідності
Ліквідність банківської системи - це спроможність забезпечити своєчасне виконання всіх боргових зобов’язань перед вкладниками, кредиторами і засновниками банківських установ, можливість залучати в повному обсязі вільні кошти юридичних і фізичних осіб та надавати кредити й інвестувати розвиток економіки країни. Характеризуючи ліквідність банківської системи, необхідно розмежувати дві такі категорії: міжнародна (зовнішня) та внутрішня ліквідність. Міжнародна (зовнішня) ліквідність - здатність країни виконувати свої міжнародні зобов’язання, повертати борги. Вона відображає у доларовому еквіваленті міжнародні резерви та інші зовнішні вимоги і зобов’язання органів грошово-кредитного регулювання, а також зовнішні активи та зобов’язання банків України. Відповідно внутрішня ліквідність банківської системи - це здатність виконувати свої зобов’язання перед резидентами України - юридичними та фізичними особами.
Ліквідність банківської системи залежить від ліквідності комерційних банків, національного банку і держави, а також розвитку міжбанківського ринку, що дає можливість розглядати банківську систему як єдине ціле.
Ліквідність банку, як було вже зазначено, це його здатність своєчасно виконувати свої зобов’язання перед кредиторами і вкладниками. Вона відтворює динаміку всіх фінансових потоків за активними і пасивними операціями, зміну вартості активів і пасивів у часі. Складність забезпечення ліквідності, як показує аналіз, полягає в оптимізації ліквідності та прибутковості комерційного банку. Як відомо, між ліквідністю і дохідністю банку обернений зв’язок. Чим вища ліквідність - тим нижча дохідність, і навпаки.
Ліквідність балансу банку визначає можливість погашення зобов’язань банку на певну дату. На основі балансу банку можна розрахувати низку показників ліквідності, з яких окремі регламентовані НБУ, а інші можуть бути визначені для потреб банку при проведенні аналізу його надійності.
Необхідно також виділити таку економічну категорію, як ліквідні ресурси банку, до складу яких входять ліквідні активи та "ліквідні" пасиви.
Ліквідні активи - активи, які можуть бути безпосередньо використані для погашення боргових зобов’язань або які легко можна трансформувати в грошові та інші платіжні засоби. До них належать: готівка, банківські метали, кошти на коррахунках в НБУ та інших банках, державні цінні папери, стандартні короткострокові кредити тощо. Склад та структура ліквідних активів банків різних країн може бути неоднаковою, що зумовлено особливостями розвитку їх фінансово-економічних і правових відносин.
На наш погляд, суть категорії "ліквідні" пасиви полягає в тому, що це пасиви, які стабільно знаходяться в обігу банку, не є надзвичайно чутливими до відсоткових ставок та постійно поповнюються. До "ліквідних" пасивів можна віднести залишки на поточних рахунках постійних клієнтів банку, кредити отримані від міжнародних фінансових організацій, довгострокові депозити фізичних і юридичних осіб тощо. Необхідно підкреслити, що ліквідність банку підвищується, коли мінливість залишків залучених ним коштів зменшується.
На нашу думку, ліквідність банку залежить не тільки від наявних у нього ліквідних ресурсів, але й від рівня ліквідності його клієнтів. Насамперед, від забезпечення юридичними і фізичними особами постійного поповнення коштів на рахунках, відсутності заборгованості перед бюджетом та іншими господарюючими суб’єктами тощо. При цьому на ліквідність банків впливає наявність ліквідної застави позичальників.
Ліквідність банку складається поступово, в процесі його розвитку, збільшення кількості й обсягів здійснюваних ним активних і пасивних операцій.
Розглядаючи питання ліквідності комерційного банку неможливо не затронути і його платоспроможності.
Показник платоспроможності банку визнаний одним із головних у міжнародній банківській практиці. 10 грудня 1987 р. Банк міжнародних розрахунків у м. Базелі затвердив основні критерії й стандарти оцінки банківського капіталу. У березні 1988 р. Базельський комітет з регулювання і методів нагляду за банками, в який входять представники центральних банків 12 розвинутих країн, прийняв загальні принципи розрахунку показників, змістом яких є співвідношення капіталу і активів. На основі цього документу кожна країна має підготувати і законодавчо затвердити свої національні стандарти, які відповідали б духу і букві Базельської угоди.
Відповідно до рекомендацій Базельського комітету НБУ визначив показник, що регулює платоспроможність комерційних банків-норматив адекватності регулятивного капіталу (норматив платоспроможності-Н2), який відображає здатність банку своєчасно і в повному обсязі розрахуватися за своїми зобов’язаннями, що випливають із торговельних, кредитних або інших операцій грошового характеру. Чим вище значення показника адекватності регулятивногокапіталу, тим більша частка ризику, що її приймають на себевласники банку; і навпаки: чим нижче значення показника, тимбільша частка ризику, що її приймають на себе кредиторибанку.
Як бачимо, виходячи із визначення сутності термінів платоспроможності і ліквідності, показники мають спільну мету. Адже мета обох показників-виконання фінансових зобов’язань. Відмінність у тому, що платоспроможність передбачає виконання зобов’язань за рахунок власних коштів, тоді як ліквідність-повне виконання зобов’язань. [17, с.32]
Дане положення засвідчує той факт, що в національній банківській термінології, теорії та практиці, на відміну від міжнародної, часом змішують два поняття: ліквідність банку та його платоспроможність, що призводить до ототожнення методів і засобів підтримання ліквідності та платоспроможності банків.
Вважаємо доцільним і більш обгрунтованим таке розуміння цих термінів:
ліквідність - здатність забезпечувати вчасне і цілковите виконання фінансових зобов’язань;
платоспроможність - рівень забезпеченості фінансових зобов’язань банку власним капіталом.
Звичайно, ліквідність банку є запорукою його платоспроможності. Однак платоспроможність залежить і від інших факторів. До них відносяться:
- політичний і економічний стан у країні або регіоні;
- стан грошового ринку;
- можливість рефінансування у Центральному банку,
- розвиток фондового ринку (ринку цінних паперів);
- наявність і упорядкованість заставного і банківського законодавства;
- забезпеченість власним капіталом банку;
- надійність клієнтів і банків-партнерів;
- рівень менеджменту в банку;
- спеціалізація і різноманітність послуг та операцій банку.
Регулювання платоспроможності, як правило, відноситься до функцій держави в особі Центрального банку. Конкретно регулювання здійснюється шляхом встановлення нормативів на розміри статутних фондів, резервних та інших фондів. Тобто об’єктом регулювання є капітал банку. Мета регулювання - забезпечення достатнього рівня капіталу для захисту фінансових зобов’язань.
Категорія платоспроможності теж є запорукою надійності банку.[43, с.28]
Враховуючи наведене вище, показник платоспроможності можна розглядати як свого роду показник "критичної" ліквідності. Адже власні кошти банку - це його капітал: статутний, резервний та інші фонди. Використання зазначених фондів для погашення боргових зобов’язань доцільне лише в разі крайньої (критичної) необхідності.
Тобто капітал банку може бути використаний для виконання фінансових зобов’язань у випадку, коли інших джерел немає, коли банк неліквідний, немає джерел виконання зобов’язань, крім власних коштів - капіталу. Аналогічна ситуація можлива у випадку, коли банк має збиткові результати діяльності.
Саме забезпечуючи ліквідний стан, банк буде платоспроможним.
1.2 Нормативне та інформаційно-аналітичне забезпечення процесу управління ліквідністю банку
Ліквідність комерційних банків в Україні регулюється Законом України "Про банки і банківську діяльність" від 7 грудня 2000 р. (зі змінами та доповненням) [31] та нормативно-правовими актами Національного банку України, що видаються у формі постанов Правління НБУ, інструкцій, положень.
Відповідно до рекомендацій Базельської угоди Національний банк з метою контролю за станом ліквідності комерційних банків України встановив три нормативи ліквідності, які визначенні в Інструкції про порядок регулювання діяльності банків в Україні, затвердженої постановою Правління НБУ від 28.08.2001 р. № 368 (із змінами та доповненнями): [33]
- Норматив миттєвої ліквідності-Н4;
- Норматив поточної ліквідності-Н5;
- Норматив короткострокової ліквідності-Н6.
Норматив миттєвої ліквідності встановлюється для контролю за здатністю банку забезпечити своєчасне виконання своїх грошових зобов’язань за рахунок високоліквідних активів (коштів у касі та на кореспондентських рахунках). Нормативне значення нормативу Н4 має бути не менше ніж20 %. Норматив миттєвої ліквідності визначається за наступною формулою:
Н4=(Ка+Ккр)/(Рп+Ск), (1.1)
де Н4-норматив миттєвої ліквідності;
Ка-кошти в касі в національній та іноземній валютах;
Ккр-кошти на кореспондентських рахунках в національній та іноземній валютах;
Рп-залишки на поточних рахунках;
Ск- строкові кошти суб'єктів господарювання, фізичних осіб і небанківських фінансових установ, кінцевий строк погашення яких настав.
Для спеціалізованих ощадних та іпотечних банків установлюютьсяспеціальні значення економічних нормативів. Так норматив миттєвої ліквідності (Н4) повинен становити не менше ніж 30%. А для спеціалізованих розрахункових (клірингових) банків значення цього нормативу становить не менше ніж 90%.
У разі наявності в банку розрахункових документів, що не виконані в строк з його вини, значення нормативу миттєвої ліквідності дорівнює нулю з часу виникнення цих зобов'язань.
Норматив поточної ліквідності встановлюється длявизначення збалансованості строків і сум ліквідних активів тазобов’язань банку.Для розрахунку нормативу поточної ліквідності враховуютьсявимоги і зобов’язання банку з кінцевим строком погашення до 31 дня(включно). Нормативне значення Н5 повинно бути не менше ніж 40%. Норматив поточної ліквідності визначається за наступною формулою:
Н5=А/З, (1.2)
де Н5-норматив поточної ліквідності;
А- активи банку з кінцевим строком погашення до 31 днядо яких належать: готівкові кошти; банківські метали; кошти на кореспондентських рахунках, які відкриті в НБУ та інших банках; строкові депозити, які розміщені в НБУ та інших банках; боргові цінні папери, що рефінансуються НБУ, у торговому портфелі банку, у портфелі банку на продаж та в портфелі банку до погашення; боргові цінні папери, емітовані НБУ, у портфелі банку на продаж та в портфелі банку до погашення; боргові цінні папери в торговому портфелі банку, у портфелі банку на продаж та в портфелі банку до погашення; надані кредити;
З- зобов’язання банку із кінцевим строком погашення до 31 дня включно, які включають: кошти до запитання;короткострокові та довгострокові кредити, які одержані відНБУ та інших банків;кошти бюджету України;строкові депозити інших банків та клієнтів; цінні папери власного боргу, емітовані банком; субординований борг банку;зобов’язання і вимоги за всіма видами гарантій, порук,авалів; зобов’язання з кредитування, що надані клієнтам і банкам.
Норматив короткострокової ліквідності встановлюється дляконтролю за здатністю банку виконувати прийняті нимкороткострокові зобов’язання за рахунок ліквідних активів. Нормативне значення Н6 повинно бути не менше ніж 60%. Норматив короткострокової ліквідності визначається за наступною формулою:
Н6=Ал/З1, (1.3)
де Н6-норматив короткострокової ліквідності;
Ал-ліквідні активи з кінцевим строком погашення до одного року, до яких належать: готівкові кошти; банківські метали; кошти на кореспондентських рахунках, що відкриті в Національному банку та інших банках; короткострокові депозити, що розміщені в НБУ та інших банках; короткострокові кредити, що надані іншим банкам; боргові цінні папери органів державної влади в торговому портфелі банку, у портфелі банку на продаж та в портфелі банку до погашення;
З1- зобов'язання банку з кінцевим строком погашення до одного року, які включають: кошти до запитання;кошти бюджету України;короткострокові кредити, які одержані від Національного банкута інших банків;короткострокові депозити інших банків і клієнтів;короткострокові цінні папери власного боргу, емітованібанком;зобов’язання і вимоги за всіма видами гарантій, порук,авалів; зобов’язання з кредитування, які надані банкам і клієнтам.
На наш погляд, у інструкції залишаються певні методологічні неузгодження при розрахунку показників ліквідності. Зокрема, показник короткострокової ліквідності (Н6) не враховує окремі види активів та зобов’язань з початковим строком погашення до одного року. Тобто за такої ситуації спотворюється реальна ситуація ліквідності банку. При розрахунку показників ліквідності, на нашу думку, необхідно також враховувати обсяг сформованих резервів під активні операції, депозити тощо.
Поряд з цим, на особливу увагу заслуговує розподіл окремих видів активів і зобов’язань за строками, наприклад в плані рахунків банку. Автоматично такий розподіл відтвориться у балансі банку, що дасть можливість розраховувати на цій основі більш достовірні показники ліквідності.
З наведених нормативів ліквідності банків України, на наш погляд, слід залишити без змін лише один показник - миттєвої ліквідності. Це один з найважливіших показників у системі економічних нормативів ліквідності. Для кожної банківської установи існує ризик одночасної вимоги клієнтами своїх коштів. Саме показник миттєвої ліквідності характеризує ступінь захищеності банку від цього ризику. Інші показники ліквідності потребують певних змін.
Вище наведенні нормативи являють собою пруденційні норми та є обов’язковими до виконання всіма комерційними банками України. Встановлені нормативи ліквідності є вираженням централізованого управління ліквідністю банків.
Відповідно до Положення про застосування Національним банком України заходів впливу за порушення банківського законодавства, затвердженого постановою Правління НБУ від 28.08.01 №369 за невиконання банками встановлених значень економічних нормативів, в тому числі і нормативів ліквідності, до банків застосовуються відповідні заходи впливу згідно з Законом України "Про банки і банківську діяльність". [32]
Крім встановлених економічних нормативів Національний банк України відповідно до Положення про регулювання Національним банком України ліквідності банків України, затвердженого постановою Правління НБУ від 30.04.2009 р. №259 здійснює регулювання ліквідності банків шляхом проведення:
- операцій з рефінансування банків;
- операцій репо;
- операцій з обміну іноземної валюти на національну валюту з метою підтримання ліквідності банків (своп);
- операцій з власними борговими зобов’язаннями (депозитними сертифікатами Національного банку);
- інших операцій (операцій на відкритому ринку). [34]
Цей нормативний документ покликаний вдосконалити механізм та інструменти регулювання грошово-кредитного ринку й ефективного їх використання для регулювання ліквідності вітчизняних банків.
Національний банк може прийняти рішення про підтримання ліквідності банку через відповідні інструменти рефінансування, якщо банк дотримується таких основних вимог:
- строк діяльності - не менше ніж один рік після отримання ліцензії Національного банку на здійснення банківських операцій і відповідного письмового дозволу;
- має ліцензію Національного банку на здійснення відповідних банківських операцій і письмовий дозвіл, у тому числі за операціями з валютними цінностями та з цінними паперами за дорученням клієнтів або від свого імені;
- має активи, які можуть бути прийняті Національним банком у заставу;
- здійснює своєчасне погашення одержаних від Національного банку кредитів та сплату процентів за користування ними.
Національний банк відповідно до своїх розпорядчих документів у разі коливань на грошово-кредитному ринку може встановлювати додаткові вимоги до банків залежно від інструментів, строків рефінансування, виду забезпечення кредиту рефінансування.
Відповідно до зазначеного положення НБУ в чотири рази скоротив максимальний строк рефінансування банків – з одного року до 90 днів. Положенням про регулювання Національним банком України ліквідності банків розширено також перелік об’єктів застави, яка приймається НБУ при наданні банкам кредитів рефінансування. Отже, нині рефінансування Національним банком банків України з метою підтримання їх ліквідності здійснюється під цінні папери Державної іпотечної установи, зокрема під ті, розміщення яких здійснено під гарантію Кабінету Міністрів України та підтверджено коштами в Державному бюджеті України; під іноземну валюту (долари США, євро, англійські фунти стерлінгів, швейцарські франки, японські єни) та гарантії іншого банку-резидента.
Обсяг наданого Національним банком банку кредиту рефінансування (крім кредиту овернайт), у тому числі за кредитами з урахуванням поданої заявки, не повинен перевищувати 50 процентів розміру регулятивного капіталу банку, розрахованого за даними останнього балансу.
Для підтримки миттєвої ліквідності банку НБУ може надавати кредит овернайт в національній валюті через постійно діючу лінію рефінансування. Кредит строком на один робочий день надасться на умовах, які визначаються генеральним кредитним договором.
Національний банк може надавати банкам кредити овернайт: під забезпечення державними облігаціями України (крім облігацій зовнішньої державної позики України) або депозитними сертифікатами; без забезпечення.
Для підтримки ліквідності НБУ може проводити операції прямого або зворотного репо на строк не більше ніж 60 календарних днів.
Також для підтримання ліквідності банків НБУ може проводити операції з обміну іноземної валюти на національну на строк до 15 календарних днів.
Треба наголосити також на тому, що Національний банк залежно від ситуації на грошово-кредитному ринку може приймати рішення щодо взяття під забезпечення кредиту рефінансування не тільки однорідної застави, а й змішаної.
Всі ці зміни повинні спростити механізм рефінансування та надати можливість банкам, які не мають певного виду застави в достатній кількості, отримати кредит Національного банку для підтримання своєї ліквідності.
Необхідною передумовою ефективного процесу управління ліквідністю в банківській установі є надійне інформаційно-аналітичне забезпечення. Для прийняття виважених рішень стосовно підтримання оптимального рівня ліквідності в банку використовуються інформації з наступних форм звітності:
а) форма № 10-НБУ-оборотно-сальдовий баланс (місячна). Який передбачає надання інформації про обороти тавихідні залишки за балансовими рахунками, рахунками доходів тавитрат, та позабалансовими рахунками за звітний місяць. Для прийняття рішень, щодо управління ліквідністю найважливішою інформацією для менеджменту банку є інформація про залишки активів та зобов’язань за окремими балансовими рахунками;
б) форма № 302"Звіт про класифіковані кредитні операції та сформовані резерви за кредитними операціями з клієнтами" (місячна). Зазначена інформація банків використовується для визначення заборгованості за кредитними операціями, відповідно до якихнараховується резерв на можливі втрати. Інформація надається врозрізі наданих кредитів, гарантій та розміщених депозитів;
Враховуючи те, що кредитні операції є головними операціями комерційних банків на які припадає біля 70-80% всіх активних операцій, а також велику ризиковість даних операцій, то аналіз якості кредитного портфеля банку є необхідним етапом оцінювання банківської ліквідності. Надійність позичальників певною мірою визначає потреби в ліквідних коштах. Кредити, які вчасно не повертаються і вимагають реструктуризації, погіршують ліквідну позицію банку. Якщо питома вага прострочених, пролонгованих і безнадійних кредитів досить велика, то для визначення потреб ліквідності слід брати до уваги не лише строки повернення коштів, але й імовірність таких надходжень.
в) форма № 604 "Звіт про формування резерву на відшкодування можливих втрат за кредитними операціями" (місячна). Уся заборгованість за кредитними операціями поділяється на категорії за ступенямиризику (стандартна, під контролем, субстандартна, сумнівна,безнадійна) та подається в розрізі кредитних операцій у гривнях;
Інформація про обсяг сформованого резерву під кредитні операції також є необхідною для визначення ліквідності банку, оскільки резерв являє собою суму коштів, яка при необхідності може бути використана для підтримання ліквідності на достатньому рівні.
г) форма № 631 "Звітпро структуру активів та пасивів за строками" (декадна) складається за групами валют, застроковістю та використовується длязабезпечення управління активами/пасивами за строками їхрозміщення/залучення, а також для розрахунку нормативівліквідності відповідно до порядку, визначеного Інструкцією пропорядок регулювання діяльності банків в Україні. Дана форма звітності є найважливішою для прийняття рішень щодо управління ліквідністю банку, оскільки саме на основі інформації, яка береться з цієї форми проводиться ГЕП-аналіз. ГЕП-аналіз дає змогу визначити розрив ліквідності в конкретному банку, невідповідність між строками погашення активів та зобов’язань банку та відповідно оцінити ризик незбалансованої ліквідності, а також розробити заходи покращення ситуації ліквідності банку.
В банку "Фінанси та Кредит" на базі якого здійснюється написання даної дипломної роботи управління ліквідністю базується на систематичному аналізі та дослідження інформаційних даних, які формуються на основі наступних звітів:
-"Щодобові показники діяльності банку";
-"Прогнозні дані про стан коррахунку банку та виконання резервних вимог НБУ";
-"Динаміка нормативу поточної ліквідності (Н5)";
-"Динаміка нормативу короткострокової ліквідності (Н6)";
-"Виконання нормативів ліквідності та обов’язкових резервів філіями банку "Фінанси і кредит"";
-"Щоденні дані для аналізу економічних нормативів та обов’язкових резервів";
-"Структура залучених коштів, що підлягають резервуванню";
-"Дані про рух коштів через рахунки НОСТРО";
-"Дані про рух коштів на рахунках найбільших клієнтів та підпорядкованих їм структурних підрозділів";
-"Дані про рух кредитних коштів на рахунках найбільших клієнтів та підпорядкованих їм структурних підрозділів";
-"Оперативні дані щодо надходження коштів від продажу валюти";
-"Прогноз обсягів активних та пасивних операцій";
-"Прогноз обсягів кредитної заборгованості банку";
-"Дані про найбільших кредиторів банку";
-"Дані про обсяг зобов’язань з кредитування".
-"Структура зобов’язань банку за ступенем стабільності";
-"Структура активів банку за ступенем ліквідності"
-"Дані про обсяги кредитного портфелю та ресурсної бази". [21]
Аналіз фактичних даних здійснюється Департаментом ризик менеджменту відповідно до внутрішніх звітів на початок кожного операційного дня та в динаміці за певний період часу.
Для дослідження структури активів та пасивів балансу всі активні та пасивні операції розглядаються у розрізі їх основних груп та рахунків, зміна залишків за якими має найбільш суттєвий вплив на рівень ліквідності.
1.3 Теоретичні аспекти аналізу та управління банківською ліквідністю
Ліквідність банків є головним фактором, що визначає їх платоспроможність та формує довіру кредиторів до банківської системи. Під управлінням ліквідністю розуміють діяльність банку по забезпеченню збалансованості попиту та пропозиції ліквідних засобів за термінами і обсягами. [45, с. 158]
В російській економічній літературі управління ліквідністю визначається як сукупність дій, спрямованих на забезпечення ліквідності як окремо взятого комерційного банку, так і банківської системи в цілому. [44, с. 249]
Управління ліквідністю є складовою більш загального процесу управління активами і пасивами банку. Тому принципи, стратегії та методи управління ліквідністю мають узгоджуватися з обраним банком підходом до управління активами та пасивами.
Завданням банку в процесі управління ліквідністю є створення та удосконалення механізму по забезпеченню необхідного рівня ліквідності, впровадження якого дає можливість вирішити наступні стратегічні завдання:
- дотримуватись нормативних вимог ліквідності та не допускати як надлишкового запасу, так і дефіциту ліквідності;
- підтримувати оптимальне співвідношення між ліквідністю та прибутковістю активних операцій;
- звести до мінімуму рівень ризику ліквідності.
Головними напрямками діяльності банку в процесі управління ліквідністю є:
- досягнення нормативного рівня ліквідності шляхом нарощення та стабілізації ресурсної бази, тобто, постійного збільшення частки строкових пасивів у ресурсній базі;
- планомірне нарощення капіталу банку;
- формування оптимальної структури активів, збалансованої за обсягами, термінами та видами валют із ресурсною базою;
- виконання нормативних вимог Національного банку України щодо миттєвої, поточної, короткострокової ліквідності та обов’язкових резервних вимог до коррахунку, забезпеченні своєчасного проведення активних і пасивних операцій.
В сучасній українській економічній літературі управління ліквідністю комерційних банків розглядається на макро- і мікрорівні. На макрорівні воно забезпечується НБУ на основі встановлення і контролю за дотриманням банками нормативів ліквідності (миттєвої, поточної та короткострокової). У деяких країнах (наприклад, у США), нормативи ліквідності не встановлюються, але органи банківського нагляду постійно здійснюють контроль за дотриманням ліквідності банків і оцінюють якість управління нею в ході перевірки на місцях по рейтинговій системі "CAMELS", де ліквідність розглядається як один із найважливіших показників діяльності банку. [5, с. 268] Здебільшого для контролю за ліквідністю застосовується метод коефіцієнтів, який дозволяє не лише оцінити рівень ліквідності окремого банку, але й здійснювати порівняльний аналіз ліквідності різних банків.
Централізоване регулювання ліквідності спрямовано насамперед на здійснення контролюючої функції за станом ліквідності комерційних банків, проте часом призводить до послаблення уваги до цієї проблеми з боку керівництва банків. Іноді ліквідність сприймається не як власна проблема банку, а як така, що може бути вирішена втручанням центрального банку і наданням стабілізаційних кредитів. Як показує зарубіжний і вітчизняний досвід, така позиція є глибоко помилковою і призводить здебільшого до трагічних наслідків, коли банк перестає існувати. Після втрати ліквідності відновити репутацію банку та довіру до нього з боку клієнтів майже неможливо.
В мікроекономічному аспектіуправління ліквідністю здійснюється самим банком. У процесі управління ліквідністю перед менеджером конкретного банку постають задачі:
- глибокого розуміння суті проблеми ліквідності;
- пошуку оптимального методу управління ліквідністю;
- організації адекватних систем контролю й оцінки потреби вліквідних засобах;
- забезпечення доступних джерел їхнього поповнення;
-створення власних систем управління ліквідністю банку.
Вирішуючи ці задачі, необхідно враховувати не тільки можливості банку і потреби клієнтів, але і такі фактори як:
- політична й економічна ситуація в країні;
- стан грошового ринку;
- наявність і досконалість законодавства;
- надійність клієнтів і партнерів;
- рівень ризику банківських операцій;
- розвиток ринку цінних паперів;
- компетентність фахівців і т.і.
Для вітчизняних банків процес створення ефективної системи управління ліквідністю ускладнюється нестабільністю економіки, недостатнім рівнем кваліфікації і досвіду банківських кадрів.
Так, наприклад, управління ризиком ліквідності є одним із ключових елементів стратегії розвитку ПАТ "Банк "Фінанси та Кредит". Головні засади управління ліквідністю в банку базуються на загальновизнаних підходах і рекомендаціях Базельського комітету (Базель ІІ) та Національного банку України, а загальний контроль за управлінням здійснюється керівництвом та Спостережною Радою.
Але при цьому слід зазначити, що стратегія ризик-менеджменту банку базується на дотриманні принципу беззбитковості діяльності й спрямована на забезпечення оптимального співвідношення між прибутковістю бізнес-напрямків діяльності банку й рівнем ліквідності. Стратегія управління ліквідністю має на меті використання всього спектру інструментів зниження ризику ліквідності.
У банку "Фінанси та Кредит" розроблений комплекс документів, що чітко регламентують процеси і процедури управління ризиком ліквідності: Методичні рекомендації щодо управління ліквідністю в банку "Фінанси та кредит", затверджені протоколом Правління від 18.11.2008 року № 220 та План заходів для підтримання необхідного рівня ліквідності у випадку виникнення кризової ситуації, затверджений протоколом Правління від 21.10.2006 року № 2088. Ці документи визначають стандарти та дії для забезпечення стійкості і надійності банку при досягненні запланованих результатів діяльності.
В ПАТ "Банк "Фінанси та Кредит" з метою уникнення загроз, пов’язаних із реалізацією зовнішніх та внутрішніх факторів ризику ліквідності, відповідно до вимог НБУ, розробляються процедури та заходи щодо попередження та запобігання стресовим ситуаціям, плани дій на випадок кризових обставин.
Щоб попередити надмірне підвищення ризику ліквідності, менеджмент банку повинний керуватися наступними засадами:
-пріоритетність ліквідності, у тому числі і при виборі напрямків розміщення коштів;
-сталість аналізу потреб банку в ліквідних засобах, щоб уникнути як їхнього надлишку, так і дефіциту;
-планування і прогнозування дій банку у випадку виникнення незбалансованої ліквідності в кризовій ситуації;
-взаємозв’язок ризику ліквідності з іншими сферами діяльності банку, такими як залучення і розміщення ресурсів, а також управління ризиком зміни процентних ставок.
Метою процесу управління ліквідністю банку є безперебійне забезпечення достатнього рівня ліквідності банку за мінімальних витрат.
В управлінні станом ліквідності доцільно виділити два напрями. Один з них - політика пильного контролю за резервами. Вона зводиться до того, щоб не допустити наявності в банку коштів, що не приносять доходів, тобто фактично будь-якого надлишку коштів щодо потреб в них. Інша протилежність - політика постійної підтримки резервів на рівні, достатньому для задоволення вимог про норми обов’язкових резервів і в пікові періоди зростання депозитів.
Теорія управління ліквідністю з’явилася і розвивалася практично одночасно з організацією і розвитком комерційних банків. Спочатку питання про банківську ліквідність мало два теоретичні підходи. Перший був заснований на тому, що структура активів банку по термінах повинна точно відповідати структурі його пасивів, а це практично виключало можливість проведення комерційними банками активної політики управління своєю ліквідністю. На даній теоретичній основі було вироблено так зване золоте банківське правило, що полягає в тому, що величина і терміни фінансових вимог банку повинні відповідати розмірам і термінам його зобов’язань. [22, с. 49]
Другий підхід базувався на реальній невідповідності структур активів і пасивів балансу, оскільки жоден навіть наймогутніший комерційний банк не застрахований від наслідків фінансово-кредитних явищ, що постійно відбуваються в соціально-економічних системах: економічних криз, банкрутств, неплатежів по позиках, кон’юнктури попиту і пропозицій на ринках позикових капіталів грошових коштів, цінних паперів і інших проявів незбалансованості ринкових відносин. Такі явища найбільш характерні для країн, що здійснюють перехід від планово-централізованої до ринкової економіки.
Усі вищезгадані та інші складнощі, що реально виникали на різних етапах розвитку або перетворення соціально-економічних систем, вимагали постійного нагляду банківського керівництва за підтримкою певного рівня ліквідності. Забезпечення цієї базисної умови стійкої діяльності комерційних банків викликало об’єктивну необхідність вирішити проблему ліквідності через можливість управління структурою балансу, тобто можливість управління активами і пасивами комерційних банків.
У процесі еволюційних перетворень соціально-економічних систем, ускладнення і вдосконалення світової практики банківської справи другий підхід до питання ліквідності комерційних банків отримав подальший розвиток за двома основними напрямами: теорії управління активами ітеорії управління пасивами комерційних банків.
До управління ліквідності банку можна підійти з погляду розгляду трьох різних теорій:
- теорії комерційних позик;
- теорії переміщення;
- теорії очікуваного доходу. [17, с. 11]
Прихильники теорії комерційних позик стверджують, що комерційний банк зберігає свою ліквідність, поки його активи розміщені в короткострокові позики, що своєчасно погашаються при нормальному стані ділової активності. Іншими словами, банкам слід фінансувати послідовні стадії руху товарів від виробництва до споживання. У наш час ці позики отримали б назву позик під товарні запаси або на поповнення оборотного капіталу. Упродовж майже всієї історії банківської справи вважалося, що банки не повинні кредитувати покупку цінних паперів, нерухомості або споживчих товарів або надавати довгострокові кредити сільському господарству. Теорія комерційних позик була провідною банківською теорією в CШA з колоніальних часів до кінця 30-х років минулого сторіччя. Основним недоліком теорії є те, що вона не враховувала кредитних потреб економіки, що розвивалася. Ця теорія також не змогла врахувати відносну стабільність банківських внесків. Банківські внески можуть бути вилучені на вимогу, але малоймовірно, що всі вкладники одночасно вимагатимуть свої кошти. І нарешті, останній недолік цієї теорії полягає в тому, що короткострокова комерційна позика забезпечує ліквідність в умовах нормального економічного розвитку, але не в умовах економічного спаду, коли ліквідні кошти особливо необхідні. У ці періоди оборот товарних запасів і дебіторської заборгованості сповільнюється, і багатьом фірмам важко погасити позику при настанні її терміну.
Теорія переміщення заснована на твердженні, що банк може бути ліквідним, якщо його активи можна перемістити або продати іншим кредиторам або інвесторам за готівку. Таким чином, умовою покриття потреб окремого комерційного банку в ліквідних ресурсах є постійна наявність активів, які можна продати.
Згідно з теорією очікуваного доходу банківську ліквідність можна планувати, якщо в основу графіка платежів у погашення кредитів покласти майбутні доходи позичальника. Вона не заперечує розглянутих вище теорій, але підкреслює, що зв’язок доходів позичальника з погашенням позики є важливішим, ніж забезпечення кредиту. Дана теорія також стверджує, що на банківську ліквідність можна впливати, змінюючи структуру термінів погашення кредитів і інвестицій. Короткострокові кредити промисловості більш ліквідні, ніж термінові позики, а кредити споживачам на оплату покупок більш ліквідні, ніж іпотечні позики під житлові будови.
Теорія очікуваного доходу сприяла тому, що багато банків поклали в основу формування портфеля інвестицій ефект ступінчастості: цінні папери так підбираються по термінах погашення, щоб надходження були регулярними і передбаченими. У цьому випадку портфель інвестицій за показником регулярності платежів готівкою наближається до портфеля кредитів з регулярним погашенням боргу та відсотків.
Захисники цієї теорії стверджують, що банки можуть вирішити проблему ліквідності шляхом залучення додаткових засобів з ринку. Спочатку на захист цієї теорії найактивніше виступали великі банки провідних фінансових центрів, але незабаром її прийняли повсюдно. Її виникнення пов’язане з відновленням ринку федеральних фондів США в 50-ті роки XX століття і подальшим розвитком зраджуваних термінових депозитних сертифікатів як головного інструменту грошового ринку.
Іншим напрямом в управлінні банківською ліквідністю є теорія управління пасивами, що розвиває і доповнює політику управління ліквідності комерційних банків. Вона ґрунтується на таких двох твердженнях.
Перше - комерційний банк може вирішувати проблему ліквідності шляхом залучення додаткових грошових коштів, купуючи їх на ринку капіталу. Реально дане твердження знайшло практичне втілення в західних країнах.
Друге - комерційний банк може забезпечити свою ліквідність, вдаючись до обширних позик грошових коштів в Національному банку або у банків-кореспондентів, а також до позик, що отримуються на ринку євровалют.
Комерційні банки широко залучають позикові кошти. За рахунок них формується більше 80% загальної суми активів. Завдяки використанню досить дешевих позикових засобів, зокрема депозитів, відносно невеликий прибуток від банківських операцій зрештою повинен досягати розмірів, що забезпечують акціонерам прийнятний дохід. [22, с. 50]
У широкому сенсі управління пасивними операціями є діяльністю, пов’язаною із залученням коштів вкладників та інших кредиторів і визначенням відповідної комбінації джерел коштів для даного банку. У вужчому сенсі під управлінням пасивними операціями слід розуміти дії, спрямовані на задоволення потреб у ліквідності шляхом активного дослідження позикових засобів у міру необхідності. Здатність розміщувати депозитні сертифікати і позичати євродолари або кошти у центральному банку дозволяє банку у меншій мірі залежати від низькодохідних вторинних резервних активів, а це розширює його можливості отримувати прибуток. Проте ці операції, зв’язані з ризиком. В управлінні пасивними операціями необхідно враховувати і цей додатковий ризик і, крім того, відношення між витратами на залучення коштів і доходом, який можна отримати від вкладення цих коштів у позики або цінні папери. Отже, взаємозв’язок міжуправлінням активами і управлінням пасивними операціями має вирішальне значення для прибутковості банку.
Останніми роками банки вдаються до обширних позик для забезпечення своєї ліквідності. Такі позики стали називати управлінням пасивами. Розширення масштабів використання позикових коштів обумовлене збільшенням попиту на банківські кредити і відносно повільним зростанням внесків до запитання останніми роками. Посилення економічної активності і підвищення темпів інфляції означає зростання потреби господарських фірм в кредиті. Крім того, як фірми, так і приватні особи стали більш чутливими до процентних ставок, у зв’язку з якими, як вже зазначалось, сповільнився приріст внесків до запитання. Збільшення витрат спонукало банки більш повно використовувати свої ресурси. Це привело до зростання коефіцієнта позики/депозити в порівнянні з минулими роками.
На наш погляд вУкраїні використання теорії має обмежений характер, адже залучення коштів здійснюється на платній основі. А в умовах обмеження ринку кредитів додаткове залучення платних фінансових ресурсів недоцільне, оскільки воно не знаходить додаткових прибуткових сфер інвестування.
Таким чином, можна зробити висновок, що теоретико-методологічні основи управління ліквідністю побудовані на положенні, що накопичення грошей не приносить користі в противагу інвестуванню.
Банківські установи заінтересовані строго контролювати готівкові кошти, зберігати в ліквідній формі лише мінімально необхідну частину своїх коштів. Адже для комерційних банків джерелом отримання прибутків є операції з управління активно-пасивними коштами. Підвищення ліквідності передбачає зниження прибутковості банку у зв’язку із збільшенням частки ліквідних активів. Це пов’язано з тим, що кошти в ліквідній формі - готівка, поточні рахунки клієнтів, короткострокові державні цінні папери - хоча і легко реалізуються, але найменш доходні.
Питання забезпечення відповідного рівня ліквідності набуває особливої актуальності в умовах масового вилучення коштів вкладниками банківських установ. Якщо банківська установа не забезпечить рівня зберігання належної частини коштів у ліквідній формі (готівка та кошти, що мають бути повернуті через короткий термін часу), вона не зможе забезпечити виконання своїх фінансових зобов’язань
Ефективна система управління має постійно забезпечувати достатній рівень ліквідності за мінімальних витрат, тому важливе значення має застосовуваний банком інструментарій управління ліквідністю, зокрема методи оцінювання потреби в ліквідних коштах, доступність джерел їх поповнення для кожного банку, стратегії управління ліквідною позицією. В сучасній практиці використовується досить великий арсенал різноманітних методів аналізу та управління ліквідністю. (Додаток А)
У сучасних умовах розвитку банківської системи України актуальною проблемою є визначення оптимального рівня ліквідності банків.
Усі методи аналізу та визначення потреби банку в ліквідних коштах засновані на певних припущеннях і дають тільки приблизну оцінку розміру необхідних ліквідних коштів у будь-який момент часу. Основними серед них є:
- метод структурування фондів;
- метод коефіцієнтів ліквідності;
- метод залучення і використання ресурсів. [30, с. 420]
Метод структурування фондів полягає у зіставленні обсягу необхідних резервів ліквідності та заявок на стандартні кредити з обсягом наявних ліквідних активів. Головним недоліком цього методу є прогнозування ліквідності без урахування строків закінчення окремих депозитів і кредитів.
У разі використання методу структурування фондів необхідно:
- на першому етапі розподілити всі ресурси за джерелами формування залежно від оборотності за рахунками;
- на другому етапі за кожним із джерел установити вимоги збереження фіксованої частки ресурсів у ліквідній формі;
- на третьому етапі розподілити кошти з кожного джерела на фінансування відповідної групи активів.
Потреба банку в ліквідних коштах оцінюється встановленням для кожної категорії джерел фінансування вимоги збереження певної частки коштів у ліквідній формі. Для стабільних джерел ця частка може бути незначною – 10-15 %, для мінливих вкладів і недепозитних зобов’язань – 25-30 ‘%, для зобов’язань за "гарячими грошима" -80-90 %. Конкретні обсяги резервування ліквідних коштів визначаються суб’єктивно, здебільшого на основі міркувань, припущень та досвіду менеджерів кожного банку.
Метод коефіцієнтів ліквідності передбачає обчислення обсягів різного роду активів у відповідно згрупованих пасивів. Складність застосування цього методу пов’язана з визначенням критеріального рівня, з яким слід порівнювати обчислені індикатори ліквідності: нормативами НБУ, середньогалузеві показники або показники визначені банками на базі практичного досвіду. Такі порівняння дозволяють виявити загальні тенденції зміни ліквідності банку та імовірності виникнення проблемних ситуацій, а також вжити відповідних заходів щодо поповнення ліквідних активів або реструктуризації балансу.
Практика управління ліквідністю за методом показників діє і в Україні. У процесі аналізу ліквідності банк може додатково використовувати й інші коефіцієнти:
а) коефіцієнт високоліквідних активів, який розраховується за формулою:
К1=Авл/Ар, (1.4)
де Авл-високоліквідні активи;
Ар-робочі активи;
Рекомендоване значення не менше 20%.
б) коефіцієнт загальної ліквідності, який розраховується за формулою:
К2=Аз/Зз,(1.5)
де Аз-загальні активи;
Зз-загальні зобов’язання;
Рекомендоване значення даного показника не менше 100%.
в) коефіцієнт співвідношення ліквідних та загальних активів. Рекомендоване значення показника знаходиться в межах 20-30%;
г) коефіцієнт співвідношення позик і депозитів-відношення всіх активів з нормальним ризиком (включаючи позики, авізо, дисконти) до основних депозитів. Рекомендоване значення показника знаходиться в межах 70-80%;
д) коефіцієнт ліквідних цінних паперів-відношення цінних паперів уряду країни, які перебувають у портфелі банку до сукупних активів;
е) коефіцієнт структурного співвідношення вкладів-відношення депозитів до запитання до строкових депозитів;
ж) генеральний коефіцієнт ліквідності-співвідношення суми захищеного капіталу (вкладення у нерухомість, цінності, устаткування) та ліквідних активів до суми загальних зобов’язань. Оптимальне значення 10%.
Метод залучення і використання полягає в обчислені обсягів ліквідних активів на основі вивчення грошових потоків за всіма угодами банку.
Метод структури ресурсів і метод коефіцієнтів використовується при управлінні миттєвою ліквідністю, а метод залучення і використання дає можливість спрогнозувати динаміку ліквідності на тривалі проміжки часу. Загалом управління ліквідністю є складовою процесу управління активами і пасивами банку, тому вибір інструментів насамперед залежіть від прийнятої в конкретному банку стратегії управління активами і пасивами та моделі організації роботи казначейства.
Отже, методи аналізу потреби банку в ліквідних коштах є суб’єктивними. Насправді ліквідність банку визначається ринком і перебуває під впливом багатьох чинників, повне врахування яких на практиці практично неможливе. Завдання менеджменту полягає в розробці підходів які дадуть змогу максимально врахувати фактори впливу на ліквідну позицію з метою ефективного управління.
1.4 Стратегії та методи управління ліквідністю комерційного банку
У практичній діяльності банки застосовують кілька загальних підходів до управління ліквідністю, це:
- Стратегія трансформації активів (управління ліквідністю через активи);
- Стратегія запозичення ліквідних засобів (управління ліквідністю через пасиви);
- Стратегія збалансованого управління ліквідністю (управління ліквідністю через активи і пасиви). [30, с. 415]
Сутність стратегії трансформації активів полягає в накопичені банком ліквідних ресурсів у вигляді грошових коштів та ліквідних цінних паперів. При виникненні потреби нагромаджені високоліквідні активи продаються на ринку. Управління ліквідністю через управління активами є традиційним і найпростішим підходом. Здебільшого така стратегія використовується невеликими банками, які не мають широких можливостей запозичення коштів та доступу на грошові ринки.
Стратегія трансформації активів оцінюється як менш ризикова порівняно з іншими, але одночасно і досить дорога з погляду вартості. Продаж активів супроводжується певними витратами (комісійні брокерські, біржові внески тощо), а також призводить до погіршення стану банківського балансу, оскільки продаються низькоризикові активи. Крім того, банк втрачає майбутні доходи, які могли б бути згенеровані такими активами. Іноді банк змушений продавати активи за зниженими ринковими цінами, якщо виникає нагальна потреба у грошових коштах. Підтримування значного запасу ліквідних активів у цілому знижує показники прибутковості банку.
Стратегія запозичення ліквідних засобів вважається найбільш ризикованою стратегією, вона реалізується шляхом запозичення ресурсів на ринку. Основними джерелами запозичення ліквідних засобів для банків є позики на міжбанківському ринку, угоди РЕПО, врахування векселів та отримання позик у центральному банку, випуск цінних паперів.
Стратегія запозичення ліквідності потребує адекватної аналітичної підтримки, яка включає:
-прогнозний аналіз потреби банку у ліквідних коштах через порівняння вхідних та вихідних грошових потоків;
-прогнозування стану фінансових ринків та прогнозний аналіз вартості підтримування ліквідної позиції;
-інваріантний аналіз різних джерел запозичення ліквідних коштів за такими параметрами, як доступність, відносна вартість, відповідність строків залучення та тривалості потреби в ліквідних коштах, правила регулювання, обмеження на використання;
-вибір оптимального варіанту підтримки ліквідної позиції та обґрунтування управлінських рішень.
Великі міжнародні банки найчастіше використовують дану стратегію у процесі управління ліквідністю, іноді повністю задовольняючи потребу в ліквідних коштах саме в такий спосіб.
Управління ліквідністю через управління пасивами оцінюється як найбільш ризикована стратегія, оскільки супроводжується підвищенням ризику зміни відсоткових ставок та ризику доступності запозичених коштів. Це означає, що вартість підтримування ліквідності в такий спосіб може бути як нижчою, ніж у разі застосування інших методів, так і значно вищою. Часто банки змушені робити позики за невигідною ціною або в період, коли зробити це непросто. Крім того, банкові, який має проблеми з ліквідністю, важче знайти кредитора, а вартість запозичення відчутно зростає. [48, с. 328]
Стратегія збалансованого управління ліквідністю. Згідно зі збалансованим підходом до управління ліквідністю накопичення ліквідних активів здійснюється в розмірі очікуваного попиту на них, у випадку виникнення непередбачуваної потреби попит на ліквідні засоби задовольняється за рахунок проведення операцій купівлі активів на ринку.
Аналітична підтримка цієї стратегії управління ліквідністю є найскладнішою і включає цілий комплекс задач:
- аналіз стабільності ресурсної бази банку з урахуванням диференціації джерел фінансування;
- визначення оптимального для банку ступеня відповідності джерел фінансування та напрямів розміщення активів;
- обґрунтування оптимального співвідношення між накопиченням високоліквідних активів та можливостями їх запозичення на ринках;
- прогнозний аналіз потреби у ліквідних коштах та прогнозування стану грошових ринків як з погляду динаміки відсоткових ставок, так і з погляду доступності джерел поповнення ліквідності;
- інваріантний аналіз напрямів підтримування ліквідної позиції банку;
- обґрунтування доцільності укладання попередніх угод про відкриття кредитних ліній з імовірними кредиторами для зниження ризику незбалансованої ліквідності.
Перевагою даної стратегії є гнучкість, яка дозволяє менеджменту вибирати найвигідніше поєднання різних джерел поповнення ліквідних коштів залежно від економічних умов та змін в ринкових цінах.
В сучасній банківській практиці здебільшого використовують стратегію збалансованого управління ліквідністю завдяки тому, що вона відрізняється гнучкістю і дає змогу мінімізувати ризики. Але для ефективного застосування обраної стратегії необхідно враховувати значну кількість параметрів співвідношення накопиченої та купівельної ліквідності. Розробляючи стратегію управління ліквідністю банку, його менеджери повинні спрогнозувати вплив факторів зовнішнього і внутрішнього середовища на діяльність банку, а також визначити сукупну потребу банку у ліквідності.
В практичній діяльності ПАТ "Банк "Фінанси та Кредит" використовується метод збалансованого управління ліквідністю, тобто здійснюються заходи по одночасному коригуванню структури активів і пасивів. Таким чином, частина попиту на ліквідні засоби задовольняється за рахунок накопичення високоліквідних активів, а решта - шляхом проведення операцій по залученню або запозиченню коштів.
При управлінні банківською ліквідністю перед менеджерами банку постає завдання необхідності гнучкого поєднання протилежних вимог: максимізація прибутковості при виконанні нормативних вимог НБУ щодо ліквідності. В першу чергу комерційні банки обирають стратегію управління ліквідністю, яка дозволяє ефективно вирішувати дилему "ліквідність - прибутковість" в сучасних умовах. Реалізація обраної стратегії та оцінка потреб банку в ліквідних засобах може проводитися з використанням різноманітних методів.
В банківській практиці можуть використовуватися два альтернативних методи управління ліквідністю:
- метод фондового пулу;
- метод конверсії фондів.
Метод фондового пулу передбачає, що всі надходження банку розглядаються як єдиний пул без диференціації за джерелами фінансування. У цьому випадку потреба в ліквідних засобах визначається порівнянням вхідного і вихідного грошових потоків банку, причому неможливо зіставити певний актив із пасивом і порівняти їх за строками та цінами залучення. Визначається розмір ресурсів, які зберігаються в ліквідній формі, ресурси, що залишилися розміщаються в працюючі активи незалежно від строків залучення. [48, с. 324]
![]()
В процесі управління ліквідністю вивчають структуру активів і пасивів банку за строками в кожному часовому інтервалі, а також аналізують фактичні і прогнозні грошові потоки. Менеджери банку повинні максимізувати процентну маржу банку за всіма банківськими операціями.
Основні етапи застосування методу фондового пулу зображені на рисунку 1.2.

Рис. 1.2. Етапи застосування методу фондового пулу оцінки стану ліквідності банку
Метод конверсії фондів базується на узгодженні обсягів і строків вкладень із конкретними видами ресурсів, які їх фондують, тому що різні джерела залучення коштів відрізняються характеристикою коштів, оборотністю резервними вимогами. Даний метод передбачає диференціацію норм резервування ліквідності залежно від виду пасивів і напрямку розміщення ресурсів. Наприклад: власний капітал є основою формування довгострокових вкладень; стабільні ресурси використовуються, в першу чергу, для покриття низьколіквідних активів і формування вторинних резервів; "летючі" ресурси розподіляються насамперед за ліквідними активами, в залежності від цього за кожним напрямком визначається необхідний рівень ліквідності і вирішується дилема прибуток-ризик. Управління процентним доходом проводиться в рамках окремих груп операцій. Застосування цього методу дозволяє контролювати банківські ризики, але в чистому вигляді його складно реалізовувати завдяки тому, що не завжди можна збалансувати конкретний вид пасиву і активу за обсягами і строками.
Окрім перелічених методів комерційні банки можуть використовувати метод управління резервною позицією.
При використанні банком методу управління резервною позицією резерви ліквідності заздалегідь не формуються, залучені ресурси розміщуються в дохідніші, але менш ліквідні активи, на випадок потреби в ресурсах прогнозується кількість фондів, які є можливість купити на грошовому ринку. Цей метод дає можливість підвищити дохідність активних операцій, але йому притаманний ризик зміни вартості ресурсів на ринку та ризик доступності фондів, який визначається ємністю міжбанківського ринку.
Більшість комерційних банків України не нагромаджують ліквідність в балансі, а управляють ліквідністю використовуючи міжбанківський ринок. На міжбанківському ринку банки проводять депозитно-кредитні операції, між собою, а також проводять операції з НБУ.
Управління ліквідністю банку потребує негайного прийняття рішень, що мають важливий довгостроковий вплив на його прибутковість. Один з основних напрямків такого управління - це менеджмент грошової позиції банку. Грошова позиція банку визначається відношенням суми коштів на кореспондентському рахунку та у касі банку до його сукупних активів. Показник грошової позиції банку тісно пов’язаний з нормами обов’язкового резервування. Проценти за залишками коштів обов’язкових резервів, що перебувають на кореспондентському рахунку банку або на окремому рахунку в Національному банку України, не нараховуються.
Обов’язковому резервуванню підлягають усі залучені та обліковані на балансі банку кошти юридичних та фізичних осіб як у національній, : так і в іноземній валюті, за винятком кредитів, залучених від інших банків та іноземних інвестицій, отриманих від міжнародних фінансових установ. Норматив обов’язкових резервів - це установлене Правлінням Національного банку України процентне співвідношення між сумою обов’язкових резервів та загальною сумою банківських пасивів, до яких застосовуються резервні вимоги. Норматив є єдиним для всіх банків.
Національний банк України для різних видів зобов’язань може встановлювати диференційовані нормативи обов’язкового резервування залежно від: природи зобов’язань (депозити, ощадні вклади, кошти в розрахунках, поточні рахунки клієнтів, рахунки бюджетних організацій тощо); строку зобов’язань або пасивів (короткострокові пасиви, довгострокові пасиви).
Одним із ефективних напрямків забезпечення заданої ліквідності банку є постійна підтримка резервів на рівні, достатньому для задоволення вимог щодо норми обов’язкових резервів для пікових періодів зростання обсягу депозитів. Однак у даному випадку також постає питання про аналіз грошових потоків, що пов’язано зі складністю прогнозування фактичних термінів погашення активів і пасивів та обґрунтування норм обов’язкових резервів. Комерційні банки самостійно обирають межі діапазону коливання грошової позиції. Менеджери банку при управлінні обов’язковими резервами повинні підтримувати резерви на визначеному НБУ рівні і не допускати надлишків. При погіршенні стабільності діяльності банку він повинен формувати не тільки обов’язкові, але й страхові резерви, а великі, стабільні банки мають можливість підтримувати резерви на мінімальному рівні.
Ризик ліквідності в банку "Фінанси та Кредит", на прикладі якого здійснюється написання цієї роботи, обмежується встановленням лімітів на довгострокові та короткострокові розриви ліквідності, обсяг високоліквідних коштів, коефіцієнти ризику ліквідності. Для визначення величини умовно-постійних коштів на рахунках клієнтів розраховується величина незнижуваного залишку. Методики та моделі, які використовуються банком для оцінки, вимірювання та контролю за ризиком періодично оцінюються на предмет адекватності поточним реаліям і вимогам, в тому числі на основі проведення бек-тестувань. Оцінка і методи управління ліквідністю в банку є пріоритетними, тому система управління ризикомліквідності постійно вдосконалюється і розвивається.
Висновки до розділу 1
Таким чином, ефективне управління ліквідністю-одне з найскладніших та найактуальніших завдань кожного банку. Управління ліквідністю в банку здійснюється для одночасного виконання двох завдань-дотримання нормативного рівня ліквідності та отримання максимального доходу від активних операцій. Управління ліквідністю банку здійснюється на двох рівнях: централізовано шляхом встановлення економічних нормативів ліквідності та децентралізовано-на рівні комерційного банку. Процес управління ліквідністю в банку - це організаційна система контролю, нагляду та прогнозування достатності ліквідних засобів для виконання нормативних вимог щодо рівня ліквідності та забезпечення всіх вимог кредиторів банку. Найбільш розповсюдженим методом управління ліквідністю є метод показників ліквідності.
Отже, до проблеми управління ліквідністю комерційного банку слід підходити комплексно, визначаючи при цьому всі переваги та недоліки управлінських рішень. Тобто дана проблема вимагає подальшого комплексного аналізу для ефективного управління ліквідністю банку.
Розділ 2.Аналіз системи управління ліквідністю в ПАТ "Банк "Фінанси та кредит"
2.1 Загальна характеристика банку та визначення його місця в банківській системі України
Успішний розвиток і надійність банківської системи в умовах ринкової економіки багато в чому залежать від постановки в банках аналітичної роботи, яка дає можливість реально і всебічно оцінювати досягнуті результати діяльності банків, виявляти їх сильні та слабкі сторони, визначати конкретні шляхи розв’язання проблем, що виникають. Аналіз діяльності банку є основою ефективного управління ним, вихідною базою прийняття управлінських рішень.
За допомогою такого аналізу розробляють стратегію і тактику розвитку банку, обґрунтовують плани й управлінські рішення, здійснюють контроль за їх виконанням, виявляють резерви підвищення ефективності проведення активних і пасивних операцій, оцінюють результати діяльності банку, його окремих підрозділів, а також оцінюють ліквідність та платоспроможність банківської установи.
Першочерговим етапом аналізу системи управління в банку "Фінанси та кредит" є загальна характеристика банку, яка і визначає його місце в банківській системі України.
Банк "Фінанси та Кредит" зареєстрований Нацiональним банком України у червнi 1990 року як товариство з обмеженою вiдповiдальнiстю "Комерцiйний банк дiлового спiвробiтництва". Отже, "Банк "Фінанси та Кредит" працює на ринку банківських послуг вже біля 20 років. За цей період він пройшов шлях від невеликого регіонального банку до банку загальнонаціонального рівня з широкою філіальною мережею і повним переліком послуг.У 1995 р. рiшенням учасникiв банк був перейменований на Комерцiйний банк "Фiнанси та Кредит", у 2002 р. назву було змiнено на Банк "Фiнанси та Кредит" у формі товариства з обмеженою відповідальністю. У липнi 2007 р. Банк змiнив форму власностi з товариства з обмеженою вiдповiдальнiстю на вiдкрите акцiонерне товариство i був зареєстрований НБУ. Перетворення було здiйснено шляхом обмiну часток учасникiв у статутному капiталi Банку "Фiнанси та Кредит", ТОВ на акцiї банку, якi випущенi у бездокументарнiй формi. У вереснi 2009 року була проведена державна реєстрацiя змiни найменування з Вiдкритого акцiонерного товариства "Банк "Фiнанси та Кредит" на Публiчне акцiонерне товариство "Банк "Фiнанси та Кредит", і вже сьогодні ПАТ "Банк "Фінанси та Кредит" входить до числа найбільших банків країни. Авторитетний міжнародний фінансово-аналітичний журнал "The Banker" за результатами проведених в 2003 роках дослідження присвоїв банку "Фінанси та кредит" звання "The Bank of the Year".
У 2008 році Банк "Фінанси та Кредит" увійшов до десятки найдорожчих банківських брендів року за результатами проекту "Рейтинг брендів" всеукраїнської рейтингової програми "ГVардія". Банк "Фінанси та Кредит" зайняв почесне десяте місце в рейтингу банківcького сектора, а вартість бренда банку склала 744, 091 млн. дол. США. А за результатами опитування, проведеного наприкінці вересня 2009 року аналітичною групою "Центр", банк увійшов до числа найвідоміших банківських установ країни. Бренд ПАТ "Банк "Фінанси та Кредит" упізнали 8,6% опитаних. У 2008 році банк "Фінанси та кредит" став лауреатом конкурсу "Банк і страхова компанія – надійне партнерство", організованого журналом "Банкиръ" спільно з Центром бізнес-стратегій "Перспектива" під егідою Ліги страхових організацій України.
ПАТ "Банк "Фінанси та Кредит" можна назвати банком загальнонаціонального масштабу. Філіали банку знаходяться майже в усіх містах України (Київ, Одеса, Севастополь, Полтава, Черкаси, Житомир, Северодонецьк, Кривий Ріг, Дніпродзержинськ, Миколаїв, Маріуполь, Харків та багато інших).
Національна мережа банківського обслуговування ПАТ "Банк "Фінанси та Кредит", яка включає в себе 16 фiлiй та 308 вiддiлень по всій Україні, дозволяє будь-якому клієнту отримати найвищий рівень обслуговування практично у будь-якому місці країни. Широке коло закордонних партнерів банку не лише демонструє його визнання як повноправного учасника світової банківської системи, але й, найголовніше, дозволяє найбільш широко задовольняти потреби клієнтів банку, пов’язані з їх міжнародною діяльністю. ПАТ "Банк "Фінанси та Кредит" підтримує кореспондентські відносини з найбільшими іноземними банками, ефективно співпрацюючи з ними на різних сегментах фінансового ринку. Широке коло зарубіжних партнерів не тільки демонструє його визнання в якості повноправного учасника світової банківської системи, але й, саме головне, дозволяє найбільш широко задовольняти потреби клієнтів банку, пов’язані з їх міжнародною діяльністю. Банк має кредитні лінії для валютообмінних операцій і банківські гарантії від ряду великих західних банків.
Провідні міжнародні агентства "Moody's" та "Fitch ІBCA" підтвердили рейтинг його надійності, що свідчить про стабільно високу ступінь довіри до банку з боку іноземних партнерів. Міжнародне рейтингове агентство Moody’s Investors Service підвищило рейтинги довгострокових зобов’язань у національній валют та довгострокового боргу в іноземній валют банку "Фінанси та Кредит" до B1 з B2 і рейтингу банку за національною шкалою до Aa3.ua з A1 .ua., а також рейтинги за незабезпеченими борговими зобов’язаннями в іноземній валют "В1/NP", та рейтинг фінансової стійкост і "Е+".
Діяльність будь-якого підприємства, в тому числі і банківської установи, характеризується його місією. Так, місія ПАТ "Банк "Фінанси та Кредит" полягає у тому, щоб завжди зберігати, брати участь у створенні та створювати самому, всіляко сприяти збільшенню та примножувати самому багатство своїх клієнтів, пропонуючи їм взаємовигідне партнерство, організовуючи партнерські стосунки на принципах стабільності, тривалості, надійності, компетентності та дотримання ділової етики, забезпечуючи ці стосунки інноваційними прагненнями та вольовими зусиллями персоналу, керівництва та власників Банку, досягаючи гармоні ї у стосунках між ними.
Філософією ПАТ "Банк "Фінанси та Кредит" є:
- здійснення своєї діяльності у інтересах клієнтів та власників;
- неухильне дотримання своїх зобов’язань;
- універсальність, орієнтованість на надання повного спектра банківських послуг як корпоративним (усіх форм власності), так і приватним клієнтам;
- прагнення досягти найвищих стандартів обслуговування клієнтів, створення атмосфери взаємовигідного партнерства, захист інтересів кожного клієнта;
- розвиток нових напрямків діяльності і нових, у т .ч. нетрадиційних продуктів;
- сполучення іноваційної спрямованості у розвитку зі зваженим та обгрунтованим підходом до інновацій, базування на принципах адаптивної моделі розвитку;
- виконання вимог законодавства, етичних норм та правил добросовісного ведення бізнесу;
- нейтралітет відносно до політичних партій та об’єднань, створення умов, за яких кожний працівник банку може цілковито реалізувати свій потенціал;
- розуміння соціальної значущості своєї діяльностіі врахування у ній не тільки економічних, але і соціальних факторів дотримання у своїй діяльност і принципів відкритості та демократичності , інформаційної чистоти та прозорості;
- відмова від фінансування екологічно шкідливих та соціально небезпечних проектів;
- здійснення своєї діяльності відповідно до міжнародних стандартів;
- постійне підвищення кваліфікації та професійних навичок персоналу банку.
Стратегiчною пріоритетами діяльності банку "Фінанси та Кредит" на 2010 рік є:
1) пiдвищення ефективностi дiяльностi банка за рахунок впровадження клiєнто-орiєнтованного пiдходу ведення бiзнесу шляхом визначення клiєнтських сегментів;
2) впровадження нових IT-технологiй та нових технологiй продажу;
3) пiдтримка лiквiдностi та збереження iснуючої позицiї на банкiвському ринку;
4) збiльшення об'єму та якостi комiсiйних послуг, у т.ч. за рахунок впровадження альтернативних каналiв продажу;
5) пiдвищення ефективностi управлiння витратами та проблемними активами.
6) пріоритет комплексного довгострокового обслуговування клієнтів порівняно із одноразовим короткостроковим.
Банк "Фінанси та Кредит" має генеральну ліцензію НБУ на проведення валютних операцій та здійснює весь спектр банківських послуг, які є на вітчизняному ринку, з обслуговування корпоративних та приватних клієнтів відповідно до міжнародних стандартів. Довгостроковий інтерес клієнта – головний пріоритет у роботі банку. З клієнтами працює висококваліфікована команда спеціалістів та персональні менеджери, які несуть відповідальність за забезпечення якісного обслуговування, оперативне та точне задоволення потреб клієнта. Запроваджуючи нові види банківських послуг та постійно вдосконалюючи комплекс банківського обслуговування, на сьогодні банк обслуговує 250 тисяч корпоративних клієнтів та приватних підприємців. На сьогодні банк пропонує весь спектр банківських послуг, серед яких поточні, вкладні операції, карткові продукти, різноманітні програми споживчого кредитування, які здійснюються в партнерстві з провідними вітчизняними торговими, ріелторськими компаніями й автовиробниками. Банк є уповноваженим Урядом України банком з виплати пенсій і соціальної допомоги громадян, виплати компенсації жертвам нацистських репресій, активно впроваджує програми обслуговування для окремих найменш захищених категорій клієнтів, зокрема, пенсіонерів.
ПАТ "Банк "Фінанси та Кредит" є займає вагоме місце на вітчизняномуринку платіжних карток. Банк є принциповим членом мiжнародних платiжних систем MasterCard International та Visa International i пропонує своїм клiєнтам повний комплекс послуг з обслуговування карток. Банк проводить емiсiю карток MasterCard та Visa, обслуговує приватних осiб, корпоративнi картрахунки пiдприємств, зарплатнi проекти. Емiтовано 685 тис. платiжних карток MasterCard та Visa. Привабливiстю для клiєнтiв у спiвпрацi з Банком є розвинута мережа вiддiлень, значна кiлькiсть банкоматiв, зручнi та сучаснi умови використання карткових продуктiв, програми лояльностi до клiєнтiв. Картковi технологiї надають можливiсть вiдкривати мультивалютнi кредитнi лiнiї, отримувати готiвку, здiйснювати солiднi покупки за безготiвковi кошти, що робить їх значно безпечнiшими та зручнiшими, а також подорожувати по всьому свiту без жодних обмежень. Iнфраструктура карткового бiзнесу включає 4087 торгово-сервiсних точки, 440 власних банкоматiв та 527 пунктiв видачi готiвки та є членом об'єднаної мережi банкоматiв з АКБ Укрсоцбанк, Укрсиббанк, АКБ Правекс Банк, ВАТ "Родовiд" та ВТБ, яка нараховує 3900 банкоматiв. За 2009 рiк банком реалiзовано 4 349 зарплатних проектiв, впроваджено спiльний з системою електронних платежiв Portmone.com проект, здiйснення розрахункiв за операцiями, проведених з використанням платiжних карток , для сплати за i товари i послуги. За це же рiк оборот коштiв по карткам склав: MasterCard International1 128млн.грн. та Visa International 6 976 млн.грн.
Інноваційна політика банку орієнтована на впровадження на українському ринку принципово нових, провідних банківських послуг, які надають клієнтам нові можливості управління своїми фінансами. Банк "Фінанси та Кредит" один із перших в Україні запропонував своїм клієнтам послуги Інтернет-банкінгу та GSM-банкінгу та продовжує їх постійно вдосконалювати, а також послуги з продажу через мережу своїх банкоматів та POS-терміналів електронних ваучерів провідних операторів мобільного зв’язку та IP-телефонії.
Будь-який аналіз та характеристика банку неможлива без аналізу статистичної інформації. Тому логічним є аналіз основних параметрів ПАТ "Банк "Фінанси та Кредит". Такий аналіз буде проведено в розрізі власного капіталу, активів, зобов’язань та чистого прибутку банківської установи. В розрізі власного капіталу ПАТ "Банк "Фінанси та Кредит" має наступний рейтинг серед банків України (табл. 2.1).
Таблиця 2.1Аналіз динаміки та структури капіталу банків України за 2007–2009 рр.*
| № п/п | Банк | Станом на 01.01.2008 | Станом на 01.01.2009 | Відхилення | Станом на 01.01.2010 | Відхилення | |||||
| сума, млн. грн. | питома вага (%) | сума, млн. грн. | питома вага (%) | абсолют. | в пит. вазі (%) | сума, млн. грн. | питома вага (%) | абсолют. | в пит. вазі (%) | ||
| 1 | Ощадбанк | 2162,1 | 4,8 | 15471,9 | 20,7 | 13309,9 | 16,0 | 16386,4 | 19,3 | 914,4 | -1,4 |
| 2 | Укрексімбанк | 3216,6 | 7,1 | 4505,8 | 6,0 | 1289,2 | -1,0 | 10869,4 | 12,8 | 6363,6 | 6,7 |
| 3 | Приватбанк | 5861,3 | 12,9 | 8195,7 | 11,0 | 2334,3 | -1,9 | 10270,7 | 12,1 | 2075,0 | 1,1 |
| 4 | Укрсоцбанк | 3243,8 | 7,1 | 5175,7 | 6,9 | 1931,9 | -0,2 | 6027,9 | 7,1 | 852,1 | 0,2 |
| 5 | Промінвестбанк | 3262,4 | 7,2 | 3262,3 | 4,4 | 0,0 | -2,8 | 5609,6 | 6,6 | 2347,3 | 2,2 |
| 6 | Райффайзен банк аваль | 5559,5 | 12,2 | 7435,9 | 10,0 | 1876,4 | -2,3 | 5312,9 | 6,2 | -2123,0 | -3,7 |
| 7 | Укрсиббанк | 4093,4 | 9,0 | 4869,6 | 6,5 | 776,3 | -2,5 | 4901,5 | 5,8 | 31,9 | -0,8 |
| 8 | Родовід банк | 1201,2 | 2,6 | 1410,2 | 1,9 | 209,1 | -0,8 | 4336,4 | 5,1 | 2926,2 | 3,2 |
| 9 | Втб банк | 1219,9 | 2,7 | 2513,2 | 3,4 | 1293,3 | 0,7 | 3248,1 | 3,8 | 734,9 | 0,5 |
| 10 | Альфа-банк | 1910,3 | 4,2 | 3307,9 | 4,4 | 1397,6 | 0,2 | 2878,0 | 3,4 | -429,9 | -1,0 |
| 11 | Отп банк | 1427,3 | 3,1 | 2486,3 | 3,3 | 1059,0 | 0,2 | 2839,9 | 3,3 | 353,6 | 0,0 |
| 12 | Перший укр.міжнародний банк | 2191,6 | 4,8 | 3487,4 | 4,7 | 1295,8 | -0,2 | 2627,7 | 3,1 | -859,7 | -1,6 |
| 13 | Брокбізнесбанк | 2307,7 | 5,1 | 2316,5 | 3,1 | 8,8 | -2,0 | 2312,7 | 2,7 | -3,8 | -0,4 |
| 14 | "Фінанси та кредит" | 1984,9 | 4,4 | 2476,4 | 3,3 | 491,5 | -1,1 | 2026,9 | 2,4 | -449,5 | -0,9 |
| 15 | "Форум" | 1613,1 | 3,6 | 1889,2 | 2,5 | 276,1 | -1,0 | 1866,5 | 2,2 | -22,6 | -0,3 |
| 16 | Сведбанк | 833,8 | 1,8 | 2346,4 | 3,1 | 1512,5 | 1,3 | 1827,3 | 2,1 | -519,1 | -1,0 |
| 17 | Кредитпромбанк | 1301,3 | 2,9 | 1704,2 | 2,3 | 402,8 | -0,6 | 1222,5 | 1,4 | -481,7 | -0,8 |
| 18 | "Надра" | 2040,2 | 4,5 | 1838,5 | 2,5 | -201,7 | -2,0 | 474,7 | 0,6 | -1363,8 | -1,9 |
| 19 | Усього по групі | 45430,4 | 100,0 | 74693,1 | 100,0 | 29262,7 | 85039,1 | 100,0 | |||
*Розраховано за даними офіційного сайту НБУ.
Як свідчать дані таблиці 2.1, за результатами 2009 року ПАТ "Банк "Фінанси та Кредит" займає чотирнадцяте місце за обсягом власного капіталу, який станом на 01.01.2010 року складає 2026,9млн. грн. або 2,4% сукупного капіталу банків першої групи. В попередні роки банк займав більш високі місця за обсягом даного показника. В абсолютному виразі капітал банку зріс на протязі періодів, що аналізуються на 42 млн. грн., що в порівнянні із іншими банками групи є досить малим зростанням. Така ситуація зумовлена зменшення власного капіталу банку в 2009 році на 449, 5 млн.грн. у зв’язку із фінансовою кризою, що є негативним для діяльності банку, оскільки знижується захисна функція капіталу.
В таблиці 2.2 відображене місце ПАТ "Банк "Фінанси та Кредит" в банківській системі України за розміром активів.
Таблиця 2.2Аналіз динаміки та структури активів банків України за 2007–2009 рр.*
| № п/п | Банк | Станом на 01.01.2008 | Станом на 01.01.2009 | Відхилення | Станом на 01.01.2010 | Відхилення | |||||
| сума, млн. грн. | питома вага (%) | сума, млн. грн. | питома вага (%) | абсолют. | в пит. вазі (%) | сума, млн. грн. | питома вага (%) | абсолют. | в пит. вазі (%) | ||
| 1 | Приватбанк | 56211,4 | 14,2 | 80165,5 | 12,8 | 23954,1 | -1,4 | 86066,1 | 14,2 | 5900,7 | 1,4 |
| 2 | Ощадбанк | 19290,9 | 4,9 | 57788,1 | 9,2 | 38497,2 | 4,4 | 59926,6 | 9,9 | 2138,5 | 0,7 |
| 3 | Укрексімбанк | 28609,9 | 7,2 | 48324,7 | 7,7 | 19714,8 | 0,5 | 57196,9 | 9,4 | 8872,2 | 1,7 |
| 4 | Райффайзен банк аваль | 44458,1 | 11,2 | 65361,6 | 10,4 | 20903,5 | -0,8 | 54048,0 | 8,9 | -11313,6 | -1,5 |
| 5 | Укрсиббанк | 37664,2 | 9,5 | 55696,7 | 8,9 | 18032,6 | -0,6 | 46347,8 | 7,6 | -9348,9 | -1,2 |
| 6 | Укрсоцбанк | 31226,8 | 7,9 | 49694,8 | 7,9 | 18468,0 | 0,0 | 43656,9 | 7,2 | -6037,9 | -0,7 |
| 7 | Промінвестбанк | 26090,3 | 6,6 | 27489,5 | 4,4 | 1399,2 | -2,2 | 30437,2 | 5,0 | 2947,7 | 0,6 |
| 8 | Отп банк | 17910,4 | 4,5 | 33717,3 | 5,4 | 15806,9 | 0,9 | 29395,2 | 4,8 | -4322,1 | -0,5 |
| 9 | Втб банк | 11714,7 | 3,0 | 28343,6 | 4,5 | 16628,9 | 1,6 | 28780,1 | 4,7 | 436,4 | 0,2 |
| 10 | Альфа-банк | 15077,8 | 3,8 | 32310,1 | 5,2 | 17232,3 | 1,4 | 28693,6 | 4,7 | -3616,5 | -0,4 |
| 11 | "Надра" | 21256,3 | 5,4 | 30547,5 | 4,9 | 9291,2 | -0,5 | 24845,8 | 4,1 | -5701,7 | -0,8 |
| 12 | "Фінанси та кредит" | 14634,4 | 3,7 | 18439,4 | 2,9 | 3805,0 | -0,8 | 19456,8 | 3,2 | 1017,3 | 0,3 |
| 13 | "Форум" | 14418,9 | 3,6 | 20513,0 | 3,3 | 6094,2 | -0,4 | 19453,2 | 3,2 | -1059,8 | -0,1 |
| 14 | Перший укр.міжнародний банк | 13896,5 | 3,5 | 20159,2 | 3,2 | 6262,7 | -0,3 | 17399,7 | 2,9 | -2759,5 | -0,3 |
| 15 | Родовід банк | 9952,1 | 2,5 | 13195,7 | 2,1 | 3243,7 | -0,4 | 16952,2 | 2,8 | 3756,5 | 0,7 |
| 16 | Брокбізнесбанк | 11979,8 | 3,0 | 14204,0 | 2,3 | 2224,3 | -0,8 | 16162,8 | 2,7 | 1958,8 | 0,4 |
| 17 | Сведбанк | 9121,7 | 2,3 | 15984,2 | 2,6 | 6862,5 | 0,2 | 13852,7 | 2,3 | -2131,5 | -0,3 |
| 18 | Кредитпромбанк | 12504,2 | 3,2 | 14534,3 | 2,3 | 2030,1 | -0,8 | 13578,4 | 2,2 | -955,9 | -0,1 |
| 19 | Усього по групі | 396018,2 | 100,0 | 626469,2 | 100,0 | 230451,0 | 606250,0 | 100,0 | |||
*Розраховано за даними офіційного сайту НБУ.
Дані таблиці 2.2 свідчать, що по результатах 2009 року за обсягом активів ПАТ "Банк "Фінанси та Кредит" знаходиться на дванадцятому місці серед банків України і питома вага даного показника банку в сукупних активах банків першої групи знаходиться на рівні 3,2 % станом на 01.01.2010 р. Протягом 2007 року рівень активів був меншим (біля 15 млрд.грн.) але питома вага в сукупних активах банків першої групи складала 3,7%, а у кризовому 2008 році рівень активів ПАТ "Банк "Фінанси та Кредит" знаходився на рівні 2,9%. Загалом, слід зазначити, що протягом аналізованого періоду активи банку зросли приблизно на 5 млрд.грн., незважаючи на кризові явища протягом 2008-2009 рр. Така тенденція є позитивним моментом в діяльності банку, оскільки саме активи приносять прибуток банківській установі, а також розширюють масштаби діяльності банку.
В таблиці 2.3 відображене місце ПАТ "Банк "Фінанси та Кредит" в банківській системі України за розміром зобов’язань.
Таблиця 2.3Аналіз динаміки та структури зобов’язань банків України за 2007–2009 рр.*
| № п/п | Банк | Станом на 01.01.2008 | Станом на 01.01.2009 | Відхилення | Станом на 01.01.2010 | Відхилення | |||||
| сума, млн. грн. | питома вага (%) | сума, млн. грн. | питома вага (%) | абсолют. | в пит. вазі (%) | сума, млн. грн. | питома вага (%) | абсолют. | в пит. вазі (%) | ||
| 1 | Приватбанк | 50822,5 | 14,3 | 71969,8 | 13,0 | 21147,3 | -1,2 | 75795,4 | 14,4 | 3825,6 | 1,4 |
| 2 | Райффайзен банк аваль | 39234,8 | 11,0 | 57925,6 | 10,5 | 18690,9 | -0,5 | 48735,1 | 9,3 | -9190,6 | -1,2 |
| 3 | Укрексімбанк | 26047,1 | 7,3 | 43818,9 | 7,9 | 17771,8 | 0,6 | 46327,5 | 8,8 | 2508,6 | 0,9 |
| 4 | Ощадбанк | 17092,5 | 4,8 | 42316,1 | 7,7 | 25223,6 | 2,9 | 43540,2 | 8,3 | 1224,1 | 0,6 |
| 5 | Укрсиббанк | 34630,7 | 9,7 | 50827,1 | 9,2 | 16196,4 | -0,5 | 41446,3 | 7,9 | -9380,8 | -1,3 |
| 6 | Укрсоцбанк | 28033,0 | 7,9 | 44519,1 | 8,1 | 16486,1 | 0,2 | 37629,0 | 7,2 | -6890,0 | -0,9 |
| 7 | Отп банк | 16596,1 | 4,7 | 31231,0 | 5,7 | 14634,9 | 1,0 | 26555,3 | 5,1 | -4675,7 | -0,6 |
| 8 | Альфа-банк | 13518,6 | 3,8 | 29002,2 | 5,3 | 15483,6 | 1,5 | 25815,6 | 4,9 | -3186,6 | -0,3 |
| 9 | Втб банк | 10916,3 | 3,1 | 25830,4 | 4,7 | 14914,1 | 1,6 | 25532,0 | 4,9 | -298,4 | 0,2 |
| 10 | Промінвестбанк | 23407,1 | 6,6 | 24227,2 | 4,4 | 820,1 | -2,2 | 24827,6 | 4,7 | 600,5 | 0,3 |
| 11 | "Надра" | 19500,8 | 5,5 | 28709,0 | 5,2 | 9208,2 | -0,3 | 24371,1 | 4,6 | -4337,9 | -0,6 |
| 12 | "Форум" | 13071,5 | 3,7 | 18623,9 | 3,4 | 5552,4 | -0,3 | 17586,6 | 3,4 | -1037,2 | 0,0 |
| 13 | "Фінанси та кредит" | 12849,1 | 3,6 | 15963,0 | 2,9 | 3113,9 | -0,7 | 17429,9 | 3,3 | 1466,9 | 0,4 |
| 14 | Сведбанк | 8284,1 | 2,3 | 13637,8 | 2,5 | 5353,7 | 0,1 | 15680,0 | 3,0 | 2042,2 | 0,5 |
| 15 | Перший укр.міжнародний банк | 11703,3 | 3,3 | 16671,9 | 3,0 | 4968,6 | -0,3 | 14772,0 | 2,8 | -1899,8 | -0,2 |
| 16 | Брокбізнесбанк | 9684,4 | 2,7 | 11887,5 | 2,2 | 2203,1 | -0,6 | 13850,1 | 2,6 | 1962,6 | 0,5 |
| 17 | Родовід банк | 8810,6 | 2,5 | 11785,5 | 2,1 | 2974,9 | -0,3 | 12615,8 | 2,4 | 830,3 | 0,3 |
| 18 | Кредитпромбанк | 11385,1 | 3,2 | 12830,1 | 2,3 | 1445,0 | -0,9 | 12355,9 | 2,4 | -474,2 | 0,0 |
| 19 | Усього по групі | 355587,4 | 100,0 | 551776,1 | 100,0 | 196188,7 | - | 524865,5 | 100,0 | - | - |
*Розраховано за даними офіційного сайту НБУ.
Відповідно до наведених даних можна стверджувати, що досліджуваний банк за аналізуємий період значно розширив масштаби своєї діяльності, про що свідчить збільшення обсягу зобов’язань. Так, протягом 2009 року обсяг зобов'язань збільшився на 1466,9 млн. грн., або на 8,7% в порівнянні до попереднього року. Питома вага зобов’язань банку в загальних зобов’язаннях банків І групи становить 3,3%, що є дещо вищим, ніж в попередньому році. Це можна розглядати як позитивне явище, адже обсяг зобов’язань банку залишається значним і достатнім для здійснення активних операцій, свідчить про довіру вкладників до установи.
Аналіз місця банку "Фінанси та Кредит" за прибутком наведено в таблиці 2.4.
Таблиця 2.4Аналіз динаміки та структури прибутку банків України за 2007–2009 рр.*
| № п/п | Банк | Станом на 01.01.2008 | Станом на 01.01.2009 | Відхилення | Станом на 01.01.2010 | Відхилення | |||||
| сума, млн. грн. | питома вага (%) | сума, млн. грн. | питома вага (%) | абсолют. | в пит. вазі (%) | сума, млн. грн. | питома вага (%) | абсолют. | в пит. вазі (%) | ||
| 1 | Приватбанк | 1534,16 | 31,7 | 1 292 | 27,3 | -242,4 | -4,4 | 1 050 | - | -241,3 | - |
| 2 | Ощадбанк | 207,18 | 4,3 | 306 | 6,5 | 98,6 | 2,2 | 693 | - | 386,9 | - |
| 3 | Укрсоцбанк | 362,27 | 7,5 | 792 | 16,8 | 429,5 | 9,3 | 127 | - | -665,0 | - |
| 4 | Укрексімбанк | 501,01 | 10,4 | 622 | 13,2 | 121,1 | 2,8 | 21 | - | -601,0 | - |
| 5 | Брокбізнесбанк | 70,25 | 1,5 | 70 | 1,5 | -0,2 | 0,0 | 18 | - | -52,2 | - |
| 6 | Втб банк | 20,85 | 0,4 | 56 | 1,2 | 34,9 | 0,7 | 0 | - | -55,3 | - |
| 7 | Кредитпромбанк | 24,89 | 0,5 | 31 | 0,7 | 6,6 | 0,2 | -307 | - | -338,9 | - |
| 8 | Альфа-банк | 44,05 | 0,9 | 158 | 3,4 | 114,2 | 2,4 | -348 | - | -506,7 | - |
| 9 | Отп банк | 232,74 | 4,8 | 77 | 1,6 | -156,1 | -3,2 | -435 | - | -511,9 | - |
| 10 | "Фінанси та кредит" | 279,55 | 5,8 | 143 | 3,0 | -137,0 | -2,8 | -450 | - | -592,6 | - |
| 11 | "Форум" | 52,58 | 1,1 | 10 | 0,2 | -42,3 | -0,9 | -665 | - | -674,8 | - |
| 12 | Перший укр.міжнародний банк | 54,61 | 1,1 | 13 | 0,3 | -41,5 | -0,9 | -801 | - | -814,0 | - |
| 13 | Укрсиббанк | 199,77 | 4,1 | 428 | 9,1 | 227,9 | 4,9 | -1 244 | - | -1671,2 | - |
| 14 | "Надра" | 348,62 | 7,2 | 26 | 0,5 | -322,8 | -6,7 | -1 364 | - | -1389,6 | - |
| 15 | Райффайзен банк аваль | 587,42 | 12,2 | 527 | 11,2 | -60,0 | -1,0 | -2 019 | - | -2546,5 | - |
| 16 | Промінвестбанк | 234 | 4,9 | 99 | 2,1 | -135,1 | -2,7 | -2 751 | - | -2850,1 | - |
| 17 | Родовід банк | 62,04 | 1,3 | 35 | 0,7 | -27,4 | -0,6 | -4 216 | - | -4250,6 | - |
| 18 | Сведбанк | 16,21 | 0,3 | 40 | 0,8 | 23,4 | 0,5 | -4 342 | - | -4381,8 | - |
| 19 | Усього по групі | 4832,6 | 100,0 | 4724,0 | 100,0 | -108,6 | - | -17032,6 | - | - | - |
*Розраховано за даними офіційного сайту НБУ.
Наведені дані свідчать, що за результатами діяльності ПАТ "Банк "Фінанси та Кредит" в 2009 році отримав збиток в розмірі 450 млн.грн., що за аналізований період було вперше. Але треба відзначити, що в порівнянні із іншими банками першої групи досліджуваний банк знаходиться на 10 місці. Така ситуація зумовлена більшими збитками у інших банків. Цей показник свідчить про недостатньо високий рівень менеджменту щодо управління банківськими ризиками, що не дозволяє мінімізувати втрати від проведення операцій.
Постійний динамічний розвиток банку став можливим завдяки проведенню власної політики, спрямованої на фінансування національного виробництва, створення економічної могутності української держави. Кредитні вкладення ПАТ "Банк "Фінанси та Кредит" в економіку України за роки її незалежності перевищили 10 млрд. дол. США. Вони спрямовуються на розвиток енергетики, паливної промисловості, транспорту, машинобудування, металургії, сільського господарства, харчової промисловості та всіх інших галузей.
Своєю цілеспрямованою діяльністю "Банк "Фінанси та Кредит"визначає і реалізує діалектичний зв'язок між кредитуванням національного виробництва і посиленням економічної могутності держави. Інвестиційні кредити банку, а їх понад 280% всього обсягу, спрямовані на технічне переозброєння металургії, машинобудування, в тому числі літако та суднобудування, інші ключові сфери економіки. Вони дали можливість наростити обсяги експорту української продукції, збільшити валютні надходження, а з ними і бюджетні платежі,стабілізувати національну валюту, досягти економічного зростання в країні. З року в рік нарощуються обсяги кредитування сільськогосподарських виробників та агропромислових підприємств.
Операції з валютними цінностями та розрахунки в іноземній валюті посідають провідне місце у банківському бізнесі. На сучасному етапі розвитку вітчизняні банки не тільки обслуговують експортно-імпортні розрахунки суб'єктів підприємницької діяльності, а й виступають безпосередніми учасниками операцій на внутрішньому та міжнародних валютних ринках, забезпечуючи у такий спосіб зміцнення ринкових перетворень в уcix сферах економіки.
Провідна роль банків на валютному ринку обумовлюється значними обсягами операцій, що становлять близько 90%, та спектром послуг, що забезпечують попит широкого кола суб’єктів. Особливістю діяльності банку у сфері валютних операцій є його функція агента валютного контролю, що зобов'язує банк здійснювати контроль за дотриманням вимог валютного законодавства.
Банк "Фінанси та Кредит" активно розвиває співпрацю зі страховими компаніями, пропонуючи клієнтам комплексні послуги при проведенні процедур оформлення застави. При цьому банк ретельно підходить до акредитації страховиків, ретельно відбираючи найбільш стабільних і відповідальних з них для того, щоб рекомендувати клієнтам. Так, за 2009 рік кількість акредитованих у банку страхових компаній скоротилась удвічі , і станом на кінець року їх кількість склала 29.
Банк "Фінанси та Кредит" пропонує своїм клієнтам швидко, надійно та безпечно отримувати і відправляти грошові кошти, скориставшись послугами власної системи грошових переказів "AVERS", а також послугами міжнародних систем грошових переказів "Western Union", "MoneyGram", "Аnelik" та ін. У 2009 році сукупний обсяг платежів за системами "Western Union", "Анелік", "MonеyGram", "Xpress Money", "BLIZKO" в Банку "Фінанси та Кредит" склав понад 100 млн. дол. США.
ПАТ "Банк "Фінанси та Кредит" має чіткі стратегії розвитку і на 2010 рік. Це нарощування обсягів інвестиційного кредитування економіки, подальше підвищення ефективності операцій, розвиток мережі відділень та впровадження нових послуг клієнтам, а також забезпечення ліквідності на достатньому рівні для нормального функціонування.
2.2 Аналіз ліквідності ПАТ "Банк "Фінанси та Кредит" за допомогою нормативів та коефіцієнтів ліквідності
Як вже зазначалось, в Україні управління ліквідністю банків здійснюється на двох рівнях, тобто крім самого комерційного банку ліквідністю управляє ще і Національний банк України через встановлення обов’язкових економічних нормативів ліквідності, тому логічним продовженням аналізу ліквідності банку "Фінанси та Кредит" є аналіз дотримання банком цих нормативів та їх порівняльний аналіз із середніми нормативами по банківській системі України.
Встановлення нормативних вимог щодо ліквідності, обов’язкових для кожної банківської установи, є звичайною практикою центральних банків ряду країн. Це дає змогу здійснювати контроль за ліквідністю банків та підтримувати необхідний рівень ліквідності банківської системи в цілому.
Зазвичай у практиці для регулювання та аналізу ліквідності банку центральні банки застосовують кілька коефіцієнтів ліквідності. Очевидним є те, що одним коефіцієнтом простіше керувати як комерційному банку, так і центральному. Проте система багатьох коефіцієнтів дає змогу центральному банку гнучкіше проводити свою політику резервних вимог, наприклад, змінювати рівень вимог для однієї категорії депозитів і залишати його без зміни для іншої. Це посилює ефективність управління ліквідністю банківської системи з боку центрального банку. Також система багатьох коефіцієнтів є більш прийнятною, тому що дає змогу враховувати різні рівні коливання, які притаманні різним категоріям депозитів, і навпаки, передбачає диференціацію ступеня ризику ліквідності для активів.
Аналітичний огляд стану виконання економічних нормативів буде здійснено за 2007-2009 рр. в розрізі нормативів ліквідності (табл. 2.5, 2.6, 2.7).
Таблиця 2.5Стан та динаміка нормативу миттєвої ліквідності банку "Фінанси та Кредит" та в цілому по банківській системі*
| Показник | Нормативне значення | На 01.01.2008 | На 01.01.2009 | На 01.01.2010 | Відхилення, % | |
| 2007 р. | 2008 р. | |||||
| ПАТ "Банк "Фінанси та кредит" | не менше 20 % | 46,15 | 51,73 | 53,6 | 5,58 | 1,87 |
| В цілому по банківській системі | 52,3 | 62,38 | 64,45 | 10,08 | 2,07 | |
*Розраховано за даними фінансової звітності банку "Фінанси та Кредит" та офіційного сайту НБУ.
Дані таблиці свідчать про виконання банком встановленого нормативу ліквідності. Так фактичне значення нормативу миттєвої ліквідності перевищує нормативне в 2,6 рази (станом на 01.01.2010 року), тобто банк на своєму коррахунку зберігає грошові кошти в достатньому обсязі для виконання своїх миттєвих зобов’язань. За аналізований період спостерігається тенденція до зростання його значення з 46,15% до 53,6%, тобто майже на 7процентних пунктиза 2007-2009 рр.
Для порівняння зміни нормативу миттєвої ліквідності банку"Фінанси та Кредит" та його значення в цілому в банківській системі України зобразимо їх тенденцію графічно (Рис. 2.1).

Рис. 2.1 Динаміка значення нормативу миттєвої ліквідності (Н4)
Спостерігається перевищення середньобанківського значення Н4 над значенням нормативу банку на 6 % на початок 2008 року, але враховуючи тенденцію до зростання середньобанківського значення нормативу Н4, їх врівноваження не відбулося. Тобто всі банки України виконують встановлений норматив миттєвої ліквідності. Таким чином в середньому комерційні банки, в тому числі і банк"Фінанси та Кредит", віддають перевагу ліквідності над прибутковістю діяльності.
Таблиця 2.6 Стан та динаміка нормативу поточної ліквідності банку "Фінанси та Кредит" та в цілому по банківській системі*
| Показник | Нормативне значення | На 01.01.2008 | На 01.01.2009 | На 01.01.2010 | Відхилення, % | |
| від 2007 р. | від 2008 р | |||||
| ПАТ "Банк "Фінанси та кредит" | не менше 40 % | 74,74 | 73,33 | 73,04 | -1,41 | -0,29 |
| В цілому по банківській системі | 75,31 | 75,16 | 72,90 | -0,15 | -2,26 | |
*Розраховано за даними фінансової звітності банку "Фінанси та Кредит" та офіційного сайту НБУ.
Дані таблиці свідчать про виконання нормативу поточної ліквідності (Н5) всіма банками України, в тому числі і досліджуваним банком, виходячи із середнього значення по банківській системі. Так, перевищення значення нормативу поточної ліквідності становить 87% в 2007 р. та 83 % в 2009, тобто за період 2007-2009 рр. простежується тенденція до зниження значення нормативу на 2,29% в рік, що є негативною тенденцією, враховуючи, що саме за цей же період загострюється криза ліквідності банків України. Як і в ситуації з попереднім нормативом значення Н5 по банку "Фінанси та Кредит" є меншим за аналогічний показник в цілому по банківській системі. Але враховуючи наявні тенденції до зниження станом на 01.01.2010 р. значення цих нормативів практично врівноважились.
Для порівняння зміни нормативу поточної ліквідності банку та його значення в цілому в банківській системі України зобразимо їх тенденцію графічно (Рис. 2.2).

Рис. 2.2. Динаміка значення нормативу поточної ліквідності (Н5)
Таблиця 2.7Стан та динаміка нормативу короткострокової ліквідності банку "Фінанси та Кредит" та в цілому по банківській системі*
| Показник | Нормативне значення | На 01.01.2008 | На 01.01.2009 | На 01.01.2010 | Відхилення, % | |
| від 2007 р. | від 2008 р | |||||
| ПАТ "Банк "Фінанси та кредит" | не менше 20 % | 22,93 | 25,68 | 30,23 | 2,75 | 4,55 |
| В цілому по банківській системі | 39,93 | 32,99 | 35,88 | -6,94 | 2,89 | |
*Розраховано за даними фінансової звітності банку "Фінанси та Кредит" та офіційного сайту НБУ.
Дані таблиці свідчать про виконання обов’язкового економічного нормативу, встановленого Національним банком України всіма банками, в тому числі і банком "Фінанси та Кредит". Але на відміну від інших нормативів ліквідності перевищення значення Н6 досліджуваного банку над нормативним є невеликим і тому ситуація є незбалансованою, що стверджує про незначний запас ліквідності до 1 року.
Для порівняння зміни нормативу короткострокової ліквідності банку та його значення в цілому в банківській системі України зобразимо їх тенденцію графічно (Рис. 2.3).

Рис. 2.3. Динаміка значення нормативу короткострокової ліквідності (Н6)
Так, за аналізований період спостерігається чітка тенденція до зростання Н6 з 22,93% на початок 2008 р. до 30,23% на початок 2010 року, тобто значення нормативу банку "Фінанси та Кредит" зросло на 7,3% за 3 роки. Але такого зростання не достатньо для забезпечення нормальної роботи банку з позицій його ліквідності, а також виконання вимог НБУ, який довів нормативне значення Н6 до 60%.
Проаналізувавши в цілому рівень виконання обов’язкових економічних нормативів в частині тих, що регулюють ліквідність комерційних банків, ПАТ "Банк "Фінанси та Кредит" та порівнявши їх із середніми значеннями по банківській системі в цілому можна зробити висновок про виконання всіма банками цих нормативів, тобто керівництво всіх банків розуміють важливість ліквідності для стабільного та ефективного функціонування, як окремої банківської установи, так і всієї банківської системи України. Так, порівняльний аналіз (перевищення фактичних значень нормативів в деяких випадках в кілька разів нормативно встановлених) дає змогу стверджувати, що в більшості банків України дилема між прибутковістю і ліквідністю вирішена на користь останньої.
Для контролю за ліквідністю банків також застосовується і метод коефіцієнтів, який дає можливість не тільки оцінити рівень ліквідності окремого банку, але й здійснювати порівняльний аналіз ліквідності різних за розмірами банків.
Коефіцієнтний аналіз дає змогу виявити кількісний зв’язок між різними рахунками, групами та розділами балансу. У такий спосіб визначають питому вагу окремих балансових рахунків чи груп рахунків у загальному обсязі активів (пасивів) або окремих груп та розділів балансу. Одержані значення порівнюються з нормативними значеннями або аналізуються в динаміці.
Аналіз ліквідності банку "Фінанси та Кредит" буде проведено за період 2007-2009 рр. за допомогою коефіцієнтів, що наведенені в таблиці. (табл. 2.8)
Таблиця 2.8Коефіцієнтний аналіз ліквідності банку "Фінанси та Кредит"за 2007-2009 рр.*
| Коефіцієнт | Орієнтовне значення | Станом на | Відхилення | |||
| 01.01.2008р | 01.01.2009р | 01.01.2010р | від2007 | від 2008 | ||
| Коефіцієнт високоліквідних активів, % | не менше 20% | 10,71 | 11,41 | 9,14 | 0,70 | -2,27 |
| Коефіцієнт загальної ліквідності, % | не менше 100% | 110,20 | 113,40 | 111,50 | 3,20 | -1,90 |
| Коефіцієнт співвідношення позик і депозитів, % | 75-80 % | 93,20 | 97,50 | 88,59 | 4,30 | -8,91 |
| Коефіцієнт ліквідних цінних паперів, % | 5-10% | 0,13 | 0,06 | 0,10 | -0,07 | 0,04 |
| Коефіцієнт структурного співвідношення вкладів | - | 15,40 | 20,79 | 24,35 | 5,39 | 3,56 |
| Коефіцієнт генеральної ліквідності зобовязань | більше 10% | 13,01 | 13,63 | 9,99 | 0,62 | -3,64 |
*Розраховано за даними фінансової звітності банку "Фінанси та Кредит"
Виходячи із даних таблиці, стосовно коефіцієнтного аналізу ліквідності ПАТ "Банк "Фінанси та Кредит" можна стверджувати, що у банк значні проблеми із браком високоліквідних активів. Коефіцієнт високоліквідних активів майже вдвічі менший за орієнтовне значення – 10,71% в 2007 р., та 9,14% в 2009 році. Таке погіршення показника зумовлене зниженням грошових коштів на рахунках банку в результаті відтоку депозитів та кризи банківської системи України. Можна стверджувати, що брак грошових коштів в ліквідній формі задовольнявся в основному за рахунок кредитів рефінансування Національного банку України. Отже, це зниження – сигнал про необхідність активізації управлінських заходів, спрямованих на усунення ризикового фактора.
Стосовно коефіцієнта загальної ліквідності, то досліджуваний банк мав достатню кількість активів для погашення всіх своїх зобов’язань. Реальне значення цього показника перевищувало орієнтовне на 10 %, що є достатнім для забезпечення умов для нормального функціонування банківської установи. Але, треба зазначити, що протягом 2009 року показник знизився на 1,9 процентних пункти в результаті зниження обсягу власного капіталу та зростання зобов’язань на відповідну суму.
Незначне перевищення позик наданих банком над отриманими депозитами є позитивним моментом для ліквідності банку "Фінанси та Кредит". Але треба відзначити зниження в 2009 році цього коефіцієнта майже на 9 процентних пунктів. Це означає, що ризик ліквідного погашення основного обсягу зобов’язань перед клієнтами банку має спадаючу тенденцію. Отже, видані кредити не повністю забезпечені переважаючим обсягом залучених депозитів і банкові може загрожувати незбалансована ліквідність при подальшому спрямуванні такої політики управління.
Цінні папери Уряду, як ми знаємо, можуть бути, поряд із високоліквідними коштами, додатковим джерелом ліквідності для банку. Банківська установа може їх реалізувати в будь-який момент час із незначними втратами в ціні, тому в разі нестачі ліквідності для розрахунку за поточними зобов’язаннями їх продаж є необхідним кроком. Низьке значення коефіцієнта ліквідних цінних паперів, біля 0,1 % є негативним фактором для ліквідності банку. Але, треба відзначити, що при сучасних умовах, коли уряд незавжди в строк погашає свої облігації, велика їх частка в портфелі цінних паперів буде стверджувати про невдалу інвестиційну політику банку. Тому низька частка таких цінних паперів в активах банку "Фінанси та Кредит" не сприяє погіршенню його ліквідності. Але для покращення ліквідної позиції банку в подальшому необхідно збільшити питому вагу таких паперів, як резерву ліквідності.
Коефіцієнт структурного співвідношення вкладів, який визначається як відношення депозитів до запитання до строкових депозитів, характеризує рівень стабільності ресурсів банку. Тобто тенденція до зростання цього показника з 15,4% в 2007 році до 24,35% в 2009 році (на 9% за аналізований період) є негативним явищем. Отже, стабільність ресурсної бази банку щорічно знижується – збільшується частка нестабільних депозитів до запитання, які можуть бути вилучені із банку в будь-який час. Що і довела ситуація із масовим відтоком депозитів з банківської системи наприкінці 2008 року. Така ситуація погіршує ліквідність банку та змушує його тримати значну частину своїх активів в високоліквідній формі. Подальше зростання цього показника наражає банк на ризик незбалансованої ліквідності та, як наслідок, до виникнення неплатоспроможності за поточними зобов’язаннями.
Зниження коефіцієнта генеральної ліквідності на 3,64% в 2009 році є незадовільною тенденцією, але не критично.
Таким чином, аналіз ліквідності за допомогою системи коефіцієнтів показав, що ПАТ "Банк "Фінанси та Кредит" в аналізованому періоді дотримувався обов’язкових нормативів ліквідності, встановлених НБУ, а також забезпечував активами свою здатність погашати будь-які вимоги за своїми зобов’язаннями перед клієнтами, що розмістили свої кошти на рахунках. Але аналіз виявив ряд загроз ліквідності. Це в першу чергу, стосується браку високоліквідних активів, таких як грошові кошти на коррахунках та ліквідні цінні папери. Загрожую також є і зміщення структури ресурсної бази банку в бік її нестабільної, мінливої частини.
Аналіз ліквідності банку "Фінанси та Кредит" буде не повним без оцінки структури його активів і пасивів за строками, тобто без проведення ГЕП-аналізу.
2.3 ГЕП-аналіз розривів між активами і пасивами за строками
Для аналізу ліквідності важливо знати не тільки стан ліквідності банківської установи в статичному вираженнісьогодні, а й ситуацію з ліквідністю в майбутньому. Останнє можливо вирішити за допомогою ГЕП-аналізу активів і пасивів за сумами та термінами, який наочно демонструє наявність або брак грошових коштів у комерційному банку. Фактичне значення розриву ліквідності можна використати для побудови прогнозу ліквідності банку у майбутньому періоду. Тому, логічним є висновок, що аналіз ліквідності ПАТ "Банк "Фінанси та Кредит" буде продовжений з аналізу розривів між активами і пасивами за строками та сумами.
Геп-аналіз здійснюється за допомогою побудови таблиці розривів (відповідності) активів і пасивів за сумами та термінами. Вихідними даними для аналізу розривів є залишок коштів на активних та пасивних рахунках балансу банку та графік їх погашення.Проте якщо обсяги активів і пасивів за балансом відомі, то не завжди відомі їх терміни до погашення. Багато активів і пасивів мають договірний графік погашення або взагалі не мають певного терміну погашення. Такими активами без строковості є овердрафти, споживчі позички за кредитними картками, відновлювальні кредитні лінії або інші позички без фіксованих дат погашення. Кошти до запитання-також безстрокові зобов’язання. Тому визначення розривів ліквідності базується на деяких припущеннях щодо строків зазначених активів та пасивів. До відпливу коштів призводять позабалансові зобов’язання, оскільки вони є невизначеними і залежать, наприклад, від потреби позичальника використовувати відкриті банком кредитні лінії.Для оцінювання ризику ліквідності розраховуються показники локального та кумулятивного розриву ліквідності. [36, с.423]
Показник локального розриву ліквідності розраховується за наступною формулою:
GL=А-З, де(2.1)
GL-локальний розрив ліквідності для окремого часового інтервалу;
А-сума активів з відповідним терміном розміщення;
З-сума зобов’язань банку із відповідним терміном погашення.
Показник кумулятивного розриву ліквідності розраховується з урахуванням значень локального розриву ліквідності і наявного запасу (дефіциту) ліквідності. Тобто кумулятивний розрив ліквідності розраховується за наступною формулою:
GК(Т)=∑GLі (t), де(2.2)
GК(Т)-кумулятивний розрив ліквідності для окремого часового інтервалу;
GLі (t)-локальний розрив ліквідності для окремого часового інтервалу;
Т-часовий інтервал для якого розраховується кумулятивний геп;
і-змінюється від 1 до Т.
Отримані дані в результаті ГЕП-аналізу можна інтерпретувати наступним чином: знак "+" свідчить про надлишкові кошти у банку і можливість проводити в майбутньому операції з розміщення коштів; знак "-" свідчить про недостатність грошових коштів у банку і про можливість виникнення проблем у банку зі своєчасним виконанням своїх зобов’язань, а також про порушення фінансової рівноваги банку, пов’язаної з ліквідністю, фінансову нестійкість банку. Розрив ліквідності за строками обчислюється в абсолютних величинах (сума грошових коштів) і показує, скільки банку може не вистачати грошових коштів для розрахунків за своїми зобов’язаннями або скільки в нього є вільних коштів для вкладень в активні операції. Також розрив ліквідності розраховується й у відносних величинах щодо чистих активів, щоб реально оцінити тенденції щодо поліпшення чи погіршення ситуації в банку з ліквідністю. Розрив ліквідності не є чимось незмінним, тобто геп може приймати різні значення в залежності від умов, так в стабільній ситуації за експертною оцінкою банків розрив ліквідності повинен складати не більше 10 % від сукупних активів. Для отримання об’єктивних результатів та визначення тенденції ліквідної позиції банку "Фінанси та Кредит" аналіз розривів проведемо за останні 3 року на основі динах статистичної форми звітності № 631 "Звіт про структуру активів та пасивів за строками" в таких часових інтервалів: до 31 дня, від 32 до 92 днів, від 93 до 365 днів, від 1 до 5 років, понад 5 років (табл. 2.9, табл. 2.10).
Таблиця 2.9Структура активів і пасивів ПАТ "Банк "Фінанси та Кредит" за строками станом на 01.01.2008 р.*
| Показник | Активи | Пасиви | Локальний розрив | Кумулятивний розрив | ||||
| тис. грн. | % | тис. грн. | % | тис. грн. | % | тис. грн. | % | |
| Короткострокові, у т.ч. | 7949060 | 54,32 | 10821290 | 73,94 | -2872230 | -19,63 | -2872230 | -19,63 |
| до 31 дня | 3556549 | 24,30 | 3 643 395 | 24,90 | -86 846 | -0,59 | -86 846 | -0,59 |
| від 32 до 92 днів | 1176080 | 8,04 | 1 700 560 | 11,62 | -524480 | -3,58 | -611 326 | -4,18 |
| від 93 до 365 днів | 3216431 | 21,98 | 5 477 335 | 37,43 | -2260904 | -15,45 | -2 872230 | -19,63 |
| Довгострокові,у т.ч. | 6685371 | 45,68 | 3 813 141 | 26,06 | 2872230 | 19,63 | 2 872 230 | 19,63 |
| від 1 до 5 років | 3981057 | 27,20 | 1 837 855 | 12,56 | 2143202 | 14,64 | -729 028 | -4,98 |
| понад 5 років | 2704314 | 18,48 | 1 975 286 | 13,50 | 729 028 | 4,98 | 0 | 0 |
| Чисті активи, всьго | 14 634 431 | |||||||
*Розраховано за даними фінансової звітності банку "Фінанси та Кредит" за 2007 р.
Дані таблиці свідчать про негативну ситуацію з ліквідністю банку "Фінанси та Кредит" в 2007 році. На всіх часових інтервалах до 1 року пасиви перевищують аналогічні активи. Але треба відзначити, що активи і пасиви до 1 місяця практично збалансовані (розрив складає всього 86,8 млн. грн. або 0,59 % чистих активів), що можна розцінювати як результат виваженого менеджменту. Це свідчить про добру миттєву ліквідність банку та забезпеченість його високоліквідними активами. Так, розрив між активами і пасивами з терміном погашення до 3-х місяців складає -524,5 млн. грн. або 3,58 % чистих активів.Фактором, який ще більше ускладнює ситуацію з ліквідністю в банку є локальний розрив між активами і пасивами зі строком від 93 до 365 днів, який є негативним і складає -2,26 млрд. грн. або 15,45% від чистих активів. Таким чином, кумулятивний розрив між активами та пасивами до 1 року є також негативним і збільшився до 2,87 млрд. грн., що в відносному вираженні до активів складає 19,63%. Отже, на кінець 2007 року в часовому інтервалі до 1 року Промінвестбанк відчував значний дефіцит коштів, який складав 2 872 230 тис. грн., тобто ризик незбалансованої ліквідності становив біля 20% всіх активів банку. Негативне значення кумулятивного ГЕПу до 1 року повністю покрилось розривом між довгостроковими активами та пасивами, тобто понад 1 року в основному за рахунок позитивного розриву між активами і пасивами на часовому інтервалі до 5 років (2143202 тис. грн. або 14,64 % чистих активів).Отже, результати аналізу показують, що в 2007 року в банку "Фінанси та Кредит" склалась ситуація, яка характеризувалась досить значним дефіцитом коштів (2,9 млрд. грн. або 19,63% від чистих активів), що вказує на недостатньо збалансовані активи і пасиви за термінами. Тобто така ситуація може пояснюватись превалюванням прибутковості над ліквідністю в менеджменті банку в 2007 році. Також треба зазначити, що така ситуація характерна практично для всіх банківських установ України, коли пасиви залучаються на короткий термін, а активи, навпаки, є довготерміновими.
Таблиця 2.10Структура активів і пасивів ПАТ "Банк "Фінанси та Кредит" за строками станом на 01.01.2009 р.
| Показник | Активи | Пасиви | Локальний розрив | Кумулятивний розрив | ||||
| тис. грн. | % | тис. грн. | % | тис. грн. | % | тис. грн. | % | |
| Короткострокові | 9 420 184 | 51,09 | 14 586738 | 79,11 | -5166554 | -28,02 | -5166554 | -28,02 |
| до 31 дня | 3 231 071 | 17,52 | 3 641 742 | 19,75 | -410671 | -2,23 | -410 671 | -2,23 |
| від 32 до 92 днів | 898 453 | 4,87 | 2 911 362 | 15,79 | -2012909 | -10,92 | -2423580 | -13,14 |
| від 93 до 365 днів | 5 290 660 | 28,69 | 8 033 634 | 43,57 | -2742974 | -14,88 | -5166554 | -28,02 |
| Довгострокові,у т.ч. | 9 019 256 | 48,91 | 3 852 703 | 20,89 | 5166553 | 28,02 | 5166553 | 28,02 |
| від 1 до 5 років | 4 998 808 | 27,11 | 1 270 256 | 6,89 | 3728552 | 20,22 | -1438002 | -7,80 |
| понад 5 років | 4 020 448 | 21,80 | 2 582 447 | 14,01 | 1438001 | 7,80 | 0 | 0 |
| Чисті активи, всьго | 18 439 441 | |||||||
Із вище наведених даних з таблиці можна стверджувати про певні зміни, як у структурі активів та пасивів банку "Фінанси та Кредит", так і їх збалансованості в 2008 році, що може сприйматися, як негативні зрушення в порівнянні із попереднім 2007 роком. Хоча треба відмітити, що саме в наприкінці цього року фінансова кризи почала себе проявляти в банківській системі України. Масовий відтік депозитів та криза ліквідності, а також введення тимчасових адміністрацій до ряду українських банків на могли не сказатися і на ліквідності банку "Фінанси та кредит". Так, розрив між активами і пасивами з терміном погашення до 1 місяця є негативним і складає 410 671 тис. грн. або 2,23% чистих активів банку, тобто банк наражається на незначний ризик незбалансованої ліквідності, але який є вищим в порівнянні із попереднім роком (майже на 1,5%). Локальний розрив між активами і пасивами зі строком погашення від 32 до 92 днів є негативним і становить 2 млрд. грн. або біля 11% від чистих активів, що ще більше наражає банк на ризик незбалансованої ліквідності. Так, кумулятивний розрив до 92 днів становить -2 423580тис. грн. або 13,14 % від активів банку, тобто ситуація з незбалансованістю активів і пасивів в банку порівняно із терміном погашення до 31 дня практично не змінилась. Дефіцит коштів залишається досить значним і становить майже 2,5 млрд. грн.
Фактором, який ще більше ускладнює ситуацію з ліквідністю в банку є локальний розрив між активами і пасивами зі строком від 93 до 365 днів, який є негативним і складає-2,7 млрд. грн. або 14,88% від чистих активів. Таким чином, кумулятивний розрив між активами та пасивами до 1 року є також негативним і збільшився до 5,2 млрд. грн., що в відносному вираженні до активів складає 28,02%. Перевищення цього показника майже в тричі від рекомендованого викликає занепокоєння в менеджменті банку "Фінанси та Кредит" стосовно його ліквідності. В подальшому із збереженням такої тенденції ситуація може вийти із під контролю і призвести до банкрутства банківської установи.
Негативне значення кумулятивного ГЕПу до 1 року повністю покрилось розривом між довгостроковими активами та пасивами в основному за рахунок позитивного розриву між активами і пасивами на часовому інтервалі до 5 років ( 3728552тис. грн. або 20,22 % чистих активів).
Отже, станом на 01.01.2009 року в банку "Фінанси та Кредит" відчувався критичний дефіцит коштів в сумі 5 166 554 тис. грн., що в відносному вираженні складає трохи більше 28%, тобто ризик незбалансованої ліквідності є критичним. Але треба зазначити, що таке погіршення ліквідності банку обумовлене, в першу чергу факторами макроекономічного порядку, які затронули всю банківську систему країни.
Для виявлення та закріплення загальної тенденції ліквідності проведемо ГЕП-аналіз за 2009 рік (табл. 2.11).
Таблиця 2.11Структура активів і пасивів ПАТ "Банк "Фінанси та Кредит" за строками станом на 01.01.2010 р.*
| Показник | Активи | Пасиви | Локальний розрив | Кумулятивний розрив | ||||
| тис. грн. | % | тис. грн. | % | тис. грн. | % | тис. грн. | % | |
| Короткострокові | 9 244 998 | 47,52 | 14091 962 | 72,43 | -4846964 | -24,91 | -4846964 | -24,91 |
| до 31 дня | 2 661 331 | 13,68 | 5 525 924 | 28,40 | -2864593 | -14,72 | -2864593 | -14,72 |
| від 32 до 92 днів | 974 207 | 5,01 | 3 036 896 | 15,61 | -2062689 | -10,60 | -4927282 | -25,32 |
| від 93 до 365 днів | 5 609 460 | 28,83 | 5 529 141 | 28,42 | 80 318 | 0,41 | -4846964 | -24,91 |
| Довгострокові | 10211787 | 52,48 | 5 364 825 | 27,57 | 4846962 | 24,91 | 4846962 | 24,91 |
| від 1 до 5 років | 6 168 541 | 31,70 | 3 073 890 | 15,80 | 3094651 | 15,91 | -1752313 | -9,01 |
| понад 5 років | 4 043 246 | 20,78 | 2 290 935 | 11,77 | 1752311 | 9,01 | 0 | 0 |
| Чисті активи, всьго | 19 456 787 | |||||||
* Розраховано за даними фінансової звітності банку "Фінанси та Кредит" за 2009 р.
Із вище наведених даних в таблиці можна стверджувати, що ситуація із ліквідністю в банку "Фінанси та Кредит" в 2009 році залишалася приблизно на такому самому рівні, як і в попередньому. Але серед загроз ліквідності, особливо її миттєвої складової, треба зазначити великий розрив між активами і пасивами банку присутній на часовому інтервалі до 31 дня, який складає майже 2,9 млрд. грн. або 14,72% від сукупних активів, що зумовлює високий ризик ліквідності банку. Така ситуація характерна не тільки для аналізованого банку, а і для інших комерційних банків, коли серед депозитної бази банків велику питому вагу складають депозити на вимогу та залишки на поточних та карткових рахунках.
Локальний розрив між активами і пасивами зі строком погашення від 32 до 92 днів є негативним і становить 2 млрд. грн. або біля 11% від чистих активів, що ще більше наражає банк на ризик незбалансованої ліквідності. Так, кумулятивний розрив до 92 днів становить -4927282 тис. грн. або 25,32 % від активів банку, тобто ситуація з незбалансованістю активів і пасивів в банку. Розрив між активами і пасивами зі строком погашення від 93 до 365 днів на відміну від попереднього показника є позитивним і становить 80318 тис. грн. або 0,41% від чистих активів. Так активи і пасиви в цьому часовому інтервалі були практично збалансованими. Але треба зазначити, що такий невеликий позитивний розрив (+ 80318 тис. грн.) із урахуванням дефіциту ліквідності, який був до 3 місяців практично не вплинув на кумулятивний розрив ліквідності до 1 року (24,91 % чистих активів банку).
На часових інтервалах понад 365 днів спостерігаються додатні розриви ліквідності, тобто активи банку перевищують його пасиви з відповідними термінами погашення.
Для оцінки збалансованості активів і пасивів банку "Фінанси та Кредит" в 2009 році відобразимо їх графічно (Рис. 2.4)

Рис. 2.4. Структура активів і пасивів банку "Фінанси та Кредит" станом на 01.01.2010.
Таким чином, із вище наведеного рисунку ми бачимо незбалансованість активів і пасивів банку за строками і сумами. Так найбільший розрив є саме на часовому інтервалі до 31 дня, що і є причиною дефіциту грошових коштів та ризику ліквідності банку. Надлишок коштів на інтервалах від 93 до 365 днів, від 1 до 5 років та понад 5 років тільки частково компенсує цей ризик.
Для порівняння розривів між активами та пасивами ПАТ "Банк "Фінанси та Кредит" за аналізований період зобразимо їх зміни графічно в абсолютному значенні (Рис. 2.5) та в відносному (Рис. 2.6).

Рис. 2.5. Порівняльний аналіз розривів між активами та пасивами за 2007-2009 рр. в абсолютному вираженні
Так, графік наглядно демонструє розриви між активами та пасивами банку "Фінанси та Кредит" в розрізі часових інтервалів відповідно до форми № 631 за 2007-2009 рр. Відповідно до нього найбільша нестабільність розривів між активами та пасивами була характерна для 2008 року, коли, як вже зазначалось, банк наражався на найбільший ризик ліквідності (більше ніж 28,02%) та мав найгірше збалансовану структуру активів і пасивів за термінами і сумами за 2007-2009 рр. Саме на цей період і припала фінансова криза, яка жорстко зачепила банківську систему України, не став виключенням і досліджуваний банк. Як свідчить графік ситуація із розривами ліквідності в 2008 та 2009 рр. була дещо подібною, проте саме в 2009 році відчувався найбільших дефіцит грошових коштів до 31 дня в абсолютному вираженні.

Рис. 2.6. Порівняльний аналіз розривів між активами та пасивами за 2007-2009 рр. в відносному вираженні
Вище наведені рисунки відображають реальну картину зміни розривів ліквідності в результаті балансування активів та пасивів за строками та сумами та узагальнює проведений ГЕП-аналіз.
Загалом підсумовуючи результати проведеного ГЕП-аналізу активів та пасивів ПАТ "Банк "Фінанси та Кредит" необхідно зазначити негативну тенденцію ліквідності, яка спостерігалась протягом 2008 року та продовжилась в 2009 р. та пов’язана із поступовим погіршенням збалансованості структури активів та пасивів та зростанням ризику незбалансованої ліквідності до рівня 28,02% в 2008 р. і 24,91% в 2009 році. Покращення структури в останньому році було зумовлене, в першу чергу затвердженням в 2009 році нової стратегії та тактики на всіх організаційних рівнях, яка забезпечила контроль збалансованості обсягів активно-пасивних операцій. З метою зниження ризику ліквідності банком було встановлено ліміти на розриви ліквідності для філій банку. Погіршення ліквідності в 2009 році, особливо її миттєвої складової, обумовлене значними коливаннями розривів між активами і пасивами в часовому інтервалі до 31 дня протягом року, що було зумовлено погіршення кон’юнктури на ринку банківських послуг, а також відтоком депозитів населення із банківської системи України. Отже, можна стверджувати про дещо підвищений ризик ліквідності, незважаючи на те, що, виходячи із значень нормативів ліквідності досліджуваний банк, як і вся банківська система України має значний запас ліквідності. Це пояснюється хронічною незбалансованістю активів і пасивів за строками, яке характерне не тільки для банку "Фінанси та Кредит" але і для всіх банків України, коли активи в основному довгострокові, а пасиви-короткотермінові. Також необхідно відмітити, що повної відповідності між строками і сумами активів і пасивів, яке є ідеальною ситуацією, на практиці практично неможливо досягти. Але аналіз ліквідності банку буде неповним та необ’єктивним без порівняльного аналізу ліквідності з іншими банками України.
2.4 Порівняльний аналіз рівня ліквідності ПАТ "Банк "Фінанси та Кредит" з іншими банками України
Ліквідність значною мірою залежить від рівня ліквідності активів банків. За наявності високої частки проблемних активів, низької частки високоліквідних активів (готівкові кошти та кошти на коррахунках в Національному банку України та інших банках) банк має високий ризик ліквідності навіть у разі збалансованості активів і пасивів за сумами та строками. Тому наступним кроком аналізу ліквідності банку "Фінанси та Кредит" є аналіз ліквідності банку в порівнянні із аналогічними показниками банків-конкурентів, тобто банків, що віднесені НБУ до 1-ї групи. Для порівняння показників ліквідності обрано два банки - ПАТ КБ "ПРИВАТБАНК", як банк лідер всієї банківської системи України та ПАТ "Перший український міжнародний банк".
Порівняльна оцінка рівня ліквідності буде проведена за двома групами показників: за обов’язковими нормативами ліквідності та коефіцієнтами ліквідності за 2007-2009 рр. Першим кроком порівняння є аналіз дотримання обов’язкових нормативів (табл. 2.12).
Таблиця 2.12Стан та динаміка нормативів ліквідності банківУкраїни за 2007-2009 рр.*
| Показник | Банк | Станом на | Абсолютне відхилення | |||
| 01.01.2008 | 01.01.2009 | 01.01.2010 | 2008 рік | 2009 рік | ||
| Норматив миттєвої ліквідності | ПАТ "Банк "Фінанси та Кредит" | 46,15 | 51,73 | 53,60 | 5,58 | 1,87 |
| ПАТ КБ "Приватбанк" | 56,10 | 57,00 | 60,07 | 0,90 | 3,07 | |
| ПАТ "ПУМБ" | 57,48 | 69,69 | 131,76 | 12,21 | 62,07 | |
| Норматив поточної ліквідності | ПАТ "Банк "Фінанси та Кредит" | 74,74 | 73,33 | 73,04 | -1,41 | -0,29 |
| ПАТ КБ "Приватбанк" | 55,00 | 55,30 | 80,52 | 0,30 | 25,22 | |
| ПАТ "ПУМБ" | 77,78 | 72,71 | 99,31 | -5,07 | 26,60 | |
| Норматив короткострок ліквідності | ПАТ "Банк "Фінанси та Кредит" | 22,93 | 25,68 | 30,23 | 2,75 | 4,55 |
| ПАТ КБ "Приватбанк" | 32,40 | 36,93 | 45,44 | 4,53 | 8,51 | |
| ПАТ "ПУМБ" | 42,10 | 29,47 | 61,23 | -12,63 | 31,76 | |
*Розраховано за даними фінансової звітності.
Дані таблиці свідчать, всі досліджувані банки дотримуються встановлених Національним банком України економічних нормативів в групі нормативів ліквідності. Аналізовані дані перевищують нормативні значення, що свідчить про достатній рівень ліквідності. Але треба відзначити, що в порівнянні із іншими банками 1-х групи банк "Фінанси та Кредит" має менші значення нормативів ліквідності, особливо це стосується нормативу короткострокової ліквідності. Тобто можна стверджувати, про недостатню збалансованість активів і пасивів банку на часовому інтервалі до одного року.Результати аналізу свідчать, що не всі банки групи мають достатній обсяг високоліквідних коштів, частка яких серед загальних активів банку повинна складати в межах 15-20%, про свідчить значення нормативу миттєвої ліквідності. Також, як позитивне явище слід відмітити тенденцію до зростання нормативів ліквідності за аналізований період, окрім нормативів поточної та короткострокової ліквідності ПАТ "ПУМБ" в 2008 році на 5,07% та 12,63% відсотків. Серед негативних моментів слід відмітити надзвичайно великі значення нормативів ліквідності. В деяких випадках значення перевищують нормативні в декілька разів (норматив миттєвої ліквідності в 2009 році ПАТ "ПУМБ" перевищує норматив в 6,5 разів), що свідчить про значне відволікання активів в ліквідну форму для забезпечення ліквідності. Такий менеджмент не дозволяє банку отримувати високі прибутки, і не може розглядатися оптимальним варіантом.Загалом за аналізом нормативів ліквідності, можна зробити висновки, серед аналізованих банків найкращу ліквідність має Приватбанк, а досліджуваний банк хоча і відстає від нього, але все ж таки має задовільну ліквідну позицію. Наступним кроком порівняльного аналізу ліквідності банків є коефіцієнтний аналіз, який буде зроблений за аналогією із аналізом ПАТ "Банк "Фінанси та Кредит" за 2007-2009 рр. Виходячи із результатів попереднього дослідження спочатку проаналізуємо ПАТ КБ "Приватбанк" (табл. 2.13).
Таблиця 2.13Коефіцієнтний аналіз ліквідності ПАТ КБ "Приватбанк"за 2007-2009 рр.*
| Коефіцієнт | Орієнтовнезначення | Період | Абсолютне відхилення | |||
| 2 007р. | 2 008р. | 2 009р. | 2008р | 2009 р. | ||
| Коефіцієнт високоліквідних активів | не менше 20% | 10,92 | 10,51 | 10,75 | -0,41 | 0,24 |
| Коефіцієнт загальної ліквідності | не менше 100% | 109,40 | 114,20 | 114,80 | 4,80 | 0,60 |
| Коефіцієнт співвідношення позик і депозитів | 75-80 % | 99,06 | 104,96 | 97,08 | 5,90 | -7,89 |
| Коефіцієнт ліквідних цінних паперів | 5-10% | 1,95 | 0,49 | 0,27 | -1,46 | -0,22 |
| Коефіцієнт структурного співвідношення вкладів | - | 62,81 | 37,11 | 41,72 | -25,70 | 4,61 |
| Коефіцієнт генеральної ліквідності зобовязань | більше 10% | 14,51 | 15,27 | 15,85 | 0,76 | 0,58 |
*Розраховано за даними фінансової звітності банку
Дані таблиці свідчать про недостатній обсяг високоліквідних коштів, виходячи із значення коефіцієнта високоліквідних активів. Обсяг високоліквідних активів станом на кінець дня 31 грудня 2009 року становив 9 251 245 тис. грн., або 10,75 % від загальних активів банку. Отже, банк має високоліквідних активів практично в два рази менше за оптимальне значення. Тобто менеджмент банку направлений в першу чергу на прибутковість, а потім вже на забезпечення ліквідності. Але, треба зазначити, що враховуючи статус Приватбанку, як лідера банківської системи України, а також його зв’язки із зарубіжними банку, можна сказати, що такий обсяг коштів є достатнім для забезпечення нормальної роботи. Оскільки банк може покрити нестачу коштів за рахунок запозичень, як на внутрішньому, так і на міжнародному ринках. Коефіцієнт загальної ліквідності знаходиться в межах норма. Але занепокоєння визиває коефіцієнт співвідношення позик і депозитів – його значення перевищує оптимальне майже на 17 процентних пунктів. Забезпеченість ліквідними цінними паперами є низькою, як і в ситуації із банком "Фінанси та Кредит" і по тій же причині. Негативним моментом в ліквідності Приватбанку є велика залежність від поточних пасивів, про що стверджує коефіцієнт структурного співвідношення вкладів (41% станом на 01.01.2010). Тому для ефективної подальшої роботи необхідно зменшити їх частку в структурі всіх вкладів.
Розрахунок ресурсних позицій (розривів ліквідності) банку здійснюється за балансовими активами та зобов’язаннями банку відповідно до термінів їх повернення згідно угод, договорів та інших документів у розрізі валют та загальний у всіх валютах. Розрахунки свідчать про достатню збалансованість за строками погашення та розміщення активів та зобов’язань Приватбанку; активи і пасиви за строками погашення між собою у цілому узгоджені, що забезпечує достатній рівень ліквідності.
Коефіцієнтний аналіз ліквідності ПАТ "ПУМБ" за 2007-2009 рр. наведено в таблиці 2.14.
Таблиця 2.14 Коефіцієнтний аналіз ліквідності ПАТ "ПУМБ" за 2007-2009 рр.*
| Коефіцієнт | Орієнтовнезначення | Період | Абсолютне відхилення | |||
| 2 007р. | 2 008р. | 2 009р. | 2 008р. | 2 009р. | ||
| Коефіцієнт високоліквідних активів | не менше 20% | 10,65 | 9,88 | 19,71 | -0,77 | 9,83 |
| Коефіцієнт загальної ліквідності | не менше 100% | 104,60 | 109,50 | 111,83 | 4,90 | 2,33 |
| Коефіцієнт співвідношення позик і депозитів | 75-80 % | 185,44 | 204,10 | 187,34 | 18,66 | -16,76 |
| Коефіцієнт ліквідних цінних паперів | 5-10% | 0,35 | 0,76 | 0,27 | 0,41 | -0,49 |
| Коефіцієнт структурного співвідношення вкладів | - | 51,10 | 32,50 | 30,57 | -18,60 | -1,93 |
| Коефіцієнт генеральної ліквідності зобовязань | більше 10% | 11,42 | 11,98 | 13,33 | 0,56 | 1,35 |
*Розраховано за даними фінансової звітності банку
За даними коефіцієнтного аналізу можна стверджувати, що ПАТ "ПУМБ" в порівнянні із Приватбанком має гіршу ліквідність, про що стверджують значення коефіцієнтів. Але в 2009 році банк в результаті збалансованої політики щодо активів та пасивів досяг оптимальної частки високоліквідних активів (19,71% від загальних активів). Негативним моментом ліквідності банку є співвідношення позик і депозитів - 187,34% в 2009 році, тобто реальне значення в 2,5 рази перевищує орієнтовне. Фінансування кредитів наданих клієнтам за рахунок недепозитних джерел є неефективним та загрозливим для ліквідної позиції банку. Така політика призводить до залежності банку від фінансових та банківських ринків та від зміни кон’юнктури на них. Для стабілізації ситуації банку першочерговим є зростання долі депозитів в пасивах банку за рахунок проведення виваженої депозитної політики. Тенденція зниження залежності від поточних депозитів є позитивним моментом для ліквідності банку, тобто відбувається зростання стабільності депозитної бази (коефіцієнт структурного співвідношення вкладів в 2009 році становив 30,57%).
Загалом можна стверджувати, що протягом аналізованого періоду ПАТ "ПУМБ" з ціллю забезпечення виконання власних зобов’язань і зобов’язань клієнтів, впровадив політику спрямовану на утримування ліквідних активів на рівні, достатньому для покриття будь-якого незапланованого відтоку частини клієнтських депозитів.
Таким чином, проведений порівняльний аналіз свідчить, що ПАТ "Банк "Фінанси та Кредит" в порівнянні із іншими банками 1-ї групи забезпечений достатнім обсягом ліквідності. Але в порівнянні із Приватбанком банк "Фінанси та Кредит" наражається на більший ризик ліквідності та має меншу ліквідність. В 2009 році намітились тенденції до покращення ліквідності банку "Фінанси та Кредит".
Підводячи підсумки аналізу ліквідності ПАТ "Банк "Фінанси та Кредит" можна стверджувати про покращення рівня ліквідності в 2009 році в порівнянні із попереднім. Також в банку проводиться зважена політика управління активами та пасивами в частині збалансування їх строків для забезпечення ліквідності банківської установи. Але присутні певні негативні тенденції, що виявились в 2008 році, як в частині балансування активами і пасивами в розрізі строків та сум, так і частині рівня забезпеченості високоліквідними активами, обсяг яких є меншим за встановлений ліміт, які є основним джерелом забезпечення ліквідності банківської установи на достатньому для стабільного функціонування рівні.
Висновки до розділу 2
Проведений аналіз ліквідності ПАТ "Банк "Фінанси та Кредит" на основі методу розривів та коефіцієнтного аналізу, а також порівняння ліквідності досліджуваного банку з іншими банками із першої групи дає змогу зробити висновок, що ризик ліквідності в банку знаходиться на достатньому рівні, але при цьому треба відзначити, що він є цілком контрольованим з боку менеджменту банку, тобто ліквідність є незначною. Проведений ГЕП-аналіз свідчить негативну тенденцію ліквідності, яка спостерігалась протягом 2008 року та продовжилась в 2009 р. та пов’язана із поступовим погіршенням збалансованості структури активів та пасивів та зростанням ризику незбалансованої ліквідності до рівня 28,02% в 2008 р. і 24,91% в 2009 році. Проблема ліквідності банку в першу чергу пов’язана із невисокою питомою вагою високоліквідних активів, в тому числі коштів на коррахунку в НБУ, а також недостатнім обсягом капіталу банку, темпи росту якого не поспівають за нарощенням активів. Тобто, необхідною передумовою подальшого стабільного функціонування банку є нарощення високоліквідних коштів. Аналіз обов’язкових нормативів свідчить про виконання банком встановлених НБУ вимог, щодо нормативів ліквідності. Аналіз коефіцієнтів виявив проблему нестачі високоліквідних коштів, а також значну залежність банку від поточних депозитів, що ще більше знижує ліквідність банківської установи.
Отже, проведення аналізу банку на мікрорівні необхідне для вивчення та прогнозування стійкості та надійності банку та контролю за виконанням ним встановлених стандартів і нормативів. Результати проведеного аналізу ліквідності банку "Фінанси та Кредит" є основою для розроблення шляхів вдосконалення системи управління ліквідністю в банку для зменшення ризику ліквідності на який наражається банк.
Розділ 3.Шляхи вдосконалення процесу управління ліквідностю в банку
3.1 Світовий досвід управління ліквідністю комерційного банку
Управління ризиком ліквідності є передумовою довіри до банківської системи країни. Проблема ліквідності виходить за рамки одного банку, так як дефіцит ліквідності в одній банківській установі може відобразитись на всій системі в цілому, тому практично в усіх країнах світу питанню управління ліквідністю приділяється велика увага, як з боку окремого комерційного банку так і центрального банку країни. Необхідність вивчення досвіду управління ризиком ліквідності як розвинутих, так і постсоціалістичних країн набуває особливої актуальності в наш час. У більшості країн світу не існує однакових показників оцінки ліквідності банку. Набір показників і методів управління ліквідністю варіюють від банку до банку. Управління активами і пасивами банку в іноземних країнах спирається на використання однієї з чотирьох теорій управління ліквідністю: теорії комерційних позичок, теорії переміщення, теорії очікуваного доходу, теорії управління пасивами. У закордонній практиці за ознакою ліквідності (швидкості перетворення активів у кошти) всі активи поділяються на: первинні резерви, вторинні резерви, позички, інші цінні папери. До первинних резервів належить касова готівка і кошти на кореспондентському рахунку в Центральному банку. До вторинних резервів належать високоліквідні цінні папери, призначені для продажу. Даний вид активу доповнює первинний резерв ліквідних засобів у випадку недостачі останнього. Ліквідність позичок,інших цінних паперів, інвестиційних вкладень (будинків і споруд) більш низька. Для управління ліквідністю закордонна практика виробила певні вимоги до структури активів. Оптимальним для забезпечення стабільності, ліквідності і платоспроможності банку вважаються наступні норми окремих видів активів:
Сполучені Штати Америки:
- первинні резерви (стосовно депозитів) - не менш ніж 5-10 %;
- первинні і вторинні резерви (стосовно депозитів) - не менш ніж 10-15 %;
-позички (стосовно активів) - не більше 65%.
Японія:
- ліквідні активи (первинні і вторинні резерви) стосовно депозитів - 30 %.
Франція:
-ліквідні активи (активи з терміном погашення в найближчі 30 днів) стосовно зобов’язань до запитання і терміном погашення в найближчі 30 днів – 100 %; [44, с.272]
-співвідношення суми активів, розміщених строком на 3 місяці, і суми депозитів до повернення, строкових депозитів та інших ресурсів, залучених на 3 місяці не менше 60 %. [13, с.23]
У процесі управління ліквідністю на основі дотримання визначеного співвідношення в активах і пасивах закордоном використовується метод закріплення окремих статей пасивів в залежності від їх строковості за визначеними статтями активів, виходячи з їх ліквідності. Схематично цей метод представлений на рисунку 3.1. [42, с.96]

Рис. 3.1. Розподіл окремих статей пасивів за відповідними статтями активів
В деяких розвинутих країнах світу, наприклад в США, управління ризиком ліквідності базується на визначенні дефіциту або надлишку ліквідності. Для цього сукупна сума активів окремого періоду порівнюється із сумою пасивів відповідного періоду, дефіцит (надлишок) ліквідності визначається по періодам і наростаючим підсумком. Наступним кроком аналізу є зіставлення суми дефіциту із граничним рівнем, який визначає банк. Тобто в даному випадку йде мова про ГЕП-аналіз, який вже використовується і в Україні комерційними банками саме для управління ризиком ліквідності. [13, с.23]
Враховуючи те, що одним із основних методів управління ліквідністю комерційного банку є метод коефіцієнтів, який крім самих банків в регуляторних цілях використовують і багато центральних банків країн світу у формі встановлення обов’язкових економічних нормативів, особливої уваги заслуговує саме зарубіжний досвід управління ліквідністю за допомогою коефіцієнтів. Коефіцієнтний метод передбачає встановлення певних кількісних співвідношень статей активу та пасиву балансу. В одних країнах ці співвідношення встановлюються центральними банками, а в інших - банками. Кількість показників ліквідності неоднакова в різних країнах світу. Так для обов’язкового виконання Національний банк України розробив тринадцять нормативів, з яких три - ліквідності, а в Росії Центробанк запровадив чотирнадцять нормативів, з яких чотири - нормативи ліквідності. Вибір показників виміру ліквідності обумовлюється насамперед вимогами наглядового органу до оцінки ліквідності. В іноземних країнах наглядові органи або взагалі директивно не встановлюють обов’язкове коло таких показників (наприклад, у США), або встановлюють незначну кількість показників (наприклад, у Японії, Німеччині, Франції, Англії). Використовуючи інструкції, а також деякі літературні джерела, зроблено спробу упорядкувати систему показників ліквідності окремих країн світу, що представлена у таблиці 3.1.
Таблиця 3.1Економічні нормативи ліквідності комерційних банків розвинутихкраїн світу
| Країна | Назва показника | Розрахунок | Нормативне значення, % |
| Франція | Норматив ліквідності | Співвідношення суми активів, розміщених строком на 3 місяці, і суми депозитів до повернення, строкових депозитів та інших ресурсів, залучених на 3 місяці | > 60 |
| Норматив довгострокової ліквідності | Співвідношення суми активів, розміщених строком понад 4 роки до довгострокових ресурсів строком понад 4 років. | > 60 | |
| Німеччина | Норматив короткострокової ліквідності | Співвідношення суми короткострокових та середньострокових вкладень до 4 років і суми залучених ресурсів до 4 років та ощадних депозитів | 100 |
| Норматив довгострокової ліквідності | Співвідношення суми активів і суми зобов’язань зі строком розміщення активів і погашення зобов’язань понад 4 роки | 100 | |
| Велика Британія | Норматив ліквідності | Співвідношення готівки, залишків на коррахунках HOCTPО, суми наданих депозитів до повернення і зі строком розміщення на день, цінних паперів та придатних до переобліку векселів і загальної суми зобов’язань. | > 12,5 |
| Японія | Норматив ліквідності | Співвідношення суми коштів на кореспондентському рахунку в Центральному банку та в касі, державних цінних паперів і загальної суми залучених депозитів | > 30 |
Слід зазначити, що Центральний банк Франції не нав’язує однаковий коефіцієнт усім установам; у кожному конкретному випадку банк може вважати обчислений коефіцієнт задовільним чи ні і, у разі потреби, вплинути на установу відповідним чином. [5, с.412]
В деяких країнах банківські установи для власних потреб, поряд з нормативними показниками ліквідності, розраховують інші показники ліквідності балансу банку. Так, комерційні банки Великої Британії для аналізу та контролю за своєю діяльністю використовують показники ліквідності, за якими не треба звітувати. Це співвідношення суми активів до суми зобов’язань зі строком розміщення активів і погашення зобов’язань до одного місяця та до шести місяців.
Цікавим є досвід оцінювання ліквідності комерційними банками США. Центральний банк США не зобов’язує комерційні банки дотримуватися законодавчо встановлених нормативів ліквідності. Розробка та підтримання системи показників ліквідності є завданням керівництва самих банківських установ. Нині в американській практиці не передбачено строгих формул оцінки ліквідності різноманітних банків. При проведенні аналізу ліквідності підходи змінюються залежно від ринку, на якому працює банк; типу або виду комерційного банку; змісту і набору банківських послуг.[19, с.173]
Згідно з досвідом, накопиченим банками США, запроваджено таку систему показників:
- обсяг первинних резервів (каса + кореспондентський рахунок в центральному банку ) / Обсяг залучених депозитів;
- обсяг первинних + вторинних резервів (державні цінні папери) / Обсяг залучених депозитів;
- рівень першого показника для забезпечення ліквідності банку має бути не меншим 5-10 %; рівень другого - не меншим 15-25 %;
- обсяг наданих кредитів / Обсяг залучених депозитів;
При цьому встановлена залежність: чим більший цей показник за одиницю тим ліквідність банку нижча.
- обсяг наданих кредитів / Загальний обсяг активів;
Цей показник відображає диверсифікацію активів. Він вважається оптимальним у межах 60-70 % для підтримання ліквідності та прибутковості банку.
На ліквідність впливає також структура депозитів, тобто розподіл де![]()
позитів на "стійкі" та "летючі". До "стійких" депозитів можна віднести депозити постійних клієнтів банку, як строкові, так і до запитання.
- обсяг залучених "стійких" депозитів / Загальний обсяг залучених депозитів;
Необхідно підкреслити, що чим більша частка "стійких" депозитів у загальному обсязі залучених депозитів (не менше 75 %), тим ліквідність банку вища. Наявність у банку "стійких" депозитів зменшує потребу в ліквідних активах та сприяє отриманню значного прибутку.
Велике значення для підтримання ліквідності має розвиток міжбанківського ринку кредитів.
- обсяг залучених позик, отриманих в інших банках в тому числі кредитів отриманих в центральному банку / Загальний обсяг залучених ресурсів.
При цьому аналізують частоту, умови і причини запозичення, обсяг сплачених відсотків. Постійне користування коштами, запозиченими з міжбанківського ринку для погашення зобов’язань банку, свідчить про його ліквідну нестабільність.
Особливої уваги заслуговує досвід управління ризиком ліквідності в Російській Федерації. У російській практиці найбільш розповсюдженим методом управління ліквідністю є коефіцієнтний. Метод заснований на аналізі й оцінці набору показників ліквідності, у число яких входять як директивно встановлені Банком Росії, так і додаткові нормативи, що відбивають специфічні фактори ризику ліквідності конкретного банку.
У Росії, як відзначалося вище, відповідно до Інструкції Банку Росії "Об обязательных нормативах банков" від 16.01.2004 р. №110-И директивно обов’язковими є чотири показників ліквідності (Н2 , Н3 , Н4 , Н5 ,), які відображені в таблиці 3.2. [26]
Таблиця 3.2 Економічні нормативи ліквідності Російської Федерації
| Назва показника | Розрахунок | Нормативне значення, % |
| Норматив миттєвої ліквідності (Н2) | Співвідношення суми високоліквідних активів і суми зобов’язань за рахунками до повернення | > 15 |
| Норматив поточної ліквідності (Н3) | Співвідношення суми ліквідних активів і суми зобов’язань за рахунками до повернення на строк до 30 днів | > 50 |
| Норматив довгострокової ліквідності (Н4) | Співвідношення загальної суми довгострокових активів, враховуючи надані гарантії, строком розміщення більше одного року і суми капіталу та зобов’язань банку за депозитними рахунками, отриманими кредитами та іншими борговими зобов’язаннями строком погашення більше одного року | < 120 |
| Норматив загальної ліквідності (Н5) | Співвідношення суми ліквідних активів і загальної суми активів за вирахуванням обов’язкових резервів | > 20 |
У липні 2004 р. Банк Росії своїм листом "О рекомендациях по анализу ликвидности кредитних организаций" № 139-т звернув увагу своїх територіальних установ і кредитних організацій на першочергове значення ефективного управління ліквідністю. У Листі містяться рекомендації з організації ефективного управління і контролю за ліквідністю в кредитних організаціях і по оцінці впливу ліквідності на фінансовий стан кредитних організацій. [40, с.92]
У рекомендаціях відзначається, що умовою ефективного управління ліквідністю є наявність в кредитній організації офіційно затвердженого (схваленого) і при необхідності переглядається керівним органом кредитної організації документа про політику в сфері управління і контролю за станом ліквідності.
Передбачається, що такий документ повинний містити:
-формалізований опис процедур визначення раціональної потреби кредитної організації в ліквідних коштах;
-порядок проведення аналізу стану миттєвої, поточної і довгострокової ліквідності, причин невиконання обов’язкових нормативів і визначення заходів для доведення показників як мінімум до нормативних значень;
- процедури прийняття рішень при виникненні конфлікту інтересів між ліквідністю і прибутковістю кредитної організації, що виникає в тому числі через низьку прибутковість ліквідних активів або високої вартості ресурсів;
-порядок складання короткострокового прогнозу ліквідності;
- порядок проведення аналізу стану ліквідності з використанням сценаріїв негативного для кредитної організації розвитку подій, пов’язаних зі станом ринку, положенням боржників, кредиторів, іншими обставинами, що впливають на стан ліквідності кредитної організації, і план заходів для підтримки ліквідності в зазначених умовах;
- процедури відновлення ліквідності кредитної організації, у тому числі процедури прийняття рішень по мобілізації ліквідних активів, залучення додаткових ресурсів на випадок виникнення дефіциту ліквідності.
У рекомендаціях зазначено, що найбільш кращим методом аналізу ризику ліквідності є метод розривів у термінах погашення вимог і зобов’язань. Відповідно до цього методу сума кожної окремої статті агрегованого балансового звіту групується в залежності від термінів, що залишилися до погашення активів і зобов’язань. При цьому використовуються наступні характеристики терміновості активів і зобов’язань: прострочені, до запитання, 1 день, від 2 до 7 днів, від 8 до 30 днів, від 31 до 90 днів, від 91 до 180 днів, від 181 дня до 1 року, від 1 року до 3 років, понад 3 років.
Вищевикладені рекомендації Банку Росії, щодо наявності та змісту внутрішнього нормативного документу стосовно управління та контролю за ліквідністю банківської установи ідентичні і для України. Так, кожен вітчизняний комерційний банк має певний нормативний документ, що регламентує роботу по забезпеченню установи ліквідними активами та управління ризиком ліквідності.
Що ж стосується використання методу розривів між строками погашення активів та пасивів (ГЕП-аналіз) для управління ліквідністю комерційного банку, то треба зазначити, що саме цей метод є найголовнішим в системі методів аналізу ліквідності в практиці українських банків.
Необхідно зазначити, що показники ліквідності різних країн світу різняться не тільки кількістю та назвою, а й методологією обчислення. Різні нормативні показники ліквідності та їх граничні значення обумовлені особливостями економічного розвитку відповідних країн, їх фінансових ринків і банківських систем. Як видно з таблиць, в країнах з ринковою економікою та стабільною банківською системою кількість економічних нормативів ліквідності обмежена, вона становить один-два показники.
Ураховуючи вищевикладене та порівнявши обов’язкові економічні нормативи ліквідності України та Росії можна зробити висновок, що серед усіх показників ліквідності ідентичним, як за методологією розрахунку, так і в розмірі граничного значення, є лише один норматив-норматив миттєвої ліквідності. Саме він вважається одним із найважливіших показників в системі економічних нормативів ліквідності, який характеризує ступінь захищеності банку від ризику одночасної вимоги клієнтами своїх коштів. Норматив поточної ліквідності має практично однакову методику розрахунку але різниться розміром-в Росії (50 %), що не намного більше ніж в Україні (40%). Враховуючи це можна рекомендувати підвищити норматив поточної ліквідності для забезпечення більшої фінансової стійкості комерційних банків України в умовах економічної та політичної нестабільності, яка спостерігається останніми роками. Інші економічні нормативи Російської Федерації не мають аналогів серед вітчизняних за методологією розрахунку.
Узагальнюючи досвід зарубіжних країн щодо управління ліквідністю комерційних банків за допомогою методу коефіцієнтів доцільно запропонувати таку систему показників ліквідності:
- з трьох нормативів ліквідності банків України, на наш погляд, слід залишити без змін лише один показник - миттєвої ліквідності;
- показник поточної ліквідності, мінімальне значення якого необхідно підвищити до 50 %;
-показник довгострокової ліквідності, що визначається як співвідношення суми активів і суми зобов’язань з початковим строком розміщення активів і погашення зобов’язань більше одного року;
Рекомендоване значення цього показника має коливатися в межах 55-60%.
- показник ліквідності, що визначається як співвідношення суми коштів на кореспондентському рахунку в Центральному банку та в касі, державних цінних паперів (високоліквідні активи) і загальної суми залучених депозитів.
Значення цього показника має бути не меншим за 30 %.
Серед запропонованих показників перші три слід віднести до нормативних, а останній - комерційні банки можуть використовувати для внутрішнього аналізу.
Такі зміни потрібні в першу чергу для того, щоб конкретизувати оцінку ліквідності балансу комерційного банку як для контролю з боку НБУ, так і для прийняття управлінських рішень в банківських установах.
Розглядаючи питання прогресивного досвіду управління ліквідністю в різних країнах світу неможливо не затронути управління ліквідностю на міжнародному рівні. Головним методологічним центром щодо ефективного управління ризиками банківської діяльності на міжнародному рівні є Базельський комітет з питань банківського нагляду. Результатом діяльності комітету у м. Базелі є документ "Міжнародна конвергенція виміру капіталу та стандартів капіталу: нові підходи".
Базель I заклав основи для аналізу не тільки кількісних, але і якісних характеристик капіталу й активів банку. Розширивши коло розглянутих ризиків і включивши в методику розрахунку достатності капіталу характеристики управління, Базель II у кількісному форматі виразив якісний взаємозв’язок таких
ключових напрямків аналізу ефективності діяльності банку як прибуток, ліквідність, ризики і якість управління.
Сьогодні Базель II є методологією, що використовує капітал для створення інтегрального показника якості роботи банку. До врахованого в Базелі I ринковому ризику Базель II додав методики оцінки кредитного й операційного ризиків і створив передумови для досліджень по обліку й оцінці всього діапазону ризиків, яким піддана банківська діяльність, у тому числі і тих ризиках, що раніше не оцінювалися кількісно (репутаційний, стратегічний, правовий ризик, ризик документації, ризик ліквідності і т.д.). При цьому в Базелі II врахований інтегральний характер ризиків і запропонована концепція спільного управління всіма прийнятими банком ризиками для запобігання ситуацій, коли зменшення одного з видів прийнятих ризиків сприяє не зниженню, а збільшенню загального профілю ризику банку за рахунок виникнення чи зростанню інших ризиків.
У Базелі II ліквідність оцінюється як умова, що має вирішальне значення для продовження існування банку. При здійсненні контролю ліквідності варто враховувати безпосередній взаємний вплив ліквідності і капіталу. Як ліквідність банку і ліквідність ринків, на яких він працює, впливають на достатність капіталу, так і капітал у стресових ситуаціях може мати помітний вплив на підтримання ліквідності. [47, с.35]
При цьому оцінка управління ризиком ліквідності планується з урахуванням його агрегованого характеру у відношенні тих напрямків діяльності, де негативні варіанти розвитку подій впливають на фінансові потоки банку.
Управління ліквідністю в принципі полягає в нейтралізації двох складових: системного і невизначеного факторів, що відображені на рисунку 3.2.

Рис. 3.2. Система факторів управління ліквідністю банка
Системний фактор, що сприяє виникненню ризику ліквідності, пов’язаний зі структурою активів і пасивів, а також з вадами в управлінні потоками платежів банку. Невизначений фактор полягає в можливій реалізації кожного з ризиків, що приймає банк у процесі своєї діяльності. Реалізації неповернення кредитів (кредитний ризик), коливання курсів (ринковий і процентний ризики), збої в потоках платежів і операційні помилки (операційний ризик), відтік клієнтів (репутаційний ризик), збитки при реалізації правового ризику та інші ризики небезпечні для банку рівно настільки, наскільки вони розбалансують параметри ліквідності банку.
Після реалізації ризику по якому-небудь з напрямків діяльності банку з наступнимвпливом на ліквідність події надалі можуть розвиватися або як загасаючий процес, або як розбалансований, що поширюється всередину і вшир процес, коли виникнення проблем з ліквідністю викликає прояв інших ризиків, що, у свою чергу, негативно впливають на ліквідність. Чи піде банк у стресовій ситуації по шляху до банкрутства чи по шляху компенсації ризиків багато в чому залежить від того, чи розглядає він Базель II як формальність або як план в управлінні банком.
Також необхідно виділити основні принципи ефективного управління ліквідністю у банківських установах, які розроблені Базельським комітетом з банківського нагляду. Ці принципи відповідно до напрямків організації управління ліквідністю комерційного банку поділені на вісім груп, до яких належать: [51]
I. Розробка структури управління ліквідністю
- кожен банк повинен мати погоджену стратегію повсякденного управління ліквідністю. Ця стратегія повинна застосовуватись по всій організації;
- банківська Рада Директорів повинна схвалити цю стратегію та важливі положення, що відносяться до управління ліквідністю. Правління також повинно забезпечити, щоб вище керівництво робило необхідні кроки для моніторингу та контроля ризику ліквідності. Правління повинно бути регулярно інформовано про ситуацію із ліквідністю у банку, та негайно, якщо є будь-які матеріальні зміни у поточній, або очікуваній ліквідності банку;
- кожен банк повинен мати управлінську структуру для ефективного здійснення стратегії ліквідності. Ця структура повинна включати постійне залучення членів вищого керівництва. Вище керівництво повинно забезпечити те, що ліквідність ефективно управляється, та що встановлені відповідні положення та процедури для контролю та обмеження ризику ліквідності. Банки повинні встановити та регулярно переглядати ліміти на розмір своїх позицій ліквідності за відповідні періоди;
- банк повинен мати адекватні інформаційні системи для вимірювання, контролю та звітування ризику ліквідності. Звіти повинні своєчасно надаватись раді директорів банку, вищому керівництву та іншим відповідним працівникам.
II. Вимірювання та моніторинг чистих потреб у фінансуванні
- кожен банк повинен встановити процес постійного вимірювання та моніторингу чистих потреб у фінансуванні;
- банк повинен аналізувати ліквідність застосовуючи різноманітні сценарії "а що коли";
- банк має часто переглядати свої припущення, що застосовувались при управлінні ліквідністю для того, щоб з’ясувати, чи залишаються вони ще вірними.
III. Управління доступом до ринку
- кожен банк має періодично переглядати свої зусилля щодо встановлення та підтримки відношень з володарями зобов’язань, щодо підтримки диверсифікації зобов’язань та зусиль щодо забезпечення своєї спроможності продавати активи.
IV. Антикризове планування
- банк повинен мати антикризові плани, що розглядатимуть стратегію владнання криз ліквідності та містять процедури вирішення проблеми недостатності грошових потоків у непередбачених ситуаціях.
V. Управління ліквідністю іноземної валюти
- кожен банк повинен мати систему вимірювання, моніторингу та контролю своїх валютних позицій у основних валютах з якими він активно працює. На додаток до вимірювання своїх загальних потреб ліквідності іноземної валюти та прийнятної відкритої валютної позиції, банк також повинен провести окремий аналіз своєї стратегії для кожної валюти окремо;
- базуючись на результатах аналізу проведеного відповідно до Принципу 10, банк повинен, якщо це прийнятне, встановити та регулярно переглядати граничні значення розміру невідповідності своїх грошових потоків (відкритої валютної позиції) за певний період для всіх іноземних валют разом, та для кожної значної окремої валюти з якими він працює.
VI. Внутрішній контроль управління ризиком ліквідності
- кожен банк повинен мати адекватну систему внутрішнього контролю над процесом управління ризиком ліквідності. Фундаментальний компонент внутрішньої системи контролю включає регулярні незалежні перевірки та оцінки ефективності системи та, якщо необхідно, забезпечення відповідних виправлень або поліпшень до процесу здійснення внутрішнього контролю. Результати таких перевірок мають надаватися наглядовим органам.
VII. Роль публічного розкриття інформації для покрашення ліквідності
- кожен банк, для того щоб керувати тим, як сприймається громадськістю організація та її ефективність, повинен мати механізм для забезпечення відповідного рівня розкриття інформації про банк.
VIII. Роль працівників банківського нагляду
- працівники банківського нагляду повинні проводити незалежну оцінку банківських стратегій, політики, процедур та принципів, що відносяться до управління ліквідністю. Вони повинні вимагати, щоб банк мав ефективну систему для вимірювання, моніторингу та контрою ризику ліквідності. Працівники банківського нагляду повинні отримувати від кожного банку достатню та своєчасну інформацію для оцінки рівня ризику ліквідності та мають забезпечити, щоб банк мав відповідні плани виходу з кризи при зниженні ліквідності.
Отже, Базельський комітет з банківського нагляду розглядає оцінку ризиків не як результат застосування математичних моделей, а як безперервний процес. Процес, у якому постійне моделювання й уточнення параметрів використовуваних моделей дозволяє проводити регулярне уточнення лімітів і параметрів антикризових сценаріїв і в який реалізуються обов’язки і відповідальність усіх ланок управління. Це те, що банки повинні розвивати у своєму співтоваристві. Вищезазначені принципи ефективного управління ліквідністю комерційного банку охоплюють всі складові процесу управління ліквідністю, починаючи від організаційної структури менеджменту, розробки програми антикризового реагування і основних вимог до неї та закінчуючи внутрішнім контролем та зовнішнім наглядом за ефективністю прийнятих рішень щодо управління ризиком ліквідності. Так само як і при управлінні іншими типами ризику, ефективне управління ризиком ліквідності включає встановлення банківської стратегії, забезпечення ефективного нагляду з боку правління та вищого керівництва, встановлення ефективного процесу вимірювання, моніторингу та контролю ризику ліквідності. Формальність та складність процесу управління ліквідністю має відповідати загальному рівню ризику, що несе банк. Тобто для ефективного управління ліквідністю комерційні банки повинні використовувати рекомендації Базельського комітету в частині максимального балансування строків погашення активів і пасивів, а також постійного контролю за іншими ризиками, що притаманні банківській діяльності, які в свою чергу можуть призвести до втрати банком ліквідності.
3.2 Умови активізації управління ліквідністю
На сучасному етапі розвитку банківської системи України одним із пріоритетних завдань є забезпечення стабільного функціонування та розвитку комерційних банків та банківської системи в цілому. Забезпечення фінансової стабільності банку-необхідна передумова ефективного управління економікою.
Фінансова стабільність будь-якого комерційного банку в першу чергу пов’язана із його ліквідністю. Велика частина проблем у банківській сфері, пов’язаних з ліквідністю, виникає за межами банків, виходить від їхніх клієнтів. Дійсно, проблеми ліквідності клієнтів трансформуються в проблеми ліквідності їхніх банків. Так, якщо фірма має дефіцит ліквідних засобів, вона звертається в банк за позичкою чи знімає залишки коштів зі своїх депозитів. В кожномуіз цих випадків банку, клієнтом якого є дана фірма, буде потрібно знаходити додаткові кошти.
Сутність проблем управління ліквідними коштами банків може бути представлена двома твердженнями: [48, с. 326]
а) попит на ліквідні кошти банку рідко дорівнює їх пропозиції в будь-який момент часу. Банк повинний постійно мати справу або з дефіцитом ліквідних засобів, або з їх надлишком;
б) існує дилема між ліквідністю і прибутковістю банку. Велика частина банківських ресурсів призначена для задоволення попиту на ліквідні кошти, менша для досягнення бажаної прибутковості банку (при незмінних інших факторах).
Таким чином, забезпечення оптимального рівня ліквідності є постійною проблемою в управлінні банком і завжди спрямовано на збільшення його прибутковості. Управлінські рішення щодо величини ліквідних засобів не можуть бути відділені від інших видів послуг і діяльності інших підрозділів банку.
Вирішення проблем ліквідності для банкупов’язано з визначеними реальними і потенційними витратами, що включають процентні виплати по позиках, поточні витрати часу і грошей на пошук ліквідних засобів, альтернативну вартість активів, яка дорівнює майбутнім доходам. Керівництво повинне зіставляти цю вартість з необхідністю невідкладного забезпечення потреб банку в ліквідних засобах. Якщо банк володіє надмірними ліквідними засобами, керівництво повинне бути готове негайно інвестувати ці кошти, щоб уникнути витрат виникнення альтернативної вартості невикористаних активів, що не приносять доходів банку.
Слід зазначити, що управління ліквідністю банку пов’язане з ризиком зміни процентних ставок (процентний ризик) і з ризиком відсутності ліквідних активів внеобхідному обсязі. Якщо процентні ставки зростають, вартість фінансових активів, які банк планує продати (такі, як державні цінні папери), знижується й окремі активи повинні бути продані в збиток. У цьому випадку банк не тільки отримає менше ліквідних засобів від продажу активів, але і знизить свої доходи через вимушені втрати. Крім того, з ростом процентних ставок одержання ліквідних засобів за допомогою позик буде обходитися дорожче і деякі види позик ліквідних активів стануть недоступні для банку. Якщо кредитори зрозуміють, що банк піддається більшому ризику ніж завжди, то він буде змушений залучати кредити під більш високі процентні ставки, а окремі кредитори узагалі відмовляться надавати позики для підтримання ліквідності.
Банки залучають великі суми короткострокових депозитів від фізичних та юридичних осіб, потім пускають їх в оборот і надають довгострокові кредити своїм клієнтам. Так що практично всі банки мають деяку невідповідність між термінами погашення по своїм активам і термінами погашення по основних зобов’язаннях. Надходження коштів від реалізації активів за термінами рідко збігається з кількістю наявних коштів, необхідних для покриття поточної заборгованості.
Проблема, що виникає у випадку розбіжності термінів, полягає в тому, що банки мають високу частку зобов’язань, що вимагають негайного виконання, таких, як вклади до запитання і позики грошового ринку. Таким чином, банки завжди повинні бути готові задовольнити невідкладний попит на кошти, що може бути дуже значним в окремі періоди, особливо до кінця першого тижня місяця і протягом визначених сезонів року. Одним із напрямків отримання коштів для задоволення такого невідкладного попиту для банківможуть бути кредити в Національному банку України для підтримки короткострокової ліквідності, але і тут є певна проблема. Так, відповідно до листа Національного банку України від 15.04.2008 за № 14-101/1334-4877 за умови наявності постійної незбалансованості між термінами та обсягами залучених та розміщених коштів, НБУ буде відмовляти таким банкам в підтримці їх ліквідності за всіма інструментами рефінансування. [20] Отже, за наявності вище окресленої ситуації, комерційні банки України, в першу чергу повинні приділяти більше уваги роботі по залученню коштів фізичних та юридичних осіб, розробці нових депозитних програм, а не сподіватись на кредитора останньої інстанції.
Іншим джерелом потенційних проблем ліквідності, як вже зазначалося, є чутливість банків до змін процентних ставок. Коли відбувається зростання процентних ставок, деякі вкладники вилучають свої кошти в пошуках більш високих прибутків в інших банках. Багато клієнтів, які отримали позички, можуть призупинити подачу заявок на нові кредити чи прискорити використання кредитних ліній, які ще мають низькі процентні ставки. Таким чином, зміна процентних ставок відображається, як на попиті клієнтів на депозити, так і на кредити, останній в свою чергу впливає на рівень ліквідності банку.
Незалежно від цих факторів, задоволення попиту на ліквідні кошти повинне бути для банку пріоритетом. Невдачі в цій області можуть серйозно підірвати довіру до банку з боку клієнтів. Одна з найбільш важливих задач, що постає перед менеджером по управлінню ліквідністю банку - це підтримка тісних зв’язків з найбільш великими вкладниками банку і власниками кредитних ліній, необхідних для своєчасної підготовки до зняття ними коштів зі своїх рахунків.
Для усунення вищезазначених проблем і підвищення ефективності управління ліквідністю банку можна запропонувати ряд рекомендацій. Перша з них полягає в тому, що менеджери з управління ліквідністю повинні контролювати діяльність усіх відділів банку, що відповідають за використання і залучення засобів, і координувати свою діяльність з роботою цих відділів. Наприклад, усякий раз, коли відділ комерційних кредитів відкриває нову кредитну лінію для клієнта, керуючий ліквідними засобами повинний бути готовий до можливого зняття засобів за цим кредитом. Якщо відділи термінових і ощадних рахунків очікують надходження великих депозитів у найближчі дні, керуючий ліквідними засобами повинний бути проінформований про це.
Друга рекомендація полягає у тому, що менеджери з управління ліквідністю повинні передбачати (якщо це можливо), коли найбільш великі вкладники і користувачі кредитів банку планують зняти кошти з рахунку чи, навпаки, збільшити вклади. Це дозволяє керуючим планувати свої дії у випадку виникнення дефіциту або надлишку ліквідних активів. [48, с. 331]
Відповідно до третьої рекомендації менеджери з управління ліквідністю в співробітництві з вищим керівництвом і керівниками відділів повинні бути упевнені в пріоритетності цілей управління ліквідними засобами.
Суть четвертої рекомендації полягає в наступному: потреби банку в ліквідних активах і рішення щодо їхнього розміщення повинні постійно аналізуватися з метою запобігання як надлишку, так і дефіциту ліквідних коштів. Зайві ліквідні кошти, що не реінвестуються в той же день, призводять до втрат доходів банку, у той же час як їхній дефіцит повинен бути швидко ліквідований, щоб уникнути несприятливих наслідків поспішних позик чи продажів активів, що також призводять до втрат доходів.
Фінансове управління банківською ліквідністю складна й багатогранна проблема, яка немає однозначного вирішення і вимагає щоденного аналізу не лише стану банківських активів і пасивів, а й стану економіки в цілому та перспектив її розвитку.
Величина вкладень комерційного банку в дохідні активи визначається обсягом власних і залучених ресурсів. Однак вся ця сума не може бути використана для здійснення активних операцій. Менеджмент банківської ліквідності саме й полягає у встановленні обсягів і напрямів розподілу вільних ресурсів та величини і джерел покриття дефіциту ресурсів.
У тих випадках, коли банк наближається до межі своєї задовільної ліквідності, необхідно застосовувати термінові заходи. До них слід віднести: скорочення зобов’язань до запитання за допомогою перегрупування пасивів по їх строках; збільшення кількості ліквідних активів; розчищення балансу шляхом виділення на самостійний баланс окремих видів діяльності; збільшення власних засобів; одержання позик в інших банках тощо. [38, с. 124]
Термінові заходи, що мають застосовуватись для підтримання ліквідності банку та його платоспроможності, як правило, пов’язані з підвищенням витрат і скороченням прибутку. Максимальна ліквідність досягається при максимізації залишків у касах і на кореспондентських рахунках по відношенню до інших активів. Однак саме в цьому випадку прибуток банку буде мінімальним. Цільова функція управління ліквідністю комерційного банку полягає в максимізації прибутку при обов’язковому виконанні економічних нормативів та показників, які визначаються самим банком. Підтримання оптимального співвідношення між дохідністю і ризиком-це одна з головних і найскладніших проблем менеджменту ліквідності.
Велике значення у її вирішенні має дотримання певної політики у видачі великих кредитів окремим клієнтам. Розмежування дебіторів банку за ступенем їх надійності, безумовно, відіграє важливу роль у визначенні якості кредитного портфеля банку, з врахуванням того, що ресурси, які розміщені у вигляді кредитів, складають значну частку банківських активів і його платоспроможності. Проте існує велика ймовірність того, що навіть найсолідніший клієнт може бути не в змозі своєчасно і в повному обсязі виконати зобов’язання перед банком. Причиною цього нерідко можуть бути фактори, що безпосередньо не залежать від діяльності банківського клієнта. Вчасно отримана інформація про ймовірність несвоєчасного погашення кредиту чи необхідність виконання зобов’язань за наданими фінансовими гарантіями дасть банку змогу скоригувати свої грошові потоки і, таким чином, досягти максимального за цих обставин економічного ефекту. Володіючи такою інформацією, менеджери банку зможуть заздалегідь планувати обсяги й терміни залучення необхідних додаткових коштів та відповідні дані щодо розміщення тимчасово вільних коштів, тобто банківська ліквідність буде залишатись на заздалегідь визначеному оптимальному рівні.
Як вже зазначалось раніше ліквідність банківської установи знаходиться в тісному зв’язку із головною операцією комерційних банків-кредитуванням. Так, якщо кредитний портфель банку недиверсифікований або він проводить досить ризиковану політику в галузі кредитування та виникає ситуація несвоєчасного повернення коштів багатьма позичальниками, то банківська установа стикається із проблемою нестачі ліквідних коштів, що загрожує її платоспроможності за своїми зобов’язаннями та виникненню кризи ліквідності.
Одним із напрямком швидкого покриття нестачі ліквідних коштів для комерційних банків України може бути сек’юритизація, яка являє собою важливий інструмент управління активами, дозволяючи реалізувати активи з належною швидкістю й ефективністю в умовах насиченого конкуренцією ринку. Свідченням використання в практиці процесу сек’юритизації є позитивний досвід багатьох країн. Піонером розвитку сек’юритизації є США, де в 1970 році, з метою створення вторинного ринку заставних, були утворені державні агенції. [35, с.32] Сьогодні сек’юритизація активів широко використовується на міжнародних ринках.
Тенденція до розвитку волатильних структур фінансування, таких як оптові фонди (wholesalefunds), брокерські депозитні сертифікати (brokeredcertificatesofdeposit), інтернет-банкінг і електронні системи зняття коштів з депозитних рахунків, ускладнюють управління ризиком ліквідності. У зв’язку з цим комерційним банкам України, в тому числі і ПАТ "Банк "Фінанси та Кредит", для підвищення якості управління ліквідністю і постійним забезпеченням необхідного рівня ліквідності можна рекомендувати використовувати методику стрес-тестування ризику ліквідності для того, щоб підготуватися до боротьби з кризовою ситуацією, оцінити можливості розвитку бізнесу і визначити найкращий спосіб фінансування нових напрямків діяльності і забезпечення росту активів. Задача такого тестування полягає у виявленні подій чи факторів, які можуть привести до втрати ліквідності банку. Тести повинні бути як кількісними, так і якісними. За допомогою кількісних критеріїв виявляються ймовірні сценарії напруженості, що можуть мати місце в специфічних ринкових умовах. Якісні критерії повинні бути орієнтовані на два ключових аспекти тестування: оцінку здатності банку справитися з великими потенційними загрозами ринкового средовища і визначення заходів, які банк може використати з метою зниження ризику ліквідності.
Існує тверда залежність між схильністю банку до централізованого управління ризиком ліквідності і формою стрес-тестування. Банки, що не здійснюють тестування на рівні дочірніх компаній, як правило, оцінюють ризик ліквідності для головної корпоративної одиниці. Банки, які використовують стрес-тестування здатні краще вгадати наслідки поширення "репутаційного зараження" і оцінити ймовірні тенденції руху ліквідності. Стрес-тестування дозволяє активізувати трансграничні трансферти коштів, їхню конвертацію в різні валюти і перерозподіл між напрямками діяльності. [49, с.39]
Стандартизувати сценарії тестування так, щоб вони враховували умови роботи всіх банків, практично неможливо. Тому можна запропонувати методологію стрес-тестування, яка складається з наступних етапів:
- Аналіз інформації про найбільші фактичні втрати за визначений період часу і порівняння їх з рівнем втрат, визначеним за допомогою внутрішньої системи виміру ризику банку. Такий аналіз подає інформацію про максимальні втрати, виявлені шляхом розрахунків VAR;
- Моделювання вкрай складних умов, включаючи тестування поточного портфеля на умови минулих періодів, у яких були значні відхилення. Таке тестування повинне включати великі коливання цін і різкі скорочення ліквідності, звичайно характерні для подібних умов;
- Оцінка ступеня чутливості потенційного ризику ліквідності банку до змін параметрів нестійкості і кореляції.Іншими словами, поточна позиція банку повинна бути зіставлена з наявними в минулому періоді екстремальними показниками нестійкості та кореляції;
- Проведення специфічних для даного банку тестів, враховуючих конкретні характеристики йогопортфеля активів і виходячих з найбільш несприятливих умов.
Комерційним банкам необхідно розробляти специфічні (specific) і ринкові сценарії (market scenarios). Специфічний сценарій відбиває зниження кредитного рейтингу банку, який встановлює зовнішнє рейтингове агентство, на два-три пункти. Ключовий фактор, що визначає твердість стрес-тесту це не число пунктів, на які понизився рейтинг банку, а наслідки цього зниження для балансу і потоків готівки. [41, с.39]
Ринковий сценарій включає або один з факторів - зміни в макроекономічному оточенні чи в ситуації на ринку, або обидва ці фактори. У сценарії враховуються зміни в рівні процентних ставок, фондових котируваннях і темпах інфляції, тобто в макроекономічних факторах, що впливають на пропозицію та попит на ліквідні кошти.
Банкам, що працюють на ринку цінних паперів обов’язково необхідно при стрес-тестуванні розробляти специфічні сценарії.
Сценарії банків у першу чергу повинні стосуватися насамперед основного ризику ліквідності - ризику вилучення депозитів. При моделюванні кризової ситуації використовуються історичні дані про діяльність банку, зведення про попередні кризи у галузі, гіпотези більш сприятливого розвитку подій. Враховуються такі фактори, що визначають масштаби вилучення депозитів, як міцність зв’язків банку з клієнтами, частка депозитів зі страховкою, структура балансу, тривалість кризи. Відсоток вилучення депозитів відповідно до кризового сценарію звичайно виражається однозначною цифрою. Невисокий відсоток вилучень в основному відноситься до юрисдикцій, де роздрібні вкладники упевнені в ефективності захисту своїх заощаджень через систему страхування депозитів.
Комерційні банки зайняті операціями з цінними паперами, у своїх сценаріях стрес-тестування повинні моделювати наступні головні ризики ліквідності:
а) нездатність продовжувати одержувати платежі по незабезпечених довгострокових боргах для підтримки неліквідної частини балансу;
б) запити на додаткове забезпечення для продовження фінансування ліквідних активів.
Результати тестів повинні періодично розглядатися вищим керівництвом і Радою банку і використовуватися для корегування методів управління ліквідністю. Якщо тестування в стресовому режимі виявляє особливу уразливість банку, необхідно негайно звернути увагу на відповідні ситуації і ризики. Використання методики стрес-тестування комерційними банками України дасть змогу розробити сценарії забезпечення ліквідними коштами, підтримання ліквідності банку на заданому рівні та обрати відповідні методи та інструменти управління ліквідністю при різному розвитку подій, як з урахуванням внутрішніх чинників на які може чинити вплив сам банк, так і макроекономічних, які знаходяться поза впливом банківської установи. Тобто стрес-тестування є одним із варіантов розроблення програми управління ліквідністю банку в кризових ситуаціях, які загрожують його ліквідності.
3.3 Моделювання ризику ліквідності комерційного банку
Сучасні банки працюють за умов перехідної динаміки розривів ліквідності. При цьому вона може бути спричинена як зміною строків погашення коштів, що розміщуються та залучаються, так і динамікою сукупного обсягу цього розміщення та залучення.
Упродовж останнього десятиліття в Україні та на теренах СНД у банківській сфері та в галузі програмного забезпечення спостерігається стрімкий розвиток внутрібанківських моделей ліквідності. Причому якщо спочатку основні зусилля аналітиків спрямовувалися на створення моделей пасивної еволюції банку, то нині в центрі їх уваги-моделі відтворення банківських послуг, які найточніше описують феномен ліквідності комерційних банків (Рис. 3.3). [8, с. 30]
![]()
Рис. 3.3. Еволюція моделей ліквідності
Проте перехід від моделей пасивної еволюції до моделей відтворення банківських послуг відчутно ускладнюється появою нових вимог і зобов’язань, які здебільшого мають випадковий характер. Через це детерміновані моделі, як правило, перетворюються на стохастичні.
Серед динамічних моделей банку розрізняють моделі двох типів: моделі динаміки балансових залишків та моделі динаміки грошових потоків (оборотів). Переваги моделей першого типу полягають у тому, що вони оперують безпосередньо залишками, які відображаються безпосередньо у балансі банку. Вони моделюють динаміку балансу банку. Однак поза увагою цих моделей часто залишається часова структура активів та зобов’язань. Між тим, саме часова структура активів та зобов’язань визначає ліквідність банку. Навпаки, потокові моделі зосереджуються саме на строковості активів та зобов’язань, тому часова структура в цих моделях є параметрами управління. Такі моделі призначені для опису динаміки оборотів погашення (вибуття) і виникнення (надходження) грошових коштів. Вони моделюють рух коштів.
Більш детально зупинимося саме на першому типі моделей-динаміки балансових залишків, до яких можна віднести і модель динамічного індикатора, що базується на методі непараметричної статистики. Використання даної моделі для оцінювання ризику ліквідності дає змогу отримати узагальнюючу оцінку ризику ліквідності, виходячи з розгляду банку як складної динамічної системи.
В основу цієї моделі покладено поняття динамічного індикатора як сукупності показників, упорядкованих за темпами зростання. Ранжований ряд показників дає можливість проаналізувати динаміку показників у їх взаємному співвідношенні і взаємовпливі, тобто дозволяє оцінити фінансовий стан банку та рівень його ліквідності, який не може бути точно оцінений будь-яким окремим показником. Для оцінки ризику ліквідності комерційного банку на основі моделі динамічного індикатора буде використовуватись вектор оцінок, розрахований за нелінійним динамічним показником на основі нормативної і фактичної матриць співвідношень.
Розрахунок динамічного індикатора для даної моделі розраховується матричним методом і включає наступні етапи:
а) Визначення оптимального переліку показників, що характеризують ліквідність і платоспроможність комерційного банку, на основі яких формується динамічний індикатор ліквідності. Цей етап є надзвичайно важливим, оскільки від того, наскільки чутливими будуть вибрані окремі показники, залежить точність оцінки ризику ліквідності. Формування переліку показників має ураховувати рівень ліквідності активів, стабільності пасивів, надійність банку.
Також необхідно відмітити, що мала кількість показників не дає змоги отримати точну узагальнюючу оцінку і незначні зміни в динаміці окремих показників можуть призвести до суттєвих змін результату. І навпаки, значна кількість показників призводить до втрати чутливості оцінки до зміни в їх динаміці, тобто в процесі побудови динамічного індикатора рекомендовано використовувати 6-10 показників.Для побудови динамічного індикатора ліквідності банку "Фінанси та кредит" використаємо вісім показників, які дають змогу комплексно оцінити рівень ліквідності та платоспроможності:
-сукупні активи;
-високоліквідні активи, що включають готівкові кошти і банківські метали та кошти на коррахунках в НБУ та інших банках;
-державні цінні папери;
-проблемні кредити;
-неробочі активи;
-балансовий капітал;
-поточні зобов’язання;
-вклади населення.
Вищезазначені показники дають змогу оцінити миттєву ліквідність банку, співвідношення капіталу і активів, визначити частку державних цінних паперів в сукупних активах, частку проблемних кредитів в сукупних активах, частку неробочих активів в сукупних та співвідношення вкладів населення і капіталу.
б) Економічна інтерпретація обраних показників за темпами їх зростання та установлення динамічних співвідношень між показниками. Від правильності встановлення співвідношень між показниками залежить точність отриманої оцінки ліквідності. Необхідною передумовою є дотримання економічної обгрунтованості порівняння пар показників.
За результатами аналізу динамічних співвідношень між показниками отримують матрицю їх нормативних співвідношень. Кожний елемент mА ij (t) матриці нормативних співвідношень MA (t) = {mА ij (t)}kxk визначається так:

в) Формування для кожного моменту часу tматриці фактичних співвідношень темпів зростання показників MF (t) = {mF ij (t)}kxk :

де Ii (t)-темп зростання i-го показника в момент часу t;
Ij (t)-темп зростання j-го показника в момент часу t;
mА ij -елемент матриці фактичних співвідношень темпів зростання показників, що перебувають на перетині i-го рядка тауj-го стовпця.
г) Формування матриці збігу фактичних та нормативних співвідношень темпів зростання показників MС (t) = {mС ij (t)}kxk :

д) Будується матриця збігу mС ij (t) фактичних співвідношень матриці mF ij (t) та нормативних співвідношень матриці mА ij (t).
е) Розраховується динамічний індикатор ліквідності як співвідношення кількості збігів нормативних і фактичних співвідношень до кількості нормативних співвідношень за модулем U2 (t):
U2 (t)=∑mС ij (t) /∑ mА ij
Динамічний індикатор набуває значень у межах від -1 до +1. Якщо в який-небудь момент часу tоцінка u2 t матиме значення 1, то це свідчить про те, що всі нормативно встановлені співвідношення показників фактично виконуються. Якщо навпаки u2 t = -1, то це означає, що фактичний порядок, показників повністю протилежний нормативному. Від’ємні значення u2 t в окремі звітні періоди пояснюються обмеженістю фінансових ресурсів для підтримання на необхідному рівні динаміки показників.
Вектор u2 (t) є мірою близькості фактичного і нормативного упорядкування показників ліквідності і платоспроможності банку і кількісно характеризує ризик ліквідності.
Основними ознаками високого ризику ліквідності є різке зменшення значення динамічного індикатора ліквідності u2 (t) за одночасної зміни його знака і (або) збереження протягом тривалого часу від’ємних значень динамічного індикатора. Зменшення значень динамічного індикатора свідчить про збільшення ризику ліквідності і платоспроможності банку. Різке зростання значень динамічного індикатора за одночасної зміни його знака з мінуса на плюс є підставою для порушення питання про проведення в банку перевірки з метою об’єктивної оцінки стану його ліквідності. Якщо динамічний індикатор u2 (t) дорівнює нулю, то це свідчить про граничний рівень ліквідності, який потребує посиленого контролю з метою недопущення кризи ліквідності.
Оцінки ризику ліквідності для ПАТ "БАНК "Фінанси та Кредит" згідно даної моделі буде проведена за останні два роки, тобто за 2008-2009 рр. Для побудови динамічного індикатора ліквідності, як вже зазначалось, використаємо вісім показників (табл. 3.3).
Для обраних показників визначаємо нормативну матриця співвідношень між окремими показниками. Виходячи з вимог мінімізації ризику ліквідності, якщо і-й показник має зростати вищими темпами, ніж j-й показник, то відповідний елемент матриці дорівнює "+1", у противному разі - "-1". Так, для недопущення зростання ризику ліквідності високоліквідні активи мають зростати вищими темпами, ніж активи в цілому, тому m21 А р21 =+1. Виходячи з вимог мінімізації ризику платоспроможності, активи мають зростати нижчими темпами ніж капітал, тому m16 А =-1.
Таблиця 3.3 Динаміка окремих показників ПАТ "Банк "Фінанси та Кредит" за 2007-2009 рр.*
| № п/п | Показник, млн. грн. | Станом на | Темп росту, % | |||
| 01.01.2008 | 01.01.2009 | 01.01.2010 | 2008 | 2009 | ||
| 1 | Сукупні активи (А) | 14634,4 | 18439,4 | 19456,8 | 126,0 | 105,5 |
| 2 | Високоліквідні активи (Ва) | 1515,1 | 2021,6 | 1612,8 | 133,4 | 79,8 |
| 3 | Державні цінні папери (ДЦП) | 18,8 | 10,8 | 19,1 | 57,5 | 176,9 |
| 4 | Проблемні кредити (Пк) | 399,1 | 457,4 | 472,2 | 114,6 | 103,2 |
| 5 | Неробочі активи (Ан) | 490,4 | 722,9 | 1809,6 | 147,4 | 250,3 |
| 6 | Балансовий капітал (К) | 1785,3 | 2476,4 | 2026,9 | 138,7 | 81,9 |
| 7 | Поточні зобов’язання (ПЗ) | 5955,6 | 7021,6 | 8546,1 | 117,9 | 121,7 |
| 8 | Вклади населення (ВН) | 4 221 | 4325,2 | 4 585,1 | 102,5 | 106 |
*Розраховано за даними фінансової звітності банку "Фінанси та Кредит".
Якщо між показниками не виявлено зв’язку, відповідний елемент матриці дорівнює "0". Нормативна матриця співвідношень між визначеними показниками для оцінки ризику ліквідності та платоспроможності наведена в таблиці 3.4.
Таблиця 3.4Матриця нормативних співвідношень між показниками для оцінювання ліквідності банку "Фінанси та Кредит"
| Показник | А | Ва | ДЦП | Пк | Ан | К | ПЗ | ВН |
| Сукупні активи (А) | 0 | -1 | -1 | 1 | 1 | -1 | 0 | 0 |
| Високоліквідні активи (Ва) | 1 | 0 | 0 | 1 | 0 | 0 | 1 | 1 |
| Державні цінні папери (ДЦП) | 1 | 0 | 0 | 1 | 0 | 0 | 0 | 0 |
| Проблемні кредити (Пк) | -1 | -1 | -1 | 0 | 0 | -1 | 0 | 0 |
| Неробочі активи (Ан) | -1 | 0 | 0 | 0 | 0 | -1 | 0 | 0 |
| Балансовий капітал (К) | 1 | 0 | 0 | 1 | 1 | 0 | 1 | 1 |
| Поточні зобовязання (ПЗ) | 0 | -1 | 0 | 0 | 0 | -1 | 0 | 0 |
| Вклади населення (Вн) | 0 | -1 | 0 | 0 | 0 | -1 | 0 | 0 |
| Всього | 5 | 4 | 2 | 4 | 2 | 5 | 2 | 2 |
Виходячи зі значень темпів зростання показників, що характеризують ліквідність та платоспроможність ПАТ "Банк "Фінанси та Кредит" будуємо матрицю фактичних співвідношень темпів зростання показників, які використовуються для оцінюванння ліквідності в 2008-2009 pp. (табл. 3.5, 3.6).
Таблиця 3.5Матриця фактичних співвідношень темпів зростання показників банку "Фінанси та Кредит" у 2008 р.
| Показник | А | Ва | ДЦП | Пк | Ан | К | ПЗ | ВН |
| Сукупні активи (А) | 0 | 1 | 1 | -1 | 1 | 1 | 0 | 0 |
| Високоліквідні активи (Ва) | -1 | 0 | 0 | -1 | 0 | 0 | -1 | -1 |
| Державні цінні папери (ДЦП) | -1 | 0 | 0 | -1 | 0 | 0 | 0 | 0 |
| Проблемні кредити (Пк) | 1 | 1 | 1 | 0 | 0 | 1 | 0 | 0 |
| Неробочі активи (Ан) | -1 | 0 | 0 | 0 | 0 | -1 | 0 | 0 |
| Балансовий капітал (К) | -1 | 0 | 0 | -1 | 1 | 0 | 1 | -1 |
| Поточні зобовязання (ПЗ) | 0 | 1 | 0 | 0 | 0 | -1 | 0 | 0 |
| Вклади населення (Вн) | 0 | 1 | 0 | 0 | 0 | 1 | 0 | 0 |
Таблиця 3.6Матриця фактичних співвідношень темпів зростання показників банку "Фінанси та Кредит" у 2009 р.
| Показник | А | Ва | ДЦП | Пк | Ан | К | ПЗ | ВН |
| Сукупні активи (А) | 0 | 1 | -1 | 1 | 1 | -1 | 0 | 0 |
| Високоліквідні активи (Ва) | -1 | 0 | 0 | 1 | 0 | 0 | -1 | -1 |
| Державні цінні папери (ДЦП) | 1 | 0 | 0 | 1 | 0 | 0 | 0 | 0 |
| Проблемні кредити (Пк) | -1 | -1 | -1 | 0 | 0 | -1 | 0 | 0 |
| Неробочі активи (Ан) | -1 | 0 | 0 | 0 | 0 | -1 | 0 | 0 |
| Балансовий капітал (К) | 1 | 0 | 0 | 1 | 1 | 0 | -1 | 1 |
| Поточні зобовязання (ПЗ) | 0 | 1 | 0 | 0 | 0 | 1 | 0 | 0 |
| Вклади населення (Вн) | 0 | 1 | 0 | 0 | 0 | -1 | 0 | 0 |
Наступним етапом розрахунку динамічного індикатора для оцінки ліквідності банку "Фінанси та Кредит" є побудова матриці збігів mС ij (t) фактичних співвідношень матриці і нормативних співвідношень (табл. 3.7, 3.8).
Таблиця 3.7Матриця збігів нормативних і фактичних співвідношень між показниками у 2008 р.
| Показник | А | Ва | ДЦП | Пк | Ан | К | ПЗ | ВН |
| Сукупні активи (А) | 0 | -1 | -1 | -1 | 1 | -1 | 0 | 0 |
| Високоліквідні активи (Ва) | -1 | 0 | 0 | -1 | 0 | 0 | -1 | -1 |
| Державні цінні папери (ДЦП) | -1 | 0 | 0 | -1 | 0 | 0 | 0 | 0 |
| Проблемні кредити (Пк) | -1 | -1 | -1 | 0 | 0 | -1 | 0 | 0 |
| Неробочі активи (Ан) | 1 | 0 | 0 | 0 | 0 | 1 | 0 | 0 |
| Балансовий капітал (К) | -1 | 0 | 0 | -1 | 1 | 0 | 1 | -1 |
| Поточні зобовязання (ПЗ) | 0 | -1 | 0 | 0 | 0 | 1 | 0 | 0 |
| Вклади населення (Вн) | 0 | -1 | 0 | 0 | 0 | -1 | 0 | 0 |
| Всього | -3 | -4 | -2 | -4 | 2 | -1 | 0 | -2 |
Таблиця 3.8Матриця збігів нормативних і фактичних співвідношень між показниками у 2009 р.
| Показник | А | Ва | ДЦП | Пк | Ан | К | ПЗ | ВН |
| Сукупні активи (А) | 0 | -1 | 1 | 1 | 1 | 1 | 0 | 0 |
| Високоліквідні активи (Ва) | -1 | 0 | 0 | 1 | 0 | 0 | -1 | -1 |
| Державні цінні папери (ДЦП) | 1 | 0 | 0 | 1 | 0 | 0 | 0 | 0 |
| Проблемні кредити (Пк) | 1 | 1 | 1 | 0 | 0 | 1 | 0 | 0 |
| Неробочі активи (Ан) | 1 | 0 | 0 | 0 | 0 | 1 | 0 | 0 |
| Балансовий капітал (К) | 1 | 0 | 0 | 1 | 1 | 0 | -1 | 1 |
| Поточні зобовязання (ПЗ) | 0 | -1 | 0 | 0 | 0 | -1 | 0 | 0 |
| Вклади населення (Вн) | 0 | -1 | 0 | 0 | 0 | 1 | 0 | 0 |
| Всього | 3 | -2 | 2 | 4 | 2 | 3 | -2 | 0 |
На підставі матриці збігів і матриці нормативних співвідношень обчислюємо узагальнюючий динамічний індикатор ліквідності u2 (t) за вищезазначеною формулою, як співвідношення кількості збігів до загальної кількості значень за модулем нормативної матриці.
Отже, для ПАТ "Банк "Фінанси та Кредит" значення динамічного індикатора буде наступним:
2008 рік: u2 (t)=(-14)/26=-0,538
2009 рік: u2 (t)=(10)/26=0,213
Таким чином, дуже низьке значення показника динамічного індикатора банку "Фінанси та кредит" в 2008 році (-0,538) вказує на підвищенний ризик ліквідності банку в цьому періоді. Така ситуації виникла в результаті менших темпів зростання високоліквідних активів, проти темпу росту сукупних активів, росту поточних зобов’язань. Також негативну роль зіграло і різке збільшення проблемної заборгованості при менших темпах нарощення, як самого кредитного портфеля, так і в загалі всіх активів банку, що вказує на зниження якості роботи по поверненню кредитів клієнтами банку. Необхідно відзначити і низькі темпи нарощення власного капіталу, що не поспіває за зростанням ні активів ні зобов’язань банку.
В 2009 році ситуація з ліквідністю в ПАТ "Банк "Фінанси та Кредит" різко змінилась-показник динамічного індикатора збільшився та одночасно змінив свій знак з мінуса на плюс, що вказує на істотне зниження ризику ліквідності банку в порівнянні із попереднім періодом. Така ситуація, в першу чергу, зумовлена поліпшенням якості кредитного портфеля. Свою роль в покращенні ліквідності банку зіграло і випереджаючі темпи зростання балансового капіталу в порівнянні із темпами росту активів та зобов’язань. Але все ж відчувається брак високоліквідних активів, які не поспівають за швидкими темпами нарощення, як вкладів населення, так і взагалі поточних зобов’язань.
Отже, як бачимо із моделювання ризику в банку "Фінанси та Кредит" ризик ліквідності знаходиться на достатньому але контрольованому рівні. Для зниження ризику ліквідності першочерговими заходами банку мають бути: різке нарощення власного капіталу, в тому числі і статутного, як за рахунок коштів акціонерів, так і за рахунок зовнішніх джерел, а також збільшення частки високоліквідних активів в сукупних, в тому числі і коштів на коррахунку в Національному банку України, що може бути досягнуто в результаті активної депозитної політики в частині залучення строкових вкладів фізичних осіб.
Висновки до розділу 3
Використання методів балансування активів та пасивів за строками їх розміщення та залучення, позитивного досвіду інших країн в частині управління ліквідністю в банківських установах, сучасних методів економіко-математичного моделювання дасть змогу значно підвищити ефективність системи управління ліквідністю в банку, в тому числі і банку "Фінанси та кредит".
Моделювання ліквідності за допомогою динамічного індикатора ліквідності, який є інтегральним показником та дає змогу комплексно оцінити ситуацію з ліквідністю в банку зумовить загальне підвищення ефективності функціонування комерційного банку та оптимізує обсяги грошових коштів. Динамічний індикатор, поряд з аналізом розривів, нормативами ліквідності, коефіцієнтним аналізом є важливою і необхідною складовою системи оцінювання ліквідності банку.
Висновки
Комерційні банки відіграють важливу роль у відтворювальній структурі економіки, організації руху та перерозподілі грошових і капітальних ресурсів. Але, незважаючи на це, розвиток банківського сектору нерозривно пов’язаний з процесами, які відбуваються в економічному житті суспільства. У першу чергу це зумовлено тим, що банки не застраховані від наслідків фінансово-кредитних явищ, які постійно відбуваються в соціально-економічних системах: економічних криз, банкрутств, неплатежів за позичками, кон’юнктури попиту та пропозиції на ринках позичкових капіталів, цінних паперів й інших виявів незбалансованості ринкових відносин, що і довела економічна криза в 2008-2009 рр. Разом із цим, труднощі, що реально виникають на різних етапах розвитку або перетворення соціально-економічних систем, вимагають належного забезпечення базисних умов стійкої діяльності банків, основною з яких є підтримка визначеного рівня їхньої ліквідності. При цьому також слід відмітити, що втрата банком своєї ліквідності може стати причиною втрати коштів або навіть банкрутства значної кількості його клієнтів. Це робить банківську ліквідність проблемою не тільки економічного, але й суспільного значення. Тому одним з актуальних завдань банківського менеджменту є управління ліквідністю.
Проведений нами аналіз свідчить, що ліквідність комерційного банку-це можливість використовувати його активи як наявні грошові кошти або швидко перетворювати їх на такі. Банк вважається ліквідним, якщо суми його грошових коштів, які він має можливість швидко мобілізувати з інших джерел, дозволяють своєчасно виконувати зобов’язання по пасиву. Необхідно підкреслити, що в цілях підтримки своєї стабільності банк повинен мати певний ліквідний резерв для виконання непередбачених зобов’язань, поява яких може бути викликана зміною стану грошового ринку, фінансового положення клієнта або банку партнера.
Ліквідність банку складається поступово, в процесі його розвитку, збільшення кількості й обсягів здійснюваних ним активних і пасивних операцій. Ліквідність комерційного банку перебуває в тісному взаємозв’язку із його платоспроможністю. Ліквідність та платоспроможність мають спільну мету-виконання фінансових зобов’язань. Відмінність у тому, що платоспроможність передбачає виконання зобов’язань за рахунок власних коштів, тоді як ліквідність-повне виконання зобов’язань. Тобто в основі платоспроможності банку лежить його ліквідність, а сам показник платоспроможності можна розглядати як свого роду показник "критичної" ліквідності.
Управління ліквідністю є складовою більш загального процесу управління активами і пасивами банку. Тому принципи, стратегії та методи управління ліквідністю мають узгоджуватися з обраним банком підходом до управління активами та пасивами. Але при цьому процес управління ліквідністю в комерційному банку має свої власні завдання та мету. Так, серед головних напрямків діяльності банку в процесі управління ліквідністю можна виділити наступні: досягнення нормативного рівня ліквідності шляхом нарощення та стабілізації ресурсної бази, тобто, постійного збільшення частки строкових пасивів у ресурсній базі; планомірне нарощення капіталу банку, в тому числі і статутного; формування оптимальної структури активів, збалансованої за обсягами, термінами та видами валют із ресурсною базою; виконання нормативних вимог НБУ та обов’язкових резервних вимог до коррахунку, забезпеченні своєчасного проведення активних і пасивних операцій.
На сучасному етапі розвитку банківської системи України процес управління ліквідністю банків регламентується Законом України "Про банки і банківську діяльність" та нормативно-законодавчими актами НБУ, серед яких необхідно виокремити наступні: Інструкція про порядок регулювання діяльності банків в Україні, затверджена постановою Правління НБУ від 28.08.2001 р. № 368, Положення про застосування Національним банком України заходів впливу за порушення банківського законодавства, затверджене постановою Правління НБУ від 28.08.01 №369 та Положення про регулювання Національним банком України ліквідності банків України, затверджене постановою Правління НБУ від 30.04.2009 р. №259.
Управління ліквідністю в Україні здійснюється на двох рівнях: централізовано-на рівні Національного банку України; децентралізовано-на рівні окремого комерційного банку.
Централізоване управління ліквідністю полягає у встановлені НБУ єдиних для всіх банків нормативів ліквідності (Н4, Н5, Н6); здійснення регулювання ліквідності з використанням різних інструментів рефінансування; організація контролю за станом ліквідності банків; застосування заходів впливу до банків, які порушили нормативи ліквідності відповідно до чинного законодавства України. Проведений аналіз методології розрахунку економічних нормативів ліквідності дає змогу стверджувати, що найважливішим показником в системі цих нормативів є норматив миттєвої ліквідності, який характеризує ступінь захищеності банку від ризику одночасної вимоги клієнтами своїх коштів.
Децентралізове управління ліквідністю охоплює управління всіма активами та пасивами, а також позабалансовими операціями в цілях уникнення ризику незбалансованої ліквідності, а також оптимального співвідношення ліквідності та прибутковості. Система управління ліквідністю на рівні банку включає комплекс заходів по аналізу, оцінки, контролю та регулюванню ліквідності; обгрунтуванню методів та інструментів управління ліквідністю; визначення процедур відновлення ліквідності або усунення її надлишку.
В своїй діяльності комерційні банки застосовують наступні стратегії управління ліквідністю: стратегія трансформації активів;стратегія запозичення ліквідних засобів та стратегія збалансованого управління ліквідністю. Стратегія трансформації активів полягає в накопичені банком ліквідних ресурсів у вигляді грошових коштів та ліквідних цінних паперів. Дана стратегія оцінюється як менш ризикова порівняно з іншими, але одночасно і досить дорога з погляду вартості. Стратегія запозичення ліквідних засобів вважається найбільш ризикованою стратегією, вона реалізується шляхом запозичення ресурсів на ринку. Для комерційних банків, а це в основному великі банки, основними джерелами запозичення ліквідних засобів є позики на міжбанківському ринку, угоди РЕПО. Відповідно до збалансованого підходу до управління ліквідністю накопичення ліквідних активів здійснюється в розмірі очікуваного попиту на них, у випадку виникнення непередбачуваної потреби попит на ліквідні засоби задовольняється за рахунок проведення операцій купівлі активів на ринку. Сучасні комерційні банки, в тому числі і ПАТ "Банк "Фінанси та Кредит", в своїй діяльності здебільшого використовують стратегію збалансованого управління ліквідністю завдяки тому, що вона відрізняється гнучкістю і дає змогу мінімізувати ризики.
Система управління ліквідністю також включає і вибір певних методів управління: метод фондового пулу та метод конверсії фондів. Метод фондового пулу передбачає, що всі надходження банку розглядаються як єдиний пул без диференціації за джерелами фінансування. Другий метод, на відміну від першого, базується на узгодженні обсягів і строків вкладень із конкретними видами ресурсів, які їх фондують, тому що різні джерела залучення коштів відрізняються характеристикою коштів, оборотністю резервними вимогами.
Із вищезазначеними методами управління ліквідністю нерозривно пов’язані підходи до оцінки потреби в ліквідних засобах: метод структурування фондів; метод коефіцієнтів ліквідності та метод залучення і використання ресурсів.
Конкретна ситема управління ліквідністю банку повинна знаходити відображення у спеціальному документі стосовно управління ліквідністю, який розробляє кожен банк окремо.
Оцінка діючої системи управління ліквідністю в ПАТ "Банк "Фінанси та Кредит" була здійснена на основі аналізу розривів активів та пасивів з відповідними строками погашення (ГЕП-аналіз); дотримання встановлених обов’язкових економічних нормативів ліквідності, а також з використанням коефіцієнтного методу. Проведений нами аналіз ліквідності банку "Фінанси та Кредит" за останні три роки (2007-2009 рр.) дає підстави для наступних висновків: ризик ліквідності в банку знаходиться на достатньому рівні, але при цьому треба відзначити, що він є цілком контрольованим з боку менеджменту банку. Про це свідчить ГЕП-аналіз-кумулятивний розрив між активами та пасивами значно перевищує норму в 10% (станом на 01.01.2010 р. кумулятивний розрив складає 24,91%), а також значення обов’язкових економічних нормативів ліквідності, які перевищують нормативні вимоги Національного банку України. Результати ГЕП-аналізу активів та пасивів банку свідчать про негативну тенденцію ліквідності, яка спостерігалась протягом 2007 року та продовжувалась в 2008 р. та пов’язана із поступовим покращенням збалансованості структури активів та пасивів та зменшенням ризику незбалансованої ліквідності в 2009 році. Такі зміни були зумовлені, в першу чергу затвердженням в 2009 році нової стратегії та тактики на всіх організаційних рівнях, яка забезпечила контроль збалансованості обсягів активно-пасивних операцій, а також покращенням загальекономічної ситуації в країні. В підтриманні ліквідності в кризовий період значну роль зіграли кошти рефінансування, які надавав Національний банк України. Стабілізація ліквідності банку пов’язана ще із стабілізацією ситуації на вітчизняному ринку депозитів – в другому півріччі 2009 року припинився відтік депозитів з банківської системи.
Нормативи ліквідності банку "Фінанси та Кредит" (станом на 01.01.2010 р. Н4 становить 53,6%, Н5-73,04%, Н6-30,23%) практично в два рази перевищують встановлені вимоги, тобто в досліджуваному банку простежується практика встановлення пріоритету ліквідності над прибутковостю. Але слід відмітити негативну ситуацію, коли значення вказаних нормативів є нижчими в порівнянні із аналогічними показниками Приватбанку та ПАТ "ПУМБ", а також нижче за середньобанківський рівень. Виконання нормативів ліквідності є ще одним аргументном того, що рівень ліквідності цілком контролюється менеджментом банку.
Порівняльний аналіз ліквідності банку "Фінанси та Кредит" та банків 1-ї групи за класифікацією НБУ свідчить, що досліджуваний банк володіє високоліквідними коштами в недостатніх обсягах в порівнянні із банками-конкурентами. Так, станом на 01.01.2010 року питома вага високоліквідних коштів в загальних активах банку становить 9,99%, але даний показник є дещо нижчим за встановлений Правлінням банку ліміт (питома вага високоліквідних активів у загальних активах банку повинна складати не менше 15%). Отже, банк порушуючи вимоги Правління, наражається на підвищений ризик ліквідності, що також було пов’язано із незбалансованістю активів та пасивів за строками в часовому інтервалі до 31 дня. Загалом порівняльний аналіз виявив посередній рівень ліквідності банку, а також встановив банківську установу, яка має найкращу ліквідність – ПАТ КБ "Приватбанк". Коефіцієнтний аналіз ліквідності дає змогу стверджувати про покращення ліквідності банку в 2009 році в порівнянні із кризовим 2008, а також можна стверджувати, що ліквідність банку є достатньою для забезпечення його нормального функціонування.
Проблема ліквідності банку "Фінанси та Кредит" в першу чергу пов’язана із невисокою питомою вагою високоліквідних активів, в тому числі і коштів на коррахунку в Національному банку України, а також недостатнім обсягом капіталу банку, темпи росту якого не поспівають за нарощенням активів.
Отже, на наш погляд, в банку проводиться задовільна політика управління активами та пасивами в частині збалансування їх строків для забезпечення ліквідності банківської установи але в подальшому необхідно вирівняти структуру активів і пасиві.
Проведений аналіз системи управління ліквідністю на прикладі ПАТ "Банк "Фінанси та Кредит" дає змогу розробити наступні рекомендації її поліпшення-підвищення контролю за діяльністю усіх відділів банку, що відповідають за здійснення активних та пасивних операцій, а також координація діяльністі роботи цих підрозділів; необхідно заздалегіть передбачати (якщо це можливо), коли найбільш великі вкладники і користувачі кредитів банку планують зняти кошти з рахунку чи, навпаки, збільшити вклади, що дозволить керівництву банку більш детально планувати свої дії у випадку виникнення дефіциту або надлишку ліквідних активів.
Також для удосконалення системи управління ризиком ліквідності в банку "Фінанси та Кредит", на нашу думку, необхідним є впровадження методики стрес-тестування ризику ліквідності, що дасть змогу підготуватися до боротьби з кризовою ситуацією, оцінити можливості розвитку діяльності банку і визначити найкращий спосіб фінансування нових напрямків діяльності і забезпечити зростання активів. Стрес-тестування, як елемент системи управління ліквідністю, полягає у виявленні подій чи факторів, які можуть привести до втрати ліквідності банку. Результати тестів повинні періодично розглядатися Правлінням та Радою банку і використовуватися для корегування методів управління ліквідністю для підвищення збалансованості структури активів та пасивів за строками. Для постійного аналізу ризику ліквідності та його контролю, крім ГЕП-аналізу, в банку доцільно використовувати сучасні економіко-математичні методи моделювання, в тому числі і метод динамічного індикатора, що базується на методі непараметричної статистики. Використання даної моделі для оцінювання ліквідності дає змогу отримати узагальнюючу оцінку ризику ліквідності, виходячи з розгляду банку як складної динамічної системи.
В основу цієї моделі покладено поняття динамічного індикатора як сукупності показників, упорядкованих за темпами зростання, який дозволяє оцінити фінансовий стан банку та рівень його ліквідності, який не може бути точно оцінений будь-яким окремим показником.
Для оцінки ліквідності банку "Фінанси та Кредит" на основі даної моделі використовувався вектор оцінок, розрахований за нелінійним динамічним показником на основі нормативної і фактичної матриць співвідношень. Отримані результати моделювання (в 2008 році значення динамічного індикатора складає - 0,538; в 2009 складає 0,213) вказують на великий ризик ліквідності банку в 2008 році та незначну ліквідність в 2009 році. Така ситуації виникла в результаті менших темпів зростання високоліквідних активів, проти темпу росту сукупних активів, поточних зобов’язань, а також зростання вкладів населення, останнє в свою чергу було зумовлене новю політикою стосовно обслуговування фізичних осіб. Також треба відзначити економічну кризу, яка особливо гостро вдарила по банківській системі України, в тому числі і по досліджуваному банку. Саме восени 2008 та на початку 2009 року відчувалася значна криза ліквідності банківської системи, яка була спровокована масовим відтоком депозитів із банківських установ. Нестача коштів банкам покривалася в основному за рахунок коштів рефінансування Національного банку України. В 2009 році ситуація з ліквідністю в банку "Фінанси та Кредит" змінилась-показник динамічного індикатора збільшився та одночасно змінив свій знак з мінуса на плюс, що вказує на істотне зниження ризику ліквідності банку в порівнянні із попереднім періодом але ліквідність все рівно залишається досить низькою. Така ситуація, в першу чергу, зумовлена поліпшенням якості кредитного портфеля банку- зниження проблемної заборгованості на 4%.
Отже, як бачимо із моделювання в банку, ризик ліквідності знаходиться на достатньому але контрольваному рівні, що підтверджує отримані результати ГЕП-аналізу та коефіцієнтного методу. Таким чином, динамічний індикатор ліквідності є інтегральним показником, який дає змогу комплексно оцінити ситуацію з ліквідністю в банку. Динамічний індикатор, поряд з аналізом розривів, нормативами ліквідності, коефіцієнтним аналізом має бути важливою і необхідною складовою системи оцінювання ліквідності банку "Фінанси та Кредит".
Слід зазначити, що на макрорівні для підвищення ефективності контролю за ліквідністю комерційних банків України з боку НБУ необхідно використати прогресивний зарубіжний досвід в частині встановленння коефіцієнтів ліквідності. Так, на наш погляд, мінімальне значення показника поточної ліквідності необхідно підвищити до 50 %, а також ввести показник довгострокової ліквідності, рекомендоване значення якого складає 55-60%, що визначається як співвідношення суми активів і суми зобов’язань з початковим строком розміщення активів і погашення зобов’язань більше 1 року, як норматив.
Також за результатами аналізу зарубіжного досвіду практики управління ліквідністю банку шляхом встановлення коефіцієнтів для внутрішнього аналізу банку можна запропонувати використовувати показник ліквідності, що визначається як співвідношення суми коштів на кореспондентському рахунку в НБУ та в касі, державних цінних паперів (високоліквідні активи) і загальної суми залучених депозитів, значення якого має бути не меншим за 30 %.
Для підвищення ефективності управління лікідністю в вітчизняних комерційних банках необхідною передумовою є використання рекомендацій міжнародних організацій. Головним методологічним центром щодо ефективного управління ризиками банківської діяльності на міжнародному рівні є Базельський комітет з банківського нагляду. Результатом діяльності цього комітету є документ "Міжнародна конвергенція виміру капіталу та стандартів капіталу: нові підходи" (Базель II). У Базелі II ліквідність оцінюється як умова, що має вирішальне значення для продовження існування банку. При здійсненні контролю ліквідності варто враховувати безпосередній взаємний вплив ліквідності і капіталу, який у стресових ситуаціях може мати помітний вплив на підтримання ліквідності. При цьому оцінку управління ризиком ліквідності необхідно планувати з урахуванням його агрегованого характеру у відношенні тих напрямків діяльності, де негативні варіанти розвитку подій впливають на фінансові потоки банку.
При управлінні ліквідностю необхідно також враховувати основні чотирнадцять принципів ефективного управління ліквідністю в банківських установах, розроблених Базельським комітетом з банківського нагляду, які охоплюють всі складові процесу управління ліквідінстю, починаючи від організаційної структури менеджменту, розробки програми антикризового реагування і основних вимог до неї та закінчуючи внутрішнім контролем та зовнішнім наглядом за ефективністю прийнятих рішень щодо управління ризиком ліквідності.
Таким чином, до проблеми управління ліквідністю в комерційному банку слід підходити комплексно, визначаючи при цьому всі переваги та недоліки управлінських рішень.
Список використаних джерел
1. Бондаренко О. С. Моделі управління поточними ліквідними активами // Інвестиції:практика та досвід. - 2005. - № 18. - С. 22-28.
2. Будник Ю. А. Управление прогнозированием ликвидности комерческого банка // Вісник Східноукраїнського національного університету імені В. Даля. - 2005. - № 2. - С. 12-15.
3. Бурлай Т. Методичні підходи до прогнозно-аналітичної оцінки банківської ліквідності на макрорівні // Банківська справа. - 2006. - № 2
4. Васюренко О.В., Азаренкова Г. Управління ліквідністю банку з погляду зміни швидкості його фінансових потоків // Банківська справа
5. Васюренко О.В., Волохата К. О. Економічний аналіз діяльності комерційних банків: Навчальний посібник. - К.: Знання, 2006 - 463 с.
6. Висоцька Л. Напрямки формування комплексної статистичної системи показників ліквідності банків // Банківська справа. - 2007. - № 5.
7. Волошин И.В. Оценка банковских рисков: новые подходы. - К.: Эльга. Ника-Центр, 2004 - 213 с.
8. Волошин І. Банківські моделі та режими ліквідності // Вісник НБУ
9. Волошин І. Динамічна модель грошових потоків ідеального процентного банку // Банківська справа. - 2007. - № 2. - С. 20-26.
10. Волошин І. Динаміка розривів ліквідності банку за умов змінної програми розміщення та залучення коштів // Вісник НБУ. - 2007. - № 8
11. Волошин І. Перехідна динаміка розривів ліквідності банку // Вісник НБУ. - 2007. - № 9. - С. 26-28.
12. Волошин І., Волошина Я. Рішення дилеми "ліквідність-дохід" для банківських ресурсів з логнормальним розподілом // Банківська справа
13. Галицька Е, Висоцька Л. Удосконалення системи показників ліквідності комерційних банків // Банківська справа. - 2002. - № 2. - С. 19-25.
14. Граділь А. Підвищення рівня ліквідності комерційного банку шляхом управління залишками грошових коштів на рахунках // Банківська справа. - 2002. - № 1. - С. 17-21.
15. Дзоблюк О.В. Оптимізація управління активами і пасивами комерційного банку // Фінанси України. - 2006. - № 5. - С. 129-137.
16. Карчева Г. Т. Використання методів непараметричної статистики для оцінки ризику ліквідності банків // Вісник НБУ. - 2007. - № 7. - С. 31-34.
17. Ковальчук Т. Т., Коваль М. М. Ліквідність комерційних банків. - К.: Знання, 1996 - 120 с.
18. Кочетков В.М. Забезпечення фінансової стійкості сучасного комерційного банку: теоретико-методологічні аспекти: Монографія. - К.: КНЕУ, 2002 - 238 с.
19. Лаптєв С. М., Денисенко М. П., Кабанов В.Г., Любунь О. С. Банківська діяльність (вітчизняний та зарубіжний досвід): Навчальний посібник. - К.: ВД "Професіонал", 2004 - 320 с.
20. Лист Національного банку України від 15.04.2008
21. Методичні рекомендації щодо управління ліквідністю в банку "Фінанси і кредит". Затверджені протоколом Правління від 18.11.2008 року
22. Молчанов О. В. Теоретичні підходи до управління ліквідністю сучасних банків // Формування ринкових відносин в Україні.- 2008. - № 10
23. Мунтіян В. Світова іпотечна криза та її наслідки для фінансового ринку України // Фінансовий ринок України.- 2008. - № 1. - С. 6-10.
24. Олійник Д. Управління ліквідністю комерційного банку та оптимізація фінансового результату // Вісник НБУ. - 2005. - № 8. - С. 28-29.
25. Основні показники діяльності банків України на 1 січня 2010 року // Вісник НБУ. - 2010. - № 3. - С. 70.
26. Офіційний сайт Банку Росії в мережі Інтернет - www.cbr.ru
27. Офіційний сайт Національного банку України в мережі Інтернет
28. Пернарівський О. Аналіз та оцінка ризику ліквідності банку
29. План заходів для підтримання необхідного рівня ліквідності у випадку виникнення кризової ситуації. Затверджений протоколом Правління від 21.10.2006 року № 2088.
30. Примостка Л. О. Фінансовий менеджмент у банку: Підручник. - 2-ге вид., доп. і перероб. - К.: КНЕУ, 2004 - 468 с.
31. Про банки і банківську діяльність – Закон України від 07.12.2000 р. № 2121-III (Із змінами та доповненнями). // Відомості Верховної Ради - 2001
32. Про застосування Національним банком України заходів впливу за порушення банківського законодавства - Положення НБУ. Затверджено постановою Правління Національного банку України від 28.08.2001 р. № 369 (Із змінами та доповненнями).
33. Про порядок регулювання діяльності банків в Україні. - Інструкція НБУ. Затверджено постановою Правління Національного банку України від 28.08.2001 р. № 368 (Із змінами та доповненнями).
34. Про регулювання Національним банком України ліквідності банків України.- Положення НБУ. Затверджено постановою Правління Національного банку України від 30.04.2009 р. №259 (Із змінами та доповненнями).
35. Раковський Д. Питання сек’юритизації банківських активів в Україні // Ринок цінних паперів України. - 2008. - № 9-10. - С. 31-33.
36. Управління банківськими ризиками: Навч. посіб. / Л. О. Примостка, П. М. Чуб, Г. Т. Карчева та ін.- К.: КНЕУ, 2007 - 600 с.
37. Хвостик В. Удосконалення оцінки ліквідності комерційного банку // Вісник НБУ. - 2005. - № 5. - С. 45-47.
38. Шварц О.В. Регулювання ліквідності банківської системи України в період кризи. // Вісник НБУ. - 2010. - № 4. - С. 56-61.
39. Шіллер Р. І. Фінансова стійкість комерційного банку та шляхи її зміцнення.- К.: Наукова думка, 1996 - 158 с.
40. Бабанов В. В., Шемпелев В. А. Новый подход к управлению ликвидностью // Банковское дело. – 2007. - № 1.- С. 15-25.
41. Беляков А. В. Банковские риски: проблемы учета, управления и регулирования. - М.: Издательская группа "БДЦ-пресс", 2003 - 256 с.
42. Грюнинг Хенни Ван, Братанович С.Б. Анализ банковских рисков: система оценки корпоративного управления и управления финансовым риском. - М.: Весь мир, 2003 - 304 с.
43. Киселёв В.В. Управление банковским капиталом (теория и практика). - М.: ОАО "Издательство "Экономика", 1997 - 256 с.
44. Кузнецова Л. Г., Кутузова Н. В. Платежеспособность и ликвидность: уточнение понятий // Деньги и кредит. – 2008. - № 8.- С. 26-29.
45. Лаврушин О. И. Управление деятельностью коммерческого банка (банковский менеджмент). - М.: Юристъ, 2002 - 687 с.
46. Ларионова И.В. Управление активами и пассивами в коммерческом банке. - М.: Консалтбанкир, 2003 - 272 с.
47. Морозова Т.Ю. Обеспечение устойчивости банковской системы России // Банковское дело. – 2008. - № 1.- С. 15-25.
48. Потемкин С. А., Киреева И. В. Базель II // Мир денег. - 2006.- № 11
49. Роуз Питер С. Банковский менеджмент. - М.: Дело ЛТД, 1995 - 743 с.
50. Семеко Г. В. Управление риском ликвидностив финансовых группах // Банки: мировой опыт. – 2006. - № 4. – С. 36-42.
51. Скогорева А. Ипотека. Ждем завершения кризиса // Банковское обозрение. – 2008. - № 2.- С. 22-29.
52. Sound Practices for Managing Liquidity in Banking Organisations // Basel Committee on Banking Supervision. - Basel. - 2000 - February (www.bis.org)
53. International Convergence of Capital Measurement and Capital Standarts. A Revised Framework // Basel Committee on Banking Supervision. - Basel. - 2005.- November (www.bis.org)