| Похожие рефераты | Скачать .docx |
Реферат: Разработка интегрированного стартер-генератора на основе вентильно-индукторной машины
Николаев В.В. Рыбников В.А.
Рассматриваются принципы работы стартер-генераторного устройства автономного объекта на базе вентильно-индукторной машины. Проведено исследование режимов работы вентильно-индукторного стартер-генератора на основе математического моделирования. Предложено решение проблем расширения диапазона рабочих скоростей в стартерном и генераторном режимах.
Введение
Автомобиль является одним из самых массовых видов автономных объектов. Пуско-генераторная установка автомобиля, как и в начале XX века, состоит из двух независимых устройств - синхронного генератора и стартера на основе двигателя постоянного тока. За столь большой промежуток времени данные устройства не претерпели значительных изменений. Наряду с этим, развитие автомобильной промышленности демонстрирует быстрый рост количества энергопотребителей в новых моделях автомобилей, что требует постоянного повышения мощностей их генераторных установок. Необходимо отметить, что в большинстве случаев привод генератора осуществляется с помощью ременной передачи, ресурс которой и передаваемый момент ограничены.
Решением задачи увеличения мощности одновременно с увеличением ресурса генераторной установки и уменьшения массы двигателя внутреннего сгорания (ДВС) может послужить интегрированный стартер-генератор на основе вентильно-индукторной электрической машины. Он устанавливается непосредственно на коленчатый вал ДВС, что позволяет значительно увеличить надежность системы за счет отказа от большого числа изнашиваемых частей.
В стартерном режиме такое решение позволяет отказаться от традиционно применяемого редуктора, являющегося маховиком ДВС, благодаря чему запуск двигателя происходит быстрее и с меньшим уровнем шумов. Это также позволяет реализовать систему "стоп-старт", экономящую топливо во время остановки автомобиля, которая заглушает ДВС, если машина простаивает дольше определенного промежутка времени и пускает двигатель с началом движения.
Генератор также может использоваться как электромагнитный тормоз при невысоких степенях торможения, что способствует экономии топлива за счет рекуперации энергии. Суммарная экономия топлива, а значит и уменьшение количества вредных выбросов, с использованием интегрированного стартер-генераторного устройства (ИСГУ) на базе вентильно-индукторной электрической машины, как свидетельствуют зарубежные исследования [1], [2], может достигать 20%.
Вентильно-индукторная машина (ВИМ)
Вентильно-индукторная машина относится к классу синхронных реактивных машин с вентильным управлением. В мировой технической литературе ВИМ обозначается как Switched Reluctance Machine (SRM) и представляет собой совокупность электромеханического преобразователя энергии - индукторной машины (ИМ) (рис.1) - и электронного блока управления (рис.2). Необходимыми составляющими блока управления являются:
блок управления коммутацией, содержащий алгоритм и систему управления электронным коммутатором;
датчики положения ротора и тока фазы, которые могут выполняться интегрированными с блоком управления коммутацией;
электронный коммутатор, обеспечивающий подключение обмоток индукторной машины к источнику питания.

Рис.1 Конструкция индукторной машины конфигурации 6/4.

Рис.2 Схема блока управления ВИМ.
Статор и ротор ИМ - зубчатые из шихтованной электротехнической стали. Обмотка статора ИМ выполняется в виде сосредоточенных, размещенных на зубцах катушек, что обеспечивает высокую технологичность их изготовления. Ротор ИМ не имеет обмотки, что повышает надежность и уменьшает стоимость ВИМ по сравнению с другими типами вентильного привода. Конфигурацию ВИМ принято обозначать дробью, в числителе которой указывают число зубцов статора, а в знаменателе число зубцов ротора
.
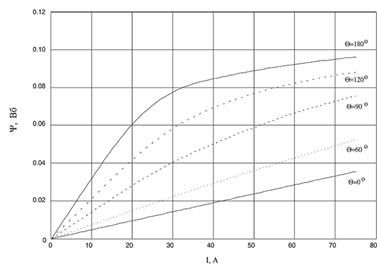
Принцип действия ИМ основан на реактивном взаимодействии зубцов статора и ротора. Зубцы ротора ИМ, под действием протекающего в катушках фазы тока, стараются занять положение, соответствующее наибольшему значению энергии магнитного поля, что соответствует режиму двигателя. Потокосцепления катушек
зависят от взаимного углового положения зубцов статора и ротора (за
принято рассогласованное положение зубцов) и тока катушек I (рис.3).
Рассогласованным положением сердечников статора и ротора для некоторой фазы ИМ называется такое положение, при котором зубцы фазы располагаются строго напротив пазов ротора. Это положение характеризуется минимальным значением индуктивности фазы и магнитного потока, сцепленного с ней, что объясняется максимальным значением магнитного сопротивления зазора между сердечниками.
Согласованным положением сердечников статора и ротора ИМ для какой-либо фазы называется такое положение, при котором зубцы фазы располагаются строго напротив полюсов ротора. Это положение характеризуется максимальным значением индуктивности фазы и сцепленного с ней магнитного потока, что определяется минимальной величиной магнитного сопротивления зазора между сердечниками.

Рис.3 Зависимость потокосцепления катушки ИМ (18/12) от углового положения и тока.
Момент, развиваемый ИМ согласно [3] по методу виртуальных перемещений:

Момент, действующий на ротор, может быть также определен из расчета магнитного поля ИМ с помощью взвешенного тензора натяжения (Weighted Stress Tensor) по [4], [5]. Метод расчета усилий на основе взвешенного тензора натяжения базируется на объемном интеграле тензора натяжения Максвелла для вакуума
, по тонкой оболочке S, охватывающей подвижный элемент. Суммарное усилие, действующее на подвижный элемент электрической машины (ротор), определяется по данному методу как:
, где
- функция, принимающая значение 1 внутри оболочки S, и 0 вне оболочки S.
Реализация данного метода позволяет рассчитывать момент (Мтн рис.4), создаваемый электрической машиной, более точно, чем по методу виртуальных перемещений (Мвм рис.4).

Рис.4 Зависимость момента ВИМ конфигурации 18/12 в зависимости от углового положения зубцов статора и ротора.
В двигательном режиме импульс напряжения от источника питания через ключи S1, S2 (рис.2) подается на обмотку фазы А в момент, когда зубцы статора и ротора находятся в близком к рассогласованному положении (I рис.5). При подходе зубцов к согласованному положению (II рис.5) ключи S1 и S2 размыкаются, и к обмотке фазы через диоды D1, D2 прикладывается напряжение противоположного знака, что способствует гашению магнитного поля фазы до достижения зубцами согласованного положения. К моменту, когда зубцы займут согласованное положение, ток и потокосцепление фазы должны быть равно нулю, иначе будет создаваться тормозной момент. Последовательно переключая катушки ИМ в порядке А, В, С (рис.1) в соответствии с показаниями датчика положения ротора получают непрерывное преобразование энергии. Направление вращения ротора при этом будет противоположенным направлению переключения фаз. Основные положения, относящиеся к двигательному режиму ВИМ, описаны в [2], [3], [6].

Рис.5 Стартерный режим работы ВИМ
Для перехода к генераторному режиму ВИМ необходимо сместить время подачи импульса напряжения в момент согласованного положения или при подходе к нему (I и II рис.6). С этой целью при подходе к согласованному положению (II рис.6) (ротор генератора вращается под действием внешнего момента) замыкают ключи S1 и S2, подключая фазу А к источнику питания. Импульс напряжения, поданный на катушки фазы, создаст магнитный поток, являющийся потоком возбуждения генератора. Механический момент при этом практически равен нулю. По достижению определенного угла или определенного уровня тока ключи S1 и S2 размыкаются. В обмотке фазы создается ЭДС, под действием которой открываются диоды D1 и D2. При дальнейшем перемещении зубцов ротора относительно зубцов статора индуктивность фазы уменьшается, что приводит к увеличению ЭДС, старающейся поддержать потокосцепление фазы постоянным. Через нагрузку (рис.2) и катушки фазы под действием ЭДС генератора потечет ток, создающий тормозной момент на валу генератора (рис.6). Как и в двигательном режиме, непрерывное преобразование энергии достигается путем коммутации фаз в соответствии с показаниями датчика положения ротора.

Рис.6 Генераторный режим работы ВИМ
Регулировка выходного напряжения генератора осуществляется изменением длительности режима возбуждения по показаниям датчика положения ротора. В тех случаях, когда точность регулировки по углу коммутации недостаточна, ее осуществляют по показаниям датчиков тока, которые также служат для регулировки токов в стартерном режиме с целью их ограничения. Генераторные режимы ВИМ для различных условий эксплуатации обсуждаются в [7], [8], [9].
Стартер-генераторное устройство на основе ВИМ
Стартер-генератор - это электрическая машина, предназначенная для кратковременной работы в двигательном режиме и продолжительной работы в режиме генератора. Стартер-генератор автомобиля, помимо этого, должен обеспечивать кратковременный бустерный режим, при котором на валу ДВС создается дополнительный двигательный момент.
Стартер-генератор на базе ВИМ - вентильно-индукторный стартер-генератор (ВИСГ) - имеет ряд особенностей по сравнению с ВИМ общего назначения, связанных как с конструкцией, так и с режимами работы.
ВИСГ имеет большой диаметр вала ротора, что вызвано интеграцией его с диском сцепления автомобиля. Сцепление размещается внутри ротора ВИСГ, который также выступает маховиком ДВС. Длина активной части, как правило, небольшая и обусловлена размещением ВИСГ в автомобиле.
Диапазон скоростей вращения ВИСГ, как в стартерном, так и в генераторном режиме, должен быть широким и полностью покрывать диапазон рабочих скоростей вращения ДВС. Особенность ВИСГ заключается в том, что существует диапазон скоростей вращения, при которых ВИМ должна работать и как стартер, и как генератор, что исключается при проектировании ВИМ на один из режимов (рис.7а). Таким образом, диапазоны рабочих скоростей стартера и генератора должны взаимно перекрываться (рис.7б).

Рис.7 Диапазоны рабочих скоростей ВИМ и ВИСГ
ВИСГ автомобиля должен обладать высоким пусковым моментом, что в сумме с низким напряжением питания, обусловленным низким напряжением бортовой сети, и широким рабочим диапазоном частот вращения, затрудняет его проектирование.
Математическое моделирование процессов в ВИСГ
Процессы, происходящие в ВИСГ, ввиду своей сложности и нелинейности, не могут быть рассмотрены на основе аналитических выражений и зависимостей. Этим также объясняется сложность проектирования данного класса машин. Структура статора и ротора должны быть принципиально зубчатыми, иначе становиться невозможным преобразование энергии на основе реактивного момента. Магнитное поле ВИМ носит более сложный характер, чем в традиционных машинах [3].
Рассмотреть процессы электромеханического преобразования энергии в ВИМ можно путем математического моделирования электромеханической системы, включающей в себя ИМ, и блок управления.
При этом принимаются следующие допущения:
взаимная индуктивность фаз равна нулю, так как коммутация фаз ВИСГ симметричная одиночная;
потери в стали и механические потери ВИМ не учитываются;
ключи блока коммутации считаются идеальными, т.е. осуществляют коммутацию без временных задержек и падения напряжения на них;
демпфирующая емкость принимается бесконечно большой;
нагрузка в генераторном режиме считается активной.
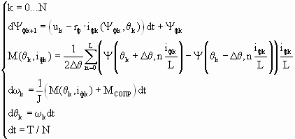
В основу математической модели положены нелинейные дифференциальные уравнения электрической цепи содержащей переменные индуктивности обмоток и уравнения движения.
Уравнения для стартерного режима
Уравнение электрической цепи для одной фазы
, где
- потокосцепление фазы ИМ;
- сопротивление фазы ИМ;
- нелинейная зависимость тока фазы от потокосцепления и взаимного положения зубцов статора и ротора.
- зависимость напряжения на фазе ИМ от времени, формируемая по алгоритму коммутации фаз.
Зависимость
определяется из расчета магнитного поля ВИМ, с учетом нелинейностей магнитных проводимостей стали, путем сплайн-аппроксимации точек поверхности
. На основе данной зависимости строится зависимость
, позволяющая однозначно определить ток фазы ВИМ по потокосцеплению катушки и относительному положению зубцов
Уравнение движения:
![]()
![]()
Уравнения для генераторного режима
Уравнение электрической цепи для одной фазы
![]()
![]()
Математическая модель строится на совместном интегрировании уравнений напряжения электрической цепи для всех фаз и уравнения движения:
,
где
T - время интегрирования;
N -число точек интегрирования.
При наличии характеристик
, для рассматриваемой конфигурации ВИМ, математическая модель позволяет достаточно быстро моделировать требуемые процессы в ВИМ как в двигательном, так и в генераторном режимах. В данной модели также возможен учет потерь в стали путем введения в электрическую цепь дополнительного сопротивления, эквивалентного потерям в стали. Наряду с учетом многих эффектов, имеющих нетривиальное описание, модель требует расчета характеристики
, определяемой из расчета магнитного поля с помощью современной вычислительной техники и развитых программных средств типа Flux 2D/3D, Opera, Femme и т.д.
Результаты математического моделирования
Стартерный режим
Моделирование стартерного режима производилось пуском ВИСГ на холостом ходу с применением DC/DC преобразователя, обеспечивающего задание напряжения в зависимости от скорости (рис. 8). Повышение напряжение питания ВИСГ (напряжение бортовой сети автомобиля 36В) применяется для расширения диапазона рабочих скоростей вращения в стартерном режиме с целью обеспечения бустерного режима. Получение данного диапазона рабочих скоростей возможно также с помощью уменьшения числа витков обмотки на этапе проектирования, но одновременно с этим произойдет уменьшение пускового момента, вследствие чего ВИСГ не будет соответствовать техническим требованиям.
В пусковом режиме ток ВИСГ ограничен только активным сопротивлением, что может привести к выходу из строя аккумуляторной батареи, от которой осуществляется питание ВИСГ, и силовой электроники. Для предотвращения аварийных ситуаций ток, потребляемый ВИСГ, ограничивается (рис.9) путем коммутации напряжения питания в соответствии с показаниями датчиков тока. В иностранной литературе [2] данный режим называется - Current Control Chopping. Таким образом, электронные ключи должны выбираться из расчета, что рабочая частота коммутации может в сотни раз превосходить частоту коммутации фаз на данной скорости. Для ВИМ конфигурации 18/12 на скорости 500 об/мин частота коммутации фазы без токоограничения составляет 100Гц, а с учетом токоограничения, в зависимости от точности регулировки, от 2 до 20 кГц.
Момент, развиваемый ВИСГ при пуске, также ограничивается (рис. 10). Это вызывает необходимость в увеличении числа витков обмотки, для создания требуемого момента при заданном ограничении тока, и повышении напряжения питания на высоких скоростях вращения.
На рис.9 представлена механическая характеристика, полученная при математическом моделировании стартерного режима ВИСГ (Мср), а также требуемая механическая характеристика (Мт.з). Как видно из зависимости мгновенного значения момента (Ммгн рис. 10), ВИСГ обладает значительными пульсациями момента, что является недостатком всех ВИМ с одинарной симметричной коммутацией. Вследствие большого момента инерции ДВС, данный фактор не оказывает отрицательного влияния на работу стартера.

Рис. 8 Зависимость регулирования напряжения питания от скорости.

Рис. 9 Зависимость мгновенного (Iмгн) и среднего(Iср) значения потребляемого тока фазы от скорости

Рис.10 Зависимость мгновенного (Ммнг), среднего (Мср) и заданного (Мт.з) момента двигателя от скорости
Генераторный режим
На низких скоростях вращения ротора, в генераторном режиме, ЭДС генератора оказывается ниже требуемого значения. При этом не происходит увеличение значения тока после прекращения возбуждения, как на рис.6. Для обеспечения работы генератора в подобных режимах, режим возбуждения многократно чередуется с режимом генерации в течение всего времени работы фазы (рис.11). Данный режим коммутации схож с режимом ограничения тока в стартерном режиме. Отличие состоит в том, что ток фазы не ограничивается, а поддерживается на определенном уровне. Среднее значение ЭДС при этом оказывается в требуемых пределах, что позволяет использовать ВИСГ на низких скоростях, и отличает его от индукторного генератора без вентильного управления, неспособного работать в данных скоростных режимах.
На средних скоростях вращения ЭДС генератора вызывает нарастание тока фазы после прекращения возбуждения (точке окончания возбуждения соответствует точка с током 100А рис.12). На рис. 12 представлена энергетическая диаграмма для скорости вращения 5000 об/мин и, для сравнения, для скорости 1000 об/мин. Возбуждение при этом производится до значений тока, значительно меньшего, чем при низких скоростях. Стрелками показано направление изменения потокосцепления в течение цикла коммутации фазы. Энергетическая диаграмма позволяет также определить среднее значение момента, который пропорционален площади, охватываемой годографом ,I.
На рис.13 представлены статические характеристики генератора в зависимости от скорости, и мощность возбуждения, необходимая для работы генератора. Как видно из приведенных зависимостей, на низких скоростях вращения генератор потребляет мощность возбуждения, превышающую полезную выходную мощность в 3 раза. Это связано с режимом поддержания тока фазы на определенном уровне. Несмотря на это, КПД генератора составляет около 70%, вследствие того, что мощность возбуждения, запасенная в электромагнитном поле, расходуется только на потери в сопротивлениях фаз и перекачивается между фазами ВИСГ. Потери на возбуждение обусловлены исключительно потерями в обмотках статора и потерями в стали.
При снижении скорости ниже критической скорости, генератор не способен обеспечить выходную мощность даже при высокой мощности возбуждения, что вызвано низким значением ЭДС генератора. Ниже скорости вращения 2000 об/мин мощность генератора становиться менее заданных 4 кВт (рис.13). Таким образом, преобразователь частоты и генератор необходимо проектировать с учетом того, что проходная мощность может в несколько раз превышать номинальную мощность генератора, если он предназначен для эксплуатации на низких скоростях вращения.
С ростом скорости вращения, ЭДС генератора, вызванная перемещением зубцов ротора относительно зубцов статора, возрастает пропорционально скорости вращения. Требуемая мощность возбуждения при этом уменьшается.
Свыше скорости 6500 об/мин (рис.13) выходная мощность генератора имеет тенденцию к снижению, что вызвано невозможностью создания требуемого потока возбуждения катушки. Рост скорости вращения уменьшает время коммутации, вследствие чего ток возбуждения не успевает достичь требуемого значения. Скорость возрастания тока ограничивается ЭДС, вызванной изменением тока в обмотке. Для преодоления данного ограничения, начало подачи импульса возбуждения смещают в область двигательного режима, однако в данной области быстрому нарастанию тока препятствует значительная ЭДС вращения. Другим способом повышения мощности генератора на высоких скоростях может служить увеличение напряжения возбуждения, аналогично стартерному режиму (рис.7).

Рис.11 Зависимость тока, потокосцепления и индуктивности фазы от времени (1000 об/мин 4кВт)

Рис.12 Энергетическая диаграмма генераторного режима на частоте вращения 1000 и 5000 об/мин (нагрузка 4 кВт)

Рис. 13 Мощность возбуждения и выходная мощность генератора в зависимости от скорости.
Заключение
Результаты проведенных исследований показывают, что вентильно-индукторная машина может функционировать как стартер-генератор ДВС. Для обеспечения требуемых показателей, удовлетворяющих режимам стартера и генератора, необходимо производить регулировку напряжения питания в стартерном режиме и напряжения возбуждения в генераторном. При проектировании ВИСГ необходимо учитывать, что требуемая мощность электронного коммутатора может превышать номинальную мощность генератора в 3-5 раз для обеспечения работы генератора на низких частотах вращения.
В стартерном режиме требуется контролировать значения токов в фазах ВИМ, для чего, с целью предотвращения повреждения источника питания, реализуется ограничение потребляемого тока. В генераторном режиме, для поддержания требуемого тока возбуждения, реализуется схожий режим коммутации. Для реализации данных режимов, электронные ключи должны выбираться из расчета, что частота коммутации, в зависимости от требуемой точности регулирования, может в сотни раз превосходить частоту коммутации фаз на данной скорости без ограничения тока.
Список литературы
A. de Vries , Y. Bonnassieux, M. Gabsi, E. Hoang, F. d-Oliveira, Cedric Plasse, A SWITCHED RELUCTANCE MACHINE FOR A CAR STATER ALTERNATOR SYSTEM //IEEE International Electric Machines and Drives Conference 2001, pp.323-329.
Gabriel Gallegos-Lopez, James Walters, Kaushik Rajashekara, Switched Reluctance Machine Control Strategies for Automotive Applications //SAE World Congress, March 5-8, 2001.
Кузнецов В.А., Кузьмичев В.А. Вентильно-индукторные двигатели.- М.: Изд-во МЭИ, 2003. 68с.
F. Henrotte, G. Deliege, and K. Hameyer, The eggshell method for the computation of еlectromagnetic forces on rigid bodies in 2D and 3D, CEFC 2002, Perugia, Italy, April 16-18, 2002.
S. McFee, J. P. Webb, and D. A. Lowther, A tunable volume integration formulation forforce calculation in finite-element based computational magnetostatics, IEEE Transactions on Magnetics, 24(1):439-442, January 1988.
Miller, T.J.E., Switched Reluctance Motors and their control -Oxford: Magna Physics Publishing and Clarendon Press, 1993, 205p.
Cardenas R., Ray W.F., Asher G.M., Switched reluctance generators for wind energy applications //Power Electronics Specialists Conference, 1995. PESC '95 Record., 26th Annual IEEE, vol.1, pp.559-564.
David A. Torrey, Switched Reluctance Generators and Their Control //IEEE Transactions on industrial electronics, vol.49, No.1, February 2002.
Erkan Mese, Yilmaz Sozer, James M. Kokernak, Dvid A. Torrey, Optimal Exitation of a High Speed Switched Reluctance Generator //Applied Power Electronics Conf and Exhibition (APEC), IEEE 2000, vol.1, pp.362-368.
Похожие рефераты:
Синхронные машины. Машины постоянного тока
Лекции по твердотельной электронике
Проектирование электрической части ТЭЦ 180 МВт
Обслуживание и ремонт электрических двигателей (ремонт синхронного двигателя)
Оборудование летательных аппаратов
Элегазовый генераторный выключатель 10 кВ, 63 кА, 8000 А
Анализ погрешностей волоконно-оптического гироскопа
Электродвигатель асинхронный с короткозамкнутым ротором мощностью 200 КВт
Установка для статической балансировки роторов методом прямого измерения статического момента
Ответы к экзаменационным билетам по физике 11 класс (ответы к 29 билетам)
Статическая балансировка роторов